Next Article in Journal
Integration of the Controlled Production of Huitlacoche (Ustilago maydis + Zea mays) in the Traditional Milpa System from Guerrero, Mexico
Previous Article in Journal
Microgrid Optimization Strategy for Charging and Swapping Power Stations with New Energy Based on Multi-Agent Reinforcement Learning
 
 
Font Type:
Arial Georgia Verdana
Font Size:
Aa Aa Aa
Line Spacing:
Column Width:
Background:
Article

Optimising Forest Management Using Multi-Objective Genetic Algorithms

by
Isabel Castro
1,2,
Raúl Salas-González
2,3,
Beatriz Fidalgo
3,*,
José Torres Farinha
1,2 and
Mateus Mendes
1,2,4,*
1
Coimbra Institute of Engineering, Polytechnic University of Coimbra, Rua Pedro Nunes, 3030-199 Coimbra, Portugal
2
RCM2+, Polytechnic University of Coimbra, Rua Pedro Nunes, 3030-199 Coimbra, Portugal
3
Coimbra Agriculture School, Polytechnic University of Coimbra, Bencanta, 3045-601 Coimbra, Portugal
4
Institute of Systems and Robotics, Department of Electrical and Computer Engineering, University of Coimbra, 3030-290 Coimbra, Portugal
*
Authors to whom correspondence should be addressed.
Sustainability 2024, 16(23), 10655; https://doi.org/10.3390/su162310655
Submission received: 17 October 2024 / Revised: 24 November 2024 / Accepted: 28 November 2024 / Published: 5 December 2024

Abstract

Forest management requires balancing ecological, economic, and social objectives, often involving complex optimisation problems. Traditional mathematical methods struggle with these challenges, leading to the adoption of metaheuristic approaches like the Non-Dominated Sorting Genetic Algorithm II (NSGA-II). This paper introduces a custom NSGA-II algorithm, incorporating a specialised mutation operator to enhance solution generation for multi-objective forest planning. The custom NSGA-II is compared to the standard NSGA-II in a scenario aiming to maximise timber harvest volume and minimise its standard deviation, with a minimum volume constraint. Key performance metrics include non-dominated solutions, spacing, computational cost, and hypervolume. The results demonstrate that the custom NSGA-II provides more valid solutions and better explores the solution space. This approach offers a user-friendly and efficient tool for forest managers, integrating well with Web-based systems for modern, sustainability-oriented forest planning.

1. Introduction

Forests are not only important for sustainability but in fact indispensable resources for human life on Earth. Hence, forest management has been the subject of much research.

1.1. Context to Forest Management

Forests are complex systems that provide a wide range of ecosystem services, contributing to environmental sustainability and resilience. However, the quantity and diversity of these services depend heavily on the type of forest management applied and the initial conditions of the landscape.
In Portugal, particularly in the central region, the forest landscapes are mainly composed of planted forests owned by many small non-industrial private landowners, whose primary objective is wood production [1,2].
The extensive use of maritime pine and eucalyptus, along with agricultural abandonment and lack of active forest management, has led to large areas of forest monocultures and scrublands. These conditions, combined with orographic and climatic factors typical of the region, as well as climate change, have resulted in widespread forest fires and the spread of invasive woody species. This has caused the loss of ecological and economic value of forest areas and their degradation, significantly altering the landscape and compromising sustainability.
In response to this concern, Portugal has adopted the recommendation of several international bodies and EU policymakers to use a landscape approach to forest management [3,4,5]. This approach aims to better tailor policy measures and forest management to meet the expectations of local stakeholders and communities and to promote the resilience of forested landscapes [5,6].
A new policy instrument known as AIGP (Integrated Landscape Management Areas) has emerged to promote forest management at the landscape level, proposing a multifunctional model for forest spatial planning. This model is based on functional zoning, which divides the territory into three categories: (1) the resilience structure, which aims to reduce fire hazards; (2) the ecological structure, to ensure the environmental services of the landscape and the conservation of natural areas and biodiversity; and (3) the remaining area, that does not have any designation but will be called a matrix in this work, where wood production and other forest products with economic value can be pursued to meet the needs of forest landowners.
The first two structures are designed to adhere to the spatial environmental restrictions specified in the hierarchical planning system. In contrast, in the matrix, the use of a wide range of forest management models and silvicultural options is encouraged to promote landscape heterogeneity and structural diversity.
It should be noted that this model shares many similarities with those used in other geographical contexts, such as the TRIAD approach, which aims to minimise negative environmental impacts while maintaining the capacity to produce wood and generate economic income [7]. The TRIAD approach proposes creating three zones: one dedicated to nature conservation, another to intensive forestry, and a third where more extensive and diverse forestry practices are applied. Like the AIGP model, the TRIAD approach adopts a landscape-orientated perspective and explicit spatial planning, encouraging the adoption of multiple forest management types across the landscape in a portfolio of management strategies [8] to cope with unexpected results brought by climate change [9,10].
Diversifying management strategies can improve the ecological and economic resilience of the landscape, helping to reduce the likelihood of catastrophic events and the economic dependence on a minimal range of forest products [10].
Management strategies should integrate silvicultural practices to enhance forest resilience to climate change. These practices, among other adaptation measures, include species diversification, the establishment of mixed stands, the promotion of natural regeneration, adjustments to harvesting ages, and the implementation of shelterwood and selective cuts [11,12,13,14,15]. The diversification of silvicultural practices makes the process of selecting management alternatives significantly more complex, requiring careful evaluation of ecological, economic, and operational trade-offs.
Furthermore, historical, political, and social factors significantly influence the effectiveness of forest adaptation strategies, often limiting the universal applicability of findings from global studies in addressing global change [16]. Therefore, it is essential to develop locally tailored adaptation measures that account for specific regional contexts and stakeholder needs, and the long-term sustainability of forest ecosystems.
This adds another layer of complexity to the already intricate challenge of designing forest management compositions and drafting management plans [17,18]. Many authors emphasise the importance of the learning process involved, highlighting its fundamental contribution to the quality and feasibility of the solutions developed [19,20].
The specific social context in Portugal amplifies the importance of the learning process in forest management. Exploring new approaches to adaptive silviculture for forest stands and devising comprehensive management plans for areas with multiple forest owners are indispensable. The inherent complexity of the situation makes it difficult for forest owners and decision-makers to clearly define their preferences without understanding how different management alternatives align with their objectives and potential outcomes.

1.2. Managing Forest Stands Using Genetic Algorithms

Traditional optimisation techniques, such as linear and dynamic programming, have long been applied to multi-objective problems such as harvest scheduling in forest management, with studies by Hoganson et al. [21] and Borges et al. [22] demonstrating their effectiveness in simpler scenarios. However, these methods often struggle to handle larger, more complex problems, where balancing multiple, often conflicting objectives, such as maximising timber yield while minimising environmental impact, becomes computationally prohibitive [23].
In order to address these limitations, heuristic approaches have been employed as a practical alternative, offering near-optimal solutions with manageable computational costs [23,24]. Among these, Genetic Algorithms (GAs) have emerged as a powerful and widely used tool to solve complex, large-scale, multi-objective optimisation problems [25]. GAs utilise evolutionary principles to improve the populations of potential solutions over multiple generations [24]. In contrast to single-objective methods, which consolidate various objectives into a single metric [26], GAs generate a set of solutions that independently balance multiple objectives. As a result, this approach is well suited to scenarios where the optimal solution may be represented by more than one alternative. Thus, in standard multi-objective optimisation, all objectives are distinct measurable criteria, each expressing some aspect requiring optimisation. Assuming all important criteria have been included as objectives, one may be unsure about their relative importance to a decision-maker (and/or about how to normalize them), but one can be certain that the ‘ideal’ solution will be Pareto-optimal.
A key development in this field is the Non-Dominated Sorting Genetic Algorithm II (NSGA-II), which was introduced by [27]. The effectiveness of NSGA-II in producing a range of Pareto-optimal solutions has been demonstrated, allowing decision-makers to examine a variety of trade-offs rather than a single, potentially biased solution. The core mechanisms of the algorithm, namely, non-dominated sorting and crowding distance, assist in the preservation of diversity within the solution set, thus ensuring a broad selection of high-quality outcomes [27].
This work is based on the underlying principles of NSGA-II and introduces a decision support tool for forest managers. This tool allows for the evaluation and optimisation of management strategies prior to the implementation of a specific plan. The tool has been designed with usability in mind and is accessible via a web-based platform, consisting of two integrated modules. The initial module simulates potential management options for each forest stand, allowing managers to evaluate prospective actions and their consequences for a variety of objectives. The second module employs a modified version of NSGA-II, referred to as custom NSGA-II, which incorporates a specialised mutation operator designed to enhance the generation of diverse solutions tailored to the specific challenges of forest management.
The custom NSGA-II algorithm is evaluated and compared with the standard NSGA-II by applying both methods to a practical example involving forest management. This evaluation is performed with a range of different parameter settings to assess their performance. The forest planning problem under consideration involves two primary goals that the algorithm aims to resolve: maximising timber harvest volume and minimising the standard deviation in harvest volumes across the planning horizon for all stands. A critical constraint ensures that all harvest volumes remain valid (i.e., greater than zero).
The analysis considers a range of parameter configurations, enabling a comprehensive evaluation of the efficiency of the algorithms employed and the diversity of the solutions generated. The outcome of this process is a method that enables forest managers to explore various combinations of stands, assess trade-offs, and analyse different harvest ages over time. It provides an efficient and user-friendly way to optimise forest management practices, helping decision-makers make informed decisions.

2. Literature Review

The problem of forest management has been the subject of extensive research, including traditional exact approaches and heuristic techniques.

2.1. Exact Approaches in Forest Management

In recent years, the global market for wood products has surpassed some countries economies. However, the way this wood is being cultivated and cut is still based on rules of thumb from the 1900s. Despite the need to pay more attention to forests and their ecosystems, there is still difficulty in using several methods already studied and proven to help optimise and achieve sustainable management of forests [28]. In addition to impacting a main operation in forest management, timber harvesting, good or bad practices in forests can also impact other parts of the ecosystem such as CO2 sequestration, water cycles, local climates, and preservation of biodiversity.
E. Bell defines mathematical programming as “a generic term for a set of methods that can be used to optimise an objective in light of a set of constraints imposed on management activities or constraints imposed on the allocation of land to various uses” [29]. These exact techniques, including linear, goal, and mixed-integer programming, can be used to address spatial forest planning issues if computational needs do not become too demanding and are generally successful in resolving simple planning problems [30].
According to Shan et al. [30], there are various forest planning techniques such as goal, integer, linear, mixed-integer, non-linear, and dynamic programming. These exact methods aim to ensure optimal solutions and are typically used to validate heuristic methods or for small-sized problems. Considering all these techniques, the most common optimisation method for forest management planning is linear programming [31,32,33]. Linear programming is a useful tool to allocate resources efficiently, taking into account various restrictions and maximising or minimising a goal [34]. Kangas et al. [35] suggest that linear programming can be used to address a variety of sustainability issues, as it allows multiple constraints. However, two essential components are necessary for these models to work: all the variables required to create a plan must be quantified and linear.
Another traditional optimisation technique is dynamic programming [36]. This technique is more versatile and takes special consideration of the sequential decision-making process over time. As such, it becomes especially helpful to address and simplify the ongoing and difficult issues that require a long-term plan for forest management at any age [31,37].
Exact conventional methods have proven their merit in optimising timber production and biodiversity conservation. However, while they may have the advantage of being transparent and interpretable, they may struggle to work for complex, non-linear relationships in forest stands, which is where more modern approaches based on heuristic methods can complement and enhance traditional forest management optimisation practices [38].

2.2. Heuristic Techniques

In the field of forest management, professionals are increasingly being tasked with balancing a broader range of resource objectives than ever before. Modern sustainable forest management has evolved from a focus on timber supply to incorporate more integrated land use planning, taking into account social, economic, and ecological considerations [39].

2.2.1. Multi-Objective Problem Solving

Despite significant advances in computing power and mathematical approaches, these techniques are more difficult to adapt given the increasing diversity of forest planning objectives. The main challenge is the complexity of the problem, because the ecological and human components of decision making have complex relationships [39]. Therefore, in response to computational deficiencies, techniques designed to generate good approximate solutions or predictions have been investigated [40]. These techniques may range from heuristic methods to newer approaches based on artificial intelligence.
In forest planning, pursuing optimal solutions is often a challenging and computationally demanding task. However, heuristics, defined as techniques that seek near-optimal solutions at minimal processing cost, provide a pragmatic solution to this problem according to Reeves et al. [41]. Heuristics are particularly good at producing solutions that find a balance between computational economy and efficacy. Heuristics can also offer adaptability in problem formulation, allowing decision makers to align optimisation problems with diverse goals and preferences [42]. Categorised by solution generation strategies, heuristic methods can be centred on point-based approaches such as Tabu Search and Simulated Annealing, as well as population-based methods like Genetic Algorithms and PSO [30,43].
In forestry, usually, the pursuit of multiple goals lacks a universally agreed criterion for measurement [33]. Assessing the degree of difficulty when meeting multiple goals in management plans remains a challenge. However, most forest management problems are cast as multi-objective optimisation problems. For this type of problem, multiple objectives need maximisation or minimisation, accompanied by meeting constraints to yield feasible solutions. The distinction between single- and multi-objective optimisation lies in the multidimensional space formed by objective functions alongside the typical decision variable space [33,44]. When it comes to reaching the problem’s goal, heuristic optimisation techniques do not require a particular form for the objective function. Consequently, the design of the objective functions can vary from case to case.
According to [45], there are four basic compositions to formulate the objective function for a multi-objective forest-planning situation:
  • One goal is either minimised or maximised through the objective function and the other goals become constraints.
  • The objective function measures the deviations of several objective variables from their target levels. These levels are given in other equations of the problem formulation.
  • A single objective is included in an objective function that is augmented with a penalty function.
  • A multi-attribute function is developed and used as the objective function.
Although some of these formulations are similar to traditional mathematical programming approaches, they can be solved using heuristic optimisation techniques. However, they require the planner to define weights or bounds for the objectives. In this study, decision makers do not define these parameters in advance [35].
Given the inherent nature of heuristic problems, that often do not allow for exact solutions, researchers commonly evaluate the quality of the solution using statistical measures such as maximum value, minimum value, mean value, standard deviation, and an estimated global optimum solution [30].

2.2.2. Genetic Algorithms

The term “Genetic Algorithm” (GA) was first used by John Holland in 1975 [46] and laid the foundation for a thriving field of study that has since expanded to cover a wider range of applications than the initial GA. The terms “evolutionary computing” and “evolutionary algorithms” (EAs) are now used to refer to significant developments over the past ten years in the field, which have expanded the concept beyond the original GA [47].
Genetic Algorithms are population-based heuristic techniques based on natural selection and natural genetics. For this reason, the terminology of genetics and biology is used for their description [25]. This algorithm and its variations operate with a population of solutions, termed chromosomes, and combines them to generate new generations of solutions. It uses the concepts of selection, crossover, and mutation to simulate the mechanisms of biological evolution. These algorithms have been successfully used in a variety of areas, including music generation, genetic synthesis, strategic planning, and machine learning [48].
For forest planning, this algorithm provides flexible and efficient approaches to try to find optimal solutions. Given the fact that they search through large solution spaces efficiently, they are suitable for solving combinatorial optimisation problems. They can also handle both spatial and non-spatial objective variables, and so they are an efficient way of solving multi-objective optimisation problems [49].
The extensive use of Genetic Algorithms in forest planning is well documented in various studies [30] and can be implemented in several ways. However, common to all implementations is that they operate with several solutions [50]. This means that GAs operate with a population of solutions. Each member of the population is a chromosome, representing a potential solution. Chromosomes can be viewed as linear formations consisting of contiguous segments, with each segment corresponding to a variable within the problem. Each segment contains one or more elements, called genes, that perform a specific function [25]. From a biological point of view, each gene is responsible for expressing a specific characteristic associated with the individual chromosome.
The initial population of solutions is generated in a random manner and is subsequently subjected to simulated genetic evolution. The evolutionary process is carried out via three genetic operators: selection, crossover, and mutation. Selection is an operation designed to give members of a population with greater fitness a greater chance of survival. In a numerical optimisation problem, the fitness of a solution is measured in relation to the objective function value. The selection process results in a population with an overall higher level of fitness. The population is then subjected to the crossover operation. In this process, the genes of two parent chromosomes are combined to create a new chromosome. Finally, mutation involves the random alteration of one or more genes on one or more chromosomes in the population. In an optimisation context, mutation can help avoid regions of local optima [25].
Several studies have produced different results depending on the characteristics of the problem being solved. These characteristics include whether the problem was single-objective or multi-objective, how complex the constraints or objectives were, and whether the problem was integrated with spatial systems. Most of these studies compared the GA against other heuristic techniques, as previously described.
In [51,52], the authors conducted studies comparing different heuristic optimisation techniques. They found that Genetic Algorithms are highly effective and their adaptability and robustness make them a valuable tool for managing forests, especially when dealing with complex spatial issues. Despite the fact that these studies were conducted, they did not investigate the effectiveness of these algorithms when dealing with uncertainty in forest planning.
In the study in [44], the objective was to implement an optimiser that facilitates simultaneous optimisation of multiple objectives without the need to join these objectives in a single function. In a multi-objective setting, an individual possesses multiple objective values, each pertaining to distinct objective functions. Consequently, the selection criterion for the evolutionary algorithm must be redefined to accommodate an objective value vector while retaining the essence of a single fitness value selection. The investigation compared two multiple objective algorithms: the Multiple Objective Genetic Algorithm (MOGA) developed by Fonseca et al. [53] and the Non-Dominated Sorting Algorithm II (NSGA-II) by Deb et al. [27]. The study aimed to evaluate its performance against a random search strategy to gauge the efficacy of genetic operators. The study revealed the effectiveness of both MOGA and NSGA-II in random search strategies. NSGA-II notably approached the Pareto-optimal front (solution where one of the objectives cannot be improved without sacrificing another one) more closely than MOGA, indicating its better performance in this aspect. However, MOGA excelled in discovering extreme solutions, contributing to a more widespread distribution along the Pareto front. Despite these strengths, neither algorithm managed to pinpoint extreme solutions. NSGA-II demonstrated a faster approximation of the front and displayed evenly spaced solutions, but MOGA slightly outperformed NSGA-II when considering the distance between extreme solutions. Nevertheless, NSGA-II exhibited more robustness in approximating the Pareto-optimal front. Hypervolume measures and other analyses consistently highlighted the superiority of NSGA-II in covering a larger portion of the solution space compared to MOGA. In general, NSGA-II showed better performance in addressing forest management issues. In conclusion, the study emphasises the benefits of employing multiple-objective Genetic Algorithms in forest management planning and suggests the integration of GIS (Geographic Information System) and other heuristic methods for future improvements in efficiency.
In order to address the multiple objectives involved in land use management, a multi-objective evolutionary algorithm is the best solution. Multiple EAs, with slight variations in functionality, have been developed and implemented for these problems. The most widely accepted of these are MOGA [53], NPGA [54], NSGA, SPEA, and NSGA-II [27].
In addition, Deb et al. [55] explored how NSGA-II can be used to optimise multiple, often conflicting, objectives within the context of land use management. The Non-Dominated Sorting Genetic Algorithm-II (NSGA-II) was selected as the optimal solution and designated as NSGA-II-LUM (NSGA-II in Land Use Management). NSGA-II was chosen for its successful application to a broad range of problems. The spatial GIS-based algorithm effectively evaluated three key objectives: maximising economic return, maximising carbon sequestration, and minimising soil erosion. These objectives are particularly important in addressing global warming and soil degradation, making NSGA-II-LUM a valuable asset in contemporary environmental research. Despite data limitations, NSGA-II-LUM showed potential to predict long-term global changes. It uncovers complex relationships and offers valuable information on land use management, promising for dynamic applications [55].
Fotakis et al. [25] introduced a spatial operator to enhance the efficiency of Genetic Algorithms in multi-objective spatial forest planning. The study used Constrained NSGA-II as a standard Genetic Algorithm to evaluate this newly proposed methodology. The focus was on a typical harvest scheduling problem, aiming to maximise timber volume while minimising sediment levels, with constraints on minimum timber yield and even flows. The introduced algorithm, referred to as Spatial NSGA-II, exhibited superior performance for both constrained and unconstrained problems. In particular, it not only yielded improved results, but also managed to keep the old forest together as an emergent outcome, despite not being explicitly targeted. The primary objective of this approach was to facilitate forestry decision making by providing a range of optimal management compositions. The proposed modification of Constrained NSGA-II for spatial forest planning integrates a spatial operator applied at a local level as a secondary type of mutation with a small probability. This operator considers the land unit corresponding to the “mutated” gene and its neighbouring members within the studied area’s plan view. This research underscores the potential of Genetic Algorithms, especially the modified Constrained NSGA-II, in addressing complex spatial forest planning problems. The results highlight its effectiveness in optimising multiple objectives while considering spatial constraints, offering promising applications beyond the scope of this study.
According to Ducheyne et al. [56], when looking at the use of Genetic Algorithms to solve a multi-objective optimisation problem in forest management, it is also essential to take into account spatial objectives. Neglecting spatial intricacies during planning may lead to plans that are misleading or impractical. Genetic Algorithms, particularly when integrated with GIS, offer a solution by providing spatially feasible plans during the optimisation process itself. Insights from [57,58] further emphasise the importance of incorporating spatial objectives and constraints in optimisation of forest management. The Genetic Algorithm and GIS were connected through exchange files, allowing them to communicate independently of the platforms, facilitating optimal task distribution. The results of this integration revealed substantial differences in spatial layout and output levels when spatial information was included, although only a fraction of the Pareto front was explored [59]. This highlights the importance of incorporating spatial data within the optimisation process and demonstrates the potential of a Genetic Algorithm–GIS fusion in the development of spatial decision support systems. It also underscores the risk of omitting spatial-dependent objectives during implementation, which could lead to misleading or unfeasible plans, even in a simple problem with two management compositions. Previous research by the same authors demonstrated the efficiency of GAs over single-objective formulations in forest management optimisation. By integrating the spatial analysis capabilities of a GIS within the optimisation process, spatially feasible plans were constructed during the optimisation.
All studies have in common the need to refer to the fact that the performance of these heuristic methods mainly depends on the parameters that guide their search process. Finding optimal parameter values is a crucial step in obtaining high-quality solutions [40].

3. Problem Definition

In this research, we address a problem that involves a forest composed of numerous and diverse stands, each containing up to three different species with varying current and harvest ages. Each stand may potentially support a variety of different compositions, allowing forest planners to introduce new species into the stand if desired.
The combinatorial problem analysed here aims to find the optimal combinations of stands and harvest ages to achieve two objectives simultaneously: maximising the total timber harvest and minimising the standard deviation of the total timber harvest for each period.
The optimisation goals focus on treating each stand with consideration for the collective objectives of the entire forest. The mathematical formulation of the problem may be described as
Maximize V t o t a l = n = 1 N p = 1 P t = 1 T V n p t Subject   to V n p t 0 ,   n = 1 , , N ,   p = 1 , , P ,   t = 1 , , T
Minimize S t o t a l = t = 1 T ( X x ¯ ) 2 T 1 Subject   to   t = 1 , , T
where
  • V t o t a l = volume harvested during the planning horizon for all stands N;
  • N = number of stands;
  • P = number of species;
  • T = number of harvest periods;
  • V x t c = timber volume harvested during period t for species x of stand n;
  • S t o t a l = standard deviation value during the planning horizon for all stands N;
  • X = stand’s timber volume for period t;
  • x ¯ = mean of the sample for period t.
The timber volumes for each stand n can be obtained using the following formula:
V n p t = S a r e a × P p r o p o r t i o n × ( v s t a n d + i = 1 n v t h i n n i n g s )
where
  • S a r e a = proportion of usable area in stand n;
  • P p r o p o r t i o n = ratio of species p in stand n;
  • v s t a n d = volume of the stand for period t;
  • v t h i n n i n g s = volume obtained from thinning.
This bi-objective optimisation problem is complemented by a constraint where the total volume cannot be zero, as this represents an invalid solution: V t o t a l > 0 . Moreover, in the course of validating the solutions generated by the algorithm, any solution that exhibited harvest age values not within the specified ranges was considered to violate the constraints, according to the first objective function (1).

3.1. Strategy for Multi-Objective Forest Management

The design of an evolutionary strategy to address the multi-objective forest management problem outlined in Equations (1)–(3) involved a comprehensive analysis of the solution fitness, the selection of genetic operators, and the fine-tuning of the parameters.
A forest consists of a set of stands, each occupying a polygonal area delineated on a map. In the case study, the forest corresponds to the landscape matrix, where the user defines on the map the set of stands that make up the forest (see Figure 1). Each stand has a total area and a usable area, which represents the portion of the total area that can be effectively used for tree coverage.
Each stand S i possesses specific characteristics that influence the structure of the algorithm.
A stand is considered homogeneous with respect to the attributes used to simulate its growth and yield. These attributes include the composition of the stand, that is, the species present (up to three species) and their respective proportions of occupancy, together with the yield class and age class for each species. These values can be obtained from forest inventories conducted for existing stands or estimated by the user for newly established stands. For newly established stands, the user can define up to three alternative compositions.
Figure 1 illustrates a hypothetical forest composed of two stands: Stand 1 and stand 2.
For stand 1, two alternative compositions are considered, representing two different combinations of species and their respective occupancy proportions. In the first composition, the user specified a mixed stand comprising three species (combination 1), while in the second composition, the user defined a mixed stand with two species (combination 2). In contrast, stand 2 is defined as a pure stand, consisting of only one species.
Each species can be represented by the combination S i C j I k , where S i denotes the stand i (with 1 i m , where m is the total number of stands), C j denotes the composition of stand j (with 1 j n , where n is the maximum number of compositions of the stands), and I k denotes species k (with 1 k 3 ). Here, the variables i, j, and k are indices used to identify specific stands, compositions, and species, respectively.
In addition to the basic parameters characterising the stands, forest management involves a sequence of interventions throughout the life cycle of the stands (referred to as the silvicultural model) to achieve the desired objectives. This model incorporates operations such as regeneration, thinning, the type of harvest cut (clearcut or shelterwood), and harvest age. These interventions are critical because they represent the management options with the greatest influence on both the volume production and the harvest schedule. The user of the Web platform can define these management interventions for each species.
Yield tables are crucial for forest management, as they provide valuable information on tree growth patterns and potential productivity in different forest stands. Forest managers and practitioners use these models to make decisions about the management of individual tree stands or entire estates, forecasting production levels, making commitments to the timber markets, and planning forest operations [60]. Yield classes and volume were estimated using yield tables, which were adjusted to provide volume and thinning estimates at consistent intervals. For each species, three quality classes were considered: high, medium, and low. The yield tables from Diéguez-Aranda et al. [61] were used for Pseudotsuga menziesii, Quercus robur, and Betula alba, while the tables from Santos et al. [62] and Patrício [63] were applied for Pinus pinaster and Castanea sativa.
Since the yield tables were originally designed for pure stands, their use in mixed stands is limited to mixed stands by patches or groups. Consequently, each species is assigned an independent silvicultural model, which includes defining the minimum and maximum harvest ages that must be considered when generating alternative solutions with the algorithm. It is acknowledged that both harvest age and harvest type can significantly influence the results.
In addition, the problem operates within a specified time frame. The planning horizon can be set to 50, 100, or 200 years, with harvest intervals of either 5 or 10 years.
Preliminary experiments showed enough variable results to allow ongoing improvements to the second project module. At an early stage, modifications were made to enhance the primary structure of the problem, and subsequently adjustments were introduced to optimise the genetic operators. These refinements improved the performance of the algorithm and reduced its computational demands. Reeves et al. [41] highlighted that Genetic Algorithms are naturally adaptable, allowing easy modifications for changes in the original problem.

3.2. Data Structure—Chromosome Representation

The Non-Dominated Sorting Genetic Algorithm (NSGA-II), implemented through the PyMoo package (version 0.6.1.3) in Python [64], was used to find Pareto-optimal solutions, where improving one objective cannot occur without worsening another.
NSGA-II is a state-of-the-art Multi-objective Genetic Algorithm (MOGA) designed to overcome the limitations of classical optimisation methods, such as high computational complexity, non-elitism, and the need to specify a sharing parameter [27]. By integrating elitism, NSGA-II preserves the best solutions from the previous generation while employing genetic operators, mutation, and crossover to generate a new population. This approach not only accelerates convergence towards the optimal solution, but also enhances the overall efficiency of the search process.
This algorithm effectively manages optimisation constraints and maintains diversity in the population by using a crowded comparison operator. The solutions are initially ranked according to dominance, and then sorted according to crowding distance, which contributes to an efficient ranking system that reduces computational complexity [25,65].
The approach carried out here highlights the efficient use of multi-objective optimisation algorithms to meet specific requirements and goals. Even in the face of strict limits, NSGA-II is able to generate various solutions for a forest management problem.
For the application of NSGA-II, the problem was encoded as follows. The Genetic Algorithm uses a chromosome of length L, where L is determined by the number of compositions, the number of species in each composition, and the defined harvest age periods for each species. Specifically, the length of the chromosome L is given by
L = C + j = 1 C I × T
where C is the number of compositions, I is the number of species in each composition j, and T is the number of harvest periods.
For example, consider the following values:
  • Number of compositions: C = 3 ;
  • Species per composition:
    Composition C 1 has I = 2 ;
    Composition C 2 has I = 3 ;
    Composition C 3 has I = 1 .
  • Number of harvest periods: T = 10 .
Using the formula designated as Equation (4), the following calculation is obtained:
Sum of species across all compositions:
j = 1 C I = C 1 + C 2 + C 3 = 2 + 3 + 1 = 6
Chromosome length calculation:
L = C + 6 × T = 3 + ( 6 × 10 ) = 3 + 60 = 63
As a result, for this test configuration, the length of chromosome L is 63.
Each cell in this chromosome represents a gene, allowing the algorithm to evaluate and optimise based on the encoded information. Although problems typically solved with the PyMoo package are continuous in nature, it is also possible to use other types of variables [64]. In this case, a binary gene type is used. The first set of cells on the chromosome, which represent the stand’s alternatives, are subjected to a constraint that allows only one composition per stand to be selected. This constraint is applied across all stands.
Figure 2 illustrates the arrangement of genes within the problem chromosome, as well as the application of genetic operators such as crossover and mutation.
Each gene in Figure 2 is encoded by the combination S i C j I k :
  • S i represents stand i, where 1 i m , with m being the total number of stands.
  • C j represents stand composition j, where 1 j n , with n being the maximum number of stand compositions.
  • I k represents species k, where 1 k r , with r being the maximum number of species.
In this context
  • i, j, and k are index variables used to identify the stands, compositions, and species, respectively.
  • m, n, and r are constants denoting the maximum number of stands, compositions, and species in the system.
Subsequently, for each species present in the compositions, the corresponding gene is repeated t times, where T represents the number of periods.
For each group of periods, only one cell can represent the harvest age, ensuring that only one period is designated as the harvest age for that species according to the age range previously defined.
In the course of developing and implementing the NSGA-II algorithm to address this particular problem, it became evident that the scale of the problem posed significant challenges. The complexity of the problem was evidenced by the fact that each chromosome, for a simple forest scenario, consisted of more than 100 genes. This complexity proved detrimental to the algorithm, which was unable to achieve an acceptable ratio of valid to invalid solutions. This issue was particularly notable during the initial stages of the algorithm’s execution, with the need for more than 1000 iterations before the algorithm reached an optimal solution.
Therefore, it was established that the algorithm required modification in order to enhance the generation of valid solutions.
This custom NSGA-II algorithm differs from those commonly used in forest management problems, as it accommodates the presence of composition options for each stand [23], harvest-age limits, and a custom initial population and mutation operator. Furthermore, the algorithm is integrated into a novel Web-based platform, facilitating broad accessibility for any user.
The following sections provide a comprehensive analysis of the alterations made to the original NSGA-II algorithm, as outlined by the pseudocode in Algorithm 1.
Algorithm 1 Custom NSGA-II Procedure
Require: 
N , g, f k ( X )     ▹ N members evolved over g generations to solve f k ( X )
1:
Initialize Population P 0
2:
Generate custom population of N based on problem constraints
3:
Calculate Objectives V t o t a l and S t o t a l
4:
Evaluate Constraint ( V t o t a l > 0 )
5:
Assign Rank based on Pareto dominance
6:
Generate Child Population:
7:
    Binary Tournament Selection
8:
    Crossover and custom Mutation
9:
for  i = 1 to g do
10:
    for each Parent and Child in Population do
11:
        Assign Rank based on Pareto dominance
12:
        Generate sets of non-dominated solutions
13:
        Determine Crowding distance
14:
        Add solutions to next generation starting from the first front until N individuals
15:
    end for
16:
    Select points on the lower front with high crowding distance
17:
    Create next generation
18:
        Binary Tournament Selection
19:
        Crossover and custom Mutation
20:
end for
21:
Output Results
22:
    Extract and plot best solutions
23:
    Plot convergence and Pareto front

3.3. Creation of an Initial Population

A reduction in population size can result in insufficient coverage of the solution space, which may lead to inadequate exploration and an increased risk of premature convergence. On the other hand, an excessively large population can result in a significant increase in computational costs without a corresponding improvement in solution quality [41].
Preliminary tests showed that populations with fewer than 50 individuals exhibited a lack of diversity and frequently converged prematurely, resulting in an insufficient variety of solutions. In contrast, populations of over 500 chromosomes exhibited a considerable increase in computational costs without a corresponding improvement in diversity or the number of solutions, compared to a population size of approximately 200.
To further enhance the performance of the original NSGA-II, a customised operator was developed to generate the initial population (lines 1–2 of the Algorithm 1), replacing the float random sampling provided by the PyMoo framework for NSGA-II [66]. This tailored approach assigns random binary values to each gene to form a chromosome, guaranteeing validity by ensuring that only one harvest age is selected for each species, rather than multiple. This effectively addresses a key issue in the original NSGA-II approach, where a higher proportion of invalid solutions were generated than valid ones.

3.4. Fitness Evaluation

Once the population has been generated, either by random initialisation or as a result of a previous generation (lines 1–2, 6, 17 of the Algorithm 1), it is necessary to evaluate each individual. During the fitness evaluation phase, the algorithm calculates the values of two competing objectives for each individual: one to be maximised (Equation (1)) and the other to be minimised (Equation (2)).
In addition to this analysis, the individuals are classified as feasible or infeasible, based on their conformance to the constraints specific to the problem, such as the ranges of valid harvest ages. Subsequently, feasible solutions are prioritised during the sorting process.
The NSGA-II algorithm then proceeds to sort the combined parent and offspring populations according to the principle of non-dominance, resulting in the formation of multiple Pareto fronts (lines 5, 11–12 in Algorithm 1).
Non-dominated solutions are on the initial front, while subsequent fronts have increasingly dominated solutions. For example, the second front includes one-dominated solution, the third two, and so on. This classification process continues until all individuals have been assigned to a front.
Within each Pareto front, the solutions are further sorted using a crowding distance metric to maintain diversity (line 13 of procedure in Algorithm 1). The crowding distance is a measure of how far a solution is from its neighbours in the objective space. Solutions situated at the boundaries of the search space benefit from higher crowding distances due to the scarcity of their neighbours. By favouring solutions with higher crowding distances, the algorithm ensures that the solution space is explored in a well-distributed manner [67].

3.5. Selection

NSGA-II employs an elitist strategy to ensure the preservation of high-quality solutions across generations. The selection process combines the current population with the offspring based on the Binary Tournament Selection operator, as outlined in Deb et al. [68]. This operator compares two individuals at a time, first by their Pareto rank and then by their crowding distance if they belong to the same front. The individual with the lowest rank or the largest crowding distance is selected. This process ensures that solutions with superior trade-offs and greater diversity are more likely to be selected, striking an optimal balance between exploration and exploitation (lines 16–18 of the Algorithm 1).
It has been demonstrated that the use of Tournament Selection facilitates a more rapid convergence, as described in the framework recommendation [64]. Hence, no alterations were made to this parameter.

3.6. Crossover and Mutation

Crossover is a process by which genes from selected individuals are substituted for the next generation, allowing new solutions to be created by merging genetic material from the parent chromosomes. The crossover probability rate determines the likelihood that the chromosomes undergo this process.
It is standard practice to include mutation as the final operator in an iteration. This operation performs unary transformations (transformations with one operand) on selected individuals. This is achieved by changing alleles in individual chromosomes. In general, the probability of using the mutation operator is fixed throughout all iterations [41]. Typically, all genes are checked and the respective alleles are randomly changed according to a constant low probability [41]. It should be noted that this process has some limitations. Even with the use of library routines for initialising and generating random numbers, the process presents a significant computational challenge.
Although GAs can be a great technique, there is also an experimental quality to them, as [69] shows. There is not one formula that fits all cases for choosing these operator rates. Generally, a low crossover probability is expected to slow down the convergence process in the first iterations, and too high a probability may lead to saturation around a solution [41].
While Genetic Algorithms can be an effective technique, they also have an experimental quality, as demonstrated by Hassanat et al. [69]. It is not possible to apply a single formula to determine the optimal operator rates.
In general, a low crossover probability is expected to slow down the convergence process in the initial iterations. However, a probability that is too high may result in stagnation around a solution. Therefore, with the mutation operator, lower rates are typically used to avoid converting the evolution programme into a random search approach [70].
According to the work of Hassanat et al. [69], for these operators, several studies opt to use ranges for crossover of [0.5–1.0] and for mutation of [0.5–0.001].
In both the custom NSGA-II and the non-modified NSGA-II, the crossover operation used was the framework default. The SBX (simulated binary crossover) method was used with different crossover probabilities.
In terms of the mutation operator, in the preliminary tests it was found that while NSGA-II is efficient and yields a wide range of Pareto-optimal solutions, many of these solutions violate the problem logic, such as ensuring proper forest harvest ages or valid stand allocations. The mutation operator was then adapted to improve the probability of maintaining validity when solutions undergo mutation, as Verma et al. [66] suggests.
By integrating problem constraints directly into the mutation process, the operator minimises the generation of invalid solutions. The process probabilistically flips bits for the alleles, while confirming whether the allele randomly chosen to undergo mutation will maintain the chromosome’s validity with regard to the harvest-age intervals or species alternatives.
This approach helps to strike a balance between exploring new configurations and maintaining validity, reducing computational waste and ensuring that the algorithm user only sees the final, valid solutions that optimise both objectives.

3.7. Stopping Criteria and Performance Metrics

The evaluation of the quality of the solutions allows for the determination of whether the process should be terminated or continued in order to achieve the optimal results.
The preliminary tests of this module demonstrated that as the number of iterations increased, the number of solutions identified increased exponentially, but the runtime also increased exponentially. In light of the fact that the algorithm module will be available on a Web platform, the number of generations was identified as the primary criterion for termination of the process.
To assess the impact of these modifications, a comparative analysis was carried out using the same scenario and random initial population, contrasting the performance of the standard mutation operator (as required by the original algorithm package) with that of the custom mutation operator. The intention was to assess whether there are significant advantages in using a customised mutation operator to reduce the number of final invalid solutions.
A comprehensive evaluation methodology was used to compare the two approaches within the case study. The performance indicators employed for this comparison included the number of non-dominated solutions, the spacing metric, computational time, and both the evolution and interval values of hypervolume. These metrics were selected because the true Pareto front was not known a priori [66].
The number of non-dominated solutions quantifies the cardinality of the non-dominated set within the final population, representing the solutions located on the approximated Pareto front [71]. An elevated number of non-dominated solutions is indicative of a greater diversity of trade-offs, which is highly desirable in the context of multi-objective optimisation [27].
The spacing metric assesses the uniformity of the distribution of solutions along the approximated Pareto front. A lower spacing value indicates a more uniform distribution of solutions, which in turn provides better coverage of the Pareto front [27,72].
In terms of computational performance, the runtime was employed as a metric to assess the total time taken by the NSGA-II algorithm to reach termination. Although faster algorithms are usually the preferred option, particularly given the intended deployment of this solution on a Web platform, it is important to balance computational efficiency with the quality of the solutions obtained.
The hypervolume metric was used to evaluate the quality of non-dominated solutions [73]. This metric, calculated with a reference point greater than the maximum values of the Pareto front, quantifies the volume of the objective space dominated by the set of solutions [64]. A larger hypervolume indicates a better approximation of the Pareto front [74]. Additionally, the evolution of hypervolume over successive generations provides insights into the algorithm’s convergence characteristics, with a higher final hypervolume representing an optimal overall trade-off between the objectives.
The findings of this analysis are presented and discussed in the following sections, outlining the potential advantages of using a customised mutation operator for complex, high-dimensional optimisation challenges, such as those encountered in forest management.

4. Case Study

This study evaluates the performance of the NSGA-II algorithm using a semi-hypothetical dataset for a complex forest scenario. A forest area was selected in the Coimbra District, Portugal (Figure 3), considering the physical characteristics of the landscape. The area is divided into three types of landscapes: matrix, resilience, and conservation systems. However, only the matrix landscape type was used for the simulation. Each stand within the forest can be categorised as a pure stand (containing only one species) or a mixed stand (containing more than one species).
The forest is divided into 20 stands, 14 of which are part of the landscape matrix and classified as forest stands, making them suitable for the planning problem (Figure 3). These 14 stands were selected for testing, reflecting the complexity of a typical real-world problem that is often large in scale. Inventory data, typically provided by forest managers, were collected for these stands. These data include essential information required by the algorithm, such as the stand’s total area and the proportion of usable area. For existing stands, the collected data included the composition type (pure or mixed), the species present (up to three species per stand), their respective proportions, and biometric parameters to estimate the yield class and the age class for each species. For new stands, the forest manager was asked to estimate up to three future alternative forest compositions and provide an expected yield class for each species. To continue the scheduling of harvests, forest managers also determined, for all alternative compositions within each stand and for each species, the minimum and maximum harvest rotation ages and whether to employ a shelterwood or a clearcut system. Additionally, they established a planning horizon of 100 years, divided into five-year periods.
A representation of the context used for the algorithm is provided in Table 1. This table outlines the combinations of stands, species, and harvest ages, along with the designated cutting type, as defined for two stands (1 and 9). These examples illustrate two different scenarios: one in which there is an existing forest stand (stand 1) and another in which a new stand will be regenerated (stand 9).
It can be observed that some stands exhibit a single potential combination, implying that the sole combinatorial alteration that may occur within these stands is the modification of the harvest age. However, in stand 9, the algorithm will compare multiple harvest ages for each combination and identify the optimal combination of species and harvest ages that maximises both objectives. In the final solutions for stand 9, only one of the following combinations is permitted: Stand 9-I, II, or III. This approach results in a forest management problem consisting of 437 genes per chromosome.

5. Results

All algorithms were implemented and tested on a MacBook Air (Apple M2 CPU, 16 GB RAM) with Apple M2 GPU under the macOS Sonoma (version 14.4.1) operating system. The programming environment used Python 3.11.6, with the NumPy 1.26.3 and SciPy 1.14.0 libraries. These specifications were able to provide sufficient computational power for handling this large-scale task within reasonable time frames.
A comparison of the outcomes of the two approaches was achieved by running the basic NSGA-II and the custom mutation operator NSGA-II algorithms 10 times each for each set of parameters, given that it was not possible to maintain consistency in the initial population across all runs.
Table 2 outlines the parameters that were modified within the package used for each comparative analysis. The crossover probability range selected was [0.7–0.9], as the values between 0.9 and 0.7 did not result in any significant changes in previous test settings. The mutation rate was established to be between 0.5 and 0.001, as this interval was found to have a significant impact on the number of valid solutions generated. In general, the algorithm displays a preference for maintaining mutation rates near 0. However, in light of the mutation constraints incorporated into the custom NSGA-II, it was deemed prudent to also investigate the 0.5 range, given that previous tests had demonstrated the potential for highly significant solutions to be produced within this interval.
The efficacy of these values has previously been demonstrated, hence their selection for utilisation in the present tests. The number of generations was distributed between 100 and 500. As previously outlined in the initial tests of the algorithm, enhancement was only apparent after 1000 iterations due to the challenge of generating valid solutions. The newly implemented improvements proved to be effective in addressing the previously identified problem. Consequently, it was determined that a 1000-iteration run would not be feasible due to the imposed runtime constraints.
The results for population size (pop), number of generations (n_gen), crossover probability, and mutation probability that demonstrated optimal performance are presented in Table 3 and Table 4.
As illustrated in Table 2, a substantial number of configurations were tested, resulting in 72 scenario cases. Therefore, the data presented in the tables mentioned above represent a subset of the complete data. It is important to note that the standard NSGA-II results include a small number of invalid solutions, which are the result of not using the custom mutation operator. Although these instances are not prevalent, they occur.
Despite the variations in the selected case studies, several key conclusions can be drawn from the analysis of the results as a whole, rather than from the small example alone. The customised version of the NSGA-II algorithm consistently demonstrates superior performance compared to the standard version when applied to the specified problem.
The custom Mutation NSGA-II demonstrates a clear advantage in identifying a greater number of solutions. To illustrate, in the pop = 100/n_gen = 200 parameter configuration, the custom Mutation NSGA-II identifies 55 solutions (crossover = 0.9, mutation = 0.5) in 26.71 s, while the standard NSGA-II identifies only 32 solutions under the same parameter settings.
Similarly, in the pop = 200/n_gen = 500 configuration, the custom mutation NSGA-II produces 123 solutions (crossover = 0.9, mutation = 0.002) in 50 s, compared to 98 solutions from the standard NSGA-II algorithm.
The mutation correction in the custom NSGA-II effectively balances exploration and exploitation through optimised mutation and crossover rates, aiding in escaping local optima and increasing solution density on the Pareto front.
Crossover and mutation rates have a notable effect on performance: a 0.7 crossover rate generally surpasses the 0.9 rate in the custom NSGA-II. In the pop = 100/n_gen = 200 configuration, combining a crossover rate of 0.7 with a mutation rate of 0.5 results in 96 solutions, compared to 55 solutions with a crossover rate of 0.9. Lower mutation rates, such as 0.002, produce more solutions when combined with a smaller crossover rate, as they manage to find more solutions closer to the previous solution.
The custom mutation mechanism coupled with a 0.7 crossover rate strikes a superior balance between solution diversity and convergence speed, as indicated by the hypervolume metric. In contrast, standard NSGA-II compensates for its limited adaptability to exploit the solution space with higher crossover rates, such as 0.9.
While both algorithms see gains with larger populations and more generations, the extent varies. The custom NSGA-II almost doubles solution outputs when moving from settings like pop = 50/n_gen = 100 to pop = 100/n_gen = 200. Standard NSGA-II also benefits from scaling, but to a lesser degree than the custom Mutation version.
The custom Mutation NSGA-II has a longer runtime but produces a greater number of solutions. For example, with pop = 200/n_gen = 500, it finds 123 solutions in 50 s, whereas the standard NSGA-II achieves 98 solutions in 53 s. Although the standard version can be marginally faster for smaller setups, it offers less diversity in solutions.
The custom NSGA-II’s prolonged execution time is justified by its capability to produce a more varied and concentrated Pareto front. This feature is especially beneficial in this problem setting, where diversity and validity of solutions are crucial.
Regarding the spacing metric, the custom Mutation NSGA-II consistently yields lower spacing values, demonstrating better solutions distribution. For example, under the pop = 200/n_gen = 500 setup, the custom Mutation NSGA-II achieves a spacing of 0.02 across several parameter configurations, whereas the standard NSGA-II also reaches 0.02, but produces fewer solutions overall. This indicates that although both algorithms can achieve a uniform distribution, the custom Mutation NSGA-II offers greater density and diversity, thus ensuring a more complete Pareto front.
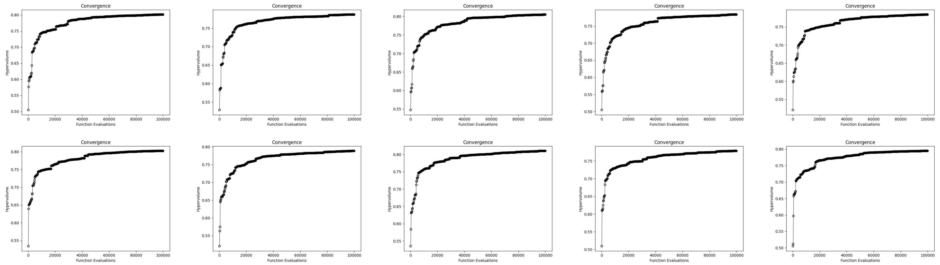
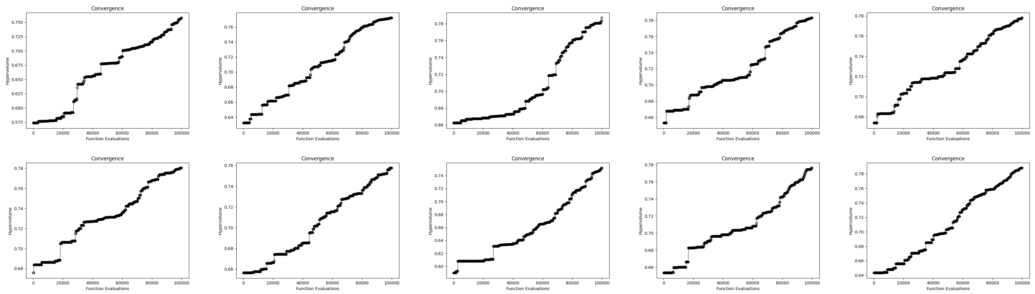
This analysis can be validated by examining the hypervolume in conjunction with the iterations. For instance, considering the parameter configurations that yield the most solutions for both the custom and standard NSGA-II: pop = 200/n_gen = 500, crossover = 0.9, mutation = 0.002. The subsequent plots relate to these configurations, noting that each parameter setup was executed for 10 consecutive runs.
In order to gain an accurate interpretation of the hypervolume metric results, it is crucial to consider not only the minimum and maximum hypervolume indices, but also the manner in which the convergence curve progresses over the course of the iterations. Although the final hypervolume values of the algorithms may appear to be similar, an analysis of the convergence behaviour across iterations provides valuable insight into the quality of the solutions.
An examination of the convergence curve for each parameterisation reveals that the customised algorithm displays a more continuous, gradual increase in hypervolume across the ten runs. This indicates a more consistent enhancement in both the convergence and diversity of solutions compared to the standard algorithm, which tends to demonstrate declines or stagnation in the hypervolume index. These observations are illustrated in Figure 4 and Figure 5. The smoother curve in the customised algorithm indicates a more stable and gradual improvement, reflecting a higher overall solution quality.
Figure 6a,b illustrate the Pareto fronts derived from the specified case study, showing the optimal balance between computational expense and the number of solutions identified. As illustrated in Figure 6a, the solution space is limited, with timber volumes ranging from approximately 40,000 to 65,000 and a standard deviation of approximately 12,000 to 20,000. The distribution of points is more sparse, indicating that a smaller number of solutions were identified. Furthermore, the correlation between volume and standard deviation appears to be relatively linear, with the standard deviation gradually increasing as the volume increases. The Pareto front in this case explores a narrower range of higher volumes and higher standard deviations, indicating a lack of diversity in the solutions.
In contrast, Figure 6b illustrates a more exhaustive exploration of the solution space. The points in this graph are more densely packed, indicating that a larger set of potential solutions is available. In particular, the customised algorithm appears to provide more trade-offs for lower volumes, as it explores regions with reduced standard deviations.
The goals of maximising timber volume and minimising standard deviation are contradictory. Consequently, each solution on the Pareto front holds equal validity in multi-objective optimisation. In the absence of specific preference information, selecting a particular solution depends entirely on the user’s priorities. Each Pareto front point signifies a forest management strategy produced by the algorithm, as depicted in Table 5.

6. Conclusions

This paper introduces a custom mutation operator tailored to a forest management optimisation scenario. Integrated into the NSGA-II algorithm, the operator ensures that the solutions adhere to the predefined age constraints. The modified and standard NSGA-II were applied to a spatial forest planning problem, aiming to maximise the timber harvest volume and minimisation of the standard deviation in total volume produced, with a constraint on minimum harvest volume.
Performance was evaluated using metrics such as the number of non-dominated solutions, spacing, computational cost, and hypervolume. Both algorithms were run 10 times per parameter configuration and the results averaged. In some cases, the outcomes were statistically similar, likely due to the initialisation of the randomised population.
In general, the customised NSGA-II algorithm is more effective than the standard NSGA-II algorithm in generating a greater number of valid solutions, reflecting the primary objective of exploring the full range of potential solutions in forest management problems. The proposed approach offers a more customised version of NSGA-II, capable of producing valid and diverse compositions for forest management stands in a user-friendly manner, offering forest managers a detailed platform that assesses the possible consequences of their management decisions. Future work includes testing the proposed improved algorithm in larger forest stands.

Author Contributions

Conceptualization, R.S.-G., B.F. and M.M.; methodology, R.S.-G., B.F., J.T.F. and M.M.; software, I.C.; validation, R.S.-G. and B.F.; formal analysis, R.S.-G., B.F., J.T.F. and M.M.; investigation, R.S.-G., B.F., J.T.F. and M.M.; resources, R.S.-G. and B.F.; data curation, I.C.; writing—original draft preparation, I.C.; writing—review and editing, R.S.-G., B.F., J.T.F. and M.M.; supervision, J.T.F. and M.M. All authors have read and agreed to the published version of the manuscript.

Funding

This research was funded by the European Union—NextGenerationEU, project no. 34 TRANSFORM—Digital transformation of the forestry sector for a more resilient and low-carbon economy. Project co-financed by Centro 2020, Portugal 2020, and the European Union, through the ESF (European Social Fund).

Data Availability Statement

Simulation data available from the corresponding authors upon reasonable request.

Conflicts of Interest

The authors declare no conflicts of interest.

References

  1. ICNF. 6.º Inventário Florestal Nacional; Technical Report; Instituto da Conservação da Natureza e das Florestas: Algés, Portugal, 2015. [Google Scholar]
  2. ICNF. Portugal Perfil Florestal; Technical Report; Instituto da Conservação da Natureza e das Florestas: Algés, Portugal, 2021. [Google Scholar]
  3. Hernández-Morcillo, M.; Torralba, M.; Baiges, T.; Bernasconi, A.; Bottaro, G.; Brogaard, S.; Bussola, F.; Díaz-Varela, E.; Geneletti, D.; Grossmann, C.M.; et al. Scanning the solutions for the sustainable supply of forest ecosystem services in Europe. Sustain. Sci. 2022, 17, 2013–2029. [Google Scholar] [CrossRef] [PubMed]
  4. Lazdinis, M.; Angelstam, P.; Pülzl, H. Towards sustainable forest management in the European Union through polycentric forest governance and an integrated landscape approach. Landsc. Ecol. 2019, 34, 1737–1749. [Google Scholar] [CrossRef]
  5. Angelstam, P.; Grodzynskyi, M.; Andersson, K.; Axelsson, R.; Elbakidze, M.; Khoroshev, A.; Kruhlov, I.; Naumov, V. Measurement, collaborative learning and research for sustainable use of ecosystem services: Landscape concepts and Europe as Laboratory. Ambio 2013, 42, 129–145. [Google Scholar] [CrossRef] [PubMed]
  6. Fischer, A.P. Forest landscapes as social-ecological systems and implications for management. Landsc. Urban Plan. 2018, 177, 138–147. [Google Scholar] [CrossRef]
  7. Côté, P.; Tittler, R.; Messier, C.; Kneeshaw, D.D.; Fall, A.; Fortin, M.J. Comparing different forest zoning options for landscape-scale management of the boreal forest: Possible benefits of the TRIAD. For. Ecol. Manag. 2010, 259, 418–427. [Google Scholar] [CrossRef]
  8. Himes, A.; Betts, M.; Messier, C.; Seymour, R. Perspectives: Thirty years of triad forestry, a critical clarification of theory and recommendations for implementation and testing. For. Ecol. Manag. 2022, 510, 120103. [Google Scholar] [CrossRef]
  9. Himes, A.; Bauhus, J.; Adhikari, S.; Barik, S.K.; Brown, H.; Brunner, A.; Burton, P.J.; Coll, L.; D’Amato, A.W.; Diaci, J.; et al. Forestry in the Face of Global Change: Results of a Global Survey of Professionals. Curr. For. Rep. 2023, 9, 473–489. [Google Scholar] [CrossRef]
  10. Aplet, G.H.; Mckinley, P.S. A portfolio approach to managing ecological risks of global change. Ecosyst. Health Sustain. 2017, 3. [Google Scholar] [CrossRef]
  11. Hagerman, S.M.; Pelai, R. Responding to climate change in forest management: Two decades of recommendations. Front. Ecol. Environ. 2018, 16, 579–587. [Google Scholar] [CrossRef]
  12. Ontl, T.A.; Janowiak, M.K.; Swanston, C.W.; Daley, J.; Handler, S.; Cornett, M.; Hagenbuch, S.; Handrick, C.; McCarthy, L.; Patch, N. Forest Management for Carbon Sequestration and Climate Adaptation. J. For. 2020, 118, 86–101. [Google Scholar] [CrossRef]
  13. Swanston, C.W.; Janowiak, M.K.; Brandt, L.A.; Butler, P.R.; Handler, S.D.; Shannon, P.D.; Lewis, A.D.; Hall, K.; Fahey, R.T.; Scott, L.; et al. Forest Adaptation Resources: Climate Change Tools and Approaches for Land Managers, 2nd ed.; General Technical Reports; U.S. Department of Agriculture, Forest Service, Northern Research Station: Newtown Square, PA, USA, 2016; 161p. [CrossRef]
  14. Kolström, M.; Lindner, M.; Vilén, T.; Maroschek, M.; Seidl, R.; Lexer, M.J.; Netherer, S.; Kremer, A.; Delzon, S.; Barbati, A.; et al. Reviewing the Science and Implementation of Climate Change Adaptation Measures in European Forestry. Forests 2011, 2, 961–982. [Google Scholar] [CrossRef]
  15. Lindner, M.; Schwarz, M.; Spathelf, P.; de Koning, J.; Jandl, R.; Viszlai, I.; Vančo, M. Adaptation to Climate Change in Sustainable Forest Management in Europe; Forest Europe Liaison Unit Bratislava: Bonn, Germany, 2020. [Google Scholar]
  16. Schmitt, K.M.; Ontl, T.A.; Handler, S.D.; Janowiak, M.K.; Brandt, L.A.; Butler-Leopold, P.R.; Shannon, P.D.; Peterson, C.L.; Swanston, C.W. Beyond planning tools: Experiential learning in climate adaptation planning and practices. Climate 2021, 9, 76. [Google Scholar] [CrossRef]
  17. Ananda, J.; Herath, G. A critical review of multi-criteria decision making methods with special reference to forest management and planning. Ecol. Econ. 2009, 68, 2535–2548. [Google Scholar] [CrossRef]
  18. Kaya, A.; Bettinger, P.; Boston, K.; Akbulut, R.; Ucar, Z.; Siry, J.; Merry, K.; Cieszewski, C. Optimisation in Forest Management. Curr. For. Rep. 2016, 2, 1–17. [Google Scholar] [CrossRef]
  19. Carlsson, J.; Lidestav, G.; Bjärstig, T.; Svensson, J.; Nordström, E.M. Opportunities for integrated landscape planning—The broker, the arena, the tool. Landsc. Online 2017, 55, 1–20. [Google Scholar] [CrossRef]
  20. Ciccarino, I.D.M.; Fernandes, M.E.d.S.T. A bibliometric review of stakeholders’ participation in sustainable forest management. Can. J. For. Res. 2023, 54, 252–267. [Google Scholar] [CrossRef]
  21. Hoganson, H.M.; Rose, D.W. A Simulation Approach for Optimal Timber Management Scheduling. For. Sci. 1984, 30, 220–238. [Google Scholar] [CrossRef]
  22. Borges, J.; Hoganson, H. Assessing the impact of management unit design and adjacency constraints on forestwide spatial conditions and timber revenues. Can. J. For. Res. 1999, 29, 1764–1774. [Google Scholar] [CrossRef]
  23. Ducheyne, E.I.; Wulf, R.R.D.; Baets, B.D. Single versus multiple objective genetic algorithms for solving the even-flow forest management problem. For. Ecol. Manag. 2004, 201, 259–273. [Google Scholar] [CrossRef]
  24. Brahim, D.B.; Kobayashi, M.; Ali, M.A.; Khatir, T.; Elmeliani, M.E.A.E. Metaheuristic Optimization Algorithms: An overview. HCMCOU J. Sci. Adv. Comput. Struct. 2024, 14. [Google Scholar] [CrossRef]
  25. Fotakis, D.G.; Sidiropoulos, E.; Myronidis, D.; Ioannou, K. Spatial genetic algorithm for multi-objective forest planning. For. Policy Econ. 2012, 21, 12–19. [Google Scholar] [CrossRef]
  26. Falcão, A.; Borges, J. Designing an Evolution Program for Solving Integer Forest Management Scheduling Models: An Application in Portugal. For. Sci.-Wash. 2001, 47, 158–168. [Google Scholar] [CrossRef]
  27. Deb, K.; Pratap, A.; Agarwal, S.; Meyarivan, T. A fast and elitist multiobjective genetic algorithm: NSGA-II. IEEE Trans. Evol. Comput. 2002, 6, 182–197. [Google Scholar] [CrossRef]
  28. Back, P. AI for Optimal and Sustainable Forest Management. Ph.D. Thesis, Aalto University, Espoo, Finland, 2022. [Google Scholar]
  29. Bell, E.F. Mathematical Programing in Forestry. J. For. 1977, 75, 317–319. [Google Scholar] [CrossRef]
  30. Shan, Y. Examining the Potential of Particle Swarm Optimization for Spatial Forest Planning and Developing a Solution Quality Index for Heuristic Techniques. Ph.D. Thesis, University of Georgia, Athens, GA, USA, 2010. [Google Scholar]
  31. Buongiorno, J.; Gilless, J.K. Decision Methods for Forest Resource Management; Academic Press: Cambridge, MA, USA, 2003. [Google Scholar]
  32. Dantzig, G.B. Maximization of a linear function of variables subject to linear inequalities. Act. Anal. Prod. Alloc. 1951, 13, 339–347. [Google Scholar]
  33. Davis, L.S.; Johnson, K.N.; Bettinger, P.; Howard, T.E. Forest Management: To Sustain Ecological, Economic, and Social Values; Waveland Press Inc.: Long Grove, IL, USA, 2001. [Google Scholar]
  34. Muys, B.; Hynynen, J.; Palahí, M.; Lexer, M.J.; Fabrika, M.; Pretzsch, H.; Gillet, F.; Briceño, E.; Nabuurs, G.J.; Kint, V. Simulation tools for decision support to adaptive forest management in Europe. For. Syst. 2011, 3, 86. [Google Scholar] [CrossRef]
  35. Kangas, A.; Kurttila, M.; Hujala, T.; Eyvindson, K.; Kangas, J. Decision Support for Forest Management; Springer: Cham, Switzerland, 2015. [Google Scholar] [CrossRef]
  36. White, W. A Dynamic Programming Approach to Optimal Forest Stand Management Regimes in Coastal British Columbia. Ph.D. Thesis, Simon Fraser University, Burnaby, BC, Canada, 1988. [Google Scholar]
  37. Heikkinen, T. On optimal forest management: A dynamic programming approach. Int. J. Soc. Syst. Sci. 2011, 3, 217. [Google Scholar] [CrossRef]
  38. Liu, Z.; Peng, C.; Work, T.; Candau, J.N.; Desrochers, A.; Kneeshaw, D. Application of machine-learning methods in forest ecology: Recent progress and future challenges. Environ. Rev. 2018, 26, 339–350. [Google Scholar] [CrossRef]
  39. Sturtevant, B.R.; Fall, A.; Kneeshaw, D.; Simon, N.P.P.; Papaik, M.J.; Berninger, K.; Doyon, F.; Morgan, D.G.; Messier, C. A Toolkit Modeling Approach for Sustainable Forest Management Planning: Achieving Balance between Science and Local Needs. Ecol. Soc. 2007, 12, 7. [Google Scholar] [CrossRef]
  40. Liu, G.; Han, S.; Zhao, X.; Nelson, J.D.; Wang, H.; Wang, W. Optimisation algorithms for spatially constrained forest planning. Ecol. Model. 2006, 194, 421–428. [Google Scholar] [CrossRef]
  41. Reeves, C. Modern Heuristic Techniques for Combinatorial Problems; John Wiley & Sons, Inc.: New York, NY, USA, 1993. [Google Scholar]
  42. Kangas, J. The Analytic Hierachy Process (AHP): Standard Version, Forestry Application and Advances. In Multiple Use of Forests and Other Natural Resources; Springer: Dordrecht, The Netherlands, 1999; pp. 96–105. [Google Scholar] [CrossRef]
  43. Shan, Y.; Bettinger, P.; Cieszewski, C.; Wang, W. Pitfalls and potential of particle swarm optimization for contemporary spatial forest planning. For. Syst. 2012, 21, 468–480. [Google Scholar] [CrossRef]
  44. Ducheyne, E. Multiple Objective Forest Management Using GIS and Genetic Optimisation Techniques. Ph.D. Thesis, Ghent University, Ghent, Belgium, 2003. [Google Scholar]
  45. Pukkala, T. Introduction to Multi-Objective Forest Planning. In Multi-Objective Forest Planning; Springer: Dordrecht, The Netherlands, 2002; Section 1; pp. 1–19. [Google Scholar] [CrossRef]
  46. Holland, J.H. Adaptation in Natural and Artificial Systems; MIT Press: Cambridge, MA, USA, 1992. [Google Scholar]
  47. Reeves, C. Genetic Algorithms. In Handbook of Metaheuristics; Springer: Boston, MA, USA, 2010; Volume 146, pp. 109–139. [Google Scholar] [CrossRef]
  48. Srinivas, M.; Patnaik, L.M. Genetic Algorithms: A Survey. Computer 1994, 27, 17–26. [Google Scholar] [CrossRef]
  49. Bettinger, P.; Boston, K.; Siry, J.P.; Grebner, D.L. Forest Management and Planning; Academic Press: Cambridge, MA, USA, 2016. [Google Scholar]
  50. Jin, X.; Pukkala, T.; Li, F. Fine-tuning heuristic methods for combinatorial optimization in forest planning. Eur. J. For. Res. 2016, 135. [Google Scholar] [CrossRef]
  51. Bettinger, P.; Graetz, D.; Boston, K.; Sessions, J.; Chung, W. Eight heuristic planning techniques applied to three increasingly difficult wildlife planning problems. Silva Fenn. 2002, 36, 545. [Google Scholar] [CrossRef]
  52. Pukkala, T.; Kurttila, M. Examining the performance of six heuristic optimisation techniques in different forest planning problems. Silva Fenn. 2005, 39, 396. [Google Scholar] [CrossRef]
  53. Fonseca, C.M.; Fleming, P.J. Genetic Algorithms for Multiobjective Optimization: Formulation, Discussion and Generalization. Icga 1993, 93, 416–423. [Google Scholar]
  54. Horn, J.; Nafpliotis, N.; Goldberg, D.E. Niched Pareto genetic algorithm for multiobjective optimization. In Proceedings of the IEEE Conference on Evolutionary Computation, Orlando, FL, USA, 27–29 June 1994; Volume 1. [Google Scholar] [CrossRef]
  55. Deb, K.; Datta, D.; Fonseca, C.M.; Lobo, F.G.; Condado, P.A.; Seixas, J. Multi-Objective Evolutionary Algorithm for Land-Use Management Problem. Int. J. Comput. Intell. Res. 2007, 3, 371–384. [Google Scholar] [CrossRef]
  56. Ducheyne, E.; Wulf, R.; Baets, B.D. A Spatial Approach to Forest-Management Optimization: Linking GIS and Multiple Objective Genetic Algorithms. Int. J. Geogr. Inf. Sci. 2006, 20, 917–928. [Google Scholar] [CrossRef]
  57. Næsset, E. Estimating timber volume of forest stands using airborne laser scanner data. Remote Sens. Environ. 1997, 61, 246–253. [Google Scholar] [CrossRef]
  58. Kurttila, M. The spatial structure of forests in the optimization calculations of forest planning—A landscape ecological perspective. For. Ecol. Manag. 2001, 142, 129–142. [Google Scholar] [CrossRef]
  59. Neteler, M.; Mitasova, H. Open Source GIS: A GRASS GIS Approach; Springer: New York, NY, USA, 2008; Volume 773. [Google Scholar] [CrossRef]
  60. Matthews, R.M.; Jenkins, T.A.R.; Mackie, E.D.; Dick, E.C. Forest Yield: A Handbook on Forest Growth and Yield Tables for British Forestry—Forest Research; Forestry Commission: Bristol, UK, 2016.
  61. Diéguez-Aranda, U.; Rojo-Alboreca, A.; Castedo-Dorado, F.; González, J.; Anta, M.; Crecente-Campo, F.; González-González, J.M.; Pérez Cruzado, C.; Rodríguez-Soalleiro, R.; López-Sánchez, C.; et al. Herramientas Selvícolas Para la Gestión Forestal Sostenible en Galicia; Xunta de Galicia: Catoira, Spain, 2009. [Google Scholar]
  62. Santos, H.A.; Martins, L. Ferramentas de Apoio à Gestão do Pinhal-Bravo; Ministério da Agricultura, Pescas e Alimentação: Lisboa, Portugal, 1986.
  63. Patrício, M.S. Análise da Potencialidade Produtiva do Castanheiro em Portugal. Ph.D. Thesis, Universidade Técnica de Lisboa, Instituto Superior de Agronomia, Lisboa, Portugal, 2006. [Google Scholar]
  64. Blank, J.; Deb, K. Pymoo: Multi-Objective Optimization in Python. IEEE Access 2020, 8, 89497–89509. [Google Scholar] [CrossRef]
  65. Zarei, N.; Azari, A.; Heidari, M.M. Improvement of the performance of NSGA-II and MOPSO algorithms in multi-objective optimization of urban water distribution networks based on modification of decision space. Appl. Water Sci. 2022, 12, 133. [Google Scholar] [CrossRef]
  66. Verma, S.; Pant, M.; Snasel, V. A Comprehensive Review on NSGA-II for Multi-Objective Combinatorial Optimization Problems. IEEE Access 2021, 9, 57757–57791. [Google Scholar] [CrossRef]
  67. Konak, A.; Coit, D.W.; Smith, A.E. Multi-objective optimization using genetic algorithms: A tutorial. Reliab. Eng. Syst. Saf. 2006, 91, 992–1007. [Google Scholar] [CrossRef]
  68. Deb, K.; Sindhya, K.; Okabe, T. Self-adaptive simulated binary crossover for real-parameter optimization. In Proceedings of the 9th Annual Conference on Genetic and Evolutionary Computation, London, UK, 7–11 July 2007; Association for Computing Machinery: New York, NY, USA, 2007; pp. 1187–1194. [Google Scholar] [CrossRef]
  69. Hassanat, A.; Almohammadi, K.; Alkafaween, E.; Abunawas, E.; Hammouri, A.; Prasath, V.B.S. Choosing mutation and crossover ratios for genetic algorithms-a review with a new dynamic approach. Information 2019, 10, 390. [Google Scholar] [CrossRef]
  70. Pham, D.; Karaboga, D. Intelligent Optimisation Techniques. Genetic Algorithms, Tabu Search, Simulated Annealing and Neural Networks; Springer: London, UK, 2000. [Google Scholar] [CrossRef]
  71. Jiao, L.; Shang, R.; Liu, F.; Zhang, W. Theoretical basis of natural computation. In Brain and Nature-Inspired Learning Computation and Recognition; Elsevier: Amsterdam, The Netherlands, 2020; pp. 81–95. [Google Scholar] [CrossRef]
  72. Nuhu, A.R.; Yan, X.; Opoku, D.; Homaifar, A. A niching framework based on fitness proportionate sharing for multi-objective genetic algorithm (MOGA-FPS). In Proceedings of the 2021 Genetic and Evolutionary Computation Conference Companion, Lille, France, 10–14 July 2021; Association for Computing Machinery, Inc.: New York, NY, USA, 2021; pp. 191–192. [Google Scholar] [CrossRef]
  73. Zitzler, E.; Thiele, L. Multiobjective optimization using evolutionary algorithms—A comparative case study. In Parallel Problem Solving from Nature—PPSN V, Proceedings of the 5th International Conference, Amsterdam, The Netherlands, 27–30 September 1998; Eiben, A.E., Bäck, T., Schoenauer, M., Schwefel, H.P., Eds.; Springer: Berlin/Heidelberg, Germany, 1998; pp. 292–301. [Google Scholar]
  74. Zitzler, E.; Brockhoff, D.; Thiele, L. The hypervolume indicator revisited: On the design of Pareto-compliant indicators via weighted integration. In Evolutionary Multi-Criterion Optimization, Proceedings of the 4th International Conference, EMO 2007, Matsushima, Japan, 5–8 March 2007, Proceedings 4; Springer: Berlin/Heidelberg, Germany, 2007; pp. 862–876. [Google Scholar]
Figure 1. Example of forest stands’ possible combinations, where each alternative may have different harvest ages and species occupation.
Figure 1. Example of forest stands’ possible combinations, where each alternative may have different harvest ages and species occupation.
Sustainability 16 10655 g001
Figure 2. Data encoding for the NSGA-II algorithm.
Figure 2. Data encoding for the NSGA-II algorithm.
Sustainability 16 10655 g002
Figure 3. Map of the region selected for this case study. (a) Map of Portugal with the study area identified. (b) Map of the study area used in the simulation. (c) Map of the study area defined by the three zones.
Figure 3. Map of the region selected for this case study. (a) Map of Portugal with the study area identified. (b) Map of the study area used in the simulation. (c) Map of the study area defined by the three zones.
Sustainability 16 10655 g003
Figure 4. Hypervolume convergence curve for standard NSGA-II algorithm.
Figure 4. Hypervolume convergence curve for standard NSGA-II algorithm.
Sustainability 16 10655 g004
Figure 5. Hypervolume convergence curve for custom NSGA-II algorithm.
Figure 5. Hypervolume convergence curve for custom NSGA-II algorithm.
Sustainability 16 10655 g005
Figure 6. Comparison of Pareto fronts for the best case study using NSGA-II and custom NSGA-II algorithms. (a) Pareto front for the NSGA-II. (b) Pareto front for the custom NSGA-II.
Figure 6. Comparison of Pareto fronts for the best case study using NSGA-II and custom NSGA-II algorithms. (a) Pareto front for the NSGA-II. (b) Pareto front for the custom NSGA-II.
Sustainability 16 10655 g006
Table 1. Example of the case study stand configuration.
Table 1. Example of the case study stand configuration.
Minimum Harvest AgeMaximum Harvest AgeSilvicultural System
Stand 1-I
Pinus pinaster2080Clearcut
Quercus robur60120Shelterwood
Stand 9-I
Pinus pinaster3060Shelterwood
Quercus robur40120Clearcut
Stand 9-II
Quercus robur40120Shelterwood
Stand 9-III
Pinus pinaster2050Shelterwood
Table 2. Parameters used for testing both NSGA-II algorithms.
Table 2. Parameters used for testing both NSGA-II algorithms.
Parameters Tested
Population size50, 100, 200
Number of generations100, 200, 500
Crossover probability0.7, 0.9
Mutation probability0.5, 0.1, 0.01, 0.002, 0.001
Table 3. Performance metrics for optimal parameter configuration of the standard NSGA-II.
Table 3. Performance metrics for optimal parameter configuration of the standard NSGA-II.
Algorithm NSGA-II
pop = 50
n_gen = 100
pop = 100
n_gen = 200
pop = 200
n_gen = 500
Crossover0.90.70.90.70.90.90.7
Mutation0.0010.0010.50.0020.50.50.10.0020.0020.0010.0020.1
Solutions171615143432272798918988
Runtime (s)2.192.412.172.038.59.257.748.2952.5453.6751.7045.41
Spacing0.080.100.090.110.050.050.060.050.020.020.020.02
Hypervolume0.700.660.640.580.760.740.760.710.790.770.770.78
Table 4. Performance metrics for optimal parameter configuration of the custom NSGA-II.
Table 4. Performance metrics for optimal parameter configuration of the custom NSGA-II.
  Custom NSGA-II
pop = 50
n_gen = 100
pop = 100
n_gen = 200
pop = 200
n_gen = 500
Crossover0.70.90.70.90.70.90.90.7
Mutation0.50.50.0010.0020.50.50.10.0020.0020.050.010.001
Solutions5033212055964036123112109106
Runtime (s)18.347.161.941.9626.7172.9211.337.7750.8051.69129.3951.72
Spacing0.020.030.100.100.020.010.040.050.020.020.020.02
Hypervolume0.750.720.700.670.750.760.720.700.780.740.760.78
Table 5. Final example of the produced management plans.
Table 5. Final example of the produced management plans.
StandSpeciesHarvest Age (Year)Volume (m3)
1Pinus pinaster653603.22
Quercus robur554449.66
9Pinus pinaster5012,035.93
Disclaimer/Publisher’s Note: The statements, opinions and data contained in all publications are solely those of the individual author(s) and contributor(s) and not of MDPI and/or the editor(s). MDPI and/or the editor(s) disclaim responsibility for any injury to people or property resulting from any ideas, methods, instructions or products referred to in the content.

Share and Cite

MDPI and ACS Style

Castro, I.; Salas-González, R.; Fidalgo, B.; Farinha, J.T.; Mendes, M. Optimising Forest Management Using Multi-Objective Genetic Algorithms. Sustainability 2024, 16, 10655. https://doi.org/10.3390/su162310655

AMA Style

Castro I, Salas-González R, Fidalgo B, Farinha JT, Mendes M. Optimising Forest Management Using Multi-Objective Genetic Algorithms. Sustainability. 2024; 16(23):10655. https://doi.org/10.3390/su162310655

Chicago/Turabian Style

Castro, Isabel, Raúl Salas-González, Beatriz Fidalgo, José Torres Farinha, and Mateus Mendes. 2024. "Optimising Forest Management Using Multi-Objective Genetic Algorithms" Sustainability 16, no. 23: 10655. https://doi.org/10.3390/su162310655

APA Style

Castro, I., Salas-González, R., Fidalgo, B., Farinha, J. T., & Mendes, M. (2024). Optimising Forest Management Using Multi-Objective Genetic Algorithms. Sustainability, 16(23), 10655. https://doi.org/10.3390/su162310655

Note that from the first issue of 2016, this journal uses article numbers instead of page numbers. See further details here.

Article Metrics

Back to TopTop