Next Article in Journal
Cost–Benefit Analysis of Cross-Regional Transmission of Renewable Electricity: A Chinese Case Study
Previous Article in Journal
Digital Transformation in SMEs: Pre- and Post-COVID-19 Era: A Comparative Bibliometric Analysis
 
 
Font Type:
Arial Georgia Verdana
Font Size:
Aa Aa Aa
Line Spacing:
Column Width:
Background:
Article

A Numerical Simulation Study on the Migration of the 90Sr Nuclide of Buffer Material Under the Coupling Effect of Multiple Factors

by
Yu-Ping Wang
1,*,
Zhe Wang
2,
Zhi-Qiang Zeng
3,
Fa-Cheng Yi
2 and
Ying Luo
2
1
Department of Quality Management and Inspection Testing, Yibin University, Yibin 644000, China
2
School of Environment and Resource, Southwest University of Science and Technology, Mianyang 621010, China
3
School of Mathematics and Physics, Yibin University, Yibin 644000, China
*
Author to whom correspondence should be addressed.
Sustainability 2024, 16(23), 10537; https://doi.org/10.3390/su162310537
Submission received: 31 October 2024 / Revised: 28 November 2024 / Accepted: 29 November 2024 / Published: 1 December 2024

Abstract

With the development of nuclear energy in China, the geological disposal of high-level radioactive waste (HLW) is increasingly receiving national attention. Among them, the study of nuclide migration is an important and complex technical system, which requires continuous in-depth research. Under the decay heat, radiation, and groundwater effects of HLW, buffer materials generate complex coupled thermo-hydro-mechanical-chemical (THMC) processes. The migration and diffusion of nuclides in buffer materials are controlled by the coupling effect of THMC. It is of great significance for the long-term safety of a HLW repository to study the long-term retarding effect of buffer material on nuclide strontium under the coupling effect of multiple factors. This study leverages the solving advantages of COMSOL Multiphysics 5.6, using a combination of the self-developed Mock-up experimental device as a geometric model and numerical simulations to study the multi-field coupling performance and radionuclide migration evolution characteristics of THMC buffer materials, which overcomes the difficulties due to the limitations of the experimental time and spatial scale. The simulation results can predict the migration range and distance variation of strontium in buffer materials at different time scales. In the initial stage, the migration and diffusion of nuclide in buffer materials are relatively slow, and the migration distance increases by about 0.03 m with time. In the mid-to-late stage, the migration distance increases by about 0.05 m over time; to ensure that, in 1000 years, core strontium does not penetrate the buffer material and migrate into the surrounding rock groundwater of the disposal facility, a buffer material thickness of 0.3 m needs to be set. The construction of THMC control equations for the migration and diffusion of nuclides in buffer materials under multi-field coupling conditions has been revealed, providing an important reference for a deeper understanding of the risk analysis of radionuclide contamination in disposal environments.

1. Introduction

In recent years, green and low-carbon transformation has become a frontier for a new round of global industrial competition. China is moving towards the emission reduction targets of carbon peaking and carbon neutrality. This goal is mainly achieved by reducing the consumption of traditional fossil energy and increasing nuclear power generation [1,2,3,4]. Currently, China’s nuclear power generation ranks second in the world. However, the continuous growth in demand for nuclear energy utilization is accompanied by the accumulation of radioactive waste. How to dispose of radioactive waste safely and effectively is a major concern for global environmental safety and human health. The safe disposal of radioactive wastes, especially high-level radioactive waste (HLW), is a challenging issue in environmental engineering [5]. HLW contains radioactive nuclides such as neptunium, plutonium, americium, technetium, iodine, strontium, cesium, etc. Some radioactive nuclides have long half-lives, high heat release, and intense toxicity. Once these radioactive nuclides enter the biosphere, they pose serious harm to human health and the environment. How to achieve long-term safe isolation of HLW from the environment is an important issue in environmental protection. One of the key scientific issues in the geological disposal of HLW is the migration of radioactive nuclides. The migration of radionuclides in the HLW disposal is usually predicted by numerical simulations for a risk analysis of radionuclide contamination at a large scale of time and space.
To reveal the THMC coupling behavior and radionuclide migration evolution characteristics of buffer materials under HLW disposal conditions, conducting engineering-scale model experiments is an important approach. Several major international cooperation projects have been carried out to evaluate the long-term stability of HLW disposal facilities, such as the DECOVALEX project, FEBEX project, and China Mock-up project [6,7,8,9]. However, due to the limitations of the experimental time scale, conducting numerical simulations to study the THMC coupling process is a necessary means to predict and evaluate the migration of radioactive nuclides. It can be challenging to simulate the THMC coupling process and the migration of radioactive nuclides in buffer materials. On the one hand, the constitutive relationships of individual processes are complex and difficult to obtain; on the other hand, the parameters and the selection of constitutive relationships have a significant impact on the simulation results. Multiple underground laboratories for HLW geological disposal internationally have used a combination of engineering-scale model experiments and numerical simulations to study the multi-field coupling performance of THMC buffer materials. The numerical simulation software for studying THMC multi-field coupling mainly includes TOUGHREACT, FLAC3D, and COMSOL. Swedish SKB has successively adopted different numerical software, such as ABAQUS, CODE_BRIGTH, and COMPASS, and proposed a numerical simulation method for THM under simulated disposal conditions [10,11,12]. Madrid in Spain and Grimsel in Switzerland conducted laboratory and in situ tests, respectively, establishing a multi-field coupling theoretical model and numerical simulation method for FEBEX bentonite [9,13,14]. The DECOVALEX program has been established to study the coupling process of multiple physical fields in the surrounding rock of HLW geological disposal systems and evaluate the feasibility of engineering barriers. Constitutive models describing various mechanical behaviors of buffer materials have been proposed, such as the BBM model, BEXM model, etc. [6,7,15]. Nardi et al. [16] developed an efficient interface called ICP using Java, providing a numerical platform that can effectively simulate a large number of multiphysics problems combined with geochemistry. Based on COMSOL and PHREEQC software, Nasir et al. [17] completed the THMC coupling process of simulating the near-field occurrence of nuclear waste in deep geological reservoirs.
The simulation of the migration process of radionuclides in buffer materials is an important part of the safety assessment for the geological disposal of HLW. In order to further study the migration and diffusion behavior of nuclides in buffer materials, a Mock-up model was designed based on the concept of multiple barrier system disposal in China’s HLW disposal facility. The experiment aims to evaluate the THMC processes that occur in buffer materials throughout the entire cycle of HLW disposal facilities and provide reliable basic data for numerical simulation and further research of nuclide migration.
In this paper, the THMC coupling model for nuclide migration and diffusion in saturated buffer materials is first derived; then, the coupling model of the Mock-up experimental system is processed and solved based on the long-term blocking performance of buffer materials. The migration and diffusion behavior of nuclides under the coupling effect and their long-term blocking characteristics are predicted and analyzed. Numerical simulation analysis is of great significance for understanding the migration behavior of nuclides in buffer materials under the coupling effect of THMC and proving the technical feasibility of HLW disposal.

2. General Assumptions and Thermal-Hydro-Mechanical-Chemical (THMC) Governing Equations

2.1. General Assumptions

Based on mixture theory and the principles of elastic mechanics, several assumptions have been established to develop the coupled THMC model for porous media. Some of them are particularly important [18,19]:
(1) The partly saturated medium is assumed to be a polyphase system (solid, liquid, and gas). The space of the solid skeleton is partly filled with gas and partly with liquid water.
(2) The multiphase medium is considered as a mixture. In its compound, each phase is continuous and any spatial point is presumed to be occupied concurrently by a physical point of each phase.
(3) The gas phase density is a function of temperature and pressure, which meets the ideal gas state equation.
(4) Fluid seepage follows Darcy’s law and does not undergo chemical reactions with solid particles. The saturated vapor pressure follows Kelvin’s humidity law, and the diffusion of vapor follows generalized Fick’s law.
(5) The deformation of porous media satisfies the small deformation assumption, and the Terzaghi effective stress principle is applicable to saturated and unsaturated media.
(6) The solid, liquid, and gas phases are assumed to keep partial thermal equilibrium. The conduction of the heat process satisfies Fourier’s law.
(7) The effect of radioactive nuclides decay on the concentration of the source term is ignored. No other source items exist. The adsorption process of nuclides is linear, reversible, and isothermal. Radionuclide migration occurs only after the buffer material reaches the saturation state. The migration of nuclides follows the law of mass conservation, and the solid skeleton remains unchanged.

2.2. THMC Governing Equations for Nuclide Migration and Diffusion

The buffer material in the HLW disposal repository serves as a porous medium that satisfies the theoretical system of multi-field coupling. In order to establish a coupling model for nuclide migration and diffusion in saturated buffer materials, it is necessary to derive the THMC coupling control equations. The governing equations are based on the theory of mixtures and the continuous medium theory.

2.2.1. Equation of Momentum Conservation

Without inertial force, the momentum conservation equation of unsaturated buffer materials can be expressed as [20]
α = s . l . g ρ α n α v α t + α = s . l . g ( ρ α n α v α v α ) = σ s + σ l + σ g + α = s . l . g ρ α b α
where α represents different phases, and s, l, and g represent the solid phase, liquid phase, and gas phase, respectively. ρ α is the apparent mass density of the α phase, n α is the volume ratio of the α phase, v α is the absolute rate of the α phase, ρ α is the apparent density of the α phase, b α is the volume force per unit mass of the α phase, and σ s , σ l and σ g are the force tensors for the solid phase, liquid phase, and gas phase, respectively.
For fully saturated porous media, the gas phase is not considered. Adopting small deformation and small velocity hypotheses, according to the principle of effective stress, the momentum conservation equation for saturated buffer materials can be written as [21]
σ t p l t + K β s T T t + + K ς c t δ + α = s . l . ρ α t b α = 0 ,
where c represents solute concentration, ς is the chemical expansion coefficient, T is the temperature, p l is the pore water pressure, β s T is the solid phase thermal expansion coefficient, K is the drainage bulk modulus of soil, δ is the Kronecker Delta tensor, and σ is the total stress tensor.
Elastic constitutive relations and Cauchy geometric equations are introduced. Volumetric force only considers the gravity of each phase (component), defining F v = α = s . l . ρ α b α . The momentum conservation equation of saturated porous media represented by displacement is obtained as [20]
1 2 D : u t + u t T p l t + K β s T T t + K ς c t δ + F v t = 0 ,
where u is the displacement vector, D is the elastic modulus tensor of a solid, ( )T represents the transpose of the tensor, and (:) represents the double dot product in tensor operations.

2.2.2. Equation of Mass Conservation

The heat and mass transfer mechanism in porous media is based on Soret and Dufour effects, and the generalized Darcy’s law can be expressed as Equation (4) [22]
v s l r = k r l k μ l p l D T T + K c c ,
where v s l r is the relative apparent flow velocity of a water body, D T is the water flow diffusion rate under temperature gradient, K c is the water flow diffusion rate under concentration gradient, k is the intrinsic permeability tensor, k r l is the relative permeability of water bodies, and μ l is the dynamic viscosity coefficient of water. In Darcy’s law, the average flow velocity of the liquid relative to the solid phase skeleton is written as [22]
v r = v s l r n = v l v s ,
where n is the porosity, v s l r is solid phase relative apparent velocity, v l is the liquid velocity, and v s is the solid velocity. Without considering the phenomenon of vaporization (excluding the source and sink terms), the mass conservation equation of the fluid can be expressed as Equation (6) [20]:
n ρ l t + ( n ρ l v l ) = 0 ,
where ρ l is the liquid density. The continuity equation for the solid phase is [22]
ρ s 1 n t + ( ρ s 1 n ν s ) = 0 ,
where ρ s is the intrinsic density of the solid phase. Multiply each term by ρ l / ρ s and omit term ν s , according to the generalized mass conservation equation of the α phase (component). Assume that the source and sink items of solid phase mass are 0. The mass conservation equation of the solid can be expressed as Equation (8) [20]:
1 n ρ l ρ s ρ s t ρ l n t + 1 n ρ l v s = 0 ,
Substituting Equation (5) into Equation (6) yields Equation (9):
n ρ l t + ( n ρ l v r + v s ) = 0 ,
Expanding Equation (9) and ignoring the  ν s term, the continuity equation for single-phase flow is expressed as Equation (10):
n ρ l t + ρ l n t + ( n ρ l v r ) + ρ l n v s = 0 ,
The volumetric strain of the solid skeleton is represented by ε v , and v s = ε v / t . Substituting Equations (4), (5), and (8) into Equation (10), the overall continuity equation is obtained finally as follows:
n ρ l t + ρ l ε v t + 1 n ρ l ρ s ρ s t = ρ l k r l k μ l p l D T T + K c c ,
In a saturated state, when the density of a porous medium changes slightly, the density of the porous medium can be expressed as Equation (12) [23]:
ρ s = ρ s 0 1 + p l p 0 K s 3 β l T T T 0 t r σ σ 0 3 1 n K s ,
where ρ s 0 is the initial density of porous media, β l T is the thermal expansion coefficient of the liquid, T 0 is the initial temperature of porous media, σ is the effective stress, σ 0 is the effective pore water stress, K s is the bulk modulus of the solid, and tr( ) is trace operations in mathematics. When the solid density variation is small, Equation (12) differentiates the time, and according to Equations (4) and (10)–(12), the mass conservation equation of saturated porous media is obtained as Equation (13) [22]:
n c l p + α B n K s p l t + 3 n α B β s T n β l T T t + α B ε v t = k r l k μ l p l D T T + K c c
where c l p is the compressibility coefficient of the water body, α B is the Biot coupling coefficient, and ε v is the volumetric strain of the soil body.

2.2.3. Equation of Energy Conservation

The energy conservation equation for unsaturated buffer materials can be written as Equation (14) [20,21]. Omitting the gas phase coupling term, the energy conservation equation for saturated buffer materials can be obtained as Equation (15):
k g r k μ g T ρ g c g + K g β g 1 n 1 S p g + k l r k μ l T ρ l c l + K l β l 1 n S p l ρ l g + λ + k g T ρ g c g T g + K g β g T g 1 n 1 S T ρ s 1 n c s + ρ l n S c l + ρ g n 1 S c g T t = T ρ s 1 n c s + ρ l n S c l + ρ g n 1 S c g + T K s β s + K l β l + K g β g ε v t + ρ l ω P s v P v
ρ l c l T k l r k μ l p l D T T + K c c + λ T ρ s 1 n c s + ρ l n c l T t = T ρ s 1 n c s + ρ l n c l + T K s β s + K l β l ε v t
where c l , c s , and c g are the specific heat capacity of the liquid, solid, and gas phases, respectively; λ is the thermal conductivity; K l and K g are the bulk modulus of the liquid and gas phases; k g r is the relative permeability of the gas phase; k g T is the thermal driving coefficient of mixed gas; P s v is the saturated vapor pressure, P v is the vapor pressure; ω is the migration coefficient of the liquid phase; μ g is the dynamic viscosity coefficient of the gas; β l , β s , and β g are the coefficient of thermal expansion of liquid, solid, and gas; and T g is the gas temperature.

2.2.4. Equation of Solute Transport

Radionuclides are a class of solutes, and their migration into the groundwater environment is the result of a series of complex physical and chemical processes. Radionuclides entering the groundwater environment are subject to the control of the medium field, seepage field, chemical field, and other fields and have a high degree of non-homogeneity and spatial and temporal variability. The retardation capacity in its migration path mainly depends on the multi-factor coupling of the nuclide adsorption–desorption rate, flow channel characteristics, and material structure characteristics [24,25,26]. When establishing the nuclide transport equations in saturated buffer materials, it is necessary to consider the effect of solute convection in groundwater, hydrodynamic dispersion, and nuclide adsorption [27].
Solute advection refers to the migration of radionuclides into pores at the flow rate of water when groundwater seeps through buffer materials. The amount of solute carried by water flow is called the solute convective flux. When the follows Darcy’s flow, the carried solute convective flux is proportional to the concentration of nuclides in the buffer material.
To establish a migration retardation model for nuclides using buffer materials, it is necessary to consider the influence of hydrodynamic dispersion. Hydrodynamic dispersion is an irreversible process that mainly includes molecular diffusion and mechanical dispersion. The diffusion flux of nuclides can be described by Fick’s law, which means that the diffusion flux of nuclides is proportional to the concentration gradient, and the diffusion direction is opposite to the concentration gradient direction.
Mechanical dispersion refers to the phenomenon of uneven distribution of tracer concentration in the aquifer, which is caused by uneven flow velocity distribution in microporous media.
Molecular diffusion refers to the phenomenon of material migration in space, which is caused by the movement of molecules, atoms, etc., under the influence of concentration differences.
The buffer material based on bentonite has a good adsorption effect on radioactive nuclides. Under isothermal linear adsorption conditions, the adsorption amount of nuclides in the buffer material is proportional to the concentration of radioactive nuclides in the solution (Equation (16)). According to the principle of universal conservation, Equation (17) can be obtained [23,28]:
F = K d c ,
1 + 1 n n ρ s K d ρ l c t = ρ l D c ρ l v r + v s c ,
where F is the equilibrium adsorption capacity of buffer materials for nuclides, and K d is the partition coefficient. For positive pressure flow, the density of a liquid can be expressed as a function of pressure and temperature ρ l p l , T . There is a relationship between the differential of water density and the ratio of water density expressed as Equation (18) [28]. Defining R d = 1 + 1 n ρ s K d n , Equation (18) can be expressed as Equation (19). Neglecting the v s term and defining v s = ε v t , the solute transport equation for saturated buffer materials can be expressed as Equation (20).
1 ρ l d ρ l = c l p d p l + β l T d T ,
R d ρ l c t ρ l β l T T t + ρ l c l p p t = ρ l D c ρ l v r c ρ l c v s ρ l v s c ,
R d c t β l T T t + c l p p t = D c v r c c ε v t ,
where c l p is the compressibility coefficient of the water body, β l T is the thermal expansion coefficient of the water body, R d is the retardation factor, and D is the dispersion coefficient.

3. Radionuclide Migration Model and Numerical Simulation Analysis

3.1. Mock-Up Infrastructure

The Mock-up structure of the long-term retardation performance of the multi-field coupling buffer material is cylindrical in shape with six main components (Figure 1): the test tank diameter is 750 mm while the height is 750 mm, and the internal heater is 180 mm in height and 180 mm in diameter. Around the heater is the compacted bentonite-sand mixture (CBM). The bottom is connected to the hydration system, which permits water permeation towards the CBM material. The hydration system simulates the groundwater infiltration, and the liquid filling system simulates the release of radionuclides to the buffer material after leakage. The spaces between the test tank and the CBM blocks, and the CBM blocks and the heater, are filled with broken particles made of CBM blocks, reducing the lateral heat loss around the heater. The heater is 150 mm in length and 8 mm in radius. Seven layers of sensors for the measurements (temperature, humidity, pore water pressure, and swelling pressure) are installed at different vertical depths of the buffer materials.

3.2. Numerical Model

3.2.1. Geometry and Boundary Conditions

The finite element mesh and the boundary conditions are shown in Figure 2. A model was established with COMSOL multiphysics. Based on the calculation module of COMSOL multi-field coupling, the simplified section of the tank cavity is taken as the hydraulic boundary, and the length and width are 750 mm. The external section of the heater is taken as the heating boundary, and the length and width are 180 mm (Figure 2a). Utilizing COMSOL multiphysics software to mesh the model, it is disassembled by quadrilateral elements (Figure 2b). The boundary layer is added at the boundary to increase the convergence of the model. The grid partition adopts a quadrilateral mesh, and the number of meshes is 11,424. Figure 2c is the output point of the calculation result.
The heater is set at a constant temperature of 90 °C. The outside of the test tank is set as the temperature boundary, and the temperature is kept constant at 25 °C. The boundary condition of the buffer material is that the normal displacement is 0, and it can move freely in the tangential direction. The displacement boundary is set as the first boundary condition (roller boundaries). The heater boundary is set as the hydraulic boundary of 0.2 Mpa pressure, and the external boundary of the test tank is set at 0 Mpa gauge pressure. The radionuclide leakage and migration boundary is the heater boundary, and the source term concentration is 5.0 × 10−4 mol/m3.

3.2.2. Built-in Module Import

(1) Solid Mechanics Interface
In the interface of solid mechanics, add linear elastic materials, specify the combination of Young’s modulus and Poisson’s ratio, select “external stress” and “stress tensor”, and then add the source term as the coupling term. Select the roller support as the boundary, limit the normal displacement, and incorporate the momentum conservation equation of the saturated buffer material into this interface.
(2) Porous medium heat transfer interface
Add a porous medium heat transfer interface to the physical field and simulate thermal and convective heat transfer in porous media. The temperature equation corresponds to the convection–diffusion equation of the average model with thermodynamic properties. In the “transmission properties of porous media” section, the flow field is set to d l . u / R d , and the other parameters are set to user-defined. Within the “porous matrix”, all parameters are set to user-defined. The influence of volume strain on heat conduction was not considered in the equation, so a volume strain action term was added to the heat source term to complete the introduction of the energy conservation equation of the buffer material in the saturated state.
(3) Darcy’s Law interface
Using the “Darcy’s Law” interface to simulate fluid flow in porous media pores. Under the premise that pressure gradient is the main driving force, “Darcy’s law” can be used to model media with low permeability and porosity. The equation provided by COMSOL software and Equation (9) of the buffer material in a saturated state is jointly solved.
(4) Transport of dilute substances in porous media
This interface is specifically designed to simulate transportation in porous media, including solid and liquid phases, where chemicals may be affected by diffusion, convection, migration, dispersion, and adsorption within the porous media. This interface supports situations where the solid phase does not deform completely or the gas phase medium does not move. The equation provided by COMSOL software and Equation (16) of the solute transport equation for saturated buffer materials is jointly solved.

3.2.3. Initial Conditions

The initial values were acquired according to the long-term retardation performance of buffer materials under multi-field coupling experimental conditions. The heater is set as the temperature boundary, with a constant temperature of 90 °C, and the external part of the tank is set as the temperature boundary, with a constant temperature of 25 °C. The normal displacement of the buffer material boundary is 0, and the tangential direction is free to move. The displacement boundary is the backup roll boundary. The hydraulic boundary is set at the boundary of the heater, which is 200,000 Pa, and the outer boundary of the tank is 0 Pa.
The boundary of solute outflow is the heater boundary. Based on the previous constant source migration and diffusion experiment of the research group, the nuclide 90Sr was selected as the simulation object, and the source term concentration was set to 5.0 × 10−4 mol/L. The boundary and initial values of the coupling model are listed in Table 1.

3.2.4. Coupling Model Parameters

According to the measured data from the dynamic migration and expansion performance test of bentonite and other relevant papers, the values of coupling model parameters were set for the numerical simulation. Some parameters for the coupling model are listed in Table 2.

4. Characteristics of Nuclide Migration and Diffusion

Using the COMSOL software’s built-in transient solver, select “MUMPS” for the solver in “direct”. The dependent variables solved are concentration, pressure, temperature, and displacement. The total duration of this study is 1000 years. Set the initial step size to 0, the time step size to 10 years, and the stop time to 1000 years in order to output the results every 10 years until the calculation stops at 1000 years. Other options are the default.
To explore the migration and variation characteristics of nuclides 90Sr at different time scales, numerical simulations were conducted based on the solute migration model, initial conditions, boundary conditions, and computational parameters under multi-field coupling. The simulation results are shown in Figure 3. In the initial stage (0–10 years), the solidified body continuously releases heat, and the surrounding water migrates outward. The saturation of the buffer material around the solidified body is relatively low, and the negative pore water pressure increases. Groundwater from the surrounding rock continuously seeps into the interior of the buffer material. As time goes on, the groundwater obtained from the buffer material is greater than the water lost due to heating, and the water pressure changes tend to stabilize. At 0 years, the nuclide concentration at the edge of the heater is the highest, and the closer it is to the heater, the higher the nuclide concentration value. At 10 years, the nuclide concentration around the heater does not change much. At 100 years, as the heat diffuses outward, the nuclides around the heater have significantly increased. At 360 years, a stable concentration gradient distribution has been formed in the buffer layer, but the nuclide concentration buffer layer is significantly lower than around the heater. Because temperature has a certain impact on the adsorption of buffer materials, as the temperature increases, the more active ions in the solution, the faster the particle movement speed, and the adsorption effect increases with the increase in temperature. Thermal diffusion accelerates the process of nuclide migration.
In the initial stage, the migration and diffusion of nuclides in the buffer material are relatively slow, and the migration distance increases with time by about 0.03 m. However, the buffer material has a large adsorption capacity for nuclide strontium, and temperature has a promoting effect on the adsorption of the buffer material. Therefore, the relationship curve between the nuclide 90Sr concentration and migration distance is relatively steep. As the migration and diffusion of nuclides continue, in the mid-to-late stages of multi-field coupling (360–1000 years), the adsorption capacity of the buffer material for nuclides 90Sr gradually reaches saturation and tends to stabilize. The migration distance increases more significantly compared to the initial stage, the relationship curve between nuclides 90Sr concentration and migration distance slows down, and the migration distance increases by about 0.05 m over time.
If the thickness of the buffer material is set to 0.05 m, 0.1 m, and 0.15 m, respectively, it can ensure that the nuclide 90Sr is blocked in the buffer material within 10, 100, and 360 years. To ensure that 90Sr does not penetrate the buffer material for 1000 years and migrate to the underground water of the surrounding rock of the disposal repository, we need to set a thicker buffer material with a thickness of at least 0.3 m. In the near-field environment of the disposal repository, the migration and diffusion process of nuclides in buffer materials is weakened by the coupling effect of multiple physical fields, which weakens the long-term blocking effect of nuclides. Therefore, the simulation of the migration of nuclide 90Sr in buffer materials can provide a reference for the design of the engineering barrier system in the HLW repository.
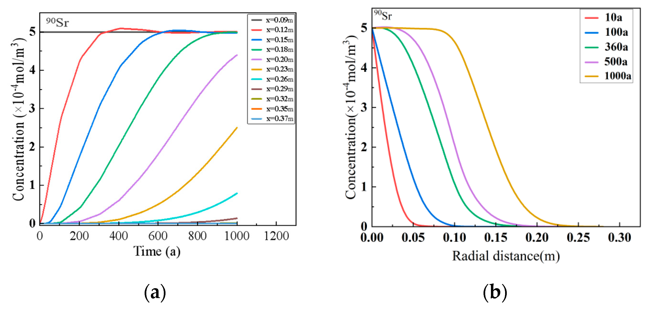
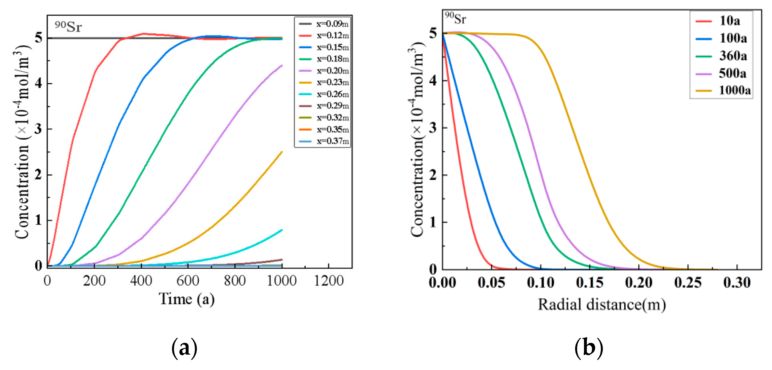
The relevant model-based results of nuclide concentrations at 11 positions are shown in Figure 4a. It can be seen that the closer to the heater, the higher the nuclide concentration. The nuclide concentration from near the heater to the surrounding rock gradually decreased over time. The nuclide concentration at each point increases with the increase in the migration time. The concentration increases rapidly at the beginning and then slowly. Since the X = 0.09 m point is located at the edge of the heater, the nuclide concentration at this point is the maximum and remains constant. For the three points near the heater, each point of the nuclide concentration rapidly increased in the initial stage and tended to stability gradually. The reason is that the diffusion tensor of the buffer material around the heater is directly proportional to the flow velocity under the action of exothermic heat at the initial stage, and the concentration of nuclides is increased rapidly. After 600 years, as the buffer material around the heater absorbs water continuously, the diffusion tensor and flow rate increase, and the nuclide migration rate also increases, so the concentration increase rate around the heater decreases. For the three points near the surrounding rock, the nuclide concentration is 0. The buffer material is designed to be 0.3 m thick, which ensures that strontium will not migrate into the surrounding rock within 1000 years.
The relevant model-based results of nuclide concentrations with radial distance are shown in Figure 4b. In 10 years, the migration distance of nuclides was only 0.05 m. In 500 years, the migration distance was about 0.18 m, which indicated that the buffer material had good blocking performance and the concentration distribution of nuclides was uniform. In 1000 years, the migration distance of nuclides is about 0.28 m. Therefore, if the thickness of the buffer layer is set to 0.3 m, the strontium produced by HLW in 1000 years can be blocked in the buffer material, which meets the requirements of POSIVA/SKB for the buffer material thickness design [29].

5. Results and Conclusions

The main purpose of this paper is to explore the influence of coupled THMC processes on solute transport within porous media. Based on the continuum theory and mixture theory, the THMC coupled mathematical model for nuclide migration and diffusion in saturated buffer materials is derived. The presented coupled model is demonstrated to be a comprehensive and reliable tool for simulating fully coupled THMC processes of multiphase geological media, which is essential for the performance and safety assessments of geological waste repositories.
Using the Mock-up experimental system as the geometric model, a built-in interface and coupling terms added to the THMC coupling control equation are used as the source terms. Based on the parameters obtained from previous relevant model experiments, the COMSOL Multiphysics software’s built-in transient solver was used to perform a direct coupling analysis of nuclide migration and diffusion behavior in buffer materials under the coupling effect of multiple physical fields.
The analysis shows that nuclides migrate and diffuse slowly in the buffer material in the initial stage and the migration distance increases with time by about 0.03 m. In the middle and later stages, due to the gradual saturation and stabilization of the adsorption capacity of the buffer material for 90Sr, its migration distance increases more significantly compared to the initial stage, with an increase of around 0.05 m over time. To ensure that 90Sr does not penetrate the buffer material and migrate to the surrounding rock groundwater of the disposal repository in 1000 years, a buffer material thickness of 0.3 m needs to be set.

6. Future Work

The nuclide migration simulation method has the ability to simulate the entire process of nuclide migration in buffer materials and analyze uncertainty on a scale of ten thousand years. Further work is underway to study complex chemical reactions that occur between nuclear waste cans and groundwater. Additionally, the chemical composition of groundwater, more numerical simulation and verification against laboratory experiments, and continued improvements of the solution technique will be studied further. In addition, in order to achieve higher accuracy solutions and optimize simulation efficiency, the application and development of emerging technologies such as AI can be considered in the field of radioactive nuclide migration, improving the authenticity and effectiveness of simulations.
This study is helpful in guiding various aspects of HLW disposal in China, including long-term planning, site selection, site evaluation, engineering design, the selection of barrier materials, engineering construction, and the safety evaluation of disposal systems. It provides important references for the country to ultimately determine the site of disposal facilities. This study contributes to understanding the strategic issues of nuclear waste environmental safety and national management at the national level.

Author Contributions

Y.-P.W. and Z.W. designed the overall framework and conceived the idea for this paper, Y.-P.W. and Z.-Q.Z. analyzed the data, F.-C.Y. and Y.L. provided some suggestions on the structure of the paper, and Y.-P.W. wrote the paper. All authors have read and agreed to the published version of the manuscript.

Funding

This research was funded by Yibin University Research Projects (No. 2023QH22), Scientific Research Projects of Decommissioning Nuclear Facilities and Radioactive Waste Treatment of the State Administration of Science, Technology and Industry for National Defense (No. 20181521).

Institutional Review Board Statement

Not applicable.

Informed Consent Statement

Not applicable.

Data Availability Statement

Data sharing is not applicable.

Conflicts of Interest

The authors declare a conflict of interest.

Nomenclature

c solute concentration
σ total stress tensor
δ Kronecker Delta tensor
u displacement vector
λ thermal conductivity
α B Biot coupling coefficient
n porosity
R d retardation factor
T temperature
ς chemical expansion coefficient
D dispersion coefficient
c α specific heat capacity of α phase
β α coefficient of thermal expansion of α phase
K α bulk modulus of α phase
n α volume ratio of the α phase

References

  1. Gyamfi, B.A.; Adedoyin, F.F.; Bein, M.A.; Bekun, F.V.; Agozie, D.Q. The anthropogenic consequences of energy consumption in E7 economies: Juxtaposing roles of renewable, coal, nuclear, oil and gas energy: Evidence from panel quantile method. J. Clean. Prod. 2021, 295, 126373. [Google Scholar] [CrossRef]
  2. Gao, S.; Xu, C. Reflections on the Green and Low-carbon Transformation of China’s Industrial Chain under the Dual Carbon Goals. J. Hebei Univ. Econ. Bus. 2024, 45, 41–52. (In Chinese) [Google Scholar]
  3. Williams, J.H.; Jones, R.A.; Haley, B.; Kwok, G.; Hargreaves, J.; Farbes, J.; Torn, M.S. Carbon-neutral pathways for the United States. AGU Adv. 2021, 2, e2020AV000284. [Google Scholar] [CrossRef]
  4. Azam, A.; Rafiq, M.; Shafique, M.; Zhang, H.; Yuan, J. Analyzing the effect of natural gas, nuclear energy and renewable energy on GDP and carbon emissions: A multi-variate panel data analysis. Energy 2021, 219, 119592. [Google Scholar] [CrossRef]
  5. Zhang, X.; Ma, F.; Dai, Z.; Wang, J.; Chen, L.; Ling, H.; Soltanian, M.R. Radionuclide transport in multi-scale fractured rocks: A review. J. Hazard Mater. 2022, 424, 127550. [Google Scholar] [CrossRef] [PubMed]
  6. Birkholzer, J.T.; Tsang, C.F.; Bond, A.E. 25 years of DECOVALEX—Scientific advances and lessons learned from an international research collaboration in coupled subsurface processes. Int. J. Rock Mech. Min. 2019, 122, 103995. [Google Scholar] [CrossRef]
  7. Rutqvist, J.; Barr, D.; Birkholzer, J.T. Results from an international simulation study on coupled thermal, hydrological, and mechanical processes near geological nuclear waste repositories. Nucl. Technol. 2008, 163, 101–109. [Google Scholar] [CrossRef]
  8. Lloret, A.; Villar, M.V. Advances on the knowledge of the thermo-hydro-mechanical behaviour of heavily compacted “FEBEX” bentonite. Phys. Chem. Earth 2006, 32, 701–715. [Google Scholar] [CrossRef]
  9. Xu, H.; Zheng, L.; Rutqvist, J.; Birkholzer, J. Numerical study of the chemo-mechanical behavior of FEBEX bentonite in nuclear waste disposal based on the Barcelona expansive model. Comput. Geotech. 2021, 132, 103968. [Google Scholar] [CrossRef]
  10. Cleall, P.J.; Melhuish, T.A.; Thomas, H.R. Modelling the three-dimensional behaviour of a prototype nuclear waste repository. Eng. Geol. 2006, 85, 212–220. [Google Scholar] [CrossRef]
  11. Hoekmark, H.; Ledesma, A.; Lassabatere, T.; Fälth, B.; Börgesson, L.; Robinet, J.; Sellali, N.; Sémété, P. Modelling heat and moisture transport in the ANDRA/SKB temperature buffer test. Phys. Chem. Earth 2007, 32, 753–766. [Google Scholar] [CrossRef]
  12. Bag, R. Coupled Thermos-Hydro-Mechanical-Chemical Behaviour of MX80 Bentonite in Geotechnical Applications. Ph.D. Thesis, Cardiff University, Cardiff, Wales, 2011. [Google Scholar]
  13. Samper, J.; Zheng, L.; Montenegro, L.; Fernández, A.M.; Rivas, P. Coupled thermo-hydro-chemical models of compacted bentonite after FEBEX in situ test. Appl. Geochem. 2008, 23, 1186–1201. [Google Scholar] [CrossRef]
  14. Michalec, Z.; Blaheta, R.; Hasal, M.; Ligurský, T. Fully coupled thermo-hydro-mechanical model with oversaturation and its validation to experimental data from FEBEX experiment. Int. J. Rock Mech. Min. 2021, 139, 104567. [Google Scholar] [CrossRef]
  15. Alonso, E.E.; Vaunat, J.; Gens, A. Modelling the mechanical behaviour of expansive clays. Eng. Geol. 1999, 54, 173–183. [Google Scholar] [CrossRef]
  16. Nardi, A.; Idiart, A.; Trinchero, P.; de Vries, L.M.; Molinero, J. Interface COMSOL-PHREEQC(iCP), an efficient numerical framework for the solution of coupled multiphysics and geochemistry. Comput. Geosci. 2014, 69, 10–21. [Google Scholar] [CrossRef]
  17. Nasir, O.; Fall, M.; Evgin, E. A simulator for modeling of porosity and permeability changes in near field sedimentary host rocks for nuclear waste under climate change influences. Tunn. Undergr. Sp. Tech. 2014, 42, 122–135. [Google Scholar] [CrossRef]
  18. Nair, S. Introduction to Continuum Mechanics; Cambridge University Press: Cambridge, UK, 2009. [Google Scholar]
  19. Achanta, S.; Cushman, J.H.; Okos, M.R. On multicomponent, multiphase thermomechanics with interfaces. Int. J. Eng. Sci. 1994, 32, 1717–1738. [Google Scholar] [CrossRef]
  20. Zhu, X. Study on Thermo-Hydro-Mechanical Coupling Process of Composite Buffer Blocks for High-Level Radioactive Waste Disposal Repository. Ph.D. Thesis, Beijing Jiaotong University, Beijing, China, 2018. (In Chinese). [Google Scholar]
  21. Tong, F.; Jing, L.; Zimmerman, R.W. A fully coupled thermo-hydro-mechanical model for simulating multiphase flow, deformation and heat transfer in buffer material and rock masses. Int. J. Rock Mech. Min. 2010, 47, 205–217. [Google Scholar] [CrossRef]
  22. Yan, J.; Wang, H.J.; Yang, Y. Mathematical Models of Multi-Field Coupling in Porous Media and Their Applications; China Water & Power Press: Beijing, China, 2018. (In Chinese) [Google Scholar]
  23. Guo, Z.G. Study on the Hydro-Thermal Effects in Porous Media and the Migration Characteristics of Pollutants. Ph.D. Thesis, Beijing Jiaotong University, Beijing, China, 2018. (In Chinese). [Google Scholar]
  24. Khalili, F.; Al-Bana, G. Adsoption of uranium(VI) and thorum(IV) by insoublired humic acid fom Ajloun soil-Jordan. J. Envron. Radicactiv. 2015, 146, 16–26. [Google Scholar] [CrossRef]
  25. Strebl, F.; Gerzabek, M.; Kirchner, G. Vetical migration of radionuclides in undisturbed grassland soils. J. Envron. Radicactiv. 2009, 100, 716–720. [Google Scholar]
  26. Cook, M.; Caritat, P.D.; Kleinschmidt, R. Future migration: Key environmental indicators of Pu accumulation in terrestrial sediments of Queensland, Australia. J. Environ. Radioactiv. 2020, 223–224, 106398. [Google Scholar] [CrossRef] [PubMed]
  27. Wang, Z.; Yi, F.; Liu, Y. Study on the long-term retardation effect of bentonite-based integrated buffer material on uranium. Bull. Mineral. Petrol. Geochem. 2020, 39, 1550. (In Chinese) [Google Scholar] [CrossRef]
  28. Wu, Y. Kinetics of Pollutant Migration in Porous Media; Shanghai Jiao Tong University Press: Shanghai, China, 2007. (In Chinese) [Google Scholar]
  29. Cho, W.J.; Lee, J.O.; Kang, C.H. Hydraulic Conductivity of Bentonite-Sand Mixture for a Potential Backfill Material for a High-level Radioactive Waste Repository. Nucl. Eng. Technol. 2000, 32, 495–503. [Google Scholar]
Figure 1. The Mock-up experimental system for long-term retarding performance of buffering materials under multi-field coupling conditions.
Figure 1. The Mock-up experimental system for long-term retarding performance of buffering materials under multi-field coupling conditions.
Sustainability 16 10537 g001
Figure 2. (a) Sketch of the tank test and boundary conditions; (b) mesh; (c) the output point of the calculation result.
Figure 2. (a) Sketch of the tank test and boundary conditions; (b) mesh; (c) the output point of the calculation result.
Sustainability 16 10537 g002
Figure 3. Variation in nuclides 90Sr migration with time. The unit a of the parameter t represents the year.
Figure 3. Variation in nuclides 90Sr migration with time. The unit a of the parameter t represents the year.
Sustainability 16 10537 g003
Figure 4. (a) Variation curve of nuclide 90Sr concentration with time; (b) variation in nuclide 90Sr concentration with radial distance.
Figure 4. (a) Variation curve of nuclide 90Sr concentration with time; (b) variation in nuclide 90Sr concentration with radial distance.
Sustainability 16 10537 g004
Table 1. Boundary and initial values of coupling model.
Table 1. Boundary and initial values of coupling model.
QuantityValue
Initial temperature (t0)25 °C
Initial concentration (c0)0
Initial pore water pressure (p0)0
Initial displacement (u0)0
Initial porosity (n0)0.24
Table 2. Parameters for coupling model.
Table 2. Parameters for coupling model.
QuantityValue
Dry density (ρd)1700 kg/m3
Specific heat capacity of solid particles (Cs)879 J/(kg·K)
Poisson ratio (μ)0.3
Elastic modulus (E)500 MPa
Density of solid particles (ρs)2700 kg/m3
Coefficient of thermal expansion (βST)3 ×10−6 (K−1)
Hygroscopic expansion coefficient (βh)1.19 × 10−2 m3/kg
Permeability (k)2 × 10−20 m2
Thermal conductivity (λ)1.1 W/(m·K)
Retardation coefficient (Rd)5.18
Apparent diffusion coefficient (Da)1.04 × 10−4 m2/a
Permeability coefficient (Ks)6.78 × 10−12 m/s
Saturated permeability coefficient (ks)1.00 × 10−12 m/s
Disclaimer/Publisher’s Note: The statements, opinions and data contained in all publications are solely those of the individual author(s) and contributor(s) and not of MDPI and/or the editor(s). MDPI and/or the editor(s) disclaim responsibility for any injury to people or property resulting from any ideas, methods, instructions or products referred to in the content.

Share and Cite

MDPI and ACS Style

Wang, Y.-P.; Wang, Z.; Zeng, Z.-Q.; Yi, F.-C.; Luo, Y. A Numerical Simulation Study on the Migration of the 90Sr Nuclide of Buffer Material Under the Coupling Effect of Multiple Factors. Sustainability 2024, 16, 10537. https://doi.org/10.3390/su162310537

AMA Style

Wang Y-P, Wang Z, Zeng Z-Q, Yi F-C, Luo Y. A Numerical Simulation Study on the Migration of the 90Sr Nuclide of Buffer Material Under the Coupling Effect of Multiple Factors. Sustainability. 2024; 16(23):10537. https://doi.org/10.3390/su162310537

Chicago/Turabian Style

Wang, Yu-Ping, Zhe Wang, Zhi-Qiang Zeng, Fa-Cheng Yi, and Ying Luo. 2024. "A Numerical Simulation Study on the Migration of the 90Sr Nuclide of Buffer Material Under the Coupling Effect of Multiple Factors" Sustainability 16, no. 23: 10537. https://doi.org/10.3390/su162310537

APA Style

Wang, Y.-P., Wang, Z., Zeng, Z.-Q., Yi, F.-C., & Luo, Y. (2024). A Numerical Simulation Study on the Migration of the 90Sr Nuclide of Buffer Material Under the Coupling Effect of Multiple Factors. Sustainability, 16(23), 10537. https://doi.org/10.3390/su162310537

Note that from the first issue of 2016, this journal uses article numbers instead of page numbers. See further details here.

Article Metrics

Back to TopTop