Solvolysis of Nylon: A Pathway to Sustainable Recycling and Circular Economy
Abstract
1. Introduction
2. Materials and Methods
2.1. Materials
2.2. Depolymerization Methodology
2.3. Production of Recycled Amines
2.4. Characterization
3. Results
3.1. Preliminary Tests
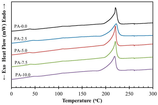
3.2. Production of Recycled Polyamide
4. Conclusions
Author Contributions
Funding
Institutional Review Board Statement
Informed Consent Statement
Data Availability Statement
Conflicts of Interest
References
- Fried, J.R. Polymer Science and Technology, 3rd ed.; Prentice Hall: Hoboken, NJ, USA, 2014. [Google Scholar]
- Callister, W.D., Jr. Fundamentals of Materials Science and Engineering, 5th ed.; John Wiley & Sons, Inc.: New York, NY, USA, 2001. [Google Scholar]
- Lee, Y.; Andrew Lin, K.Y.; Kwon, E.E.; Lee, J. Renewable Routes to Monomeric Precursors of Nylon 66 and Nylon 6 from Food Waste. J. Clean. Prod. 2019, 227, 624–633. [Google Scholar] [CrossRef]
- Chanda, M. Chemical Aspects of Polymer Recycling. Adv. Ind. Eng. Polym. Res. 2021, 4, 133–150. [Google Scholar] [CrossRef]
- Shukla, S.R.; Harad, A.M.; Mahato, D. Depolymerization of Nylon 6 Waste Fibers. J. Appl. Polym. Sci. 2006, 100, 186–190. [Google Scholar] [CrossRef]
- Bäckström, E.; Odelius, K.; Hakkarainen, M.; Bäckström, E.; Odelius, K.; Hakkarainen, M. Microwave Assisted Selective Hydrolysis of Polyamides from Multicomponent Carpet Waste. Glob. Chall. 2021, 5, 2000119. [Google Scholar] [CrossRef] [PubMed]
- Češarek, U.; Pahovnik, D.; Žagar, E. Chemical Recycling of Aliphatic Polyamides by Microwave-Assisted Hydrolysis for Efficient Monomer Recovery. ACS Sustain. Chem. Eng. 2020, 8, 16274–16282. [Google Scholar] [CrossRef] [PubMed]
- Patil, D.B.; Madhamshettiwar, S.V. Kinetics and Thermodynamic Studies of Depolymerization of Nylon Waste by Hydrolysis Reaction. J. Appl. Chem. 2014, 2014, 286709. [Google Scholar] [CrossRef]
- Stuyck, W.; Janssens, K.; Denayer, M.; De Schouwer, F.; Coeck, R.; Bernaerts, K.V.; Vekeman, J.; De Proft, F.; De Vos, D.E. A Sustainable Way of Recycling Polyamides: Dissolution and Ammonolysis of Polyamides to Diamines and Diamides Using Ammonia and Biosourced Glycerol. Green Chem. 2022, 24, 6923–6930. [Google Scholar] [CrossRef]
- Hommez, B.; Goethals, E.J. Degradation of Nylon-6 By Glycolysis. Part 1: Identification of Degradation Products. J. Macromol. Sci.—Pure Appl. Chem. 1998, 35, 1489–1505. [Google Scholar] [CrossRef]
- Wursthorn, L.; Beckett, K.; Rothbaum, J.O.; Cywar, R.M.; Lincoln, C.; Kratish, Y.; Marks, T.J. Selective Lanthanide-Organic Catalyzed Depolymerization of Nylon-6 to ϵ-Caprolactam. Angew. Chem. Int. Ed. 2023, 62, e202212543. [Google Scholar] [CrossRef] [PubMed]
- Czernik, S.; Elam, C.C.; Evans, R.J.; Meglen, R.R.; Moens, L.; Tatsumoto, K. Catalytic Pyrolysis of Nylon-6 to Recover Caprolactam. J. Anal. Appl. Pyrolysis 1998, 46, 51–64. [Google Scholar] [CrossRef]
- Khuntia, S.P.; Gadgeel, A.; Mestry, S.; Mhaske, S.T. Organo-Sulfonic Acid Catalyzed Degradation Kinetics and Thermodynamic Studies of Nylon-6 by Hydrothermal Method. Polym. Adv. Technol. 2022, 33, 411–426. [Google Scholar] [CrossRef]
- WO2017001892A1; Crude Glycerol Purification Process. WIPO: Geneva, Switzerland, 2015.
- ASTM International. ASTM D2074-07 Standard Test Methods for Total, Primary, Secondary, and Tertiary Amine Values of Fatty Amines by Alternative Indicator Method. 2019. Available online: https://www.astm.org/d2074-07r19.html (accessed on 8 October 2024).
- ISO 1133-1:2011; Determination of the Melt Mass-Flow Rate (MFR) and Melt Volume-Flow Rate (MVR) of Thermoplastics. ISO: Geneva, Switzerland, 2011.
- DOMO Chemicals DOMAMID® PA6 Base Polymers. Available online: https://www.domochemicals.com/en/products/domamidr-pa6-base-polymers (accessed on 7 October 2024).
- Goodfellow Goodfellow Advanced Materials Innovation Delivered. Available online: https://www.goodfellow.com/eu/ (accessed on 7 October 2024).
- Mu, B.; Shao, Y.; Yu, X.; McBride, L.; Hidalgo, H.; Yang, Y. High-Quality Separation and Recovery of Nylon and Dyes from Waste Carpet via Non-Destructive Dissolution and Controlled Precipitation for Sustainable Recycling. Sep. Purif. Technol. 2024, 332, 125801. [Google Scholar] [CrossRef]
- Tamin, H.Z.; Wahyuni, S.; Nasution, I.D. Utilization of Recycled Thermoplastic Nylon Combined with Virgin Nylon and the Effect on Its Mechanical Properties as a Denture Base Material. Dent. Res. Manag. 2019, 3, 51–55. [Google Scholar] [CrossRef]
- Aumnate, C.; Spicker, C.; Kiesel, R.; Samadi, M.; Rudolph, N. Recycling of PP/LDPE Blend: Miscibility, Thermal Properties, Rheological Behavior and Crystal Structure. In Proceedings of the SPE ANTEC, Indianapolis, IA, USA, 23–25 May 2016. [Google Scholar]
- Liu, L.C.; Wu, C.A.; Chen, C.M. Modified Recycled Polyamide 6,6 (r-PA 6,6) Based on Pelagic Fishing Nets and Their Physical Properties. J. Indian Chem. Soc. 2022, 99, 100450. [Google Scholar] [CrossRef]








| Reaction * | Temperature (°C) | Time (h) | Ratio HCl/PA (wt.wt−1) |
|---|---|---|---|
| R-80-1-11 | 80 | 1 | 11 |
| R-80-3-11 | 80 | 3 | 11 |
| R-80-4-11 | 80 | 4 | 11 |
| R-90-4-11 | 90 | 4 | 11 |
| R-100-4-11 | 100 | 4 | 11 |
| Sample * | Mass of Virgin Raw Materials | Mass of Recycled Raw Materials |
|---|---|---|
| PA-0.0 | 100.0 | 0.0 |
| PA-2.5 | 97.5 | 2.5 |
| PA-5.0 | 95.0 | 5.0 |
| PA-7.5 | 92.5 | 7.5 |
| PA-10.0 | 90.0 | 10.0 |
| Reaction | Amine Value (mgKOH.g−1) |
|---|---|
| R-80-4-11 | 17.3 ± 0.4 |
| R-90-4-11 | 32.9 ± 1.8 |
| R-100-4-11 | 34.1 ± 0.2 |
| Sample | Young’s Modulus (MPa) | Elongation at Break (%) | Storage Moduls at 25 °C (MPa) | MFI at 230 °C (g.10 min−1) | Tg (°C) | Tm (°C) |
|---|---|---|---|---|---|---|
| PA-0.0 | 322.9 ± 8.3 | 474.5 ± 38.1 | 400 | 11.1 ± 0.7 | 27.9 | 220.5 |
| PA-2.5 | 343.1 ± 14.3 | 419.4 ± 56.2 | 437 | 13.0 ± 0.6 | 30.0 | 221.4 |
| PA-5.0 | 362.3 ± 16.9 | 412.6 ± 56.9 | 526 | 18.8 ± 2.2 | 33.0 | 220.5 |
| PA-7.5 | 385.7 ± 38.1 | 414.3 ± 56.6 | 586 | 21.3 ± 1.4 | 34.3 | 220.3 |
| PA-10.0 | 426.0 ± 18.6 | 378.0 ± 54.7 | 614 | 23.7 ± 1.2 | 37.3 | 219.8 |
Disclaimer/Publisher’s Note: The statements, opinions and data contained in all publications are solely those of the individual author(s) and contributor(s) and not of MDPI and/or the editor(s). MDPI and/or the editor(s) disclaim responsibility for any injury to people or property resulting from any ideas, methods, instructions or products referred to in the content. |
© 2024 by the authors. Licensee MDPI, Basel, Switzerland. This article is an open access article distributed under the terms and conditions of the Creative Commons Attribution (CC BY) license (https://creativecommons.org/licenses/by/4.0/).
Share and Cite
Gama, N.; Araújo, J.; Godinho, B.; Ferreira, A.; Barros-Timmons, A. Solvolysis of Nylon: A Pathway to Sustainable Recycling and Circular Economy. Sustainability 2024, 16, 9725. https://doi.org/10.3390/su16229725
Gama N, Araújo J, Godinho B, Ferreira A, Barros-Timmons A. Solvolysis of Nylon: A Pathway to Sustainable Recycling and Circular Economy. Sustainability. 2024; 16(22):9725. https://doi.org/10.3390/su16229725
Chicago/Turabian StyleGama, Nuno, Jéssica Araújo, Bruno Godinho, Artur Ferreira, and Ana Barros-Timmons. 2024. "Solvolysis of Nylon: A Pathway to Sustainable Recycling and Circular Economy" Sustainability 16, no. 22: 9725. https://doi.org/10.3390/su16229725
APA StyleGama, N., Araújo, J., Godinho, B., Ferreira, A., & Barros-Timmons, A. (2024). Solvolysis of Nylon: A Pathway to Sustainable Recycling and Circular Economy. Sustainability, 16(22), 9725. https://doi.org/10.3390/su16229725

