Cooperation and Production Strategy of Power Battery for New Energy Vehicles Under Carbon Cap-and-Trade Policy
Abstract
1. Introduction
2. Current State of Knowledge
3. Problem Description and Assumptions
3.1. Problem Description
3.2. Assumptions
4. Model Construction and Solution
4.1. Wholesale Purchasing Strategy (NN)
4.2. Patent-License Manufacturing Strategy (NI)
4.3. Own R&D + Wholesale Purchase Strategy (GN)
5. Decision Analysis and Strategy Comparison
5.1. Optimal Decisions and Impact Analysis
5.2. Manufacturer’s Battery Production Strategy Decisions and Impact Analysis
6. Numerical Analysis
6.1. The Impact of Relevant Parameters on Manufacturer’s Profit and Optimal Strategy
6.2. The Impact of on Members’ Optional Decisions and Supplier’s Profit
6.3. The Impact of on Members’ Optional Decisions
7. Conclusions
- (1)
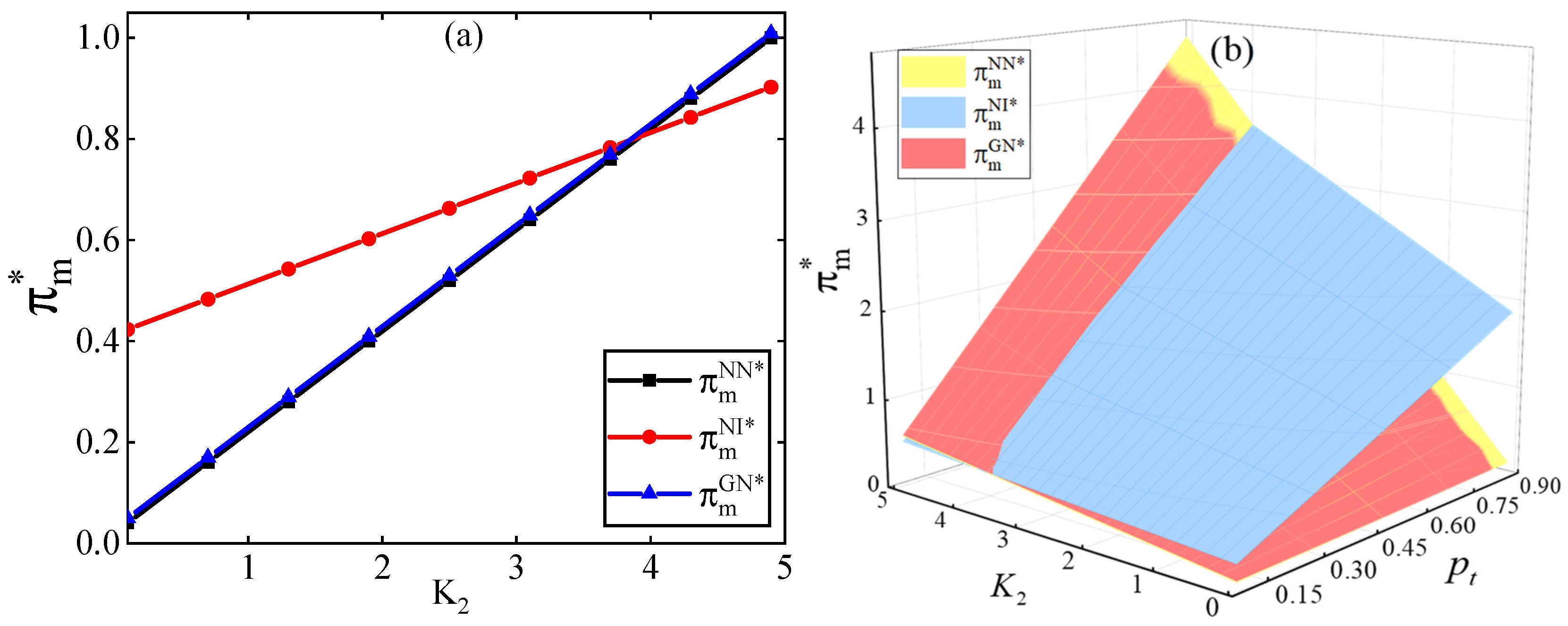
- Under the carbon quota and carbon trading policy, the manufacturer’s optimal production strategy of power batteries is as follows: when the cost coefficient of technological innovation is very small, only the patent licensing manufacturing strategy can enable the manufacturer to obtain the optimal profit. When the cost coefficient of technological innovation is small, the wholesale purchasing strategy is optimal; when the cost coefficient of technological innovation is high, the manufacturer’s optimal strategy selection is also affected by the production cost of the battery. For example, with the increase in technological innovation cost coefficient, when the battery production cost is small, the manufacturer’s optimal strategy choice is GN, NN, NI in order. However, it is NN, GN, NI in order when the battery production cost is large;
- (2)
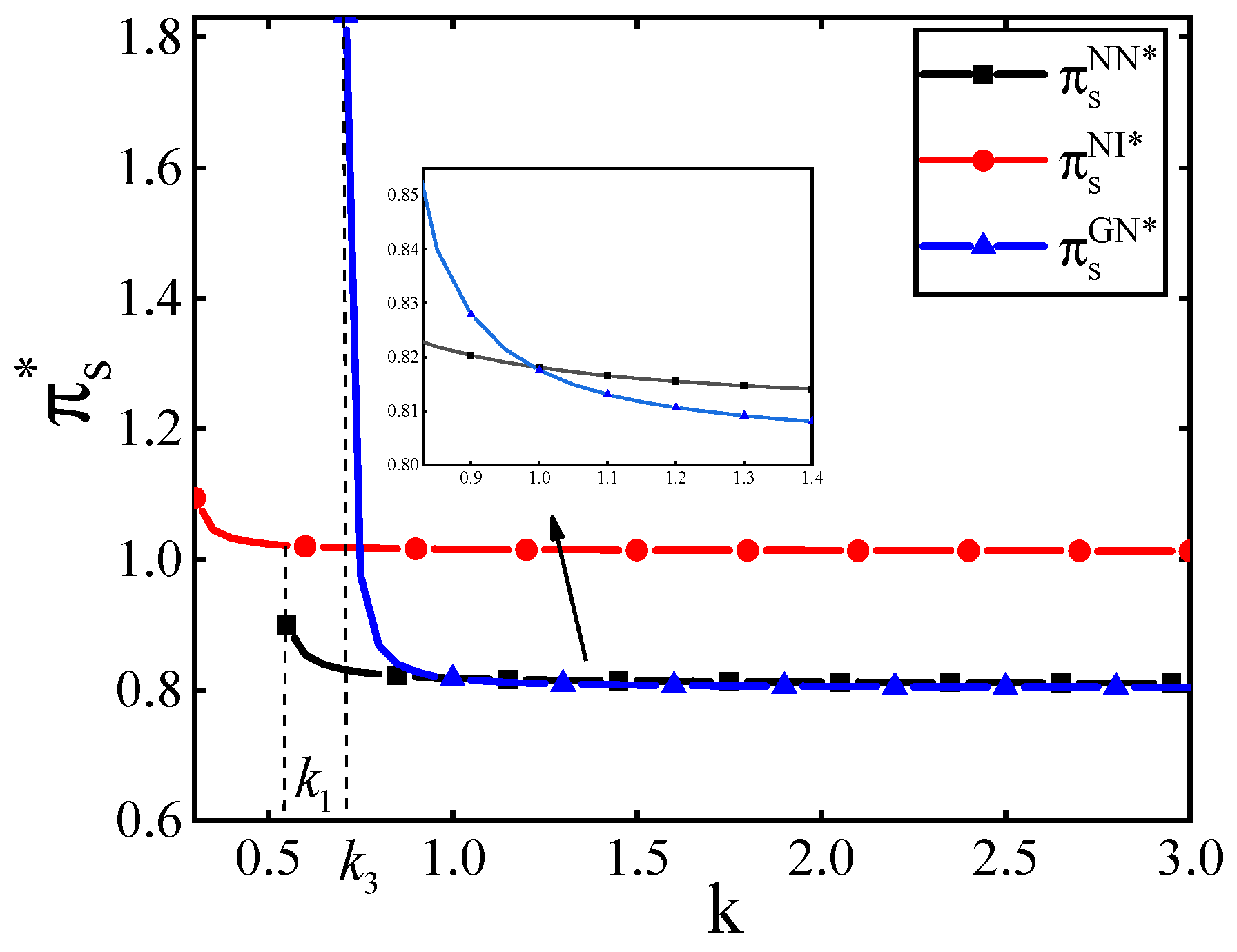
- The manufacturer’s different battery production strategies will also affect the supplier’s emission reduction level and profit. As shown in Corollary 6, the supplier will achieve different performances under three cooperation models. Assuming that the suppliers have the right to make decisions on the cooperation model, their decisions are as follows: if the supplier produces batteries with a small market share, then when the supplier’s battery production cost is low, the supplier is more willing to cooperate with the manufacturer in wholesale mode; when the supplier’s battery production cost is high, the supplier will give up the battery production, and cooperate with the manufacturer through the patent licensing mode; if the supplier produces batteries with a large market share, the supplier will be more willing to cooperate with the manufacturer who has the ability of battery R&D to obtain higher profits;
- (3)
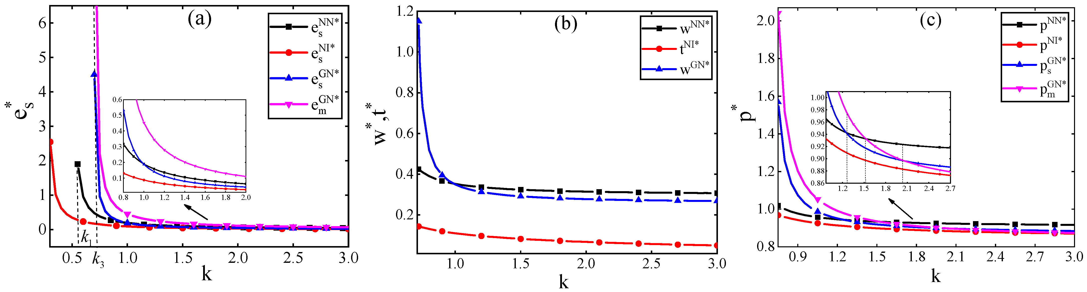
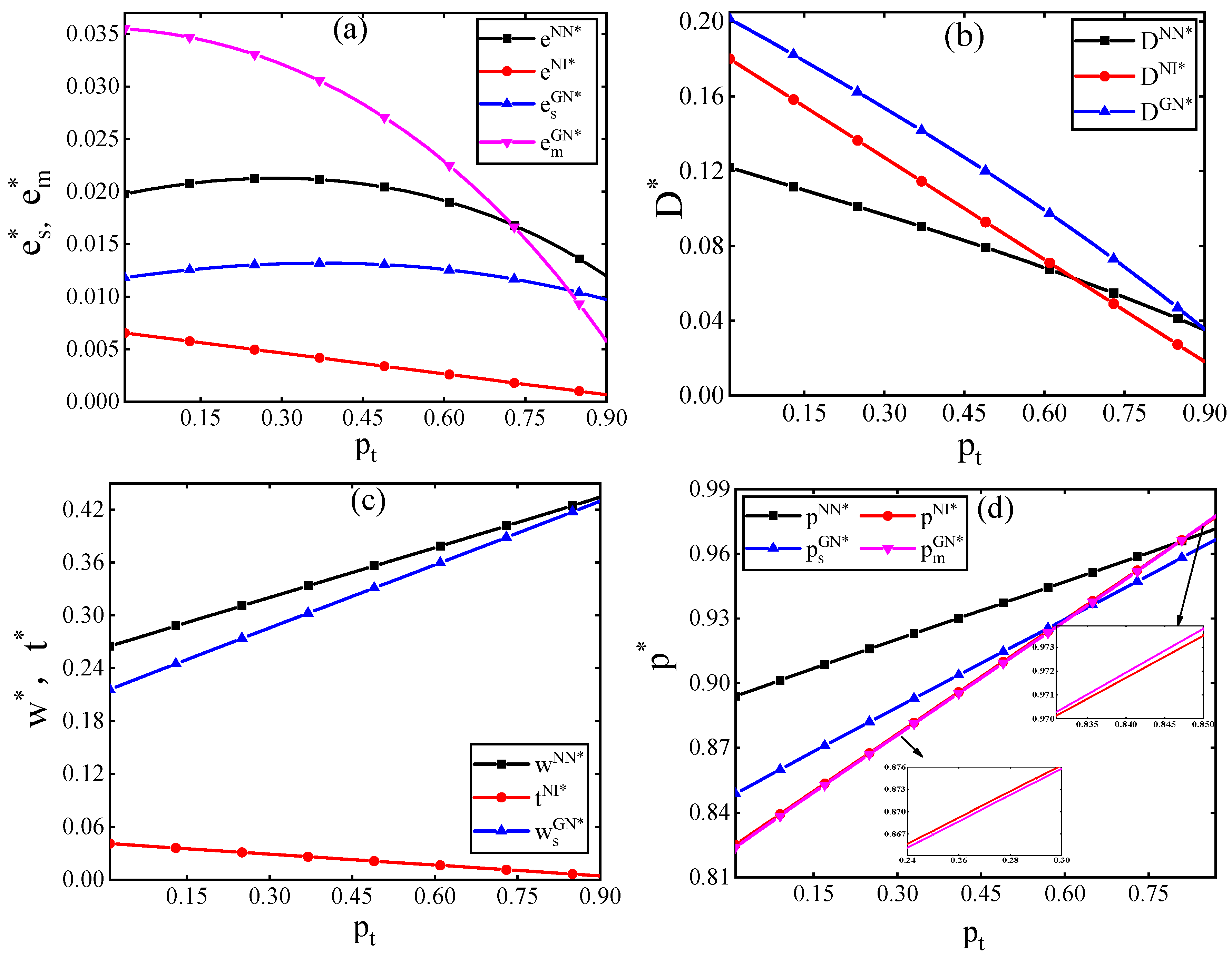
- The impact of the cost coefficient of technological innovation and carbon trading price: the optimal decisions and profits of supply chain members show a trend of decreasing and then stabilizing with the increase in the cost coefficient, so suppliers and manufacturers should improve the efficiency of technological innovation to prevent the negative impact on profit caused by the high or low cost of technological innovation, and to improve the level of emission reduction. The carbon trading price has a positive effect on the wholesale price of batteries and the retail price of new energy vehicles, but has a negative effect on the patent commission fee and market demand. With the increase in carbon trading price, the emission reduction levels under the wholesale purchase strategy and self-research + wholesale purchase strategy will increase firstly and then decrease, but that under the patent-licensed manufacturing strategy and the manufacturer will decrease.
Author Contributions
Funding
Institutional Review Board Statement
Informed Consent Statement
Data Availability Statement
Acknowledgments
Conflicts of Interest
Appendix A. Description of Symbols
Appendix B. Proof of Corollary
References
- Mu, N.; Wang, Y.; Chen, Z.S.; Xin, P.; Deveci, M.; Pedrycz, W. Multi-objective combinatorial optimization analysis of the recycling of retired new energy electric vehicle power batteries in a sustainable dynamic reverse logistics network. Environ. Sci. Pollut. Res. Int. 2023, 30, 47580–47601. [Google Scholar] [CrossRef] [PubMed]
- Xia, L.; Guo, T.; Qin, J.; Yue, X.; Zhu, N. Carbon emission reduction and pricing policies of a supply chain considering reciprocal preferences in cap-and-trade system. Ann. Oper. Res. 2018, 268, 149–175. [Google Scholar] [CrossRef]
- Deb, S.; Kalita, K.; Mahanta, P. Review of impact of electric vehicle charging station on the power grid. In Proceedings of the International Conference on Technological Advancements in Power and Energy (TAP Energy), Kollam, India, 21–23 December 2017; pp. 1–6. [Google Scholar] [CrossRef]
- Yang, X.; Du, R.; Ji, Z.; Wang, Q.; Qu, M.; Gao, W. A Management Framework and Optimization Scheduling for Electric Vehicles Participating in a Regional Power Grid Demand Response under Battery Swapping Mode. Electronics 2024, 13, 20. [Google Scholar] [CrossRef]
- Das, H.S.; Rahman, M.M.; Li, S.; Tan, C.W. Electric vehicles standards, charging infrastructure, and impact on grid integration: A technological review. Renew. Sustain. Energy Rev. 2020, 120, 109618. [Google Scholar] [CrossRef]
- Li, S.; Ma, J.; Zhao, X. Towards intelligent electric vehicle power batteries and multi-scenario application vehicle operation safety charging strategies: A review. Sustain. Energy Fuels 2024, 8, 3496–3523. [Google Scholar] [CrossRef]
- Wang, H.; Wang, L.; Ding, Q. Manufacturers’ product line strategies and environmental impacts under carbon cap and trade policies. Environ. Sci. Pollut. Res. 2022, 29, 40781–40795. [Google Scholar] [CrossRef]
- Zhang, Y.; Qin, Y. Carbon emission reduction cooperation of three-echelon supply chain under consumer environmental awareness and cap-and-trade regulation. Environ. Sci. Pollut. Res. 2022, 29, 82411–82438. [Google Scholar] [CrossRef]
- Zou, H.; Qin, J.; Zheng, H. Equilibrium pricing mechanism of low-carbon supply chain considering carbon cap-and-trade policy. J. Clean. Prod. 2023, 407, 137107. [Google Scholar] [CrossRef]
- Cai, J.; Jiang, F. Decision models of pricing and carbon emission reduction for low-carbon supply chain under cap-and-trade regulation. Int. J. Prod. Econ. 2023, 264, 108964. [Google Scholar] [CrossRef]
- Li, Z.; Pan, Y.; Yang, W.; Ma, J.; Zhou, M. Effects of government subsidies on green technology investment and green marketing coordination of supply chain under the cap-and-trade mechanism. Energy Econ. 2021, 101, 105426. [Google Scholar] [CrossRef]
- Ma, J.; Bao, B.; Liu, L.; Wang, X. Dynamic game evolution complexity of new energy and fuel vehicle manufacturers under carbon cap-and-trade policy. Manag. Decis. Econ. 2024, 45, 2566–2590. [Google Scholar] [CrossRef]
- Xue, K.; Sun, G. Impacts of supply chain competition on firms’ carbon emission reduction and social welfare under cap-and-trade regulation. Int. J. Environ. Res. Public Health 2022, 19, 3226. [Google Scholar] [CrossRef]
- Liu, H.; Kou, X.; Xu, G.; Qiu, X.; Liu, H. Which emission reduction mode is the best under the carbon cap-and-trade mechanism? J. Clean. Prod. 2021, 314, 128053. [Google Scholar] [CrossRef]
- Chen, Y.Y.; Bai, Q.G.; Xu, J.T. Comparison of competing supply chains with different structures under cap-and-trade regulation. Oper. Res. 2024, 58, 1653–1680. [Google Scholar] [CrossRef]
- Zhu, X.; Li, W. The Pricing Strategy of Dual Recycling Channels for Power Batteries of New Energy Vehicles under Government Subsidies. Complexity 2020, 2020, 3691493. [Google Scholar] [CrossRef]
- Jiao, J.L.; Pan, Z.T.; Li, J.J. Effect of carbon trading scheme and technological advancement on the decision-making of power battery closed-loop supply chain. Environ. Sci. Pollut. Res. 2023, 30, 14770–14791. [Google Scholar]
- Huo, H.; Lu, Y.; Wang, Y. Evolutionary game analysis of low-carbon transformation and technological innovation in the cold chain under dual government intervention. Environ. Dev. Sustain. 2024. [Google Scholar] [CrossRef]
- Mao, Y.F.; Li, P.S.; Li, Y. Exploring the promotion of green technology innovation in the new energy vehicle industry: An evolutionary game analysis. Environ. Sci. Pollut. Res. 2023, 30, 81038–81054. [Google Scholar] [CrossRef]
- Narang, P.; De, P.K.; Lim, C.P.; Kumari, M. Optimal recycling model selection in a closed-loop supply chain for electric vehicle batteries under carbon cap-trade and reward-penalty policies using the Stackelberg game. Comput. Ind. Eng. 2024, 196, 110512. [Google Scholar] [CrossRef]
- Wang, Y.; Zhang, X.; Cheng, T.C.E.; Wu, T.H. Choice of the co-opetition model for a new energy vehicle supply chain under government subsidies. Transp. Res. Part E Logist. Transp. Rev. 2023, 179, 103326. [Google Scholar]
- Ma, M.; Meng, W.; Li, Y.; Huang, B. Impact of dual credit policy on new energy vehicles technology innovation with information asymmetry. Appl. Energy 2023, 332, 120524. [Google Scholar] [CrossRef]
- Woerner, S.; Wagner, S.M.; Chu, Y.; Laumanns, M. Bonus or Penalty? Designing Service-Level Agreements for a Decentralized Supply Chain: The Implication of Return on Investment. IEEE Trans. Eng. Manag. 2022, 71, 837–854. [Google Scholar] [CrossRef]
- Liu, L.; Wang, Z.; Zhang, Z.S. Matching-game approach for green technology investment strategies in a supply chain under environmental regulations. Sustain. Prod. Consum. 2021, 28, 371–390. [Google Scholar] [CrossRef]
- Tanrikulu, C. Theory of Consumption Values in Consumer Behavior Research: A Review and Future Research Agenda. Int. J. Consum. Stud. 2021, 45, 1176–1197. [Google Scholar] [CrossRef]
- Jhala, K.; Natarajan, B.; Pahwa, A. Prospect Theory based Active Consumer Behavior Under Variable Electricity Pricing. IEEE Trans. Smart Grid 2018, 10, 2809–2819. [Google Scholar] [CrossRef]
- Taghikhah, F.; Voinov, A.; Shukla, N.; Filatova, T. Shifts in consumer behavior towards organic products: Theory-driven data analytics. J. Retail. Consum. Serv. 2021, 61, 102516. [Google Scholar] [CrossRef]
- Zhu, C.; Xi, X.; Goh, M. Differential game analysis of joint emission reduction decisions under mixed carbon policies and CEA. J. Environ. Manag. 2024, 358, 120913. [Google Scholar] [CrossRef]
- Qi, X.Y.; Han, Y. The impact of technological innovation for emission reduction on decision-making for intertemporal carbon trading. Comput. Ind. Eng. 2023, 186, 109739. [Google Scholar] [CrossRef]
- Chen, X.; Wang, X.J.; Xia, Y.S. Production Coopetition Strategies for Competing Manufacturers that Produce Partially Substitutable Products. Prod. Oper. Manag. 2019, 28, 1446–1464. [Google Scholar] [CrossRef]
- Hong, Z.F.; Guo, X.L. Green product supply chain contracts considering environmental responsibilities. Omega 2019, 83, 155–166. [Google Scholar] [CrossRef]
- Ji, J.; Zhang, Z.; Yang, L. Carbon emission reduction decisions in the retail-/dual-channel supply chain with consumers’ preference. J. Clean. Prod. 2017, 141, 852–867. [Google Scholar] [CrossRef]








| Parameter | Description | ||
|---|---|---|---|
| Potential market demand for the new energy vehicles | |||
| Manufacturer’s cost of batteries production | |||
| Manufacturer’s cost of complete vehicle manufacturing | |||
| Proportion of potential vehicle demand with the batteries from suppliers under the GN model | |||
| The extent of substitution in the market for new energy vehicles using supplier-produced and manufacturer-produced batteries, respectively. | |||
| Initial carbon emissions per unit of batteries produced by suppliers | |||
| Initial carbon emissions per unit of vehicle manufacturing by the manufacturer | |||
| Initial carbon emissions per unit of battery production and vehicle manufacturing by the manufacturer | |||
| Price per unit of carbon emissions traded | |||
| Supplier’s free carbon credits | |||
| Manufacturer’s free carbon credits | |||
| Consumer environmental awareness coefficient | |||
| Green technology input cost coefficient of suppliers | |||
| Green technology input cost coefficient of manufacturers | |||
| Negotiating power of suppliers | |||
| Decision variables | Wholesale price of batteries | ||
| , , | Retail price of the whole vehicle | ||
| Emission reductions per unit of product after technological innovation by suppliers | |||
| Emission reduction level per unit of product after the manufacturer develops its own batteries and makes technological innovations | |||
| Patent commission fee | |||
| Entry fee for technology patents | |||
| Effect of Emission Reductions | Effect of on Wholesale Prices | Effect of on Retail Prices | Effect of on Patent Commission Fees | Effect of on Entry Fee for Technology Patents | |
|---|---|---|---|---|---|
| NN | / | / | |||
| NI | / | ||||
| GN | / | / | |||
| Effect of on emission reductions | Effect of on wholesale prices | Effect of on retail prices | Effect of on patent commission fees | Effect of on entry fee for technology patents | |
| NN | / | / | |||
| NI | / | ||||
| GN | / | / |
| Suppliers’ profits vary with carbon trading prices (NN, NI, GN) | ||||
| Manufacturers’ profits vary with carbon trading prices (NN, NI, GN) |
| Conditions | Optimal Profit Comparison | Optimal Strategy | ||
|---|---|---|---|---|
| NI | ||||
| NN | ||||
| GN | ||||
| GN | ||||
| NN | ||||
Disclaimer/Publisher’s Note: The statements, opinions and data contained in all publications are solely those of the individual author(s) and contributor(s) and not of MDPI and/or the editor(s). MDPI and/or the editor(s) disclaim responsibility for any injury to people or property resulting from any ideas, methods, instructions or products referred to in the content. |
© 2024 by the authors. Licensee MDPI, Basel, Switzerland. This article is an open access article distributed under the terms and conditions of the Creative Commons Attribution (CC BY) license (https://creativecommons.org/licenses/by/4.0/).
Share and Cite
Shao, L.; Peng, Y.; Wang, X. Cooperation and Production Strategy of Power Battery for New Energy Vehicles Under Carbon Cap-and-Trade Policy. Sustainability 2024, 16, 9860. https://doi.org/10.3390/su16229860
Shao L, Peng Y, Wang X. Cooperation and Production Strategy of Power Battery for New Energy Vehicles Under Carbon Cap-and-Trade Policy. Sustainability. 2024; 16(22):9860. https://doi.org/10.3390/su16229860
Chicago/Turabian StyleShao, Lingzhi, Yuwan Peng, and Xin Wang. 2024. "Cooperation and Production Strategy of Power Battery for New Energy Vehicles Under Carbon Cap-and-Trade Policy" Sustainability 16, no. 22: 9860. https://doi.org/10.3390/su16229860
APA StyleShao, L., Peng, Y., & Wang, X. (2024). Cooperation and Production Strategy of Power Battery for New Energy Vehicles Under Carbon Cap-and-Trade Policy. Sustainability, 16(22), 9860. https://doi.org/10.3390/su16229860
