Optimizing Maritime Energy Efficiency: A Machine Learning Approach Using Deep Reinforcement Learning for EEXI and CII Compliance
Abstract
1. Introduction
2. Literature Review
2.1. Regulations and Standards
2.2. Traditional and Alternative Fuels
2.3. Optimization Techniques in Maritime Transport
2.4. Emergence of Machine Learning Techniques
2.4.1. Significance of Deep Reinforcement Learning in Maritime Optimization
2.4.2. Comparative Advantages of Deep Reinforcement Learning
3. Methodology
3.1. Research Design
3.2. DRL Framework
- S is the set of possible states,
- A is the set of possible actions,
- P(s′∣s, a) is the transition probability from state s to state s′ after taking action a,
- R(s, a) is the reward received after taking action a in state s,
- γ is the discount factor, determining the importance of future rewards (0 ≤ γ ≤ 10).
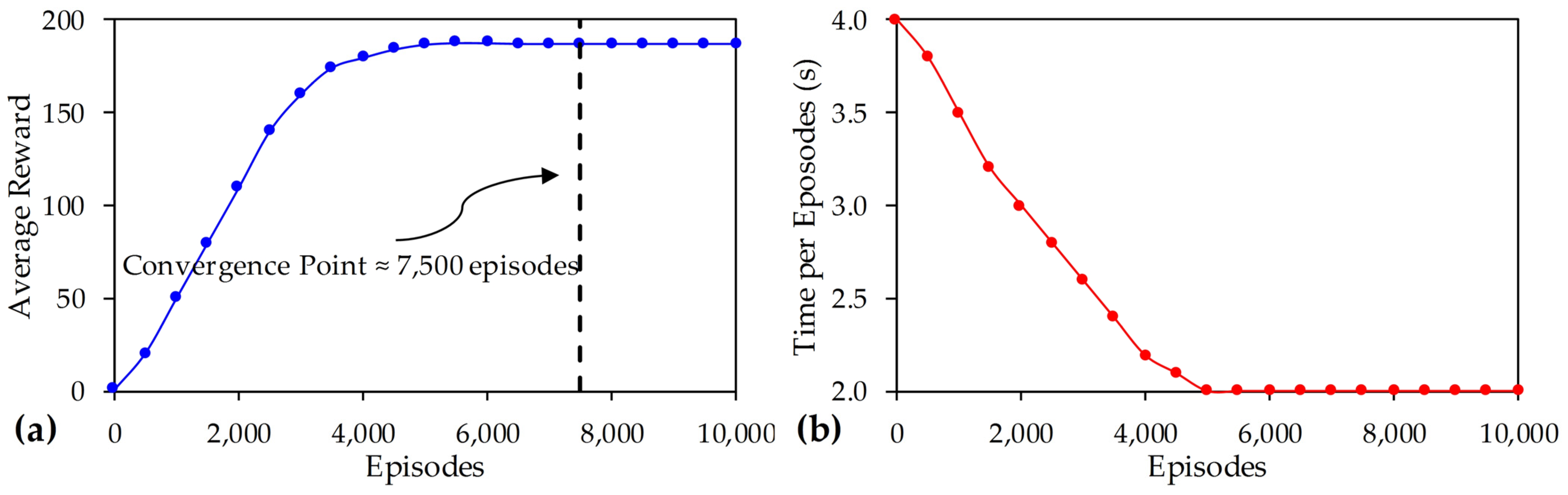
3.2.1. Convergence and Computational Metrics for PPO-Based DRL Model
3.2.2. DRL Parameter and Simulation Tool
3.3. Scenario Development
3.4. Evaluation Metrics
4. Results and Discussion
4.1. Scenario Analysis
4.2. Statistical Analysis
4.3. Impact of Alternative Fuels
Challenges and Considerations for Hydrogen Fuel Adoption
5. Conclusions
Author Contributions
Funding
Institutional Review Board Statement
Informed Consent Statement
Data Availability Statement
Conflicts of Interest
References
- Afshar, A.; Soleimanian, E.; Akbari Variani, H.; Vahabzadeh, M.; Molajou, A. The Conceptual Framework to Determine Interrelations and Interactions for Holistic Water, Energy, and Food Nexus. Environ. Dev. Sustain. 2022, 24, 10119–10140. [Google Scholar] [CrossRef]
- Oreggioni, G.D.; Monforti Ferraio, F.; Crippa, M.; Muntean, M.; Schaaf, E.; Guizzardi, D.; Solazzo, E.; Duerr, M.; Perry, M.; Vignati, E. Climate Change in a Changing World: Socio-Economic and Technological Transitions, Regulatory Frameworks and Trends on Global Greenhouse Gas Emissions from EDGAR v.5.0. Glob. Environ. Chang. 2021, 70, 102350. [Google Scholar] [CrossRef]
- Molajou, A.; Pouladi, P.; Afshar, A. Incorporating Social System into Water-Food-Energy Nexus. Water Resour. Manag. 2021, 35, 4561–4580. [Google Scholar] [CrossRef]
- Goyal, S.; Llop, M. The Shipping Industry under the EU Green Deal: An Input-Output Impact Analysis. Transp. Res. Part A Policy Pract. 2024, 182, 104035. [Google Scholar] [CrossRef]
- Peng, H.; Wang, M.; An, C. Implied Threats of the Red Sea Crisis to Global Maritime Transport: Amplified Carbon Emissions and Possible Carbon Pricing Dysfunction. Environ. Res. Lett. 2024, 19, 074053. [Google Scholar] [CrossRef]
- Liu, H.; Yi, W.; Jalkanen, J.-P.; Luo, Z.; Majamäki, E.; Matthias, V.; Moldanová, J.; Shi, Z.; He, K. Atmospheric Impacts and Regulation Framework of Shipping Emissions: Achievements, Challenges and Frontiers. Fundam. Res. 2024, in press. [CrossRef]
- An, Q. Empirical Analysis of Trade Costs and Their Impact on Carbon Emissions in RCEP Countries. J. Environ. Manag. 2024, 365, 121666. [Google Scholar] [CrossRef]
- Mallouppas, G.; Yfantis, E.A. Decarbonization in Shipping Industry: A Review of Research, Technology Development, and Innovation Proposals. J. Mar. Sci. Eng. 2021, 9, 415. [Google Scholar] [CrossRef]
- Zhang, K.; Lin, Q.; Lian, F.; Feng, H. Estimating Emissions from Fishing Vessels: A Big Beidou Data Analytical Approach. Front. Mar. Sci. 2024, 11, 1418366. [Google Scholar] [CrossRef]
- Zhou, C.; Tang, W.; Ding, Y.; Huang, H.; Xu, H. Analysis of Carbon Emission Reduction Paths for Ships in the Yangtze River: The Perspective of Alternative Fuels. J. Mar. Sci. Eng. 2024, 12, 947. [Google Scholar] [CrossRef]
- Zhou, X.; Dai, L.; Hu, H.; Zhang, M. An Environmental and Economic Investigation of Shipping Network Configuration Considering the Maritime Emission Trading Scheme. Ocean Coast. Manag. 2024, 249, 107013. [Google Scholar] [CrossRef]
- Bayraktar, M.; Yuksel, O. A Scenario-Based Assessment of the Energy Efficiency Existing Ship Index (EEXI) and Carbon Intensity Indicator (CII) Regulations. Ocean Eng. 2023, 278, 114295. [Google Scholar] [CrossRef]
- Perčić, M.; Vladimir, N.; Fan, A.; Jovanović, I. Holistic Energy Efficiency and Environmental Friendliness Model for Short-Sea Vessels with Alternative Power Systems Considering Realistic Fuel Pathways and Workloads. J. Mar. Sci. Eng. 2022, 10, 613. [Google Scholar] [CrossRef]
- Díaz-Secades, L.A. Enhancement of Maritime Sector Decarbonization through the Integration of Fishing Vessels into IMO Energy Efficiency Measures. J. Mar. Sci. Eng. 2024, 12, 663. [Google Scholar] [CrossRef]
- Oduro, P.; Uzougbo, N.S.; Ugwu, M.C. Navigating Legal Pathways: Optimizing Energy Sustainability through Compliance, Renewable Integration, and Maritime Efficiency. Eng. Sci. Technol. J. 2024, 5, 1732–1751. [Google Scholar] [CrossRef]
- Wang, Q.; Zhang, H.; Xi, S. China’s Law and Policy Framework for Maritime Safety Regulation of Alternative Fuel Ships in the Decarbonization Transition. Mar. Policy 2024, 163, 106142. [Google Scholar] [CrossRef]
- Kim, J.-H.; Choi, J.-H. A Study on Impact and Countermeasures of Marine Fuels in the FuelEU Maritime Regulation. J. Soc. Nav. Archit. Korea 2024, 61, 88–97. [Google Scholar] [CrossRef]
- Polemis, D.; Boviatsis, M.; Chatzinikolaou, S. Assessing the Sustainability of the Most Prominent Type of Marine Diesel Engines under the Implementation of the EEXI and CII Regulations. Clean Technol. 2023, 5, 1044–1066. [Google Scholar] [CrossRef]
- Przybyła, M.; Adamkiewicz, A. Quantity and Quality of Marine Dual-Fuel Engine’s Exhaust Sensible Waste Heat Considering Different Sulfur Content in Fuels. Arch. Thermodyn. 2023, 41, 147–168. [Google Scholar] [CrossRef]
- Puig, M.; Cirera, A.; Wooldridge, C.; Sakellariadou, F.; Darbra, R.M. Mega Ports’ Mitigation Response and Adaptation to Climate Change. J. Mar. Sci. Eng. 2024, 12, 1112. [Google Scholar] [CrossRef]
- Karystinos, V.; Papalambrou, G. Retrofit and Experimental Evaluation of a Conventional Marine Diesel Engine for Dual Fuel Diesel-Methanol Operation. In Proceedings of the 9th World Congress on Momentum, Heat and Mass Transfer, London, UK, 11–13 April 2024. [Google Scholar]
- Kolios, A. Retrofitting Technologies for Eco-Friendly Ship Structures: A Risk Analysis Perspective. J. Mar. Sci. Eng. 2024, 12, 679. [Google Scholar] [CrossRef]
- Micheli, D.; Clemente, S.; Taccani, R. Energy Systems on Board Ships. In Sustainable Energy Systems on Ships; Elsevier: Amsterdam, The Netherlands, 2022; pp. 27–78. ISBN 9780128244715. [Google Scholar]
- Ma, W.; Zhang, J.; Han, Y.; Mao, T.; Ma, D.; Zhou, B.; Chen, M. A Decision-Making Optimization Model for Ship Energy System Integrating Emission Reduction Regulations and Scheduling Strategies. J. Ind. Inf. Integr. 2023, 35, 100506. [Google Scholar] [CrossRef]
- Ribeiro e Silva, S.; Bento Moreira, M. An Optimisation-Based Approach to Reduce Fuel Consumption and Emissions from Shipping Navigation. In Proceedings of the 15th International Marine Design Conference (IMDC-2024), Amsterdam, The Netherlands, 2–6 June 2024. [Google Scholar] [CrossRef]
- Yang, Z.; Qu, W.; Zhuo, J. Optimization of Energy Consumption in Ship Propulsion Control under Severe Sea Conditions. J. Mar. Sci. Eng. 2024, 12, 1461. [Google Scholar] [CrossRef]
- Zygarlowska, E.; Dumard, C.; Rochut, B. Weather Routing Solutions towards Decarbonisation of Maritime Transport. EMS Annu. Meet. Abstr. 2024, 21, EMS2024-1100. [Google Scholar]
- Sahin, A.U. IMO 2023 Revised Emission Reduction Strategy and Regulatory Challenges of Maritime Decarbonization. Eur. J. Commer. Contract Law 2024, 16, 25–33. [Google Scholar] [CrossRef]
- Friedman, A. The International Maritime Organization’s Revised Greenhouse Gas Strategy: A Political Signal of Shipping’s Regulatory Future. Int. J. Mar. Coast. Law 2024, 1–27. [Google Scholar] [CrossRef]
- Zhang, C.; Zhu, J.; Guo, H.; Xue, S.; Wang, X.; Wang, Z.; Chen, T.; Yang, L.; Zeng, X.; Su, P. Technical Requirements for 2023 IMO GHG Strategy. Sustainability 2024, 16, 2766. [Google Scholar] [CrossRef]
- Sardar, A.; Anantharaman, M.; Islam, T.M.R.; Garaniya, V. Data Collection Framework for Enhanced Carbon Intensity Indicator (CII) in the Oil Tankers. Can. J. Chem. Eng. 2024; early view. [Google Scholar] [CrossRef]
- Lee, S.S. Analysis of the Effects of EEDI and EEXI Implementation on CO2 Emissions Reduction in Ships. Ocean Eng. 2024, 295, 116877. [Google Scholar] [CrossRef]
- Ghaforian Masodzadeh, P.; Ölçer, A.I.; Ballini, F.; Gonzalez Celis, J. Live Carbon-Tracking Mechanism for Ships, a Methodology to Mitigate Uncertainties in the Carbon Intensity Calculations. Transp. Res. Interdiscip. Perspect. 2024, 23, 101004. [Google Scholar] [CrossRef]
- Tripathi, S.; Gorbatenko, I.; Garcia, A.; Sarathy, M. Sustainability of Future Shipping Fuels: Well-to-Wake Environmental and Techno-Economic Analysis of Ammonia and Methanol. In Proceedings of the SAE Technical Papers, Capri, Italy, 10–14 September 2023. [Google Scholar]
- Lee, J.; Sim, M.; Kim, Y.; Lee, C. Strategic Pathways to Alternative Marine Fuels: Empirical Evidence from Shipping Practices in South Korea. Sustainability 2024, 16, 2412. [Google Scholar] [CrossRef]
- Han, D.; Cheng, X.; Chen, H.; Xiao, C.; Wen, Y.; Sui, Z. Simulation Modeling for Ships Entering and Leaving Port in Qiongzhou Strait Waters: A Multi-Agent Information Interaction Method. J. Mar. Sci. Eng. 2024, 12, 1560. [Google Scholar] [CrossRef]
- Blay-Roger, R.; Saif, M.; Bobadilla, L.F.; Ramirez-Reina, T.; Nawaz, M.A.; Odriozola, J.A. Embracing the Sustainable Horizons through Bioenergy Innovations: A Path to a Sustainable Energy Future. Front. Chem. 2024, 12, 1416102. [Google Scholar] [CrossRef] [PubMed]
- Mallouppas, G.; Yfantis, E.A.; Ioannou, C.; Paradeisiotis, A.; Ktoris, A. Application of Biogas and Biomethane as Maritime Fuels: A Review of Research, Technology Development, Innovation Proposals, and Market Potentials. Energies 2023, 16, 2066. [Google Scholar] [CrossRef]
- Aktas, T.U.; Shi, J.; Lim, G.J.; Prousalidis, J.; D’Agostino, F.; Liang, C. Decarbonization of the Maritime Transportation Systems: Recent Progress, Challenges, and Prospects. In Proceedings of the 2023 IEEE Electric Ship Technologies Symposium (ESTS), Alexandria, VA, USA, 1 August 2023; IEEE: Piscataway, NJ, USA, 2023; pp. 224–230. [Google Scholar]
- Prussi, M.; Chiaramonti, D. Alternative Fuels for Hard-to-Abate Sectors: A Carbon Intensity Assessment. J. Phys. Conf. Ser. 2022, 2385, 012044. [Google Scholar] [CrossRef]
- Li, S.; Tan, E.C.D.; Dutta, A.; Snowden-Swan, L.J.; Thorson, M.R.; Ramasamy, K.K.; Bartling, A.W.; Brasington, R.; Kass, M.D.; Zaimes, G.G.; et al. Techno-Economic Analysis of Sustainable Biofuels for Marine Transportation. Environ. Sci. Technol. 2022, 56, 17206–17214. [Google Scholar] [CrossRef] [PubMed]
- Habib, M.A.; Abdulrahman, G.A.Q.; Alquaity, A.B.S.; Qasem, N.A.A. Hydrogen Combustion, Production, and Applications: A Review. Alexandria Eng. J. 2024, 100, 182–207. [Google Scholar] [CrossRef]
- Pivac, I.; Šimunović, J.; Barbir, F.; Nižetić, S. Reduction of Greenhouse Gases Emissions by Use of Hydrogen Produced in a Refinery by Water Electrolysis. Energy 2024, 296, 131157. [Google Scholar] [CrossRef]
- Sun, T.; Shrestha, E.; Hamburg, S.P.; Kupers, R.; Ocko, I.B. Climate Impacts of Hydrogen and Methane Emissions Can Considerably Reduce the Climate Benefits across Key Hydrogen Use Cases and Time Scales. Environ. Sci. Technol. 2024, 58, 5299–5309. [Google Scholar] [CrossRef]
- McKinlay, C.J.; Turnock, S.R.; Hudson, D.A.; Manias, P. Hydrogen as a Deep Sea Shipping Fuel: Modelling the Volume Requirements. Int. J. Hydrogen Energy 2024, 69, 863–873. [Google Scholar] [CrossRef]
- Bagarello, S. A Short Overview of Hydrogen Storage for Sustainable Aviation. Mater. Res. Proc. 2024, 42, 76–79. [Google Scholar]
- Xie, Z.; Jin, Q.; Lu, W. A Review on Hydrogen Storage and Transportation: Progresses and Challenges. Energies 2024, 17, 4070. [Google Scholar] [CrossRef]
- Locke, K. The Urgency of Hydrogen: Environmental Issues and the Need for Change. Futur. Sustain. 2024, 2, 46–58. [Google Scholar] [CrossRef]
- Petrychenko, O.; Levinskyi, M. Trends and Preconditions for Widespread Adoption of Liquefied Natural Gas in Maritime Transport. Collect. Sci. Work. State Univ. Infrastruct. Technol. Ser. Transport Syst. Technol. 2024, 21–36. [Google Scholar] [CrossRef]
- Maquart, V.; Zhang, H.; Hein, K.; Bertin, D.; Lavillonniere, E. Optimal Scheduling of Electric Harbour Craft Fleet Operations. In Proceedings of the 2023 IEEE Transportation Electrification Conference and Expo, Asia-Pacific (ITEC Asia-Pacific), Chiang Mai, Thailand, 28 November–1 December 2023; IEEE: Piscataway, NJ, USA, 2023; pp. 1–7. [Google Scholar]
- Ma, L.; Yang, P.; Gao, D.; Bao, C. A Multi-Objective Energy Efficiency Optimization Method of Ship under Different Sea Conditions. Ocean Eng. 2023, 290, 116337. [Google Scholar] [CrossRef]
- Sree, K.D.; Gunti, G.; Neelima, N.; Nagaraja, K.V. Optimizing Cargo Ship Operational Costs: A Comprehensive Algorithmic Approach. In Proceedings of the 2023 4th International Conference on Intelligent Technologies (CONIT), Hubli, India, 21 June 2024; IEEE: Piscataway, NJ, USA; pp. 1–6. [Google Scholar]
- Wu, T.; Wu, X.; Chen, J.; Chen, X.; Homayoon Ashrafzadeh, A. A Novel Metaheuristic Algorithm: The Team Competition and Cooperation Optimization Algorithm. Comput. Mater. Contin. 2022, 73, 2879–2896. [Google Scholar] [CrossRef]
- Kareem, S.W.; Hama Ali, K.W.; Askar, S.; Xoshaba, F.S.; Hawezi, R. Metaheuristic Algorithms in Optimization and Its Application: A Review. JAREE J. Adv. Res. Electr. Eng. 2022, 6, 7–12. [Google Scholar] [CrossRef]
- Nguyen, V.G.; Rajamohan, S.; Rudzki, K.; Kozak, J.; Sharma, P.; Pham, N.D.K.; Nguyen, P.Q.P.; Xuan, P.N. Using Artificial Neural Networks for Predicting Ship Fuel Consumption. Polish Marit. Res. 2023, 30, 39–60. [Google Scholar] [CrossRef]
- Yang, H.; Sun, Z.; Han, P.; Ma, M. Data-Driven Prediction of Ship Fuel Oil Consumption Based on Machine Learning Models Considering Meteorological Factors. Proc. Inst. Mech. Eng. Part M J. Eng. Marit. Environ. 2024, 238, 483–502. [Google Scholar] [CrossRef]
- Xu, W.; Zhu, X.; Gao, X.; Li, X.; Cao, J.; Ren, X.; Shao, C. Manipulation-Compliant Artificial Potential Field and Deep Q-Network: Large Ships Path Planning Based on Deep Reinforcement Learning and Artificial Potential Field. J. Mar. Sci. Eng. 2024, 12, 1334. [Google Scholar] [CrossRef]
- Wang, S.; Zhang, X.; Li, J.; Wei, X.; Lau, H.C.; Dai, B.T.; Huang, B.; Xiao, Z.; Fu, X.; Qin, Z. Fuel-Saving Route Planning with Data-Driven and Learning-Based Approaches—A Systematic Solution for Harbor Tugs. In Proceedings of the Thirty-ThirdInternational Joint Conference on Artificial Intelligence; International Joint Conferences on Artificial Intelligence Organization, Jeju, Republic of Korea, 3–9 August 2024; pp. 7483–7490. [Google Scholar]
- Wimer, N.T.; Henry de Frahan, M.T.; Yellapantula, S. Deep Reinforcement Learning to Discover Multi-Fuel Injection Strategies for Compression Ignition Engines. Int. J. Engine Res. 2023, 24, 3985–4007. [Google Scholar] [CrossRef]
- Rai, S.; Dixit, A.; Yadav, A.; Bhushan, B. Revolutionizing Transportation Using Deep Reinforcement Learning: A Comprehensive Review. In Proceedings of the 2023 IEEE 15th International Conference on Computational Intelligence and Communication Networks (CICN), Bangkok, Thailand, 22–23 December 2023; IEEE: Piscataway, NJ, USA, 2023; pp. 335–341. [Google Scholar]
- Shang, C.; Fu, L.; Bao, X.; Xiao, H.; Xu, X.; Hu, Q. Dynamic Joint Optimization of Power Generation and Voyage Scheduling in Ship Power System Based on Deep Reinforcement Learning. Electr. Power Syst. Res. 2024, 229, 110165. [Google Scholar] [CrossRef]
- Xie, W.; Gang, L.; Zhang, M.; Liu, T.; Lan, Z. Optimizing Multi-Vessel Collision Avoidance Decision Making for Autonomous Surface Vessels: A COLREGs-Compliant Deep Reinforcement Learning Approach. J. Mar. Sci. Eng. 2024, 12, 372. [Google Scholar] [CrossRef]
- Singh, A.N.; Vijayakumar, A.; Balasubramaniyam, S.; Somayajula, A. Deep Reinforcement Learning for Ship Collision Avoidance and Path Tracking. In Proceedings of the Volume 5B: Ocean Engineering, Singapore, 9 June 2024; American Society of Mechanical Engineers: New York, NY, USA, 2024. [Google Scholar]
- Zhu, T.; Naseri, M.; Dhar, S.; Ashrafi, B. Reinforcement Learning for Fishing Route Planning and Optimization. In Proceedings of the Volume 6: Polar and Arctic Sciences and Technology; CFD, FSI, and AI, Singapore, 9 June 2024; American Society of Mechanical Engineers: New York, NY, USA, 2024. [Google Scholar]
- Dimitrov, T. Applying Artificial Intelligence for Improving Situational Awareness and Threat Monitoring at Sea as Key Factor for Success in Naval Operation. Vide. Tehnol. Resur.—Environ. Technol. Resour. 2024, 4, 49–55. [Google Scholar] [CrossRef]
- López, G.V.; Bravo, O.J.P. Study about Forced Harmonic Oscillator in the Space (x, V). In Fundamental Research and Application of Physical Science Vol. 9; B P International (A Part of SCIENCEDOMAIN International): Hong Kong, China, 2023; pp. 1–13. [Google Scholar]
- Ali, A.M.; Gupta, A.; Hashim, H.A. Deep Reinforcement Learning for Sim-to-Real Policy Transfer of VTOL-UAVs Offshore Docking Operations. Appl. Soft Comput. 2024, 162, 111843. [Google Scholar] [CrossRef]
- Meng, Q.; Du, Y.; Wang, Y. Shipping Log Data Based Container Ship Fuel Efficiency Modeling. Transp. Res. Part B Methodol. 2016, 83, 207–229. [Google Scholar] [CrossRef]
- Bayramoğlu, K. The Effects of Alternative Fuels, Cruising Duration and Variable Generators Combination on Exhaust Emissions, Energy Efficiency Existing Ship Index (EEXI) and Carbon Intensity Rating (CII). Ocean Eng. 2024, 302, 117723. [Google Scholar] [CrossRef]
- RAUCA, L. Assessment of the Environmental Impact By Merchant Vessels’ Voyage Monitoring. Sci. Bull. Nav. Acad. 2022, XXV, 21–36. [Google Scholar] [CrossRef]
- Gianni, M.; Pietra, A.; Coraddu, A.; Taccani, R. Impact of SOFC Power Generation Plant on Carbon Intensity Index (CII) Calculation for Cruise Ships. J. Mar. Sci. Eng. 2022, 10, 1478. [Google Scholar] [CrossRef]
- Huang, H.; Zhou, C.; Liu, Z.; Xiao, J.; Xiao, C.; Wen, Y.; Huang, L.; Ding, Y. Carbon Emission Forecasts and Reduction Strategies for Ships in Inland Port Areas. SSRN Electron. J. 2022. [Google Scholar] [CrossRef]






| Ship Type | Scenario | Fuel Type | Engine Power (kW) | Fuel Consumption (Tons/Day) | Speed (Knots) | Weather Conditions | Duration (Hours) | Cargo Load (%) |
|---|---|---|---|---|---|---|---|---|
| Cruise Ship | Heavy Cargo Loads | MGO | 30,000 | 200 | 18 | Moderate | 48 | 100 |
| High-Speed Transit | MGO | 35,000 | 250 | 24 | Calm | 24 | 80 | |
| Low-Speed Cruising | MGO | 15,000 | 120 | 12 | Calm | 72 | 60 | |
| Rough Weather Conditions | IFO | 28,000 | 220 | 16 | Stormy | 36 | 75 | |
| Long-Duration Voyages | Bio-LNG | 20,000 | 180 | 14 | Mixed | 96 | 90 | |
| Port Operations | Hydrogen | 5000 | 30 | 5 | Calm | 12 | 100 | |
| Car Carrier | Heavy Cargo Loads | MGO | 25,000 | 150 | 16 | Moderate | 48 | 100 |
| High-Speed Transit | MGO | 30,000 | 200 | 22 | Calm | 24 | 90 | |
| Low-Speed Cruising | IFO | 12,000 | 100 | 10 | Calm | 72 | 70 | |
| Rough Weather Conditions | Bio-LNG | 22,000 | 170 | 14 | Stormy | 36 | 80 | |
| Long-Duration Voyages | MGO | 18,000 | 140 | 12 | Mixed | 96 | 85 | |
| Port Operations | Hydrogen | 4000 | 25 | 4 | Calm | 12 | 95 | |
| Oil Tanker | Heavy Cargo Loads | IFO | 50,000 | 300 | 14 | Moderate | 48 | 100 |
| High-Speed Transit | MGO | 60,000 | 350 | 20 | Calm | 24 | 90 | |
| Low-Speed Cruising | Bio-LNG | 25,000 | 200 | 10 | Calm | 72 | 70 | |
| Rough Weather Conditions | Hydrogen | 45,000 | 280 | 12 | Stormy | 36 | 80 | |
| Long-Duration Voyages | IFO | 30,000 | 250 | 12 | Mixed | 96 | 90 | |
| Port Operations | MGO | 8000 | 50 | 5 | Calm | 12 | 100 | |
| Bulk Carrier | Heavy Cargo Loads | MGO | 35,000 | 250 | 15 | Moderate | 48 | 100 |
| High-Speed Transit | MGO | 40,000 | 300 | 20 | Calm | 24 | 85 | |
| Low-Speed Cruising | IFO | 20,000 | 150 | 10 | Calm | 72 | 75 | |
| Rough Weather Conditions | Bio-LNG | 30,000 | 200 | 12 | Stormy | 36 | 80 | |
| Long-Duration Voyages | IFO | 25,000 | 220 | 12 | Mixed | 96 | 90 | |
| Port Operations | Hydrogen | 6000 | 35 | 5 | Calm | 12 | 100 | |
| Container Ship | Heavy Cargo Loads | MGO | 40,000 | 280 | 16 | Moderate | 48 | 100 |
| High-Speed Transit | MGO | 50,000 | 340 | 24 | Calm | 24 | 85 | |
| Low-Speed Cruising | IFO | 30,000 | 180 | 12 | Calm | 72 | 75 | |
| Rough Weather Conditions | Bio-LNG | 35,000 | 250 | 14 | Stormy | 36 | 80 | |
| Long-Duration Voyages | IFO | 28,000 | 240 | 12 | Mixed | 96 | 90 | |
| Port Operations | Hydrogen | 7000 | 40 | 5 | Calm | 12 | 100 |
| Ship Type | Scenario | Max DWT (Tons) | Cargo Load (%) | Actual DWT (Tons) |
|---|---|---|---|---|
| Cruise Ship | Heavy Cargo Loads | 100,000 | 100 | 57,000 * |
| High-Speed Transit | 100,000 | 80 | 45,000 | |
| Low-Speed Cruising | 100,000 | 60 | 37,000 | |
| Rough Weather Conditions | 100,000 | 75 | 40,000 | |
| Long-Duration Voyages | 100,000 | 90 | 50,000 | |
| Port Operations | 100,000 | 100 | 57,000 | |
| Car Carrier | Heavy Cargo Loads | 80,000 | 100 | 80,000 |
| High-Speed Transit | 80,000 | 90 | 72,000 | |
| Low-Speed Cruising | 80,000 | 70 | 56,000 | |
| Rough Weather Conditions | 80,000 | 80 | 64,000 | |
| Long-Duration Voyages | 80,000 | 85 | 68,000 | |
| Port Operations | 80,000 | 95 | 76,000 | |
| Oil Tanker | Heavy Cargo Loads | 300,000 | 100 | 300,000 |
| High-Speed Transit | 300,000 | 90 | 270,000 | |
| Low-Speed Cruising | 300,000 | 70 | 210,000 | |
| Rough Weather Conditions | 300,000 | 80 | 240,000 | |
| Long-Duration Voyages | 300,000 | 90 | 270,000 | |
| Port Operations | 300,000 | 100 | 300,000 | |
| Bulk Carrier | Heavy Cargo Loads | 200,000 | 100 | 200,000 |
| High-Speed Transit | 200,000 | 85 | 170,000 | |
| Low-Speed Cruising | 200,000 | 75 | 150,000 | |
| Rough Weather Conditions | 200,000 | 80 | 160,000 | |
| Long-Duration Voyages | 200,000 | 90 | 180,000 | |
| Port Operations | 200,000 | 100 | 200,000 | |
| Container Ship | Heavy Cargo Loads | 200,000 | 100 | 200,000 |
| High-Speed Transit | 200,000 | 85 | 170,000 | |
| Low-Speed Cruising | 200,000 | 75 | 150,000 | |
| Rough Weather Conditions | 200,000 | 80 | 160,000 | |
| Long-Duration Voyages | 200,000 | 90 | 180,000 | |
| Port Operations | 200,000 | 100 | 200,000 |
| Parameter | Description | Value |
|---|---|---|
| Neural Network Architecture | Structure of the neural network used in the DRL model | 3 hidden layers with 128 neurons each |
| Activation Function | Function used between layers in the neural network | ReLU |
| Learning Rate | Rate at which the model updates its parameters during training | 0.0003 |
| Discount Factor (γ) | Factor that determines the importance of future rewards | 0.99 |
| Exploration–Exploitation Balance (ε) | Parameter controlling the trade-off between exploration and exploitation | Decayed from 1.0 to 0.1 |
| Batch Size | Number of samples processed before the model is updated | 64 |
| Training Episodes | Number of episodes over which the model was trained | 10,000 |
| Optimizer | Algorithm used to update the model parameters | Adam |
| Reward Function | Function designed to balance fuel consumption and compliance with regulations | −1 for fuel consumption above threshold, +1 for compliance, −0.5 for non-compliance |
| Penalty for Emissions | Penalty applied when emissions exceed the set limits | −2 per unit over the limit |
| Episode Length | Number of steps per episode in the simulation | 500 steps |
| Validation Frequency | Frequency of model evaluation on a validation set during training | Every 1000 episodes |
| Metric | Description | Value |
|---|---|---|
| Total Training Time | Overall time taken to train the model | 120 h |
| Convergence Episode | Episode number at which the model stabilized | 7500 |
| Average Time per Episode | Average duration to complete each episode | 2 s |
| Reward Stabilization | Episode number after which rewards were stable | 7000 |
| Peak Memory Usage | Maximum memory usage during training | 12 GB |
| Scenario | Ship Type | Key Characteristics | Operational Challenges | Rationale for Inclusion |
|---|---|---|---|---|
| Heavy Cargo Loads | Cruise Ships, Car Carriers, Oil Tankers | High cargo weight relative to vessel capacity Increased fuel consumption Potential for reduced speed Stress on engine performance | Maintaining efficiency under heavy load Preventing excessive emissions | Heavy cargo scenarios were critical for assessing how well the DRL algorithm could manage fuel efficiency and emissions when the vessel was operating under maximum strain, which is a common real-world challenge. |
| High-Speed Transit | Bulk Ships, Container Ships | Operating at maximum or near-maximum speed Increased engine output High fuel consumption Rapid response requirements | Balancing speed with fuel efficiency Mitigating high emission rates | High-speed transit scenarios were included to test the algorithm’s ability to maintain compliance with EEXI and CII regulations even when fuel consumption naturally increases with higher speeds, a typical situation for certain maritime operations. |
| Low-Speed Cruising | Cruise Ships, Car Carriers | Operating at reduced speeds Prolonged engine running time Lower fuel consumption per mile, but longer operational hours | Ensuring minimal fuel wastage Managing emissions over longer periods of operation | Low-speed cruising is a common operational mode, particularly for passenger vessels and cargo carriers. This scenario was crucial to examine how the DRL algorithm handled prolonged operational periods where fuel efficiency might gradually decrease. |
| Rough Weather Conditions | All Ship Types | Increased drag due to rough seas Variable engine loads Potential for reduced navigation efficiency | Maintaining course and speed efficiency Handling variable engine loads | Rough weather conditions were chosen to evaluate the robustness of the DRL model under unpredictable and harsh environmental conditions, where fuel consumption can fluctuate significantly and regulatory compliance becomes more challenging. |
| Long-Duration Voyages | Oil Tankers, Container Ships | Extended operational periods Cumulative fuel consumption Need for consistent efficiency Engine wear over time | Sustaining fuel efficiency and low emissions throughout extended voyages Managing engine health | Long-duration voyages were included to test the long-term effectiveness of the DRL algorithm in maintaining fuel efficiency and regulatory compliance over periods that mimic real-world, long-distance shipping routes. |
| Port Operations | All Ship Types | Frequent engine idling Low-speed maneuvering Short bursts of power Emission control within port limits | Optimizing fuel use during idling Minimizing emissions during short, intense engine operations | Port operations scenarios were necessary to examine how the DRL algorithm performs in environments where vessels need to frequently start and stop engines, handle precise maneuvering, and comply with stricter emission regulations within port areas. |
| Metric | DRL Model (Mean ± CI) | Traditional Method (Mean ± CI) |
|---|---|---|
| Energy Efficiency (%) | 18.7 ± 1.3 | 12.1 ± 1.5 |
| Emissions Reduction (%) | 22.4 ± 1.6 | 15.3 ± 1.7 |
| Metric | Mean (DRL) | Mean (Traditional) | t-Statistic | p-Value |
|---|---|---|---|---|
| Energy Efficiency (%) | 18.7 | 12.1 | 5.74 | <0.001 |
| Emissions Reduction (%) | 22.4 | 15.3 | 5.12 | <0.001 |
| Ship Type | Scenario | Traditional Fuel EEXI | Bio-LNG EEXI | Hydrogen EEXI |
|---|---|---|---|---|
| Cruise Ships | Heavy Cargo Loads | 8.38 | 3.11 | - * |
| Car Carriers | High-Speed Transit | 6.78 | 0.91 | 0.002 |
| Bulk Carriers | Low-Speed Cruising | 2.04 | 0.27 | 0.001 |
| Oil Tankers | Rough Weather Conditions | 1.91 | 0.26 | 0.001 |
| Container Ships | Long-Duration Voyages | 7.31 | 0.98 | 0.002 |
| Ship Type | Scenario | Traditional Fuel CII | Bio-LNG CII | Hydrogen CII |
|---|---|---|---|---|
| Cruise Ships | Heavy Cargo Loads | 7.59 | 0.90 | - * |
| Car Carriers | High-Speed Transit | 4.85 | 0.65 | 0.003 |
| Bulk Carriers | Low-Speed Cruising | 2.02 | 0.27 | 0.001 |
| Oil Tankers | Rough Weather Conditions | 2.03 | 0.27 | 0.002 |
| Container Ships | Long-Duration Voyages | 4.42 | 0.59 | 0.003 |
Disclaimer/Publisher’s Note: The statements, opinions and data contained in all publications are solely those of the individual author(s) and contributor(s) and not of MDPI and/or the editor(s). MDPI and/or the editor(s) disclaim responsibility for any injury to people or property resulting from any ideas, methods, instructions or products referred to in the content. |
© 2024 by the authors. Licensee MDPI, Basel, Switzerland. This article is an open access article distributed under the terms and conditions of the Creative Commons Attribution (CC BY) license (https://creativecommons.org/licenses/by/4.0/).
Share and Cite
Alshareef, M.H.; Alghanmi, A.F. Optimizing Maritime Energy Efficiency: A Machine Learning Approach Using Deep Reinforcement Learning for EEXI and CII Compliance. Sustainability 2024, 16, 10534. https://doi.org/10.3390/su162310534
Alshareef MH, Alghanmi AF. Optimizing Maritime Energy Efficiency: A Machine Learning Approach Using Deep Reinforcement Learning for EEXI and CII Compliance. Sustainability. 2024; 16(23):10534. https://doi.org/10.3390/su162310534
Chicago/Turabian StyleAlshareef, Mohammed H., and Ayman F. Alghanmi. 2024. "Optimizing Maritime Energy Efficiency: A Machine Learning Approach Using Deep Reinforcement Learning for EEXI and CII Compliance" Sustainability 16, no. 23: 10534. https://doi.org/10.3390/su162310534
APA StyleAlshareef, M. H., & Alghanmi, A. F. (2024). Optimizing Maritime Energy Efficiency: A Machine Learning Approach Using Deep Reinforcement Learning for EEXI and CII Compliance. Sustainability, 16(23), 10534. https://doi.org/10.3390/su162310534

