Quantitative Tracking of Seasonal River Pollution Sources and Integration of Sustainable Development Goals in Hilly Regions
Abstract
1. Introduction
2. Materials and Methods
2.1. Study Area
2.2. Sampling and Analysis
2.3. Positive Definite Factor Matrix Model
2.4. Bayesian Isotope Mixing Model
3. Results and Discussion
3.1. Water Chemistry Characterization Statistics
3.2. Spatial and Temporal Distribution Characteristics
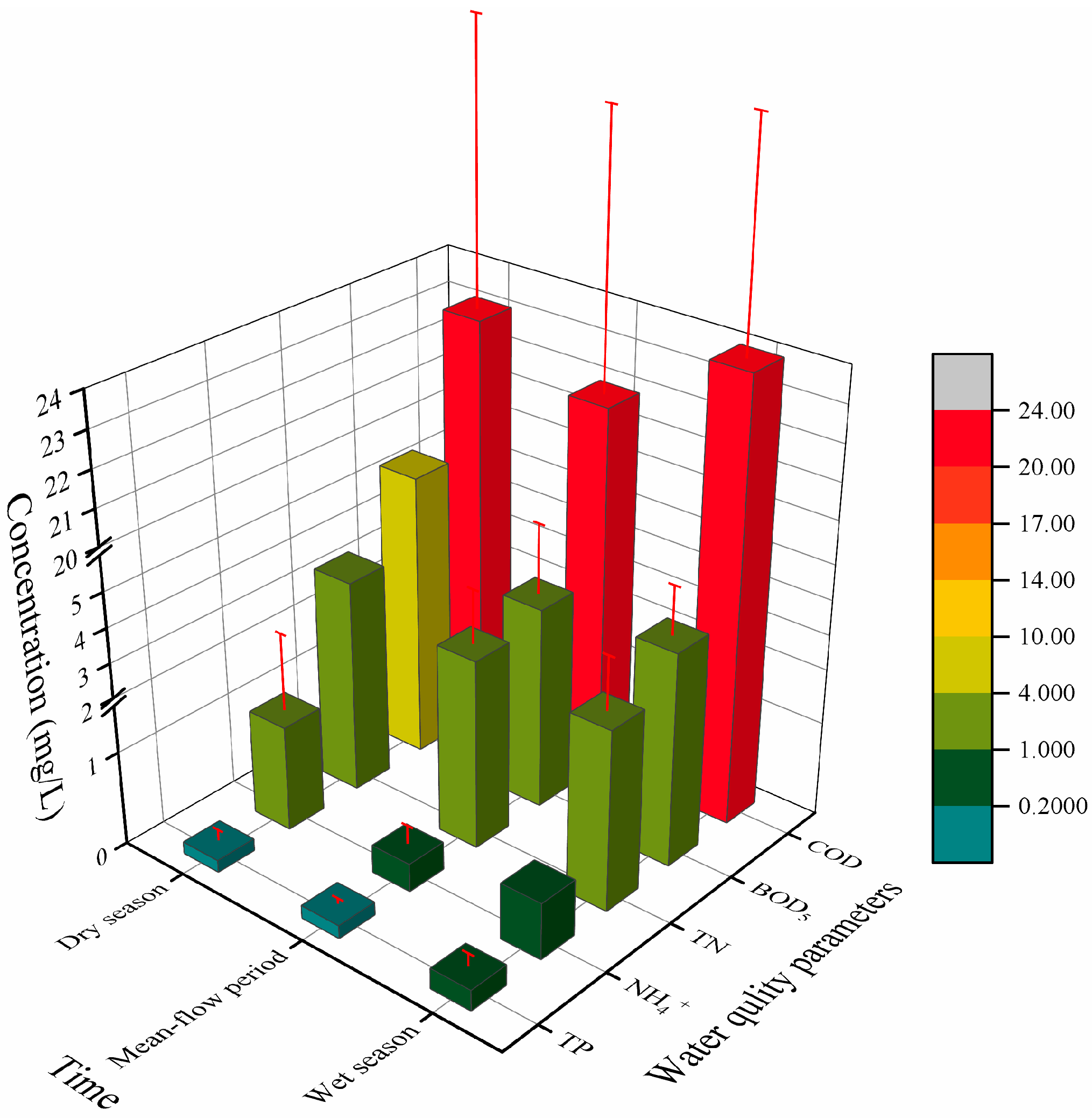
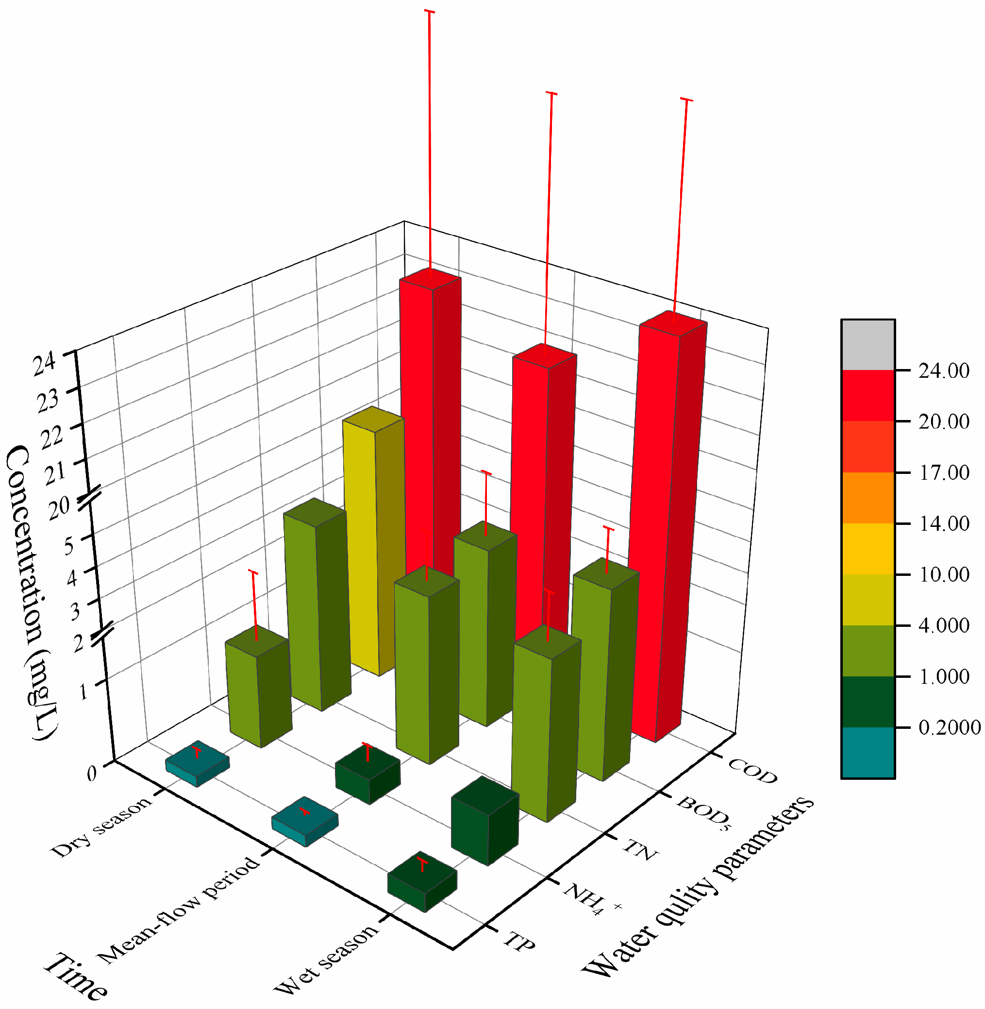
3.2.1. Temporal Distribution Characteristics
3.2.2. Spatial Distribution Characteristics
3.3. Quantitative Analysis of Pollution Sources
3.4. Nitrate Nitrogen Transport Transformation and Source Analysis
3.4.1. Characterization of Nitrate Nitrogen Sources in Surface Waters
3.4.2. Nitrate Nitrogen Transport and Transformation Trends in Surface Water
3.5. Contribution of Nitrate Nitrogen Sources
4. Conclusions
Supplementary Materials
Author Contributions
Funding
Data Availability Statement
Acknowledgments
Conflicts of Interest
References
- Sullivan, T.P.; Gao, Y.; Reimann, T. Nitrate transport in a karst aquifer: Numerical model development and source evaluation. J. Hydrol. 2019, 573, 432–448. [Google Scholar] [CrossRef]
- Zhao, Z.; Zhang, M.; Chen, Y.; Ti, C.; Tian, J.; He, X.; Yu, K.; Zhu, W.; Yan, X.; Wang, Y. Traceability of nitrate polluted hotspots in plain river networks of the Yangtze River delta by nitrogen and oxygen isotopes coupling bayesian model. Environ. Pollut. 2022, 315, 120438. [Google Scholar] [CrossRef] [PubMed]
- Lin, C.; Du, R.; Guo, F. Implication of self-organizing map, stable isotopes combined with MixSIAR model for accurate nitrogen control in a well-protected reservoir. Environ. Res. 2024, 248, 118335. [Google Scholar] [CrossRef] [PubMed]
- D’Adamo, I.; Di Carlo, C.; Gastaldi, M.; Rossi, E.N.; Uricchio, A.F. Economic Performance, Environmental Protection and Social Progress: A Cluster Analysis Comparison towards Sustainable Development. Sustainability 2024, 16, 5049. [Google Scholar] [CrossRef]
- Urban, P.; Hametner, M. The Economy-Environment Nexus: Sustainable Development Goals Interlinkages in Austria. Sustainability 2022, 14, 12281. [Google Scholar] [CrossRef]
- Zhang, K.; Wang, S.; Liu, S.; Liu, K.; Yan, J.; Li, X. Water Environment Quality Evaluation and Pollutant Source Analysis in Tuojiang River Basin, China. Sustainability 2022, 14, 9219. [Google Scholar] [CrossRef]
- Papadopoulou, C.A.; Papadopoulou, M.P.; Laspidou, C. Implementing Water-Energy-Land-Food-Climate Nexus Approach to Achieve the Sustainable Development Goals in Greece: Indicators and Policy Recommendations. Sustainability 2022, 14, 4100. [Google Scholar] [CrossRef]
- Liu, D.; Bai, L.; Li, X.; Zhang, Y.; Qiao, Q.; Lu, Z.; Liu, J. Spatial characteristics and driving forces of anthropogenic phosphorus emissions in the Yangtze River Economic Belt, China. Resour. Conserv. Recycl. 2022, 176, 105937. [Google Scholar] [CrossRef]
- Zhang, H.; Xu, Y.; Cheng, S.; Li, Q.; Yu, H. Application of the dual-isotope approach and Bayesian isotope mixing model to identify nitrate in groundwater of a multiple land-use area in Chengdu Plain, China. Sci. Total Environ. 2020, 717, 137134. [Google Scholar] [CrossRef]
- Kohl, D.H.; Shearer, G.B.; Commoner, B. Commoner, Fertilizer nitrogen: Contribution to nitrate in surface water in a corn belt watershed. Science 1971, 174, 1331–1334. [Google Scholar] [CrossRef]
- Hu, M.; Liu, Y.; Zhang, Y.; Dahlgren, R.A.; Chen, D. Coupling stable isotopes and water chemistry to assess the role of hydrological and biogeochemical processes on riverine nitrogen sources. Water Res. 2019, 150, 418–430. [Google Scholar] [CrossRef] [PubMed]
- Chen, Y.; Chen, M.; Chen, J.; Fan, L.; Zheng, M.; Qiu, Y. Dual isotopes of nitrite in the Amundsen Sea in summer. Sci. Total Environ. 2022, 843, 157055. [Google Scholar] [CrossRef] [PubMed]
- Long, R.; Tian, F.; Chen, J.H.; Zhou, Y.B.; Li, X.F.; Li, Y.T.; Tang, H.W.; Chen, H.G. Source apportionment of nitrate in the Pearl River Estuary using δ15N and δ18O values and isotope mixing model. Mar. Pollut. Bull. 2023, 191, 114962. [Google Scholar] [CrossRef] [PubMed]
- Gibrilla, A.; Fianko, J.R.; Ganyaglo, S.; Adomako, D.; Anornu, G.; Zakaria, N. Nitrate contamination and source apportionment in surface and groundwater in Ghana using dual isotopes (15N and 18O-NO3) and a Bayesian isotope mixing model. J. Contam. Hydrol. 2020, 233, 103658. [Google Scholar] [CrossRef] [PubMed]
- Panno, S.V.; Hackley, K.C.; Kelly, W.R.; Hwang, H.H. Isotopic evidence of nitrate sources and denitrification in the Mississippi River, Illinois. J. Environ. Qual. 2006, 35, 495–504. [Google Scholar] [CrossRef]
- Chen, W.; Zhang, X.; Wu, N.; Yuan, C.; Liu, Y.; Yang, Y.; Chen, Z.; Dahlgren, R.A.; Zhang, M.; Ji, X. Sources and transformations of riverine nitrogen across a coastal-plain river network of eastern China: New insights from multiple stable isotopes. Sci. Total Environ. 2024, 924, 171671. [Google Scholar] [CrossRef]
- Wang, M.; Bodirsky, B.L.; Rijneveld, R.; Beier, F.; Bak, M.P.; Batool, M.; Droppers, B.; Popp, A.; van Vliet, M.T.; Strokal, M. A triple increase in global river basins with water scarcity due to future pollution. Nat. Commun. 2024, 15, 880. [Google Scholar] [CrossRef]
- Zhang, L.; Liu, H.; Peng, Y.; Zhang, Y.; Sun, Q. Characteristics and significance of dissolved organic matter in river sediments of extremely water-deficient basins: A Beiyun River case study. J. Clean. Prod. 2020, 277, 123063. [Google Scholar] [CrossRef]
- Jiao, S.; Gao, Q.; Wei, Y.C.; Shen, N.P.; Su, L. A Study of the Protection-Oriented Development Strategy of Green Heart in Hilly Areas: The Case of Green Heart Demonstration Zone of Changsha-Zhuzhou-Xiangtan Agglomeration. Adv. Mater. Res. 2012, 1566, 1280–1285. [Google Scholar] [CrossRef]
- Jiao, H.; Zhou, Q.; Li, H.; Guo, H.; Ma, P. Suitability Evaluation and Research for Reconstruction Planning of Rural Settlements in Southwest Typical Low Hilly Land Area. Res. Soil Water Conserv. 2015, 22, 204–209. [Google Scholar]
- GB 3838-2002; Environmental Quality Standards for Surface Water. China Environmental Publishing House: Beijing, China, 2017.
- HJ 493-2009; Technical Provisions on Water Quality Sampling, Sample Preservation and Management. China Environmental Publishing House: Beijing, China, 2009.
- HJ 897-2017; Water Quality-Determination of Chlorophyll a-Spectrophotometric Method. China Environmental Publishing House: Beijing, China, 2017.
- HJ 828-2017; Water Quality-Determination of the Chemical Oxygen Demand-Dichromate Method. China Environmental Publishing House: Beijing, China, 2017.
- HJ 505-2009; Water Quality-Determination of Biochemical oxygen demand after 5 days(BOD5) for Dilution and Seeding Method. China Environmental Publishing House: Beijing, China, 2009.
- HJ 636-2012; Water Quality-Determination of Total Nitrogen-Alkalinepotassium Persulfate Digestion UV Speetrophotometrie method. China Environmental Publishing House: Beijing, China, 2012.
- HJ 535-2009; Water Quality Determination of Ammonia Nitrogen-Nessler’s Reagent Spectrophotometry. China Environmental Publishing House: Beijing, China, 2009.
- GB 11893-89; Water Quality-Determination of Total Phosphorus-Ammonium Molybdate Spectrophotometric Method. China Environmental Publishing House: Beijing, China, 1989.
- HJ 84-2016; Water Quality-Determination of Inorganic Anions (F−, Cl−, NO2−, Br−, NO3−, PO43−, SO32−, SO42−)-lon Chromatography. China Environmental Publishing House: Beijing, China, 2016.
- HJ 700-2014; Water Quality-Determination of 65 Elements-Inductively Coupled Plasma-Mass Speetrometry. China Environmental Publishing House: Beijing, China, 2014.
- Rock, L.; Ellen, B.H. Nitrogen-15 and oxygen-18 natural abundance of potassium chloride extractable soil nitrate using the denitrifier method. Soil Sci. Soc. Am. J. 2007, 71, 355–361. [Google Scholar] [CrossRef]
- Proshad, R.; Dey, H.C.; Khan, M.S.U.; Baroi, A.; Kumar, S.; Idris, A.M. Source-oriented risks apportionment of toxic metals in river sediments of Bangladesh: A national wide application of PMF model and pollution indices. Environ. Geochem. Health 2023, 45, 6769–6792. [Google Scholar] [CrossRef] [PubMed]
- Huston, R.; Chan, Y.C.; Chapman, H.; Gardner, T.; Shaw, G. Source apportionment of heavy metals and ionic contaminants in rainwater tanks in a subtropical urban area in Australia. Water Res. 2012, 46, 1121–1132. [Google Scholar] [CrossRef] [PubMed]
- Qi, Y.; Liu, X.; Wang, Z.; Yao, Z.; Yao, W.; Shangguan, K.; Li, M.; Ming, H.; Ma, X. Comparison of receptor models for source identification of organophosphate esters in major inflow rivers to the Bohai Sea, China. Environ. Pollut. 2020, 265, 114970. [Google Scholar] [CrossRef]
- Liu, D.; Li, X.; Zhang, Y.; Qiao, Q.; Bai, L. Using a Multi-isotope Approach and Isotope Mixing Models to Trace and Quantify Phosphorus Sources in the Tuojiang River, Southwest China. Environ. Sci. Technol. 2023, 57, 7328–7335. [Google Scholar] [CrossRef]
- Yuan, B.; Guo, M.; Zhou, X.; Li, M.; Xie, S. Defining the sources and the fate of nitrate by using dual isotopes and a Bayesian isotope mixing model: Water-nitrate management in cascade dams of Lancang river. Sci. Total Environ. 2023, 886, 163995. [Google Scholar] [CrossRef]
- Ji, X.; Shu, L.; Chen, W.; Chen, Z.; Shang, X.; Yang, Y.; Dahlgren, R.A.; Zhang, M. Nitrate pollution source apportionment, uncertainty and sensitivity analysis across a rural-urban river network based on δ15N/δ18O-NO3− isotopes and SIAR modeling. J. Hazard. Mater. 2022, 438, 129480. [Google Scholar] [CrossRef]
- Xiong, H.; IOP. The effect of agricultural non-point Source Pollution of nitrogen and phosphorous on Lake Eutrophication. In Proceedings of the International Symposium on Resource Exploration and Environmental Science (REES), Ordos, China, 1 May 2017. [Google Scholar]
- Pemulasari, L.; Kurniawan, B.; Maryani, Y. The study on the linkage between pollution load and water quality index of the Cidurian river—A case study of Serang District segments. In Proceedings of the 2nd International Conference on Environment, Sustainability Issues and Community Development (INCRID), Electr Network, China, 1 January 2020. [Google Scholar]
- Watanabe, R.; Harada, H.; Yasui, H.; Le, T.V.; Fujii, S. Exfiltration and infiltration effect on sewage flow and quality: A case study of Hue, Vietnam. Environ. Technol. 2021, 42, 1747–1757. [Google Scholar] [CrossRef]
- Zhang, Y.; Ji, D.B.; Liu, D.F.; Xie, T.; Huang, Y.L.; Xiong, C.J.; Hu, N.S. The influence factors of perennial outbreak algal bloom in Xiangxi Bay upstream. In Proceedings of the International Conference on Sustainable Energy and Environmental Engineering (ICSEEE 2012), Guangzhou, China, 29–30 December 2012. [Google Scholar]
- Sun, L.; Wu, L.; Liu, X.; Huang, W.; Zhu, D.; Wang, Z.; Guan, R.; Liu, X. Reducing the Risk of Benthic Algae Outbreaks by Regulating the Flow Velocity in a Simulated South-North Water Diversion Open Channel. Int. J. Environ. Res. Public Health 2023, 20, 3564. [Google Scholar] [CrossRef]
- Zhang, H.; Li, H.; Gao, D.; Yu, H. Source identification of surface water pollution using multivariate statistics combined with physicochemical and socioeconomic parameters. Sci. Total Environ. 2022, 806, 151274. [Google Scholar] [CrossRef]
- Feng, J.S.; Song, N.N.; Li, Y.X. An in-depth investigation of the influence of sample size on PCA-MLR, PMF, and FA-NNC source apportionment results. Environ. Geochem. Health 2023, 45, 5841–5855. [Google Scholar] [CrossRef]
- Huang, W.; Wang, Y.T.; Liang, L. Analysis of rural domestic sewage treatment in Guizhou. IOP Conf. Ser. Earth Environ. Sci. 2019, 237, 022021. [Google Scholar] [CrossRef]
- Ren, X.; Yang, C.; Zhao, B.; Xiao, J.; Gao, D.; Zhang, H. Water quality assessment and pollution source apportionment using multivariate statistical and PMF receptor modeling techniques in a sub-watershed of the upper Yangtze River, Southwest China. Environ. Geochem. Health 2023, 45, 6869–6887. [Google Scholar] [CrossRef] [PubMed]
- Am, A.; Silvester, R.; Alexander, D.; Abdulla, M.H. Characterization of blooming algae and bloom-associated changes in the water quality parameters of traditional pokkali cum prawn fields along the South West coast of India. Environ. Monit. Assess. 2016, 188, 145. [Google Scholar] [CrossRef] [PubMed]
- Barringer, J.L.; Bonin, J.L.; Deluca, M.J.; Romagna, T.; Cenno, K.; Alebus, M.; Kratzer, T.; Hirst, B. Sources and temporal dynamics of arsenic in a New Jersey watershed, USA (vol 379, pg 56, 2007). Sci. Total Environ. 2009, 408, 169. [Google Scholar] [CrossRef]
- Chen, J.; Gaillardet, J.; Louvat, P.; Huon, S. Zn isotopes in the suspended load of the Seine River, France: Isotopic variations and source determination. Geochim. Cosmochim. Acta 2009, 73, 4060–4076. [Google Scholar] [CrossRef]
- Thapalia, A.; Borrok, D.M.; Van Metre, P.C.; Musgrove, M.; Landa, E.R. Zn and Cu Isotopes as Tracers of Anthropogenic Contamination in a Sediment Core from an Urban Lake. Environ. Sci. Technol. 2010, 44, 1544–1550. [Google Scholar] [CrossRef]
- Zhao, Y.; Dang, J.; Wang, F. Sources of Nitrogen Pollution in Upstream of Fenhe River Reservoir Based on the Nitrogen and Oxygen Stable Isotope. J. Chem. 2020, 2020, 6574210. [Google Scholar] [CrossRef]
- Liu, X.L.; Han, G.; Zeng, J.; Liu, M.; Li, X.Q.; Boeckx, P. Identifying the sources of nitrate contamination using a combined dual isotope, chemical and Bayesian model approach in a tropical agricultural river: Case study in the Mun River, Thailand. Sci. Total Environ. 2021, 760, 143938. [Google Scholar] [CrossRef]
- Xue, D.; Botte, J.; De Baets, B.; Accoe, F.; Nestler, A.; Taylor, P.; Van Cleemput, O.; Berglund, M.; Boeckx, P. Present limitations and future prospects of stable isotope methods for nitrate source identification in surface- and groundwater. Water Res. 2009, 43, 1159–1170. [Google Scholar] [CrossRef]
- Wu, Y.; Luo, Z.; Luo, W.; Ma, T.; Wang, Y. Multiple isotope geochemistry and hydrochemical monitoring of karst water in a rapidly urbanized region. J. Contam. Hydrol. 2018, 218, 44–58. [Google Scholar] [CrossRef] [PubMed]
- Ji, X.; Xie, R.; Hao, Y.; Lu, J. Quantitative identification of nitrate pollution sources and uncertainty analysis based on dual isotope approach in an agricultural watershed. Environ. Pollut. 2017, 229, 586–594. [Google Scholar] [CrossRef] [PubMed]
- Matiatos, I. Nitrate source identification in groundwater of multiple land-use areas by combining isotopes and multivariate statistical analysis: A case study of Asopos basin (Central Greece). Sci. Total Environ. 2016, 541, 802–814. [Google Scholar] [CrossRef] [PubMed]
- Wu, H.; Dong, Y.; Gao, L.; Song, X.; Liu, F.; Peng, X.; Zhang, G.L. Identifying nitrate sources in surface water, regolith and groundwater in a subtropical red soil Critical Zone by using dual nitrate isotopes. Catena 2021, 198, 104994. [Google Scholar] [CrossRef]
- Knöller, K.; Vogt, C.; Haupt, M.; Feisthauer, S.; Richnow, H.H. Experimental investigation of nitrogen and oxygen isotope fractionation in nitrate and nitrite during denitrification. Biogeochemistry 2011, 103, 371–384. [Google Scholar] [CrossRef]
- He, Y.; Li, L. Density functional theory calculations of nitrogen and oxygen equilibrium isotope fractionations in NO3—NO2—H2O aqueous system reveal inverse kinetic isotope effects during nitrite oxidation. Appl. Geochem. 2022, 139, 105265. [Google Scholar] [CrossRef]
- Buyanjargal, A.; Kang, J.; Lee, J.H.; Jeen, S.W. Nitrate removal rates, isotopic fractionation, and denitrifying bacteria in a woodchip-based permeable reactive barrier system: A long-term column experiment. Environ. Sci. Pollut. Res. 2023, 30, 36364–36376. [Google Scholar] [CrossRef]
- Li, J.; Zhu, D.; Zhang, S.; Yang, G.; Zhao, Y.; Zhou, C.; Lin, Y.; Zou, S. Application of the hydrochemistry, stable isotopes and MixSIAR model to identify nitrate sources and transformations in surface water and groundwater of an intensive agricultural karst wetland in Guilin, China. Ecotoxicol. Environ. Saf. 2022, 231, 113205. [Google Scholar] [CrossRef]
- Chen, Y.; Chen, J.; Wang, Y.; Jiang, Y.; Zheng, M.; Qiu, Y.; Chen, M. Sources and transformations of nitrite in the Amundsen Sea in summer 2019 and 2020 as revealed by nitrogen and oxygen isotopes. Acta Oceanol. Sin. 2023, 42, 16–24. [Google Scholar] [CrossRef]
- Chen, R.; Hu, Q.; Shen, W.; Guo, J.; Yang, L.; Yuan, Q.; Lu, X.; Wang, L. Identification of nitrate sources of groundwater and rivers in complex urban environments based on isotopic and hydro-chemical evidence. Sci. Total Environ. 2023, 871, 162026. [Google Scholar] [CrossRef]
- Xing, M.; Liu, W. Using dual isotopes to identify sources and transformations of nitrogen in water catchments with different land uses, Loess Plateau of China. Environ. Sci. Pollut. Res. 2016, 23, 388–401. [Google Scholar] [CrossRef] [PubMed]
- Li, X.; Xu, Y.J.; Ni, M.; Wang, C.; Li, S. Riverine nitrate source and transformation as affected by land use and land cover. Environ. Res. 2023, 222, 115380. [Google Scholar] [CrossRef] [PubMed]
- Grabb, K.C.; Ding, S.; Ning, X.; Liu, S.M.; Qian, B. Characterizing the impact of Three Gorges Dam on the Changjiang (Yangtze River): A story of nitrogen biogeochemical cycling through the lens of nitrogen stable isotopes. Environ. Res. 2021, 195, 110759. [Google Scholar] [CrossRef] [PubMed]
- Zhang, P.; Chen, L.; Yan, T.; Liu, J.; Shen, Z. Sources of nitrate-nitrogen in urban runoff over and during rainfall events with different grades. Sci. Total Environ. 2022, 808, 152069. [Google Scholar] [CrossRef]
- Begum, M.S.; Lee, M.H.; Park, T.J.; Lee, S.Y.; Shin, K.H.; Shin, H.S.; Chen, M.; Hur, J. Source tracking of dissolved organic nitrogen at the molecular level during storm events in an agricultural watershed. Sci. Total Environ. 2022, 810, 152183. [Google Scholar] [CrossRef]









| Monitoring Indicators | Method | Class III |
|---|---|---|
| pH | Portable Water Quality Analyzer (pH, ORP, EC, DO) | 6–9 |
| EC | \ | |
| ORP | \ | |
| DO | ≥5 mg/L | |
| Chl a | Spectrophotometry (HJ 897-2017) [23] | \ |
| COD | Potassium iodide alkaline potassium permanganate method (HJ 828-2017) [24] | ≤20 mg/L |
| BOD5 | Dilution and inoculation method (HJ 505-2009) [25] | ≤4 mg/L |
| TN | Alkaline potassium persulfate digestion by ultraviolet spectrophotometry (HJ 636-2012) [26] | \ |
| NH4+ | Nano-reagent spectrophotometry (HJ 535-2009) [27] | ≤1 mg/L |
| TP | Molybdate spectrophotometry (GB/T 11893-1989) [28] | ≤0.2 mg/L |
| F− | Ion chromatography (HJ 84-2016) [29] | \ |
| Zn | ICP-MS (HJ 700-2014) [30] | ≤1 mg/L |
| As | ≤0.05 mg/L | |
| δ15N-NO3− | Denitrifying bacteria [31] | \ |
| δ18O-NO3− | \ |
| Parameters | Max | Min | Ave | Unit |
|---|---|---|---|---|
| pH | 9.20 | 6.10 | 8.06 | Dimensionless |
| BOD5 | 13.50 | 1.00 | 4.62 | mg/L |
| COD | 45.00 | 8.00 | 23.11 | mg/L |
| chl a | 0.23 | 0.00 | 0.04 | mg/L |
| TN | 15.20 | 0.47 | 3.36 | mg/L |
| TP | 0.92 | 0.01 | 0.15 | mg/L |
| F− | 0.90 | 0.21 | 0.38 | mg/L |
| NH4+ | 8.95 | 0.06 | 0.66 | mg/L |
| DO | 16.70 | 2.80 | 7.39 | mg/L |
| EC | 1.00 | 0.24 | 0.69 | ms/cm |
| As | 0.0062 | 0.0003 | 0.0032 | mg/L |
| Zn | 0.2260 | 0.0011 | 0.0163 | mg/L |
| δ15N-NO3− | 23.43 | 8.02 | 14.39 | ‰ |
| δ18O-NO3− | 12.68 | 4.00 | 7.90 | ‰ |
| Sum of Squares | Degrees of Freedom | Mean Square | F | p | ||
|---|---|---|---|---|---|---|
| BOD5 | Among groups | 490.63 | 11.00 | 44.60 | 24.21 | 0.00 |
| Intra-class | 198.97 | 108.00 | 1.84 | |||
| Total | 689.59 | 119.00 | ||||
| COD | Among groups | 2710.49 | 11.00 | 246.41 | 9.05 | 0.00 |
| Intra-class | 2941.10 | 108.00 | 27.23 | |||
| Total | 5651.59 | 119.00 | ||||
| TN | Among groups | 96.87 | 11.00 | 8.81 | 2.00 | 0.04 |
| Intra-class | 476.40 | 108.00 | 4.41 | |||
| Total | 573.27 | 119.00 | ||||
| TP | Among groups | 0.47 | 11.00 | 0.04 | 3.74 | 0.00 |
| Intra-class | 1.22 | 108.00 | 0.01 | |||
| Total | 1.68 | 119.00 | ||||
| NH4+ | Among groups | 43.18 | 11.00 | 3.93 | 2.43 | 0.01 |
| Intra-class | 174.18 | 108.00 | 1.61 | |||
| Total | 217.36 | 119.00 |
Disclaimer/Publisher’s Note: The statements, opinions and data contained in all publications are solely those of the individual author(s) and contributor(s) and not of MDPI and/or the editor(s). MDPI and/or the editor(s) disclaim responsibility for any injury to people or property resulting from any ideas, methods, instructions or products referred to in the content. |
© 2024 by the authors. Licensee MDPI, Basel, Switzerland. This article is an open access article distributed under the terms and conditions of the Creative Commons Attribution (CC BY) license (https://creativecommons.org/licenses/by/4.0/).
Share and Cite
Zhang, W.; Gao, D.; Wang, C.; Shi, H.; Tian, X.; Ren, X.; Liu, S.; Guo, M.; He, P. Quantitative Tracking of Seasonal River Pollution Sources and Integration of Sustainable Development Goals in Hilly Regions. Sustainability 2024, 16, 9235. https://doi.org/10.3390/su16219235
Zhang W, Gao D, Wang C, Shi H, Tian X, Ren X, Liu S, Guo M, He P. Quantitative Tracking of Seasonal River Pollution Sources and Integration of Sustainable Development Goals in Hilly Regions. Sustainability. 2024; 16(21):9235. https://doi.org/10.3390/su16219235
Chicago/Turabian StyleZhang, Wanping, Dongdong Gao, Chun Wang, Hongle Shi, Xiaogang Tian, Xingnian Ren, Siyao Liu, Mingkun Guo, and Peng He. 2024. "Quantitative Tracking of Seasonal River Pollution Sources and Integration of Sustainable Development Goals in Hilly Regions" Sustainability 16, no. 21: 9235. https://doi.org/10.3390/su16219235
APA StyleZhang, W., Gao, D., Wang, C., Shi, H., Tian, X., Ren, X., Liu, S., Guo, M., & He, P. (2024). Quantitative Tracking of Seasonal River Pollution Sources and Integration of Sustainable Development Goals in Hilly Regions. Sustainability, 16(21), 9235. https://doi.org/10.3390/su16219235

