Chemical and Physical Aspects of Soil Health Resulting from Long-Term No-Till Management
Abstract
1. Introduction
2. Materials and Methods
2.1. Long-Term Tillage Experiment
2.2. Basic Chemical Properties
2.3. The Fractional Composition of SOM
2.4. Spectroscopic Analysis
2.5. Bulk Density and Structural Stability
2.6. Soil Water Retention Characteristic
2.7. Soil Water Repellency Assessment
2.8. Statistical Analysis
3. Results and Discussion
3.1. Basic Chemical Properties
3.2. The Fractional Composition of SOM
3.3. Spectroscopic Properties of Humin
3.3.1. UV–Vis Analysis
3.3.2. Fluorescence
3.4. Bulk Density and Structural Stability
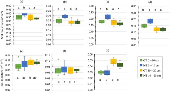
3.5. Soil Water Retention Characteristic
3.6. Soil Water Repellency
3.7. Soil Health Assessment
4. Conclusions
Author Contributions
Funding
Data Availability Statement
Acknowledgments
Conflicts of Interest
References
- Powlson, D.S. Soil Health—Useful Terminology for Communication or Meaningless Concept? Or Both? Front. Agric. Sci. Eng. 2020, 7, 246. [Google Scholar] [CrossRef]
- Brevik, E.C. A Brief History of the Soil Health Concept; Soil Science Society of America: Madison, WI, USA, 2019. [Google Scholar]
- USDA-NRCS Soil Health. Soil Health; Natural Resources Conservation Service, U.S. Department of Agriculture: Washington, DC, USA, 2019. Available online: https://www.nrcs.usda.gov/wps/portal/nrcs/main/soils/health/ (accessed on 25 September 2024).
- Doran, J.W.; Zeiss, M.R. Soil Health and Sustainability: Managing the Biotic Component of Soil Quality. Appl. Soil Ecol. 2000, 15, 3–11. [Google Scholar] [CrossRef]
- Guo, M. Soil Health Assessment and Management: Recent Development in Science and Practices. Soil Syst. 2021, 5, 61. [Google Scholar] [CrossRef]
- EJP Soil. 2020. Available online: https://ejpsoil.eu/ (accessed on 25 September 2024).
- Smreczak, B.; Hewelke, E.; Kowalik, M.; Ukalska-Jaruga, A.; Weber, J. Rational Management of Agricultural Soils under Climate Change. Soil Sci. Annu. 2024, 75, 193074. [Google Scholar]
- Harris, J.A.; Evans, D.L.; Mooney, S.J. A New Theory for Soil Health. Eur. J. Soil Sci. 2022, 73, e13292. [Google Scholar] [CrossRef]
- Purakayastha, T.J.; Trivedi, A.; Biswas, S.; Kumar, D. Soil Health and Climate Change. In Climate Change Impacts on Soil-Plant-Atmosphere Continuum; Advances in Global Change Research; Pathak, H., Chatterjee, D., Saha, S., Das, B., Eds.; Springer Nature: Singapore, 2024; Volume 78, pp. 107–137. ISBN 978-981-9979-34-9. [Google Scholar]
- Mitchell, J.P.; Shrestha, A.; Mathesius, K.; Scow, K.M.; Southard, R.J.; Haney, R.L.; Schmidt, R.; Munk, D.S.; Horwath, W.R. Cover Cropping and No-Tillage Improve Soil Health in an Arid Irrigated Cropping System in California’s San Joaquin Valley, USA. Soil Tillage Res. 2017, 165, 325–335. [Google Scholar] [CrossRef]
- Page, K.L.; Dang, Y.P.; Dalal, R.C.; Reeves, S.; Thomas, G.; Wang, W.; Thompson, J.P. Changes in Soil Water Storage with No-Tillage and Crop Residue Retention on a Vertisol: Impact on Productivity and Profitability over a 50 Year Period. Soil Tillage Res. 2019, 194, 104319. [Google Scholar] [CrossRef]
- Blanco-Canqui, H.; Ruis, S.J. No-Tillage and Soil Physical Environment. Geoderma 2018, 326, 164–200. [Google Scholar] [CrossRef]
- Toth, M.; Stumpp, C.; Klik, A.; Strauss, P.; Mehdi-Schulz, B.; Liebhard, G.; Strohmeier, S. Long-Term Effects of Tillage Systems on Soil Health of a Silt Loam in Lower Austria. Soil Tillage Res. 2024, 241, 106120. [Google Scholar] [CrossRef]
- Sangotayo, A.O.; Chellappa, J.; Sekaran, U.; Bansal, S.; Angmo, P.; Jasa, P.; Kumar, S.; Iqbal, J. Long-term Conservation and Conventional Tillage Systems Impact Physical and Biochemical Soil Health Indicators in a Corn–Soybean Rotation. Soil Sci. Soc. Am. J. 2023, 87, 1056–1071. [Google Scholar] [CrossRef]
- Ćwieląg-Piasecka, I. Soil Organic Matter Composition and pH as Factors Affecting Retention of Carbaryl, Carbofuran and Metolachlor in Soil. Molecules 2023, 28, 5552. [Google Scholar] [CrossRef] [PubMed]
- Hayes, M.H.B.; Mylotte, R.; Swift, R.S. Humin. In Advances in Agronomy; Elsevier: Amsterdam, The Netherlands, 2017; Volume 143, pp. 47–138. ISBN 978-0-12-812421-5. [Google Scholar]
- Hayes, M.H.B.; Swift, R.S. Vindication of Humic Substances as a Key Component of Organic Matter in Soil and Water. In Advances in Agronomy; Elsevier: Amsterdam, The Netherlands, 2020; Volume 163, pp. 1–37. ISBN 978-0-12-820769-7. [Google Scholar]
- Weber, J.; Jerzykiewicz, M.; Ukalska-Jaruga, A.; Ćwieląg-Piasecka, I.; Jamroz, E.; Kocowicz, A.; Debicka, M.; Bekier, J.; Mielnik, L.; Bejger, R.; et al. Properties of Humin Isolated from Polish Arable Soils: The Most Recalcitrant Fraction of Soil Organic Matter That Prevent Soil Degradation. Land Degrad. Dev. 2024, 35, 2425–2436. [Google Scholar] [CrossRef]
- Debska, B.; Spychaj-Fabisiak, E.; Szulc, W.; Gaj, R.; Banach-Szott, M. EPR Spectroscopy as a Tool to Characterize the Maturity Degree of Humic Acids. Materials 2021, 14, 3410. [Google Scholar] [CrossRef]
- Jiménez-González, M.A.; Álvarez, A.M.; Carral, P.; Almendros, G. Influence of Soil Forming Factors on the Molecular Structure of Soil Organic Matter and Carbon Levels. Catena 2020, 189, 104501. [Google Scholar] [CrossRef]
- Machado, W.; Franchini, J.C.; De Fátima Guimarães, M.; Filho, J.T. Spectroscopic Characterization of Humic and Fulvic Acids in Soil Aggregates, Brazil. Heliyon 2020, 6, e04078. [Google Scholar] [CrossRef] [PubMed]
- Reynolds, W.D.; Drury, C.F.; Yang, X.M.; Fox, C.A.; Tan, C.S.; Zhang, T.Q. Land Management Effects on the Near-Surface Physical Quality of a Clay Loam Soil. Soil Tillage Res. 2007, 96, 316–330. [Google Scholar] [CrossRef]
- Fernández, F.G.; Sorensen, B.A.; Villamil, M.B. A Comparison of Soil Properties after Five Years of No-Till and Strip-Till. Agron. J. 2015, 107, 1339–1346. [Google Scholar] [CrossRef]
- Tahat, M.M.; Alananbeh, K.M.; Othman, Y.A.; Leskovar, D.I. Soil Health and Sustainable Agriculture. Sustainability 2020, 12, 4859. [Google Scholar] [CrossRef]
- Li, S.; Liu, X.; Wu, X.; Lu, J.; Abdelrhman, A.A.; Liang, G. Factors Governing Soil Hydrological Function under Long-term Tillage Practices: Insight into Soil Water Repellency. Soil Sci. Soc. Am. J. 2023, 87, 781–796. [Google Scholar] [CrossRef]
- Li, S.; Lu, J.; Liang, G.; Wu, X.; Zhang, M.; Plougonven, E.; Wang, Y.; Gao, L.; Abdelrhman, A.A.; Song, X.; et al. Factors Governing Soil Water Repellency under Tillage Management: The Role of Pore Structure and Hydrophobic Substances. Land Degrad. Dev. 2021, 32, 1046–1059. [Google Scholar] [CrossRef]
- Urbanek, E.; Hallett, P.; Feeney, D.; Horn, R. Water Repellency and Distribution of Hydrophilic and Hydrophobic Compounds in Soil Aggregates from Different Tillage Systems. Geoderma 2007, 140, 147–155. [Google Scholar] [CrossRef]
- Kottek, M.; Grieser, J.; Beck, C.; Rudolf, B.; Rubel, F. World Map of the Köppen-Geiger Climate Classification Updated. Meteorol. Z. 2006, 15, 259–263. [Google Scholar] [CrossRef] [PubMed]
- Mehlich, A. Mehlich 3 Soil Test Extractant: A Modification of Mehlich 2 Extractant. Commun. Soil Sci. Plant Anal. 1984, 15, 1409–1416. [Google Scholar] [CrossRef]
- Swift, R.S. Methods of Soil Analysis. Part 3. Chemical Methods; Soil Science Society of America: Madison, WI, USA, 1996. [Google Scholar]
- Suwara, I.; Pawlak-Zaręba, K.; Gozdowski, D.; Perzanowska, A. Physical Properties of Soil after 54 Years of Long-Term Fertilization and Crop Rotation. Plant Soil Environ. 2016, 62, 389–394. [Google Scholar] [CrossRef]
- Elliott, E.T. Aggregate Structure and Carbon, Nitrogen, and Phosphorus in Native and Cultivated Soils. Soil Sci. Soc. Am. J. 1986, 50, 627–633. [Google Scholar] [CrossRef]
- Klute, A. Water Retention: Laboratory Methods. In SSSA Book Series; Klute, A., Ed.; Soil Science Society of America, American Society of Agronomy: Madison, WI, USA, 2018; pp. 635–662. ISBN 978-0-89118-864-3. [Google Scholar]
- Doerr, S.H.; Shakesby, R.A.; Walsh, R.P.D. Soil Water Repellency: Its Causes, Characteristics and Hydro-Geomorphological Significance. Earth-Sci. Rev. 2000, 51, 33–65. [Google Scholar] [CrossRef]
- Hewelke, E. Influence of Abandoning Agricultural Land Use on Hydrophysical Properties of Sandy Soil. Water 2019, 11, 525. [Google Scholar] [CrossRef]
- Dekker, L.W.; Jungerius, P.D. Water Repellency in the Dunes with Special Reference to the Netherlands. Catena 1990, 18, 173–183. [Google Scholar]
- TIBCO Statistica (Data Analysis Software System). Version 13; TIBCO Software Inc.: Santa Clara, CA, USA, 2017.
- Zhao, X.; He, C.; Liu, W.; Liu, W.; Liu, Q.; Bai, W.; Li, L.; Lal, R.; Zhang, H. Responses of Soil pH to No-till and the Factors Affecting It: A Global Meta-analysis. Glob. Change Biol. 2022, 28, 154–166. [Google Scholar] [CrossRef]
- Arshad, M.A.; Schnitzer, M.; Angers, D.A.; Ripmeester, J.A. Effects of till vs No-till on the Quality of Soil Organic Matter. Soil Biol. Biochem. 1990, 22, 595–599. [Google Scholar] [CrossRef]
- Jayaraman, S.; Naorem, A.; Dalal, R.C.; Sinha, N.K.; Srinivasa Rao, C.; Lal, R.; Kundu, S.; Prasad, J.V.N.S.; Singh, A.K. No-till Farming and Climate Change Mitigation: Lessons Learnt from Long-Term No-till Experiments and Future Perspectives. In Advances in Agronomy; Elsevier: Amsterdam, The Netherlands, 2024; Volume 187, pp. 21–107. ISBN 978-0-443-29530-0. [Google Scholar]
- Mondal, S.; Chakraborty, D.; Paul, R.K.; Mondal, A.; Ladha, J. No-till is More of Sustaining the Soil than a Climate Change Mitigation Option. Agric. Ecosyst. Environ. 2023, 352, 108498. [Google Scholar] [CrossRef]
- Six, J.; Elliott, E.T.; Paustian, K. Aggregate and Soil Organic Matter Dynamics under Conventional and No-Tillage Systems. Soil Sci. Soc. Am. J. 1999, 63, 1350–1358. [Google Scholar] [CrossRef]
- Nunes, M.R.; Van Es, H.M.; Schindelbeck, R.; Ristow, A.J.; Ryan, M. No-till and Cropping System Diversification Improve Soil Health and Crop Yield. Geoderma 2018, 328, 30–43. [Google Scholar] [CrossRef]
- Hussain, S.; Sharma, V.; Arya, V.M.; Sharma, K.R.; Rao, C.S. Total Organic and Inorganic Carbon in Soils under Different Land Use/Land Cover Systems in the Foothill Himalayas. Catena 2019, 182, 104104. [Google Scholar] [CrossRef]
- Aduhene-Chinbuah, J.; Sugihara, S.; Komatsuzaki, M.; Nishizawa, T.; Tanaka, H. No Tillage Increases SOM in Labile Fraction but Not Stable Fraction of Andosols from a Long-Term Experiment in Japan. Agronomy 2022, 12, 479. [Google Scholar] [CrossRef]
- Szajdak, L.; Jezierski, A.; Cabrera, M.L. Impact of Conventional and No-Tillage Management on Soil Amino Acids, Stable and Transient Radicals and Properties of Humic and Fulvic Acids. Org. Geochem. 2003, 34, 693–700. [Google Scholar] [CrossRef]
- Wulanningtyas, H.S.; Gong, Y.; Li, P.; Sakagami, N.; Nishiwaki, J.; Komatsuzaki, M. A Cover Crop and No-Tillage System for Enhancing Soil Health by Increasing Soil Organic Matter in Soybean Cultivation. Soil Tillage Res. 2021, 205, 104749. [Google Scholar] [CrossRef]
- Enev, V.; Doskočil, L.; Kubíková, L.; Klučáková, M. The Medium-Term Effect of Natural Compost on the Spectroscopic Properties of Humic Acids of Czech Soils. J. Agric. Sci. 2018, 156, 877–887. [Google Scholar] [CrossRef]
- Ukalska-Jaruga, A.; Bejger, R.; Smreczak, B.; Podlasiński, M. Sorption of Organic Contaminants by Stable Organic Matter Fraction in Soil. Molecules 2023, 28, 429. [Google Scholar] [CrossRef]
- Chen, Y.; Senesi, N.; Schnitzer, M. Information Provided on Humic Substances by E4/E6 Ratios. Soil Sci. Soc. Am. J. 1977, 41, 352–358. [Google Scholar] [CrossRef]
- Bensa, A.; Miloš, B.; Jurković Balog, N.; Torić, I. Spectroscopic Characterization of Humic Substances of Anthropogenic Soils Derived from Terra Rossa. Agrofor 2016, 1, 5–11. [Google Scholar] [CrossRef]
- Fuentes, M.; Baigorri, R.; Garcia-Mina, J.M. Maturation in Composting Process, an Incipient Humification-like Step as Multivariate Statistical Analysis of Spectroscopic Data Shows. Environ. Res. 2020, 189, 109981. [Google Scholar] [CrossRef] [PubMed]
- Mielnik, L.; Hewelke, E.; Weber, J.; Oktaba, L.; Jonczak, J.; Podlasiński, M. Changes in the Soil Hydrophobicity and Structure of Humic Substances in Sandy Soil Taken out of Cultivation. Agric. Ecosyst. Environ. 2021, 319, 107554. [Google Scholar] [CrossRef]
- Nieweś, D.; Marecka, K.; Huculak-Mączka, M. Application of Alkaline Deep Eutectic Solvents as a Green Alternative to the Traditional Extractants for the Isolation of Humic Substances. ACS Omega 2024, 9, 25265–25276. [Google Scholar] [CrossRef] [PubMed]
- Coble, P.G. Characterization of Marine and Terrestrial DOM in Seawater Using Excitation-Emission Matrix Spectroscopy. Mar. Chem. 1996, 51, 325–346. [Google Scholar] [CrossRef]
- Peuravuori, J.; Koivikko, R.; Pihlaja, K. Characterization, Differentiation and Classification of Aquatic Humic Matter Separated with Different Sorbents: Synchronous Scanning Fluorescence Spectroscopy. Water Res. 2002, 36, 4552–4562. [Google Scholar] [CrossRef]
- Duarte, R.M.B.O.; Santos, E.B.H.; Duarte, A.C. Spectroscopic Characteristics of Ultrafiltration Fractions of Fulvic and Humic Acids Isolated from an Eucalyptus Bleached Kraft Pulp Mill Effluent. Water Res. 2003, 37, 4073–4080. [Google Scholar] [CrossRef]
- Rodríguez, F.J.; Schlenger, P.; García-Valverde, M.A. Comprehensive structural evaluation of humic substances using several fluorescence techniques before and after ozonation. Part I: Structural characterization of humic substances. Sci. Total Environ. 2014, 476–477, 718–730. [Google Scholar] [CrossRef]
- Chen, J.; LeBoeuf, E.J.; Dai, S.; Gu, B. Fluorescence Spectroscopic Studies of Natural Organic Matter Fractions. Chemosphere 2003, 50, 639–647. [Google Scholar] [CrossRef]
- Kalbitz, K.; Geyer, W.; Geyer, S. Spectroscopic Properties of Dissolved Humic Substances? A Reflection of Land Use History in a Fen Area. Biogeochemistry 1999, 47, 219–238. [Google Scholar] [CrossRef]
- Weber, J.; Mielnik, L.; Leinweber, P.; Hewelke, E.; Kocowicz, A.; Jamroz, E.; Podlasiński, M. The Influence of Different, Long-Term Fertilizations on the Chemical and Spectroscopic Properties of Soil Organic Matter. Agronomy 2024, 14, 837. [Google Scholar] [CrossRef]
- Fuentes, M.; González-Gaitano, G.; García-Mina, J.M. The Usefulness of UV–Visible and Fluorescence Spectroscopies to Study the Chemical Nature of Humic Substances from Soils and Composts. Org. Geochem. 2006, 37, 1949–1959. [Google Scholar] [CrossRef]
- Zheng, H.; Liu, W.; Zheng, J.; Luo, Y.; Li, R.; Wang, H.; Qi, H. Effect of Long-Term Tillage on Soil Aggregates and Aggregate-Associated Carbon in Black Soil of Northeast China. PLoS ONE 2018, 13, e0199523. [Google Scholar] [CrossRef] [PubMed]
- Blanco-Canqui, H. Enhancing Soil Aggregation in No-Till Farming Systems. In No-Till Farming Systems for Sustainable Agriculture; Dang, Y.P., Dalal, R.C., Menzies, N.W., Eds.; Springer International Publishing: Cham, Switzerland, 2020; pp. 233–249. ISBN 978-3-030-46408-0. [Google Scholar]
- Li, P.; Ying, D.; Li, J.; Deng, J.; Li, C.; Tian, S.; Zhao, G.; Wu, C.; Jiao, J.; Jiang, M.; et al. Global-Scale No-Tillage Impacts on Soil Aggregates and Associated Carbon and Nitrogen Concentrations in Croplands: A Meta-Analysis. Sci. Total Environ. 2023, 881, 163570. [Google Scholar] [CrossRef]
- Sithole, N.J.; Magwaza, L.S.; Thibaud, G.R. Long-Term Impact of No-till Conservation Agriculture and N-Fertilizer on Soil Aggregate Stability, Infiltration and Distribution of C in Different Size Fractions. Soil Tillage Res. 2019, 190, 147–156. [Google Scholar] [CrossRef]
- Six, J.; Elliott, E.T.; Paustian, K. Soil Macroaggregate Turnover and Microaggregate Formation: A Mechanism for C Sequestration under No-Tillage Agriculture. Soil Biol. Biochem. 2000, 32, 2099–2103. [Google Scholar] [CrossRef]
- Oades, J.M. The Role of Biology in the Formation, Stabilization and Degradation of Soil Structure. Geoderma 1993, 56, 377–400. [Google Scholar] [CrossRef]
- Devita, P.; Dipaolo, E.; Fecondo, G.; Difonzo, N.; Pisante, M. No-Tillage and Conventional Tillage Effects on Durum Wheat Yield, Grain Quality and Soil Moisture Content in Southern Italy. Soil Tillage Res. 2007, 92, 69–78. [Google Scholar] [CrossRef]
- Rasmussen, K.J. Impact of Ploughless Soil Tillage on Yield and Soil Quality: A Scandinavian Review. Soil Tillage Res. 1999, 53, 3–14. [Google Scholar] [CrossRef]
- Fuentes, J.P.; Flury, M.; Huggins, D.R.; Bezdicek, D.F. Soil Water and Nitrogen Dynamics in Dryland Cropping Systems of Washington State, USA. Soil Tillage Res. 2003, 71, 33–47. [Google Scholar] [CrossRef]
- Gruber, S.; Möhring, J.; Claupein, W. On the Way towards Conservation Tillage-Soil Moisture and Mineral Nitrogen in a Long-Term Field Experiment in Germany. Soil Tillage Res. 2011, 115–116, 80–87. [Google Scholar] [CrossRef]
- Jabro, J.D.; Stevens, W.B. Soil-Water Characteristic Curves and Their Estimated Hydraulic Parameters in No-Tilled and Conventionally Tilled Soils. Soil Tillage Res. 2022, 219, 105342. [Google Scholar] [CrossRef]
- Davis, P.; Park, D.M. Food Security in a Changing Climate Starts with Managing Soil Water Repellency. Geoderma 2024, 447, 116922. [Google Scholar] [CrossRef]
- Blanco-Canqui, H. Does No-till Farming Induce Water Repellency to Soils? Soil Use Manag. 2011, 27, 2–9. [Google Scholar] [CrossRef]
- Lamparter, A.; Bachmann, J.; Goebel, M.-O.; Woche, S.K. Carbon Mineralization in Soil: Impact of Wetting–Drying, Aggregation and Water Repellency. Geoderma 2009, 150, 324–333. [Google Scholar] [CrossRef]
- Goebel, M.-O.; Bachmann, J.; Reichstein, M.; Janssens, I.A.; Guggenberger, G. Soil Water Repellency and Its Implications for Organic Matter Decomposition—Is There a Link to Extreme Climatic Events?: Extreme Events and Soil Water Repellency. Glob. Change Biol. 2011, 17, 2640–2656. [Google Scholar] [CrossRef]
- Behrends Kraemer, F.; Hallett, P.D.; Morrás, H.; Garibaldi, L.; Cosentino, D.; Duval, M.; Galantini, J. Soil Stabilisation by Water Repellency under No-till Management for Soils with Contrasting Mineralogy and Carbon Quality. Geoderma 2019, 355, 113902. [Google Scholar] [CrossRef]
- Zhang, B.; Yao, S.-H.; Hu, F. Microbial Biomass Dynamics and Soil Wettability as Affected by the Intensity and Frequency of Wetting and Drying during Straw Decomposition. Eur. J. Soil Sci. 2007, 58, 1482–1492. [Google Scholar] [CrossRef]
- Coelho, C.O.A.; Laouina, A.; Regaya, K.; Ferreira, A.J.D.; Carvalho, T.M.M.; Chaker, M.; Naafa, R.; Naciri, R.; Boulet, A.K.; Keizer, J.J. The Impact of Soil Water Repellency on Soil Hydrological and Erosional Processes under Eucalyptus and Evergreen Quercus Forests in the Western Mediterranean. Soil Res. 2005, 43, 309. [Google Scholar] [CrossRef]
- Lichner, L.; Hallett, P.D.; Feeney, D.S.; Ďugová, O.; Šír, M.; Tesař, M. Field Measurement of Soil Water Repellency and Its Impact on Water Flow under Different Vegetation. Biologia 2007, 62, 537–541. [Google Scholar] [CrossRef]
- Hewelke, E.; Szatylowicz, J.; Gnatowski, T.; Oleszczyk, R. Spatial Variability in Soil Moisture Content under Preferential Flow in Hydrophobic Organic Soil. Rocz. Ochr. Sr. 2014, 16, 580–607. [Google Scholar]
- Keesstra, S.; Nunes, J.P.; Saco, P.; Parsons, T.; Poeppl, R.; Masselink, R.; Cerdà, A. The Way Forward: Can Connectivity Be Useful to Design Better Measuring and Modelling Schemes for Water and Sediment Dynamics? Sci. Total Environ. 2018, 644, 1557–1572. [Google Scholar] [CrossRef] [PubMed]







| Variant | pH (KCl) | TOC | TN | TOC/TN | CEC | P | K | Mg |
|---|---|---|---|---|---|---|---|---|
| g kg−1 | cmol (+) kg−1 | mg kg−1 | ||||||
| 0–10 cm layer | ||||||||
| CT | 6.19 b | 9.87 a | 1.00 a | 10.50 a | 8.21 a | 128.33 a | 125.33 a | 107.67 a |
| NT | 5.33 a | 17.60 b | 1.63 b | 10.83 a | 9.31 a | 196.67 b | 218.00 b | 114.67 a |
| 10–20 cm layer | ||||||||
| CT | 5.38 a | 12.13 a | 1.07 a | 11.30 a | 7.56 a | 121.33 a | 121.67 a | 100.67 a |
| NT | 5.54 a | 11.43 a | 1.20 a | 9.73 a | 10.61 a | 121.67 a | 109.00 a | 120.00 a |
| Variant | TOC g kg−1 | FF | HA | FA | HUM | HUMg kg−1 | HA/FA | |||
|---|---|---|---|---|---|---|---|---|---|---|
| % of TOC | ||||||||||
| 0–10 cm layer | ||||||||||
| CT | 9.87 a | 11.65 b | 51.66 a | 15.65 a | 21.05 a | 2.08 a | 3.46 a | |||
| NT | 17.60 b | 8.77 a | 46.25 a | 18.64 a | 26.34 a | 4.63 b | 2.50 a | |||
| 10–20 cm layer | ||||||||||
| CT | 12.13 a | 10.04 ab | 48.84 a | 15.65 a | 25.47 a | 3.09 a | 3.28 a | |||
| NT | 11.45 a | 11.22 b | 41.98 a | 21.10 a | 25.70 a | 2.92 a | 2.03 a | |||
| Variant | UV–Vis Spectroscopy | Fluorescence Spectroscopy | ||||||
|---|---|---|---|---|---|---|---|---|
| E260:E280 | E465:E665 | E280:E365 | E280:E470 | IFl330:IFl390 | IFl330:IFl470 | HIX | A440 | |
| CT | 0.77 | 2.37 | 12.90 | 35.48 | 1.88 | 5.48 | 1.76 | 30.04 |
| NT | 1.04 | 3.40 | 6.61 | 14.79 | 2.67 | 7.69 | 1.39 | 25.24 |
Disclaimer/Publisher’s Note: The statements, opinions and data contained in all publications are solely those of the individual author(s) and contributor(s) and not of MDPI and/or the editor(s). MDPI and/or the editor(s) disclaim responsibility for any injury to people or property resulting from any ideas, methods, instructions or products referred to in the content. |
© 2024 by the authors. Licensee MDPI, Basel, Switzerland. This article is an open access article distributed under the terms and conditions of the Creative Commons Attribution (CC BY) license (https://creativecommons.org/licenses/by/4.0/).
Share and Cite
Hewelke, E.; Mielnik, L.; Weber, J.; Perzanowska, A.; Jamroz, E.; Gozdowski, D.; Szacki, P. Chemical and Physical Aspects of Soil Health Resulting from Long-Term No-Till Management. Sustainability 2024, 16, 9682. https://doi.org/10.3390/su16229682
Hewelke E, Mielnik L, Weber J, Perzanowska A, Jamroz E, Gozdowski D, Szacki P. Chemical and Physical Aspects of Soil Health Resulting from Long-Term No-Till Management. Sustainability. 2024; 16(22):9682. https://doi.org/10.3390/su16229682
Chicago/Turabian StyleHewelke, Edyta, Lilla Mielnik, Jerzy Weber, Aneta Perzanowska, Elżbieta Jamroz, Dariusz Gozdowski, and Paweł Szacki. 2024. "Chemical and Physical Aspects of Soil Health Resulting from Long-Term No-Till Management" Sustainability 16, no. 22: 9682. https://doi.org/10.3390/su16229682
APA StyleHewelke, E., Mielnik, L., Weber, J., Perzanowska, A., Jamroz, E., Gozdowski, D., & Szacki, P. (2024). Chemical and Physical Aspects of Soil Health Resulting from Long-Term No-Till Management. Sustainability, 16(22), 9682. https://doi.org/10.3390/su16229682

