Abstract
This article presents an inventory classification method that provides more accurate results in the white goods factory, which will contribute to sustainability, sustainability economics, and supply chain management targets. A novel inventory classification application is presented with real-world data. Two different datasets are used, and these datasets are compared to each other. These larger dataset is Stock Keeping Unit (SKU)-based (6.032 SKUs), and the smaller one is product-group-based (270 product groups). In the first phase, Artificial Intelligence (AI) clustering methods that have not been used in the field of inventory classification, to our knowledge, are applied to these datasets; the results are obtained and compared using K-Means, Gaussian mixture, agglomerative clustering, and spectral clustering methods. In the second stage, an autoencoder is separately hybridized with the AI clustering methods to develop a novel approach to inventory classification. Fuzzy C-Means (FCM) is used in the third step to classify inventories. At the end of the study, these nine different methodologies (“K-Means, Gaussian mixture, agglomerative clustering, spectral clustering” with and without the autoencoder and Fuzzy C-Means) are compared using two different datasets. It is shown that the proposed new hybrid method gives much better results than classical AI methods.
1. Introduction
Economic globalization and integration dynamics affect businesses and the overall economy by increasing the circulation of goods around the world. In an environment where resources are limited, attention must be paid to creating a strategy and developing a business that can respond effectively to these changes, particularly the development of sustainable supply chain facilities to support operations. Sustainable development, logistics, and supply chains have gradually been combined into three interconnected and specific global research areas. To adapt and reduce supply chain problems in business operations, the concept of sustainable supply chain management (SSCM) has developed. SSCM involves producing products and providing services considering three phases of sustainability: society, the environment, and the economy [1]. Effective inventory management is a vital component within the realm of supply chain supervision. It includes the strategizing, implementation, and regulation of both forward and backward movements, as well as the warehousing of commodities, services, and pertinent data between the source and the consumer to satisfy consumer requirements. The process of managing and controlling inventory requires making determinations regarding the optimal quantity of items to maintain in inventory and their arranged storage locations. The main objective of inventory oversight is to examine and sustain an inventory level that facilitates working in harmony with the supply chain network by ensuring the on-time delivery of necessary materials and goods while keeping operational expenses to a minimum. This decision is affected by many variables, including fluctuations in demand, lead times, and storage expenses. The harmonious synchronization of these tasks serves as the cornerstone of supply chain prosperity [2]. Inventory control plays a significant role in supply chain operations, ensuring that inventory levels remain in an optimal state by calculating the right order quantities to meet product demand. Through the fine-tuning of daily order placements, it becomes possible to avoid missed sales opportunities resulting from product item shortages. In addition, this approach helps prevent unnecessary increases in inventory expenses from excessive orders [3]. Efficient inventory control is of significance for enterprises primarily engaged in sales or production. In this context, inventory is a critical investment within a company’s asset portfolio, holding a key role in boosting sales and maximizing profits. The significance of effective inventory management cannot be overstated [4]. One of the most important things about inventory management is the inventory holding cost. Inventory cost components are taxes, insurance, depreciation of warehouse installations, maintenance, utility costs, fuel, labor costs, rent (if applicable), inventory obsolescence, employer contribution to social security for all areas, handling, unemployment compensation insurance for all areas, employer contributions to pension plans, insurance programs for accidents and health, a proportionate share of general administrative expenses, social security, interest on money invested in inventory, interest on money invested in inventory handling and related equipment, interest on money invested in the land and building to keep inventory (if applicable). The most important of these components are the cost of capital, the cost of storage, and the cost of insuring the stored goods for inventory holding costs [5].
SSCM must address issues within supply chain activities from suppliers to customers, and not only in the operational process in logistics. For example, CO2 emissions are taken into account in the design of a green, sustainable supply chain network. Nevertheless, these activities and processes demand continuous optimization and development to create a more responsive and robust supply chain [6]. For continuous development, inventory management plays a critical role in maintaining a consistent production flow while simultaneously avoiding shortages and excess supply [7]. Decreasing CO2 emissions within a company’s operations and supply chains is of great importance, as these activities produce more than 40% of global CO2 emissions [8].
Sustainability economics is also an important topic for sustainability. Sustainability economics is ethically based on the idea of efficiency in the use of scarce resources and the achievement of two normative targets: (1) the satisfaction of human necessities and desires and (2) justice among people in both current and future generations and justice toward nature in determining human–nature relations in the long term and naturally unclear future [9].
This article is based on target 9B of the 17 sustainability goals published by the United Nations Department of Economic and Social Affairs Sustainable Development. Target 9B aims to “support domestic technology development, research and innovation in developing countries, including by ensuring a conducive policy environment for, inter alia, industrial diversification and value addition to commodities” [10].
Industry 5.0 also focuses on sustainability. Industry 5.0 has been receiving increased attention in recent years since the European Commission announced its Policy Brief on the Fifth Industrial Revolution in 2021. Industry 5.0 complements the existing Industry 4.0 paradigm by emphasizing research and innovation as drivers of the transition to a sustainable, human-centered, and resilient industry. The evolution of the industrial revolution has led to transformative developments in production systems, from traditional, generally machine-centric production to systems-centric smart manufacturing and next-generation smart manufacturing [11].
Industry 5.0 applications are expected to contribute to SCCM studies.
The success of supply chain management owes much to inventory control. In organizations dealing with a multitude of inventory items, it is not practical to pay equal attention to each one. Therefore, managers must undertake the task of categorizing these specific items according to their degree of importance, allowing for control measures in line with their importance ratings. The ABC analysis method is a widely utilized inventory classification technique, originally developed by General Electric in the 1950s. This classification system is based on the Pareto principle, often referred to as the 80/20 rule, which suggests that a small percentage of items have the most significant impact while the majority have a minor one. The ABC analysis sorts inventory items into categories, A, B, or C, with the categorization determined by their annual dollar usage. Items with the highest dollar usage go into category A, those with moderate usage into category B, and the least significant items into category C. Inventory classification challenges revolve around the task of separating inventory items into groups to enable effective management [12]. Grouping facilitates more efficient methods for defining, monitoring, and overseeing inventory performance. From an operational perspective, grouping can enhance inventory management efficiency by reducing the administrative burden associated with auditing individual inventory groups. Additionally, inventory policies are often better aligned with groups of items rather than individual items, resulting in better coordination and control [13]. While the traditional ABC classification method is based on a single factor for categorization, multi-criteria decision-making techniques come into play for more precise item classification. These techniques allow for a more comprehensive and accurate evaluation by taking into account multiple criteria that play an important role in the classification process [14]. Inventory inherently carries significant management costs, but it also represents a gateway to capturing profitable opportunities and delivering improved customer service. To maximize these benefits, businesses always try to find a fine balance between keeping larger levels of inventory, which leads to higher expenses, and reducing inventory levels without losing out on possibilities. This method has achieved widespread success in numerous companies due to its simplicity and outstanding effectiveness within various inventory systems. However, some companies are willing to incorporate additional attributes that impact the costs associated with specific items. These attributes encompass ordering costs, logistics expenses, penalties for shortage and aging, and unreliability costs. The introduction of these new features has led to the emergence of multi-criteria inventory classification (MCIC) as an evolving approach to address more complex inventory management scenarios [15]. AI-driven approaches leverage symbolic logic and advanced computing technology in the creation of diverse classification algorithms. These techniques are effective in streamlining the classification process [12].
Clustering techniques have found wide application in classification analysis across diverse areas [16].
Clustering involves the process of collecting samples that share similar characteristics and separating samples with different characteristics into separate groups or categories [17]. Cluster analysis methods that can effectively capture the natural structure of a dataset are crucial for a wide range of real-world cases. Clustering methods are extensively utilized across various domains, including image processing, bioinformatics, video processing, market research, web and social network analysis, privacy and security, wireless sensor networks, document clustering [18], psychology and other social sciences, medicine, statistics, pattern recognition, information retrieval, machine learning, and data mining [19]. To define data clustering, consider a dataset D = {o1, o2, o3, …, on} comprising n data objects, with each data object characterized by m features: oi = {oi,1, oi,2, …, oi,m}. The main objective of clustering is to bring these data objects into cohesive groups, ensuring that the similarities within each cluster are high while the similarities between clusters are low. These groups of data objects are characterized as clusters. Traditional clustering methods can be categorized into five different approaches: partition-based, hierarchical, model-based, density-based, and grid-based methods [18].
Autoencoders (AEs) were originally designed as a way to instantiate neural networks, and they remained so for a significant period of time, serving as a fundamental stage in training deep networks. Nevertheless, in recent years, alternative applications for AEs have emerged. Meanwhile, other methods for neural network training and regularization have surpassed AEs in certain contexts [20]. AEs are neural networks widely used for dimensionality reduction and constitute a fundamental element in the realm of deep learning. The architecture of an AE is typically divided into three layers: the input layer, the encoding layer, and the decoding layer. In AEs, it is very important for the input and output sizes to be the same, as the primary objective is to recreate the input data [21]. AEs, a common unsupervised learning technique within prominent deep neural networks, effectively reduce the dimensionality of data features. As a result, they reduce the dependence on labeled data, making them a focal point of interest in the fields of fault diagnosis [22].
This article is aimed at classifying inventory in the most accurate way in order to work with the optimal inventory level. It will contribute to keeping inventory at optimal levels with correct classification, thus contributing to the sustainability target from the inventory management perspective by ensuring less inventory movement.
A novel method is presented by hybridizing AI methods (K-Means, Gaussian mixture, agglomerative clustering, spectral clustering) and an AE to fill the academic gap within the scope of AI applications in the field of inventory classification.
In this article, various AI techniques are used for inventory classification. Then, a new methodology is presented by hybridizing these AI techniques with an AE. The main purposes of this article are (1) to classify products with different features into different categories in the field of durable consumption with high performance to serve sustainability targets, (2) to use various clustering methods without an AE (WAE-CL) for classification and compare them to one another, (3) to present a novel model and apply it with hybrid AE and AI clustering methods (AE-CL), (4) to apply FCM for inventory classification and interpret the results, (5) to carry out all these studies on a product group basis (270 group) and an SKU basis (6.032 SKUs) and compare the results.
2. Research Background
This article provides a detailed analysis of studies on the subject of inventory classification conducted between 2000 and 2023. In this context, 97 articles were examined in detail.
Related research works were distinguished through their comprehensive aim of bringing together, classifying, and synthesizing current inventory classification methods of supply chains in the Industry 4.0 era. Studies between 2000 and 2023 were obtained through Scopus and examined in detail.
First, keywords like “inventory classification” in the “Article Title, Abstract, Keywords” search field of Scopus were considered. There were more than 13,000 articles, and after investigation, most were found not to be relevant to our objective. Our search was refined to the “Article Title” search field, and the results were more precise, with 429 articles. Then, after adding the 2000–2023 year filter, the number of published articles reached 324. When excluding conference studies, 208 studies were filtered out. Finally, 97 studies became our target for review when studies unrelated to inventory classification were eliminated. The literature review method is shown with a Prisma flow diagram (Figure 1).
Figure 1.
Systematic literature review with Prisma.
The general review methodology steps for inventory classification in supply chain management (SCM) articles are as follows:
- Step 1—Accessing resources (online databases);
- Step 2—Researching according to keywords;
- Step 3—Improving the taxonomy and analysis based on journal articles;
- Step 4—Identifying research with implications and issues related to inventory classification;
- Step 5—Reporting literature review outcomes: statistics, conclusions, and further research.
Of the reviewed articles, 58 articles used MCIC methods, 22 articles used optimization methods, 23 articles used the ABC method, and 23 articles used AI methods (note: no methods were used on their own in any of the articles; i.e., more than one method can be found in every article). Among articles using AI, artificial neural networks (ANNs) were used in eight articles. FCM was used in three articles; swarm optimization in two articles; support vector machines (SVMs) in two articles; K-Means in two articles; a multi-start algorithm, multi-level association rule mining, and TOPSIS approach extended by the Gaussian interval type in one article; and two fuzzy sets, decision trees, and genetic algorithms in the other articles. The results of the detailed review of studies in the field of inventory classification using AI are described below.
Li et al. [23] used ANNs for inventory classification problems. The proposed model holds promise as an effective analytical tool in real-world decision-making systems. Wang et al. [24] used principal component analysis (PCA) for the inventory classification problem and then integrated it with ANNs. This hybrid PCA-ANN method has much better forecasting accuracy. Tsai and Yeh [25] used particle swarm optimization (PSO). Their approach aimed to precisely classify inventory items based on specific objectives. Consequently, their PSO-based algorithm showcased adaptability and efficiency in addressing inventory classification challenges. Šimunović et al. [26] found that an ANN has more acceptable accuracy compared to the analytical hierarchy process (AHP). Yu [12] used AI techniques (SVM, backpropagation network (BPN), and k-nearest neighbor (KNN) algorithms) and traditional multiple discriminant analysis (MDA). The results show that AI techniques have much better results than MDA. Among AI techniques, SVM gives better outcomes than others. Kabir and Hasin [27] used the integration of an ANN and the fuzzy analytic hierarchy process (FAHP). Lolli et al. [28] presented a novel hybrid AHP and K-Means clustering model. The purpose of this hybrid method, called AHP-K-Veto, is to avoid the hidden bad score. Xue [29] used a fuzzy ANN. This approach finds applications within manufacturing enterprise resource planning systems. Šarić et al. [30] used the AHP and ANN. The results show that the ANN has better accuracy than the AHP. Kartal et al. [31] used simple additive weighting, the AHP, VIKOR techniques, naïve Bayes, a Bayesian network, an ANN, and SVM. The results show that machine learning techniques can be used in MCIC cases with good results. The purpose of López-Soto et al.’s study [32] was to determine a new class regarding whether to create a new product using ANNs. Lolli et al. [33] used decision trees and random forest. These methods were used to optimize MCIC, and the results show that the proposed model has much better results than traditional MCIC. Isen and Boran [34] used FCM, a genetic algorithm, and an adaptive neuro-fuzzy inference system. There is no need for classification using the new approach if the product is new. Thus, compared to the ANN, the novel model that was suggested performed better. Zhang et al. [35] used FCM and integrated it with a genetic algorithm and simulated annealing (SA). The results show that the lowest inventory cost can be obtained by this new hybrid model. Agarwal [36] proposed a method that applied to multi-level association rule mining. Zhang et al. [37] used a gray rough set and a probabilistic neural network. Lolli et al. [38] used deep neural networks and SVM with a Gaussian kernel, and the results show that the proposed model has excellent accuracy. Mohamadghasemi et al. [39] used TOPSIS with the Gaussian Interval Type-2 Fuzzy Set methodology and determined that the proposed model had more logical and accurate results than traditional TOPSIS, the Ng-model, and the R model. Cui et al. [40] used two different hybrid techniques. The first one was biogeography-based optimization and a BPN, and the second one was an adaptive mutation particle swarm optimizer and a BPN. The results show that the proposed models have better outcomes. Yiğit and Esnaf [41] proposed a new hybrid model using the AHP, FCM, and revised veto techniques. The results indicate that the proposed method gives better outcomes and has greater flexibility. Svoboda and Minner [42] used a genetic algorithm to train decision trees. As a result, the decision trees could create rules for reasonable cost classification. Kaabi [43] used AI methods to determine the weights of TOPSIS, and the results indicate that this new model has competitive and satisfactory outcomes. Khanorkar and Kane [14] used traditional ABC, the Hadi-Venchech method, and K-Means. Their results show that K-Means has better outcomes than others.
An extensive examination of research utilizing AI in inventory classification reveals that ANNs are the most often utilized technique. As a result of the systematic literature research conducted with Prisma, it is seen that the clustering method for inventory classification is used very little. Just two articles employed clustering methods, specifically the K-Means method. In this article, clustering methods that have not been used before in the literature on inventory classification are used. In the next step, the autoencoder method, which has never been studied in the literature before, is hybridized with these clustering methods.
In this article, the clustering methods K-Means, Gaussian mixture, agglomerative clustering, and spectral clustering are used for inventory classification. Further, the method proposed in this paper, a hybridization of the autoencoder and clustering, has never been used before.
3. Materials and Methods
This article presents a novel methodology for inventory classification using AI methods. Figure 2 shows the proposed methodology flow. In this study, two different datasets were used, and all the methods were implemented with these two different datasets. The differences between the methods and datasets were evaluated, and the most accurate method and the most accurate dataset were selected. There were two different datasets, which were large (6.032 data) and small (270 data) datasets. Clustering methods that have not been used in inventory classification before were used in this study. These methods are K-Means, Gaussian mixture, agglomerative clustering, and spectral clustering. These four clustering methods were applied to each of the two datasets and were compared to one another, and the best clustering method was selected. In the second stage, each clustering method was hybridized separately with an AE, and a novel method was introduced for inventory classification applications. The clustering methods hybridized with an autoencoder were compared to one another for both datasets, and the hybrid method that gave the best results was selected. In the third stage, FCM was used for inventory classification, and it was run for both datasets, and the dataset that gave the best result was selected. As a result, in this article, a total of 18 different results are compared. In the final comparison, three methods, namely, the dataset and method selected as a result of the first, second, and third stages, are compared to one another, and the most accurate method for inventory classification is selected and explained in detail.
Figure 2.
The proposed methodology.
3.1. Clustering
Clustering includes the task of assembling a collection of objects into clusters where items within a cluster share similarities but stand out as dissimilar from those situated in other clusters [44]. The main targets of clustering encompass gaining valuable insights into data, which involves tasks such as detecting anomalies and identifying outstanding features. Additionally, clustering serves the purposes of classifying data and achieving data compression [45]. The mathematical preciseness of the clustering problem statement typically includes the formulation of a cost criterion that is to be minimized [46]. Substantially, for assessing the similarity among data objects, distance measurement is a fundamental tool. Specifically, the problem is defined as follows: when presented with N objects, the objective is to allocate each object to one of K clusters, aiming to minimize the total of the squared Euclidean distances between each object and the center of the cluster to which it is assigned:
In this context, the expression ∥Oi − Zj∥ represents the Euclidean distance between a data object Oi and the cluster center Zj. The variables N and K denote the number of data objects and clusters, respectively. The association weight wij expresses whether data object Oi belongs to cluster j, taking a value of either 1 or 0. Specifically, wij is set to 1 if object i is assigned to cluster j and 0 otherwise [47]. There are two main categories of clustering algorithms: hierarchical and partitional methods. Hierarchical algorithms systematically identify nested clusters through an iterative process, employing either a top-down (divisive) or bottom-up (agglomerative) approach. Conversely, partitional algorithms simultaneously identify all clusters, forming a partition of the data without enforcing a hierarchical structure. It is quite important that many hierarchical algorithms exhibit quadratic or higher complexity concerning the number of data points. A partitional clustering algorithm achieves a singular partition of the data, differing from the clustering structure generated by a hierarchical technique, like the dendrogram. Partitional methods prove beneficial in applications dealing with common datasets, where the computational demands of constructing a dendrogram become prohibitive [48]. The application of clustering has a widespread and diverse history, with its roots spanning across various scientific disciplines, encompassing anthropology, biology, medicine, psychology, statistics, mathematics, engineering, and computer science [45].
Different clustering methods will be introduced and applied in this article based on the success of clustering methods in classifying data.
3.2. K-Means
K-Means clustering can be effectively used for large-scale datasets. K is the number of clusters of these datasets, and each cluster has a center. The Euclidean metric is chosen as the similarity and distance criterion. The sum of the squares of the distances of the points in each class to the cluster center is calculated to minimize the sum of squares within each cluster. K-Means’ performance is mainly affected by two parts. The first one is the number of clusters, k, and the second one is the initial mean vectors. Choosing the initial means deeply affects the algorithm. Mean vectors can be initialized in many different ways. Examples include randomly choosing k samples from the sample set as initial mean vectors, choosing the first k samples from the sample set as the initial average vectors, etc. The value of k must be chosen by experts, and cluster k changes the value of the criterion function [49].
The steps of the K-Means algorithm are as follows:
Phase 1: Select K initial cluster centers z1, z2, z3, …, zk at random from n points {x1, x2, x3, …, xn}.
Phase 2: Allocate point xi: i = 1, 2, 3, …, n to cluster Cj j ϵ {1, 2, 3, …, N} if
Ties are resolved at random.
Phase 3: Calculate new cluster centers , , , … as follows:
where ni indicates the membership of cluster Ci.
Phase 4: If i = 1, 2, 3, … K, then end it. Otherwise, return to phase 2. Continue the process for a set number of iterations, unless it stops at step 4 [50].
K-Means is one of the most widely used clustering methods due to its use with large datasets. In this study, it was implemented due to the use of a large dataset (6.032 SKUs). Under these assumptions, this method gives optimal results; alternative methods should be evaluated as these assumptions change.
3.3. Gaussian Mixture Model-Based Clustering
Gaussian mixture model (GMM)-based clustering utilizes the characteristics of the GMM to group multiple observations in a dataset into clear clusters. The GMM is a probabilistic model that shows a dataset with a weighted mix of a number of normal distributions, called mixture components. A d-dimensional GMM Ψ with K mixture components can be defined as follows:
The Gaussian probability density function is , is the weight, is the mean, and is the standard deviation of the kth mixture component [51].
In this study, the GMM was applied since it is a probabilistic model. Under these assumptions, this method gives optimal results; alternative methods should be evaluated as these assumptions change.
3.4. Agglomerative Clustering
Hierarchical clustering can be divided into two main types: the first is agglomerative, which is a bottom-up approach. An agglomerative method needs the implementation of two essential functions: a distance function, evaluating the dissimilarity between two points, and a linkage function, indicated by h(Ci, Cj), measuring the dissimilarity between subclusters Ci and Cj. Firstly, each individual point in the dataset is processed as a distinct subcluster. Agglomerative hierarchical clustering then systematically combines the two most similar subclusters based on the linkage function, iterating this process until a comprehensive tree-based structure, known as a dendrogram, is formed. At last, the clustering process concludes with the creation of a single cluster at the root of the dendrogram. In the application of a hierarchical clustering algorithm, the selection of a linkage function plays a critical role, as it should optimally align with the characteristics of the dataset. This choice is quite critical, as various linkage functions exhibit distinct properties, and the efficiency of the clustering process depends on their suitability to the data at hand [52].
An overall formalization of the hierarchical agglomerative clustering is as follows:
The k-partition of X, k ≥ 1, is defined as C = {C1, …, Ck}, where ∅ ≠ Cu ⊆ X, Cu ∩ Cv, for u ≠ v and .
Phase 1: Begin with , . In this process, each cluster initially includes a single element.
Phase 2: For j = 1, …, n − 1, perform the following steps.
Phase 2.1: Choose clusters to merge:
d : 2X × 2X → [0,∞] represents a selected linkage method. Its purpose is to gauge the distance between two clusters of points, ensuring at least the following:
is the Euclidean distance between two given points.
The following are alternative linkage functions (d):
Agglomerative clustering is used to see and evaluate the results of bottom-up hierarchical clustering [53]. Under these assumptions, this method gives optimal results; alternative methods should be evaluated as these assumptions change.
This method has not been used before in the field of inventory classification.
3.5. Spectral Clustering
Spectral clustering is a model of graph clustering. It can be more promising than other traditional clustering algorithms in learning concealed nonlinear structures from data. It transforms a clustering problem into a graph partitioning problem and then uses the spectrum of the graph to learn the label features of the data. Because it exploits nonlinear pairwise similarity between data, it can identify different cluster shapes [54].
Spectral clustering is explained for a given set of n data points ∈ , which must be divided into k clusters. The data points of spectral clustering are defined as G = (V,E), which is a connected and undirected likeness graph. The vertex set ∈ V of G has a 1:1 exchange with xi. The edge set ∈ E is obtained from a regionally symmetric and non-negative resemblance matrix W ∈ . This similarity matrix W is created using a Gaussian kernel function:
The standard deviation is defined as σ. It represents a control for neighborhood size. The Euclidean distance measure is defined as ‖ ⋅ ‖. By implementing this adjustment, the clustering procedure is simplified to graph segmentation.
To extract spectral components, the outlined graph Laplacian method can be applied. In this context, a block diagonal matrix D is created whose diagonal elements correspond to [55]
In this paper, spectral clustering will be evaluated for its success in inventory classification because it is a model of graph clustering and is better than traditional methods in learning concealed nonlinear structures from data. Under these assumptions, this method gives optimal results; alternative methods should be evaluated as these assumptions change.
This method has not been used before in the field of inventory classification.
3.6. Fuzzy C-Means
The FCM algorithm is an improved, extended version of the c-means algorithm (hard c-means algorithm). FCM is a data clustering method. With clustering, the dataset is grouped into n clusters. Each data point connects to every cluster to a certain degree [56].
The set of FCM sections consisting of N objects is o = {o1, o2, …, on}. It is in Rd-dimensional space and divided into c (1 < c < n) fuzzy clusters. Fuzzy clusters have Z = {z1, z2, …, zc} cluster centers or centroids. The fuzzy clustering of objects is defined by a fuzzy matrix μ with n rows and c columns, where c is the number of clusters, n is the number of data objects, and μij is the element containing the ith row and jth column in μ. It shows the degree of the relationship or membership function of the ith object with the jth cluster. The characters of μ are as follows [57]:
The objective function is as follows:
where
and m (m > 1) is a scalar called the weighting exponent. It controls the fuzziness of the cluster results. The distance from object oi to the cluster center zj is called the Euclidean distance, dij. The centroid of the jth cluster is zj.
The FCM algorithm steps are as follows:
Step 1: Choose m (m > 1); start with membership function values μij, i = 1, 2, 3, …, n; j = 1, 2, 3, … c.
Step 2: Calculate zj cluster centers; j = 1, 2, 3, …, c.
Step 3: Calculate the Euclidean distance dij i = 1, 2, 3, …, n; j = 1, 2, 3, … c.
Step 4: Update the membership function μij i = 1, 2, 3, …, n; j = 1, 2, 3,… c:
Step 5: Go to step 2 if not converged.
FCM provides smoother transitions, especially for data that are on the border, by taking into account the possibility of data belonging to more than one cluster. This allows for better modeling of uncertainties at the borders. Under these assumptions, this method gives optimal results; alternative methods should be evaluated as these assumptions change. This paper will evaluate the success of FCM in the field of inventory classification.
3.7. Autoencoder
An AE is a machine learning technique employed to extract features from data. Rumelhart [58] introduced the AE concept in 1986, employing it to extract features from intricate, high-dimensional data. The primary purpose of an AE is to acquire a representation (encoding) of data information. This method works as an unsupervised learning algorithm, often used for feature learning. In the context of understanding complicated time series, the AE includes two main components: the encoder and the decoder. It functions as a valuable tool for understanding and learning features from complicated time-series data [59].
An AE is a type of neural network created to imitate its input by reproducing it in the output. Internally, it contains a hidden layer, often called latent space, which functions as a code representing the input data. The network can be divided into two components: an encoder function (h = f(x)) and a decoder generating a reconstruction (r = g(h)). Typically, the encoder is shaped like a funnel; it reduces input information in a way that prevents perfect replication, compelling the model to imitate inputs in a coarse manner. This constraint theoretically guides the AE to learn valuable data features. Historically, AEs have been used for tasks such as dimensionality reduction and feature learning. Because AEs combine two feedforward networks, they can be trained using backpropagation. The encoder and decoder form the ANN, possibly consisting of multiple interconnected layers, with the hidden layer acting as a bridge between them. In general, these two networks share similar structures in terms of the number and type of hidden layers, the number of nodes in each layer, and the type of activation function in each node. The dimension of the hidden layer significantly influences the AE’s performance and practicality. With increasing structural complexity, the AE becomes capable of capturing more complex behaviors of the analyzed system. The encoder and decoder work collaboratively during training to minimize a loss function, typically quantifying the error introduced by the decoder in an attempt to reconstruct the features entered into the encoder [60].
In Figure 3, the diagram illustrates the configuration of an AE. The orange dashed lines within the diagram represent the weights utilized. The primary function of an AE is to extract features from raw data and attempt to preserve data information to the greatest extent possible while varying the data size. In simpler terms, the autoencoder aims to capture the approximation of a function by ensuring that the output data (t) closely resemble the input data x(t). The encoding process involves the linear mapping of the training data, followed by a nonlinear transformation to create the hidden-layer representation. Here, w1 and b1 denote the weights and bias of the input layer, respectively, while g1(·) denotes the activation function applied to the hidden layer.
Figure 3.
The architecture of an AE.
The decoding process involves converting the encoded signal y(t) into an output signal (t). The objective here is to increase coherence between the two signals by ensuring the output is closely aligned with the input.
In this context, w2 stands for the weights of the hidden layer, and b2 corresponds to the bias of that layer. Moreover, g2(·) refers to the activation function applied to the output layer.
Typically, the training of y(t) involves minimizing a loss function. This function is a composite measure that takes into account inequalities between x(t) and (t) along with a regularization term. The loss function can be expressed as follows:
The function e(·) is used to quantify the discrepancy between x(t) and (t); ∥·∥2 denotes the L2 norm, and λ represents the regularization coefficient [59].
Below, we examine the studies that used the AE method for clustering in areas of optimization, forecasting, process improvement studies, etc.
Li et al. [61] worked on an AE for constrained clustering. The traditional subspace clustering method achieves clear data representation that captures the global structure of data and clusters through the corresponding subspace. However, the advantages of the previous structure are limited due to internal linearity and fixed structure limitations. To solve this problem, they deployed structured graph learning with adaptive neighbors in deep AE networks. Thus, an adaptive deep clustering approach, namely, AE-constrained clustering with adaptive neighbors (ACC_AN), was developed. ACC_AN is the first deep clustering method with adaptive structured graph learning to simultaneously update the latent representation of data and the structured deep graph. W. Wang et al. [62] worked on a new dimensionality reduction model called the orthogonal AE that promotes the orthogonality of the learned embedding. They proposed a joint deep clustering framework based on the orthogonal AE, and this novel framework entails simultaneously extracting hidden embedding and forecasting clustering assignments. X. Li et al. [63] worked on an effective spectral algorithm based on a stacked AE, which was proposed to improve efficiency. They used it to prevent an increase in the memory consumption of K-Means clustering, which is usually used to obtain clustering results on the embedding representation. To improve the clustering results, they combined learning the embedding representation and clustering. Boubekki [64] presented a new method in which the AE and clustering are learned at the same time. This is a new method that inherits the built-in clustering capabilities, where the objective function of a given GMM class can be reexpressed as the loss function of a single-hidden-layer AE. This is achieved by providing a theoretical understanding. Experiments proved the equality between clustering and the GMM. Tavakoli et al. [65] presented a two-stage deep learning-based methodology for clustering time-series data. Firstly, a new technique was presented to exploit the properties of given time-series data (e.g., volatility) to create labels and thus enable the problem to be transformed from unsupervised learning into supervised learning. Secondly, an AE-based deep learning model was produced to model both known and latent nonlinear features of time-series data.
As seen from the literature research, an AE has not been used in the field of inventory classification.
This study developed a hybrid approach in the field of inventory classification by using AE- and AI-based clustering techniques together. In the existing literature, there are no studies on the joint application of these methods on inventory classification, and in particular, the synergistic effects of these two techniques have not been explored sufficiently. Therefore, our study aims to fill the methodological gaps in this field and show that more accurate and efficient classification results can be obtained. Therefore, it provides an important contribution by revealing the potential in this field, which necessitates the reconsideration of the research.
4. The Numerical Application
The proposed method was applied in a global white goods manufacturer company. The application involved the preparation of two different datasets. In this application, four different clustering methods (K-Means, Gaussian mixture model-based clustering, agglomerative clustering, spectral clustering) hybridized with an AE, as well as FCM, were used. The results are examined in detail, and the outcomes of different datasets are compared using different clustering methods. Also, the clustering–AE method is used for the first time in the field of inventory classification, to the best of our knowledge. This study breathes new life into inventory classification in industry and offers a fresh perspective to the field of inventory classification.
4.1. The Dataset
The application was carried out with two different datasets, as shown in Figure 4, and compared in detail at the end of the study.
Figure 4.
The datasets.
First dataset: This dataset was prepared based on SKUs and contains 6.032 SKUs. These SKUs cover all final products produced in the white goods factory. For example, all models belonging to the refrigerator group are entered separately into the SKU list and are subject to clustering.
Second dataset: This dataset was prepared based on product groups and covers 270 different groups. These groups are obtained by arranging the final products produced according to their types, unlike the SKU-based dataset. For example, while the products in the refrigerator class form one group, the products in the washing machine class belong to a different group. Groups created based on product type are subject to clustering.
4.2. Input Selection
Ninety-seven articles published in the field of inventory classification between 2000 and 2023 were examined in detail, and the most frequently used features in the field of inventory classification were extracted. These features are lead time, annual dollar usage, and average unit cost, which are used for inventory classification in this application, too, as shown in Figure 5.
Figure 5.
Most commonly used features in literature.
Before performing clustering applications, elbow points were determined for both datasets. As seen in Figure 6, the elbow point starts after the third grade.
Figure 6.
Elbow point.
The elbow method is the earliest method used to identify the possible optimal number of clusters for the analyzed dataset. Its basic idea is to set K = 2 as the initial optimal number of clusters K, then continue to increase K in steps of 1 until the maximum value specified for the estimated possible optimal number of clusters, and finally identify the possible optimal number of clusters K corresponding to the plateau. The optimal number of clusters K is identified by the fact that the cost drops rapidly to the so-called cost peak value before reaching K, and the so-called cost peak value continues to increase almost unchanged after exceeding K [66].
The within-cluster sum of squares (WCSS) measures the tightness of clusters by computing the sum of the squared distances between data points and their respective cluster centers. It quantifies how close data points are to the centers of their assigned clusters. A lower WCSS value presents more compact clusters. WCSS can be defined as follows:
where the number of clusters is K, the set of data points in cluster i is , and the centroid of cluster i is [67].
4.3. Silhouette Coefficient
Silhouette was first defined by Peter J. Rousseeuw. And, according to his method, each cluster is represented by a silhouette based on the comparison of its compactness and separateness. This silhouette shows which objects are well contained within the clusters and which are only somewhere between the clusters. The entire clustering is visualized by merging the silhouettes into a single plot so that the quality of the clusters can be assessed, and an overview of the data structuring can be obtained [68].
Silhouette is quite a well-known clustering evaluation approach that presents clustering quality scores for each point [69].
The silhouette coefficient is used to describe well-separated clusters. Take into account set and its cluster distribution , , with , . And, , where is the cardinality of a set. Data point is used to calculate
If is the only point in , then = 0. On the other hand, is the average difference of point with respect to all other points in the th cluster. Then, , is used to calculate
This is the average difference between point and points from the cluster . Set
For the cluster of , if , then it is the neighbor cluster of data point .
The silhouette coefficient of point is determined as s(a):
And, it can also be written as
It can be defined as for all
If is close to 1, the “within” difference is much smaller than the smallest “between” difference , and this means that a is “well clustered”. If or close to 0, then and are nearly equal, and hence, point a is far from and , and it is unclear to which cluster it should be allocated. In this situation, the data point can be defined as an “intermediate case”.
The situation where is close to −1 means that is much larger than , which means that, on average, a is much closer to than to , and it is more obvious to allocate a to rather than to , and one can conclude that a is “misclassified”.
Therefore, the silhouette coefficient indicates which data points are well contained within their clusters and which are only somewhere between the clusters. This means that the silhouette coefficient can indicate how well a particular cluster is separated from the others [70].
In this article, the silhouette coefficient score is used to measure clustering performance and seek the best clustering method. The average silhouette coefficient value is shown with the dashed red line.
4.4. Clustering Applications for Inventory Classification
4.4.1. SKU-Based Clustering
For 6.032 SKUs, the clustering algorithms are applied to 10 different classes, and the silhouette scores are compared. The best result of K-Means occurs when there are six classes, and it has a silhouette score of 0.8775, as shown in Figure 7. The best result of the Gaussian mixture occurs when there are four classes, and it has a silhouette score of 0.8615, as shown in Figure 8. The best result of agglomerative clustering occurs when there are six classes, and it has a silhouette score of 0.8781, as shown in Figure 9. The best result of spectral clustering occurs when there are six classes, and it has a silhouette score of 0.8775, as shown in Figure 10. In the field of white goods inventory classification, all clustering algorithms give the best results with 4–6 classes. The agglomerative clustering method gives the best results on an SKU basis with six classes and a silhouette score of 0.8781.
Figure 7.
SKU-based K-Means results.
Figure 8.
SKU-based Gaussian mixture results.
Figure 9.
SKU-based agglomerative clustering results.
Figure 10.
SKU-based spectral clustering results.
4.4.2. Product-Group-Based Clustering
For 270 product groups, the clustering algorithms are applied to 10 different classes, and the silhouette scores are compared. The best result of K-Means occurs when there are seven classes, and it has a silhouette score of 0.7276, as shown in Figure 11. The best result of the Gaussian mixture occurs when there are 10 classes, and it has a silhouette score of 0.7453, as shown in Figure 12. The best result of agglomerative clustering occurs when there are nine classes, and it has a silhouette score of 0.7663, as shown in Figure 13. The best result of spectral clustering occurs when there are seven classes, and it has a silhouette score of 0.7276, as shown in Figure 14. In the field of white goods inventory classification, all clustering algorithms give the best results with 7–9 classes. The agglomerative clustering method gives the best results on a product group basis with nine classes and a silhouette score of 0.7663.
Figure 11.
Product-group-based K-Means results.
Figure 12.
Product-group-based Gaussian mixture results.
Figure 13.
Product-group-based agglomerative clustering results.
Figure 14.
Product-group-based spectral clustering results.
4.5. Clustering Applications with Autoencoder for Inventory Classification
4.5.1. SKU-Based Clustering with Autoencoder
For 6.032 SKUs, the clustering algorithms are applied with the autoencoder to 10 different classes, and the silhouette scores are compared. The best result of K-Means occurs when there are two classes, and it has a silhouette score of 0.9614, as shown in Figure 15. The best result of the Gaussian mixture occurs when there are nine classes, and it has a silhouette score of 0.8783, as shown in Figure 16. The best result of agglomerative clustering occurs when there are two classes, and it has a silhouette score of 0.9688, as shown in Figure 17. The best result of spectral clustering occurs when there are 10 classes, and it has a silhouette score of 0.9085, as shown in Figure 18. In the field of white goods inventory classification, all clustering algorithms give the best results with 2–10 classes. Autoencoder-integrated clustering methods give results in a more scattered cluster number range compared to clustering applications alone. Although agglomerative clustering has the best silhouette score with two classes, the elbow point starts after the third class, and the distribution of the two classes covers 99% in the first class and 0.55% in the second class. For this reason, the two classes do not reflect reality. Class 3 and above are compared in terms of silhouette scores. Although the two classes give the best results in the K-Means method, class 3 and above that pass the elbow point are evaluated. The K-Means silhouette score with three classes is 0.9343. Within the scope of all these evaluations, agglomerative clustering gives the best result with four classes, and it has a silhouette score of 0.9378.
Figure 15.
SKU-based K-Means with AE results.
Figure 16.
SKU-based Gaussian mixture with AE results.
Figure 17.
SKU-based agglomerative clustering with AE results.
Figure 18.
SKU-based spectral clustering with AE results.
4.5.2. Product-Group-Based Clustering with Autoencoder
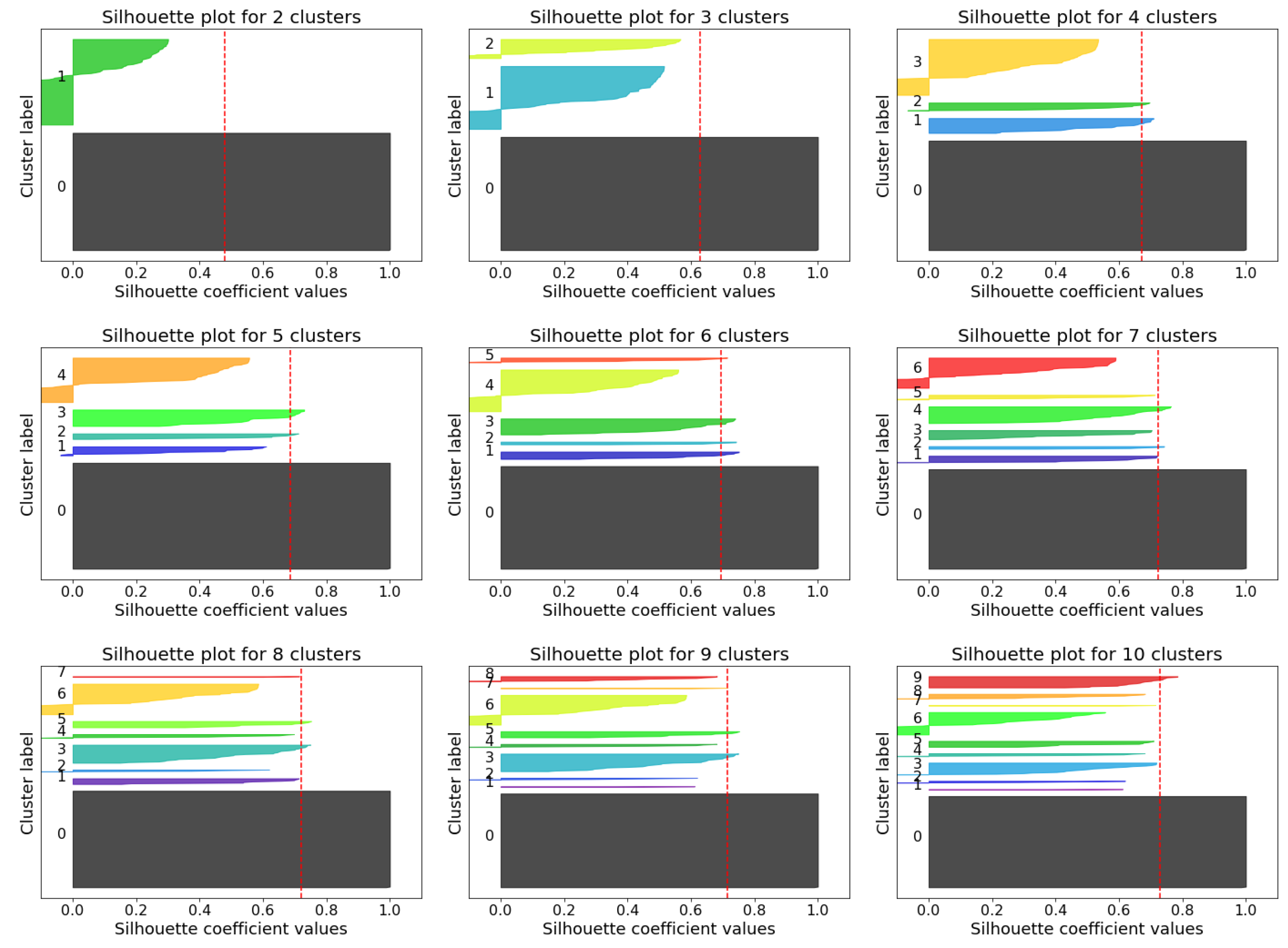
For 270 product groups, the clustering algorithms are applied with the autoencoder to 10 different classes, and the silhouette scores are compared. The best result of K-Means occurs when there are two classes, and it has a silhouette score of 0.8359, as shown in Figure 19. The best result of the Gaussian mixture occurs when there are 10 classes, and it has a silhouette score of 0.7276, as shown in Figure 20. The best result of agglomerative clustering occurs when there are nine classes, and it has a silhouette score of 0.7957, as shown in Figure 21. The best result of spectral clustering occurs when there are 10 classes, and it has a silhouette score of 0.8013, as shown in Figure 22. In the field of white goods inventory classification, all clustering algorithms give the best results with 2–10 classes. Autoencoder-integrated clustering methods give results in a more scattered cluster number range compared to clustering applications alone. Although K-Means has the best silhouette score with two classes, elbow point starts after the third class, and the distribution of the two classes covers 99.4% in the first class and 0.6% in the second class. For this reason, the two classes do not reflect reality. Class numbers of 3 and above are compared in terms of silhouette scores. With this evaluation, the best result of K-Means occurs with 10 classes, and it has a silhouette score of 0.7949. For the second dataset, spectral clustering gives the best result with a silhouette score of 0.8013 and 10 classes.
Figure 19.
Product-group-based K-Means with AE results.
Figure 20.
Product-group-based Gaussian mixture with AE results.
Figure 21.
Product-group-based agglomerative clustering with AE results.
Figure 22.
Product-group-based spectral clustering with AE results.
4.6. FCM for Inventory Classification
4.6.1. SKU-Based FCM
For 6.032 SKUs, FCM is applied to 10 different classes, and the silhouette scores are compared. The best result of FCM occurs when there are two classes, and it has a silhouette score of 0.523, as shown in Figure 23, and the fuzzy partition coefficient (FPC) is 0.811.
Figure 23.
SKU-based FCM results.
4.6.2. Product-Group-Based FCM
For 270 product groups, FCM is applied to 10 different classes, and the silhouette scores are compared. The best number of classes is nine, according to a silhouette score of 0.642, as shown in Figure 24. Based on the FPC (0.808), the best number of classes is two. For two different datasets, SKU-based and product-group-based, the best number of classes, according to the FPC, is two. When compared on the basis of silhouette scores, the situation changes. According to the silhouette score, the best number of classes in the SKU-based dataset is two, while the best number of classes in the product-group-based dataset is nine.
Figure 24.
Product-group-based FCM results.
4.7. The Comparison and Evaluation Procedure for the Proposed Model
In a company in the white goods sector, inventory classification was performed using two different datasets. Clustering methods, which are K-Means, Gaussian mixture, agglomerative clustering, and spectral clustering, were used for inventory classification. These methods are analyzed in detail. And, a novel model is presented, which is a hybrid method of AE and clustering methods. The clustering methods, the new proposed hybrid AE–clustering method, and the FCM method are compared in detail, and their advantages and disadvantages are revealed. This comparison is made for both datasets (SKU-based and product-group-based), and at the end of the study, the outputs of all studies for both datasets are also compared.
With the first dataset (SKU-based), which contains 6.302 SKUs, when WAE-CL is run, it is seen that the best method is agglomerative clustering, one of the hierarchical clustering methods. The silhouette score is 0.8781, and the number of classes with the best silhouette score is six. When all clustering methods are considered in the study conducted without the AE, the number of clusters with the best silhouette score ranges between 4 and 6. In order to obtain these results, the computer’s operating time is 58–84 s for K-Means, 24–118 s for Gaussian mixture, 12–42 s for agglomerative clustering, and 110–154 s for spectral clustering. In terms of the computer’s average running time, K-Means gives results in 73 s, Gaussian mixture in 73 s, agglomerative clustering in 25 s, and spectral clustering in 133 s. When the methods are compared in terms of machine operating speeds, agglomerative clustering gives the best results. When it comes to inventory classification, agglomerative clustering works well for companies that produce goods for the durable consumer market, as shown in Table 1.
Table 1.
SKU-based clustering and AE–clustering method comparison.
With the first dataset (SKU-based), which contains 6.302 SKUs, when AE-CL is run, it is seen that the best method is agglomerative clustering, one of the hierarchical clustering methods. The silhouette score is 0.9378, and the number of classes with the best silhouette score is four. When all clustering methods are considered in the study conducted with AE, the number of clusters with the best silhouette score ranges between 2 and 10. In order to obtain these results, the computer’s operating time is 68–105 s for K-Means, 34–139 s for Gaussian mixture, 22–63 s for agglomerative clustering, and 120–175 s for spectral clustering. In terms of the computer’s average running time, K-Means gives results in 88 s, Gaussian mixture in 87 s, agglomerative clustering in 40 s, and spectral clustering in 148 s. When it is compared in terms of computer operating speed, the best outcomes are obtained with agglomerative clustering. Businesses engaged in production within the durable consumer sector find that agglomerative clustering yields the best results when used as an AE–clustering method for inventory classification.
When comparing WAE-CL and AE-CL for the first dataset, it is seen that the agglomerative clustering method gives the best results for inventory classification. When hybridized with AE, although the computer runs for longer periods of time, it can clean the data and divide the data into a lower number of classes compared to WAE-CL. For studies aiming to make more practical and faster decisions on the results of inventory classification, AE-CL is preferred because it gives fewer class results. However, those who want to work with a larger number of classes can opt for WAE-CL. The advantages of AE-CL are that it simplifies the classification process by making the data cleaner. This offers a more practical working area for many decision-makers. In today’s competitive conditions, making quick decisions and taking quick action is crucial. The proposed AE-CL model provides this and promises a much higher silhouette score. Due to all these advantages, AE-CL is recommended for inventory classification studies with a high number of data points (>5000).
With the second dataset (product-based), which contains 270 product groups, when WAE-CL is run, it can be seen that the best method is agglomerative clustering, one of the hierarchical clustering methods. The silhouette score is 0.7663, and the number of classes with the best silhouette score is nine. When all clustering methods are considered, the number of clusters with the best silhouette score ranges between 7 and 10. In order to obtain these results, the computer’s operating time is 28–57 s for K-Means, 12–35 s for Gaussian mixture, 5–11 s for agglomerative clustering, and 10–21 s for spectral clustering. In terms of the computer’s average running time, K-Means gives results in 40 s, Gaussian mixture in 23 s, agglomerative clustering in 7 s, and spectral clustering in 17 s. When the methods are compared in terms of machine operating speed, agglomerative clustering gives the best results. Agglomerative clustering gives the best results as a clustering method in the field of inventory classification for businesses operating in the field of production in the durable consumer sector. When it is compared with the first dataset, although the computer gives faster results, the silhouette score is worsened (0.8781 → 0.7663). For this reason, it is recommended that inventory classification studies using the WAE-CL method be carried out on the basis of SKU rather than product group.
With the second dataset (product-based), which contains 270 product groups, when AE-CL is run, it is seen that the best method is spectral clustering. The silhouette score is 0.8013, and the number of classes with the best silhouette score is 10. When all clustering methods are considered in the study conducted with AE, the number of clusters with the best silhouette score ranges between 2 and 10. In order to obtain these results, the computer’s operating time is 34–78 s for K-Means, 18–56 s for Gaussian mixture, 11–32 s for agglomerative clustering, and 20–42 s for spectral clustering. In terms of the computer’s average running time, K-Means gives results in 53 s, Gaussian mixture in 36 s, agglomerative clustering in 21 s, and spectral clustering in 32 s. When it is compared in terms of machine operating speed, agglomerative clustering gives the best results. Regarding silhouette score Spectral clustering, regarding to speed Agglomerative clustering gives the best results as a clustering method in the field of inventory classification for businesses operating where production in the durable consumer sector. When it is compared with the first dataset, although the computer gives faster results, the silhouette score is worsened (0.9378→0.8013), as shown in Table 2. For this reason, it is recommended that inventory classification studies using the AE-CL method be carried out on the basis of SKU rather than product group.
Table 2.
Product-group-based clustering and AE–clustering method comparison.
When WAE-CL and AE-CL are compared for the second dataset, there is no single result with regard to the clustering method. Agglomerative clustering gives the best results when WAE-CL is run, while spectral clustering gives the best results when AE-CL is run. For smaller datasets, single clustering did not yield results. Although WAE-CL gives faster results, AE-CL has a higher silhouette score. For this reason, the proposed AE-CL method is recommended for smaller datasets, such as the first dataset. AE-CL accelerates the decision-maker’s decision process by cleaning the data and produces more successful classification results. Due to all these advantages, AE-CL is recommended for inventory classification studies with a small number of data points (<300).
When the first dataset, SKU-based, and the second dataset, product-group-based, are compared, it is seen that although the product-group-based dataset produces faster results, the SKU-based dataset gives a better silhouette score. For this reason, it is recommended to work with a high number of data points, such as SKU-based datasets, in the field of inventory classification.
When FCM is run with the SKU-based dataset, it gives the best result in the second class with a silhouette score of 0.523, as shown in Table 3. In terms of the FPC, the best class is the second class, and its FPC value is 0.811.
Table 3.
SKU- and product-group-based FCM comparison.
With the second dataset, when FCM is run, it gives the best result with a silhouette score of 0.642 in the ninth class on a product group basis. Regarding the FPC, the best class is the second class, and its FPC value is 0.808.
While the first dataset gives better results when compared using the FPC, the second dataset gives better results when compared based on the silhouette score. Since the second dataset is smaller, it is processed in an average of 8 s, while the first dataset is processed in an average of 23 s.
Since the first dataset gives better results, the detailed comparison is continued with the first dataset. Since agglomerative clustering gives the best results for both WAE-CL and AE-CL methods for the first dataset, agglomerative clustering is included in the final comparison. When we compare these methods, the silhouette scores for AE-CL, WAE-CL, and FCM are as follows: 0.9378, 0.8781, and 0.523. And, the cluster numbers are four, six, and two. When the operating times of the models are compared, they are 28,57 s, 22.54 s, and 1.79 s, respectively. When the silhouette score is considered, the best method is the proposed AE-CL method. In addition, agglomerative clustering remains more advantageous, as it is the fastest method among the clustering methods.
Agglomerative clustering hybridized with the AE is highly recommended in the white goods industry, as it gives the best results in inventory classification.
In order to decide on the most accurate classification method among the three different alternatives that were left for the final selection, both the silhouette score and machine working speed, as well as the supply chain KPI results, were evaluated, and an attempt was made to decide on the most efficient classification method, as shown in Table 4. The study was carried out by obtaining information and comments from experts in the supply chain department for supply chain KPIs.
Table 4.
Comparison of methods based on supply chain KPIs.
When we compare the methods according to the silhouette score, we see that the best method is AE-CL. To find the best classification method, supply chain KPIs are also considered as evaluation criteria. A comparison is made in terms of the fill rate and inventory days, which are the most important KPIs of the supply chain. A comparison is made for each cluster using each alternative method, and then the weighted average result of the method is also given in Table 4. We evaluate the fill rate and inventory days as supply chain KPIs.
The fill rate is the part of demand that is immediately met using on-hand inventory. The most frequent approach to estimating this service measure consists of calculating the complement of the ratio between the expected shortage per replenishment cycle (ESPRC) and the total expected demand per replenishment cycle (EDPRC) [71].
For each cluster, the fill rate is calculated from the demand of SKUs falling into that cluster and the ratio of the order quantity formed in response to that demand:
The fill rate that falls into each cluster in AE-CL is higher than those in WAE-CL and FCM and is the closest to the company’s target. According to company policies, there is a separate inventory strategy for each class. While it allows more inventory from the best-selling group, the inventory rate is lower for a group that sells less. Accordingly, if a product falls into the wrong class, it may encounter less or more inventory. This negatively affects the fill rate KPI. It is divided into six different classes in the WAE-CL method. This causes the shares in clusters 1 and 2 to shift to other clusters, and some of the important groups with high sales are distributed into other clusters instead of being in 1 and 2, and therefore, less inventory is kept, which causes the fill rate to decrease. When we look at FCM, it is distributed into only two clusters, and the safety stock coefficient is changed between the two clusters; therefore, the fill rate is very high in cluster 1, while the fill rate is very low in cluster 2.
We calculated inventory days as follows:
in which COGS is the cost of goods sold [72]. The average inventory level is calculated by taking the beginning inventory of the study period and the average demand of each cluster as a reference. COGS data are obtained from the finance department of the company where the application is made for each SKU.
When we compare the methods in terms of inventory days, the inventory days of clusters 4 and 5 in WAE-CL increase significantly. The reason for this is that the sales speeds of the groups falling into 4 and 5 are low, but their average inventory is higher than it should be. In AE-CL, the four classes formed are more evenly distributed according to their sales tempos, and the inventory policies are more balanced accordingly. The inventory levels of clusters 1 and 2, which return with high sales speeds, are accordingly high but balanced. There are only two clusters in FCM. While the inventory days of cluster 1 are below the company targets, those of cluster 2 are much higher than the company targets. The reason for this is that there are only two clusters, and the ones with low sales tempos are concentrated in cluster 2 as much as possible. However, since there are only two clusters, the sales groups that do not fit the pattern of either cluster had to be included in one of these two clusters. When all these factors are considered, AE-CL gives the best result in terms of inventory days, as shown in Table 4.
When we examine logistics elements, the number of forklifts, the fuel savings used by the forklift, and the number of operators using the forklift were evaluated. The aim of good classification is to keep the right amount of inventory of the right product, and this is supported by an improvement in the fill rate. Keeping the right amount of inventory contributes to less handling. This also contributes to a reduction in movements in the warehouse.
With the new inventory classification method proposed, products are placed in more accurate classes. The inventory size of the products is decided according to the classes they are in. If a product is included in the wrong class, it may face excess inventory or insufficient inventory problems. In this case, it will cause more handling in the warehouse, i.e., more forklifts and more working hours. Table 5 shows the warehouse working information of the company where we conducted this study. There are currently 10 warehouses, the working hours are 8 h per shift, and three shifts are worked. There are nine forklifts in each warehouse. With the new AE-CL method proposed, handling will decrease with correct classification, and the forklift requirement will come to 7.2. When this result is rounded up, eight forklifts are needed, and one forklift is saved per shift. In this way, it is anticipated that a daily (for three shifts) CO2 emission improvement of 11% will be achieved. With the new AE-CL method, the new shift requirement is 2.2. However, since this shift requirement had to be rounded up, the shift number became three, and no difference from the current situation was observed. Future studies should focus on solutions that will reduce the shift requirement below two. In the WAE-CL and FCM methods, although there is an improvement in shift and forklift numbers compared to the current situation, since the requirements must be rounded up from a decimal point to a whole number, no change is observed in CO2 emissions compared to the current situation. In terms of improving CO2 emissions, the AE-CL method is recommended in the field of inventory classification in the white goods sector.
Table 5.
Comparison of methods in terms of CO2 emissions.
When we evaluate the silhouette score, supply chain KPIs, and CO2 emissions, the AE-CL method stands out in every evaluation stage. For this reason, the AE-CL method is recommended in the field of inventory classification in the white goods sector.
5. Conclusions
This study offers a new method for inventory classification studies. The new method contributes to meeting sustainability, sustainability economics, and supply chain management targets. Thus, each corporation within the supply chain will be able to individually adopt sustainability practices more easily and adapt them to their own systems. This study was conducted with real data from a global company operating in the white goods industry, and a novel method is presented. For cost management, which significantly affects the competitiveness of companies, attention must turn to supply chain costs. The most important cost item among the supply chain cost items is inventory, and the efficient management of inventory is very critical in terms of cost management. For inventory management to be effective, inventory classification must be able to provide accurate, practical, and fast results. In this study, a new model that serves these needs is presented to fill the gap in the literature.
Two datasets of different sizes were used in this study, and it has been proven that larger datasets provide better results for inventory classification.
In the first phase of this study, AI clustering methods, which are K-Means, Gaussian mixture, agglomerative clustering, and spectral clustering, were used, and “agglomerative clustering” was determined to give the best result. Among the AI methods in the field of inventory classification, K-Means is mostly used. This study contributes to inventory classification studies in terms of making comparisons using Gaussian mixture, agglomerative clustering, and spectral clustering methods.
In the second phase of the study, a new method was developed by hybridizing clustering methods with an AE for inventory classification. AE-CL gives the best results when compared in terms of the silhouette score. When AE-CL is compared on its own, AE hybridized with agglomerative clustering gives the best results and is highly recommended for inventory classification. As this method is not reported in the literature, with this study, a novel method is introduced to the literature.
In the third phase of the study, FCM was used for inventory classification, and the three methods’ results were compared.
When comparing WAE-CL, AE-CL, and FCM, the proposed AE-CL method gives the best result. Although AE-CL’s working time is longer than that of WAE-CL, it has breathed new life into inventory classification studies because it offers better, more practical results for decision-makers.
The effects of the new methods presented on supply chain KPIs were measured and evaluated. Evaluations were performed on the basis of the fill rate and inventory days. According to the evaluation, AE-CL (agglomerative clustering) gives the best result. According to the new method presented, the fill rate and inventory days make a significant contribution to the company’s goals.
This study addresses the 9B of 17 targets published by the United Nations Department of Economic and Social Affairs Sustainable Development. Goal 9B is to “support domestic technology development, research and innovation in developing countries, including by ensuring a conductive policy environment for, inter alia, industrial diversification and value addition to commodities”. With better inventory classification, the fill rate will improve, and thus, situations involving the wrong amount of inventory of the wrong product will decrease. In this case, it will cause handling in the warehouse to decrease. This means an important contribution to sustainability. Currently, handling in the warehouse is carried out with forklifts. The current situation is progressing with 10 different warehouses, 3 shifts, and 9 forklifts for each warehouse. With the new proposed method, serious gains have been achieved in the number of shifts and forklifts by holding the right inventory level of the right product. This means an 11% decrease in CO2 emissions. This study presents a new innovative solution method that is not in the literature. According to the results, this study can help to reduce CO2 emissions, which is one of the most important factors affecting the environment.
With the proposed novel hybrid AE-CL method, a more accurate inventory classification is made, and a more sustainable working environment is provided with less handling and less inventory movement, with the optimal inventory level monitored within the scope of sustainable supply chain management.
In future studies, the method proposed in this study can be tested in different sectors (for example, automotive, iron and steel, and e-commerce) to ensure that the validity of the model can be expanded to other areas. Since the AE gives much better results in the field of inventory classification, the results can be compared by hybridizing it with different AI methods.
Author Contributions
Conceptualization, S.K. and A.T.; methodology, S.K. and A.T.; software, S.K. and A.T.; validation, S.K. and A.T.; formal analysis, S.K. and A.T.; investigation, S.K. and A.T.; resources, S.K. and A.T.; data curation, S.K. and A.T.; writing—original draft preparation, S.K. and A.T.; writing—review and editing, S.K. and A.T.; visualization, S.K. and A.T.; supervision, S.K. and A.T.; project administration, S.K. and A.T.; funding acquisition, S.K. and A.T. All authors have read and agreed to the published version of the manuscript.
Funding
This research received no external funding.
Data Availability Statement
Data are contained within the article.
Conflicts of Interest
The authors declare no conflict of interest.
References
- Heebkhoksung, K. A New Paradigm for Sustainable Supply Chain Management for Business Operation. Sustainability 2024, 16, 6021. [Google Scholar] [CrossRef]
- Zamani Dadaneh, D.; Moradi, S.; Alizadeh, B. Simultaneous planning of purchase orders, production, and inventory management under demand uncertainty. Int. J. Prod. Econ. 2023, 265, 109012. [Google Scholar] [CrossRef]
- Demizu, T.; Fukazawa, Y.; Morita, H. Inventory management of new products in retailers using model-based deep reinforcement learning. Expert Syst. Appl. 2023, 229, 120256. [Google Scholar] [CrossRef]
- Cuartas, C.; Aguilar, J. Hybrid algorithm based on reinforcement learning for smart inventory management. J. Intell. Manuf. 2023, 34, 123–149. [Google Scholar] [CrossRef]
- Odedairo, O.B.; Alaba, H.E.; Edem, I. A System Dynamics Model To Determine The Value of Inventory Holding Cost. J. Eng. Stud. Res. 2020, 26, 112–123. [Google Scholar] [CrossRef]
- Qu, C.; Kim, E. Reviewing the Roles of AI-Integrated Technologies in Sustainable Supply Chain Management: Research Propositions and a Framework for Future Directions. Sustainability 2024, 16, 6186. [Google Scholar] [CrossRef]
- Kausar, A.; Hasan, A.; Jaggi, C.K. Sustainable inventory management for a closed-loop supply chain with learning effect and carbon emission under the multi-shipment policy. Int. J. Syst. Assur. Eng. Manag. 2023, 14, 1738–1755. [Google Scholar] [CrossRef]
- Wang, X.; Gong, T. Digital-enabled supply chain innovation and CO2 emissions: The contingent role of first-tier supplier’s structural holes. Technol. Forecast. Soc. Chang. 2024, 201, 123252. [Google Scholar] [CrossRef]
- Baumgärtner, S.; Quaas, N. What is sustainability economics? Ecol. Econ. 2010, 69, 445–450. [Google Scholar] [CrossRef]
- United Nations Department of Economic and Social Affairs Sustainable Development. Available online: https://sdgs.un.org/goals (accessed on 18 October 2024).
- Zhang, C.; Xu Qingfeng Yu, Y.; Zhou, G.; Zeng, K.; Chang, F.; Ding, K. A survey on potentials, pathways and challenges of large language models in new-generation intelligent manufacturing. Robot. Comput.-Integr. Manuf. 2025, 92, 102883. [Google Scholar] [CrossRef]
- Yu, M.C. Multi-criteria ABC analysis using artificial-intelligence-based classification techniques. Expert Syst. Appl. 2011, 38, 3416–3421. [Google Scholar] [CrossRef]
- Millstein, M.A.; Yang, L.; Li, H. Optimizing ABC inventory grouping decisions. Int. J. Prod. Econ. 2014, 148, 71–80. [Google Scholar] [CrossRef]
- Khanorkar, Y.; Kane, P.V. Selective inventory classification using ABC classification, multi-criteria decision making techniques, and machine learning techniques. Mater. Today Proc. 2023, 72, 1270–1274. [Google Scholar] [CrossRef]
- López-Soto, D.; Yacout, S.; Angel-Bello, F. Root cause analysis of familiarity biases in classification of inventory items based on logical patterns recognition. Comput. Ind. Eng. 2016, 93, 121–130. [Google Scholar] [CrossRef]
- Al Kindhi, B.; Sardjono, T.A.; Purnomo, M.H.; Verkerke, G.J. Hybrid K-means, fuzzy C-means, and hierarchical clustering for DNA hepatitis C virus trend mutation analysis. Expert Syst. Appl. 2019, 121, 373–381. [Google Scholar] [CrossRef]
- Palakonda, V.; Kang, J.M.; Jung, H. An effective ensemble framework for Many-Objective optimization based on AdaBoost and K-means clustering. Expert Syst. Appl. 2023, 227, 120278. [Google Scholar] [CrossRef]
- Prasad, R.K.; Sarmah, R.; Chakraborty, S.; Sarmah, S. NNVDC: A new versatile density-based clustering method using k-Nearest Neighbors. Expert Syst. Appl. 2023, 227, 120250. [Google Scholar] [CrossRef]
- Hashemi, S.E.; Gholian-Jouybari, F.; Hajiaghaei-Keshteli, M. A fuzzy C-means algorithm for optimizing data clustering. Expert Syst. Appl. 2023, 227, 120377. [Google Scholar] [CrossRef]
- Charte, D.; Charte, F.; del Jesus, M.J.; Herrera, F. An analysis on the use of autoencoders for representation learning: Fundamentals, learning task case studies, explainability and challenges. Neurocomputing 2020, 404, 93–107. [Google Scholar] [CrossRef]
- Singh, P.; Sharma, A.; Maiya, S. Automated atrial fibrillation classification based on denoising stacked autoencoder and optimized deep network. Expert Syst. Appl. 2023, 233, 120975. [Google Scholar] [CrossRef]
- Wen, H.; Guo, W.; Li, X. A novel deep clustering network using multi-representation autoencoder and adversarial learning for large cross-domain fault diagnosis of rolling bearings. Expert Syst. Appl. 2023, 225, 120066. [Google Scholar] [CrossRef]
- Li, B.; Zhao, Z.; Duan, T. Hybrid predictive method for multi-criteria inventory classification. Comput. Integr. Manuf. Syst. 2004, 10, 594–599. [Google Scholar]
- Wang, J.; Liao, X.; Yi, Z.; Lei, Q.; Chen, J.; Zhou, Q. LNCS 3498—Multiple Criteria Inventory Classification Based on Principal Components Analysis and Neural Network. In Proceedings of the International Symposium on Neural Networks, Chongqing, China, 30 May–1 June 2005; LNCS. Volume 3498. [Google Scholar]
- Tsai, C.Y.; Yeh, S.W. A multiple objective particle swarm optimization approach for inventory classification. Int. J. Prod. Econ. 2008, 114, 656–666. [Google Scholar] [CrossRef]
- Šimunović, G.; Šarić, T. Application of Artificial Neural Networks to Multiple Criteria Inventory Classification The Use of Advanced Manufacturing Technology to Reduce Product Cost View Project. 2009. Available online: https://www.researchgate.net/publication/299049668 (accessed on 20 October 2024).
- Kabir, G.; Hasin, M.A.A. Multi-criteria inventory classification through integration of fuzzy analytic hierarchy process and artificial neural network. Int. J. Ind. Syst. Eng. 2013, 14, 74–103. [Google Scholar] [CrossRef]
- Lolli, F.; Ishizaka, A.; Gamberini, R. New AHP-based approaches for multi-criteria inventory classification. Int. J. Prod. Econ. 2014, 156, 62–74. [Google Scholar] [CrossRef]
- Xue, D.J. Inventory classification and management strategy of components and parts in assembly workshops. Appl. Mech. Mater. 2014, 687–691, 5028–5031. [Google Scholar] [CrossRef]
- Šarić, T.; Pezer, D.; Šimunović, G.; Šimunović, K. Inventory Classification Using Multi-Criteria abc Analysis, Neural Networks and Cluster Analysis the Use of Advanced Manufacturing Technology to Reduce Product Cost View Project Inventory Classification Using Multi-Criteria Abc Analysis, Neural Networks and Cluster Analysis. 2016. Available online: https://www.researchgate.net/publication/267747456 (accessed on 20 October 2024).
- Kartal, H.; Oztekin, A.; Gunasekaran, A.; Cebi, F. An integrated decision analytic framework of machine learning with multi-criteria decision making for multi-attribute inventory classification. Comput. Ind. Eng. 2016, 101, 599–613. [Google Scholar] [CrossRef]
- López-Soto, D.; Angel-Bello, F.; Yacout, S.; Alvarez, A. A multi-start algorithm to design a multi-class classifier for a multi-criteria ABC inventory classification problem. Expert Syst. Appl. 2017, 81, 12–21. [Google Scholar] [CrossRef]
- Lolli, F.; Ishizaka, A.; Gamberini, R.; Balugani, E.; Rimini, B. Decision Trees for Supervised Multi-criteria Inventory Classification. Procedia Manuf. 2017, 11, 1871–1881. [Google Scholar] [CrossRef]
- İsen, E.; Boran, S. A Novel Approach Based on Combining ANFIS, Genetic Algorithm and Fuzzy c-Means Methods for Multiple Criteria Inventory Classification. Arab. J. Sci. Eng. 2018, 43, 3229–3239. [Google Scholar] [CrossRef]
- Zhang, Q.; Zhao, Q.; Li, Y. Integrating Replenishment Policy with GSAA-FCM Based Multi-Criteria Inventory Classification. Int. J. Comput. Intell. Syst. 2018, 11, 248–255. [Google Scholar] [CrossRef]
- Agarwal, R.; Mandeep, M. Inventory Classification Using Multi-Level Association Rule Mining. Int. J. Decis. Support Syst. Technol. 2019, 11, 1–12. [Google Scholar] [CrossRef]
- Zhang, Z.; Wang, Y.; Li, Y. Inventory control model based on multi-attribute material classification: An integrated grey-rough set and probabilistic neural network approach. Adv. Prod. Eng. Manag. 2019, 14, 93–111. [Google Scholar] [CrossRef]
- Lolli, F.; Balugani, E.; Ishizaka, A.; Gamberini, R.; Rimini, B.; Regattieri, A. Machine learning for multi-criteria inventory classification applied to intermittent demand. Prod. Plan. Control 2019, 30, 76–89. [Google Scholar] [CrossRef]
- Mohamadghasemi, A.; Hadi-Vencheh, A.; Hosseinzadeh Lotfi, F.; Khalilzadeh, M. Group multiple criteria ABC inventory classification using the TOPSIS approach extended by Gaussian interval type-2 fuzzy sets and optimization programs. Sci. Iran. 2019, 26, 2988–3006. [Google Scholar] [CrossRef]
- Cui, L.; Tao, Y.; Deng, J.; Liu, X.; Xu, D.; Tang, G. BBO-BPNN and AMPSO-BPNN for multiple-criteria inventory classification. Expert Syst. Appl. 2021, 175, 114842. [Google Scholar] [CrossRef]
- Yiğit, F.; Esnaf, Ş. A new Fuzzy C Means and AHP based three phased approach for multiple criteria ABC inventory classification. J. Intell. Manuf. 2021, 32, 1517–1528. [Google Scholar] [CrossRef]
- Svoboda, J.; Minner, S. Tailoring inventory classification to industry applications: The benefits of understandable machine learning. Int. J. Prod. Res. 2022, 60, 388–401. [Google Scholar] [CrossRef]
- Kaabi, H. Comparative Analysis of MultiCriteria Inventory Classification Models for ABC Analysis. Int. J. Inf. Technol. Decis. Mak. 2022, 21, 1617–1646. [Google Scholar] [CrossRef]
- Park, H.S.; Jun, C.H. A simple and fast algorithm for K-medoids clustering. Expert Syst. Appl. 2009, 36 Pt 2, 3336–3341. [Google Scholar] [CrossRef]
- Celebi, M.E.; Kingravi, H.A.; Vela, P.A. A comparative study of efficient initialization methods for the k-means clustering algorithm. Expert Syst. Appl. 2013, 40, 200–210. [Google Scholar] [CrossRef]
- Rose, K. Deterministic Annealing for Clustering, Compression, Classification, Regression, and Related Optimization Problems. Proc. IEEE 1998, 86, 2210–2239. [Google Scholar] [CrossRef]
- Hatamlou, A. Black hole: A new heuristic optimization approach for data clustering. Inf. Sci. 2013, 222, 175–184. [Google Scholar] [CrossRef]
- Jain, A.; Murty, M.; Flynn, P. Data Clustering: A Review. ACM Comput. Surv. 1999, 31, 264–323. [Google Scholar] [CrossRef]
- Wang, K.; Qi, X.; Liu, H.; Song, J. Deep belief network based k-means cluster approach for short-term wind power forecasting. Energy 2018, 165, 840–852. [Google Scholar] [CrossRef]
- Bandyopadhyay, S.; Maulik, U. An evolutionary technique based on K-Means algorithm for optimal clustering in RN. Inf. Sci. 2002, 146, 221–237. [Google Scholar] [CrossRef]
- Li, K.; Ma, Z.; Robinson, D.; Ma, J. Identification of typical building daily electricity usage profiles using Gaussian mixture model-based clustering and hierarchical clustering. Appl. Energy 2018, 231, 331–342. [Google Scholar] [CrossRef]
- Han, X.; Zhu, Y.; Tin, K.M.; Li, G. The impact of isolation kernel on agglomerative hierarchical clustering algorithms. Pattern Recognit. 2023, 139, 109517. [Google Scholar] [CrossRef]
- Gagolewski, M.; Cena, A.; James, S.; Beliakov, G. Hierarchical clustering with OWA-based linkages, the Lance–Williams formula, and dendrogram inversions. Fuzzy Sets Syst. 2023, 473, 108740. [Google Scholar] [CrossRef]
- Bai, L.; Qi, M.; Liang, J. Spectral clustering with robust self-learning constraints. Artif. Intell. 2023, 320, 103924. [Google Scholar] [CrossRef]
- Khan, S.; Khan, O.; Azam, N.; Ullah, I. Improved spectral clustering using three-way decisions. Inf. Sci. 2023, 641, 119113. [Google Scholar] [CrossRef]
- Akman, G. Evaluating suppliers to include green supplier development programs via fuzzy c-means and VIKOR methods. Comput. Ind. Eng. 2015, 86, 69–82. [Google Scholar] [CrossRef]
- Izakian, H.; Abraham, A. Fuzzy C-means and fuzzy swarm for fuzzy clustering problem. Expert Syst. Appl. 2011, 38, 1835–1838. [Google Scholar] [CrossRef]
- Rumelhart, D.; Hinton, G.E.; Williams, R.J. Learning representations by back-propagating errors. Nature 1986, 323, 533–536. [Google Scholar] [CrossRef]
- Xu, X.; Ren, W. A hybrid model of stacked autoencoder and modified particle swarm optimization for multivariate chaotic time series forecasting. Appl. Soft Comput. 2022, 116, 108321. [Google Scholar] [CrossRef]
- Danti, P.; Innocenti, A. A methodology to determine the optimal train-set size for autoencoders applied to energy systems. Adv. Eng. Inform. 2023, 58, 102139. [Google Scholar] [CrossRef]
- Li, X.; Zhang, R.; Wang, Q.; Zhang, H. Autoencoder Constrained Clustering with Adaptive Neighbors. IEEE Trans. Neural Netw. Learn. Syst. 2021, 32, 443–449. [Google Scholar] [CrossRef]
- Wang, W.; Yang, D.; Chen, F.; Pang, Y.; Huang, S.; Ge, Y. Clustering with Orthogonal AutoEncoder. IEEE Access 2019, 7, 62421–62432. [Google Scholar] [CrossRef]
- Li, X.; Zhao, X.; Chu, D.; Zhou, Z. An autoencoder-based spectral clustering algorithm. Soft Comput. 2020, 24, 1661–1671. [Google Scholar] [CrossRef]
- Boubekki, A.; Kampffmeyer, M.; Brefeld, U.; Jenssen, R. Joint optimization of an autoencoder for clustering and embedding. Mach. Learn. 2021, 110, 1901–1937. [Google Scholar] [CrossRef]
- Tavakoli, N.; Siami-Namini, S.; Adl Khanghah, M.; Mirza Soltani, F.; Siami Namin, A. An autoencoder-based deep learning approach for clustering time series data. SN Appl. Sci. 2020, 2, 937. [Google Scholar] [CrossRef]
- Shi, C.; Wei, B.; Wei, S.; Wang, W.; Liu, H.; Liu, J. A quantitative discriminant method of elbow point for the optimal number of clusters in clustering algorithm. J. Wirel. Commun. Netw. 2021, 2021, 31. [Google Scholar] [CrossRef]
- Meng, J.; Abed, A.M.; Elsehrawy, M.G.; Al Agha, A.; Abdullah, N.; Elattar, S.; Abbas, M.; Garalleh, H.A.; Assilzadeh, H. Nano-integrating green and low-carbon concepts into ideological and political education in higher education institutions through K-means clustering. Heliyon 2024, 10, e31244. [Google Scholar] [CrossRef] [PubMed]
- Rousseuw, P.J. Silhouettes: A graphical aid to the interpretation and validation of cluster analysis. J. Comput. Appl. Math. 1987, 20, 53–65. [Google Scholar] [CrossRef]
- Tomašev, N.; Radovanovic, M. Clustering Evaluation in High-Dimensional Data. In Unsupervised Learning Algorithms; Springer: Cham, Switzerland, 2016; pp. 71–107. [Google Scholar] [CrossRef]
- Bagirov, A.M.; Aliguliyev, M.R.; Sultanova, N. Finding compact and well-separated clusters: Clustering using silhouette coefficients. Pattern Recognit. 2023, 135, 109144. [Google Scholar] [CrossRef]
- Guijarro, E.; Babiloni, E.; Cardós, M. On the estimation of the fill rate for the continuous (s, S) inventory system for the lost sales context. PLoS ONE 2022, 17, e0263655. [Google Scholar] [CrossRef]
- Groening, C.; Ngoh, C.; Luchs, R. The impact of a firm’s corporate social responsibility on firm–supplier relationships: The effect of secondary stakeholder CSR on inventory days. Corp. Soc. Responsib. Environ. Manag. 2022, 29, 1689–1705. [Google Scholar] [CrossRef]
Disclaimer/Publisher’s Note: The statements, opinions and data contained in all publications are solely those of the individual author(s) and contributor(s) and not of MDPI and/or the editor(s). MDPI and/or the editor(s) disclaim responsibility for any injury to people or property resulting from any ideas, methods, instructions or products referred to in the content. |
© 2024 by the authors. Licensee MDPI, Basel, Switzerland. This article is an open access article distributed under the terms and conditions of the Creative Commons Attribution (CC BY) license (https://creativecommons.org/licenses/by/4.0/).























