Next Article in Journal
Do Economic Growth Targets Hinder Green Innovation? Evidence from Chinese Heavy-Polluting Enterprises
Previous Article in Journal
Overview of China’s Waste Electrical and Electronic Equipment Recycling in the Last Two Decades
 
 
Font Type:
Arial Georgia Verdana
Font Size:
Aa Aa Aa
Line Spacing:
Column Width:
Background:
Article

An Evolutionary Stability Study of Zero-Carbon Transition for Shipping Enterprises Considering Dynamic Penalty and Carbon Quota Trading Mechanisms

1
Department of Transportation Engineering, Dalian Maritime University, Linghai Road No. 1th, Ganjingzi District, Dalian 116026, China
2
National Key Laboratory of Waterway Traffic Control, Shanghai Research Institute of Shipping, 600 Minsheng Road, China (Shanghai) Pilot Free Trade Zone, Shanghai 200135, China
*
Author to whom correspondence should be addressed.
Sustainability 2024, 16(23), 10684; https://doi.org/10.3390/su162310684
Submission received: 30 October 2024 / Revised: 3 December 2024 / Accepted: 3 December 2024 / Published: 5 December 2024

Abstract

The carbon quota trading mechanism is considered one of the most effective incentives for carbon reduction to address global climate change. Currently, the EU has adopted this mechanism to intervene in the zero-carbon transition of shipping companies. Unlike other businesses, the shipping market experiences cyclical changes and high uncertainty, with many factors and complex systems involved in the zero-carbon transition process. Research on the impact of dynamic penalty mechanisms combined with government incentive policies on the zero-carbon transition of shipping companies is relatively scarce. To explore this process under such mechanisms, an evolutionary game model of shipping companies’ zero-carbon transition considering dynamic penalties and carbon quota trading was constructed. The model analyzes the effects of factors such as carbon trading prices, emission reductions resulting from zero-carbon transition, government supervision costs, supervision intensity, subsidy values, and penalty caps on the transition process and performs a simulation analysis. The results indicate the following: (1) Under dynamic penalty mechanisms, the evolutionary trajectories of both government and shipping companies spiral towards a unique evolutionary stable strategy, addressing the shortcomings of static penalty mechanisms. (2) Government supervision costs negatively impact the zero-carbon transition of shipping companies, while supervision intensity has a positive effect. Government subsidies positively affect transition strategies but have a minor impact. Increasing the penalty cap benefits the zero-carbon transition of companies. (3) There is a critical point for carbon trading prices corresponding to changes in zero-carbon transition strategies, providing a basis for companies to decide whether to buy or sell carbon emission trading rights. Additionally, government regulatory changes lag behind the changes in companies’ zero-carbon transition behaviors. The results provide significant insights for government strategy formulation and investment in zero-carbon transition under the carbon quota trading mechanism.

1. Introduction

With the increasing prominence of global climate change issues, carbon emissions have become a focus of international concern [1]. Against this backdrop, the carbon quota mechanism [2], as an effective measure for zero-carbon transition, has attracted attention and gradually become one of the key tools for the international community to promote carbon emission reduction. The shipping industry, as an important link in global trade and economic connections, is also one of the main sources of carbon emissions, and the growth rate of carbon emissions in the shipping industry has been on the rise in recent decades. According to data from the International Maritime Organization (IMO), the global shipping industry’s carbon dioxide emissions increased from 794 million tons in 2008 to 8.334 billion tons in 2023, accounting for 3% of the total emissions, with an average annual growth rate of 3.1%. If effective shipping carbon reduction policies are not adopted, the proportion of the shipping industry in the global greenhouse gas emissions may increase to 17% by 2050. These data indicate that the growth rate of carbon emissions in the shipping industry needs to be controlled and reduced through effective policies and technological innovation to meet the challenges of global climate change. Therefore, the implementation of the carbon quota mechanism will directly affect the operational models and development strategies of shipping companies in various countries. To promote green development and achieve sustainable economic development, shipping companies must adapt to this change.
The core of green development for shipping companies lies in implementing zero-carbon transition, establishing a market-oriented zero-carbon technology system, and building a comprehensive and scientifically standardized zero-carbon quality standard system, thus actively promoting the zero-carbon energy revolution. However, one of the major challenges faced by the European Union and the International Maritime Organization (IMO) in promoting the green transition of the global shipping industry is how to balance the interests of governments and shipping companies while promoting a zero-carbon technology transition and formulating feasible environmental regulatory policies. In this process, conflicts of interest between national governments and shipping companies [3] often lead to difficulties in implementation. Therefore, actively guiding shipping companies from different countries to implement zero-carbon technology transition is an urgent task. Environmental regulatory policies of governments, such as appropriate subsidies and penalty measures, can encourage enterprises to choose the correct zero-carbon technology transition path. The environmental regulatory policies of the European Union and the International Maritime Organization can promote cooperation in zero-carbon transition among countries to a certain extent, coordinate the interests of all parties, and effectively reduce the externalities of carbon emissions from shipping companies [4,5].
Due to the high mobility of ships, the large amount of fuel consumption during navigation and port operations makes it challenging to determine whether their emission activities occur within the jurisdiction of coastal states, port states, or flag states or in areas not regulated by any regulatory authority. This complexity leads to the opacity and uncertainty of shipping emission data. As a result, shipping emissions cannot be effectively included in the zero-carbon transition system of the Kyoto Protocol [6,7] and the United Nations Framework Convention on Climate Change. Therefore, the carbon tax system usually does not tax the shipping industry. On the other hand, the carbon quota mechanism is relatively clear for the shipping industry. It is a zero-carbon transition plan based on the “cap and trade” approach, where governments set a carbon emission cap for specific regions or industries; divide it into carbon emission quotas; allocate it to emitters through free or paid auctions; and allow various entities, including emitters, to trade these quotas. Against this backdrop, the European Union proposed in 2012 to include the shipping industry in the carbon emission trading system (EU-ETS). After ten years of debate, a preliminary agreement was reached in November 2022 to implement it in stages from 2024, gradually increasing the proportion of carbon emissions included, reaching 100% by 2026. On 16 May 2023, the European Union officially announced the reform of legislation; starting from 2024, shipowners or other operating entities need to pay for the greenhouse gas emissions generated by ships during navigation in EU ports.
Under the carbon quota mechanism, shipping companies need to accelerate their zero-carbon technology transition to adapt to the global emission reduction trend. The carbon trading mechanism involves government regulation and market behavior; that is, the government sets a total carbon emission limit and allocates it to enterprises, and those who exceed the limit need to purchase quotas, while those who do not exceed can sell quotas. This prompts shipping companies to study zero-carbon transition strategies, which are theoretically and practically important for understanding their response mechanisms and promoting technological development.
In the carbon trading market, governments use subsidies, carbon quota allocation, or penalty measures to encourage shipping companies to transform to zero-carbon, reduce carbon emissions, and promote green development. Existing studies mostly focus on the single impact on manufacturing enterprises [8,9]. However, the shipping market, which shows significant cyclical and volatile characteristics, has different operating models and conditions from traditional manufacturing enterprises. Shipping companies need to increase capacity and freight rates when the market is active, and reduce costs and meet capacity demands when the market is sluggish, leading shipping companies to consider whether a mixed policy approach is more effective and whether increasing government subsidies or penalty measures will stimulate a sluggish carbon trading market during the transition to zero-carbon technology.
Therefore, we will comprehensively consider the impact of subsidy mechanisms, emission reduction intensity, regulatory costs, penalty measures, etc., on the evolution process of shipping companies’ zero-carbon transition. This will provide a decision-making basis for the zero-carbon technology transition of shipping companies and provide information for the formulation and implementation of government policies. We will explore the following issues:
  • The impact of carbon quotas and carbon trading prices on the zero-carbon transition of shipping companies.
  • The impact of government incentive and punishment mechanisms, emission reduction intensity, and regulatory costs on the evolution process of shipping companies’ zero-carbon transition.
  • To promote enterprise zero-carbon transition and achieve the evolution of stable strategies between governments and enterprises, static punishment mechanisms may be unreasonable. When considering dynamic punishment, the implementation effect may be different.
To solve these problems, this paper takes the shipping market with shipping companies as the main body. Under the carbon quota mechanism, we have established a game model that combines static and dynamic punishment in the context of government reward and punishment mechanisms. Based on this, we explore how the carbon quota mechanism affects the zero-carbon transition of shipping companies and discuss whether the joint strategy under static punishment is reasonable compared to the strategy under dynamic punishment. The aim is to determine the optimal strategy for the zero-carbon technology transition of shipping companies and provide a theoretical basis for the formulation and implementation of government policies. The framework of this paper is shown in Figure 1 below.

2. Review of the Most Relevant Studies

Based on the above background, this section reviews the impact of two different government strategy combinations on the zero-carbon technology transition decisions of shipping companies, considering the carbon quota mechanism and a combination of subsidies for reducing carbon taxes and punitive measures. The relevant research in this paper is divided into three main categories based on seven research focuses: (1) examining the impact of carbon quota trading mechanisms on corporate zero-carbon transition development; (2) studying the effects of different government regulatory strategies on corporate zero-carbon transition development; and (3) investigating the impact of dynamic penalty mechanisms under government regulation on corporate zero-carbon technology transition development.

2.1. The Impact of Carbon Quota Mechanisms on Corporate Zero-Carbon Technology Transition Development

The carbon quota mechanism aims to reduce greenhouse gas emissions and promote sustainable development [10]. It has become one of the most important research areas in recent years. In the field of research on the transition of zero-carbon technologies in enterprises under the carbon quota mechanism, most scholars focus on the application of carbon quota trading mechanisms in the micro-operational management of enterprises or supply chains [11,12,13,14]. In recent years, an increasing number of scholars have begun to focus on the development of zero-carbon technology transition in enterprises under the carbon quota mechanism. For example, Zhang et al. (2019) studied the effects of carbon trading markets, environmental taxes, and innovation subsidies on the development of zero-carbon technologies in manufacturing enterprises within a BA scale-free network. The results indicated that optimizing the carbon trading market can facilitate the full development of zero-carbon manufacturing technologies within alliances, but excessively high environmental taxes and excessive innovation subsidies may not necessarily effectively promote the development of these technologies [15]. On the other hand, Tsai et al. (2020) pointed out that without environmental policy regulation, enterprises might excessively enter the market, whereas under high environmental tax policies, the equilibrium number of enterprises might decrease (the equilibrium number of enterprises refers to the number of enterprises at which supply and demand balance in the market) [16]. Zhou et al. (2013) created a production model with two types of emission trading to provide enterprises with optimal strategies for emission trading, technology selection, and production [17]. Yenipazarli (2016) used a leader–follower Stackelberg game model to study the impact of emission taxes under the carbon quota mechanism on the optimal production and pricing decisions of manufacturing enterprises [18].
The above research has explored the carbon quota trading system from various perspectives, and many scholars have studied its impact on manufacturing enterprises. While research on the carbon quota trading system is relatively comprehensive, studies on the impact of the carbon quota trading system on shipping enterprises’ operations and development remain relatively sparse, leaving considerable room for further research. Moreover, these studies have not considered the government’s penalty measures for enterprises that fail to meet emission standards, which plays a crucial role in controlling carbon emissions in shipping enterprises.

2.2. The Impact of Different Government Regulatory Strategies on Enterprise Zero-Carbon Technology Transition

In advancing corporate zero-carbon transition strategies, shipping companies face challenges related to carbon quota mechanisms while also encountering opportunities with zero-carbon technology transitions. Government regulation of zero-carbon technology choices for shipping companies is a crucial aspect of the zero-carbon transition in the shipping industry. Research on national carbon emissions and zero-carbon transitions primarily explores differences in carbon emissions [19,20] (Groot, 2010; Liu and Zhao, 2012) and influencing factors [21] (Liu, 2016). Studies on regional zero-carbon transition pathways, such as Zhong et al. (2018), delve into the impact of regional trade on carbon emission accounting and the allocation of zero-carbon transition responsibilities among provinces, as well as the issue of regional cooperation in China [22]. Additionally, Pan et al. (2015) established an evolutionary game model from a game theory perspective to analyze the factors and evolutionary patterns of local governments’ environmental regulation strategies with and without constraint mechanisms. Besides carbon quota trading mechanisms, governments also incentivize industries to develop and use low-carbon technologies through subsidies, promoting high-quality economic development [23]. For instance, Zhao et al. (2021) discussed the role and impact of government subsidies in promoting the zero-carbon technology transition in new energy vehicles. These studies provide important theoretical support and policy recommendations for understanding and advancing zero-carbon technology transition strategies under carbon quota mechanisms [24]. Hong et al. (2016) used a four-level network model to study the impact of government subsidies on recycling material flows and the effects of different subsidy schemes on subsidy effectiveness and equilibrium quantities [25]. Wang et al. (2014) explored the effects of four different subsidy policies (initial subsidies, recycling subsidies, R&D subsidies, and production subsidies) and mixed subsidy policies on recycling and remanufacturing industries using system dynamics methods. The findings indicated that different types of subsidies have varying applicability at different stages of industrial development, with mixed subsidy policies having a significant impact on the number of recycling enterprises and collected recyclable products, and promoting remanufacturing production speeds more effectively than single subsidy policies [26]. While these studies have achieved notable results in considering the role of carbon quota mechanisms and government subsidy policies in driving corporate zero-carbon transitions, relying solely on adjusting carbon quota numbers and providing various subsidies is insufficient to comprehensively drive corporate zero-carbon transitions. Necessary punitive measures must be implemented. Research on punitive measures is relatively scarce in the current literature, especially on how dynamic penalties can promote corporate zero-carbon technology transitions.

2.3. The Impact of Punitive Mechanisms on Corporate Zero-Carbon Technology Transition Stop Responding

In research examining the impact of punishment mechanisms on corporate zero-carbon technology transitions, besides providing subsidies to transitioning companies, governments have also widely adopted punitive measures to promote the research and application of zero-carbon technologies across various industries, aiming to shift the economy towards high-quality development. Recent academic studies have delved into evolutionary game theory under punitive mechanisms. Wang and Ren (2021) developed an evolutionary game model involving government dynamic punishment and subsidy mechanisms, analyzing the effects of different strategies on interactions and evolutionary paths between platform e-commerce and consumers [27]. Cai (2010) focused on optimizing punishment strategies within the regulatory game between governments and pollution-emitting enterprises, exploring the dynamics and stability control of the game [28]. Jin et al. (2017) used evolutionary game theory to investigate the evolutionary dynamics and regulatory strategy design issues of corporate environmental compliance under dynamic regulatory mechanisms, finding that dynamic punishment mechanisms can effectively induce and control environmental compliance among enterprises within a region when government regulatory capacity is limited [29]. Shi (2023) proposed a dynamic game model of ecological civilization assessment and ecological governance supervision punishment mechanisms for central and local governments and, through a simulation analysis, addressed the periodic fluctuations in the strategies of the game participants that were present in previous studies [30].
Despite numerous studies on carbon quota trading and corporate zero-carbon technology transitions, there remain research gaps and shortcomings. Specifically, within the EU Emission Trading System (EU-ETS), the integration of carbon quota trading mechanisms and zero-carbon technology transition paths for international shipping companies has been primarily studied in terms of government subsidies or fixed punishment mechanisms. However, due to the cyclical fluctuations and high uncertainty of the shipping market, as well as the close interrelation of various factors, these characteristics lead to unstable equilibrium points in the strategies between governments and shipping companies and exhibit periodic oscillations over time, increasing the uncertainty in strategy choices. To address this issue, this paper proposes a combined strategy of dynamic punishment and subsidies. This hybrid strategy aims to promote the transition of shipping companies to zero-carbon technologies, particularly focusing on the instability in strategy choices between the game participants, thereby filling the existing research gap related to instability. This paper further delves into the strategy choices of governments and shipping companies in the game, intending to provide more effective policy recommendations for governments and support for shipping companies’ zero-carbon transitions. The current status of regulation-driven zero-carbon transition research and relevant policies covered in this paper are provided below as Table 1 and Table 2.

3. Analysis of Evolutionary Game Theory for Green Technology Choices in Shipping Companies Based on a Static Penalty Mechanism

3.1. Problem Description

In the EU Emissions Trading System (EU ETS), carbon allowances are issued by EU institutions. Specifically, the European Commission is responsible for establishing and managing the rules for the allocation and trading of carbon allowances. This system allocates carbon allowances to participating companies and industries through auctions and allocations to control overall carbon emissions and encourage the reduction in greenhouse gas emissions. This paper examines how government incentives and penalty regulatory mechanisms impact the evolutionary stability of zero-carbon transitions in shipping companies under the EU ETS. In the EU carbon trading system, carbon allowances e are allocated free of charge by national governments to shipping companies within their jurisdictions. The carbon emissions of a shipping company are Q , where Q d (with Q d > e ) represents the emissions if the company chooses to retain its existing fleet technology. The carbon emissions corresponding to the choice of adopting zero-carbon technology are Q c (with Q c < e ). When Q > e , the shipping company needs to purchase Q e emissions allowances on the carbon trading market, with the price per unit of carbon allowance p determined by the market. The carbon trading volume is Q d e , and the company must pay a carbon tax cost of ( Q d e ) p . When Q < e , the company can sell the remaining carbon allowances on the market, with the trading volume being e Q c , and the revenue obtained is ( e Q c ) p . The government’s strategy set includes (strict regulation, lenient regulation). For the government, if it enforces “strict regulation”, the regulatory cost is C s , which includes costs for periodic and quantitative emissions monitoring and related taxes and fees. If it adopts “lenient regulation”, the regulatory cost is C l , where C s > C l and C l = k C s . The strategy set for shipping companies is (adopt zero-carbon transition, do not adopt zero-carbon transition). It is assumed that if a shipping company chooses not to adopt zero-carbon transition and the government opts for “strict regulation”, the company’s poor behavior can be detected, and a penalty W will be imposed on the company. Furthermore, if the government chooses the “non-strict regulation” strategy, it will not detect the company’s failure to adopt zero-carbon transition.
The cost for a shipping company to retain its existing fleet technology is lower, denoted as C d . On the other hand, choosing to invest in zero-carbon ship technology incurs a higher transition cost C c (In order to correlate the emission reductions with the costs of transition, C c = C d + u e 2 [31]). Here, e = Q d Q c and u is a parameter that reflects the effect of emission reduction, representing both the efficiency of the zero-carbon transition technology and the effectiveness of the company’s investment in zero-carbon transition.
Thus, the strategy space for the government and the companies are (strict regulation, non-strict regulation) and (adopt zero-carbon transition, do not adopt zero-carbon transition), respectively. Both parties have complete information about the basic structure and rules of the game.
If a regulated company adopts zero-carbon transition, the government provides a reward M and benefits from the total environmental gains generated by the company’s zero-carbon transition. The environmental benefits [32] E = h e brought to the government by the company’s zero-carbon transition (as discussed in Wang, 2015) include energy-savings and reduced pollution, where h represents the efficiency of the zero-carbon transition. Additionally, a zero-carbon transition provides the company with market benefits V c (including increased consumer willingness to purchase, improved market position, etc.). The parameters and their meanings appearing in the model are shown in Table 3.

3.2. Construction of a Static Penalty Mechanism Evolutionary Game Analysis Model

“Shipping enterprises” include companies covered by the EU ETS. Governments at the national level, to which shipping companies are subject, implement regulations over their zero-carbon transition processes. Taking shipping companies as an example: When the government chooses strict regulation and the shipping company opts for a zero-carbon transition, the company incurs higher transition costs but can sell excess carbon allowances on the market and receive government transition subsidies. When the government chooses lenient regulation and the company does not undergo a zero-carbon transition, it incurs lower costs but must purchase additional carbon allowances on the market. When the government chooses lenient regulation and the company opts for a zero-carbon transition, the company incurs higher transition costs but can sell their remaining carbon allowances on the market and does not receive government transition subsidies. When the government chooses strict regulation and the company does not undergo a zero-carbon transition, the company faces penalties for not actively transforming and must purchase additional carbon allowances. The payment matrix for government regulatory strategies and company zero-carbon transition choices is shown in Table 4.
Assuming the probability of enterprises adopting a “zero-carbon transition” strategy is x ( x [ 0 , 1 ] ), then the probability of adopting a “no transition” strategy is 1 x . Similarly, assuming the probability of governments adopting a “strict regulation” strategy is y ( y [ 0 , 1 ] ), then the probability of adopting a “non-strict regulation” strategy is 1 y . From the game payoff matrix, we can calculate the expected utility U 1 C for enterprises choosing the “zero-carbon transition” strategy, the expected utility U 1 D for choosing the “no transition” strategy, and the average utility U ¯ 1 for enterprises.
U 1 C = y ( C c + e Q c p + M + V c ) + ( 1 y ) C c + e Q c p + k M + V c
U 1 D = y C d Q d e p W + V d + 1 y C d Q d e p + V d ,
U ¯ 1 = x U 1 C + 1 x U 1 D
According to the dynamic replication equation, let the growth rate of the proportion of enterprises choosing zero-carbon transition to the total be d x d t x .
F x , y = d x d t = x U 1 C U ¯ 1   = x 1 x U 1 C U 1 D
For governments around the world, the expected utility of choosing a “strict regulation” strategy is denoted as U 2 S , the expected utility of choosing a “lax regulation” strategy is denoted as U 2 L , and the average utility of governments is denoted as U ¯ 2 .
U 2 S = x C s M + E + 1 x C s + W
U 2 L = x C l + E k M + 1 x C l
U ¯ 2 = y U 2 S + 1 y U 2 L
According to the dynamic replication equation, the growth rate of the proportion of enterprises choosing zero-carbon transformation is d y d t y .
Gx,y=dydt=yU2SU¯2 = y 1 y U 2 S U 2 L
From the differential Equations (4) and (8), a two-dimensional dynamical system (I) can be derived:
d x d t = x 1 x W + 1 k M y + C d C c + p Q d Q c + k M + V c V d d y d t = y 1 y W + 1 k M x + C l C s + W
Setting the replication dynamic system to zero, we can solve for the equilibrium points of the five systems— A 0,0 , B 0,1 , C 1,0 , D 1,1 , and E x * , y * —where
x * = W C S C l W + 1 k M ,
y * = C d C c + p Q d Q c + k M + V c V d W + 1 k M = V d C d p Q d e V c C c p e Q c k M W + 1 k M
Let R 1 = V d C d p Q d e and R 2 = V c C c p e Q c , thus
y * = R 1 R 2 k M W + 1 k M
Setting 0 < y * < 1 , we have R 1 R 2 k M < W + 1 k M , which implies R 1 R 2 k M > 0 . Then, k M < R 1 R 2 < W + M .
Setting 0 < x * = W C s C l W + 1 k M < 1 implies W > C S C l = C s k C s = 1 k C s .
C d + p Q d e C c + p e Q c represents the change in input costs before and after enterprises undergo a zero-carbon transformation, and V d V c represents the change in market benefits before and after the zero-carbon transformation. If R 1 R 2 = V d C d p Q d e V c C c p Q c e > W + M , the additional benefits for shipping companies not undergoing a zero-carbon transformation exceed the government’s reward and punishment measures, and at this point, the government has no binding force on the zero-carbon transformation of enterprises. Therefore, the discussion in this paper is based on V d C d p Q d e V c C c p Q c e < W + M .

3.3. Stability Analysis of Equilibrium Points

To determine the local stability of the evolutionary game equilibrium points, the Jacobian matrix of the system is constructed. By computing the partial derivatives of the differential Equation (9) with respect to x and y , the Jacobian matrix for the evolutionary game involving government regulation and enterprise zero-carbon transition choices can be obtained.
J = F x F y G x G y
Then,
F x = 1 2 x W + 1 k M y + C d C c + p Q d Q c + k M + V c V d F y = x 1 x W + 1 k M
G x = y 1 y 1 W + 1 k M G y = 1 2 y W + 1 k M x + C l C s + W
Substituting (11) and (12) into (10) yields
J = 1 2 x W + 1 k M y + C d C c + p Q d Q c + k M + V c V d x 1 x W + 1 k M y 1 y 1 W + 1 k M 1 2 y W + 1 k M x + C l C s + W
If the trace and determinant conditions of the Jacobian matrix are satisfied, then t r J < 0 J > 0 . The equilibrium points of the replicator dynamic equation are local stable points, and these equilibrium points represent the evolutionarily stable state (Table 5).
V d C d p Q d e V c C c p Q c e < W + M , equivalent to C d C c + p Q d Q c + M + W + V c V d > 0 , and C s C l + 1 k M > 0 , let
L 1 = C l C s + W L 2 = C d C c + p Q d Q c + k M + V c V d
Therefore, only the following four cases need to be considered, as shown in Table 6. Under the conditions listed in all the above cases, a detailed analysis is as follows. Here, ± indicates that the value can be either positive or negative. ESS represents an Evolutionarily Stable Strategy. The stability analysis of the system’s equilibrium points for Scenarios 1–4 is shown in Table 7.
From Table 7, it can be seen that under the conditions of Scenario 1 and Scenario 3, the strategy (1,0) is an Evolutionarily Stable Strategy (ESS) for the system. In this case, the shipping companies would choose to undertake zero-carbon transition strategies, while the government would opt for non-strict regulation strategies. Under the conditions of Scenario 4, the strategy (0,0) is an ESS for the system. Here, the shipping companies would choose not to undertake zero-carbon transition strategies and the government would also choose non-strict regulation strategies.
In Scenario 2, where L 1 > 0 ,   L 2 < 0 , among the five possible equilibrium points, there are four saddle points and one unstable point. Therefore, in this scenario, there is no ESS, and the evolutionary trajectories exhibit certain periodicity and volatility, as shown in Figure 2. Regardless of the choices made by one party, the strategy chosen by the other party based on its own interests is unlikely to be the system’s optimal strategy. Consequently, both the government and shipping companies are unable to grasp market changes in a timely and can only rely on historical experience for decision-making. Addressing this unstable evolutionary state by proposing an effective mechanism to make the system converge to a stable state at the center point, thereby stabilizing the strategies between both parties, is an urgent problem that needs to be resolved.

4. Evolutionary Game Analysis of Green Technology Choices for Shipping Companies Based on a Dynamic Penalty Mechanism

In practice, during the regulatory process, due to the complexity of environmental issues and information asymmetry between enterprises, shipping companies may be unable to determine the extent of penalties for not actively transitioning. Therefore, they cannot ascertain whether the transition meets the preset criteria. In Section 2, the strategy choices between the two players under general conditions are examined, where strategies can converge to a stable state. However, in Scenario 2, the strategies between shipping companies and the government exhibit cyclical oscillations over time, with their joint strategy trajectory forming a loop, leading to the absence of a stable strategy. This paper proposes a dynamic penalty mechanism for the government to address the issue of instability at the equilibrium point. In general conditions, it is assumed that the government’s penalty for the shipping companies’ “non-transition” behavior is a fixed value. Here, the penalty for “non-transition” is set to vary dynamically, and the strategies of both players are observed under this dynamic penalty mechanism. Under this mechanism, it is assumed that the government’s penalty value is proportional to the severity of the enterprise’s “non-transition”, defined as W ( x ) = ( 1 x ) W m , where W m represents the upper limit of the penalty.

4.1. System Stability Analysis of Green Technology Choices for Shipping Companies Based on a Dynamic Penalty Mechanism

The replication dynamic equation for the evolution of the game players under this dynamic penalty mechanism is (Table 8)
d x d t = x 1 x W x + 1 k M y + C d C c + p Q d Q c + k M + V c V d d y d t = y 1 y W x + 1 k M x + C l C s + W x
Further, the Jacobian matrix of the system is obtained as follows:
J = 1 2 x   W x + 1 k M y + C d C c + p Q d Q c + k M + V c V d x 1 x   W x + 1 k M y 1 y 1   W x + 1 k M 1 2 y   W x + 1 k M x + C l C s + W x
The five equilibrium points of the system that can be solved are   A 0,0 , B 0,1 , C 1,0 , D 1,1 , and E x * , y * .
Among them, x * = W x * C S C l W x * + 1 k M and y * = C d C c + p Q d Q c + k M + V c V d W x * + 1 k M . By solving the system of equations W ( x * ) = ( 1 x * ) W m , we obtain
x * = 1 + 1 k M W m 4 1 k M + C s W m + 1 k M W m 2 2
Substituting x * into y * , we obtain
y * = C d C c + p Q d Q c + k M + V c V d W + 1 k M = C d C c + p Q d Q c + k M + V c V d W m 1 x * + 1 k M = C c C d p Q d Q c k M V c V d W m 4 1 k M + C s W m + 1 k M W m 2 2 + 1 k M
At this point, substituting E x * , y * into the Jacobian matrix and solving for the eigenvalues α 1 and α 2 , it is found that α 1 and α 2 are a pair of eigenvalues with negative real parts. Thus, the system evolution is asymptotically stable [34] (Luo, 2022), and E x * , y * is an evolutionarily stable point. The stability of the system’s equilibrium points is shown in Table 9, and the evolutionary trajectories of the players are depicted in Figure 3.

4.2. The Impact of Parameter Changes on System Evolution

When studying the impact of government regulation on the zero-carbon transition of shipping companies, it is crucial to focus on factors such as carbon trading prices, emission reductions, government regulation costs, reduction efforts, and the effectiveness of zero-carbon technologies. Therefore, this section analyzes the influence of these parameters—carbon trading prices, emission reductions corresponding to the zero-carbon transition process, government regulation costs, reduction efforts, and the effectiveness of zero-carbon transition technologies—on the transition process. Analyzing the effects of government rewards M and penalty caps W m on the equilibrium strategies of both government and enterprises is challenging, so specific analyses will be conducted in subsequent case studies.
Theorem 1.
Under the condition that the target emission reduction  e 0  is fixed,  p = 2 u Q d e  is the critical point of the carbon trading price corresponding to changes in the zero-carbon transition behavior of shipping companies.
Proof of Theorem 1.
According to microeconomic principles, with the target zero-carbon emission reduction e 0 = Q d e set, when the carbon trading price equals the marginal zero-carbon transition cost, i.e., C c C d e = 2 u e = p , the emission reduction ∆e corresponding to the zero-carbon transition of shipping companies is the optimal reduction amount, i.e., e = p 2 u . At this point, the optimal transition cost is C c C d = u e 2 = p 2 4 u . When the transition cost reaches this optimal investment level, the company will stop its zero-carbon transition. As the carbon trading price rises, the company’s transition decision will shift from purchasing carbon emission rights to selling carbon emission rights. Therefore, for the company’s zero-carbon transition behavior, there exists a “critical point” for the carbon trading price. When e 0 e = Q d e p 2 u > 0 , i.e., p < 2 u Q d e , the company will purchase carbon emission rights; when e 0 e = Q d e p 2 u < 0 i.e., p > 2 u Q d e , the company will sell carbon emission rights. Hence, p = 2 u Q d e ) is the critical carbon trading price for the company to change its zero-carbon transition behavior. □
Theorem 2.
e = p + ε 2 u  is the critical point of government regulatory behavior. Specifically, when  e > p + ε 2 u , as  e  increases, the probability of government regulation on the company gradually increases. Conversely, when  0 < e < p + ε 2 u , ase increases, the probability of government regulation on the company gradually decreases.
Proof of Theorem 2.
Substitute C c C d = u e 2 and V c V d = ε e into y * and obtain
y * = u e 2 p + ε e k M W m 4 1 k M + C s W m + 1 k M W m 2 2 + 1 k M
Take the partial derivative of y * with respect to e and obtain
y * e = 2 u e p + ε W m 4 1 k M + C s W m + 1 k M W m 2 2 + 1 k M
let y * e = 0 ; then, e = p + ε 2 u .
When e > p + ε 2 u , y * e > 0 ; as e increases, the probability of government regulation on the company gradually increases. When 0 < e < p + ε 2 u , y * e < 0 ; as e increases, the probability of government regulation on the company gradually decreases. Thus, e = p + ε 2 u is the critical point for government regulatory behavior.
Take the partial derivative of y * with respect to e and obtain
y * e = 2 u e p + ε W m 4 1 k M + C s W m + 1 k M W m 2 2 + 1 k M
let y * e = 0; then, e = p + ε 2 u . When e > p + ε 2 u , y * e > 0 ; as e increases, the probability of government regulation on the company gradually increases. When 0 < e < p + ε 2 u , y * e < 0 ; as e increases, the probability of government regulation on the company gradually decreases. Thus, e = p + ε 2 u is the critical point for government regulatory behavior. □
Theorem 3.
If the government’s regulatory costs  C s  decrease, the probability of government regulation increases, and the probability of zero-carbon transition by shipping companies also increases; conversely, if the costs increase, the probabilities decrease.
Proof of Theorem 3.
The partial derivative of y * with respect to C s is obtained using
y * C S = 2 1 k W m C c C d p Q d Q c k M V c V d W m 4 ( 1 k ) ( M + S ) / W m + [ ( 1 k ) M / W m ] 2 2 + 1 k M 2 ( 4 ( 1 k ) ( M + S ) / W m + [ ( 1 k ) M / W m ] 2 )
Since C c C d p Q d Q c k M V c V d > 0 , it follows that y * C S < 0 . Therefore, y * is a decreasing function of C S . Similarly, by taking the partial derivative of x * with respect to C S , we obtain
x * C S = 1 k W m 4 1 k M + C s W m + 1 k M W m 2
Since 1 k > 0 , it follows that x * C S < 0 . Therefore, x * is a decreasing function of C S . When the government’s regulatory cost C S decreases, the probability of government regulation increases, and the probability of zero-carbon transition by shipping companies also increases; conversely, when C S increases, the probabilities decrease. □
Theorem 4.
The reduction effort  k = V d C d p Q d e V c C c p e Q c M = R 1 R 2 M  is the critical point for government regulatory behavior. Specifically, when  k > R 1 R 2 M , as k increases, the probability of government regulation of enterprises gradually decreases. Conversely, when  0 < k < R 1 R 2 M , as k increases, the probability of government regulation gradually increases, and increasing the zero-carbon transition effort benefits the zero-carbon transition of shipping companies.
Proof of Theorem 4.
Taking the partial derivative of y * with respect to k , we obtain
y * k = C c C d p Q d Q c V c V d k M M W m 4 ( 1 k ) ( M + C s ) / W m + [ ( 1 k ) M / W m ] 2 2 + 1 k M 2
= R 1 R 2 k M M W m 4 ( 1 k ) ( M + C s ) / W m + [ ( 1 k ) M / W m ] 2 2 + 1 k M 2
let y * k = 0 ; then, k = R 1 R 2 M . When 0 < k < R 1 R 2 M , y * k > 0 , as k increases, the probability of government regulation of enterprises gradually increases. When k > R 1 R 2 M , y * k < 0 , meaning that as k increases, the probability of government regulation gradually decreases. Therefore, k = R 1 R 2 M is the critical point for government regulatory behavior. The reduction effort k = V d C d p Q d e V c C c p e Q c M = R 1 R 2 M is thus proven to be the critical point for government regulatory behavior. Similarly, taking the partial derivative of x * with respect to k yields
x * k = M 2 W m + 4 M + C s W m + 2 M W m 1 k M W m 2 4 1 k M + C s W m + 1 k M W m 2
At this point, it is not possible to determine the sign of x * k . To proceed, take the partial derivative of x * k with respect to k and obtain
2 x * k 2 = 4 M + C s W m + 2 M W m 1 k M W m 1 k M W m M W m 4 1 k M + C s W m + 1 k M W m 2 2 4 1 k M + C s W m + 1 k M W m 2
2 x * k 2 > 0 ; hence, x * k > 0 holds true. Therefore, x * is an increasing function of k . As government regulatory intensity increases, the probability of shipping companies’ transition to zero carbon gradually increases, indicating that stricter government regulation is beneficial for companies’ zero-carbon transition. □
Theorem 5.
With the target reduction amount  e 0  fixed, as the carbon trading price increases, the probability of government regulation decreases, and vice versa.
Proof of Theorem 5.
Based on
y * = C c C d p Q d Q c k M V c V d W m 4 1 k M + C s W m + 1 k M W m 2 2 + 1 k M
substitute e = p 2 u , C c C d = p 2 4 u into the above expression and obtain
y * = p 2 4 u ε p 2 u k M W m 4 1 k M + C s W m + 1 k M W m 2 2 + 1 k M
Take the partial derivative of y * with respect to p and obtain
y * p = p 2 u ε 2 u W m 4 1 k M + C s W m + 1 k M W m 2 2 + 1 k M < 0
Therefore, y * is a decreasing function of p . As the carbon trading price increases, the probability of government regulation gradually decreases, which is thus proven. □
Theorem 6.
With the target reduction amounte fixed, as the effectiveness of zero-carbon transition increases, the probability of government regulation gradually decreases, and vice versa.
Proof of Theorem 6.
Based on
y * = p 2 4 u p p 2 u k M ε p 2 u W m 4 1 k M + C s W m + 1 k M W m 2 2 + 1 k M
take the partial derivative of y * with respect to u and obtain
y * u = p + ε 1 2 u 2 W m 4 1 k M + C s W m + 1 k M W m 2 2 + 1 k M > 0
Given C c = C d + u e 2 , which implies u = C c C d e and 1 u = e C c C d , when e is fixed, if 1 u is larger, a better zero-carbon transition effect occurs. Since y * u > 0 , it follows that y * 1 u < 0 . Therefore, y * is a decreasing function of the zero-carbon transition effect 1 u . As the effectiveness of the zero-carbon transition increases, the probability of government regulation gradually decreases, and vice versa. □

5. Discussion

Combining the current status of the EU carbon trading market with carbon trading prices referenced from data published on the Clarkson website, under the conditions of Scenario 2 and meeting the model requirements, V d C d p Q d e V c C c p e Q c > W + M . The zero-carbon transition effect parameter u and the regulatory level parameter k and government’s regulatory costs   C s   are referenced from [31] (Chen, 2021). The values of W and M represent the government’s incentives and penalties for enterprises undergoing zero-carbon transition [35] (Jiao, 2017). This paper uses the baseline method [36] (Xing, 2017) to evaluate the shipping enterprises’ carbon emission cap. For large shipping enterprises, the carbon emission cap is set at 1 million tons. The parameter ε is set according to [37] (Wang, 2012). Initial parameter values are assigned as shown in Table 10 (Table 10 lists some of the parameter values, and the remaining parameters in the model can be calculated based on the formulas mentioned earlier).
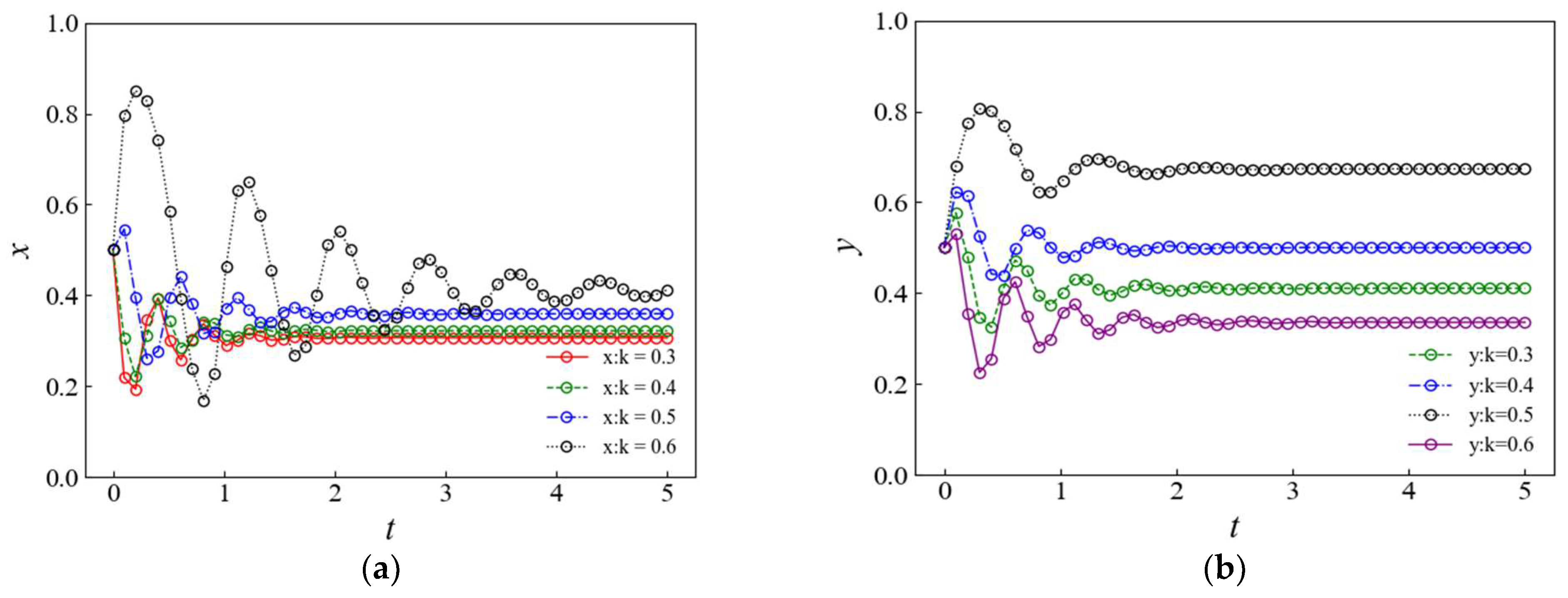
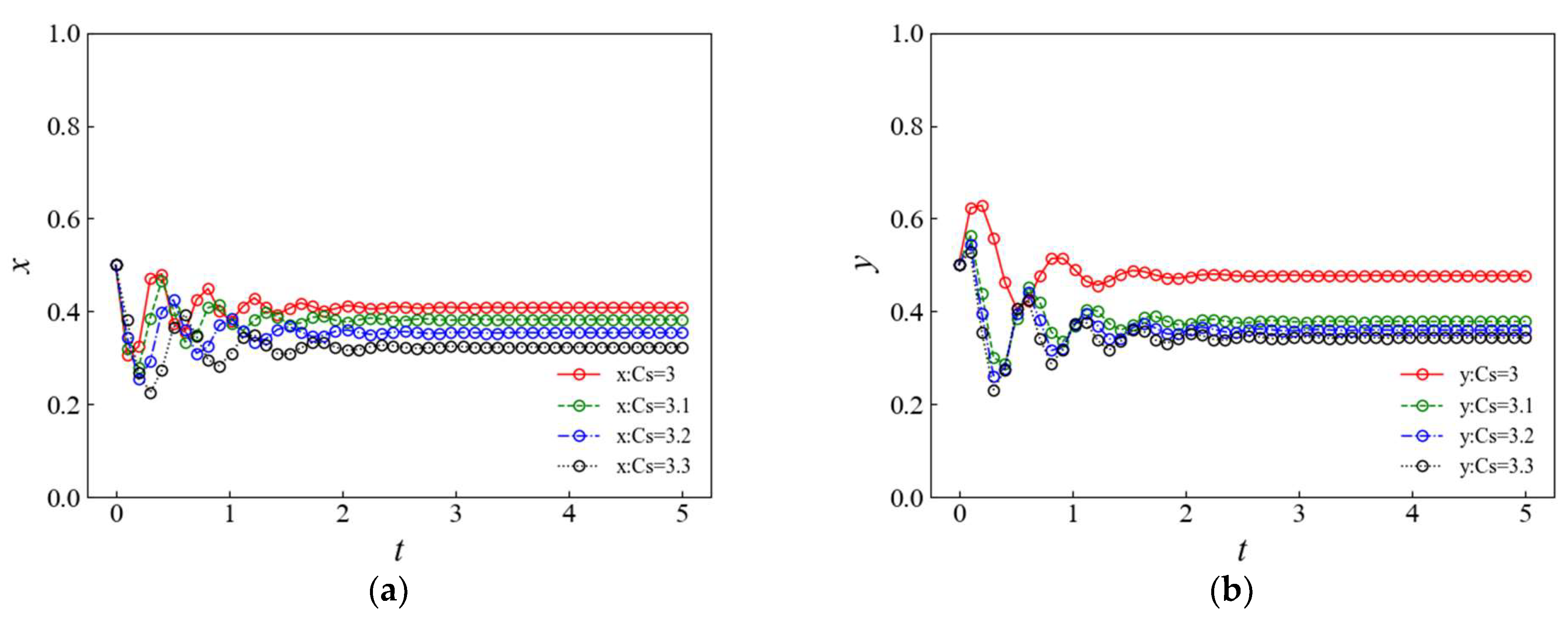
(1) With other parameters held constant, when the regulatory cost C s changes from 3 to 3.3, the government’s regulatory probability and the shipping companies’ zero-carbon transition probability change as shown in Figure 4a,b. The simulation results indicate that as the regulatory cost C s decreases, the government’s regulatory probability and the shipping companies’ zero-carbon transition probability both increase, which is consistent with Conclusion 3. The government’s regulatory behavior is more sensitive to changes in regulatory cost compared to the shipping companies’ zero-carbon transition behavior.
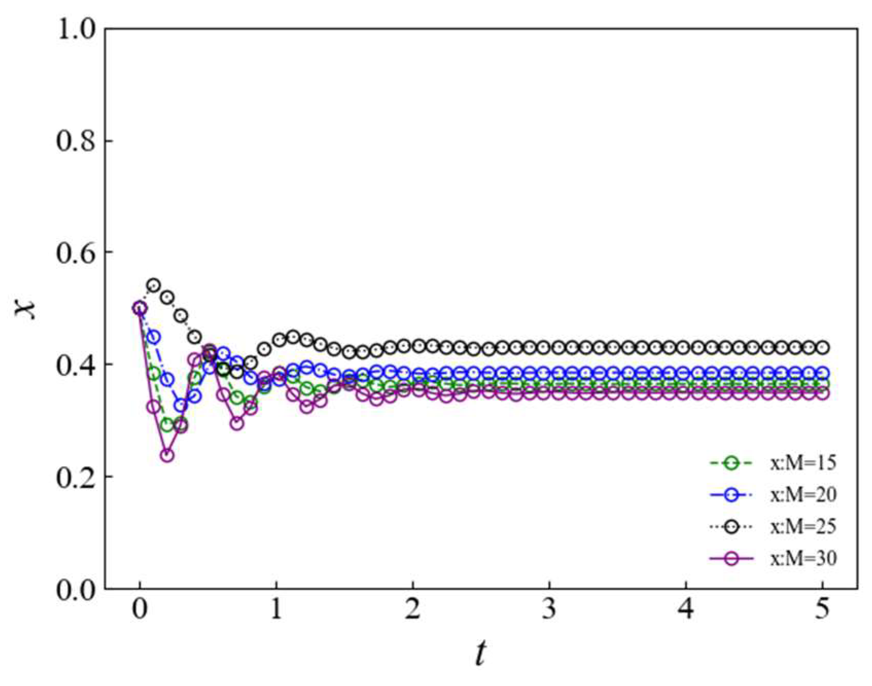
(2) With other parameters held constant, when the emission reduction intensity k changes from 0.3 to 0.6, the government’s regulatory probability and the shipping companies’ zero-carbon transition probability change as shown in Figure 4b and Figure 5a. The simulation results show that as k increases, the government’s regulatory probability first increases and then decreases, indicating that there is a critical point for the government’s zero-carbon transition intensity R 1 R 2 M . When 0 < k < R 1 R 2 M , the regulatory probability increases with k , which helps reduce the environmental impact and promote sustainable development. However, when k > R 1 R 2 M , the regulatory probability decreases as k increases due to higher regulatory costs and complexity. Thus, excessive regulation may increase operational costs and compliance burdens, affecting innovation and flexibility.
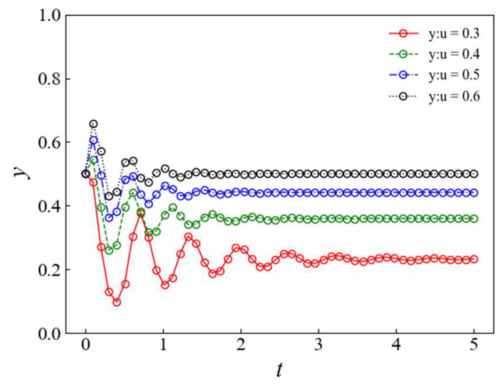
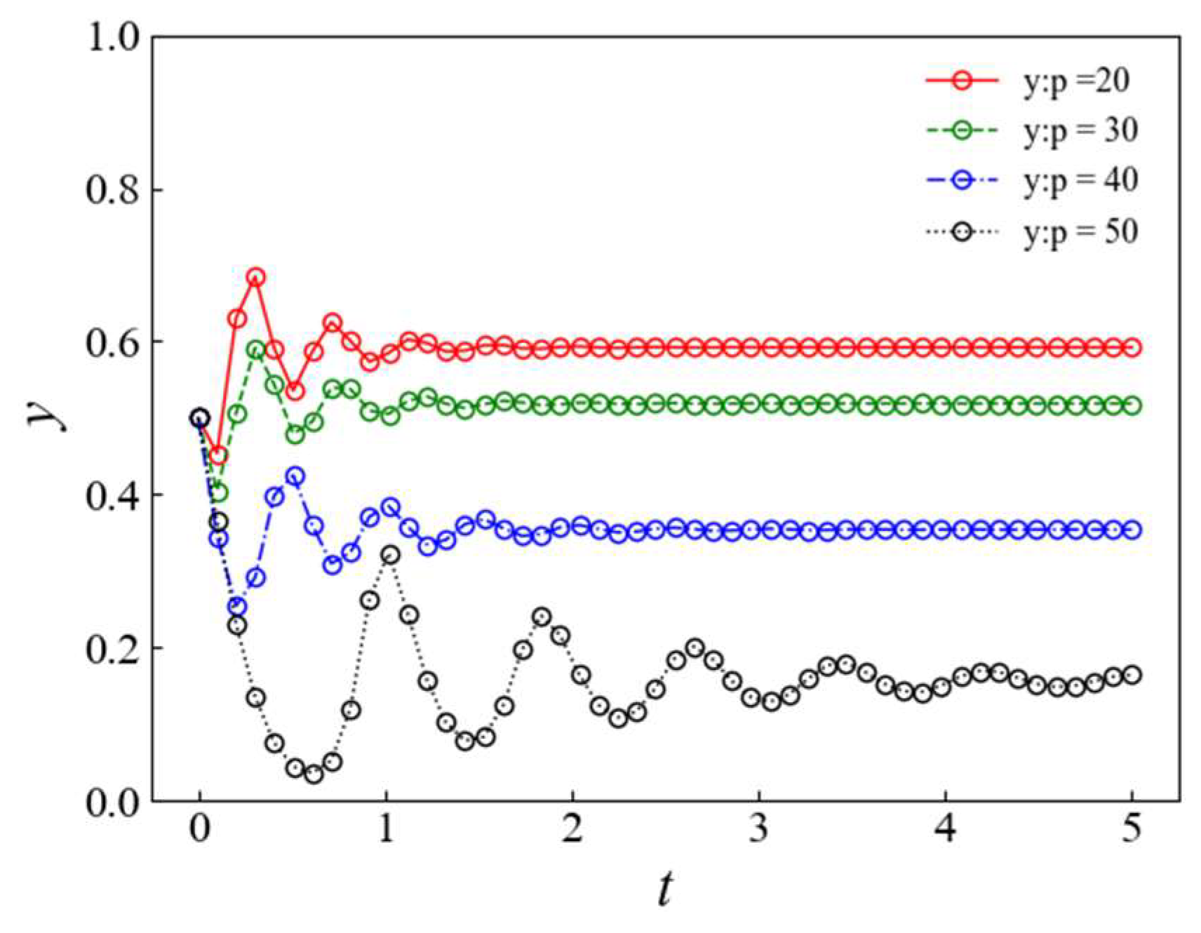
(3) With other parameters held constant, when the carbon trading price changes from 20 to 50, the government’s regulatory probability and the shipping companies’ zero-carbon transition probability change as shown in Figure 6. The simulation results show that as p increases, the government’s regulatory probability decreases. This is consistent with Conclusion 5. Higher carbon prices increase the cost of emissions, incentivizing shipping companies to invest in low-carbon technologies. As a result, the role of government regulation diminishes because companies are driven by economic incentives.
(4) With other parameters held constant, when the zero-carbon transition effectiveness parameter u changes from 0.3 to 0.6, i.e., the zero-carbon transition effectiveness gradually decreases, the government’s regulatory probability changes as shown in Figure 7. The simulation results indicate that as the zero-carbon transition effectiveness increases, the government’s regulatory probability decreases, and the convergence speed increases with u . This is consistent with Conclusion 6. The zero-carbon transition effectiveness parameter u reflects the company’s innovation capability, which is crucial for overcoming challenges in the transition and achieving sustainable development.
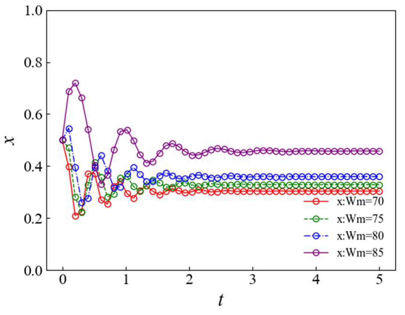
(5) W m and M represent the rewards and penalties imposed by the government on companies for zero-carbon transition. The impact of W m mand M on corporate zero-carbon transition is shown in Figure 8 and Figure 9. Figure 7 shows that as M increases, the probability of zero-carbon transition gradually increases, but the effect is relatively small, indicating that subsidies have a modest effect. Figure 8 shows that as M increases, the transition probability increases, and when the penalty upper limit reaches a certain level, the transition probability suddenly increases and converges at a higher level. Therefore, penalty mechanisms have a more significant impact compared to subsidies and adjusting penalty limits appropriately can better promote a corporate zero-carbon transition.

6. Conclusions and Prospects

6.1. Conclusions

If the government’s punishment intensity is unrelated to the enterprise’s zero-carbon transition behavior, using a static reward and punishment mechanism, the evolution trajectory of government and enterprise behavior will cycle around equilibrium points and the system will not stabilize automatically at the equilibrium point.
If the government adjusts the reward and punishment intensity in real time based on the enterprise’s zero-carbon transition behavior, using a dynamic punishment mechanism, regardless of the initial states of the government and enterprises, the evolution trajectory will spiral around and approach a stable equilibrium point, with the probability of government and enterprise zero-carbon transition strategies ultimately stabilizing at the equilibrium point.
Shipping companies, as the main entities of the zero-carbon transition, are mainly influenced by local government strategies. Local governments play a leading role in enterprises’ zero-carbon transitions and make dynamic adjustments to strategies based on the enterprises’ zero-carbon transition behaviors. Reducing regulatory costs and improving regulatory efficiency can enhance both local government and shipping companies’ enthusiasm for zero-carbon transition. Companies can effectively reduce the probability of local government regulation by increasing the zero-carbon transition effect parameters through technological innovation.
Given the fixed carbon emission quotas and enterprise zero-carbon transition effect parameters, there is a “critical point” for both local government regulatory behavior and enterprise zero-carbon transition behavior regarding carbon trading prices. As the carbon trading price increases, local government regulatory enthusiasm first increases and then decreases, while enterprise zero-carbon transition behavior shifts from purchasing to selling carbon emission rights. When the carbon trading price exceeds the “enterprise zero-carbon transition behavior critical point,” enterprises will continually increase zero-carbon transition investments to gain transition benefits. The “government regulatory behavior critical point” price is higher than the “enterprise zero-carbon transition behavior critical point” price, with local government regulatory behavior lagging behind enterprise zero-carbon transition behavior.
The variation in zero-carbon emission reduction by shipping companies affects the probability of government regulation of enterprises.   e = p + ε 2 u   represents the critical point of government regulatory behavior, where the regulatory probability is minimized, and the amount of zero-carbon reduction for enterprises e = p 2 u < p + ε 2 u is optimal. The lag in regulatory behavior change by the government corresponds to the enterprise’s minimal reduction amount, so from the government’ perspective, it should enhance information exchange with enterprises to improve regulatory efficiency and effectiveness.
Government subsidies have a certain promoting effect on enterprise zero-carbon transition but are less significant. Compared to subsidy policies, punitive mechanisms more effectively drive shipping companies’ zero-carbon transition. Thus, the government should establish a systematic reward and punishment mechanism, appropriately increase the upper limit of penalties, and keep subsidies within a reasonable range to promote proactive zero-carbon transition by enterprises while controlling costs effectively.

6.2. Policy Implications

Policies gradually improve the carbon trading market. The carbon trading price is a crucial signal guiding enterprise energy-saving zero-carbon transition decisions and investment behavior. The government, as the “visible hand” in the market, needs to balance the total supply and demand of carbon emission rights and set carbon emission totals and enterprise quotas reasonably, so the market-determined carbon price can truly allocate resources and guide enterprises to transition rationally based on carbon prices.
The government reward and punishment policies should be adjusted in a timely manner according to enterprise zero-carbon transition behavior. Although it is challenging for the government to obtain complete information on enterprise zero-carbon transitions and formulate real-time policies based on the dynamic punishment mechanism, under a static punishment mechanism, neither enterprise nor government behavior can achieve stable equilibrium. Therefore, the government should closely monitor enterprise zero-carbon transition behavior and adjust policies as necessary when noticeable changes occur to enhance policy effectiveness and guide enterprises to transition actively.
Policies also effectively reduce government regulatory costs and enterprise transition costs. This can be achieved by establishing comprehensive information disclosure systems; enhancing the professionalism of regulatory personnel; and encouraging joint efforts among enterprises, local governments, and research institutions to tackle key zero-carbon transition technologies and phase out outdated capacities, thereby reducing enterprise zero-carbon transition costs.
Moreover, policies refine legal provisions. Management departments should clearly define detailed regulations for different types of enterprise violations, including specific punishment methods, conditions, and intensities. This will help control and constrain enterprise violations through the authority of the law.

6.3. Prospects

Currently, only a portion of real data is collected for case analysis. Future research can gather more comprehensive case data to achieve more systematic conclusions.
This study focuses on the impact of static and dynamic reward and punishment mechanisms on the evolutionary game trajectories of the government and shipping enterprises. Future discussions can also explore the simultaneous consideration of static and dynamic subsidies and penalties on these trajectories.
Analyzing the effects of subsidies and penalties on the evolutionary equilibrium strategies of the government and shipping enterprises is theoretically challenging, and proving these effects could become a key focus of subsequent research.

Author Contributions

Formal analysis, methodology, and writing—original draft, Z.H., M.J. and J.L.; project administration, funding acquisition, review, investigation, W.F., D.W. and Y.Y. All authors have read and agreed to the published version of the manuscript.

Funding

This research was funded by the China COSCO Shipping Corporation Limited Green and Low-Carbon Research Project (2023-2-Z002-01-03), Open Research Project Funding of State Key Laboratory of Maritime Technology and Safety(QZ2022-Z004), and the National Natural Science Foundation of China (71971035).

Institutional Review Board Statement

Not applicable.

Informed Consent Statement

Informed consent was obtained from all subjects involved in the study.

Data Availability Statement

The data are contained within the article.

Conflicts of Interest

Authors Dan Wang and Yilin Yang were employed by the company Shanghai Research Institute of Shipping. The remaining authors declare that the research was conducted in the absence of any commercial or financial relationships that could be construed as a potential conflict of interest.

Correction Statement

This article has been republished with a minor correction to the Funding statement and to resolve spelling and grammatical errors. This change does not affect the scientific content of the article.

References

  1. Sepehri, A.; Sarrafzadeh, M.-H. Activity enhancement of ammonia-oxidizing bacteria and nitrite-oxidizing bacteria in activated sludge process: Metabolite reduction and CO2 mitigation intensification process. Appl. Water Sci. 2019, 9, 131. [Google Scholar] [CrossRef]
  2. Wang, Y.J. Research on Allocation Mechanism of Carbon Emission Quotas Based on Carbon Intensity Targets. Master’s Dissertation, Xi’an University of Technology, Xi’an, China, 2024. [Google Scholar]
  3. Zhou, J.; Zhao, Y.; Wu, C.; Xiao, G. Research on Selective Technological Innovation under Green Growth. J. Manag. Sci. China 2018, 21, 61–73. [Google Scholar]
  4. Wang, M.; Liu, Y.; Yang, W. Study on the Evolutionary Game of Regional Cooperation in Emission Reduction under Environmental Regulation. Chin. J. Manag. Sci. 2019, 27, 158–169. [Google Scholar]
  5. Xiao, G.; Xu, L. Challenges and Opportunities of Maritime Transport in the Post-Epidemic Era. J. Mar. Sci. Eng. 2024, 12, 1685. [Google Scholar] [CrossRef]
  6. Xie, N. Research on Container Liner Scheduling Optimization under Carbon Tax and Carbon Trading Mechanisms. Master’s Dissertation, Xiamen University, Xiamen, China, 2023. [Google Scholar]
  7. Chen, X.Q.; Zheng, J.B.; Li, C.F.; Wu, B.; Wu, H.F.; Montewka, J. Maritime traffic situation awareness analysis via high-fidelity ship imaging trajectory. Multimed. Tools Appl. 2024, 83, 48907–48923. [Google Scholar] [CrossRef]
  8. Zhang, L.; Zhang, Z. Dynamic analysis of the decision of authorized remanufacturing supply chain affected by government subsidies under cap-and-trade policies. Chaos Solitons Fractals 2022, 160, 112237. [Google Scholar] [CrossRef]
  9. Zhang, Z.Y.; Yu, L.Y. Altruistic mode selection and coordination in a low-carbon closed-loop supply chain under the government’s compound subsidy: A differential game analysis. J. Clean. Prod. 2022, 366, 132863. [Google Scholar] [CrossRef]
  10. Alegoz, M.; Kaya, O.; Bayindir, Z.P. A comparison of pure manufacturing and hybrid manufacturing–remanufacturing systems under carbon tax policy. Eur. J. Oper. Res. 2021, 294, 161–173. [Google Scholar] [CrossRef]
  11. Zhang, B.; Xu, L. Multi-item production planning with carbon cap and trade mechanism. Int. J. Prod. Econ. 2013, 144, 118–127. [Google Scholar] [CrossRef]
  12. Wang, X.; Sethi, S.P.; Chang, S. Pollution abatement using cap-and-trade in a dynamic supply chain and its coordination. Transp. Res. Part E Logist. Transp. Rev. 2022, 158, 102592. [Google Scholar] [CrossRef]
  13. Xu, X.; He, P.; Xu, H.; Zhang, Q. Supply chain coordination with green technology under cap-and-trade regulation. Int. J. Prod. Econ. 2017, 183, 433–442. [Google Scholar] [CrossRef]
  14. Rao, W.Z.; Zhou, L.C.; Ma, X.Y.; Zhu, Q.H. Research on Dual Low-carbon Incentive Strategies for Collaborative Distribution Based on Platforms under the Background of Carbon Trading. Chin. J. Manag. Sci. 2022, 1–18. [Google Scholar] [CrossRef]
  15. Zhang, L.; Xue, L.; Zhou, Y. How do low-carbon policies promote green diffusion among alliance-based firms in China? An evolutionary-game model of complex networks. J. Clean. Prod. 2019, 210, 518–529. [Google Scholar] [CrossRef]
  16. Tsai, W.-H.; Lu, Y.-H.; Hsieh, C.-L. Comparison of production decision-making models under carbon tax and carbon rights trading. J. Clean. Prod. 2022, 379, 134462. [Google Scholar] [CrossRef]
  17. Zhou, G.; Yang, S.; Chen, T.; Chan, P.; DU, Y. Effect of dual-task interference on the hand flexibility of patients with Parkinson’s disease carrying the leucine-rich repeat kinase 2 gene mutation. Exp. Ther. Med. 2013, 6, 1469–1474. [Google Scholar] [CrossRef] [PubMed]
  18. Yenipazarli, A. Managing new and remanufactured products to mitigate environmental damage under emissions regulation. Eur. J. Oper. Res. 2016, 249, 117–130. [Google Scholar] [CrossRef]
  19. Groot, L. Carbon Lorenz curves. Resour. Energy Econ. 2010, 32, 45–64. [Google Scholar] [CrossRef]
  20. Liu, H.J.; Zhao, H. Regional Disparities in Carbon Dioxide Emission Intensity in China. Stat. Res. 2012, 29, 46–50. [Google Scholar]
  21. Liu, X.; Wang, Z.; Deng, J.X. Optimal Control Rate of Regional Emission Reduction under Quota Target Constraints. Acta Ecol. Sin. 2016, 36, 1380–1390. [Google Scholar]
  22. Zhong, Z.Q.; Zhang, X.; He, L.Y.; Chen, B.W. Regional Carbon Emission Transfer, Implicit Carbon Structure of Trade, and Collaborative Emission Reduction: An Empirical Analysis from 30 Provinces in China. Int. Trade Issues 2018, 6, 94–104. [Google Scholar]
  23. Pan, F.; Xi, B.; Wang, L. Analysis of Evolutionary Game between Local Government and Central Government in Environmental Regulation. Oper. Res. Manag. Sci. 2015, 24, 88–93+204. [Google Scholar]
  24. Zhao, D.; Ji, S.-F.; Wang, H.-P.; Jiang, L.-W. How do government subsidies promote new energy vehicle diffusion in the complex network context? A three-stage evolutionary game model. Energy 2021, 230, 120899. [Google Scholar] [CrossRef] [PubMed]
  25. Hong, I.-H.; Chen, P.-C.; Yu, H.-T. The effects of government subsidies on decentralised reverse supply chains. Int. J. Prod. Res. 2016, 54, 3962–3977. [Google Scholar] [CrossRef]
  26. Wang, Y.X.; Chang, X.Y.; Chen, Z.G.; Zhong, Y.G.; Fan, T.J. Impact of subsidy policies on recycling and remanufacturing using system dynamics methodology: A case of auto parts in China. J. Clean. Prod. 2014, 74, 161–171. [Google Scholar] [CrossRef]
  27. Wang, X.H.; Ren, X.X. Dynamic Evolutionary Game Analysis of Credit Supervision of Platform E-commerce from the Perspective of Government Governance. Chin. J. Manag. Sci. 2021, 29, 29–41. [Google Scholar]
  28. Cai, L.R. Dynamic Analysis and Control Strategies of Environmental Pollution Supervision Game. Ph.D. Dissertation, Huazhong University of Science and Technology, Wuhan, China, 2010. [Google Scholar]
  29. Jin, S.; Zhang, Y.; Meng, Q. Dynamic Analysis of Corporate Environmental Compliance Behavior under Dynamic Penalty Mechanism. J. Syst. Sci. Syst. Eng. 2017, 26, 1122–1130. [Google Scholar]
  30. Shi, F.L. Research on Multi-party Dynamic Game Mechanism under Corporate Emission Reduction Background. Ph.D. Dissertation, Capital University of Economics and Business, Beijing, China, 2023. [Google Scholar]
  31. Chen, X.H.; Wang, Y.; Li, X.H. Stability Analysis of Evolution of Regional Enterprise Green Technology Transition Strategy under Environmental Regulation. Syst. Eng. Theory Pract. 2021, 41, 1732–1749. [Google Scholar]
  32. Wang, M.X.; Bao, Q.; Tang, L.; Wang, S.Y. Optimal Emission Reduction Investment Behavior of Enterprises under Carbon Emission Constraints. J. Manag. Sci. China 2015, 18, 41–57. [Google Scholar]
  33. Wang, Q.M.; Han, Q.X.; Yang, C. Government Subsidies and Corporate Behavior in Strategic Emerging Industries: A Dynamic Game Analysis Perspective under Government Regulation. Stud. Financ. Econ. 2014, 40, 43–53. [Google Scholar]
  34. Luo, H.; Wang, C.S.; Shi, F.L. Game Analysis of Food Safety Production Regulation under Dynamic Penalty Mechanism Based on System Dynamics. J. Saf. Environ. 2022, 2, 2660–2667. [Google Scholar]
  35. Jiao, J.; Chen, J.; Li, L.; Li, F. Evolutionary Game Analysis of Local Government and Enterprise Behavior under Carbon Emission Reduction Reward and Penalty Mechanisms. China Manag. Sci. 2017, 25, 140–150. [Google Scholar]
  36. Xing, H. Research on Quantification of Ship Exhaust Emissions. Ph.D. Thesis, Dalian Maritime University, Dalian, China, 2017. [Google Scholar]
  37. Wang, W.G.; Wang, X.L. Analysis on Energy Conservation and Emission Reduction Policies of High Energy-consuming Enterprises in China Based on Evolutionary Game Theory. Stud. Financ. Econ. Issues 2012, 4, 75–82. [Google Scholar]
Figure 1. The framework of this study.
Figure 1. The framework of this study.
Sustainability 16 10684 g001
Figure 2. Evolutionary simulation trends of the system under the conditions of Scenario 2 (The lines of different colors represent different initial states of evolution).
Figure 2. Evolutionary simulation trends of the system under the conditions of Scenario 2 (The lines of different colors represent different initial states of evolution).
Sustainability 16 10684 g002
Figure 3. Evolutionary paths of different government and shipping company strategies under the dynamic penalty mechanism (The lines of different colors represent different initial states of evolution).
Figure 3. Evolutionary paths of different government and shipping company strategies under the dynamic penalty mechanism (The lines of different colors represent different initial states of evolution).
Sustainability 16 10684 g003
Figure 4. (a) Evolutionary path of shipping company strategies under dynamic penalty mechanisms with different regulatory costs: (b) evolutionary path of government strategies under dynamic penalty mechanisms with different regulatory costs.
Figure 4. (a) Evolutionary path of shipping company strategies under dynamic penalty mechanisms with different regulatory costs: (b) evolutionary path of government strategies under dynamic penalty mechanisms with different regulatory costs.
Sustainability 16 10684 g004
Figure 5. (a) Evolutionary path of shipping companies’ zero-carbon transition strategies under dynamic penalty mechanisms with different levels of emission reduction intensity and (b) evolutionary path of governments’ strategies under dynamic penalty mechanisms with different levels of emission reduction intensity.
Figure 5. (a) Evolutionary path of shipping companies’ zero-carbon transition strategies under dynamic penalty mechanisms with different levels of emission reduction intensity and (b) evolutionary path of governments’ strategies under dynamic penalty mechanisms with different levels of emission reduction intensity.
Sustainability 16 10684 g005
Figure 6. Evolutionary path of government regulatory strategies under dynamic penalty mechanisms with different carbon trading prices.
Figure 6. Evolutionary path of government regulatory strategies under dynamic penalty mechanisms with different carbon trading prices.
Sustainability 16 10684 g006
Figure 7. Evolutionary path of government regulatory strategies under dynamic penalty mechanisms with different zero-carbon transition outcomes.
Figure 7. Evolutionary path of government regulatory strategies under dynamic penalty mechanisms with different zero-carbon transition outcomes.
Sustainability 16 10684 g007
Figure 8. Evolutionary path of shipping companies’ zero-carbon transition strategies under dynamic penalty mechanisms with different penalty reduction caps.
Figure 8. Evolutionary path of shipping companies’ zero-carbon transition strategies under dynamic penalty mechanisms with different penalty reduction caps.
Sustainability 16 10684 g008
Figure 9. Evolutionary path of shipping companies’ zero-carbon transition strategies under dynamic penalty mechanisms with different subsidy levels.
Figure 9. Evolutionary path of shipping companies’ zero-carbon transition strategies under dynamic penalty mechanisms with different subsidy levels.
Sustainability 16 10684 g009
Table 1. Review of the current status of regulation-driven zero-carbon transition research.
Table 1. Review of the current status of regulation-driven zero-carbon transition research.
The Impact of the Carbon Quota MechanismThe Impact of the Subsidy MechanismThe Impact of the Static Punishment MechanismThe Impact of the Dynamic Punishment MechanismDesign of Combined Subsidy and Dynamic Punishment Policies
Zhang et al. (2019) [15] and Pan et al. (2015) [23]
Yenipazarli (2016) [18]
Zhao et al. (2021) [24] and Hong et al. (2016) [25]
Wang and Ren (2021) [27]
Cai (2010) [28]
Jin et al. (2017) [29]
This paper
Table 2. Relevant polices covered in this paper.
Table 2. Relevant polices covered in this paper.
Policy CategoriesPolicy Content
Carbon Emission Trading MechanismThe “carbon emission trading mechanism” is a system where companies are allocated a certain number of carbon emission permits or allowances. These companies can trade allowances with each other, providing a financial incentive to reduce emissions. The goal is to cap overall emissions while allowing market flexibility for companies to achieve reductions cost-effectively.
Government SubsidyA “government subsidy” is a financial aid or support provided by the government to individuals, businesses, or sectors to promote certain activities, lower costs, or encourage economic growth. Subsidies can take various forms, such as direct cash payments, tax breaks, or price supports. They are often used to address market failures, support industries, or achieve social and economic goals.
Static Penalty MechanismA “static penalty mechanism” is a system where penalties for non-compliance or undesirable behavior are fixed and do not change over time. In this mechanism, the penalty amount remains constant regardless of when the infraction occurs or how many infractions happen. This approach contrasts with dynamic systems, where penalties might vary based on circumstances or over time. Static penalty mechanisms are used to ensure predictable and stable enforcement of rules or regulations.
Dynamic Penalty MechanismA “dynamic penalty mechanism” is a system where penalties for non-compliance or undesirable behavior vary based on certain factors or conditions. Unlike static penalty mechanisms, where penalties remain fixed, dynamic mechanisms adjust the penalty amount in response to changes over time, the severity of the infraction, or the frequency of violations. This approach allows for more flexible and responsive enforcement, adapting to different situations or behaviors to better address compliance issues and incentivize desired outcomes.
BenchmarkingThe benchmarking method is based on the principle of “one product is equal to one baseline”, whereby the government determines the value of carbon emissions per unit product based on the carbon emission data of the product. And, the carbon allowance obtained by the OEM is equal to the product of the production volume of the new product and the baseline; the basic line does not represent the emission limitation or the emission reduction target. And, it is only used for the calculation of the value of the free allocation of a single product, which is much more difficult to achieve compared with the grandfathering method, and it has a higher demand for the carbon emission data of the product.
Table 3. Model parameters and their meanings.
Table 3. Model parameters and their meanings.
Parameter/VariableMeanings
V c , V d Market benefits corresponding to shipping companies’ zero-carbon transition and non-transition behaviors, V c V d = ε e [33] (Wang, 2014).
ε Proportional coefficient.
E Environmental benefits to the government from the shipping company’s transition.
e The carbon emission allowances provided free of charge by the government to shipping companies within its jurisdiction.
Q c , Q d The carbon emissions associated with shipping companies choosing to undergo zero-carbon transition versus those choosing not to undergo zero-carbon transition.
C c , C d The costs incurred by shipping companies for choosing to undergo zero-carbon transition versus not undergoing zero-carbon transition.
C s , C l The regulatory costs incurred by the government under its “strict regulation” and “non-strict regulation” scenarios.
p Carbon trading price.
u Zero-carbon transition technology emission reduction effect parameter.
k Emission reduction intensity, indicating the regulatory intensity on the company’s zero-carbon transition.
M Subsidies paid by the government to shipping companies that undergo a zero-carbon transition.
W When a shipping company “does not prioritize” zero-carbon transition and the government enforces “strict regulation”, the company’s poor behavior can be detected, and a penalty is imposed on the shipping company.
W m Penalty cap.
Table 4. Profit and loss matrix for the government and shipping companies.
Table 4. Profit and loss matrix for the government and shipping companies.
Game Players and StrategiesStrict Regulation by Governments S
(y)
Lenient Regulation by Governments L
(1 − y)
shipping companies undergo a zero-carbon transition C
x
C c + ( e Q c ) p + M + V c ,
C s M + E
C c + e Q c p + k M + V c ,
C l k M + E
shipping companies do not undergo a zero-carbon transition D
(1x)
C d ( Q d e ) p W + V d ,
C s + W
C d Q d e p + V d ,
C l
Table 5. Analysis of the system’s Jacobian determinant.
Table 5. Analysis of the system’s Jacobian determinant.
Equilibrium Point The Expression
A 0,0 J C d C c + p Q d Q c + k M + V c V d C l C s + W
t r J C d C c + p Q d Q c + k M + V c V d + C l C s + W
B 0,1 J C d C c + p Q d Q c + M + W + V c V d . 1 . C l C s + W
t r J C d C c + p Q d Q c + M + W + V c V d C l C s + W
C 1,0 J C d C c + p Q d Q c + k M + V c V d C s C l + 1 k M
t r J C d C c + p Q d Q c + k M + V c V d C s C l + 1 k M
D 1,1 J 1 C d C c + p Q d Q c + M + W + V c V d C s C l + 1 k M
t r J C d C c + p Q d Q c + M + W + V c V d + C s C l + 1 k M
E x * , y * J C l C s + W C d C c + p Q d Q c + k M + V c V d · C s C l + 1 k M C d C c + p Q d Q c + M + W + V c V d W + 1 k M 2
t r J 0
Table 6. Four possible scenarios.
Table 6. Four possible scenarios.
ScenarioCorresponding Conditions
Scenario 1 L 1 > 0 ,     L 2 > 0
Scenario 2 L 1 > 0 ,   L 2 < 0
Scenario 3 L 1 < 0 ,   L 2 > 0
Scenario 4 L 1 < 0 ,   L 2 < 0
Table 7. Stability analysis of equilibrium points (Scenarios 1–4).
Table 7. Stability analysis of equilibrium points (Scenarios 1–4).
Equilibrium PointsScenario 1Scenario 2Scenario 3Scenario 4
J t r J Stability J t r J Stability J t r J Stability J t r J Stability
A 0,0 + + Unstable ± Saddle point ± Saddle point + ESS
B 0,1 ± Saddle point ± Saddle point + + Unstable + + Unstable
C 1,0 + ESS ± Saddle point + ESS ± Saddle point
D 1,1 ± Saddle point ± Unstable ± Saddle point ± Saddle point
E x * , y * 0Center point + 0Center point + 0Center point 0Center point
Table 8. Payoff matrix for both players under the dynamic penalty mechanism.
Table 8. Payoff matrix for both players under the dynamic penalty mechanism.
Game Players and StrategiesStrict Regulation by Governments S
y
Lenient Regulation by Governments L
1 y
shipping companies undergo a zero-carbon transition C
x
C c + ( e Q c ) p + M + V c , C s M + E C c + e Q c p + k M + V c , C l k M + E
shipping companies don’t undergo a zero-carbon transition D
(1x)
C d Q d e p W + V d , C s + W x C d Q d e p + V d , C l
Table 9. Stability analysis of equilibrium points under the dynamic penalty mechanism.
Table 9. Stability analysis of equilibrium points under the dynamic penalty mechanism.
ScenarioConditionsEquilibrium Point J t r J Results
Scenario 2 L 1 > 0 , L 2 < 0 A 0,0 ± Saddle point
B 0,1 ± Saddle point
C 1,0 + Saddle point
D 1,1 ± Saddle point
E x * , y * + -ESS
Table 10. Parameter values.
Table 10. Parameter values.
Parameter e p u k C d C s W m M ε
Values100200.30.5116370300.5
Disclaimer/Publisher’s Note: The statements, opinions and data contained in all publications are solely those of the individual author(s) and contributor(s) and not of MDPI and/or the editor(s). MDPI and/or the editor(s) disclaim responsibility for any injury to people or property resulting from any ideas, methods, instructions or products referred to in the content.

Share and Cite

MDPI and ACS Style

He, Z.; Wang, D.; Li, J.; Fang, W.; Yang, Y.; Ji, M. An Evolutionary Stability Study of Zero-Carbon Transition for Shipping Enterprises Considering Dynamic Penalty and Carbon Quota Trading Mechanisms. Sustainability 2024, 16, 10684. https://doi.org/10.3390/su162310684

AMA Style

He Z, Wang D, Li J, Fang W, Yang Y, Ji M. An Evolutionary Stability Study of Zero-Carbon Transition for Shipping Enterprises Considering Dynamic Penalty and Carbon Quota Trading Mechanisms. Sustainability. 2024; 16(23):10684. https://doi.org/10.3390/su162310684

Chicago/Turabian Style

He, Zhibo, Dan Wang, Jiawei Li, Wanwei Fang, Yilin Yang, and Mingjun Ji. 2024. "An Evolutionary Stability Study of Zero-Carbon Transition for Shipping Enterprises Considering Dynamic Penalty and Carbon Quota Trading Mechanisms" Sustainability 16, no. 23: 10684. https://doi.org/10.3390/su162310684

APA Style

He, Z., Wang, D., Li, J., Fang, W., Yang, Y., & Ji, M. (2024). An Evolutionary Stability Study of Zero-Carbon Transition for Shipping Enterprises Considering Dynamic Penalty and Carbon Quota Trading Mechanisms. Sustainability, 16(23), 10684. https://doi.org/10.3390/su162310684

Note that from the first issue of 2016, this journal uses article numbers instead of page numbers. See further details here.

Article Metrics

Back to TopTop