Numerical Investigation of the Long-Term Service Performance of Subsea Tunnel Lining Structure Considering Ion Erosion Deterioration
Abstract
1. Introduction
2. Patterns of Ion Erosion in Concrete Specimens
2.1. Numerical Model of Ion Diffusion
2.2. Parameters Setting
2.3. Validation of the Established Model
2.4. Range of Ion Diffusion
2.5. Time-Dependent Deterioration of Lining Materials
3. Long-Term Deformation Characteristics of Tunnel Lining Structures in Complex Erosion Environments
3.1. Numerical Model of Lining Treated by Ion Erosion
3.2. Constitutive Model for the Concrete and Rock Mass
3.3. Setting of Calculation Parameters and Simulation Conditions
3.4. Numerical Results
3.4.1. Characteristics of Lining Deterioration Under Ion Erosion
3.4.2. Influence of the Service Time
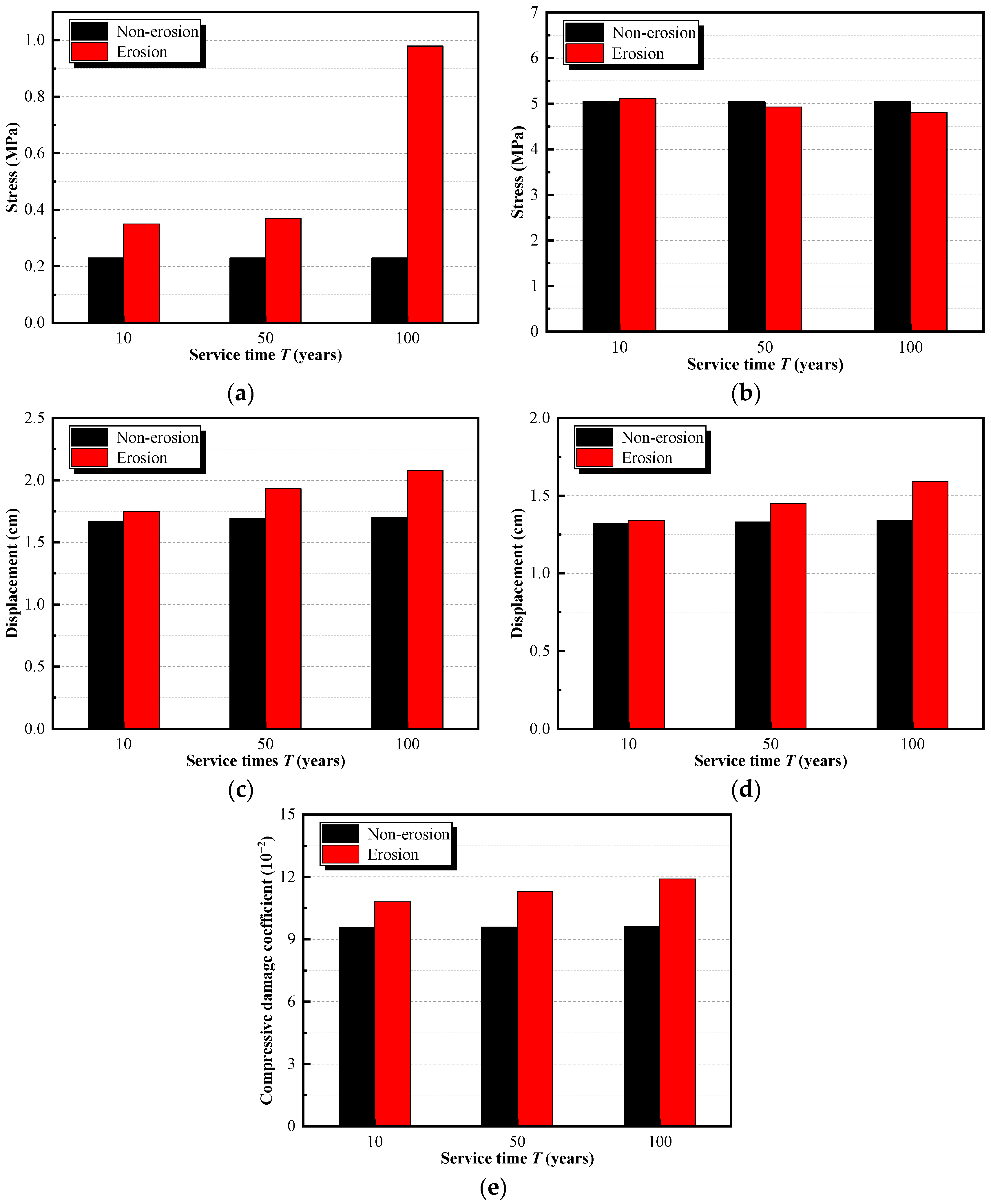
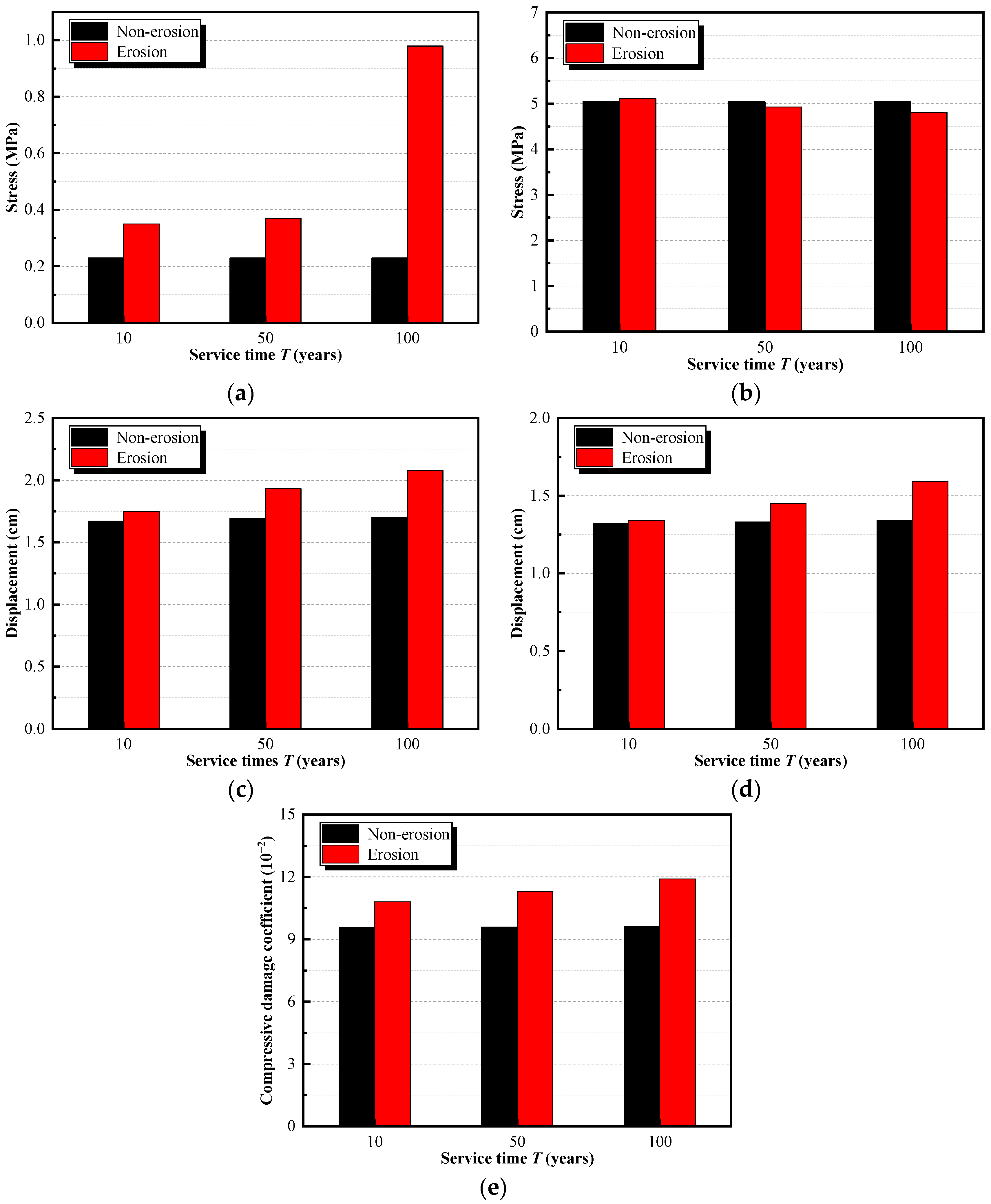
3.4.3. Influence of Ion Erosion
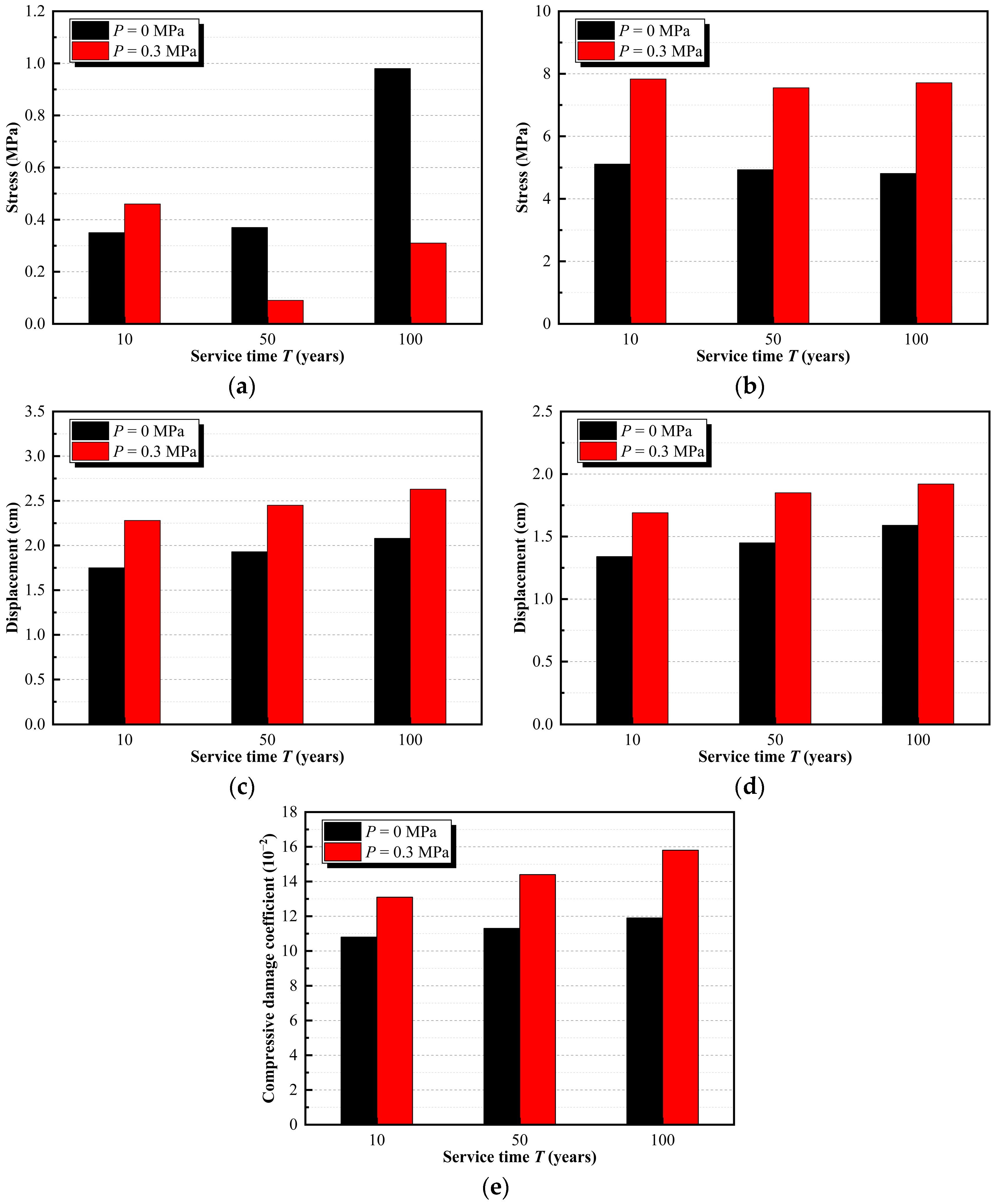
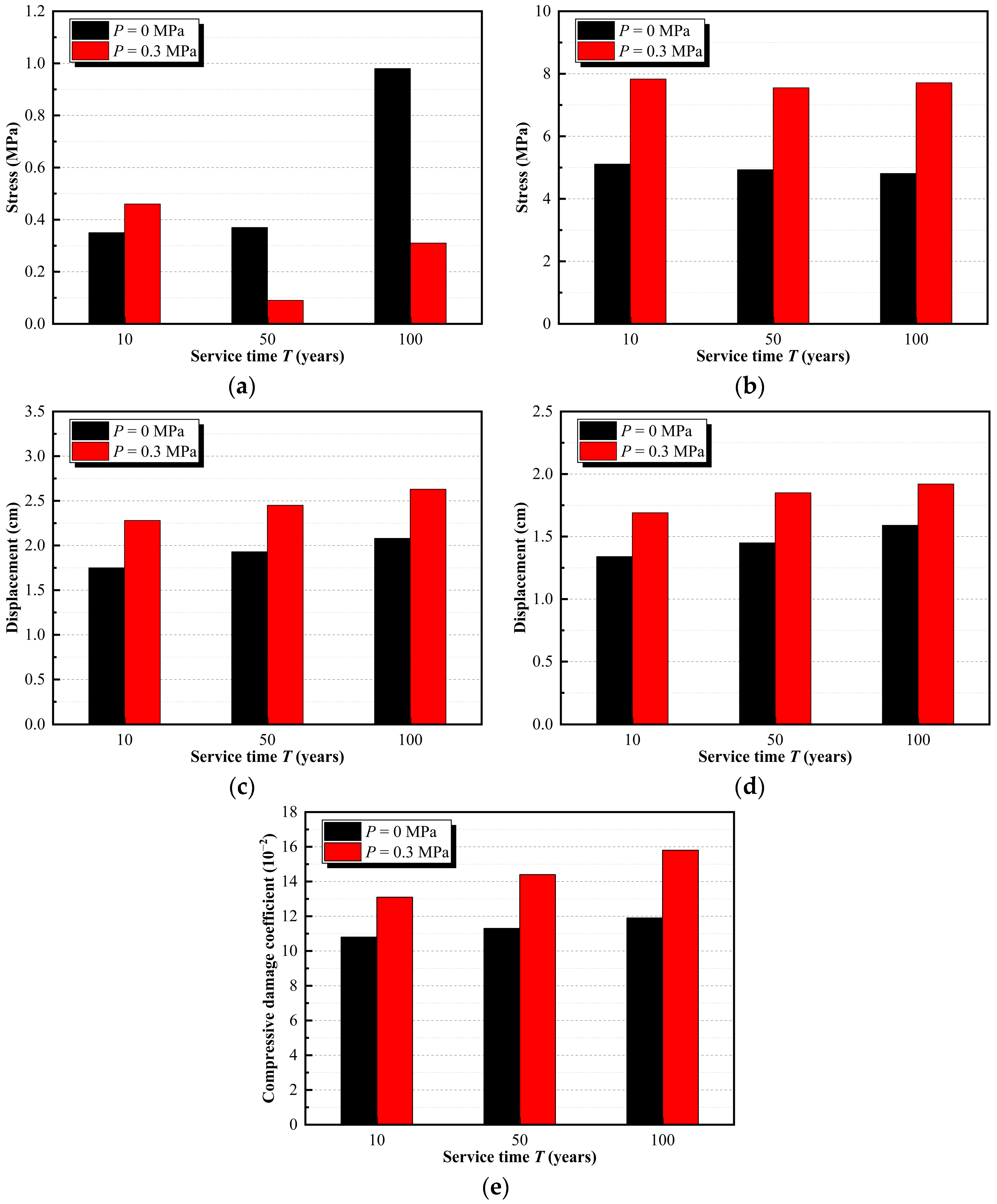
3.4.4. Influence of Water Pressure
4. Discussion
5. Conclusions
Author Contributions
Funding
Institutional Review Board Statement
Informed Consent Statement
Data Availability Statement
Acknowledgments
Conflicts of Interest
References
- Canitez, F.; Alpkokin, P.; Kiremitci, S.T. Sustainable Urban Mobility in Istanbul: Challenges and Prospects. Case Stud. Transp. Policy 2020, 8, 1148–1157. [Google Scholar] [CrossRef]
- Mitelman, A.; Giat, Y. Key Factors in the Design of Urban Underground Metro Lines. Sustainability 2024, 16, 9293. [Google Scholar] [CrossRef]
- Soraggi, D.; Costa, V.; Delponte, I. Sustainability Crossing the City: Developing a Sustainable Infrastructures System for Genoa Urban Center. In Proceedings of the International Conference on Computational Science and Its Applications, Athens, Greece, 3–6 July 2023; Volume 14111, pp. 489–507. [Google Scholar]
- Zhang, L.; Zhang, Y.; Li, H.X.; Lei, Z. Estimating Long-Term Impacts of Tunnel Infrastructure Development on Urban Sustainability Using Granular Computing. Appl. Soft. Comput. 2021, 113, 107932. [Google Scholar] [CrossRef]
- Sun, Z.; Zhang, D.; Fang, Q. Technologies for Large Cross-Section Subsea Tunnel Construction Using Drilling and Blasting Method. Tunn. Undergr. Space Technol. 2023, 141, 105161. [Google Scholar] [CrossRef]
- Song, E.; Li, P.; Lin, M.; Liu, X. The Rationality of Semi-Rigid Immersed Tunnel Element Structure Scheme and Its First Application in Hong Kong Zhuhai Macao Bridge Project. Tunn. Undergr. Space Technol. 2018, 82, 156–169. [Google Scholar] [CrossRef]
- Wang, B.; Guo, X.; Jin, H.; Li, F.; Song, Y. Experimental Study on Degradation Behaviors of Rock Bolt under the Coupled Effect of Stress and Corrosion. Constr. Build. Mater. 2019, 214, 37–48. [Google Scholar] [CrossRef]
- Chang, C.-Y.; Ive, G. The Hold-up Problem in the Management of Construction Projects: A Case Study of the Channel Tunnel. Int. J. Proj. Manag. 2007, 25, 394–404. [Google Scholar] [CrossRef]
- Chen, L.-L.; Wang, Z.-F.; Zhang, W.; Wang, Y.-Q. Characteristics, Numerical Analysis and Countermeasures of Mud Inrush Geohazards of Mountain Tunnel in Karst Region. Geomat. Nat. Hazards Risk 2023, 14, 2242691. [Google Scholar] [CrossRef]
- Vali, R.; Saberian, M.; Beygi, M.; Porhoseini, R.; Abbaspour, M. Numerical Analysis of Laterally Loaded Single-Pile Behavior Affected by Urban Metro Tunnel. Indian Geotech. J. 2020, 50, 410–425. [Google Scholar] [CrossRef]
- Mainwaring, G.; Olsen, T.O. Long Undersea Tunnels: Recognizing and Overcoming the Logistics of Operation and Construction. Engineering 2018, 4, 249–253. [Google Scholar] [CrossRef]
- Guo, J.; Yang, W.; Xu, C.; Peng, B.; Lin, J.; Qian, Y. Performance Degradation of Subsea Shield Tunnel Segment Accounting for Concrete Strength Loss and Steel Bar Corrosion. Shock Vib. 2021, 2021, 5022711. [Google Scholar] [CrossRef]
- Yokozeki, K.; Watanabe, K.; Sakata, N.; Otsuki, N. Modeling of Leaching from Cementitious Materials Used in Underground Environment. Appl. Clay Sci. 2004, 26, 293–308. [Google Scholar] [CrossRef]
- Han, Y.-C.; Jeong, S.-S. A Study on the Concrete Lining Behavior due to Tunnel Deterioration. J. Korean Geotech. Soc. 2014, 30, 21–34. [Google Scholar] [CrossRef]
- Chen, J.; Song, X.; Zhao, T.; Tian, L. Service Life Prediction of Lining Concrete of Subsea Tunnel under Combined Compressive Load and Carbonation. J. Wuhan Univ. Technol.-Mat. Sci. Edit. 2010, 25, 1061–1064. [Google Scholar] [CrossRef]
- Ding, J.; He, S.; Huang, R.; Xiao, L.; Mei, G. Investigating the Chloride Ion Resistance of Cracked Concrete through Reverse-Seepage and Saturation Based Action Anti-Corrosion Tech (RS-AAT): Experimental and Numerical Analysis. Constr. Build. Mater. 2023, 400, 132639. [Google Scholar] [CrossRef]
- Fu, Q.; Zhang, Z.; Wang, Z.; He, J.; Niu, D. Erosion Behavior of Ions in Lining Concrete Incorporating Fly Ash and Silica Fume under the Combined Action of Load and Flowing Groundwater Containing Composite Salt. Case Stud. Constr. Mater. 2022, 17, e01659. [Google Scholar] [CrossRef]
- Liu, X.; Liu, R.; Xie, X.; Zuo, J.; Lyu, K.; Shah, S.P. Chloride Corrosion Resistance of Cement Mortar with Recycled Concrete Powder Modified by Nano-Silica. Constr. Build. Mater. 2023, 364, 129907. [Google Scholar] [CrossRef]
- Yuan, Z.; Li, Q.; Li, K. Measurement Plan Targeting the Accuracy of Calibrated Chloride Ingress Model for Concrete Structures in Marine Environment. Struct. Saf. 2024, 106, 102405. [Google Scholar] [CrossRef]
- Abdellatief, M.; Hassan, Y.M.; Elnabwy, M.T.; Wong, L.S.; Chin, R.J.; Mo, K.H. Investigation of Machine Learning Models in Predicting Compressive Strength for Ultra-High-Performance Geopolymer Concrete: A Comparative Study. Constr. Build. Mater. 2024, 436, 136884. [Google Scholar] [CrossRef]
- Mortagi, M.; Ghosh, J. Consideration of Climate Change Effects on the Seismic Life-Cycle Cost Analysis of Deteriorating Highway Bridges. J. Bridge Eng. 2022, 27, 04021103. [Google Scholar] [CrossRef]
- Ye, Z.; Liu, H. Investigating the Relationship between Erosion-Induced Structural Damage and Lining Displacement Parameters in Shield Tunnelling. Comput. Geotech. 2021, 133, 104041. [Google Scholar] [CrossRef]
- Zhao, Q.; Lu, L. Durability of Subsea Tunnels under the Coupled Action of Stress and Chloride Ions. Appl. Sci. 2019, 9, 1984. [Google Scholar] [CrossRef]
- Ye, Z.; Liu, H. Modeling the Effects of Internal Erosion on the Structural Damage of a Shield Tunnel. Int. J. Geomech. 2020, 20, 04020053. [Google Scholar] [CrossRef]
- Feng, K.; Pan, J.; Xing, W.; Li, M.; Geng, J.; He, C. Experimental Study on the High Water Pressure Erosion Mechanism and Its Influence on the Submarine Shield Tunnel Concrete Segments. Constr. Build. Mater. 2023, 408, 133577. [Google Scholar] [CrossRef]
- Liu, D.; Cao, K.; Tang, Y.; Zhong, A.; Jian, Y.; Gong, C.; Meng, X. Ultrasonic and X-CT Measurement Methods for Concrete Deterioration of Segmental Lining under Wetting-Drying Cycles and Sulfate Attack. Measurement 2022, 204, 111983. [Google Scholar] [CrossRef]
- Song, H.; Chen, J.; Jiang, J. An Internal Expansive Stress Model of Concrete under Sulfate Attack. Acta Mech. Solida Sin. 2016, 29, 610–619. [Google Scholar] [CrossRef]
- Wang, H.; Chen, Z.; Li, H.; Sun, X. Numerical Simulation of External Sulphate Attack in Concrete Considering Coupled Chemo-Diffusion-Mechanical Effect. Constr. Build. Mater. 2021, 292, 123325. [Google Scholar] [CrossRef]
- Manquehual, C.J.; Jakobsen, P.D.; Holter, K.G.; De Weerdt, K.; Danner, T.; Bruland, A. Comparison of the Condition of Steel Fiber-Reinforced Shotcrete with Water-Glass and Alkali-Free Activators after More than 20 Years of Service in a Subsea Road Tunnel. Constr. Build. Mater. 2022, 328, 127090. [Google Scholar] [CrossRef]
- Manquehual, C.J.; Jakobsen, P.D.; Holter, K.G.; De Weerdt, K.; Bruland, A. Investigation of Leaching in Steel Fiber-Reinforced Shotcrete Exposed to Fresh and Saline Groundwater in a Subsea Road Tunnel. Cem. Concr. Res. 2023, 163, 107011. [Google Scholar] [CrossRef]
- Fu, J.; Zhou, A.; Wu, Y.; Li, J.; Zheng, H. Study on the Stressing State Features of Basalt Fibre Concrete Lining Structure under Sulphate Erosion. Constr. Build. Mater. 2024, 443, 137723. [Google Scholar] [CrossRef]
- Liu, S.J.; He, C.; Sun, Q.; Feng, K.; Chen, X.J. Erosion degradation mechanism of shield tunnel lining structure in corrosive ion environment. China J. Highw. Transp. 2017, 30, 125–133. (In Chinese) [Google Scholar]
- Su, S.Q.; Liu, Z.Y.; Wang, W.; Song, J.L.; Li, Y. Research progress on durability of subsea tunnel segments under erosion environment. J. Xi’an Univ. of Arch. Technol. (Nat. Sci. Ed.) 2022, 54, 633–645. (In Chinese) [Google Scholar]
- Giner, E.; Sukumar, N.; Tarancon, J.E.; Fuenmayor, F.J. An Abaqus Implementation of the Extended Finite Element Method. Eng. Fract. Mech. 2009, 76, 347–368. [Google Scholar] [CrossRef]
- Wu, S.S. Numerical Simulation of the Process of Sulfate Attack on Concrete. Master’s Dissertation, Southeast University, Nanjing, China, 2019. (In Chinese). [Google Scholar]
- Yang, M. Study on the Erosion Deterioration and Long-Term Deformation of Shield Tube Sheets in Operational Tunnels. Master’s Dissertation, Shandong University, Jinan, China, 2023. (In Chinese). [Google Scholar]
- Mateo, J.; Garcia, M.C.; Rodero, A. Using Laser-Induced Breakdown Spectroscopy for the Study of Chloride Diffusion in Mortar and Concrete. Constr. Build. Mater. 2023, 385, 131520. [Google Scholar] [CrossRef]
- Yin, Y.S.; Fan, Y.F.; Ning, W. Research on the prediction of mechanical response to concrete under sulfate corrosion based on the grey theory. IOP Conf. Ser. Earth Environ. Sci. 2018, 153, 022006. [Google Scholar] [CrossRef]
- Ma, Y.; Sheng, Q.; Zhang, G.M.; Cui, Z. A 3D discrete-continuum coupling approach for investigating the deformation and failure mechanism of tunnels across an active fault: A case study of Xianglushan tunnel. Appl. Sci. 2019, 9, 2318. [Google Scholar] [CrossRef]
- Fu, J.; Xie, J.; Wang, S.; Yang, J.; Yang, F.; Pu, H. Cracking Performance of an Operational Tunnel Lining Due to Local Construction Defects. Int. J. Geomech. 2019, 19, 04019019. [Google Scholar] [CrossRef]
- Min, B.; Zhang, C.; Zhu, W.; Zhang, X.; Li, P. Influence of Cracks at the Invert on the Mechanical Behavior of the Tunnel Structures. Thin-Walled Struct. 2021, 161, 107405. [Google Scholar] [CrossRef]
- Lee, J.; Fenves, G.L. Plastic-Damage Model for Cyclic Loading of Concrete Structures. J. Eng. Mech. 1998, 124, 892–900. [Google Scholar] [CrossRef]
- Lubliner, J.; Oliver, J.; Oller, S.; Oñate, E. A Plastic-Damage Model for Concrete. Int. J. Solids Struct. 1989, 25, 299–326. [Google Scholar] [CrossRef]
- Yang, F.; Liu, G.; Wang, Y.; Yu, S. Numerical Investigation of the Segmental Lining Performance for a Shield Tunnel. KSCE J. Civ. Eng. 2022, 26, 2443–2455. [Google Scholar] [CrossRef]
- Yan, G.; Shen, Y.; Gao, B.; Zheng, Q.; Fan, K.; Huang, H. Damage Evolution of Tunnel Lining with Steel Reinforced Rubber Joints under Normal Faulting: An Experimental and Numerical Investigation. Tunn. Undergr. Space Technol. 2020, 97, 103223. [Google Scholar] [CrossRef]
- Liu, X.; Feng, K.; He, C.; Zhang, H. Quantitative Evaluation Index for Analysis of Assembly Effect on Shield Tunnel Segment Structures. KSCE J. Civ. Eng. 2022, 26, 4117–4127. [Google Scholar] [CrossRef]
- Shang, H.; Zhou, J.; Fan, G.; Yang, G.; You, W. Study on the Bond Behavior of Steel Bars Embedded in Concrete under the Coupling of Sustained Loads and Chloride Ion Erosion. Constr. Build. Mater. 2021, 276, 121684. [Google Scholar] [CrossRef]
- Chen, C.; Chen, Y.; Cai, Z.; Zhang, X.; Zhu, P.; Liu, R.; Liu, H. Prediction Model for Equivalent Exposure Time in Indoor Dry-Wet Cycling Tests for Concrete in Marine Tidal Zones. Constr. Build. Mater. 2024, 451, 138778. [Google Scholar] [CrossRef]
- Nie, N. Prediction of Concrete Life under Coupled Dry and Wet-Sulfate Erosion Based on Damage Evolution Equation. Arch. Civ. Eng. 2023, 69, 679–692. [Google Scholar]
- Ma, D.; Zhou, D.; Zhang, M.; Cui, J.; Liu, K. Scouring Erosion Resistance of Nano-Marine Concrete under Simultaneous Flexural Load and Chloride Attack. J. Build. Eng. 2024, 86, 108621. [Google Scholar] [CrossRef]
- Zhang, S.; Xu, Q.; Ren, R.; Sui, J.; Liu, C.; Yuan, C. Chloride Transport Behaviour and Service Performance of Cracked Concrete Linings in Coastal Subway Tunnels. Materials 2021, 14, 6663. [Google Scholar] [CrossRef]
















| Density (kg/m3) | Elastic Modulus (GPa) | Poisson’s Ratio | Friction Angle (°) | Flow Stress Ratio | Expansion Angle (°) | Cohesion (MPa) | Creep Coefficients | ||
|---|---|---|---|---|---|---|---|---|---|
| A | n | m | |||||||
| 2000 | 0.6 | 0.25 | 25 | 1 | 0.1 | 0.2 | 6.8 × 10−11 | 0.8 | −0.9 |
| Density (kg/m3) | Elastic Modulus (GPa) | Poisson’s Ratio | Dilation Angle (°) | Eccentricity | Ultimate Strength Ratio of Biaxial Compression to Uniaxial Compression | Invariant Stress Ratio | Viscosity Parameter |
|---|---|---|---|---|---|---|---|
| 2400 | 34.5 | 0.20 | 30 | 0.1 | 1.16 | 0.667 | 0.0005 |
| Compressive Stress (MPa) | Inelastic Strain (×10−2) | Compressive Damage Variable dc | Tensile Stress (MPa) | Cracking Strain (×10−2) | Tensile Damage Variable dt |
|---|---|---|---|---|---|
| 22.68 | 0.0000 | 0.0000 | 2.66 | 0.0000 | 0.0000 |
| 32.40 | 0.0740 | 0.0100 | 2.64 | 0.0034 | 0.0104 |
| 18.52 | 0.2821 | 0.4285 | 1.26 | 0.0184 | 0.5210 |
| 10.80 | 0.4724 | 0.6666 | 0.79 | 0.0308 | 0.7020 |
| 7.41 | 0.6501 | 0.7714 | 0.58 | 0.0424 | 0.7788 |
| 5.59 | 0.8233 | 0.8537 | 0.47 | 0.0537 | 0.8612 |
| 4.47 | 0.9945 | 0.8984 | 0.40 | 0.0649 | 0.9118 |
| 3.72 | 1.1645 | 0.9253 | 0.35 | 0.0761 | 0.9422 |
| 3.18 | 1.3340 | 0.9428 | 0.31 | 0.0872 | 0.9587 |
| 2.78 | 1.5031 | 0.9547 | 0.28 | 0.0983 | 0.9688 |
| 2.43 | 1.7076 | 0.9864 | 0.09 | 0.4405 | 0.9992 |
| Case | Time (Year) | The Depth of Ion Erosion (mm) | Water Pressure (MPa) |
|---|---|---|---|
| 1 | 10 | 25 | - |
| 2 | 50 | 63 | - |
| 3 | 100 | 84 | - |
| 4 | 0~100 | - | - |
| 5 | 10 | 25 | 0.3 |
| 6 | 50 | 63 | 0.3 |
| 7 | 100 | 84 | 0.3 |
Disclaimer/Publisher’s Note: The statements, opinions and data contained in all publications are solely those of the individual author(s) and contributor(s) and not of MDPI and/or the editor(s). MDPI and/or the editor(s) disclaim responsibility for any injury to people or property resulting from any ideas, methods, instructions or products referred to in the content. |
© 2024 by the authors. Licensee MDPI, Basel, Switzerland. This article is an open access article distributed under the terms and conditions of the Creative Commons Attribution (CC BY) license (https://creativecommons.org/licenses/by/4.0/).
Share and Cite
Yang, L.; Yang, Y.; Yang, M.; Zhang, Y.; Sheng, X. Numerical Investigation of the Long-Term Service Performance of Subsea Tunnel Lining Structure Considering Ion Erosion Deterioration. Sustainability 2024, 16, 10539. https://doi.org/10.3390/su162310539
Yang L, Yang Y, Yang M, Zhang Y, Sheng X. Numerical Investigation of the Long-Term Service Performance of Subsea Tunnel Lining Structure Considering Ion Erosion Deterioration. Sustainability. 2024; 16(23):10539. https://doi.org/10.3390/su162310539
Chicago/Turabian StyleYang, Lei, Yang Yang, Min Yang, Yaolei Zhang, and Xiangchao Sheng. 2024. "Numerical Investigation of the Long-Term Service Performance of Subsea Tunnel Lining Structure Considering Ion Erosion Deterioration" Sustainability 16, no. 23: 10539. https://doi.org/10.3390/su162310539
APA StyleYang, L., Yang, Y., Yang, M., Zhang, Y., & Sheng, X. (2024). Numerical Investigation of the Long-Term Service Performance of Subsea Tunnel Lining Structure Considering Ion Erosion Deterioration. Sustainability, 16(23), 10539. https://doi.org/10.3390/su162310539
