Abstract
Applications including aircraft systems and electronics cooling depend on effective heat transfer. This study investigates magnetohydrodynamic (MHD) free convection and thermal radiation for heat transfer in a circular cavity filled with multi-walled carbon nanotube (MWCNT) nanofluid and containing a square obstruction. This study examines the impact of the internal geometry on heat transfer and fluid flow dynamics under three distinct boundary conditions, and it presents a comprehensive analysis based on a wide range of Hartmann (Ha) and Rayleigh (Ra) numbers. MWCNT nanofluid with high thermal conductivity was employed to enhance heat transfer efficiency, using a solid volume fraction (SVF) of 4% for MWCNTs and assuming Newtonian behavior for computational simplification. Magnetic properties were imparted to the nanofluid by assuming the dispersion of carbon nanotubes in a base fluid containing magnetic nanoparticles. Other walls were insulated, the bottom wall was heated, and a magnetic field (MF) with Ha ranging from 0 to 100 was applied. It was observed that raising Ra from 103 to 106 improved the Nusselt number (Nu) from 0.08 to 7.1 using the Galerkin finite element method. Ha increased from 0 to 100 and reduced Nu by 35%. Three boundary conditions for the square body showed that the heated conditions provided the largest Nu. By means of an increase in SVF from 0 to 0.04, the MWCNT nanofluid improved heat conductivity by 18%. Radiation effects with the radiation parameter Rd = 0.5 increased heat transmission by 22%. These results underline the importance of considering MHD and nanofluid characteristics in maximizing heat transfer for commercial purposes, and the approaches employed in this study contribute to a deeper understanding of the behavior of thermal systems under the influence of MHD and internal geometry.
1. Introduction
Free convection in enclosed cavities is an intricate phenomenon with diverse applications in engineering and technology, such as refrigerators, condensers, electronic component cooling, nuclear reactors, and solar collectors [1,2]. To comprehend and examine this phenomenon, one must take into account multiple factors, like buoyancy force, viscosity, heat conductivity, and radiation [3,4]. Maximizing fluid movement and heat transfer in enclosed cavities is essential for improving the performance and efficiency of engineering systems. Researching free convection assists in the development of optimal systems [5]. The phenomenon known as magnetohydrodynamic (MHD) free convection, or magnetoconvection, occurs when a magnetic flux interacts with the Lorentz force and the buoyancy force [6]. This interaction plays an essential role in several scientific endeavors, including combustion research, nuclear engineering, electromagnetic launch technology, geothermal energy extraction, metal casting, and microelectronic equipment [7,8].
The study of the interplay between magnetic fields and fluid dynamics in MHD-free convection is an intriguing and very significant subject of research that has wide-ranging technological implications [9]. Several common fluids, such as mineral oil and water, have limited thermal conductivity (K), leading to suboptimal heat transfer efficiency [10]. In order to address this issue, scientists have suggested incorporating solid nanoparticles (NPs) with superior K into these fluids [11]. Combining a base fluid with NPs creates an NF, which significantly improves the efficiency of the heat transfer system [12]. NFs can greatly enhance heat transfer and system performance by augmenting the K of the fluid. This leads to decreased temperature (T) differences, heightened heat transfer rates, and enhanced overall system efficiency [13,14]. Regardless, using NFs in free convection systems requires a thorough understanding and study of how they move and transfer heat in a variety of situations [15]. To get the most out of NFs in these systems, it is important to look into a lot of different factors, such as the amount and type of NPs present, the size and shape of the cavities, the thermal and flow conditions, and the impact of external fields like magnetic fields [16]. Ultimately, the utilization of NFs presents a hopeful remedy for addressing the constraints posed by low K in base fluids during the transfer of heat in systems. Adding NPs to base fluids greatly increases K and the coefficients of heat transfer, leading to better performance of free convection systems inside closed cavities. This offers a promising opportunity for the further investigation and advancement of industrial uses of NFs in heat transfer systems [17].
NFs are a specialized and effective category of fluid that can control and guide the transfer of heat in various systems. They can function as thermal control agents, manipulating and guiding the flow of heat by modifying characteristics like K and viscosity in reaction to changes in T or external triggers. The ability to manipulate T makes NFs appealing and valuable for several industrial applications [18]. The study of free convection in a closed circle poses significant complexity and challenges in the fields of fluid mechanics and heat transfer. This is primarily due to the unique shape of the cavity and the intricate interplay between fluid flow and heat transfer within it [19]. The existence of walls within a circular cavity leads to intricate and uneven flow patterns, which have an impact on the transfer of heat within the cavity; hence, they complicate the task of accurately predicting and analyzing it. In addition, the walls in a fluid flow introduce both upright and horizontal velocity components, which have a substantial impact on the convective transfer of heat. The velocity components can generate intricate and uneven T gradients within the cavity, significantly impacting the distribution of T [20]. The concave structure of the walls in the circular configuration can lead to areas of limited or reduced fluid movement in the lower sections of the cavity. This can impact the localized transmission of heat and result in areas of excessive heat or cold within the cavity [21].
To comprehend and forecast the movement and exchange of heat in these particular areas, it is necessary to conduct meticulous analysis and employ advanced numerical techniques with high levels of accuracy [22]. The aspect ratio of the cavity, T boundary conditions, and fluid characteristics are additional parameters that affect free convection in the circular cavity, adding to the complexity of the problem. To comprehend the impact of these parameters on flow and heat transfer behavior, it is necessary to conduct thorough parametric studies and analyze the data using numerical and experimental methods [23]. Researchers in this field are conducting extensive research because of the notable benefits of using NFs for free convection in intricate cavities [24]. They foresee that progress in nanotechnology and the enhancement of nanofluids will facilitate the proliferation of free convection applications in future industries and technologies [25]. Sheikholeslami et al. [26] conducted research investigating the impact of MHD on the transfer of heat in an L-shaped cavity with a bent angle. The researchers filled the cavity with a nanofluid (NF) and evaluated the system using the control volume finite element method (CVFEM). The K and effective viscosity of the NF were calculated utilizing the KKL correlation (Koo–Kleinstreuer–Li). The computation accounted for the influence of Brownian motion on the effective K. The findings indicated that the Nusselt number (Nu) exhibits a positive correlation with both the Rayleigh number (Ra) and the solid volume percentage of NPs. Conversely, it has a negative correlation with the Hartmann number (Ha) and the bent angle. Moreover, the augmentation in heat transport has a reciprocal correlation with the Ha and Ra. Zamily et al. [27] examined the impact of a consistent magnetic flux on the flow of free convection. They employed the finite element method, specifically the vorticity formulation, to conduct their investigation. The researchers looked at how different things, like the Ra, Ha, and NP volume fractions, affected the flow patterns, the T distributions, and how well heat was transferred within the cavity. The findings indicated that the rate of heat transfer exhibited an upward trend as the Ra and NP volume fractions rose, but it had a downward trend with the increase in Ha. The influence of the magnetic flux on heat transmission intensified as the Ra increased and diminished as the NP volume fraction rose. This interaction enhances convective currents, improves flow patterns, and reduces the effects of viscosity, all of which lead to improved heat transfer performance.
Elshehabey et al. [28] conducted a study on the phenomenon of natural convection in a cavity (L-shaped) with a tilted angle. Their study also took into account the effects of walls with varying temperatures and magnetic fields at a tilted angle. The fully implicit finite difference method was employed for the analysis. The findings demonstrated that the existence of a magnetic flux has a substantial impact on the fluid flow and heat transfer properties, leading to a significant reduction. Incorporating copper NPs into the base fluid yields a significant enhancement in the transfer rate. A study by Hussein et al. [29] used computers to look into the MHD free convection flow and heat transfer in a T-shaped enclosure that was filled with different kinds of nanoparticles. The findings indicated that the mean Nu rises as the Reynolds number (Re), tilt angle, aspect ratio, source location, and solid volume fraction (SVF) of NPs increase. Conversely, it declines as the Ha and source length grow.
Laidoudi et al. [30] conducted a numerical simulation of the buoyancy-driven flow in an F-shaped container filled with an NF consisting of Ag/water. The heated vertical wall to the left of the container induced a horizontal magnetic flux in the container. Sheikholeslami et al. [31] investigated the impact of the magnetic field on free convection in a semi-cylindrical cavity, where the wall experienced a constant heat flux. They used the control volume finite element method to conduct their investigation. The findings indicated that the Ha and the angle of inclination of the cavity serve as influential factors at several Re values. Sheikholeslami et al. [32] utilized the Boltzmann network technique to investigate the influence of the magnetic field on heat transfer during free convection in a horizontal, two-dimensional annulus filled with an aluminum oxide–water NF. The study revealed that an increase in Ha leads to a decrease in the maximum flow function. Additionally, the Nu is directly proportional to the Re but inversely proportional to the Ha. A study by Hussein et al. [33] used a computer to show how a copper–water NF with MHD properties would naturally flow in an open cavity. The investigation employed the lattice Boltzmann method (LBM). It was discovered that the magnitudes of the stream function reduced dramatically as the Ha increased, while these magnitudes increased when the Ra increased. The SVF exerted a substantial influence on the stream function and heat transmission, which were contingent upon the Ha and Ra.
A study by Narrein et al. [34] used computer simulations to look into the thermal and hydraulic properties of a laminar pulsating flow in a 3D model of a helical microchannel heat sink (HMCHS). They used an NF made up of Al2O3 particles mixed in water. The researchers discovered that using sinusoidal velocity inlet circumstances instead of constant flow conditions significantly improves the heat transfer performance. Li et al. [35] conducted a numerical study to investigate the heat transfer of an alumina/water NF in a 2D square cavity inclined at a 45-degree angle to the horizontal. The study focused on the effects of free convection and radiation. Their findings indicate that as the Ha increased, there was a corresponding 30% decrease in heat transfer and a 25% reduction in entropy formation when radiation was not present. However, when radiation was present, the reduction in entropy generation was 29%. Mostafazadeh et al. [36] performed a simulation to investigate the transfer of heat and the laminar flow of an NF in an upright channel. They considered the impact of radiation and used both single-phase and two-phase methods. They performed the simulation under specific surface T and surface heat flux conditions. Their findings indicate that the Nu increases as the Ra, heat of NPs, and magnetic number increase, while it decreases as the Ha and radiation parameter (Rd) increase.
A study by Alizadeh et al. [37] looked into how magnetohydrodynamic convection and radiation affected a hexagonal enclosure that was partially heated and filled with an SWCNT/water nanofluid. They found that as the Ra increases, the Nu along the heated wall of the enclosure also increases, and the velocity distribution at the vertical midpoint rises. As the Ha increases, both the flow functions and Nu experience a reduction. In the hot state, the flow functions T and speed have the highest values, while in the cold state they have the lowest values. Haq et al. [38] created a framework to investigate the thermal control of natural heat transfer in a porous cavity filled with an NF made of CuO and water. They used the KKL model to determine the K and viscosity. The findings indicated that the flow field and T field intensified as the Re increased, whereas the fluid velocity reduced as the SVF increased. The heat transfer rate declined as a result of the rise in solid volume percentage and the fall in Re, which were caused by the prevailing convection.
Bagh Ali et al. [39] explored the effects of microgravity and micropolarity on mixed convection flow in the presence of magnetic fields and heat sources. Their study focused on the flow behavior over a stretching vertical sheet. The Glariken method was applied to conduct parametric simulations, evaluating factors such as reduced skin friction, fluid velocity, microrotation, heat transfer rate, and thermal properties. The findings indicated that as the amplitude and magnetic parameters increased, the oscillatory behavior of the reduced skin friction factor intensified. Additionally, the fluid temperature rose with stronger magnetic fields. Furthermore, the fluid velocity was found to have an inverse relationship with the magnetic parameter but showed a direct correlation with the material parameter.
Liaqat et al. [40] analyzed the transient magnetohydrodynamic nanofluid flow over a stretching surface using the Cattaneo–Christov heat flux framework. They examined how temperature-dependent viscosity influences heat transfer in a moving sheet with varying heat generation, assuming an inverse relationship between viscosity and temperature. Through appropriate transformations, the partial differential equations were reformulated into a system of non-linear ordinary differential equations. The transformed equations were then solved using the variational finite element method. The results showed that increasing the viscosity parameter led to thicker thermal and concentration boundary layers in the nanofluid, along with higher temperatures and nanoparticle concentrations. Moreover, it was observed that higher values of the thermal relaxation parameter caused a reduction in fluid temperature.
Sohaib Abdal et al. [41] investigated the effects of bioconvection and activation energy on the transportation of a Reiner–Rivlin nanofluid over a rotating disk with partial slips. The impact of increasing values of the Reiner–Rivlin fluid parameter K on the velocity profile showed a decrease. For greater values of the wall slip coefficients, a uniformly greater torque is required for the rotating disk.
This study was carried out employing the standard Galerkin finite element method. Given the crucial role of precise heat transfer regulation across diverse sectors, including electronics, aerospace, and energy production, understanding the effects of magnetohydrodynamic (MHD) free convection on these processes is vital for technological advancements. This paper aims to improve cooling and heating systems by investigating the combined effects of MHD radiation and natural convection within a circular cavity filled with an MWCNT nanofluid. This study introduces several key innovations differentiating it from previous research. A primary innovation lies in exploring the impact of internal geometry on heat transfer and fluid flow dynamics. Specifically, this research incorporates an internal square obstacle, investigating its influence under three distinct boundary conditions: heated, adiabatic, and cold. This approach broadens this study’s scope and enhances our understanding of how geometric configurations affect heat transfer and fluid flow, providing deeper insights into thermal system performance. Furthermore, the analysis encompasses a wide range of Ha and Ra numbers, adding comprehensiveness to the research. This allows for a more thorough examination of system behavior under varying conditions, enriching the understanding of MHD convection dynamics. Additionally, the utilization of an MWCNT nanofluid, known for its superior thermal conductivity, represents another significant advancement. The integration of this advanced material underscores this study’s focus on enhancing heat transfer efficiency and highlights the potential of employing cutting-edge technologies in thermal management applications. An SVF of 4% was used for the MWCNTs in this study. This choice was made considering similar studies employing SVFs up to 5%, and to simplify the calculations and analysis by assuming Newtonian behavior for the nanofluid. It is noteworthy that MWCNTs are inherently non-magnetic; however, in our model, magnetic properties were imparted to the nanofluid by assuming the dispersion of carbon nanotubes in a base fluid (water) containing magnetic nanoparticles. The remainder of this paper is organized as follows: Section 2 describes the governing equations, geometrical configuration, and numerical methodology employed in this study. Section 3 presents the validation of the model and the results of the numerical simulations, followed by a detailed discussion of the findings. Finally, Section 4 concludes the study by summarizing the key results and outlining potential future research directions.
2. Governing Equations and Geometrical Configuration
This study looks into what effect a magnetic flux has on the flow of heat inside a partially hot circular cavity that is filled with an MWCNTs/water NF and has a square body inside it. The MWCNTs/water NF fills the enclosed cavity in this system. The cavity’s lower wall maintains a higher temperature than the rest due to partial heating. The remaining parts of this wall are assumed to be adiabatic, implying that no transfer of heat occurs through them. The upper wall is also considered to be fully adiabatic. The magnetic flux influences the system by introducing a Lorentz force that interacts with the natural convection currents induced by temperature gradients. This interaction tends to suppress the movement of the fluid, thereby reducing the strength of convective currents and, consequently, the overall heat transfer efficiency. The influence of the magnetic flux is quantified using the Ha, which represents the ratio of magnetic forces to viscous forces in the fluid. Higher Ha values correspond to stronger magnetic effects, leading to a more pronounced damping of fluid motion and heat transfer. The cavity maintains four inclined walls at a constant cold temperature (Tc), defining them as cold regions with a fixed T lower than the hot section of the lower wall. This setup creates an interaction between the warm and cold regions, where heat transfer and fluid flow are influenced by the applied magnetic field.
The inner square body of the enclosed space is subjected to three distinct boundary conditions: adiabatic, cold, and hot. A uniform MF is applied to the enclosed space. This magnetic field acts as an external force, influencing heat transfer and fluid flow. Gravity is assumed to act in the negative y-direction, meaning that the gravitational force is directed downward, which can affect the free convection currents induced by T differences [41]. The effects of free convection and thermal radiation are also considered in this system, meaning that both radiative heat transfer and convective heat transfer (due to natural fluid movement) are examined. The geometry under investigation is illustrated in Figure 1 and Figure 2, and the properties of the MWCNTs/water NF are listed in Table 1. These properties are specifically defined for the NF used in this system and serve as important inputs for the numerical simulations and transfer of heat analyses.
Figure 1.
Geometry of circular cavity with an Internal Square Body and its boundary conditions.
Figure 2.
Computational grid of the geometry under investigation.
Table 1.
Properties of MWCNTs/water NF [42].
Given the assumptions made, the governing partial differential equations for the problem have been simplified. In this study, it is assumed that the thermophysical properties of the NF remain constant, except for density variations, which are accounted for using the Boussinesq model. This model states that density variations only affect the buoyancy force, while other properties are considered to be constant. The NF is composed of uniformly shaped and sized NPs that are evenly distributed throughout the base fluid. Furthermore, thermal equilibrium is assumed between the water and NPs, with no slippage at their interface. The fluid flow is considered to be laminar, Newtonian, and steady, meaning that there are no temporal variations in velocity and pressure, and the fluid properties exhibit linear behavior. With these assumptions, the governing equations for the problem are formulated to accurately examine the effects of the MF and heat transfer in the presence of the NF. These equations enable researchers to thoroughly analyze the thermal and dynamic behavior of the system under these simplified conditions.
Based on the assumptions, the governing equations for the system under study are as follows [32]:
where is the absorption coefficient and is the Stefan–Boltzmann constant.
These equations denote the fluid velocity components in the horizontal and upright directions as u and v, respectively. These components define the speed and direction of fluid movement at any point within the domain. The parameter T* represents the T field of the fluid, while (p) is the pressure in the system, indicating the force exerted per unit area at several points in the fluid flow.
The thermophysical properties of the NF, which play a crucial role in these equations, include several key parameters. The density () represents the mass of the NF per unit volume and directly influences the fluid’s dynamic and thermal behavior. The dynamic viscosity (μnf) describes the fluid’s resistance to deformation under shear stress, affecting the fluid flow. The thermal expansion coefficient (βnf) indicates the change in fluid volume in response to T variations, which is fundamental to convective phenomena. Additionally, the K of the materials drives the thermal diffusivity (αnf), which quantifies the rate at which heat conducts through the NF in response to T gradients.
These properties have been meticulously incorporated into the equations to accurately model fluid behavior and the transfer of heat within the system. Furthermore, specific boundary conditions have been defined for the problem. These boundary conditions include the values of T, velocity, and pressure at several boundaries of the system, acting as key inputs to the governing equations and playing a significant role in determining the system’s final response. These conditions are formulated to accurately simulate the effects of the magnetic field, the properties of the NF, and the system’s geometry on fluid flow and heat transfer. In the side parts of the investigated geometry wall
In the lower part of the studied geometry
T* represents the dimensionless temperature, while T represents the dimensional temperature. Top:
Walls:
In all inner walls in a square shape
Overall, the thermophysical properties of the fluid play a crucial role in determining the flow behavior, heat transfer, and the stability of thermal and mechanical systems. Without considering these properties, the modeling and analysis of systems would be significantly inaccurate, and the results obtained would not accurately reflect the real behavior of the system. Therefore, in any study that examines fluid flow and heat transfer, a precise assessment of these properties is essential to ensure that the results are consistent with real-world conditions and can be effectively used for the design and optimization of thermal and mechanical systems. Additionally, the thermophysical properties of the NF are calculated as follows [32]:
These parameters represent several specifications of the fluid and the NPs present in the system. The thermal expansion coefficients of the base fluid and the NPs, denoted by βf and βp, respectively, indicate the extent to which these materials change in volume in response to T variations. The densities of the NPs and base fluid, represented by ρf and ρp, respectively, express the mass per unit volume of these materials.
The specific heat capacities of the NPs and base fluid, denoted by (Cp)f and (Cp)p, respectively, determine the amount of energy required to raise the T of one unit mass of these materials by one degree Kelvin. Additionally, the thermal conductivities of the NPs and base fluid, represented by kf and kp, respectively, indicate the ability of these materials to conduct heat.
The dynamic viscosity of the base fluid, denoted by μf, describes the fluid’s resistance to deformation and flow. Finally, ϕi is defined as the heat of the NPs, which is the ratio of the volume of NPs to the total volume of the NF, and it has a direct impact on the thermal properties and flow behavior of the NF. Dimensionless variables are introduced into this equation [32].
In the above formulation, dimensionless parameters including the Ra, Prandtl number, Ha, and Rd are introduced to simplify the partial differential equations. The Ra represents the ratio of buoyancy forces to viscous forces in a fluid. The Prandtl number indicates the ratio of dynamic viscosity to K in a fluid. The Ha expresses the ratio of magnetic forces to viscous forces in a fluid. The Rd accounts for the effect of radiation on transfer of heat in the system.
Additionally, another dimensionless parameter, called gamma (), is introduced to eliminate pressure from the partial differential equations. In this case, the value of is set to 107. By using these dimensionless parameters, the partial differential equations can be rewritten in a dimensionless form. This means that the equations are expressed in such a way that physical variables like length, time, velocity, and T are eliminated, leaving only dimensionless parameters.
This approach simplifies the partial differential equations, making them easier to solve. Consequently, it becomes more straightforward to analyze and evaluate the behavior of the system and obtain the results [32].
In dimensionless mode, the conditions for the investigated geometry are as follows: In the outer wall of the investigated geometry
In the lower part of the studied geometry
In the upper part of the studied geometry
On all walls
In all of the square inner walls of the investigated geometry
In the external circular wall, the average Nu for the area of the wall that is hot is defined as follows:
3. Evaluating and Applying Numerical Methods
The Galerkin method, a specific approach in the FEM, involves weighting the equations with basic functions to minimize the residual error across the entire domain [40]. When dealing with fluid flow and heat transfer problems, the equations that govern them generally consist of intricate partial differential equations (PDEs), such as the Navier–Stokes equations for heat transfer and the fluid flow equations. The Galerkin approach streamlines the transformation of these complex equations across a designated area into a set of algebraic equations, which computational methods can then solve. This approach is very efficient in situations with intricate boundary conditions or geometries. Cubic interpolation is employed as a method to estimate the values of a function or physical variables on a mesh divided into triangles. In this study, an adaptive mesh refinement technique was used, specifically designed to identify areas with high gradients in physical variables such as temperature and fluid velocity. This technique allows for an increase in mesh size in regions with significant variations, thereby improving the accuracy of the calculations. The size of the mesh refinement is approximately 50% in areas with high gradients. This increase in mesh size not only aids in the accuracy of the computational results but can also impact the computation time. The initial step in this methodology involves transforming the governing partial differential equations (such as the Navier–Stokes equations for heat transfer or fluid flow equations) into a less restrictive form known as the weak form. Within each element of the domain, such as triangles or quadrilaterals, the distribution of variables (such as velocity, pressure, and T) is approximated instead of being exactly determined across the entire domain. Shape functions are commonly employed to achieve these approximations. The FEM involves partitioning the solution domain into smaller cells, such as triangles or quadrilaterals, and then conducting integration over each of them. Afterwards, equations for partial derivatives are formulated for each variable, such as velocity, pressure, or T. These derivatives are employed to calculate the rate of change in the variables throughout the domain. Upon finishing these procedures, the resultant equations are formulated as a set of linear algebraic equations, which can be depicted as a substantial matrix referred to as the Galerkin matrix. An adaptive technique is utilized to automatically detect places exhibiting large gradients (rapid changes in variables) and enhance the mesh in those areas by augmenting the number of cells. This procedure enhances the precision of the numerical answer in those specific areas. The mesh refining process will continue until it reaches the user-defined precision level. In order to verify the precision and reliability of the numerical technique employed in this research, a comparative analysis was performed between the current simulation findings and the results reported in a previously published publication by Haq et al. [32]. Figure 3 displays this comparison. The primary reason for selecting this paper was the significant geometric and physical similarities between our study and the research conducted by Haq et al. In both studies, natural convection and heat transfer in an enclosed cavity were investigated. Specifically, both studies utilized a similar geometry for the cavity and comparable boundary conditions for the modeling. Additionally, in both investigations, the Ra was considered within a similar range, which directly influences the convective flow and heat transfer rates. In both this study and the reviewed study, the upright velocity profile (v) along the y-axis was plotted when Ra = 105 and ϕ = 0 (volume fraction of nanofluid).
Figure 3.
Comparative analysis between the present simulation and Haq et al. [32].
Figure 3 clearly demonstrates the strong correlation between the simulation results obtained in this study and the experimental data presented by Haq et al. [32]. The near-perfect alignment of the upright velocity profiles at Ra = 105 and φ = 0 underscores the reliability and accuracy of the implemented Galerkin-based FEM approach. This validation not only reinforces the credibility of the numerical model but also highlights its ability to effectively capture the complex dynamics of fluid flow and heat transfer within the circular enclosure.
Building upon this validation, further investigations were conducted to explore the effects of varying the Ra and the φ on the flow and thermal characteristics of the system. It is possible to find the points where the flow changes from a laminar to a turbulent regime by changing these parameters in a planned way. This changes how well heat is transferred overall. Additionally, the impact of mesh refinement on the convergence and stability of the solution was examined. The adaptive mesh refinement technique was very helpful for accurately resolving areas with steep gradients, like boundary layers and areas with strong thermal convection, without using a lot of computing power.
Moreover, this study delved into the analysis of temperature distribution and pressure fields within the enclosure. The findings showed that higher Ra increased the convective currents. This makes temperature distributions more uniform and lowers the thermal resistance between the fluid around the square body and the fluid inside it. Conversely, variations in the φ introduced asymmetries in the flow patterns, affecting the distribution of thermal energy and potentially leading to the formation of secondary vortices.
To further enhance the robustness of the numerical model, additional comparative analyses were performed against other benchmark studies and experimental data available in the literature. These comparisons consistently showed that the model was accurate at predicting important flow and temperature factors, proving that it could be used in a wide range of thermal fluid situations. The insights gained from these comprehensive analyses not only validate the methodological framework employed but also pave the way for future optimizations and extensions of the model to more complex geometries and multi-physics scenarios.
Finally, using the Galerkin method with the finite element framework, along with adaptive mesh refinement and strong validation methods, makes for a powerful combination for accurately simulating and studying heat transfer and fluid flow. The ability to precisely control and predict the behavior of such systems holds significant implications for the design and optimization of thermal management solutions in various engineering domains.
The results indicate a high level of agreement between the two experiments, with a maximum observed error of only 4.56%. This very low error underscores the high accuracy and reliability of the numerical model employed in this research.
4. Results and Discussion
This study comprehensively investigated the effects of MFs on heat transfer in a partially hot circular cavity with an MWCNT nanofluid and an inner square body through numerical methods. The study took into account several parameters, including Ha, Ra, the length of the hot region, various conditions of the inner square body, SVF, and Rd. The Ha, a dimensionless parameter, represents the Lorentz force in fluid flow and was considered in the range of 0 to 100. An increase in Ha resulted in an increase in the Lorentz force, enhancing fluid flow control and leading to modifications in flow patterns and heat transfer. The Ra, representing the ratio of buoyancy force to viscous force, was considered in the range of 104 to 106. With an increase in Ra, the buoyancy force became stronger, leading to a rise in free convection and heat transfer. The length of the hot region was considered in the range of 0.1 to 0.4, which represents the extent of the hot region in the cavity. As the length of the hot region increased, the temperature gradient increased, resulting in an increase in free convection and heat transfer. Several conditions of the inner square body, including hot, adiabatic, and cold, were considered, which affect the fluid flow behavior and heat transfer. The SVF, which represents the presence of MWCNT NPs in the base fluid water, was considered in the range of 0 to 0.04. An increase in the SVF led to an increase in the K of the NF, which, in turn, enhanced the heat transfer efficiency. The Rd was considered in the range of 0 to 1, which represents the effect of radiation on the transfer of heat. With a rise in Rd, the effect of radiation on the transfer of heat became more significant. This study shows that several parameters can affect the fluid flow behavior and heat transfer.
Figure 4 visualizes the flow field and thermal distribution within the enclosed space using streamline and isotherm contours for a range of Ra at a fixed Ha (Ha = 0.02). The flow pattern exhibits a characteristic feature: two counter-rotating vortices symmetrically positioned around the inner shape. These vortices arise due to the interplay of the imposed boundary conditions within the confined geometry. As the fluid adjacent to the hot inner shape heats up, its density decreases, leading to buoyancy-driven upward movement until encountering the enclosure’s inclined cold walls. Subsequent compression and a change in direction lead to a downward flow, ultimately generating the observed vortex pair within the enclosure.
Figure 4.
Streamlines and isotherms for several magnitudes of Ra at Rd = 0.5, ϕ = 0.02, Ha = 50. (a) Streamlines at Re = , (b) Streamlines at Re = , (c) Streamlines at Re = , (d) isotherms at Re = , (e) isotherms at Re = , (f) isotherms at Re = .
The influence of buoyancy on the flow strength is evident through changes in the stream function, which serves as a measure of flow circulation intensity. At a relatively low Ra of 104, the stream function values remain small, suggesting that viscous forces dominate over buoyancy forces. This dominance leads to a minimal influence of both buoyancy and natural convection on the overall flow within the enclosure. Nonetheless, there is a significant increase in stream function magnitudes as Ra approaches 106. The maximum value shows a considerable increase, rising from 0.08 at Ra = 104 to 7.1 at Ra = 106. This notable increase suggests a reinforcement of the flow, attributed to the amplified influence of natural convection at elevated Ra values.
Furthermore, Figure 4 illustrates the evolution of the flow pattern with increasing Ra. The smaller vortices present at lower Ra values tend to diminish as Ra reaches 106. The thermal field also displays notable variations. At low Ra (e.g., Ra = 104), the isotherms surrounding the inner shape exhibit a symmetrical, smooth, and closely spaced pattern, generally parallel to the inclined walls of the enclosure. This suggests that heat transfer is predominantly through conduction under these conditions.
As the Ra increases, the isotherm contours become more distorted and asymmetrical, indicating the growing influence of convection on the transfer of heat. The isotherms become more widely spaced and exhibit a more complex pattern, particularly near the hot inner shape and the inclined walls. This behavior suggests that convective transfer of heat becomes more dominant at higher Ra, leading to enhanced mixing and heat distribution within the closed space.
These findings highlight the importance of considering the Ra when analyzing and designing systems involving free convection in enclosed spaces with inner heat sources. By understanding the relationship between the Ra and the flow and thermal fields, researchers and engineers can optimize the performance of such systems and develop more efficient cooling or heating strategies.
Figure 5 shows the variation in the Nu in a circular enclosure with an inner square body as a function of the Ra. Nu, a dimensionless parameter, is commonly used as a criterion to evaluate heat transfer performance in convective systems, representing the ratio of convective to conductive heat transfer. In this figure, it is evident that Nu increases along the lower heated section of the circular enclosure as Ra rises, reaching its maximum value at Ra = (106). This increase can be attributed to the enhancement of free convection as Ra increases, given that Ra signifies the relative strength of buoyancy forces compared to viscous forces. As Ra increases, the buoyancy force becomes stronger, leading to an increase in free convection and, consequently, a rise in heat transfer. Furthermore, Figure 5 illustrates that Nu along the lower heated section initially decreases before experiencing a subsequent increase. This fluctuating pattern is evident across all investigated Ra values. The interplay between the enclosure’s geometry and the inner square body may explain this behavior. The presence of the inner square body introduces significant geometric constraints that influence the flow field within the enclosure. The sharp edges and corners of the square body can disrupt the natural convection currents, leading to localized regions of higher or lower heat transfer rates. Flow instabilities near the sharp corners occur due to abrupt changes in the flow direction, which result in the formation of vortices and turbulent regions. These vortices can cause localized increases or decreases in heat transfer rates. This phenomenon has been well documented in previous studies, which have shown that sharp corners in internal bodies can lead to flow separation near the corners, creating regions with higher or lower localized heat transfer rates. For instance, flow separation near the corners of the square body leads to the formation of regions with localized heat transfer rates that are either enhanced or diminished. In the numerical analyses conducted in this study, it was observed that flow separation around the corners of the square body, along with the formation of vortices, contributed to oscillations in the heat transfer profile. These findings are consistent with previous research, which has demonstrated that abrupt changes in geometry and the presence of sharp corners can have a significant impact on heat transfer patterns and the intensity of convective flows. Therefore, the observed oscillations in Figure 5 can be attributed to these physical phenomena.
Figure 5.
Variations in Nu along the upright mean line for several magnitudes of Ra for the lower hot portion of the outer circular wall.
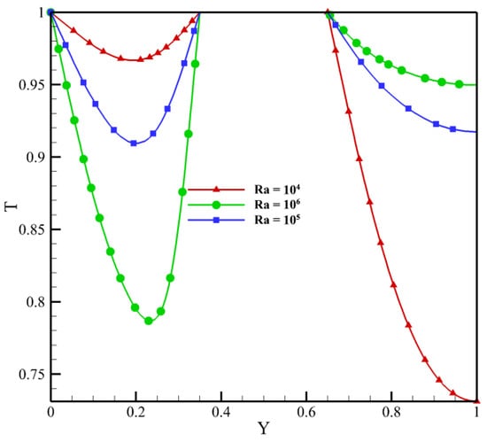
Figure 6 shows the temperature distribution along the vertical centerline of the circular closed space for different values of the Ra. Along the vertical line beneath the inner shape, the temperature exhibits a decreasing trend that intensifies with the increase in the Ra, while the opposite behavior is observed above the inner shape. This phenomenon is due to the fact that the Ra represents the ratio of buoyancy forces to viscous forces in the fluid. As the Ra increases, the buoyancy forces become stronger, thereby enhancing the convective flow in the fluid. As the Ra increases, the increased convective flow below the inner shape transfers more heat from the inner shape to the surrounding fluid, resulting in a decrease in the fluid temperature below the inner shape, which reaches its minimum value at Ra = 106 along the centerline at Y = 0.2. Alternatively, the increased convective flow above the inner shape makes it easier for more heat to move from the warmer fluid below to the fluid above the inner shape. This causes the temperature of the fluid above the inner shape to rise as the Ra rises.
Figure 6.
Variations in T along the upright mean line for several values of Ra.
Figure 7 illustrates the velocity distribution along the vertical centerline of the circular closed space for several values of the Ra. With an increase in the Ra, free convective heat transfer in the system is enhanced. The Ra is a dimensionless parameter that represents the ratio of buoyancy forces to viscous forces in the fluid. The higher the Ra, the more dominant the buoyancy forces are, resulting in a stronger free convection flow. As Ra increases, a greater temperature difference is created between the hot and cold surfaces of the system. This temperature difference causes the fluid density near the hot surface to decrease, while the density near the cold surface increases. These density changes lead to the creation of buoyancy forces in the fluid, such that the warmer and lighter fluid tends to rise, while the colder and denser fluid tends to sink. With the increase in buoyancy forces, the fluid motion within the cavity is intensified, and the flow velocity increases. The warmer fluid rises from the hot surface, while the colder fluid moves towards the cold surface, creating a circulating flow within the cavity. The higher the Ra, the stronger this circulating flow and fluid velocity will be. The increase in flow velocity with increasing Ra, in turn, enhances the convective heat transfer in the system. When the fluid moves at a higher velocity, it effectively transfers heat from the hot surfaces to the cold surfaces, thereby increasing the overall heat transfer rate in the system. Therefore, an increase in the Ra leads to the strengthening of buoyancy forces, an increase in flow velocity and, ultimately, the enhancement of free convective heat transfer in the system. This relationship between Ra, flow velocity, and heat transfer has been observed and confirmed in various studies and plays a significant role in understanding and optimizing free convective heat transfer systems.
Figure 7.
Variations in velocity along the upright mean line for several magnitudes of Ra.
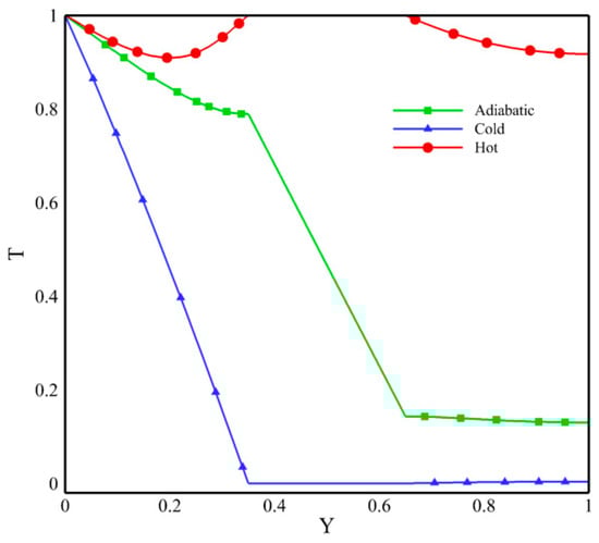
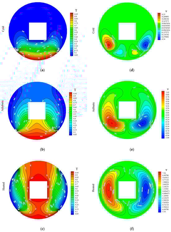
Figure 8 illustrates the streamline and T contours for various conditions applied to the inner square body at φ = 0.02 and Ra = 105. The results indicate that the NF circulation intensifies as the conditions of the inner square body change from cold to adiabatic to hot. The enhancement in NF circulation implies a change in the flow pattern and a more pronounced fluid motion as the conditions of the inner square body vary. Under cold conditions, symmetrical rotating vortices are observed below the inner shape and in close proximity to the circular space’s lower wall.
Figure 8.
Isotherms (a–c) and streamlines (d–f) for several conditions of the inner square body.
Adiabatic conditions cause the inner shape’s vortices to noticeably increase in size and spread out to the inner shape’s upper edge. This growth in vortex size signifies an intensification of NF circulation as the inner square body’s conditions transition to adiabatic. In the case of hot conditions, the vortices undergo a substantial expansion, occupying the entire region within the circular space. When hot conditions expose the inner square body, a dramatic rise in vortex size indicates a severe enhancement in NF circulation.
In the hot condition, the maximum stream function value increases from 0.41 to 0.6, and then to 0.84. This progressive rise in the maximum stream function value confirms the escalation of NF circulation as the inner square body’s conditions vary.
The conditions of the inner shape also significantly influence the thermal field. Under cold conditions, isotherms form in the vicinity of the hot region along the lower wall and beneath the inner shape, while the remaining regions within the circular space maintain a low T. As the conditions transition to adiabatic, the isotherms expand further compared to the cold condition, extending from the adiabatic inner shape to the hot side at the circular space’s lower wall. When hot conditions prevail, the isotherms encompass the entire circular space. The hot NF adjacent to the hot region at the lower wall and surrounding the hot inner shape expands, and as it moves away from these regions, the T gradually reduces until reaching the inclined cold walls. These findings indicate that the conditions of the inner square body affect the circulation of the NF and the thermal field. Changes in the conditions of the inner square body lead to changes in the circulation of the NF and the thermal field. In general, the results show that the conditions of the inner square body are an important parameter in the design and optimization of thermal and fluid systems and should be carefully considered.
Figure 9, Figure 10 and Figure 11 illustrate the variations in Nu within the circular closed space. As mentioned earlier, several types of boundary conditions—cold, adiabatic, and hot—were investigated for this shape.
Figure 9.
Variations in Nu for several conditions of the inner square body at Rd = 0.5, Ha = 50, and ϕ = 0.02.
Figure 10.
Variations in T along the upright mean line for several conditions of the inner square body at Rd = 0.5, Ha = 50, and ϕ = 0.02.
Figure 11.
Variations in velocity along the upright mean line for several conditions of the inner square body at LT = 0.2, Rd = 0.5, Ha = 50, and ϕ = 0.02.
Figure 9 shows that the Nu on the lower hot wall of the circular closed space reduces with the change in the inner square body condition from cold to adiabatic to hot. This decrease in Nu means that free convection reduces with the change in the inner square body condition. Additionally, the Nu on the lower hot wall reaches a limit and then increases. This phenomenon can be attributed to the change in the flow pattern and convection in the circular closed space. For T, the profiles for several conditions were observed. These findings indicate that the inner square body condition affects free convection and Nu in the circular closed space. Changes in the inner square body condition lead to changes in free convection and Nu. The results show that the inner square body condition is an important parameter in the design and optimization of thermal and fluid systems and should be carefully considered. Changing the inner square body condition can alter free convection and Nu, leading to an improvement in efficiency. The results of this research also apply to circular geometry with an inner square space. With the change in the inner square body condition, free convection and Nu in the circular closed space change. Figure 9 illustrates that the Nu on the lower hot wall of the circular closed space decreases as the condition of the inner square body changes from cold to adiabatic to hot. This reduction in Nu indicates that free convection diminishes with the change in the inner square body condition. This decrease in free convection can be attributed to the alteration of the temperature gradient and the resulting buoyancy forces within the circular closed space. When the inner square body is cold, it creates a significant temperature difference between the hot lower wall and the cold square body. This temperature gradient induces strong buoyancy forces, which drive the fluid motion and enhance free convection. As a result, the Nu on the lower hot wall is higher, indicating efficient heat transfer. However, when the inner square body condition changes to adiabatic, it means that there is no heat transfer between the square body and the surrounding fluid. This adiabatic condition reduces the temperature gradient and weakens the buoyancy forces, leading to a decrease in free convection. Consequently, the Nu on the lower hot wall diminishes. Furthermore, when the inner square body becomes hot, the temperature difference between the hot lower wall and the square body is minimized. This reduction in the temperature gradient further suppresses the buoyancy forces and free convection. As a result, the Nu on the lower hot wall reaches its lowest value among the three conditions. The phenomenon of Nu reaching a limit and then increasing can be explained by the change in the flow pattern and convection within the circular closed space. As the inner square body condition changes, it alters the fluid flow dynamics and the formation of convection cells. The presence of the square body obstructs the fluid motion and modifies the convection patterns, leading to the observed behavior of Nu. The temperature profiles for different conditions further support the impact of the inner square body condition on free convection and Nu. The variation in temperature profiles indicates that the heat transfer characteristics are influenced by the square body condition.
Figure 12 illustrates the impact of varying SVF on fluid flow and T distribution at an Ra value of 105. As the SVF increases, the stream function, representing fluid circulation, significantly decreases. The addition of nanoparticles significantly increases the fluid viscosity, leading to this reduction in circulation. Consequently, as the SVF increases, the maximum fluid circulation in the pure fluid decreases and reaches its minimum value for the NF. Furthermore, the symmetrical vortices around the inner shape merge as the SVF rises, indicating a shift in the fluid flow pattern. Interestingly, the addition of NPs to water has a minimal effect on the T isotherms, as evidenced by the close similarity in their patterns across the entire range of SVFs (0 to 0.04). These findings indicate that the SVF affects the fluid flow circulation and the isotherm pattern. With the increase in SVF, the fluid flow circulation reduces, and the isotherm pattern does not change. In general, the results show that the SVF is an important parameter in the design and optimization of thermal and fluid systems and should be carefully considered. Changing the SVF can alter the circulation of fluid flow and the isotherm pattern, thereby enhancing efficiency. These findings can be utilized in the context of circular geometry that encompasses an inner square area. The alteration in SVF modifies the circulation of fluid flow and the isotherm pattern within the enclosed circular space. This phenomenon can be linked to alterations in the fluid flow dynamics and convection within the enclosed circular environment.

Figure 12.
Isotherms (a–c) and streamlines (d–f) for several magnitudes of SVF.
Figure 13 shows that as the SVF increases, the Nu along the lower heated wall of the circular closed space also rises. It reaches its lowest point at X = 0.15. This increase in Nu indicates that as the SVF increases, the heat transfer within the closed space also increases, leading to an increase in the average Nu. This increase in heat transfer is due to an increase in the K of the NF, which occurs when the SVF increases. NFs have higher K than pure fluids, and with the increase in SVF, the K of the NF also rises. Additionally, the Nu along the lower hot wall starts to decrease to a limited value and then rises. This phenomenon indicates that an increase in SVF alters the fluid flow pattern and heat transfer within the closed space, leading to an increase in the average Nu. These findings indicate that the SVF affects the heat transfer and Nu in the circular closed space. With the increase in SVF, the heat transfer rises, and the average Nu also increases. Figure 13 demonstrates that as the SVF increases, the Nu along the lower heated wall of the circular closed space also increases. The Nu reaches its minimum value at X = 0.15. This increase in Nu suggests that, with higher SVF, the heat transfer within the closed space is enhanced, resulting in an overall increase in the average Nu. This improvement in heat transfer can be attributed to the increase in the K of the NF as the SVF increases. The presence of nanoparticles enhances the thermal conductivity of the NF, and this effect becomes more pronounced as the SVF increases. The higher thermal conductivity of the nanoparticles allows for more efficient conduction of heat through the fluid, facilitating improved heat transfer within the closed space. As the SVF increases, the concentration of nanoparticles in the NF also increases. This higher concentration leads to a greater number of thermal conduction pathways within the fluid, enabling more effective heat transfer. The nanoparticles act as tiny heat carriers, absorbing heat from the hot regions and distributing it throughout the fluid, thereby enhancing the overall heat transfer process. Moreover, the increase in SVF can also influence the fluid flow pattern within the closed space. The presence of nanoparticles alters the rheological properties of the NF, such as viscosity and density. These changes in fluid properties can modify the convective currents and flow structures, leading to enhanced mixing and heat transfer. Nu along the lower hot wall initially decreasing to a limited value and then increasing can be explained by the interplay between the enhanced thermal conductivity and the altered fluid flow dynamics. As the SVF increases, the thermal conductivity of the NF improves, leading to better heat conduction. However, the increased concentration of nanoparticles may also affect the fluid flow pattern, potentially causing localized variations in heat transfer. The initial decrease in Nu may be attributed to these localized effects, while the subsequent increase indicates the overall enhancement in heat transfer due to the higher thermal conductivity of the NF. These findings highlight the significant impact of the SVF on the heat transfer and Nu in the circular closed space. These results suggest that increasing the SVF can be an effective strategy to enhance heat transfer and improve the average Nu. This knowledge can be applied to optimize the design of thermal systems, such as heat exchangers, cooling devices, and energy storage systems, where efficient heat transfer is crucial.
Figure 13.
Variations in Nu for several magnitudes of ϕ in conditions of Ra = 105, Ha = 50, and Rd = 0.5.
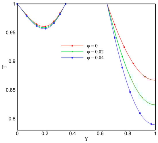
Figure 14 shows the T along the upright mean line of the circular closed space for several magnitudes of SVF. The results show that, for T, it can be said that for the upright line below the inner shape, it reduces with the decrease in SVF. This decrease in T means that, with the decrease in SVF, heat transfer in this region reduces, and T reduces. Meanwhile, with the decrease in SVF above the inner shape, T rises. This rise in T means that, with the decrease in SVF, heat transfer in this region rises, and T rises. This phenomenon means that the SVF affects the T distribution in the circular closed space.
Figure 14.
Variations in T along the upright mean line for several magnitudes of ϕ in various conditions.
Figure 15 presents the velocity profiles along the vertical centerline of the circular closed space for various values of SVF. The results indicate a clear trend: as SVF increases, the fluid velocity decreases. As SVF rises, the viscosity of the nanofluid also increases, resulting in greater resistance to fluid motion and, consequently, a decrease in velocity. The maximum velocity is observed when SVF is zero, meaning that the pure base fluid (without nanoparticles) allows for the highest fluid velocity. This trend holds true for all vertical lines examined, both above and below the inner square body.
Figure 15.
Variations in velocity along the upright mean line for several magnitudes of ϕ in conditions of Ra = 105, Ha = 50, and Rd = 0.5.
This phenomenon highlights the significant impact of SVF on the fluid dynamics within the circular enclosure. As the SVF increases, the higher concentration of nanoparticles induces a corresponding increase in the fluid’s effective viscosity. This results in a more viscous nanofluid, which suppresses fluid motion and reduces the overall velocity. Adjustments in SVF can effectively control the nanofluid’s flow characteristics, making it a valuable parameter for optimizing system performance in critical fluid flow and heat transfer applications.
In addition to reducing velocity, increasing the SVF may also influence the overall flow pattern within the enclosure. A more viscous fluid could lead to changes in convection currents, potentially altering the boundary layer development and the distribution of heat throughout the system. These effects can have a profound impact on the efficiency of heat transfer, as slower fluid motion may reduce the rate of convective heat transport, particularly in systems where natural convection is the primary mode.
Moreover, the ability to control fluid velocity by varying the SVF offers a practical avenue for optimizing the performance of nanofluids in thermal systems. For instance, in situations where slower fluid movement is desirable—such as in systems that require more stable, uniform temperature distributions—a higher SVF may be beneficial. Conversely, when enhancing heat removal requires faster fluid motion, one may prefer a lower SVF to maintain higher fluid velocities and improve convective heat transfer.
In summary, Figure 15 underscores the crucial role that the SVF plays in determining fluid velocity within a confined circular space. By increasing the SVF, the fluid becomes more viscous, leading to a reduction in velocity, which, in turn, affects the overall flow dynamics and heat transfer behavior of the system. These findings suggest that the SVF is not only a key factor in controlling heat transfer but also an important variable for managing fluid motion, offering valuable insights for the design and optimization of nanofluid-based thermal systems.
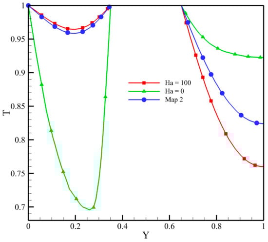
Figure 16 presents the isotherm contours and streamline within the circular closed space for several Ha values: ϕ = 0.02 and Ra = 105. The results demonstrate that the Ha serves as a measure of the relative significance of MHD flow. The buoyancy force drives the dominance of free convection, ensuring robust flow circulation in the absence of an MF. This leads to elevated stream function values. However, as the MF becomes more dominant with increasing Ha, the Lorentz force induced by the applied magnetic field strengthens and becomes more influential, while the buoyancy force gradually diminishes. This finding suggests that the magnetic field can be effectively employed to regulate free convection within the closed space.

Figure 16.
Isotherms (a–c) and streamlines (d–f) for several magnitudes of Ha in various conditions.
Furthermore, increasing the Ha substantially influences the flow field structure within the enclosure. Notably, the dimensions of the smaller vortices expand, evolving from a solitary small vortex at Ha = 0 to multiple larger vortices at Ha = 100. Examining the isotherms, at Ha = 0, they are densely clustered near the lower area around the inner configuration and heated wall, displaying a curved profile and close spacing, especially near the lower heated wall, which signifies the dominance of convective heat transfer. As Ha rises (50 < Ha < 100), the isotherms diverge near the lower heated wall and beneath the inner configuration, while converging above the inner configuration compared to their counterparts at Ha = 0. This phenomenon suggests a shift towards conduction as the dominant heat transfer mechanism within the 50 < Ha < 100 range.
In conclusion, the magnetic field plays a crucial role in the design and optimization of thermal and fluid systems and should be carefully considered. By manipulating the magnetic field, free convection and the flow field pattern can be altered, leading to improved system performance. The Ha serves as a key parameter in understanding and controlling the behavior of MHD flows in such systems.
Figure 17 illustrates the relationship between the Nu and the Ha, showing a clear reduction in Nu as Ha increases. This reduction is primarily due to the significant influence of the MF as Ha rises. The Ha is a dimensionless quantity that represents the relative strength of the MF in relation to the fluid flow. As Ha increases, the MF exerts a greater damping effect on the natural convection currents within the fluid, leading to a decrease in the overall convective heat transfer. The lowest Nu is observed at Ha = 100, where the magnetic field’s influence is strongest, significantly inhibiting the free convection processes within the circular enclosure.
Figure 17.
Variations in velocity along the upright mean line for several magnitudes of Ha in various conditions.
This phenomenon indicates that the MF plays a crucial role in controlling free convection within the system. As the MF strength increases, the Lorentz forces generated by the interaction between the MF and the fluid’s motion act to suppress the convective flow. Consequently, the reduction in convective currents leads to a decrease in heat transfer efficiency, as reflected by the declining Nu. Essentially, the stronger the MF (higher Ha), the more it restrains free convection, resulting in a weakened flow and reduced heat transfer.
Interestingly, Figure 17 also shows that, after an initial decrease, the Nu along the lower hot wall reaches a certain minimum value and then begins to increase again. This non-linear behavior suggests that the MF not only affects the strength of free convection but also alters the fluid flow patterns within the enclosure. At lower Ha, the MF might not be strong enough to significantly disrupt the flow, leading to minor reductions in Nu. However, as Ha increases further, the flow becomes more stabilized due to the influence of the magnetic field, potentially causing a reorganization of the flow structures and leading to a subsequent increase in Nu. This behavior indicates that the interaction between the MF and the natural convection currents is complex and may involve secondary effects, such as boundary layer development or changes in the distribution of temperature gradients within the enclosure.
These findings highlight the importance of considering the MF as a key parameter in the design and optimization of thermal and fluid systems, especially in applications where magnetic fields are present or can be deliberately applied, such as in MHD systems or cooling technologies using magnetic fields. The ability to control free convection and heat transfer efficiency through the application of an MF provides a valuable tool for engineers and designers to fine-tune the performance of thermal systems. For instance, in systems where slower, more controlled heat transfer is desirable, a stronger MF (higher Ha) can be applied to suppress convection. Conversely, in situations where maximizing heat transfer is the primary goal, the influence of the MF can be minimized (lower Ha) to allow for more vigorous convection.
Moreover, the results suggest that the magnetic field’s effect on fluid flow patterns must be carefully considered, as it can lead to unexpected changes in the overall heat transfer behavior. The interplay between the MF and the natural convection currents can create complex flow structures, such as vortices or recirculation zones, which may either enhance or detract from the system’s heat transfer performance depending on the specific configuration and operating conditions.
In conclusion, Figure 17 demonstrates that the magnetic field, represented by the Ha, has a significant impact on both the fluid flow and heat transfer characteristics within a circular closed space. As the MF strength increases, free convection is suppressed, leading to a reduction in the Nu and overall heat transfer efficiency. However, the non-linear behavior of Nu along the lower hot wall suggests that the MF also influences the flow patterns, potentially leading to complex interactions between convection and heat transfer. These findings underscore the importance of considering the MF as a critical parameter in the design and optimization of thermal and fluid systems. By carefully adjusting the magnetic field, engineers can control free convection and optimize the system’s heat transfer performance to meet specific operational requirements.
Figure 18 illustrates the impact of the Ha on the temperature distribution and fluid flow in a circular closed space. The Ha is a dimensionless parameter that represents the ratio of electromagnetic forces to viscous forces in a fluid flow subjected to an MF. The temperature along the upright mean line of the circular closed space varies with the magnitude of the Ha. Below the inner shape, the temperature decreases with a decrease in Ha, indicating that a weaker MF promotes free convection and results in lower temperatures. Conversely, above the inner shape, the temperature increases with a decrease in Ha. The MF significantly affects the temperature distribution in the circular space. By adjusting the MF strength, the temperature distribution can be altered, potentially leading to improved efficiency in thermal and fluid systems. The MF also influences the fluid flow pattern and free convection within the circular closed space. Changing the MF can modify the fluid flow pattern and free convection, which may enhance the system’s efficiency. The Ha (or the MF) is a crucial parameter in the design and optimization of thermal and fluid systems. It should be carefully considered and optimized to achieve the desired temperature distribution and fluid flow patterns.
Figure 18.
Variations in T along the upright mean line for several magnitudes of Ha in conditions of Ra = 105, Ha = 50, and ϕ = 0.02.
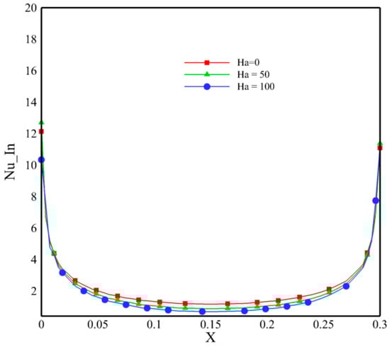
Figure 19 illustrates the relationship between the Ha and the fluid velocity along the upright mean line of a circular closed space. The Ha represents the strength of the MF applied to the fluid flow.
Figure 19.
Variations in Nu for several magnitudes of Ha in conditions of Ra = 105, Ha = 50, and ϕ = 0.02.
The fluid velocity increases with a decrease in the Ha. This inverse relationship can be attributed to the reduction in the Lorentz force, which is a force generated by the interaction between the MF and the fluid’s electrical conductivity. As the MF weakens (lower Ha), the Lorentz force decreases, allowing the fluid velocity to increase. The minimum velocity value is observed when the Ha is equal to 100 (Ha = 100). This minimum velocity point is consistent for all upright lines above and below the inner square body within the circular closed space. The MF significantly affects the fluid velocity in the circular closed space. By adjusting the MF strength, the fluid velocity can be altered, potentially leading to improved efficiency in the system. The MF also influences the fluid flow pattern and free convection within the square closed space. Changing the MF can modify the fluid flow pattern and free convection, which may enhance the system’s efficiency. By understanding the relationship between the MF and fluid velocity, engineers and researchers can optimize the system’s performance by adjusting the MF strength to achieve the desired fluid velocity and flow patterns.
In summary, this text emphasizes the significant impact of the MF (represented by the Ha) on the fluid velocity and flow patterns in a circular closed space containing a square inner body. The inverse relationship between the Ha and fluid velocity is highlighted, with a minimum velocity observed at Ha = 100. By manipulating the MF, the fluid velocity and flow patterns can be optimized to improve the system’s efficiency.
Figure 20 illustrates the significant influence of the Rd on the fluid flow dynamics and temperature distribution within a circular closed space, considering an SVF of 0.02 and an Ra of 105. The findings reveal that increasing the value of Rd from 0 to 1 led to a substantial alteration in the pattern of rotating vortices within the enclosure.

Figure 20.
Isotherms (a–c) and streamlines (d–f) for several magnitudes of Rd in conditions of Ra = 105, Ha = 50, and ϕ = 0.02.
At low radiation levels (Rd ≈ 0), the fluid flow is characterized by two symmetrically positioned vortices surrounding the inner shape. These vortices are driven by the temperature gradient between the hot inner shape and the cooler inclined walls of the enclosure. As the radiation parameter is increased to 0.5, a notable change in the flow pattern emerges. Two additional secondary vortices develop below the inner shape, indicating the growing influence of radiative heat transfer on the fluid dynamics.
Further increasing the radiation parameter to unity (Rd = 1) leads to a more pronounced effect on the flow structure. The secondary vortices that formed at Rd = 0.5 continue to expand in size, occupying a larger portion of the closed space. This observation emphasizes the pivotal role that radiation plays in dictating the fluid flow pattern and the extent of free convection within the enclosure.
Moreover, the results demonstrate that increasing the radiation parameter enhances the heat transfer process between the cold inclined walls and the NF present within the closed space. This improved heat exchange can be attributed to the increased contribution of radiative heat transfer, which facilitates the redistribution of thermal energy within the enclosure. Consequently, it can be concluded that higher values of Rd positively influence the overall free convection process, leading to more efficient heat transfer and fluid mixing.
The findings of this study have significant implications for the design and optimization of thermal and fluid systems involving closed spaces. The radiation parameter proves to be a critical factor that should be carefully considered to achieve desired performance characteristics. By understanding the interplay between radiation, fluid flow, and temperature distribution, engineers and researchers can develop more efficient and effective systems across various applications, such as heat exchangers, solar collectors, and energy storage devices.
In conclusion, the data presented in Figure 20 shed light on the complex interplay between the radiation parameter, fluid flow patterns, and temperature distribution within a circular closed space. The results highlight the importance of considering radiative heat transfer in the analysis and design of thermal and fluid systems, as it significantly influences the formation and evolution of vortices, as well as the overall heat transfer performance. Further research in this area could lead to the development of optimized systems that harness the benefits of radiative heat transfer for enhanced efficiency and functionality.
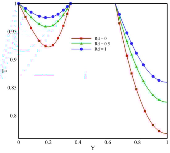
The results highlight the significance of accounting for radiative heat transfer when analyzing and designing systems involving free convection in the presence of NFs. By understanding the interplay between the Rd and the fluid flow dynamics, engineers and researchers can develop more efficient and effective thermal management solutions for a wide range of applications. For temperature, it was observed that increasing Rd clearly increases the T, especially at the point between the lower hot wall and below the inner shape. This phenomenon means that the Rd affects the T distribution within the closed space. By changing the Rd, the fluid flow pattern and T distribution can be changed in the circular closed space, and the efficiency can be improved. The results show that the Nu increases with the rise in Rd. This implies that thermal radiation increases heat transfer between the NF and the walls of the closed space, resulting in a rise in the average Nu. This phenomenon means that the Rd affects the heat transfer and Nu in the closed space. With the rise in Rd, the transfer of heat between the closed space’s walls and the NF increases, and as a result, the average Nu rises. Additionally, the Nu reduces to a limited value along the lower hot wall and then increases. This point is repeated for all of the measured values of Rd. This phenomenon means that the Rd affects the fluid flow pattern and free convection in the closed space. With the rise in Rd, the fluid flow pattern and free convection in the closed space change, and as a result, the average Nu increases, as shown in Figure 21.
Figure 21.
Variations in Nu for several magnitudes of Rd in conditions of ϕ = 0.02, Ha = 50, and Ra = 105.
Figure 22 presents the velocity profiles for different values of the Rd. The results show that, for T, below the inner square body, the temperature decreases as Rd decreases. This reduction in temperature indicates that, with a decrease in Rd, the heat transfer between the inner square body and the NF diminishes, leading to a drop in temperature. On the other hand, with an increase in Rd above the inner square body, the temperature increases. This phenomenon suggests that, with an increase in Rd, the heat transfer between the inner square body and the NF is enhanced, resulting in a rise in temperature. The Rd is a dimensionless number that quantifies the relative importance of radiative heat transfer compared to conductive heat transfer. It is defined as the ratio of the radiative heat flux to the conductive heat flux. A higher value of Rd indicates a stronger influence of radiation on the overall heat transfer process. When Rd decreases, it means that the contribution of radiation to the total heat transfer is reduced. In this case, the dominant mode of heat transfer becomes conduction. As a result, the heat transfer between the inner square body and the NF is primarily governed by the thermal conductivity of the fluid and the temperature gradient. With a lower Rd, the radiative heat exchange between the surfaces is diminished, leading to a reduction in the temperature below the inner square body. Conversely, when Rd increases, the role of radiation in the heat transfer process becomes more significant. Radiation allows for the transfer of heat through electromagnetic waves, even in the absence of a temperature gradient. As Rd increases, the radiative heat exchange between the surfaces intensifies, facilitating the transfer of heat from the inner square body to the surrounding NF. This enhanced radiative heat transfer leads to an increase in the temperature above the inner square body. In the case of the inner square body and the NF, as Rd increases, the emissivity of the surfaces becomes more significant. Higher emissivity allows for more efficient emission and absorption of radiation, enhancing the radiative heat exchange between the surfaces. This increased radiative heat transfer leads to a rise in the temperature of the NF above the inner square body. Furthermore, the presence of the NF itself can influence the radiative heat transfer. Nanofluids, which contain suspended nanoparticles, have been shown to exhibit enhanced optical properties compared to pure fluids. The nanoparticles can scatter and absorb radiation, altering the radiative heat transfer characteristics of the fluid. The specific optical properties of the nanoparticles, such as their size, shape, and material, can impact the overall radiative behavior of the NF.
Figure 22.
The variations in T along the upright mean line for several values of Rd under the conditions of ϕ = 0.02, Ha = 50, and Ra = 105.
Figure 23 illustrates the T distribution along the upright mean line of the circular enclosure for various magnitudes of the Rd. Concerning velocity, a rise in Rd corresponds to a rise in velocity along all upright lines both above and below the inner square body. This rise in velocity indicates that, with an increase in the Rd, the transfer of heat between the inner square body and the NF improves, resulting in a rise in fluid velocity. These findings imply that the Rd affects the fluid velocity in the circular enclosed space. By adjusting the Rd, the fluid velocity can be modified, thereby enhancing the system’s efficiency. Consequently, it can be concluded that the Rd is a crucial factor in the design and optimization of thermal and fluid systems and must be carefully considered. By varying the Rd, the fluid velocity can be altered, leading to improved system performance.
Figure 23.
The variations in velocity along the upright mean line for several Rd values under the conditions of ϕ = 0.02, Ha = 50, and Ra = 105.
5. Conclusions
This study examined the flow field of an MWCNTs/water NF and free convection in an enclosed circular space with a partially heated inner square body using the Galerkin finite element method. The results showed that raising the Ra from 103 to 106 improved the Nu from 0.08 to 7.1. Additionally, increasing the Ha from 0 to 100 lowered the Nu by 35%. Three boundary conditions (hot, adiabatic, and cold) for the square body showed that the heated condition provided the largest Nu. By means of increasing the SVF from 0 to 0.04, the MWCNT nanofluid improved heat conductivity by 18%. Radiation effects with a radiation parameter Rd = 0.5 increased heat transmission by 22%.
The results also showed that the Nu and velocity distribution along the upright mean line increased with increasing radiation. The top and bottom edges of the inner square body showed the maximum Nu at the inlet for all radiation values, while the side edges showed the lowest Nu. As radiation increased, the temperature below the inner square body’s upright line decreased, whereas the behavior above the shape reversed.
Furthermore, both the outlet and inlet Nu rose with increasing radiation, whereas the stream function and outlet Nu decreased with increasing Ha. The fluid velocity reduced with increasing radiation and decreasing Ha but increased at all upright lines above and below the inner square body. Finally, the temperature below the upright line of the inner square body reduced with decreasing radiation and Ha, while the temperature above the shape increased with increasing radiation and decreasing Ha.
We can apply these findings in the design and optimization of various thermal and fluid systems, such as cooling systems, heating systems, and heat transfer systems. Given the circular geometry with an inner square body, it can be concluded that, by varying several parameters, free convection and the NF flow field in the enclosed circular space can be altered to enhance system efficiency. Therefore, this study can serve as a valuable reference for the design and optimization of several thermal and fluid systems. By utilizing the results of this study, systems can be optimized, and their efficiency can be improved.
Funding
This research received no external funding.
Institutional Review Board Statement
Not applicable.
Informed Consent Statement
Not applicable.
Data Availability Statement
Data available on request from author.
Acknowledgments
The author would like to express his thanks and gratitude to the Editor-in-Chief for kind consideration, and the reviewers for their valuable suggestions and constructive comments.
Conflicts of Interest
The author declares no conflict of interest.
References
- Polesek-Karczewska, S.; Hercel, P.; Adibimanesh, B.; Wardach-Świȩcicka, I. Towards Sustainable Biomass Conversion Technologies: A Review of Mathematical Modeling Approaches. Sustainability 2024, 16, 8719. [Google Scholar] [CrossRef]
- Sandoval, D.E.G.; Pérez, A.S.L.; Fajardo, C.A.G. Pea Pod Valorization: Exploring the Influence of Biomass/Water Ratio, Particle Size, Stirring, and Catalysts on Chemical Platforms and Biochar Production. Sustainability 2024, 16, 7352. [Google Scholar] [CrossRef]
- Kandeal, A.W.; Ismail, M.; Basem, A.; Elsayad, M.M.; Alawee, W.H.; Majdi, H.S.; Abdullah, A.S.; Jang, S.H. An overview of the improvement of natural convection heat transfer via surface thermal radiation for different geometries. Results Eng. 2024, 23, 102514. [Google Scholar] [CrossRef]
- Abbas, K.; Xinhua, W.; Rasool, G.; Sun, T.; Razzaq, I. Thermal optimization of buoyancy driven radiative engine-oil based viscous hybrid nanofluid flow observing the micro-rotations in an inclined permeable enclosure. Case Stud. Therm. Eng. 2024, 60, 104774. [Google Scholar] [CrossRef]
- Ning, T.; Huang, X.; Su, J.; Yang, X. Design and Research of Heat Storage Enhancement by Innovative Wave Fin in a Hot Water–Oil-Displacement System. Sustainability 2023, 15, 15785. [Google Scholar] [CrossRef]
- Jiang, T.; Zou, T.; Wang, G. Comparative Analysis of Thermodynamic Performances of a Linear Fresnel Reflector Photovoltaic/Thermal System Using Ag/Water and Ag-CoSO4/Water Nano-Fluid Spectrum Filters. Sustainability 2023, 15, 12538. [Google Scholar] [CrossRef]
- Gao, J.; Li, S.; Wu, F.; Ma, L. Heat Transfer Model and Thermal Insulation Characteristics of Surrounding Rock of Thermal Insulation Roadway in a High-Temperature Mine. Sustainability 2023, 15, 12555. [Google Scholar] [CrossRef]
- Choi, H.U.; Moon, K.A.; Kim, S.B.; Choi, K.H. CFD analysis of the heat transfer and fluid flow characteristics using the rectangular rib attached to the fin surface in a solar air heater. Sustainability 2023, 15, 5382. [Google Scholar] [CrossRef]
- Su, Y.; Fan, Y.; Liu, G.; Tian, M.; Li, J. A review on sustainable method to evaluate heat and moisture transfer in clothing material. Sustainability 2023, 15, 2747. [Google Scholar] [CrossRef]
- Zufar, M.; Gunnasegaran, P.; Kumar, H.M.; Ng, K.C. Numerical and experimental investigations of hybrid nanofluids on pulsating heat pipe performance. Int. J. Heat Mass Transf. 2020, 146, 118887. [Google Scholar] [CrossRef]
- Mohite, D.D.; Goyal, A.; Singh, A.S.; Ansari, M.I.; Patil, K.A.; Yadav, P.D.; Patil, M.J.; Londhe, P.V. Improvement of thermal performance through nanofluids in industrial applications: A review on technical aspects. Mater. Today Proc. 2024. [Google Scholar] [CrossRef]
- Azman, A.; Yusoff, M.Z.; Mukhtar, A.; Gunnasegaran, P.; Hamid, N.A.; Ching, N.K. Numerical study of heat transfer enhancement for mono and hybrid nanofluids flow in a straight pipe. CFD Lett. 2021, 13, 49–61. [Google Scholar] [CrossRef]
- Ng, K.C.; Ng, Y.L.; Sheu, T.W.; Mukhtar, A. Fluid-solid conjugate heat transfer modelling using weakly compressible smoothed particle hydrodynamics. Int. J. Mech. Sci. 2019, 151, 772–784. [Google Scholar] [CrossRef]
- Balocco, C.; Pierucci, G.; Piselli, C.; Poli, F.; De Lucia, M. A Dimensionless Study Describing Heat Exchange through a Building’s Opaque Envelope. Sustainability 2024, 16, 3558. [Google Scholar] [CrossRef]
- Dormohammadi, R.; Farzaneh-Gord, M.; Ebrahimi-Moghadam, A.; Ahmadi, M.H. Heat transfer and entropy generation of the nanofluid flow inside sinusoidal wavy channels. J. Mol. Liq. 2018, 269, 229–240. [Google Scholar] [CrossRef]
- Chen, L.; Yan, Z. The effect of heat-transfer law on performance of a two-heat-source endoreversible cycle. J. Chem. Phys. 1989, 90, 3740–3743. [Google Scholar] [CrossRef]
- Chen, Q.; Liang, X.-G.; Guo, Z.-Y. Entransy theory for the optimization of heat transfer–a review and update. Int. J. Heat Mass Transf. 2013, 63, 65–81. [Google Scholar] [CrossRef]
- Giwa, S.O.; Sharifpur, M.; Ahmadi, M.H.; Meyer, J.P. A review of magnetic field influence on natural convection heat transfer performance of nanofluids in square cavities. J. Therm. Anal. Calorim. 2021, 145, 2581–2623. [Google Scholar] [CrossRef]
- Ramezanizadeh, M.; Nazari, M.A.; Ahmadi, M.H.; Chau, K. Experimental and numerical analysis of a nanofluidic thermosyphon heat exchanger. Eng. Appl. Comput. Fluid Mech. 2019, 13, 40–47. [Google Scholar] [CrossRef]
- Yasin, A.; Ullah, N.; Saleem, S.; Nadeem, S.; Al-Zubaidi, A. Impact of uniform and non-uniform heated rods on free convective flow inside a porous enclosure: Finite element analysis. Phys. Scr. 2021, 96, 085203. [Google Scholar] [CrossRef]
- Aghayari, R.; Maddah, H.; Pourkiaei, S.M.; Ahmadi, M.H.; Chen, L.; Ghazvini, M. Theoretical and experimental studies of heat transfer in a double-pipe heat exchanger equipped with twisted tape and nanofluid. Eur. Phys. J. Plus 2020, 135, 252. [Google Scholar] [CrossRef]
- Valaparla, R.K.; Balasubramanian, K.; Kumar, K.K. Numerical investigation of heat transfer and fluid flow characteristics in circular wavy microchannels with sidewall rib. Chem. Prod. Process Model. 2020, 15, 20190052. [Google Scholar] [CrossRef]
- Huang, D.; Wu, Z.; Sunden, B.; Li, W. A brief review on convection heat transfer of fluids at supercritical pressures in tubes and the recent progress. Appl. Energy 2016, 162, 494–505. [Google Scholar] [CrossRef]
- Ghalambaz, M.; Mehryan, S.A.; Feeoj, R.K.; Hajjar, A. Effect of the quasi-petal heat transfer tube on the melting process of the nano-enhanced phase change substance in a thermal energy storage unit. Sustainability 2021, 13, 2871. [Google Scholar] [CrossRef]
- Ghandouri, I.E.; Maakoul, A.E.; Saadeddine, S.; Meziane, M. A comprehensive review of methods used to improve the thermal performance of heat sinks in natural convection. Heat Mass Transf. 2023, 59, 825–849. [Google Scholar] [CrossRef]
- Sheikholeslami, M.; Ganji, D.D.; Gorji-Bandpy, M.; Soleimani, S. Magnetic field effect on nanofluid flow and heat transfer using KKL model. J. Taiwan Inst. Chem. Eng. 2014, 45, 795–807. [Google Scholar] [CrossRef]
- Al-Zamily, A.M.J. Effect of magnetic field on natural convection in a nanofluid-filled semi-circular enclosure with heat flux source. Comput. Fluids 2014, 103, 71–85. [Google Scholar] [CrossRef]
- Elshehabey, H.M.; Hady, F.M.; Ahmed, S.E.; Mohamed, R.A. Numerical investigation for natural convection of a nanofluid in an inclined L-shaped cavity in the presence of an inclined magnetic field. Int. Commun. Heat Mass Transf. 2014, 57, 228–238. [Google Scholar] [CrossRef]
- Hussein, A.K.; Bakier, M.A.; Hamida, M.B.; Sivasankaran, S. Magneto-hydrodynamic natural convection in an inclined T-shaped enclosure for different nanofluids and subjected to a uniform heat source. Alex. Eng. J. 2016, 55, 2157–2169. [Google Scholar] [CrossRef]
- Laidoudi, H.; Hussein, A.K.; Mahdi, A.B.; Younis, O.; Malekshah, E.H.; Togun, H.; Biswal, U. Numerical Investigation of Buoyancy-driven Flow in a Crescent-shaped Enclosure. Jordan J. Mech. Ind. Eng. 2022, 16, 627–644. [Google Scholar]
- Sheikholeslami, M.; Gorji-Bandpy, M.; Ganji, D.D. Effect of a magnetic field on natural convection in an inclined half-annulus enclosure filled with Cu–water nanofluid using CVFEM. Adv. Powder Technol. 2013, 24, 980–991. [Google Scholar] [CrossRef]
- Sheikholeslami, M.; Gorji-Bandpy, M.; Vajravelu, K. Lattice Boltzmann simulation of magnetohydrodynamic natural convection heat transfer of Al2O3–water nanofluid in a horizontal cylindrical enclosure with an inner triangular cylinder. Int. J. Heat Mass Transf. 2015, 80, 16–25. [Google Scholar] [CrossRef]
- Hussein, A.K.; Ashorynejad, H.R.; Shikholeslami, M. Lattice Boltzmann simulation of natural convection heat transfer in an open enclosure filled with Cu–water nanofluid in a presence of magnetic field. Nucl. Eng. Des. 2014, 268, 10–17. [Google Scholar] [CrossRef]
- Narrein, K.; Sivasankaran, S.; Ganesan, P. Numerical investigation of two-phase laminar pulsating nanofluid flow in a helical microchannel. Numer. Heat Transf. Part A Appl. 2016, 69, 921–930. [Google Scholar] [CrossRef]
- Li, Z.; Hussein, A.K.; Younis, O.; Rostami, S.; He, W. Effect of alumina nano-powder on the natural convection of water under the influence of a magnetic field in a cavity and optimization using RMS: Using empirical correlations for the thermal conductivity and a sensitivity analysis. Int. Commun. Heat Mass Transf. 2020, 112, 104497. [Google Scholar] [CrossRef]
- Mostafazadeh, A.; Toghraie, D.; Mashayekhi, R.; Akbari, O.A. Effect of radiation on laminar natural convection of nanofluid in a vertical channel with single-and two-phase approaches. J. Therm. Anal. Calorim. 2019, 138, 779–794. [Google Scholar] [CrossRef]
- Alizadeh, M.; Fazlollahtabar, A.; Hussein, A.K.; Ameen, H.A.; Ganji, D.D.; Biswal, U.; Ali, B. Effect of thermal radiation and magnetic field on heat transfer of SWCNT/water nanofluid inside a partially heated hexagonal cavity. Korean J. Chem. Eng. 2023, 40, 2538–2554. [Google Scholar] [CrossRef]
- ul Haq, R.; Aman, S. Water functionalized CuO nanoparticles filled in a partially heated trapezoidal cavity with inner heated obstacle: FEM approach. Int. J. Heat Mass Transf. 2019, 128, 401–417. [Google Scholar] [CrossRef]
- Ali, B.; Raju, C.S.; Ali, L.; Hussain, S.; Kamran, T. G-Jitter impact on magnetohydrodynamic non-Newtonian fluid over an inclined surface: Finite element simulation. Chin. J. Phys. 2021, 71, 479–491. [Google Scholar] [CrossRef]
- Ali, L.; Liu, X.; Ali, B. Finite element analysis of variable viscosity impact on MHD flow and heat transfer of nanofluid using the Cattaneo–Christov model. Coatings 2020, 10, 395. [Google Scholar] [CrossRef]
- Abdal, S.; Mariam, A.; Ali, B.; Younas, S.; Ali, L.; Habib, D. Implications of bioconvection and activation energy on Reiner–Rivlin nanofluid transportation over a disk in rotation with partial slip. Chin. J. Phys. 2021, 73, 672–683. [Google Scholar] [CrossRef]
- Devi, N.R.; Gnanasekaran, M.; Satheesh, A.; Kanna, P.R.; Taler, J.; Kumar, D.S.; Taler, D.; Sobota, T. Double-diffusive mixed convection in an inclined square cavity filled with nanofluid: A numerical study with external magnetic field and heated square blockage effects. Case Stud. Therm. Eng. 2024, 56, 104210. [Google Scholar] [CrossRef]
Disclaimer/Publisher’s Note: The statements, opinions and data contained in all publications are solely those of the individual author(s) and contributor(s) and not of MDPI and/or the editor(s). MDPI and/or the editor(s) disclaim responsibility for any injury to people or property resulting from any ideas, methods, instructions or products referred to in the content. |
© 2024 by the author. Licensee MDPI, Basel, Switzerland. This article is an open access article distributed under the terms and conditions of the Creative Commons Attribution (CC BY) license (https://creativecommons.org/licenses/by/4.0/).