Next Article in Journal
Improving Procedures for Maintaining Existing Railway Station Infrastructure in Poland as an Element of the Sustainable European Ecological Transformation
Previous Article in Journal
Does Microplastic Pollution in the Epikarst Environment Coincide with Rainfall Flushes and Copepod Population Dynamics?
 
 
Font Type:
Arial Georgia Verdana
Font Size:
Aa Aa Aa
Line Spacing:
Column Width:
Background:
Article

Projection of Changes in Stream Water Use Due to Climate Change

1
Samcheok University-Industry Cooperation Foundation, Kangwon National University, Samcheok-si 25913, Republic of Korea
2
Department of Urban and Environmental and Disaster Management, Graduate School of Disaster Prevention, Kangwon National University, Samcheok-si 25913, Republic of Korea
*
Author to whom correspondence should be addressed.
Sustainability 2024, 16(22), 10120; https://doi.org/10.3390/su162210120
Submission received: 23 September 2024 / Revised: 6 November 2024 / Accepted: 19 November 2024 / Published: 20 November 2024
(This article belongs to the Section Sustainable Water Management)

Abstract

This study investigates the impact of rising temperatures on residential water use (RWU) in Seoul from 2015 to 2021, addressing the challenges of urban water sustainability under climate change. Using advanced models—convolutional neural networks (CNNs), long short-term memory (LSTM) Networks, eXtreme Gradient Boosting (XGBoost), and Bayesian Neural Networks (BNNs)—we examined RWU prediction accuracy and incorporated a method to quantify prediction uncertainties. As a result, the BNN model emerged as a robust alternative, demonstrating competitive predictive accuracy and the capability to account for uncertainties in predictions. Recent studies highlight a strong correlation between rising temperatures and increased RWU, especially during summer, with tropical nights (with temperatures above 25 °C) becoming more common; Seoul experienced a record 26 consecutive tropical nights in July 2024, underscoring a trend toward higher RWU. To capture these dynamics, we employed Shared Socioeconomic Pathway (SSP) scenarios and downscaled the KACE-1-0-G Global Climate Model (GCM) for Seoul, projecting a progressive increase in RWU: 0.49% in the F1 period (2011–2040), 1.53% in F2 (2041–2070), and 2.95% in F3 (2071–2100), with significant rises in maximum RWU across these intervals. Our findings highlight an urgent need for proactive measures to secure water resources in response to the anticipated increase in urban water demand driven by climate change.

1. Introduction

A comprehensive analysis of residential water use (RWU) is crucial for the sustainability and resilience of urban water systems [1]. It enables them to adapt to fluctuating water resources and increased demands from population growth, urbanization, and climate change. The increasing temperatures due to climate change pose significant challenges to urban water management, particularly in predicting RWU. Despite the known correlation between temperature and RWU [2], current water management practices in many regions, including Seoul, do not adequately account for temperature variability. This research aims to address this gap by developing and applying advanced machine learning models to improve the accuracy of RWU predictions, thereby contributing to more effective water resource management strategies [3].
In the context of global warming, the relationship between temperature and RWU has become a critical environmental and urban planning concern. The average temperature is deeply correlated with water use [4], and studies have been conducted on the changes in water consumption relative to temperature variations. Specifically Balling and Gober [5] investigated the correlation between annual water use and annual mean temperature, precipitation, and drought index; Breyer et al. [6] explored spatial variation in temperature sensitivity of single-family RWU patterns in Arizona; and Rathnayaka et al. [7] examined the seasonal variability of residential water use, showing that shower duration increased with lower temperature.
Previous studies have explored the relationship between temperature and RWU, but many do not fully capture the complexity of this relationship. Moreover, these studies often do not address the variability in RWU that can occur at the same temperature or the presence of outliers that can significantly impact predictions. By employing machine learning models, this study builds on previous work but addresses these limitations, providing a more accurate and robust prediction framework.
Guo et al. [8] implemented deep learning methods to forecast short-term water demand using historical water demand data, and Mu et al. [9] applied a long short-term memory (LSTM) model, comparing its performance with the autoregressive integrated moving average (ARIMA), the support vector regression (SVR), and the random forest (RF). Additionally, Hu et al. [10] utilized the previous five days’ water use and daily maximum temperature as inputs for an LSTM-based model to forecast daily water demand, and Du et al. [11] considered factors such as temperature, calendar effects, and holidays, using principal component analysis to enhance the application of LSTM for daily urban water demand. These studies highlight the growing recognition of machine learning’s potential in this field. However, in this study, we diverge from prior approaches by not relying on historical water use data; instead, we focus exclusively on temperature data to predict monthly RWU.
An increase in RWU is anticipated in Seoul City in accordance with predictions of rising temperatures. Praskievicz and Chang [12] conducted a statistical analysis of how seasonal water use in Seoul is affected by weather variables using daily and monthly data from 2002 to 2007 and demonstrated that temperatures and daylight length are positively correlated to water use. Lee et al. [13] analyzed the water use in Seoul in relation to climate change, urban flooding, underground water seepage, and land subsidence from the perspective of supply, describing the temperature increase rate of 0.0238 °C/year from 1909 to 2014 and changes in interannual and seasonal variability in precipitation. Korea Meteorological Administration [14] projected, based on the Shared Socioeconomic Pathway (SSP) scenarios, that the annual average temperature of Seoul Special City will rise by 1.7–3.1 °C by the mid-21th century and 2.4–6.7 °C by the late-21th century, compared to the current period (2000–2019, 13.1 °C).
The necessity of this study is underscored by the limitations of traditional time series analysis methods in accurately predicting RWU in the face of temperature variability. The approach taken, which employs advanced machine learning models such as CNN, LSTM, eXtreme Gradient Boost (XGBoost), and Bayesian Neural Networks (BNNs), is validated by their proven effectiveness in handling large, complex datasets and modeling non-linear relationships. The significance of this research is its contribution to developing more resilient and adaptive water resource management strategies, which are critical in mitigating the impacts of climate change on urban water systems.
This research addresses the significant gap in current water resource management practices in the Republic of Korea, which typically do not account for the variability in temperature on a monthly or seasonal basis. Instead, these practices often rely on average historical RWU data, overlooking the potential impact of rising temperatures on demand. This limitation is especially problematic in the Seoul metropolitan area, where rising temperatures, including increasingly frequent tropical nights, are expected to drive up RWU, straining resources at facilities like the Pungnap intake. However, these potential increases in RWU are not currently considered in water management strategies.
Our study aims to quantitatively assess the relationship between RWU and temperature changes using machine and deep learning methodologies, focusing on improving RWU prediction accuracy and introducing a framework for uncertainty quantification. We utilized projected climate scenarios to forecast RWU under varying temperature conditions, with the BNN model emerging as a robust tool for reliable predictions. By evaluating the most effective method through performance evaluation, we intend to provide a valuable tool for incorporating quantitative RWU forecasts into monthly and seasonal water management plans. This approach not only addresses the immediate need for more adaptive water resource management strategies in response to climate change but also sets a precedent for integrating advanced analytical techniques into sustainable environmental policy and planning.

2. Methodology

Using Seoul’s maximum, minimum, and average temperatures, machine learning models were trained to reproduce RWU at the Pungnap intake facility. The regression model utilized machine learning algorithms such as CNN, LSTM, XGBoost, and BNN. The training and validation sets were divided in an 80:20 ratio, respectively, from January 2015 to July 2020 for training and August 2020 to December 2021 for validation. For the CNN and LSTM models, temperature data from the previous two months and the current month were used to predict that month’s RWU. In contrast, the XGBoost and BNN models utilized temperature data from only the current month. A detailed description of each model is presented in the following section.

2.1. Study Area and Data

Covering an area of 605.2 km2, only 0.6% of the Republic of Korea’s total land, Seoul is home to approximately 9.7 million inhabitants. This represents 18.7% of the nation’s population, making it the most densely populated city in the OECD nations. In the Global Power City Index, which evaluates 48 cities globally, Seoul consistently holds the 7th position as the world’s largest city for the second year in a row. The city is bisected from east to west by the Han River, merging within its boundaries downstream. Characterized by a gentle slope and slow flow, the river’s water levels can surge during flood events, precipitated by the influx from its upper and middle basins. The Han River is also the source of the domestic water supply for Seoul’s residents, with water being sourced from the Paldang Dam, as shown in Figure 1.
Figure 2a illustrates the average daily RWU recorded at the Pungnap intake facility between January 2015 and December 2021. The RWU was low in the winter months of December through February, but it rose in March and peaked in the summer, especially in July. That month, the daily average RWU was observed at 476,355 m3/day, corresponding to a river flow rate of 5.51 m3/s. Excluding the elevated summer consumption, RWU remained relatively consistent. The overall pattern of RWU closely mirrored the fluctuations of average temperatures in the Republic of Korea.
Figure 2b illustrates the relationship between monthly temperatures and RWU from January 2015 to December 2021. Individual linear correlations were assessed for average, minimum, and maximum temperatures with RWU, yielding R 2 values of 0.577, 0.589, and 0.556, respectively. These results indicate a proportional relationship, with RWU increasing as temperatures rise. Notably, the strongest correlation was observed with minimum temperature, at approximately 0.77. This strong correlation between RWU and temperature suggests a significant relationship, and, as shown in Figure 2a, RWU appears to follow an annual periodic fluctuation. However, it seems challenging to reproduce this pattern using traditional time series analysis. This difficulty may be attributed to several factors: (1) the nonlinearity of the relationship, where different RWU values can occur at the same temperature and similar RWU values can occur at different temperatures; (2) the presence of numerous outliers that deviate significantly from the temperature–RWU correlation; and (3) the interrelationship between different temperature measures also influencing RWU. These observations underscore the necessity of applying machine learning techniques.
Considering the strong correlation between temperature and RWU, this study developed regression models using monthly average, maximum, and minimum temperatures as input variables to forecast RWU. The temperature data were obtained from the Automated Synoptic Observing System (ASOS) station 108 in Seoul. ASOS provides ground-based meteorological observations that capture synoptic-scale weather conditions across various locations at predetermined times. Data spanning 84 months, from January 2015 to December 2021, were used to correlate the monthly average, maximum, and minimum temperatures recorded by ASOS with RWU in Seoul.

2.2. Regression Models

This section overviews the regression models developed to reproduce RWU using temperature data. The models include CNN, LSTM, XGBoost, and BNN. Each model was configured to utilize the characteristics of temperature patterns for accurate RWU predictions. The structures of the CNN, LSTM, and BNN models are illustrated in Figure 3, with each subfigure detailing the specific architecture: CNN (Figure 3a), LSTM (Figure 3b), and BNN (Figure 3c). A detailed comparison with contemporary models for water use is beyond the scope of this study. However, we refer interested readers to recent work by Tripathy and Mishra [15], which provides an extensive review and comparison of state-of-the-art techniques in hydrology. The following subsections outline the design and training process of each model in detail.

2.2.1. Convolutional Neural Networks

CNNs have emerged as powerful tools in processing and analyzing spatial and temporal data [16]. Initially designed for object recognition in digital image processing, their application has extended to various fields, including environmental [17], hydrology [18,19], and water resource management [20]. CNNs are structured to include convolution layers, pooling layers, and fully connected layers, which work together to efficiently recognize patterns and features in input data such as temperatures to predict RWU.
A 1D CNN is designed for sequence data. Specifically, 1D CNNs are particularly suited for processing one-dimensional data, such as time-series signals, with advantages in computational efficiency and application to real-time or resource-constrained environments [21]. It works by applying a convolution operation on the input data using filters or kernels. The basic operation involves sliding these filters along the input sequence to produce a feature map, highlighting important features for further analysis. The convolutional operation is mathematically represented in Equation (1):
x k l = b k l + i = 1 N l 1 c o n v 1 D ( w i k l 1 , s i l 1 )
where x k l represents the input to the k t h neuron at layer l after convolution, b k l is the bias, and w i k l 1 is the kernel from the i th neuron at layer l 1 to the k th neuron at layer l. s i l 1 represents the output of the i th neuron at layer l 1 and c o n v 1 D performs the 1D convolution operation without zero-padding.
This study employed a CNN for RWU prediction, involving training the network on historical data with temperature readings as inputs to forecast RWU. The architecture included a Conv1D layer with 32 filters, a kernel size of 3, valid padding, and Rectified Linear Unit (ReLU) activation, designed to process one-dimensional time-series data. This was followed by a flattened layer that transforms the output of Conv1D layers into a format suitable for dense layers, and three dense layers, each with 32 units and ReLU activation, to facilitate the nonlinear transformation of features. A final dense layer with a single unit was used to predict the RWU. The training process fine-tuned the network’s weights and biases to minimize the Mean Squared Error (MSE) loss function, thereby enhancing the model’s accuracy in predicting RWU. The training process involved 50,000 epochs with a batch size of 32, utilizing a validation set for performance evaluation.

2.2.2. Long Short-Term Memory Networks

LSTM networks are a special kind of recurrent neural network (RNN) capable of learning long-term dependencies. Originally introduced by Hochreiter and Schmidhuber [22], LSTMs have been widely adopted for sequence prediction problems due to their effectiveness in handling time-series data where the current state is dependent on previous time steps [23,24]. This makes LSTMs exceptionally suitable for processing sequential data such as water use prediction [2], weather forecasting, language modeling, statistics, and others [25,26].
LSTM networks are designed to overcome the vanishing gradient problem associated with traditional RNNs, allowing them to capture long-term dependencies more effectively. They achieve this through their unique architecture, which includes memory cells that maintain states over time, and three types of gates (input, forget, and output gates) that regulate the flow of information into and out of the cell, making them adept at remembering information for long periods [27]. The LSTM algorithm can be expressed as
f t = σ g ( W f x t + U f h t 1 + b f )
i t = σ g ( W i x t + U i h t 1 + b i )
o t = σ g ( W o x t + U o h t 1 + b o )
c ˜ t = σ c ( W c x t + U c h t 1 + b c )
c t = f t c t 1 + i t c ˜ t
h t = o t σ h ( c t )
where f t , i t , and o t represent the forget, input/update, and output gates’ activation vectors, respectively, at time step t. c ˜ t is the cell input activation vector or candidate vector to update and c t is the cell state vector at time step t. h t is the primary output at time step t. W , U , and b are the weight matrices and bias vector, respectively. The operator ∘ denotes the element-wise product. In this study, the recurrent activation function σ g was used as the sigmoid, the cell input activation σ c was the hyperbolic tangent, and the output activation σ h was the ReLU.
In this research, the LSTM model was constructed using a sequential model from Keras, consisting of three LSTM layers with 32 units each. The first two LSTM layers were set to return sequences, allowing the subsequent LSTM layer to receive sequences of data, thus capturing temporal dependencies from the input time series data effectively. Activation functions for the LSTM layers were chosen to be the ReLU to introduce nonlinearity into the model while mitigating the vanishing gradient problem. The model concludes with a dense layer comprising a single unit to output the predicted RWU. For training, we utilized the MSE loss function and the Adam optimizer, spanning 50,000 epochs with a batch size of 32.

2.2.3. eXtreme Gradient Boosting

XGBoost is a highly efficient, flexible, and portable gradient boosting library that provides a scalable and accurate implementation of gradient boosting machines (GBMs). Developed by Friedman et al. [28], Chen and Guestrin [29], XGBoost has gained popularity in machine learning competitions and research due to its performance and speed. It employs a novel tree learning algorithm that efficiently handles sparse data and improves computational performance through parallel and distributed computing, making it suitable for a wide range of data-driven applications in hydrology, including streamflow prediction [30,31], flood risk assessment [32,33], groundwater modeling [34], and drought monitoring [35].
The XGBoost model was constructed using the ’XGBRegressor’ class, with the objective set to ’reg:squarederror’ to minimize the squared errors, making it suitable for regression tasks like RWU prediction. The model can be expressed as
y ^ i = ϕ ( x i ) = k = 1 K f k ( x i ) , f k F
where f k is k t h regression trees or additive functions and F = { f ( x ) = w q ( x ) } ( q : R m T , w R T ) is the space of regression trees. T represents the number of leaves, q is independent tree structure, w is leaf weight, and m is the number of features in the data. The model has the regularized objective of obtaining the set of functions:
L ( ϕ ) = i l ( y ^ i , y i ) + k Ω ( f k )
Ω ( f ) = γ T + 1 2 λ w 2
where l is a differentiable convex loss function and Ω is the term that penalizes the complexity of the model. Equation (9) can be optimized in an additive manner with second-order approximation [29].
In this study, we utilized the XGBoost algorithm to predict Residential Water Usage (RWU) based on historical temperature data from Seoul. The hyperparameters were selected to optimize the model’s performance. The colsample bytree was set to 0.3 to limit the fraction of features used per tree, preventing overfitting; the learning rate was set to 0.1 to control for ensuring convergence; the max depth was chosen as 5 to define the maximum depth of trees, balancing model complexity and learning capability; and the alpha, which is L1 regularization, and n estimator, which is the number of trees, were set to 10 and 100, respectively.

2.2.4. Bayesian Neural Networks

BNNs are the method that trains stochastic neural networks using Bayesian inference [36,37]. BNNs have gained prominence for their capability to provide probabilistic interpretations of model predictions, offering a robust framework for handling uncertainty in deep learning applications. Unlike traditional neural networks, BNNs incorporate Bayesian inference to estimate the distribution of model parameters, thereby enabling the quantification of uncertainty in predictions. This approach allows for more informed decision-making in critical applications by not only predicting outcomes but also providing a measure of confidence in these predictions.
BNN treats weights as probability distributions, allowing for a more robust representation of uncertainty in model predictions. In a BNN, each weight, w, is not a single value but follows a probability distribution. The weights are assumed as
p ( w i ) = N ( w i ; μ i , σ i 2 )
where μ i and σ i are the mean and standard deviation of the Gaussian distribution, respectively. This approach allows BNNs to make predictions and quantify the uncertainty associated with these predictions, treating the network weights, w, as random variables with prior distributions. The goal of training a BNN is to update these priors to posterior distributions based on the observed data. This can be expressed as
p ( w | y , x ) = p ( y | w , x ) · p ( w ) p ( y | x ) p ( y | w , x ) · p ( w )
where x is the input vector, y is the target vector, p ( w | y , x ) is the posterior distribution, p ( y | w , x ) is the likelihood function, and p ( w ) is the prior distribution of weights. p ( y | x ) , called evidence, is difficult to compute, and the variational distribution q θ ( w ) is used to approximate the posterior distribution. Aiming to minimize the distance, the relationship between the posterior and its approximation distribution can be described as
argmin θ K L ( q θ ( w ) | | p ( w | y , x ) ) = argmin θ E q θ ( w ) log p ( w | y , x ) q θ ( w )
where K L represents Kullback–Leibler (KL) divergence. To minimize the KL divergence, we can utilize the relationship shown below:
log p ( y | x ) = E q θ ( w ) log p ( y | w , x ) p ( w ) q θ ( w ) E q θ ( w ) log p ( w | y , x ) q θ ( w )
The first and second terms in the RHS represent the evidence of lower bound (ELBO) and the KL divergence, respectively. This equation means that minimizing the KL divergence is equivalent to maximizing the ELBO ( L ( q θ ) ), and the ELBO can be expanded as
argmin θ L ( q θ ) = argmin θ E q θ [ log p ( y | w , x ) + K L [ q θ ( w ) | | p ( w ) ] ]
The ELBO comprises the likelihood evaluation and the divergence between the variational distribution and the prior. This delineates a trade-off between model performance and the prior distribution of weights, enabling the acquisition of a balance in which the model’s outcomes are prevented from excessive divergence and safeguarded against overfitting. In this study, we utilized a customized loss function including MSE and Negative Log-Likelihood (NLL), which is the first term in Equation (15). It can be expressed as
L = ( 1 α ) i = 1 N E q θ [ log p ( y i | f w ( x i ) ] + α i = 1 N ( y i f w ( x i ) ) 2 + K L [ q θ ( w ) | | p ( w ) ]
In this research, we explored the application of BNNs to model and predict RWU in Seoul, utilizing TensorFlow Probability and TensorFlow for constructing a probabilistic deep learning framework. The architecture of our BNN model consisted of five DenseFlipout layers, which leveraged variational inference to approximate the posterior distributions of the network’s weights. These layers were equipped with a mean-field variational posterior, a multivariate normal prior, and KL divergence functions to regularize the network’s complexity. The output layer generated parameters for a normal distribution, from which the RWU predictions were sampled. For training, we employed a combined loss function that balances the MSE and the NLL with α = 1 and 0.001 of the learning rate.

3. Results

3.1. Model Training

The training process for each model was conducted over 30,000 epochs to ensure sufficient exposure to the training data. The MSE was employed as the loss function to quantify the discrepancy between predicted and true values. Figure 4 illustrates the training and validation loss curves for the CNN, LSTM, and BNN models over the epochs, highlighting each architecture’s learning dynamics and generalization capabilities.
For the CNN model in Figure 4a, the loss consistently decreased as training progressed. Starting around 10,000 epochs, the model began to improve steadily, and a significant enhancement in performance was observed after approximately 20,000 epochs. The validation loss followed a similar downward trend, showing fewer fluctuations, which suggests that the model’s ability to generalize to new data improved as training progressed. The separation of the training and validation loss occurred near 30,000 epochs, with the training loss consistently maintaining a larger value. After that, the validation loss continued to decrease, indicating potential for further optimization; however, training was stopped before reaching 50,000 epochs to avoid overfitting.
The LSTM (Figure 4b) displayed a similar pattern, with both training and validation losses decreasing over time. The LSTM seemed to experience more fluctuation in validation loss, suggesting a degree of sensitivity to the initial conditions or the stochastic nature of the learning process.
For the BNN, Figure 4c presents a different profile, with a steep initial decrease in training loss, followed by a plateau. This pattern was typical for Bayesian models, which aimed to capture uncertainty and may converge to a distribution over weights rather than a single point estimate. The validation loss for the BNN showed acceptable agreement with the training loss, indicating that the model was generalizing well to unseen data.
During training, the loss curves for each model (CNN, LSTM, BNN) indicated a convergence trend, with the loss decreasing over epochs. The validation loss followed the training loss with varying degrees of smoothness across the models, suggesting differing levels of generalization to the validation set.

3.2. Evaluation of Results

The regression models CNN, LSTM, XGBoost, and BNN were evaluated to forecast Seoul’s RWU. The models’ predictions are visualized in Figure 5, where the blue dots represent the observed values during training, the black stars denote the model predictions, and the red dashed lines illustrate the 95% confidence intervals for the BNN predictions (Figure 5d). The division of the dataset into training and validation sets is marked by a black vertical line on each plot to demonstrate the models’ performance on unseen data.
Each model presented unique characteristics in its predictions. The CNN and LSTM models showed a tighter fit to the observed data during training. In contrast, the BNN model predictions encompassed the range of observations within 95% confidence intervals, highlighting the incorporation of uncertainty into its predictions. The LSTM model exhibited a larger deviation in the validation set, indicating potential overfitting to the training data.
Table 1 summarized the performance metrics for each model, showcasing their ability to predict RWU for the training and validation datasets. The models were evaluated based on three metrics: Root Mean Squared Error (RMSE), which measures the model’s prediction error; Mean Absolute Percentage Error (MAPE), which expresses the prediction error as a percentage; and Nash–Sutcliffe model efficiency coefficient (NSE), which assesses the predictive power of the models.
The results indicate that XGBoost (Figure 5c) outperformed the other models on the training set with the lowest RMSE of 1093.3 and MAPE of 0.195% and the highest NSE of 0.997, implying an almost perfect fit to the training data. However, the negative NSE on the validation set suggests that the model’s predictions were less accurate than the mean of the observed data, indicating overfitting.
The LSTM model (Figure 5b) demonstrated the second-best performance on the training set, with an RMSE of 5157.0, a MAPE of 0.799%, and an NSE of 0.937. Nevertheless, it experienced the highest RMSE of 29,540 and a negative NSE of −2.17 on the validation set, reflecting a significant loss of predictive accuracy when applied to unseen data.
The CNN model (Figure 5a) exhibited a moderate performance drop when transitioning from training to validation, suggesting it may be more robust to overfitting than the LSTM and XGBoost models. The CNN and BNN models showed comparable results, with the mean predictions from the BNN model having a slightly better RMSE and NSE on the training set and a slightly better performance on the validation set. In addition, the BNN model demonstrated its performance by including both training and validation sets within 95% confidence intervals.
Figure 6 represents the results of the regression models used to predict RWU across average temperature. The filled blue circles represent the observed RWU values used for training, while empty circles represent the observations used for validation. The black stars show the RWU predictions with CNN, LSTM, XGBoost, and BNN. The red and black plus signs in Figure 6d represent the 95% and 99% confidence intervals, respectively.
The XGBoost model (Figure 6c) followed the trend of the observation value well, with the highest NSE of 0.847 for the total dataset. However, it tended to be completely unpredictable for the unseen data. The LSTM model (Figure 6b) exhibited the lowest NSE of 0.492 for the total dataset due to the largest prediction error for the unseen data, although it had the second-best performance on the training set. Despite the CNN (Figure 6a) representing the acceptable prediction with the NSE of 0.740 for the total dataset, it showed a weakness in predicting RWU at high temperatures. The BNN model was evaluated using the mean prediction from the ensemble and compared to the total dataset (Figure 6d). The mean prediction followed the observation trend well with an NSE of 0.762, and the confidence intervals from the BNN model enclosed the RWU observations in all temperature intervals.
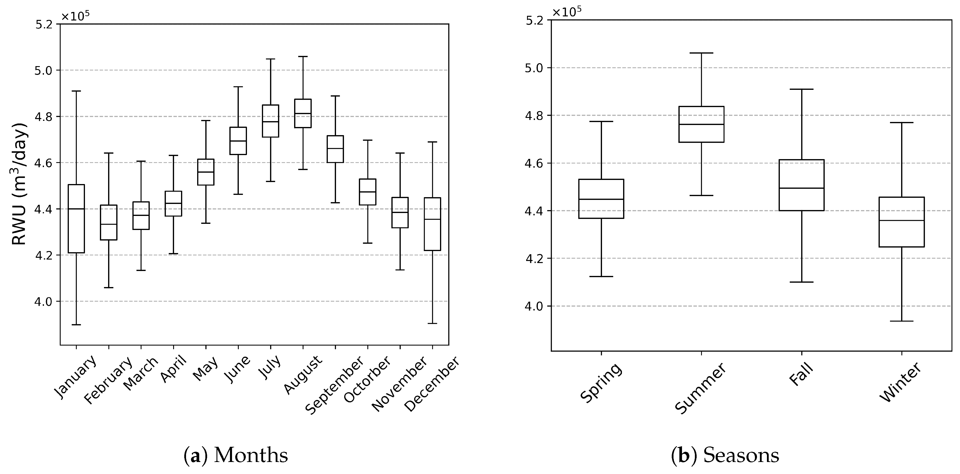
The BNN model ran 200 RWU simulations between January 2015 and December 2021. Figure 7 represents the simulated RWU for the seven years by month and season. Each boxplot describes the median (black line), interquartile range (IQR—the box), and the total range using 1.5 IQR (the whiskers).
Figure 7a presents a boxplot of RWU each month from January to December. The median RWU tended to be higher in the warmer months (e.g., May through September), which could be attributed to increased water use during these periods, potentially due to higher evaporation rates and the more frequent need for cooling systems. The variability, as depicted by the length of the boxes and whiskers, is relatively consistent throughout the year, with some months exhibiting higher variances (e.g., January and December).
Figure 7b displays RWU predictions aggregated by season: Spring (March through May), Summer (June through August), Fall (September through November), and Winter (December through February). The median RWU appeared to be lowest in winter and highest in summer, consistent with expected seasonal usage patterns due to temperature-related water use. The summer season had the highest median RWU. It exhibited the smallest data spread, suggesting more consistent water use among the population during summer. Winter had the lowest median RWU with the biggest variance; spring and fall show similar medians, though the spread was greater in fall, indicating a broader variation in predictions.

4. Discussion

While XGBoost showed superior learning capabilities during training, its overfitting to the training data was evident and detracted from its practical utility. In contrast, CNN and BNN indicated a trade-off between model complexity and generalizability, warranting further investigation into ensemble applications for predicting the RWU with the BNN model or hyperparameter tuning to improve performance on unseen data. The BNN model’s capacity to simulate RWU over multiple scenarios, as illustrated by the ensemble simulations and the detailed boxplot analysis, underscored its utility in planning and risk assessment. By providing insights into the monthly and seasonal variability of RWU, this study contributed to understanding urban water demand dynamics in the face of climatic changes.
It is important to note that while machine learning models offer advanced capabilities, this study has limitations that should be acknowledged. First, the reliance solely on temperature data without incorporating other potential influencing factors, such as socioeconomic variables or seasonal water use patterns, may limit the models’ predictive power. Additionally, the comparison with traditional time series methods needs to be fully explored, which could provide a more comprehensive understanding of the models’ relative performance. However, the primary objective of this study was to identify the most suitable machine learning model for predicting RWU based on the correlation between temperature and water use in Seoul. The focus was finding a model that could offer stable and reliable performance in RWU prediction. Subsequently, further analysis was conducted using the BNN, demonstrating robust and dependable results in this context.
Recent studies, such as those by [2], have demonstrated a significant correlation between rising temperatures and increased RWU, with this relationship being particularly pronounced during the summer months. The phenomenon of tropical nights, characterized by nighttime temperatures remaining above 25 °C from 6:01 p.m. to 9:00 a.m. the following day, has become increasingly common in recent years [38]. For instance, Seoul experienced a record-breaking 26 consecutive tropical nights in July 2024, the longest streak since weather records began in 1907. This trend underscores the clear and ongoing increase in temperatures in the Republic of Korea, suggesting that RWU will likely continue to rise as we move further into the era of the climate crisis.
In response to these trends, our study employed the SSP scenarios widely used in the Republic of Korea, particularly those provided by the Korea Meteorological Administration (KMA). Specifically, we downscaled the KACE-1-0-G Global Climate Model (GCM) for the Seoul area to project future RWU under varying temperature conditions [39]. By applying future temperature projections to the BNN model, which was identified for its superior performance on unseen data and its ability to provide confidence intervals, we forecasted the monthly average RWU. We generated 200 monthly forecast values to account for uncertainties and presented the results within different forecast intervals (Figure 8).
The projections indicate an increasing trend in future RWU compared to the present period (P). Specifically, the average RWU is expected to increase by 0.49% during the F1 period (2011–2040), 1.53% during the F2 period (2041–2070), and 2.95% during the F3 period (2071–2100). While the minimum RWU values show little variation across these periods, the maximum RWU values exhibit significant increases: 6.47% for F1, 6.71% for F2, and 11.47% for F3 compared to the present. This suggests that the water use in Seoul during the F1 period could reach the peak levels projected for the mid-term future (F2). Given that 2024 falls within the F1 period and considering the expected rise in RWU due to temperature increases, it is crucial to secure additional water resources promptly to accommodate the anticipated demand.
This analysis highlights the urgent need for proactive water resource management strategies that consider the projected increases in RWU driven by climate change, particularly as urban centers like Seoul face growing challenges in ensuring water security.

5. Conclusions

This research investigated the relationship between rising temperatures due to climate change and RWU in Seoul, employing advanced analytical methodologies. Our study highlights the increasing importance of incorporating temperature variability into the water management strategies of urban areas, especially given the expected rise in temperatures and their subsequent impact on water demand. By leveraging CNN, LSTM, XGBoost, and BNN, we provide a comprehensive evaluation of these models’ capabilities in predicting RWU with a focus on accuracy and the ability to handle uncertainty.
Our findings reveal that while XGBoost displayed superior performance on training data, it was susceptible to overfitting, resulting in diminished predictive power on unseen data. In contrast, the LSTM model, despite its strong performance on the training set, showed significant predictive inaccuracies on the validation set. The CNN model demonstrated a more balanced performance, although it exhibited limitations in predicting RWU under high-temperature conditions. Notably, the BNN model emerged as a robust alternative, offering not only competitive predictive accuracy but also the ability to quantify prediction uncertainties. This feature is particularly valuable in water resource management, where decision-makers must often operate under conditions of uncertainty.
In conclusion, our research exhibited the critical need for dynamic and adaptive water resource management strategies that account for the impacts of climate change on urban water demand. The comparative analysis of advanced analytical models offered insights for researchers and engineers, advocating for integrating advanced predictive analytics into water management. Future research directions will include integrating additional climatic and socio-economic variables into the models to enhance their predictive accuracy and applicability to a broader range of urban contexts. Furthermore, engaging with policy-makers and water management authorities to translate these insights into actionable strategies would be crucial in addressing the challenges posed by climate change for urban water systems.

Author Contributions

Conceptualization, Y.-H.S. and J.H.S.; methodology, Y.-H.S. and B.-S.K.; software, Y.-H.S.; validation, Y.-H.S. and J.P.; formal analysis, Y.-H.S.; investigation, Y.-H.S.; resources, J.P.; data curation, J.H.S. and Y.-H.S.; writing—original draft preparation, Y.-H.S.; writing—review and editing, J.P., J.H.S., Y.-H.S. and B.-S.K.; visualization, Y.-H.S.; supervision, Y.-H.S. and J.H.S.; project administration, Y.-H.S. and J.H.S.; funding acquisition, B.-S.K. All authors have read and agreed to the published version of the manuscript.

Funding

This study was supported by 2022 Research Grant from Kangwon National University. Additionally, this work was supported by the Korea Environment Industry and Technology Institute (KEITI) through R&D Program for Innovative Flood Protection Technologies against Climate Crisis Program (or Project), funded by Korea Ministry of Environment (MOE) (RS-2023-00218873).

Institutional Review Board Statement

Not applicable.

Informed Consent Statement

Not applicable.

Data Availability Statement

Data are contained within the article.

Conflicts of Interest

The authors declare no conflicts of interest.

References

  1. Mazzoni, F.; Alvisi, S.; Blokker, M.; Buchberger, S.G.; Castelletti, A.; Cominola, A.; Gross, M.P.; Jacobs, H.E.; Mayer, P.; Steffelbauer, D.B.; et al. Investigating the characteristics of residential end uses of water: A worldwide review. Water Res. 2023, 230, 119500. [Google Scholar] [CrossRef] [PubMed]
  2. Sung, J.H.; Chung, E.S. What is the Impact of COVID-19 on Residential Water Use? KSCE J. Civ. Eng. 2023, 27, 5481–5490. [Google Scholar] [CrossRef]
  3. Fu, G.; Jin, Y.; Sun, S.; Yuan, Z.; Butler, D. The role of deep learning in urban water management: A critical review. Water Res. 2022, 223, 118973. [Google Scholar] [CrossRef] [PubMed]
  4. Rockaway, T.D.; Coomes, P.A.; Rivard, J.; Kornstein, B. Residential water use trends in North America. J. Am. Water Work. Assoc. 2011, 103, 76–89. [Google Scholar] [CrossRef]
  5. Balling, R.C.; Gober, P. Climate variability and residential water use in the city of Phoenix, Arizona. J. Appl. Meteorol. Climatol. 2007, 46, 1130–1137. [Google Scholar] [CrossRef]
  6. Breyer, B.; Chang, H.; Parandvash, G.H. Land-use, temperature, and single-family residential water use patterns in Portland, Oregon and Phoenix, Arizona. Appl. Geogr. 2012, 35, 142–151. [Google Scholar] [CrossRef]
  7. Rathnayaka, K.; Malano, H.; Maheepala, S.; George, B.; Nawarathna, B.; Arora, M.; Roberts, P. Seasonal demand dynamics of residential water end-uses. Water 2015, 7, 202–216. [Google Scholar] [CrossRef]
  8. Guo, G.; Liu, S.; Wu, Y.; Li, J.; Zhou, R.; Zhu, X. Short-term water demand forecast based on deep learning method. J. Water Resour. Plan. Manag. 2018, 144, 04018076. [Google Scholar] [CrossRef]
  9. Mu, L.; Zheng, F.; Tao, R.; Zhang, Q.; Kapelan, Z. Hourly and daily urban water demand predictions using a long short-term memory based model. J. Water Resour. Plan. Manag. 2020, 146, 05020017. [Google Scholar] [CrossRef]
  10. Hu, P.; Tong, J.; Wang, J.; Yang, Y.; de Oliveira Turci, L. A hybrid model based on CNN and Bi-LSTM for urban water demand prediction. In Proceedings of the 2019 IEEE Congress on Evolutionary Computation (CEC), Wellington, New Zealand, 10–13 June 2019; pp. 1088–1094. [Google Scholar]
  11. Du, B.; Zhou, Q.; Guo, J.; Guo, S.; Wang, L. Deep learning with long short-term memory neural networks combining wavelet transform and principal component analysis for daily urban water demand forecasting. Expert Syst. Appl. 2021, 171, 114571. [Google Scholar] [CrossRef]
  12. Praskievicz, S.; Chang, H. Identifying the relationships between urban water consumption and weather variables in Republic of Korea. Phys. Geogr. 2009, 30, 324–337. [Google Scholar] [CrossRef]
  13. Lee, J.Y.; Kwon, K.D.; Raza, M. Current water uses, related risks, and management options for Seoul megacity, Korea. Environ. Earth Sci. 2018, 77, 14. [Google Scholar] [CrossRef]
  14. Korea Meteorological Administration. Seoul Climate Change Projection Report 2023; Technical report; KMA: Seoul, Republic of Korea, 2023. [Google Scholar]
  15. Tripathy, K.P.; Mishra, A.K. Deep learning in hydrology and water resources disciplines: Concepts, methods, applications, and research directions. J. Hydrol. 2023, 628, 130458. [Google Scholar] [CrossRef]
  16. Li, Z.; Liu, F.; Yang, W.; Peng, S.; Zhou, J. A survey of convolutional neural networks: Analysis, applications, and prospects. IEEE Trans. Neural Netw. Learn. Syst. 2021, 33, 6999–7019. [Google Scholar] [CrossRef] [PubMed]
  17. Azad, N.; Behmanesh, J.; Rezaverdinejad, V.; Khodaverdiloo, H.; Thompson, S.E.; Mallants, D.; Ramos, T.B.; He, H. CNN deep learning performance in estimating nitrate uptake by maize and root zone losses under surface drip irrigation. J. Hydrol. 2023, 625, 130148. [Google Scholar] [CrossRef]
  18. Khosravi, K.; Panahi, M.; Golkarian, A.; Keesstra, S.D.; Saco, P.M.; Bui, D.T.; Lee, S. Convolutional neural network approach for spatial prediction of flood hazard at national scale of Iran. J. Hydrol. 2020, 591, 125552. [Google Scholar] [CrossRef]
  19. Kabir, S.; Patidar, S.; Xia, X.; Liang, Q.; Neal, J.; Pender, G. A deep convolutional neural network model for rapid prediction of fluvial flood inundation. J. Hydrol. 2020, 590, 125481. [Google Scholar] [CrossRef]
  20. Fang, Q.; Zhang, J.; Xie, C.; Yang, Y. Detection of multiple leakage points in water distribution networks based on convolutional neural networks. Water Supply 2019, 19, 2231–2239. [Google Scholar] [CrossRef]
  21. Kiranyaz, S.; Avci, O.; Abdeljaber, O.; Ince, T.; Gabbouj, M.; Inman, D.J. 1D convolutional neural networks and applications: A survey. Mech. Syst. Signal Process. 2021, 151, 107398. [Google Scholar] [CrossRef]
  22. Hochreiter, S.; Schmidhuber, J. Long short-term memory. Neural Comput. 1997, 9, 1735–1780. [Google Scholar] [CrossRef]
  23. Gers, F.A.; Schmidhuber, J.; Cummins, F. Learning to forget: Continual prediction with LSTM. Neural Comput. 2000, 12, 2451–2471. [Google Scholar] [CrossRef] [PubMed]
  24. Sutskever, I.; Vinyals, O.; Le, Q.V. Sequence to sequence learning with neural networks. Adv. Neural Inf. Process. Syst. 2014, 27. [Google Scholar]
  25. Yu, Y.; Si, X.; Hu, C.; Zhang, J. A review of recurrent neural networks: LSTM cells and network architectures. Neural Comput. 2019, 31, 1235–1270. [Google Scholar] [CrossRef] [PubMed]
  26. Smagulova, K.; James, A.P. A survey on LSTM memristive neural network architectures and applications. Eur. Phys. J. Spec. Top. 2019, 228, 2313–2324. [Google Scholar] [CrossRef]
  27. Greff, K.; Srivastava, R.K.; Koutník, J.; Steunebrink, B.R.; Schmidhuber, J. LSTM: A search space odyssey. IEEE Trans. Neural Networks Learn. Syst. 2016, 28, 2222–2232. [Google Scholar] [CrossRef]
  28. Friedman, J.; Hastie, T.; Tibshirani, R. Additive logistic regression: A statistical view of boosting (with discussion and a rejoinder by the authors). Ann. Stat. 2000, 28, 337–407. [Google Scholar] [CrossRef]
  29. Chen, T.; Guestrin, C. Xgboost: A scalable tree boosting system. In Proceedings of the 22nd Acm Sigkdd International Conference on Knowledge Discovery and Data Mining, San Francisco, CA, USA, 13–17 August 2016; pp. 785–794. [Google Scholar]
  30. Kumar, V.; Kedam, N.; Sharma, K.V.; Mehta, D.J.; Caloiero, T. Advanced machine learning techniques to improve hydrological prediction: A comparative analysis of streamflow prediction models. Water 2023, 15, 2572. [Google Scholar] [CrossRef]
  31. Szczepanek, R. Daily streamflow forecasting in mountainous catchment using XGBoost, LightGBM and CatBoost. Hydrology 2022, 9, 226. [Google Scholar] [CrossRef]
  32. Ma, M.; Zhao, G.; He, B.; Li, Q.; Dong, H.; Wang, S.; Wang, Z. XGBoost-based method for flash flood risk assessment. J. Hydrol. 2021, 598, 126382. [Google Scholar] [CrossRef]
  33. Mirzaei, S.; Vafakhah, M.; Pradhan, B.; Alavi, S.J. Flood susceptibility assessment using extreme gradient boosting (EGB), Iran. Earth Sci. Inform. 2021, 14, 51–67. [Google Scholar] [CrossRef]
  34. Sahour, H.; Gholami, V.; Vazifedan, M. A comparative analysis of statistical and machine learning techniques for mapping the spatial distribution of groundwater salinity in a coastal aquifer. J. Hydrol. 2020, 591, 125321. [Google Scholar] [CrossRef]
  35. Buthelezi, M.; Lottering, R.; Hlatshwayo, S.; Peerbhay, K. Comparing rotation forests and extreme gradient boosting for monitoring drought damage on KwaZulu-Natal commercial forests. Geocarto Int. 2022, 37, 3223–3246. [Google Scholar] [CrossRef]
  36. MacKay, D.J. A practical Bayesian framework for backpropagation networks. Neural Comput. 1992, 4, 448–472. [Google Scholar] [CrossRef]
  37. Jospin, L.V.; Laga, H.; Boussaid, F.; Buntine, W.; Bennamoun, M. Hands-on Bayesian neural networks—A tutorial for deep learning users. IEEE Comput. Intell. Mag. 2022, 17, 29–48. [Google Scholar] [CrossRef]
  38. Administration, K.M. Tropical Night Statistics. 2024. Available online: https://data.kma.go.kr/climate/tropicalNight/selectTropicalNightChart.do (accessed on 19 August 2012).
  39. Byun, Y.H.; Lim, Y.J.; Shim, S.; Sung, H.M.; Sun, M.; Kim, J.; Kim, B.H.; Lee, J.H.; Moon, H. NIMS-KMA KACE1-0-g Model Output Prepared for CMIP6 ScenarioMIP. 2019. Available online: https://www.wdc-climate.de/ui/entry?acronym=C6_4829461 (accessed on 22 September 2024).
Figure 1. Pungnap water intake Facility and Paldang Dam.
Figure 1. Pungnap water intake Facility and Paldang Dam.
Sustainability 16 10120 g001
Figure 2. RWU and temperatures in Seoul.
Figure 2. RWU and temperatures in Seoul.
Sustainability 16 10120 g002
Figure 3. The structures of the deep learning models.
Figure 3. The structures of the deep learning models.
Sustainability 16 10120 g003
Figure 4. Training and validation histories of the artificial neural networks: (a) CNN, (b) LSTM, and (c) BNN.
Figure 4. Training and validation histories of the artificial neural networks: (a) CNN, (b) LSTM, and (c) BNN.
Sustainability 16 10120 g004
Figure 5. RWU Predictions with the regression models: (a) CNN, (b) LSTM, (c) XGBoost, and (d) BNN.
Figure 5. RWU Predictions with the regression models: (a) CNN, (b) LSTM, (c) XGBoost, and (d) BNN.
Sustainability 16 10120 g005
Figure 6. The regression models’ predictions with observations across temperature Ranges.
Figure 6. The regression models’ predictions with observations across temperature Ranges.
Sustainability 16 10120 g006
Figure 7. BNN ensemble of RWU: (a) monthly and (b) seasonal predictions.
Figure 7. BNN ensemble of RWU: (a) monthly and (b) seasonal predictions.
Sustainability 16 10120 g007
Figure 8. Projection of RWU changes during the future period.
Figure 8. Projection of RWU changes during the future period.
Sustainability 16 10120 g008
Table 1. Comparison of regression model performance on training and validation sets.
Table 1. Comparison of regression model performance on training and validation sets.
Training SetValidation Set
RMSE MAPE NSE RMSE MAPE NSE
CNN7694.01.490.86016,5163.14 9.28 × 10 3
LSTM5157.00.7990.93729,5405.27−2.17
XGBoost1093.30.1950.99717,2263.57−7.77 × 10 2
BNN7448.71.210.87015,8283.16 9.02 × 10 2
Disclaimer/Publisher’s Note: The statements, opinions and data contained in all publications are solely those of the individual author(s) and contributor(s) and not of MDPI and/or the editor(s). MDPI and/or the editor(s) disclaim responsibility for any injury to people or property resulting from any ideas, methods, instructions or products referred to in the content.

Share and Cite

MDPI and ACS Style

Seo, Y.-H.; Park, J.; Kim, B.-S.; Sung, J.H. Projection of Changes in Stream Water Use Due to Climate Change. Sustainability 2024, 16, 10120. https://doi.org/10.3390/su162210120

AMA Style

Seo Y-H, Park J, Kim B-S, Sung JH. Projection of Changes in Stream Water Use Due to Climate Change. Sustainability. 2024; 16(22):10120. https://doi.org/10.3390/su162210120

Chicago/Turabian Style

Seo, Young-Ho, Junehyeong Park, Byung-Sik Kim, and Jang Hyun Sung. 2024. "Projection of Changes in Stream Water Use Due to Climate Change" Sustainability 16, no. 22: 10120. https://doi.org/10.3390/su162210120

APA Style

Seo, Y.-H., Park, J., Kim, B.-S., & Sung, J. H. (2024). Projection of Changes in Stream Water Use Due to Climate Change. Sustainability, 16(22), 10120. https://doi.org/10.3390/su162210120

Note that from the first issue of 2016, this journal uses article numbers instead of page numbers. See further details here.

Article Metrics

Back to TopTop