Charting Success: The Influence of Leadership Styles on Driving Sustainable Employee Performance in the Sierra Leonean Banking Sector
Abstract
1. Introduction
2. Literature Review
2.1. Theoretical Framework
2.1.1. Full Range Leadership Theory (FRLT)
2.1.2. Leader-Member Exchange (LMX) Theory
2.2. Empirical Framework
2.2.1. Transformational Leadership
- i.
- Idealised Influence:
- ii.
- Inspirational Motivation
- iii.
- Intellectual Stimulation
- iv.
- Individualised Consideration
2.2.2. Transactional Leadership
- i.
- Contingent reward
- ii.
- Management-by-exception active
- iii.
- Management-by-exception passive.
2.2.3. Organisational Citizenship Behaviour (OCB)
2.2.4. Employee Commitment
2.2.5. Employee Performance
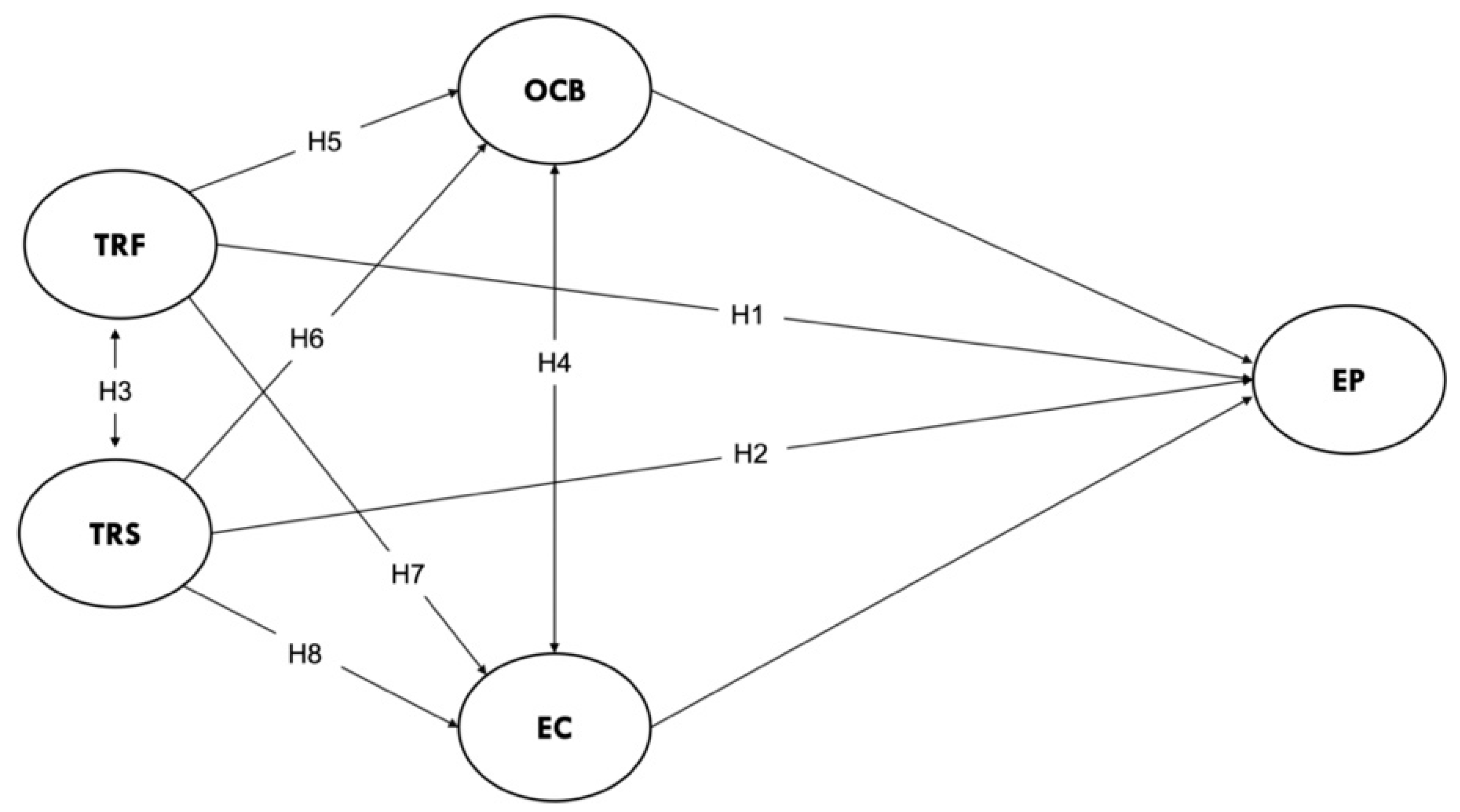
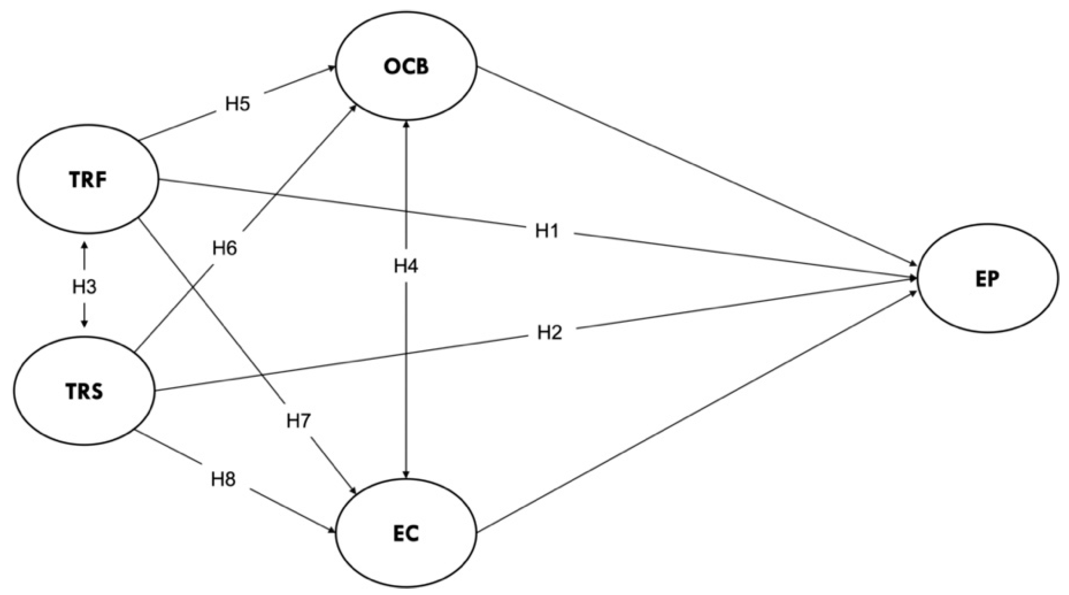
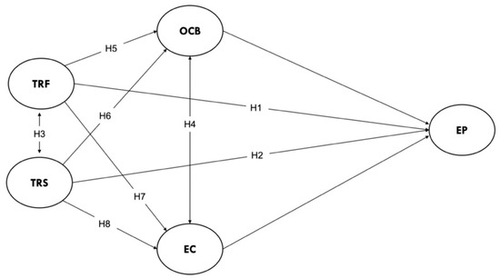
2.3. Hypothesis Development and Research Model
2.3.1. Transformational Leadership
2.3.2. Transactional Leadership
2.3.3. Transformational-Transactional Leadership Style Relationship
2.3.4. The Link Between Employee Commitment and Organisational Citizenship Behaviour
2.3.5. The Mediating Role of Organisational Citizenship Behaviour
2.3.6. The Mediating Role of Employee Commitment
3. Methodology
3.1. Measurement Section
3.2. Demographics
4. Results and Discussion
4.1. Introduction
4.2. Assessment of Measurement Model
5. Discussion
5.1. The Relationship Between TRF and EP
5.2. The Relationship Between TRS and EP
5.3. The Nexus Between TRF and TRS
5.4. The Link Between EC and OCB
5.5. OCB Significantly Enhances the Relationship Between TRF and EP
5.6. OCB and the Connection Between TRS and EP
5.7. EC and the Connection Between TRF and EP
5.8. Mediation Effect of EC and the Connection Between TRS and EP
6. Conclusions and Recommendations
6.1. Theoretical Implications
6.2. Practical Implications
6.3. Limitations and Future Research Directions
Author Contributions
Funding
Institutional Review Board Statement
Informed Consent Statement
Data Availability Statement
Acknowledgments
Conflicts of Interest
References
- Lu, J.; Falahat, M.; Cheah, P.K. A systematic literature review on the relationship between servant leadership and its team and organisational level outcomes. J. Organ. Change Manag. 2024, 37, 255–282. [Google Scholar] [CrossRef]
- Nguyen, N.P.; Hang, N.T.T.; Hiep, N.; Flynn, O. Does transformational leadership influence organisational culture and organisational performance: Empirical evidence from an emerging country. IIMB Manag. Rev. 2023, 35, 382–392. [Google Scholar] [CrossRef]
- Galil, K.; Varon, E. National culture and banks stock volatility. J. Int. Financ. Mark. Inst. Money 2024, 91, 101932. [Google Scholar] [CrossRef]
- Shaw, G.B.; Drucker, P.F.; Senge, P.M. Challenges in change management in central banks. J. Cent. Bank. Theory Pract. 2013, 2, 35–49. [Google Scholar]
- Mosadeghrad, A.M.; Ansarian, M. Why do organisational change programmes fail? Int. J. Strateg. Change Manag. 2014, 5, 189. [Google Scholar] [CrossRef]
- Hermanto, Y.B.; Srimulyani, V.A.; Pitoyo, D.J. The mediating role of quality of work life and organisational commitment in the link between transformational leadership and organisational citizenship behavior. Heliyon 2024, 10, e27664. [Google Scholar] [CrossRef]
- Aitken, K.; von Treuer, K. Leadership behaviours that foster organisational identification during change. J. Organ. Change Manag. 2021, 34, 311–326. [Google Scholar] [CrossRef]
- Latifah, I.N.; Suhendra, A.A.; Mufidah, I. Factors affecting job satisfaction and employee performance: A case study in an Indonesian sharia property companies. Int. J. Product. Perform. Manag. 2024, 73, 719–748. [Google Scholar] [CrossRef]
- Gilli, K.; Lettner, N.; Guettel, W. The future of leadership: New digital skills or old analog virtues? J. Bus. Strategy 2024, 45, 10–16. [Google Scholar] [CrossRef]
- Lee, C.C.; Yeh, W.C.; Yu, Z.; Lin, X.C. The relationships between leader emotional intelligence, transformational leadership, and transactional leadership and job performance: A mediator model of trust. Heliyon 2023, 9, e18007. [Google Scholar] [CrossRef]
- Rouzi, K.S.; Purnomo, H.; Mustakim, M.; Bin Husen Ismail, F. Transformational Leadership on Women’s Leadership in Islam. J. Fem. Gend. Stud. 2022, 2, 13. [Google Scholar] [CrossRef]
- Burns James, M. Leadership; Harper and Row: New York, NY, USA, 1978. [Google Scholar]
- Heim, I.; Sardar-Drenda, N. Assessment of employees’ attitudes toward ongoing organisational transformations. J. Organ. Change Manag. 2021, 34, 327–349. [Google Scholar] [CrossRef]
- Musa, V.; Kamara, D. Assessing the effect of organisational change on performance (Sierra Leone Commercial Bank) (SLCB). Tech. Educ. Humanit. 2024, 8, 105–141. [Google Scholar] [CrossRef]
- Duramany-Lakkoh, E.K.; Jalloh, M.S.; Jalloh, A. An Empirical Examination of the Impact of Banks on Economic Growth in Sierra Leone (2001–2017). J. Financ. Risk Manag. 2022, 11, 258–276. [Google Scholar] [CrossRef]
- Nuni, S.A.; Kebe, I.A. Business Sustainability through Change Management Case Study: Rokel Commercial Bank (RCB). Int. J. Res. Innov. Soc. Sci. 2021, 5, 338–344. Available online: https://www.rsisinternational.org/journals/ijriss/Digital-Library/volume-5-issue-4/338-344.pdf (accessed on 15 July 2024).
- Bass, B.M.; Avolio, B.J. Improving Organisational Effectiveness through Transformational Leadership; Sage Publications: Thousand Oaks, CA, USA, 1994. [Google Scholar]
- Lord, R.G.; Day, D.V.; Zaccaro, S.J.; Avolio, B.J.; Eagly, A.H. Leadership in applied psychology: Three waves of theory and research. J. Appl. Psychol. 2017, 102, 434. [Google Scholar] [CrossRef]
- Antonakis, J.; House, R.J. The Full-Range Leadership Theory: The Way Forward; Emerald Group Publishing Limited: Leeds, UK, 2013; pp. 3–33. [Google Scholar]
- Kanat-Maymon, Y.; Elimelech, M.; Roth, G. Work motivations as antecedents and outcomes of leadership: Integrating self-determination theory and the full range leadership theory. Eur. Manag. J. 2020, 38, 555–564. [Google Scholar] [CrossRef]
- Antonakis, J.; Avolio, B.J.; Sivasubramaniam, N. Context and leadership: An examination of the nine-factor full-range leadership theory using the Multifactor Leadership Questionnaire. Leadersh. Q. 2003, 14, 261–295. [Google Scholar] [CrossRef]
- Luo, Z.; Wang, Y.; Marnburg, E. Testing the Structure and Effects of Full Range Leadership Theory in the Context of China’s Hotel Industry. J. Hosp. Mark. Manag. 2013, 22, 656–677. [Google Scholar] [CrossRef]
- Derue, D.S.; Nahrgang, J.D.; Wellman, N.E.D.; Humphrey, S.E. Trait and behavioral theories of leadership: An integration and meta-analytic test of their relative validity. Pers. Psychol. 2011, 64, 7–52. [Google Scholar] [CrossRef]
- Kirkbride, P. Developing transformational leaders: The full range leadership model in action. Ind. Commer. Train. 2006, 38, 23–32. [Google Scholar] [CrossRef]
- Bass, B.M.; Riggio, R.E. Transformational Leadership, 2nd ed.; Psychology Press: Brandon, VT, USA, 2005. [Google Scholar] [CrossRef]
- Sürücü, L.; Maslakçı, A.; Şeşen, H. Inclusive leadership and innovative work behaviors: A moderated mediation model. Leadersh. Organ. Dev. J. 2023, 44, 87–102. [Google Scholar] [CrossRef]
- Dartey-Baah, K.; Ampofo, E. “Carrot and stick” leadership style. Afr. J. Econ. Manag. Stud. 2016, 7, 328–345. [Google Scholar] [CrossRef]
- Hundie, Z.; Habtewold, E. The Effect of Transformational, Transactional, and Laissez-Faire Leadership Styles on Employees’ Level of Performance: The Case of Hospital in Oromia Region, Ethiopia. J. Healthc. Leadersh. 2024, 16, 67–82. [Google Scholar] [CrossRef]
- Avolio, B.J.; Bass, B.M. Multifactor Leadership Questionnaire (TM); Mind Garden Inc.: Menlo Park, CA, USA, 2004. [Google Scholar]
- Judge, T.A.; Piccolo, R.F. Transformational and Transactional Leadership: A Meta-Analytic Test of Their Relative Validity. J. Appl. Psychol. 2004, 89, 755–768. [Google Scholar] [CrossRef]
- Hinkin, T.R.; Schriesheim, C.A. An examination of “nonleadership”: From laissez-faire leadership to leader reward omission and punishment omission. J. Appl. Psychol. 2008, 93, 1234–1248. [Google Scholar] [CrossRef] [PubMed]
- Robert, V.; Vandenberghe, C. Laissez-faire leadership and employee well-being: The contribution of perceived supervisor organisational status. Eur. J. Work. Organ. Psychol. 2022, 31, 940–957. [Google Scholar] [CrossRef]
- Dansereau, F.; Graen, G.; Haga, W.J. A vertical dyad linkage approach to leadership within formal organisations. Organ. Behav. Hum. Perform. 1975, 13, 46–78. [Google Scholar] [CrossRef]
- London, M.; Volmer, J.; Zyberaj, J. Beyond LMX: Toward a theory-based, differentiated view of leader–member relationships. J. Manag. Psychol. 2023, 38, 273–288. [Google Scholar] [CrossRef]
- Gottfredson, R.K.; Wright, S.L.; Heaphy, E.D. A critique of the Leader-Member Exchange construct: Back to square one. Leadersh. Q. 2020, 31, 101385. [Google Scholar] [CrossRef]
- Asrar-ul-Haq, M.; Anwar, S. The many faces of leadership: Proposing research agenda through a review of literature. Future Bus. J. 2018, 4, 179–188. [Google Scholar] [CrossRef]
- Ilies, R.; Nahrgang, J.D.; Morgeson, F.P. Leader-member exchange and citizenship behaviors: A meta-analysis. J. Appl. Psychol. 2007, 92, 269–277. [Google Scholar] [CrossRef]
- Salehzadeh, R. Leader–member exchange in public organisations: A qualitative study. Int. J. Public Leadersh. 2019, 16, 59–87. [Google Scholar] [CrossRef]
- Blau, P.M. Justice in Social Exchange. Sociol. Inq. 1964, 34, 193–206. [Google Scholar] [CrossRef]
- Graen, G.B.; Uhl-Bien, M. Relationship-based approach to leadership: Development of leader-member exchange (LMX) theory of leadership over 25 years: Applying a multi-level multi-domain perspective. Leadersh. Q. 1995, 6, 219–247. [Google Scholar] [CrossRef]
- Hollander, E.P. Leadership and Social Exchange Processes. In Social Exchange; Springer US: Boston, MA, USA, 1980; pp. 103–118. [Google Scholar]
- Schriesheim, C.A.; Wu, J.B.; Cooper, C.D. A two-study investigation of item wording effects on leader–follower convergence in descriptions of the leader–member exchange (LMX) relationship. Leadersh. Q. 2011, 22, 881–892. [Google Scholar] [CrossRef]
- Goswami, M.; Jena, L.K. Understanding leader–member exchange on job satisfaction: While work interfaces between home and life? In Evidence-based HRM: A Global Forum for Empirical Scholarship; Emerald Publishing Limited: Leeds, UK, 2023. [Google Scholar]
- Michel, J.W.; Tews, M.J. Does leader–member exchange accentuate the relationship between leader behaviors and organisational citizenship behaviors? J. Leadersh. Organ. Stud. 2016, 23, 13–26. [Google Scholar] [CrossRef]
- Le Blanc, P.M.; González-Romá, V. A team level investigation of the relationship between Leader–Member Exchange (LMX) differentiation, and commitment and performance. Leadersh. Q. 2012, 23, 534–544. [Google Scholar] [CrossRef]
- Buch, R.; Thompson, G.; Kuvaas, B. Transactional leader–member exchange relationships and followers’ work performance: The moderating role of leaders’ political skill. J. Leadersh. Organ. Stud. 2016, 23, 456–466. [Google Scholar] [CrossRef]
- Breevaart, K.; Bakker, A.B.; Demerouti, E.; van den Heuvel, M. Leader-member exchange, work engagement, and job performance. J. Manag. Psychol. 2015, 30, 754–770. [Google Scholar] [CrossRef]
- Bass, B.M. Leadership and Performance beyond Expectations; Free Press, Collier Macmillan: New York, NY, USA, 1985. [Google Scholar]
- Yukl, G. Leadership in Organisations; Pearson: Boston, MA, USA, 2013. [Google Scholar]
- Escórcio Soares, A.; Pereira Lopes, M.; Geremias, R.L.; Glińska-Neweś, A. A leader–network exchange theory. J. Organ. Change Manag. 2020, 33, 995–1010. [Google Scholar] [CrossRef]
- Dartey-Baah, K.; Quartey, S.H.; Wilberforce, M.T. Organisational ethics and workplace incivility: The mediating effects of transformational and transactional leadership styles. Leadersh. Organ. Dev. J. 2024, 45, 792–810. [Google Scholar] [CrossRef]
- Bass, B.M.; Riggio, R.E. Transformational Leadership; Psychology Press: London, UK, 2006. [Google Scholar]
- Bass, B.M.; Avolio, B.J. Transformational leadership and organisational culture. Public Adm. Q. 1993, 17, 112–121. [Google Scholar]
- Bass, B.M.; Avolio, B.J. Full Range Leadership Development: Manual for the Multifactor Leadership Questionnaire; Mindgarden: Palo Alto, CA, USA, 1997. [Google Scholar]
- Puni, A.; Hilton, S.K.; Quao, B. The interaction effect of transactional-transformational leadership on employee commitment in a developing country. Manag. Res. Rev. 2021, 44, 399–417. [Google Scholar] [CrossRef]
- Jabeen, F.; Behery, M.; Abu Elanain, H. Examining the relationship between the psychological contract and organisational commitment. Int. J. Organ. Anal. 2015, 23, 102–122. [Google Scholar] [CrossRef]
- Men, L.R.; Stacks, D.W. The impact of leadership style and employee empowerment on perceived organisational reputation. J. Commun. Manag. 2013, 17, 171–192. [Google Scholar] [CrossRef]
- Dartey-Baah, K. Resilient leadership: A transformational-transactional leadership mix. J. Glob. Responsib. 2015, 6, 99–112. [Google Scholar] [CrossRef]
- Berraies, S.; Zine El Abidine, S. Do leadership styles promote ambidextrous innovation? Case of knowledge-intensive firms. J. Knowl. Manag. 2019, 23, 836–859. [Google Scholar] [CrossRef]
- Katz, D.; Kahn, R.L. The Social Psychology of Organisations. In The Social Psychology of Organisations; Wiley: Oxford, UK, 1966. [Google Scholar]
- Bateman, T.S.; Organ, D.W. Job Satisfaction and the Good Soldier: The Relationship Between Affect and Employee “Citizenship”. Acad. Manag. J. 1983, 26, 587–595. [Google Scholar] [CrossRef]
- Organ, D.W. Organisational Citizenship Behavior: The Good Soldier Syndrome; Lexington Books (D. C. Heath and Co.): Lexington, MA, USA, 1988. [Google Scholar]
- Qalati, S.A.; Zafar, Z.; Fan, M.; Sánchez Limón, M.L.; Khaskheli, M.B. Employee performance under transformational leadership and organisational citizenship behavior: A mediated model. Heliyon 2022, 8, e11374. [Google Scholar] [CrossRef]
- Santa, R.; Moros, A.; Morante, D.; Rodríguez, D.; Scavarda, A. The impact of emotional intelligence on operational effectiveness: The mediating role of organisational citizenship behavior and leadership. PLoS ONE 2023, 18, e0284752. [Google Scholar] [CrossRef]
- Podsakoff, P.M.; MacKenzie, S.B.; Moorman, R.H.; Fetter, R. Transformational leader behaviors and their effects on followers’ trust in leader, satisfaction, and organisational citizenship behaviors. Leadersh. Q. 1990, 1, 107–142. [Google Scholar] [CrossRef]
- Berber, N.; Gašić, D. The mediating role of employee commitment in the relationship between compensation system and turnover intentions. Empl. Relat. Int. J. 2024. [Google Scholar] [CrossRef]
- Mowday, R.T.; Porter, L.W.; Steers, R. Organisational Linkages: The Psychology of Commitment, Absenteeism, and Turnover; Academic Press: San Diego, CA, USA, 1982. [Google Scholar]
- Meyer, J.P.; Allen, N.J. A three-component conceptualization of organisational commitment. Hum. Resour. Manag. Rev. 1991, 1, 61–89. [Google Scholar]
- Noesgaard, M.S.; Jørgensen, F. Building organisational commitment through cognitive and relational job crafting. Eur. Manag. J. 2024, 42, 348–357. [Google Scholar] [CrossRef]
- Karyatun, S.; Wahyono, T.; Apriadi, I.; Priyono, P.; Arief, H.; Hakim, M.A.R.; Soelton, M. Determinants of employee performance in the manufacturing industry. Am. Int. J. Bus. Manag. (AIJBM) 2023, 6, 79–89. [Google Scholar]
- Rohman, F.; Noermijati, N.; Mugiono, M.; Soelton, M. The role of quality assurance in improving the distribution of organisational performance. Uncertain Supply Chain. Manag. 2023, 11, 237–248. [Google Scholar] [CrossRef]
- Otoo, F.N.K. The mediating role of employee performance in the relationship between human resource management (HRM) practices and police service effectiveness. IIM Ranchi J. Manag. Stud. 2024. [Google Scholar] [CrossRef]
- Dogbe, C.S.K.; Ablornyi, K.K.; Pomegbe, W.W.K.; Duah, E. Inducing employee performance among state-owned enterprises, through employee ethical behaviour and ethical leadership. Soc. Responsib. J. 2024, 20, 1378–1397. [Google Scholar] [CrossRef]
- Jain, S.; Singh, A.; Bhalla, R. Can metacognition determine employee performance in the context of virtual workspace? An empirical investigation. Int. J. Organ. Theory Behav. 2024. [Google Scholar] [CrossRef]
- Singh, P.; Chaudhary, K. Jharcraft: A gift of transformational leadership in an Indian state-owned enterprise. Int. J. Public Leadersh. 2023, 19, 339–354. [Google Scholar] [CrossRef]
- García-Morales, V.J.; Matías-Reche, F.; Hurtado-Torres, N. Influence of transformational leadership on organisational innovation and performance depending on the level of organisational learning in the pharmaceutical sector. J. Organ. Change Manag. 2008, 21, 188–212. [Google Scholar] [CrossRef]
- House, R.J.; Spangler, W.D.; Woycke, J. Personality and Charisma in the U.S. Presidency: A Psychological Theory of Leader Effectiveness. Adm. Sci. Q. 1991, 36, 364. [Google Scholar] [CrossRef]
- Stock, G.; Banks, G.C.; Voss, E.N.; Tonidandel, S.; Woznyj, H. Putting leader (follower) behavior back into transformational leadership: A theoretical and empirical course correction. Leadersh. Q. 2023, 34, 101632. [Google Scholar] [CrossRef]
- Faupel, S.; Süß, S. The Effect of Transformational Leadership on Employees During Organisational Change–An Empirical Analysis. J. Change Manag. 2019, 19, 145–166. [Google Scholar] [CrossRef]
- Steinmann, B.; Klug, H.J.P.; Maier, G.W. The Path Is the Goal: How Transformational Leaders Enhance Followers’ Job Attitudes and Proactive Behavior. Front. Psychol. 2018, 9, 2338. [Google Scholar] [CrossRef] [PubMed]
- Xu, H.; Wang, Z.; Lian, N.; Khan, A.; Zhang, L. The Impact of Transformational Leadership on Organisational Commitment and Intention to Stay: Empirical Evidence From China’s Performing Arts Industry. Front. Psychol. 2022, 13, 874803. [Google Scholar]
- Chau, T.H.P.; Tran, Y.T.; Le, T.D. How does transformational leadership influence on the performance of public service organisations in a developing country? The interventional roles of NPM cultural orientations. Cogent Bus. Manag. 2022, 9, 2140746. [Google Scholar] [CrossRef]
- Liu, J.; Liu, X.; Zeng, X. Does transactional leadership count for team innovativeness? The moderating role of emotional labor and the mediating role of team efficacy. J. Organ. Change Manag. 2011, 24, 282–298. [Google Scholar] [CrossRef]
- Yahaya, R.; Ebrahim, F. Leadership styles and organisational commitment: Literature review. J. Manag. Dev. 2016, 35, 190–216. [Google Scholar] [CrossRef]
- Bass, B.M. Does the transactional–transformational leadership paradigm transcend organisational and national boundaries? Am. Psychol. 1997, 52, 130. [Google Scholar] [CrossRef]
- Massoudi, A.H.; Jameel, A.S.; Ahmad, A.R. Stimulating Organisational Citizenship Behavior by Applying Organisational Commitment and Satisfaction. Int. J. Soc. Sci. Econ. Rev. 2020, 2, 20–27. [Google Scholar]
- Tran, Q.H.N. Investigate the relationship between leadership behaviours, organisational commitment, occupational stress and organisational citizenship behaviours in Vietnamese private business school libraries. Libr. Manag. 2024, 45, 101–117. [Google Scholar] [CrossRef]
- Arifin, S.; Narmaditya, B.S. Fostering Employee Performance of Civil Servants in Indonesia: The Mediating Role of Organisational Citizenship Behaviour. SA J. Hum. Resour. Manag. 2024. Available online: https://journals.co.za/doi/abs/10.4102/sajhrm.v22i0.2412 (accessed on 23 March 2024). [CrossRef]
- Raza, S.A.; Khan, K.A.; Hakim, F. Whether organisational citizenship behavior is triggered by employee CSR perception and spiritual values: The moderating role of Islamic work ethics. Manag. Res. Rev. 2024, 47, 353–373. [Google Scholar] [CrossRef]
- Kim, H. Transformational Leadership, Organisational Clan Culture, Organisational Affective Commitment, and Organisational Citizenship Behavior: A Case of South Korea’s Public Sector. Public Organ. Rev. 2014, 14, 397–417. [Google Scholar] [CrossRef]
- Supriyanto, A.S.; Ekowati, V.M.; Maghfuroh, U. Do organisational citizenship behavior and work satisfaction mediate the relationship between spiritual leadership and employee performance? Manag. Sci. Lett. 2020, 10, 1107–1114. [Google Scholar] [CrossRef]
- Sharma, R.K.; Kaur, S. Analysing the mediating role of organisational citizenship behaviour between transformational leadership and education 4.0 using PLS-SEM approach. Int. J. Educ. Manag. 2024, 38, 391–412. [Google Scholar] [CrossRef]
- Jiang, W.; Zhao, X.; Ni, J. The impact of transformational leadership on employee sustainable performance: The mediating role of organisational citizenship behavior. Sustainability 2017, 9, 1567. [Google Scholar] [CrossRef]
- MacKenzie, S.B.; Podsakoff, P.M.; Rich, G.A. Transformational and Transactional Leadership and Salesperson Performance. J. Acad. Mark. Sci. 2001, 29, 115–134. [Google Scholar] [CrossRef]
- Walumbwa, F.O.; Hartnell, C.A.; Oke, A. Servant leadership, procedural justice climate, service climate, employee attitudes, and organisational citizenship behavior: A cross-level investigation. J. Appl. Psychol. 2010, 95, 517. [Google Scholar] [CrossRef] [PubMed]
- Mekpor, B.; Dartey-Baah, K. Leadership styles and employees’ voluntary work behaviors in the Ghanaian banking sector. Leadersh. Organ. Dev. J. 2017, 38, 74–88. [Google Scholar] [CrossRef]
- Voon, M.L.; Lo, M.C.; Ngui, K.S.; Ayob, N.B. The influence of leadership styles on employees’ job satisfaction in public sector organisations in Malaysia. Int. J. Bus. Manag. Soc. Sci. 2011, 2, 24–32. [Google Scholar]
- Lee, J. Effects of leadership and leader-member exchange on commitment. Leadersh. Organ. Dev. J. 2005, 26, 655–672. [Google Scholar] [CrossRef]
- Lok, P.; Crawford, J. The effect of organisational culture and leadership style on job satisfaction and organisational commitment. J. Manag. Dev. 2004, 23, 321–338. [Google Scholar] [CrossRef]
- Cochran, W.G. Sampling Techniques; John Wiley & Sons, Inc.: New York, NY, USA, 2007. [Google Scholar]
- Koopmans, L.; Bernaards, C.M.; Hildebrandt, V.H.; de Vet, H.C.W.; van der Beek, A.J. Construct Validity of the Individual Work Performance Questionnaire. J. Occup. Environ. Med. 2014, 56, 331–337. Available online: https://journals.lww.com/joem/fulltext/2014/03000/construct_validity_of_the_individual_work.14.aspx (accessed on 5 July 2024). [CrossRef]
- Mowday, R.T.; Porter, L.W.; Steers, R.M. Employee–Organisation Linkages; Elsevier: Amsterdam, The Netherlands, 1982. [Google Scholar]
- Hair, J.; Hollingsworth, C.L.; Randolph, A.B.; Chong, A.Y.L. An updated and expanded assessment of PLS-SEM in information systems research. Ind. Manag. Data Syst. 2017, 117, 442–458. [Google Scholar] [CrossRef]
- Hair, J.F.; Risher, J.J.; Sarstedt, M.; Ringle, C.M. When to use and how to report the results of PLS-SEM. Eur. Bus. Rev. 2019, 31, 2–24. [Google Scholar] [CrossRef]
- Moschis, G.P. Research Settings and Procedures. In Academic Research in Business and the Social Sciences: A Guidebook for Early Career Researchers; Springer Nature: Cham, Switzerland, 2024; pp. 121–139. [Google Scholar] [CrossRef]
- Sempere-Ruiz, N.; Sarabia, J.M.; Baladzhaeva, S.; Moya-Ramón, M. Reliability and validity of a non-linear index of heart rate variability to determine intensity thresholds. Front. Physiol. 2024, 15, 1329360. [Google Scholar] [CrossRef]
- Nunnally, J.C.; Bernstein, I.H. The Assessment of Reliability. Psychom. Theory 1994, 3, 248–292. [Google Scholar]
- Fornell, C.; Larcker, D.F. Evaluating structural equation models with unobservable variables and measurement error. J. Mark. Res. 1981, 18, 39–50. [Google Scholar] [CrossRef]
- Preacher, K.J.; Hayes, A.F. Asymptotic and resampling strategies for assessing and comparing indirect effects in multiple mediator models. Behav. Res. Methods 2008, 40, 879–891. [Google Scholar] [CrossRef]
- Geraldi, J.; Maylor, H.; Williams, T. Now, let’s make it really complex (complicated) A systematic review of the complexities of projects. Int. J. Oper. Prod. Manag. 2011, 31, 966–990. [Google Scholar] [CrossRef]
- Kähkönen, T. Employee trust repair after organisational change. J. Organ. Change Manag. 2020, 33, 1143–1161. [Google Scholar] [CrossRef]
- Onyeneke, G.B.; Abe, T. The effect of change leadership on employee attitudinal support for planned organisational change. J. Organ. Change Manag. 2021, 34, 403–415. [Google Scholar] [CrossRef]
- Laur, I.; Danilovic, M. Enabling change within new forms of organisations: An empirical investigation of change patterns and stakeholder influence on core intermediary activities. J. Organ. Change Manag. 2020, 33, 1041–1070. [Google Scholar] [CrossRef]
- Mwita, K.; Mrema, G. The Influence of Transformational and Transactional Leadership on Organisational Performance: A Case of a Higher Education Institution in Tanzania. Int. J. Humanit. Educ. Soc. Sci. (IJHESS) 2023, 2, 1779–1789. [Google Scholar] [CrossRef]
- Podsakoff, P.M.; MacKenzie, S.B.; Paine, J.B.; Bachrach, D.G. Organisational Citizenship Behaviors: A Critical Review of the Theoretical and Empirical Literature and Suggestions for Future Research. J. Manag. 2000, 26, 513–563. [Google Scholar]
- Azeemi, I.A.I.; Shaheen, A.S.D.A.; Ahmed, Z.A.S.D.Z.; Sumayya, U.S.U.; Akhund, Y.A.Y. Leadership Styles and Organisational Citizenship Behavior: ACase of Pakistani Corporates. Psocialsciences 2023, 3, 153–164. [Google Scholar]
- Nahum-Shani, I.; Somech, A. Leadership, OCB and individual differences: Idiocentrism and allocentrism as moderators of the relationship between transformational and transactional leadership and OCB. Leadersh. Q. 2011, 22, 353–366. [Google Scholar] [CrossRef]
- Chen, L.Y. An examination of the relationship between leadership behavior and organisational commitment at steel companies. J. Appl. Manag. Entrep. 2002, 7, 122–142. [Google Scholar]
- Putri, N.; Meria, L. The Effect of Transformational Leadership on Employee Performance Through Job Satisfaction and Organisational Commitment. IAIC Trans. Sustain. Digit. Innov. ITSDI 2022, 4, 8–21. [Google Scholar]


| Variable | Item | Frequency | % | 
|---|---|---|---|
| Gender | Male | 482 | 53% | 
| Female | 421 | 47% | |
| Total | 903 | 100% | |
| Age (in years) | 18–25 | 82 | 9.1% | 
| 26–35 | 504 | 55.8% | |
| 36–45 | 252 | 28% | |
| 46–55 | 53 | 6% | |
| 56+ | 12 | 1% | |
| Total | 903 | 100% | |
| Education | Certificate | 73 | 8.1% | 
| Diploma | 288 | 31.9% | |
| Bachelors | 372 | 41.2% | |
| Masters | 167 | 18.5% | |
| PhD | 3 | 0.3% | |
| Total | 903 | 100% | |
| Years of Experience | Below a year | 9 | 1% | 
| 1–3 | 84 | 9.3% | |
| 4–6 | 401 | 44.4% | |
| 7–10 | 319 | 35.3% | |
| 10+ | 90 | 10% | |
| Total | 903 | 100% | 
| Construct | FL | CA | CR | AVE | 
|---|---|---|---|---|
| Transformational Leadership Style (TRF) | 0.873 | 0.908 | 0.664 | |
| TRF1 | 0.827 | |||
| TRF2 | 0.812 | |||
| TRF3 | 0.828 | |||
| TRF4 | 0.814 | |||
| TRF5 | 0.792 | |||
| Transactional Leadership Style (TRS) | 0.833 | 0.882 | 0.600 | |
| TRS1 | 0.772 | |||
| TRS2 | 0.826 | |||
| TRS3 | 0.775 | |||
| TRS4 | 0.772 | |||
| TRS5 | 0.723 | |||
| Employee Commitment (EC) | 0.861 | 0.901 | 0.646 | |
| EC1 | 0.743 | |||
| EC2 | 0.722 | |||
| EC3 | 0.893 | |||
| EC4 | 0.853 | |||
| EC5 | 0.795 | |||
| Organisational Citizenship Behaviours (OCB) | 0.834 | 0.883 | 0.603 | |
| OCB1 | 0.705 | |||
| OCB2 | 0.840 | |||
| OCB3 | 0.846 | |||
| OCB4 | 0.724 | |||
| OCB5 | 0.756 | |||
| Employee Performance (EP) | 0.845 | 0.889 | 0.617 | |
| EP1 | 0.839 | |||
| EP2 | 0.815 | |||
| EP3 | 0.733 | |||
| EP4 | 0.796 | |||
| EP5 | 0.737 | 
| EC | EP | OCB | TRF | TRS | |
|---|---|---|---|---|---|
| EC | 0.804 | ||||
| EP | 0.707 | 0.785 | |||
| OCB | 0.785 | 0.683 | 0.776 | ||
| TRF | 0.616 | 0.679 | 0.697 | 0.815 | |
| TRS | 0.633 | 0.711 | 0.67 | 0.774 | 0.774 | 
| Hypothesis | Structural Relationship | β | t Statistics | p Values | Decision | 
|---|---|---|---|---|---|
| H1 | TRF → EP | 0.172 | 3.991 | 0.000 | Supported | 
| H2 | TRS→ EP | 0.300 | 6.965 | 0.000 | Supported | 
| H3 | TRS → TRF | 0.774 | 41.731 | 0.000 | Supported | 
| H4 | OCB → EC | 0.647 | 11.723 | 0.000 | Supported | 
| Hypothesis | Structural Relationship | β | t Statistics | p Values | Mediating Effect | Decision | 
|---|---|---|---|---|---|---|
| H5 | TRF → OCB → EP | 0.045 | 2.382 | 0.017 | Partial Mediation | Supported | 
| H6 | TRS → OCB → EP | 0.033 | 2.262 | 0.024 | Partial Mediation | Supported | 
| H7 | TRF → EC → EP | 0.009 | 0.571 | 0.568 | No Mediation | Unsupported | 
| H8 | TRS → EC → EP | 0.059 | 3.433 | 0.001 | Partial Mediation | Supported | 
| Disclaimer/Publisher’s Note: The statements, opinions and data contained in all publications are solely those of the individual author(s) and contributor(s) and not of MDPI and/or the editor(s). MDPI and/or the editor(s) disclaim responsibility for any injury to people or property resulting from any ideas, methods, instructions or products referred to in the content. | 
© 2024 by the authors. Licensee MDPI, Basel, Switzerland. This article is an open access article distributed under the terms and conditions of the Creative Commons Attribution (CC BY) license (https://creativecommons.org/licenses/by/4.0/).
Share and Cite
Kebe, I.A.; Kahl, C.; Liu, Y. Charting Success: The Influence of Leadership Styles on Driving Sustainable Employee Performance in the Sierra Leonean Banking Sector. Sustainability 2024, 16, 9600. https://doi.org/10.3390/su16219600
Kebe IA, Kahl C, Liu Y. Charting Success: The Influence of Leadership Styles on Driving Sustainable Employee Performance in the Sierra Leonean Banking Sector. Sustainability. 2024; 16(21):9600. https://doi.org/10.3390/su16219600
Chicago/Turabian StyleKebe, Ibrahim Alusine, Christian Kahl, and Yingqi Liu. 2024. "Charting Success: The Influence of Leadership Styles on Driving Sustainable Employee Performance in the Sierra Leonean Banking Sector" Sustainability 16, no. 21: 9600. https://doi.org/10.3390/su16219600
APA StyleKebe, I. A., Kahl, C., & Liu, Y. (2024). Charting Success: The Influence of Leadership Styles on Driving Sustainable Employee Performance in the Sierra Leonean Banking Sector. Sustainability, 16(21), 9600. https://doi.org/10.3390/su16219600
 
        


 
       