Towards Sustainable Material Design: A Comparative Analysis of Latent Space Representations in AI Models
Abstract
1. Introduction
2. Methods
2.1. Data Collection and Preprocessing
2.2. SMILES Data Representation
2.3. Data Splitting
2.4. Encoder–Decoder Model for Fingerprint Generation
2.5. Fingerprints from Task-Specific Neural Network
2.6. Generation of Morgan Fingerprints
2.7. Comparative Analysis of Latent Spaces
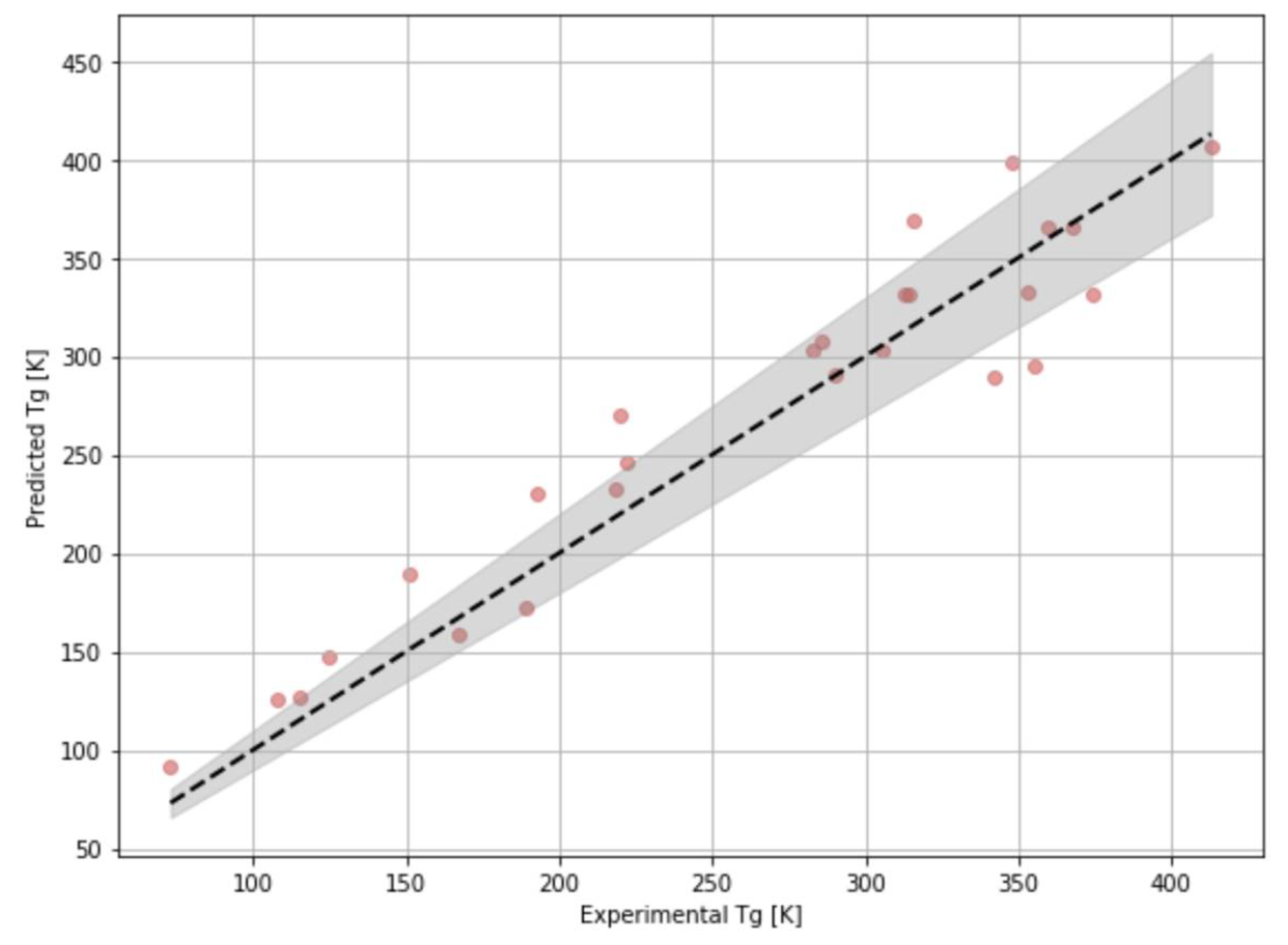
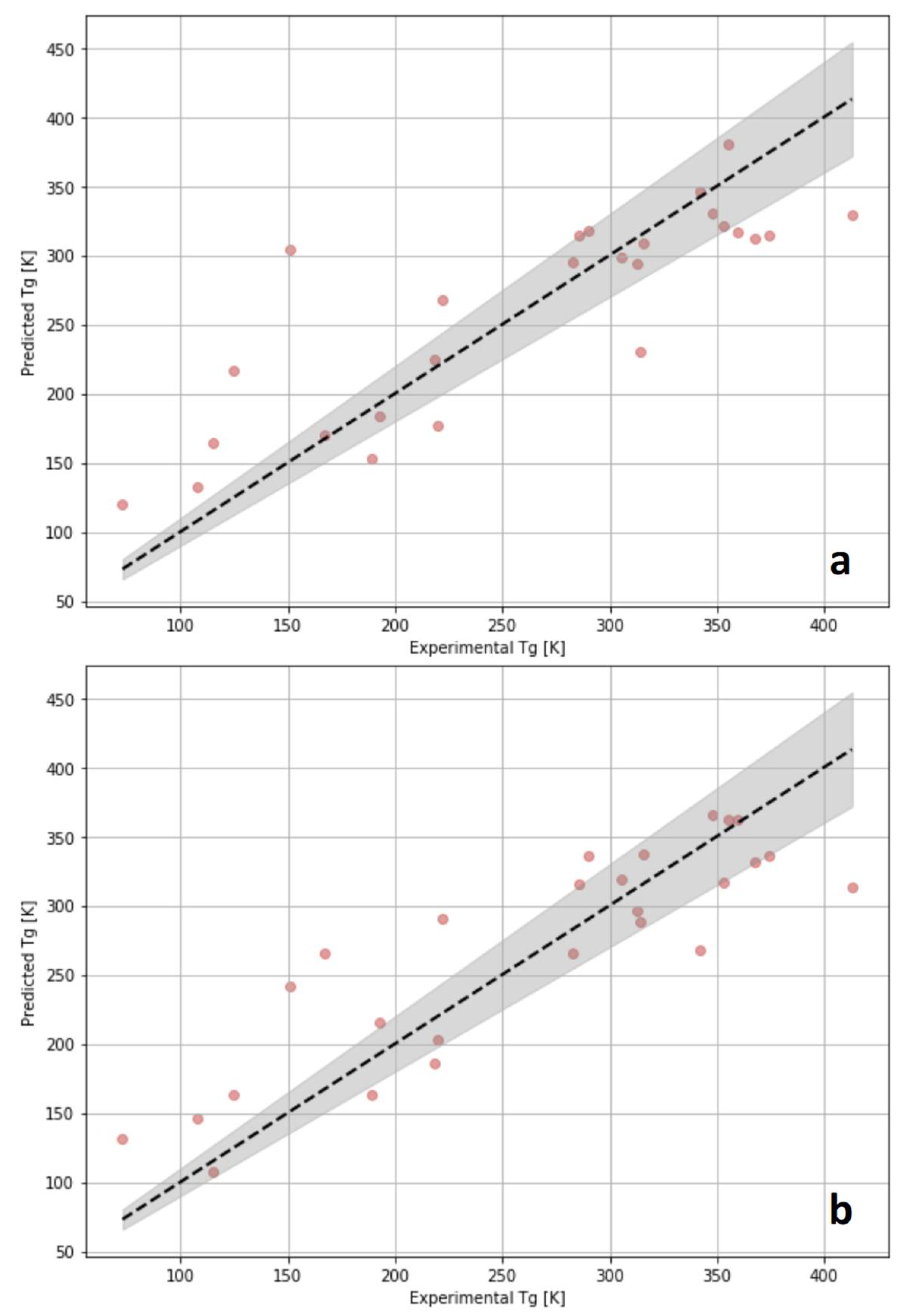
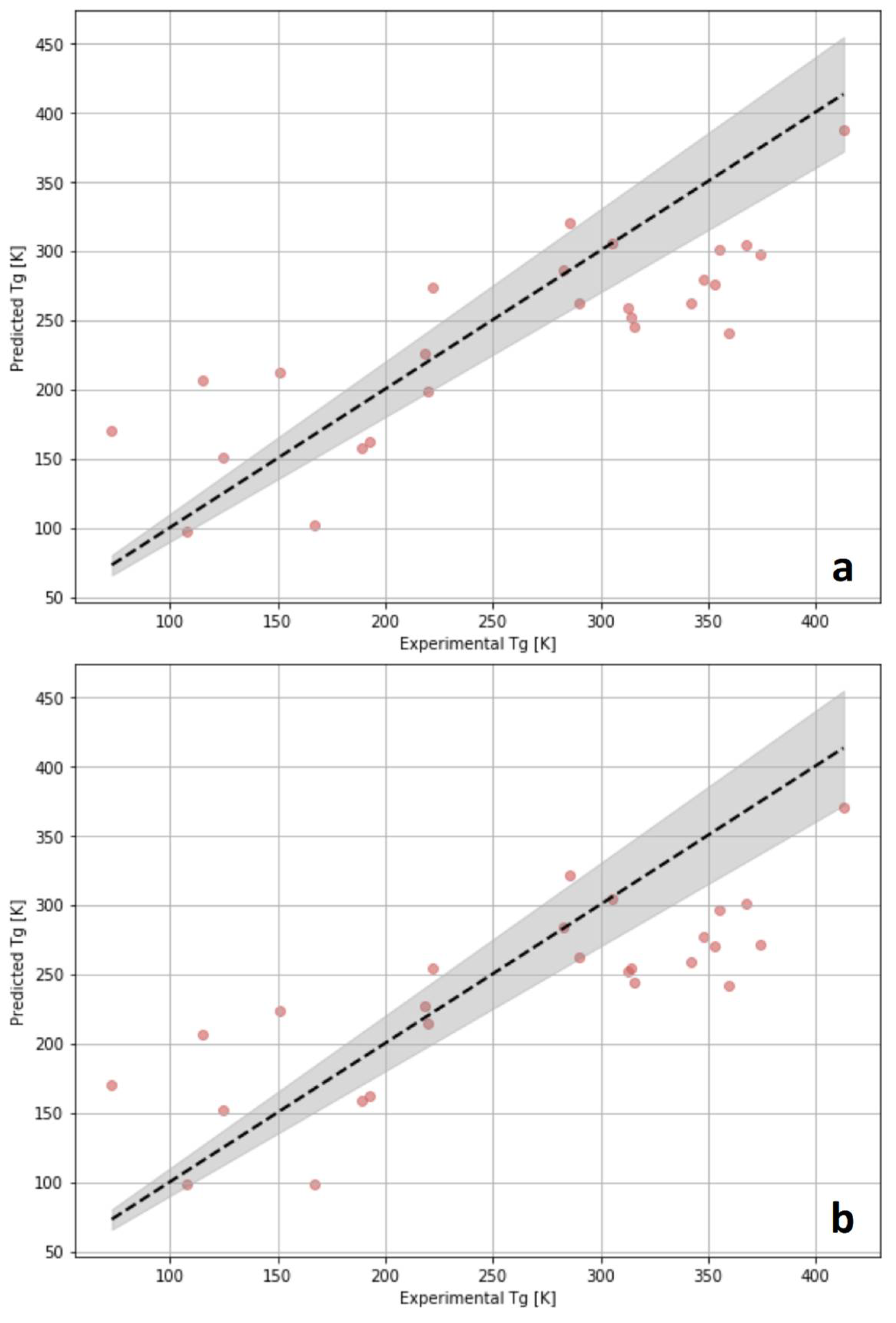
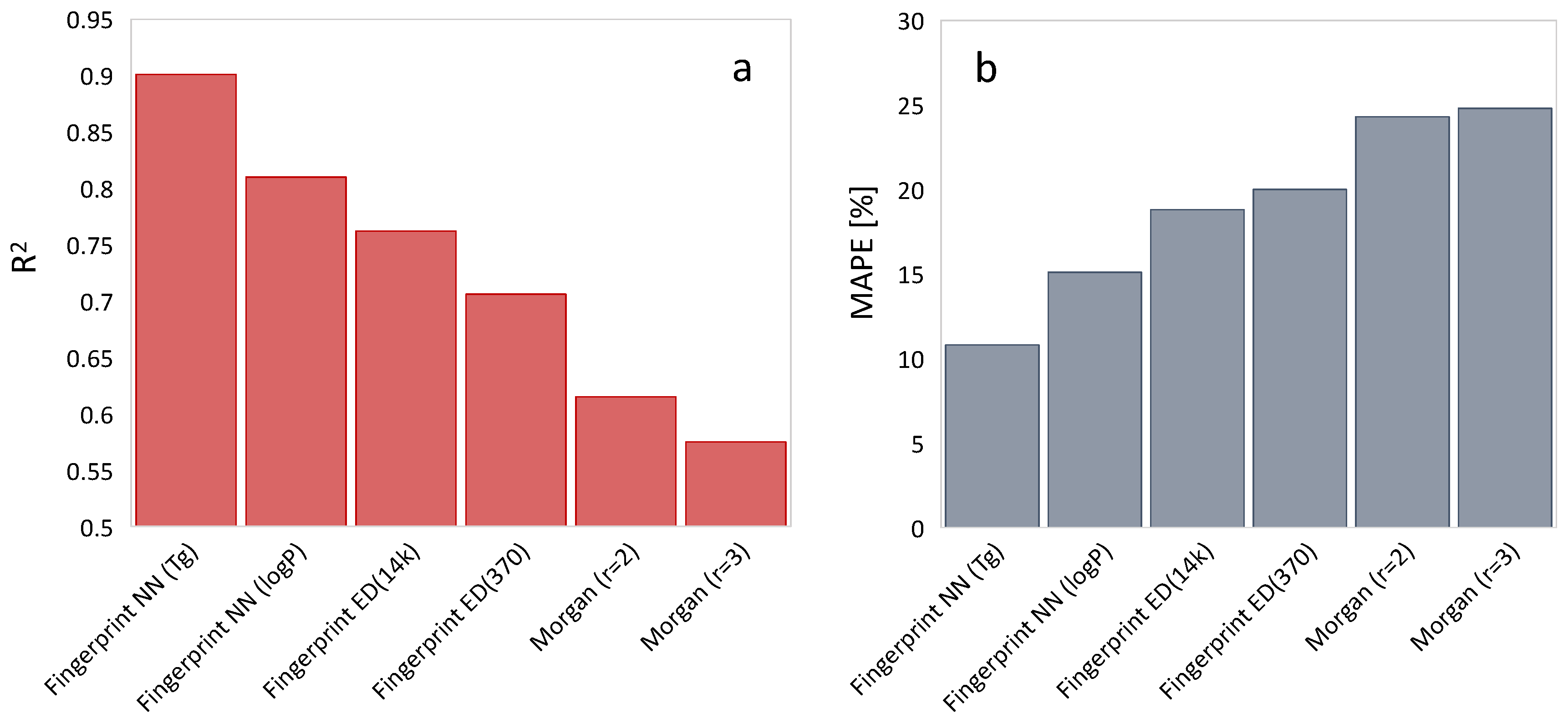
3. Results and Discussion
4. Conclusions
Supplementary Materials
Author Contributions
Funding
Institutional Review Board Statement
Informed Consent Statement
Data Availability Statement
Acknowledgments
Conflicts of Interest
References
- Mekonnen, M.M.; Hoekstra, A.Y. Sustainability: Four Billion People Facing Severe Water Scarcity. Sci. Adv. 2016, 2, 2–7. [Google Scholar] [CrossRef] [PubMed]
- Mitra, S.; Chakraborty, A.J.; Tareq, A.M.; Emran, T.B.; Nainu, F.; Khusro, A.; Idris, A.M.; Khandaker, M.U.; Osman, H.; Alhumaydhi, F.A.; et al. Impact of Heavy Metals on the Environment and Human Health: Novel Therapeutic Insights to Counter the Toxicity. J. King Saud Univ.-Sci. 2022, 34, 101865. [Google Scholar] [CrossRef]
- Carvalho, I.T.; Santos, L. Antibiotics in the Aquatic Environments: A Review of the European Scenario. Environ. Int. 2016, 94, 736–757. [Google Scholar] [CrossRef] [PubMed]
- Syafrudin, M.; Kristanti, R.A.; Yuniarto, A.; Hadibarata, T.; Rhee, J.; Al-Onazi, W.A.; Algarni, T.S.; Almarri, A.H.; Al-Mohaimeed, A.M. Pesticides in Drinking Water—A Review. Int. J. Environ. Res. Public Health 2021, 18, 468. [Google Scholar] [CrossRef] [PubMed]
- Tang, X.; Zheng, H.; Teng, H.; Sun, Y.; Guo, J.; Xie, W.; Yang, Q.; Chen, W. Chemical Coagulation Process for the Removal of Heavy Metals from Water: A Review. Desalin. Water Treat. 2016, 57, 1733–1748. [Google Scholar] [CrossRef]
- Wang, R.; Liang, R.; Dai, T.; Chen, J.; Shuai, X.; Liu, C. Pectin-Based Adsorbents for Heavy Metal Ions: A Review. Trends Food Sci. Technol. 2019, 91, 319–329. [Google Scholar] [CrossRef]
- Othman, N.H.; Alias, N.H.; Fuzil, N.S.; Marpani, F.; Shahruddin, M.Z.; Chew, C.M.; Ng, K.M.D.; Lau, W.J.; Ismail, A.F. A Review on the Use of Membrane Technology Systems in Developing Countries. Membranes 2022, 12, 30. [Google Scholar] [CrossRef]
- Loeb, S.K.; Alvarez, P.J.J.; Brame, J.A.; Cates, E.L.; Choi, W.; Crittenden, J.; Dionysiou, D.D.; Li, Q.; Li-Puma, G.; Quan, X.; et al. The Technology Horizon for Photocatalytic Water Treatment: Sunrise or Sunset? Environ. Sci. Technol. 2019, 53, 2937–2947. [Google Scholar] [CrossRef]
- Gielen, D.; Boshell, F.; Saygin, D.; Bazilian, M.D.; Wagner, N.; Gorini, R. The Role of Renewable Energy in the Global Energy Transformation. Energy Strateg. Rev. 2019, 24, 38–50. [Google Scholar] [CrossRef]
- Ang, T.-Z.; Salem, M.; Kamarol, M.; Das, H.S.; Nazari, M.A.; Prabaharan, N. A Comprehensive Study of Renewable Energy Sources: Classifications, Challenges and Suggestions. Energy Strateg. Rev. 2022, 43, 100939. [Google Scholar] [CrossRef]
- Podara, C.; Termine, S.; Modestou, M.; Semitekolos, D.; Tsirogiannis, C.; Karamitrou, M.; Trompeta, A.-F.; Milickovic, T.K.; Charitidis, C. Recent Trends of Recycling and Upcycling of Polymers and Composites: A Comprehensive Review. Recycling 2024, 9, 37. [Google Scholar] [CrossRef]
- Wang, Y.; Li, A.; Zhang, S.; Guo, B.; Niu, D. A Review on New Methods of Recycling Waste Carbon Fiber and Its Application in Construction and Industry. Constr. Build. Mater. 2023, 367, 130301. [Google Scholar] [CrossRef]
- Spini, F.; Bettini, P. End-of-Life Wind Turbine Blades: Review on Recycling Strategies. Compos. Part B-Eng. 2024, 275, 111290. [Google Scholar] [CrossRef]
- Zhang, H.; Cui, J.; Hu, G.; Zhang, B. Recycling Strategies for Vitrimers. Int. J. Smart Nano Mater. 2022, 13, 367–390. [Google Scholar] [CrossRef]
- Yue, L.; Bonab, V.S.; Yuan, D.; Patel, A.; Karimkhani, V.; Manas-Zloczower, I. Vitrimerization: A Novel Concept to Reprocess and Recycle Thermoset Waste via Dynamic Chemistry. Glob. Chall. 2019, 3, 1800076. [Google Scholar] [CrossRef]
- Kummali, M.M.; Alegría, A.; Miccio, L.A.; Colmenero, J. Study of the Dynamic Heterogeneity in Poly(Ethylene-Ran-Vinyl Acetate) Copolymer by Using Broadband Dielectric Spectroscopy and Electrostatic Force Microscopy. Macromolecules 2013, 46, 7502–7512. [Google Scholar] [CrossRef]
- Dta, B.; Nakamura, K. Determination of Bound Water Content in Polymers BY DTA, DSC and TG. Thermochim. Acta 1988, 123, 153–161. [Google Scholar]
- Jinitha, T.V.; Safna Hussan, K.P.; Mohamed Shahin, T.; Purushothaman, E. The Interplay between the Fragility and Mechanical Properties of Styrene–Butadiene Rubber Composites with Unmodified and Modified Sago Seed Shell Powder. J. Appl. Polym. Sci. 2020, 137, 49180. [Google Scholar] [CrossRef]
- Wang, H.; Zhang, X.; Nie, H.; Wang, R.; He, A. Multi-Block Copolymer as Reactive Multifunctional Compatibilizer for NR/BR Blends with Desired Network Structures and Dynamical Properties: Compatibility, Co-Vulcanization and Filler Dispersion. Compos. Part A Appl. Sci. Manuf. 2019, 116, 197–205. [Google Scholar] [CrossRef]
- Kremer, F.; Schönhals, A. Broadband Dielectric Spectroscopy, 3rd ed.; Springer-Verlag: Berlin/Heidelberg, Germany, 2003; ISBN 9783540434078. [Google Scholar]
- Kim, B.; Lee, S.; Kim, J. Inverse Design of Porous Materials Using Artificial Neural Networks. Sci. Adv. 2020, 6, eaax9324. [Google Scholar] [CrossRef]
- Sigmund, G.; Gharasoo, M.; Hüffer, T.; Hofmann, T. Deep Learning Neural Network Approach for Predicting the Sorption of Ionizable and Polar Organic Pollutants to a Wide Range of Carbonaceous Materials. Environ. Sci. Technol. 2020, 54, 4583–4591. [Google Scholar] [CrossRef] [PubMed]
- Zhu, X.; He, M.; Sun, Y.; Xu, Z.; Wan, Z.; Hou, D.; Alessi, D.S.; Tsang, D.C.W. Insights into the Adsorption of Pharmaceuticals and Personal Care Products (PPCPs) on Biochar and Activated Carbon with the Aid of Machine Learning. J. Hazard. Mater. 2022, 423, 127060. [Google Scholar] [CrossRef] [PubMed]
- Zhu, X.; Wan, Z.; Tsang, D.C.W.; He, M.; Hou, D.; Su, Z.; Shang, J. Machine Learning for the Selection of Carbon-Based Materials for Tetracycline and Sulfamethoxazole Adsorption. Chem. Eng. J. 2021, 406, 126782. [Google Scholar] [CrossRef]
- Weininger, D. SMILES, a Chemical Language and Information System: 1: Introduction to Methodology and Encoding Rules. J. Chem. Inf. Comput. Sci. 1988, 28, 31–36. [Google Scholar] [CrossRef]
- O’Boyle, N.M. Towards a Universal SMILES Representation—A Standard Method to Generate Canonical SMILES Based on the InChI. J. Cheminform. 2012, 4, 22. [Google Scholar] [CrossRef]
- Miccio, L.A.; Borredon, C.; Casado, U.; Phan, A.D.; Schwartz, G.A. Approaching Polymer Dynamics Combining Artificial Neural Networks and Elastically Collective Nonlinear Langevin Equation. Polymers 2022, 14, 1573. [Google Scholar] [CrossRef] [PubMed]
- Miccio, L.A.; Borredon, C.; Schwartz, G.A. A Glimpse inside Materials: Polymer Structure—Glass Transition Temperature Relationship as Observed by a Trained Artificial Intelligence. Comput. Mater. Sci. 2024, 236, 112863. [Google Scholar] [CrossRef]
- Uddin, M.J.; Fan, J. Interpretable Machine Learning Framework to Predict the Glass Transition Temperature of Polymers. Polymers 2024, 16, 1049. [Google Scholar] [CrossRef]
- Tayyebi, A.; Alshami, A.S.; Rabiei, Z.; Yu, X.; Ismail, N.; Talukder, M.J.; Power, J. Prediction of Organic Compound Aqueous Solubility Using Machine Learning: A Comparison Study of Descriptor-Based and Fingerprints-Based Models. J. Cheminform. 2023, 15, 99. [Google Scholar] [CrossRef]
- Jaeger, S.; Fulle, S.; Turk, S. Mol2vec: Unsupervised Machine Learning Approach with Chemical Intuition. J. Chem. Inf. Model. 2018, 58, 27–35. [Google Scholar] [CrossRef]
- Batra, R.; Tran, H.D.; Kim, C.; Chapman, J.; Chen, L.; Chandrasekaran, A.; Ramprasad, R. General Atomic Neighborhood Fingerprint for Machine Learning-Based Methods. J. Phys. Chem. C 2019, 123, 15859–15866. [Google Scholar] [CrossRef]
- Ma, R.; Liu, Z.; Zhang, Q.; Liu, Z.; Luo, T. Evaluating Polymer Representations via Quantifying Structure–Property Relationships. J. Chem. Inf. Model. 2019, 59, 3110–3119. [Google Scholar] [CrossRef]
- Shen, W.X.; Zeng, X.; Zhu, F.; Wang, Y.L.; Qin, C.; Tan, Y.; Jiang, Y.Y.; Chen, Y.Z. Out-of-the-Box Deep Learning Prediction of Pharmaceutical Properties by Broadly Learned Knowledge-Based Molecular Representations. Nat. Mach. Intell. 2021, 3, 334–343. [Google Scholar] [CrossRef]
- Chang, R.; Wang, Y.X.; Ertekin, E. Towards Overcoming Data Scarcity in Materials Science: Unifying Models and Datasets with a Mixture of Experts Framework. npj Comput. Mater. 2022, 8, 242. [Google Scholar] [CrossRef]
- Borredon, C.; Miccio, L.A.; Schwartz, G.A. Transfer Learning-Driven Artificial Intelligence Model for Glass Transition Temperature Estimation of Molecular Glass Formers Mixtures. Comput. Mater. Sci. 2024, 238, 112931. [Google Scholar] [CrossRef]
- Wang, Q.; Yao, G.; Kong, G.; Wei, L.; Yu, X.; Jianchuan, Z.; Ran, C.; Luo, L. A Data-Driven Model for Predicting Fatigue Performance of High-Strength Steel Wires Based on Optimized XGBOOST. Eng. Fail. Anal. 2024, 164, 108710. [Google Scholar] [CrossRef]
- Plazek, D.J.; Ngai, K.L. The Glass Temperature. In Physical Properties of Polymers Handbook; Mark, J.E., Ed.; Springer New York: New York, NY, USA, 2007; pp. 187–215. ISBN 978-0-387-69002-5. [Google Scholar]
- Wypych, G. Handbook of Polymers, 2nd ed.; Elsevier: Amsterdam, The Netherlands, 2016; ISBN 978-1-895198-92-8. [Google Scholar]
- Leo, A.; Hansch, C.; Elkins, D. Partition Coefficients and Their Uses. Chem. Rev. 1971, 71, 525–616. [Google Scholar] [CrossRef]
- Alshehri, A.S.; Tula, A.K.; You, F.; Gani, R. Next Generation Pure Component Property Estimation Models: With and without Machine Learning Techniques. AIChE J. 2022, 68, e17469. [Google Scholar] [CrossRef]
- Borredon, C.; Miccio, L.A.; Cerveny, S.; Schwartz, G.A. Characterising the Glass Transition Temperature-Structure Relationship through a Recurrent Neural Network. J. Non-Crystalline Solids X 2023, 18, 100185. [Google Scholar] [CrossRef]
- Argatov, I.; Kocherbitov, V. An Empirical Model for Sorption by Glassy Polymers: An Assessment of Thermodynamic Parameters. Polym. Test. 2021, 99, 107220. [Google Scholar] [CrossRef]
- Cangialosi, D. Dynamics and Thermodynamics of Polymer Glasses. J. Phys. Condens. Matter 2014, 26, 153101. [Google Scholar] [CrossRef] [PubMed]
- Xinya, L.; Weiss, R.A. Relationship between the Glass Transition Temperature and the Interaction Parameter of Miscible Binary Polymer Blends. Macromolecules 1992, 25, 3242–3246. [Google Scholar] [CrossRef]
- Bandzierz, K.; Reuvekamp, L.; Dryzek, J.; Dierkes, W.; Blume, A.; Bielinski, D. Influence of Network Structure on Glass Transition Temperature of Elastomers. Materials 2016, 9, 607. [Google Scholar] [CrossRef] [PubMed]
- Schawe, J.E.K. The Influence of Hydrogen Bonds on the Glass Transition in Amorphous Binary Systems. J. Mol. Liq. 2022, 368, 120598. [Google Scholar] [CrossRef]
- Shirai, K. A Thermodynamic Description of the Glass State and the Glass Transition. J. Phys. Commun. 2020, 4, 085015. [Google Scholar] [CrossRef]
- Hochreiter, S.; Schmidhuber, J. Long Short-Term Memory. Neural Comput. 1997, 9, 1735–1780. [Google Scholar] [CrossRef]
- Lecun, Y.; Bottou, L.; Bengio, Y.; Haffner, P. Gradient-Based Learning Applied to Document Recognition. Proc. IEEE 1998, 86, 2278–2324. [Google Scholar] [CrossRef]
- Kingma, D.P.; Ba, J.L. Adam: A Method for Stochastic Optimization. In Proceedings of the 3rd International Conference on Learning Representations, ICLR, Diego, CA, USA, 7–9 May 2015. [Google Scholar]
- Miccio, L.A. Understanding Polymers Through Transfer Learning and Explainable AI. Appl. Sci. 2024, 14, 10413. [Google Scholar] [CrossRef]
- Pearson, K. LIII. On Lines and Planes of Closest Fit to Systems of Points in Space. Philos. Mag. Ser. 1901, 2, 559–572. [Google Scholar] [CrossRef]
- van der Maaten, L.; Hinton, G. Visualizing Data Using T-SNE. J. Mach. Learn. Res. 2008, 9, 2579–2605. [Google Scholar]
- Ho, T.K. The Random Subspace Method for Constructing Decision Forests. IEEE Trans. Pattern Anal. Mach. Intell. 1998, 20, 832–844. [Google Scholar] [CrossRef]














Disclaimer/Publisher’s Note: The statements, opinions and data contained in all publications are solely those of the individual author(s) and contributor(s) and not of MDPI and/or the editor(s). MDPI and/or the editor(s) disclaim responsibility for any injury to people or property resulting from any ideas, methods, instructions or products referred to in the content. |
© 2024 by the authors. Licensee MDPI, Basel, Switzerland. This article is an open access article distributed under the terms and conditions of the Creative Commons Attribution (CC BY) license (https://creativecommons.org/licenses/by/4.0/).
Share and Cite
Casado, U.M.; Altuna, F.I.; Miccio, L.A. Towards Sustainable Material Design: A Comparative Analysis of Latent Space Representations in AI Models. Sustainability 2024, 16, 10681. https://doi.org/10.3390/su162310681
Casado UM, Altuna FI, Miccio LA. Towards Sustainable Material Design: A Comparative Analysis of Latent Space Representations in AI Models. Sustainability. 2024; 16(23):10681. https://doi.org/10.3390/su162310681
Chicago/Turabian StyleCasado, Ulises Martin, Facundo Ignacio Altuna, and Luis Alejandro Miccio. 2024. "Towards Sustainable Material Design: A Comparative Analysis of Latent Space Representations in AI Models" Sustainability 16, no. 23: 10681. https://doi.org/10.3390/su162310681
APA StyleCasado, U. M., Altuna, F. I., & Miccio, L. A. (2024). Towards Sustainable Material Design: A Comparative Analysis of Latent Space Representations in AI Models. Sustainability, 16(23), 10681. https://doi.org/10.3390/su162310681

