The 15-Minute City: An Attempt to Measure Proximity to Urban Services in Rome
Abstract
1. Introduction
2. The 15 Min City: Concept Evolution
3. Proximity to Urban Amenities, Inequality and Quality of Life
4. The “Seven Cities” of Rome
5. Methodology
- -
- Distance covered in 15 min walk at 1.34 m/s = 1207 m ≈ 1200 m
- -
- Distance covered in 15 min cycling at 5.36 m/s = 4828 m ≈ 4830 m
6. Results
7. Conclusions
Author Contributions
Funding
Institutional Review Board Statement
Informed Consent Statement
Data Availability Statement
Conflicts of Interest
Appendix A
![]() | |
|---|---|
| Districts | Urban Areas |
| I | 1A Centro Storico, 1B Trastevere, 1C Aventino, 1D Testaccio, 1E Esquilino, 1F XX Settembre, 1G Celio, 1X Zona archeologica, 17A Prati, 17B Della Vittoria, 17C Eroi |
| II | 2A Villaggio Olimpico, 2B Parioli, 2C Flaminio, 2D Salario, 2E Trieste, 2X Villa Borghese, 2Y Villa Ada, 3A Nomentano, 3B San Lorenzo, 3X Università, 3Y Verano |
| III | 4A Monte Sacro, 4B Val Melaina, 4C Monte Sacro Alto, 4D Fidene, 4E Serpentara, 4F Casal Boccone, 4G Conca d’Oro, 4H Sacco Pastore, 4I Tufello, 4L Aeroporto dell’Urbe, 4M Settebagni, 4N Bufalotta, 4O Tor San Giovanni |
| IV | 5A Casal Bertone, 5B Casal Bruciato, 5C Tiburtino Nord, 5D Tiburtino Sud, 5E San Basilio, 5F Tor Cervara, 5G Pietralata, 5H Casal de’ Pazzi, 5I Sant’Alessandro, 5L Settecamini |
| V | 6A Torpignattara, 6B Casilino, 6C Quadraro, 6D Gordiani, 7A Centocelle, 7B Alessandrina, 7C Tor Sapienza, 7D La Rustica, 7E Tor Tre Teste, 7F Casetta Mistica, 7G Centro Direzionale Centocelle, 7H Omo |
| VI | 8B Torre Maura, 8C Giardinetti-Tor Vergata, 8D Acqua Vergine, 8E Lunghezza, 8F Torre Angela, 8G Borghesiana, 8H San Vittorino |
| VII | 8A Torrespaccata, 9A Tuscolano Nord, 9B Tuscolano Sud, 9C Tor Fiscale, 9D Appio, 9E Latino, 10A Don Bosco, 10B Appio-Claudio, 10C Quarto Miglio, 10D Pignatelli, 10E Lucrezia Romana, 10F Osteria del Curato, 10G Romanina, 10H Gregna, 10I Barcaccia, 10L Morena, 10X Ciampino |
| VIII | 11A Ostiense, 11B Valco San Paolo, 11C Garbatella, 11D Navigatori, 11E Tor Marancia, 11F Tre Fontane, 11G Grottaperfetta, 11X Appia Antica Nord, 11Y Appia Antica Sud |
| IX | 12A Eur, 12B Villaggio Giuliano, 12C Torrino, 12D Laurentino, 12E Cecchignola, 12F Mezzocammino, 12G Spinaceto, 12H Vallerano Castel di Leva, 12I Decima, 12L Porta Medaglia, 12M Castel Romano, 12N Santa Palomba, 12X Tor di Valle |
| X | 13A Malafede, 13B Acilia Nord, 13C Acilia Sud, 13D Palocco, 13E Ostia Antica, 13F Ostia Nord, 13G Ostia Sud, 13H Castel Fusano, 13I Infernetto, 13X Castel Porziano |
| XI | 15A Marconi, 15B Portuense, 15C Pian due Torri, 15D Trullo, 15E Magliana, 15F Corviale, 15G Ponte Galeria |
| XII | 16A Colli Portuensi, 16B Buon Pastore, 16C Pisana, 16D Gianicolense, 16E Massimina, 16F Pantano di Grano, 16X Villa Pamphili |
| XIII | 18A Aurelio Sud, 18B Val Cannuta, 18C Fogaccia, 18D Aurelio Nord, 18E Casalotti di Boccea, 18F Boccea |
| XIV | 19A Medaglie d’Oro, 19B Primavalle, 19C Ottavia, 19D Santa Maria della Pietà, 19E Trionfale, 19F Pineto, 19G Castelluccia, 19H Santa Maria di Galeria |
| XV | 20A Tor di Quinto, 20B Acquatraversa, 20C Tomba di Nerone, 20D Farnesina, 20E Grotta Rossa Ovest, 20F Grotta Rossa Est, 20G Giustiniana, 20H La Storta, 20I Santa Cornelia, 20L Prima Porta, 20M Labaro, 20N Cesano, 20O Martignano, 20X Foro Italico |
References
- Moreno, C.; Allam, Z.; Chabaud, D.; Gall, C.; Pratlong, F. Introducing the “15-Minute City”: Sustainability, Resilience and Place Identity in Future Post-Pandemic Cities. Smart Cities 2021, 4, 93–111. [Google Scholar] [CrossRef]
- Weng, M.; Ding, N.; Li, J.; Jin, X.; Xiao, H.; He, Z.; Su, S. The 15-Minute Walkable Neighborhoods: Measurement, Social Inequalities and Implications for Building Healthy Communities in Urban China. J. Transp. Health 2019, 13, 259–273. [Google Scholar] [CrossRef]
- Capasso Da Silva, D.; King, D.A.; Lemar, S. Accessibility in Practice: 20-Minute City as a Sustainability Planning Goal. Sustainability 2019, 12, 129. [Google Scholar] [CrossRef]
- Ville de Paris. La Ville du Quart d’Heure en Images. Available online: https://www.paris.fr/pages/la-ville-du-quart-d-heure-en-images-15849 (accessed on 1 October 2024).
- Ville de Paris. Paris Ville du Quart d’Heure, ou le Pari de la Proximité. Available online: https://www.paris.fr/dossiers/paris-ville-du-quart-d-heure-ou-le-pari-de-la-proximite-37 (accessed on 1 October 2024).
- Public Space. Poblenou “Superblock”. Available online: https://www.publicspace.org/works/-/project/k081-poblenou-s-superblock (accessed on 1 October 2024).
- Alcadìa Mayor de Bogotà. Secreterìa de Movilidad. ¿Qué es Barrios Vitales? Available online: https://www.movilidadbogota.gov.co/web/barrios_vitales (accessed on 1 October 2024).
- Buenos Aires Ciudad. Ciudad de 15 Minutos. La Nueva Espacialidad, Iniciativas de Disfrute en el Espacio Público y Movilidad Sustentable. Available online: https://cooperacion-urbana-federal.buenosaires.gob.ar/ciudad-de-15-minutos (accessed on 1 October 2024).
- Buenos Aires Ciudad. El Gran Objetivo de Convertirse en una Ciudad a Escala Humana. Available online: https://buenosaires.gob.ar/noticias/el-desafio-de-buenos-aires-convertirse-en-una-ciudad-escala-humana (accessed on 1 October 2024).
- City of Portland. My Portland Plan: What Makes a Neighborhood Complete? Available online: https://www.portlandonline.com/portlandplan/?a=437441 (accessed on 1 October 2024).
- City of Portland. The Portland Plan. Progress Report. Available online: https://www.portlandonline.com/portlandplan/index.cfm?c=45722&a=632343 (accessed on 1 October 2024).
- Victoria State Government. Living Locally 20 Minute Neighbourhood Pilot Program. Available online: https://www.planning.vic.gov.au/__data/assets/pdf_file/0021/653223/20MN-fact-sheet-updated-2021-FEB.pdf (accessed on 1 October 2024).
- Roma Capitale. Roma a Portata di Mano: La Città dei 15 Minuti; Roma Capitale: Rome, Italy, 2024; Available online: https://www.comune.roma.it/web-resources/cms/documents/EBOOK.pdf (accessed on 1 October 2024).
- Chartier, H. La città dei 15 minuti: Un modello di pianificazione urbana. In Roma a Portata di Mano: La Città dei 15 Minuti; Roma Capitale: Rome, Italy, 2024; pp. 27–32. Available online: https://www.comune.roma.it/web-resources/cms/documents/EBOOK.pdf (accessed on 1 October 2024).
- C40 Cities. C40 Mayors’ Agenda for a Green and Just Recovery; C40 Knowledge Hub: 2020. Available online: https://www.c40knowledgehub.org/s/article/C40-Mayors-Agenda-for-a-Green-and-Just-Recovery?language=en_US (accessed on 1 October 2024).
- C40 Cities. 15-Minute City Initiatives Explorer. Available online: https://www.c40knowledgehub.org/s/article/15-minute-city-initiatives-explorer?language=en_US (accessed on 20 April 2024).
- Petrella, L. UN-Habitat e la città dei 15 minuti in Roma Capitale. In Roma a Portata di Mano: La Città dei 15 Minuti; Roma Capitale: Rome, Italy, 2024; pp. 32–38. Available online: https://www.comune.roma.it/web-resources/cms/documents/EBOOK.pdf (accessed on 1 October 2024).
- United Nations. New Urban Agenda; Habitat III Secretariat: Quito, Ecuador, 2017; Available online: https://habitat3.org/wp-content/uploads/NUA-English.pdf (accessed on 1 October 2024).
- United Nations. Transforming Our World: The 2030 Agenda for Sustainable Development (A/RES/70/1); United Nations: New York, NY, USA, 2015; Available online: https://sustainabledevelopment.un.org/content/documents/21252030%20Agenda%20for%20Sustainable%20Development%20web.pdf (accessed on 1 October 2024).
- Moreno, C.; Allam, Z.; Bibri, S.E.; Chabaud, D. The ‘15-Minute City’ concept can shape a net-zero urban future. Humanit. Soc. Sci. Commun. 2022, 9, 126. [Google Scholar] [CrossRef]
- Moreno, C.; Gall, C.; Chabaud, D.; Garnier, M.; Illian, M.; Pratlong, F. The 15-Minute City Model: An Innovative Approach to Measuring the Quality of Life in Urban Settings; 30-Minute Territory Model in Low-Density Areas, White Paper No. 3. Ph.D. Thesis, IAE Paris, Paris, France, 2003. [Google Scholar]
- Lelo, K.; Monni, S.; Tomassi, F. Le Sette Rome: La Capitale Delle Disuguaglianze Raccontata in 29 Mappe; Saggine; Donzelli Editore: Roma, Italy, 2021. [Google Scholar]
- Moreno, C. The 15-Minute City: A Solution to Saving Our Time and Our Planet; John Wiley & Sons: Hoboken, NJ, USA, 2024. [Google Scholar]
- Moreno, C. Meeting with Carlos Moreno: Human Smart Cities. Available online: https://www.moreno-web.net/meeting-with-carlos-moreno-human-smart-cities/ (accessed on 21 April 2024).
- Moreno, C. Dalla “Città dei 15 minuti” a “Roma a portata di mano”. In Roma a Portata di Mano. La Città dei 15 Minuti; Roma Capitale: Roma, Italy, 2024; pp. 14–27. Available online: https://www.comune.roma.it/web-resources/cms/documents/EBOOK.pdf (accessed on 1 October 2024).
- Moreno, C. Urban Spaces, Territories and Digital Technology: Towards the Emergence of City Worlds (EN, FR, ESP). Available online: https://www.moreno-web.net/urban-spaces-territories-and-digital-technology-towards-the-emergence-of-city-worlds/ (accessed on 22 April 2024).
- Lelo, K. Disuguaglianze socio-economiche e trasformazioni urbane nella Roma contemporanea (fine XX-inizi XXI secolo). Roma Mod. Contemp. 2017, 23, 291–328. [Google Scholar] [CrossRef]
- Moreno, C. La Città dei 15 Minuti. Per una Cultura Urbana Democratica; ADD Editore: Torino, Italy, 2024. [Google Scholar]
- Khavarian-Garmsir, A.R.; Sharifi, A.; Hajian Hossein Abadi, M.; Moradi, Z. From Garden City to 15-Minute City: A Historical Perspective and Critical Assessment. Land 2023, 12, 512. [Google Scholar] [CrossRef]
- Perry, C. The Neighborhood Unit, a Scheme of Arrangement for the Family-Life Community. Reg. Surv. N. Y. Its Environ. 1929, 7, 2–140. [Google Scholar]
- Jacobs, J. The Death and Life of Great American Cities; Vintage Book: New York, NY, USA, 1961. [Google Scholar]
- Garde, A. New Urbanism: Past, Present, and Future. UP 2020, 5, 453–463. [Google Scholar] [CrossRef]
- Pozoukidou, G.; Chatziyiannaki, Z. 15-Minute City: Decomposing the New Urban Planning Eutopia. Sustainability 2021, 13, 928. [Google Scholar] [CrossRef]
- Ascher, F. Métapolis, ou, L’avenir des Villes; Editions O. Jacob: Paris, France, 1995. [Google Scholar]
- Lerner, J. Acupuntura Urbana; Editora Record: Rio de Janeiro, Brazil, 2003. [Google Scholar]
- Casagrande, M. Urban Acopunture; Adam Parsons, University of Portsmouth: Portsmouth, UK, 2010. [Google Scholar]
- EIT Urban Mobility. Urban Mobility Next 9. ±15-Minute City: Human-Centred Planning in Action. Mobil. More Liveable Urban Spaces. 2022. Available online: https://www.eiturbanmobility.eu/wp-content/uploads/2022/11/EIT-UrbanMobilityNext9_15-min-City_144dpi.pdf (accessed on 1 October 2024).
- Camagni, R. Principi di Economia Urbana e Territoriale, 2nd ed.; Carocci: Rome, Italy, 1998. [Google Scholar]
- Noworól, A.; Kopyciński, P.; Hałat, P.; Salamon, J.; Hołuj, A. The 15-Minute City—The Geographical Proximity of Services in Krakow. Sustainability 2022, 14, 7103. [Google Scholar] [CrossRef]
- Moreno, C. The 15 Minutes-City: For a New Chrono-Urbanism!–Pr Carlos Moreno. Available online: https://www.moreno-web.net/the-15-minutes-city-for-a-new-chrono-urbanism-pr-carlos-moreno/ (accessed on 24 April 2024).
- Bourdic, L.; Salat, S.; Nowacki, C. Assessing Cities: A New System of Cross-Scale Spatial Indicators. Build. Res. Inf. 2012, 40, 592–605. [Google Scholar] [CrossRef]
- Witten, K.; Exeter, D.; Field, A. The Quality of Urban Environments: Mapping Variation in Access to Community Resources. Urban Stud. 2003, 40, 161–177. [Google Scholar] [CrossRef]
- Brambilla, M.; Michelangeli, A.; Peluso, E. Equity in the City: On Measuring Urban (Ine) Quality of Life. Urban Stud. 2013, 50, 3205–3224. [Google Scholar] [CrossRef]
- Guida, C.; Carpentieri, G. Quality of Life in the Urban Environment and Primary Health Services for the Elderly during the Covid-19 Pandemic: An Application to the City of Milan (Italy). Cities 2021, 110, 103038. [Google Scholar] [CrossRef] [PubMed]
- Gaglione, F.; Gargiulo, C.; Zucaro, F.; Cottrill, C. Urban Accessibility in a 15-Minute City: A Measure in the City of Naples, Italy. Transp. Res. Procedia 2022, 60, 378–385. [Google Scholar] [CrossRef]
- Murgante, B.; Patimisco, L.; Annunziata, A. Developing a 15-Minute City: A Comparative Study of Four Italian Cities-Cagliari, Perugia, Pisa, and Trieste. Cities 2024, 146, 104765. [Google Scholar] [CrossRef]
- Hosford, K.; Beairsto, J.; Winters, M. Is the 15-Minute City within Reach? Evaluating Walking and Cycling Accessibility to Grocery Stores in Vancouver. Transp. Res. Interdiscip. Perspect. 2022, 14, 100602. [Google Scholar] [CrossRef]
- Modica, A. Roma in 15 minuti: Cultura, ambiente e digital divide in Roma Capitale. In Roma a Portata di Mano. La Città dei 15 Minuti; Roma Capitale: Rome, Italy, 2024; pp. 116–127. Available online: https://www.comune.roma.it/web-resources/cms/documents/EBOOK.pdf (accessed on 1 October 2024).
- Barbieri, L.; D’Autilia, R.; Marrone, P.; Montella, I. Graph Representation of the 15-Minute City: A Comparison between Rome, London, and Paris. Sustainability 2023, 15, 3772. [Google Scholar] [CrossRef]
- Ferrer-Ortiz, C.; Marquet, O.; Mojica, L.; Vich, G. Barcelona under the 15-Minute City Lens: Mapping the Accessibility and Proximity Potential Based on Pedestrian Travel Times. Smart Cities 2022, 5, 146–161. [Google Scholar] [CrossRef]
- Staricco, L. 15-, 10- or 5-Minute City? A Focus on Accessibility to Services in Turin, Italy. J. Urban Mobil. 2022, 2, 100030. [Google Scholar] [CrossRef]
- Liu, D.; Kwan, M.-P.; Wang, J. Developing the 15-Minute City: A Comprehensive Assessment of the Status in Hong Kong. Travel Behav. Soc. 2024, 34, 100666. [Google Scholar] [CrossRef]
- Olivari, B.; Cipriano, P.; Napolitano, M.; Giovannini, L. Are Italian Cities Already 15-Minute? Presenting the Next Proximity Index: A Novel and Scalable Way to Measure It, Based on Open Data. J. Urban Mobil. 2023, 4, 100057. [Google Scholar] [CrossRef]
- Vale, D.; Lopes, A.S. Accessibility Inequality across Europe: A Comparison of 15-Minute Pedestrian Accessibility in Cities with 100,000 or More Inhabitants. Npj Urban Sustain. 2023, 3, 55. [Google Scholar] [CrossRef]
- Gualtieri, R. Prefazione in Roma Capitale. In Roma a Portata di Mano la Città dei 15 Minuti; Roma Capitale: Rome, Italy, 2024; pp. 5–9. Available online: https://www.comune.roma.it/web-resources/cms/documents/EBOOK.pdf (accessed on 1 October 2024).
- Roma Capitale. Annuario Statistico 2023. 2023. Available online: https://www.comune.roma.it/web-resources/cms/documents/Annuario_2023_.pdf (accessed on 1 October 2024).
- Lelo, K.; Travaglini, C.M. Dalla «Nuova Pianta» del Nolli al Catasto Urbano Pio-Gregoriano: L’immagine di Roma all’epoca del Grand Tour. Città Stor. 2006, 2, 431–456. [Google Scholar]
- Tocci, W. Roma Come Se: Alla Ricerca Del Futuro per La Capitale; Saggi. Storia e scienze sociali; Donzelli Editore: Roma, Italy, 2020. [Google Scholar]
- Lelo, K.; Monni, S.; Tomassi, F. Socio-Spatial Inequalities and Urban Transformation. The Case of Rome Districts. Socio-Econ. Plan. Sci. 2019, 68, 100696. [Google Scholar] [CrossRef]
- De Muro, P.; Monni, S.; Tridico, P. Knowledge-Based Economy and Social Exclusion: Shadow and Light in the Roman Socio-Economic Model: Knowledge-Based Economy and Social Exclusion in Rome. Int. J. Urban Reg. Res. 2011, 35, 1212–1238. [Google Scholar] [CrossRef]
- Bartolini, F. Condizioni di vita e identità sociali: Nascita di una metropoli. In Roma Capitale; Laterza: Roma, Italy, 2002; pp. 3–36. [Google Scholar]
- Cellamare, C. Processi Di Auto-Costruzione Della Città. Self-Making Processes in the City. UrbanisticaTre 2013, 2, 7–33. [Google Scholar]
- Lelo, K.; Monni, S.; Tomassi, F. Le Mappe Della Disuguaglianza una Geografia Sociale Metropolitana; Donzelli: Roma, Italy, 2019. [Google Scholar]
- Burgess, E.W. The Growth of the City: An Introduction to a Research Project. In The City; Park, R.E., Burgess, E.W., McKenzie, R.D., Eds.; University of Chicago Press: Chicago, IL, USA, 1925. [Google Scholar]
- Bei, G.; Celata, F. Challenges and Effects of Short-Term Rentals Regulation. Ann. Tour. Res. 2023, 101, 103605. [Google Scholar] [CrossRef]
- Brollo, B.; Celata, F. Temporary Populations and Sociospatial Polarisation in the Short-Term City. Urban Stud. 2023, 60, 1815–1832. [Google Scholar] [CrossRef]
- Dantzig, G.B.; Saaty, T.L. Compact City: A Plan for a Liveable Urban Environment; W. H. Freeman: San Francisco, CA, USA, 1973. [Google Scholar]
- Cellamare, C. Ways of Living in the Market City. Bufalotta and the Porta di Roma Shopping Center. In Global Rome: Changing Faces of the Eternal City; Thomassen, B., Clough Marinaro, I., Eds.; Indiana University Press: Bloomington, IN, USA, 2014; pp. 143–157. [Google Scholar]
- Lelo, K. Agro romano: Un territorio in trasformazione. Roma Sua Camp. 2017, 24, 9–48. [Google Scholar] [CrossRef]
- Cellamare, C. The Self-Made City. In Global Rome: Changing Faces of the Eternal City; Thomassen, B., Clough Marinaro, I., Eds.; Indiana University Press: Bloomington, IN, USA, 2014; pp. 205–218. [Google Scholar]
- Coppola, A. A Very Old Neo-Liberalism: The Changing Politics and Policy of Urban Informality in the Roman Borgate. In Rome: Modernity, Postmodernity and Beyond; Caldwell, L., Camilletti, F., Eds.; Cambridge University Press: Cambridge, UK, 2018. [Google Scholar]
- Puccini, E.; Tomassi, F. La condizione abitativa delle case popolari a Roma. In Inchieste Sulla Casa in Italia. La Condizione Abitativa Nelle Città Italiane nel Secondo Dopoguerra; Adorni, D., Tabor, D., Eds.; Viella: Rome, Italy, 2019. [Google Scholar]
- Moreno, C. La Città dei 15 Minuti: Per una Cultura Urbana Democratica; Licata, C., Translator; Add: Torino, Italy, 2024. [Google Scholar]
- Protezione Civile. Piano Di Protezione Civile Di Roma Capitale; Informazioni Di Carattere Generale: Rome, Italy, 2023; Available online: https://www.comune.roma.it/web-resources/cms/documents/PPC2024_1_InformazioneGenerale_Allegati.pdf (accessed on 1 October 2024).
- Regione Lazio. Open Data. 2015. Available online: http://dati.lazio.it/catalog/it/dataset (accessed on 1 October 2024).
- Roma Mobilità. Dataset Geografici. 2024. Available online: https://romamobilita.it/it/tecnologie/dataset-geografici (accessed on 1 October 2024).
- Open Street Map. Mappa Fermate Autobus in Italia. 2016. Available online: http://www.datiopen.it/it/opendata/Mappa_fermate_autobus_in_Italia (accessed on 1 October 2024).
- Open Street Map. Mappa Delle Banche in Italia. 2016. Available online: http://www.datiopen.it/it/opendata/Mappa_delle_banche_in_Italia (accessed on 1 October 2024).
- Open Street Map. Mappa Sportelli Prelievo Automatico Denaro (ATM) in Italia. 2016. Available online: http://www.datiopen.it/it/opendata/Mappa_sportelli_prelievo_automatico_denaro_ATM_in_Italia?metadati=showall (accessed on 1 October 2024).
- Roma Capitale. Co-Working. 2022. Available online: https://www.comune.roma.it/web-resources/cms/documents/elenco-coworking-roma.pdf (accessed on 1 October 2024).
- Roma Capitale. Mercati Rionali. 2023. Available online: https://www.comune.roma.it/web/it/scheda-servizi.page?contentId=INF690431&stem=commercio_su_aree_pubbliche (accessed on 1 October 2024).
- Duany, A.; Steuteville, R. Defining the 15-Minute City. Available online: https://www.cnu.org/publicsquare/2021/02/08/defining-15-minute-city (accessed on 1 October 2024).
- Chiaradia, F.; Lelo, K.; Monni, S. La ‘Città dei 15 minuti’ Tra Realtà e Leggende, Economia e Politica. 2023. Available online: https://www.economiaepolitica.it/indagini/la-citta-dei-15-minuti-tra-realta-e-leggende/ (accessed on 1 October 2024).
- Beaulac, J.; Kristjansson, E.; Cummins, S. A Systematic Review of Food Deserts, 1966–2007. Prev. Chronic Dis. 2009, 6, 2020. [Google Scholar]
- Tomassi, F. The Revenge of Districts That Don’t Matter: Inequality and Elections in Rome from 2000 to 2023. Contemp. Ital. Politics 2024, 1–20. [Google Scholar] [CrossRef]






| USF by Category | Urban Service | Source | Numerosity | Services Per 10,000 Inhabitants |
|---|---|---|---|---|
| Caring and Security (C&S) | Hospitals | [74] | 24 | 0.09 |
| Nursing homes and clinics | [74] | 76 | 0.27 | |
| Pharmacies | [75] | 1199 | 4.26 | |
| Security facilities | [74] | 232 | 0.82 | |
| Culture and Free Time (C&FT) | Cinemas, theatres, music halls | [74] | 82 | 0.29 |
| Libraries | 46 | 0.16 | ||
| Gardens, parks and villas | 64 | 0.23 | ||
| Outdoor and indoor sports facilities | 264 | 0.94 | ||
| Places of worship | 305 | 1.08 | ||
| Senior centres | 105 | 0.37 | ||
| Education and Learning (E&L) | Kindergartens | [74] | 421 | 1.50 |
| Preschools | 544 | 1.93 | ||
| Primary schools | 531 | 1.89 | ||
| Secondary schools | 314 | 1.12 | ||
| High schools | 371 | 1.32 | ||
| Universities | 108 | 0.38 | ||
| Mobility Services (MS) | Metro and railway stations | [76] | 142 | 0.50 |
| Bus stops | [77] | 8366 | 29.73 | |
| Other Proximity Services (OPS) | Local authorities | [74] | 51 | 0.18 |
| Banks | [78] | 372 | 1.32 | |
| ATMs | [79] | 174 | 0.62 | |
| Co-working spaces | [80] | 58 | 0.21 | |
| Local markets | [81] | 70 | 0.25 |
| USF by Category | Urban Service | ZU with 0 ≤ SI < 1 (%) | |
|---|---|---|---|
| 15 Min Walking | 15 Min Cycling | ||
| Caring and Security (C&S) | Hospitals | 91.0 | 29.7 |
| Nursing homes and clinics | 56.1 | 20.0 | |
| Pharmacies | 19.4 | 0.0 | |
| Security facilities | 42.6 | 5.2 | |
| Culture and Free Time (C&FT) | Cinemas, theatres, music halls | 73.5 | 22.6 |
| Libraries | 80.0 | 21.9 | |
| Gardens, parks and villas | 75.5 | 24.5 | |
| Outdoor and indoor sports facilities | 34.2 | 4.5 | |
| Places of worship | 27.1 | 5.2 | |
| Senior centres | 75.5 | 8.4 | |
| Education and Learning (E&L) | Kindergartens | 20.0 | 3.9 |
| Preschools | 19.4 | 2.6 | |
| Primary schools | 19.4 | 1.9 | |
| Secondary schools | 29.0 | 2.6 | |
| High schools | 36.1 | 6.5 | |
| Universities | 79.4 | 27.7 | |
| Mobility Services (MS) | Metro and railway stations | 54.8 | 8.4 |
| Bus stops | 1.3 | 0.0 | |
| Other Proximity Services (OPS) | Local authorities | 85.8 | 21.9 |
| Banks | 58.7 | 9.7 | |
| ATMs | 40.6 | 6.5 | |
| Co-working spaces | 67.7 | 24.5 | |
| Local markets | 65.2 | 15.5 | |
| USF | Average Value | Min. Value | Max. Value | S.D. | ZU Above Average | |||||
|---|---|---|---|---|---|---|---|---|---|---|
| Walking | Cycling | Walking | Cycling | Walking | Cycling | Walking | Cycling | Walking | Cycling | |
| C&S | 0.13 | 0.32 | 0.00 | 0.00 | 0.56 | 0.83 | 0.14 | 0.26 | 58 | 66 |
| C&F | 0.18 | 0.38 | 0.00 | 0.00 | 0.59 | 0.93 | 0.15 | 0.29 | 68 | 68 |
| E&L | 0.26 | 0.44 | 0.00 | 0.00 | 0.79 | 0.93 | 0.19 | 0.29 | 88 | 74 |
| MS | 0.33 | 0.47 | 0.00 | 0.00 | 0.96 | 0.98 | 0.23 | 0.29 | 68 | 73 |
| OPS | 0.17 | 0.33 | 0.00 | 0.00 | 0.62 | 0.95 | 0.17 | 0.29 | 64 | 65 |
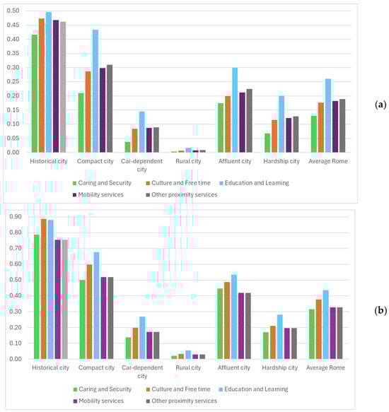
| CI 15 Min Walking | CI 15 Min Cycling | |||||||||
|---|---|---|---|---|---|---|---|---|---|---|
| C&S | C&F | E&L | OPS | MS | C&S | C&F | E&L | OPS | MS | |
| Historical City | 0.42 | 0.47 | 0.50 | 0.46 | 0.47 | 0.79 | 0.89 | 0.88 | 0.76 | 0.76 |
| Compact City | 0.21 | 0.29 | 0.43 | 0.31 | 0.30 | 0.50 | 0.60 | 0.68 | 0.52 | 0.52 |
| Car-dependent City | 0.04 | 0.08 | 0.15 | 0.09 | 0.09 | 0.14 | 0.20 | 0.27 | 0.17 | 0.17 |
| Rural City | 0.00 | 0.01 | 0.02 | 0.01 | 0.01 | 0.02 | 0.03 | 0.06 | 0.03 | 0.03 |
| Affluent City | 0.18 | 0.20 | 0.30 | 0.22 | 0.21 | 0.45 | 0.49 | 0.53 | 0.42 | 0.42 |
| Hardship City | 0.07 | 0.12 | 0.20 | 0.13 | 0.12 | 0.17 | 0.21 | 0.28 | 0.20 | 0.20 |
| Average Rome | 0.13 | 0.18 | 0.26 | 0.19 | 0.18 | 0.32 | 0.38 | 0.44 | 0.33 | 0.33 |
Disclaimer/Publisher’s Note: The statements, opinions and data contained in all publications are solely those of the individual author(s) and contributor(s) and not of MDPI and/or the editor(s). MDPI and/or the editor(s) disclaim responsibility for any injury to people or property resulting from any ideas, methods, instructions or products referred to in the content. |
© 2024 by the authors. Licensee MDPI, Basel, Switzerland. This article is an open access article distributed under the terms and conditions of the Creative Commons Attribution (CC BY) license (https://creativecommons.org/licenses/by/4.0/).
Share and Cite
Chiaradia, F.; Lelo, K.; Monni, S.; Tomassi, F. The 15-Minute City: An Attempt to Measure Proximity to Urban Services in Rome. Sustainability 2024, 16, 9432. https://doi.org/10.3390/su16219432
Chiaradia F, Lelo K, Monni S, Tomassi F. The 15-Minute City: An Attempt to Measure Proximity to Urban Services in Rome. Sustainability. 2024; 16(21):9432. https://doi.org/10.3390/su16219432
Chicago/Turabian StyleChiaradia, Francesco, Keti Lelo, Salvatore Monni, and Federico Tomassi. 2024. "The 15-Minute City: An Attempt to Measure Proximity to Urban Services in Rome" Sustainability 16, no. 21: 9432. https://doi.org/10.3390/su16219432
APA StyleChiaradia, F., Lelo, K., Monni, S., & Tomassi, F. (2024). The 15-Minute City: An Attempt to Measure Proximity to Urban Services in Rome. Sustainability, 16(21), 9432. https://doi.org/10.3390/su16219432

