Abstract
The construction of high-standard basic farmland is the cornerstone of high-quality agricultural development. In theory, the construction of high-standard farmland will affect changes in land management patterns but there is a limited amount of literature on the relationship between high-standard basic farmland construction and land transfer. Based on the panel data of 31 provinces in China, this study uses the continuous double difference method to analyze the impact of high-standard farmland construction policies on land transfer. The results show the following: the high-standard farmland construction policy implemented by the Chinese government can promote land transfer, which will significantly increase the proportion of land transfer area by 0.196 units. After robustness testing, it was found that this result is still reliable. Heterogeneity analysis shows that the construction of high-standard farmland has a stronger promoting effect on land transfer in major grain-producing areas, eastern and central regions, mountainous, and more economically structured planting areas. The mechanism test shows that the construction of high-standard farmland promotes land circulation through three paths: improving agricultural production conditions, improving factor utilization efficiency, and resisting disasters and increasing income. This study provides a valuable reference for improving the construction of high-standard farmland and promoting land circulation.
1. Introduction
Chinese agricultural management presents the characteristics of decentralization and fragmentation, which makes it difficult to form economies of scale. With advances in agricultural production technology and a transitioning agricultural labor force, the contradiction between traditional farming and agricultural modernization has become increasingly prominent (Deininger et al., 2021) [1]. The data from China’s third agricultural census show that 90% of agricultural workers in China are engaged in small-scale farming, and their cultivated land area accounts for 70% of all cultivated land. Therefore, revitalizing and improving the economic value of rural land resources, introducing small-scale farming into the modern agricultural system, and promoting land transfer are important pathways through which China can develop moderate-scale farming operations and realize agricultural modernization (Pilossof et al., 2016) [2]. Moderate-scale operations in agriculture refer to the moderate concentration of production factors such as land resources, labor, and capital through land transfer, cooperative operation, and other means, forming agricultural production units with a certain scale. Related research also shows that land transfer optimizes the allocation of agricultural land resources and improves agricultural production efficiency. In the “Opinions on Improving the Measures for the Separation of Contracting Rights and Management Rights of Rural Land Ownership” issued in 2016, the Chinese government pointed out that it is necessary to stabilize small farms, develop the land transfer market, and accelerate the cultivation of medium-sized farms in accordance with the principle of “implementing collective ownership, stabilizing farmers’ contracting rights, and liberalizing land management rights”.
The construction of high-standard farmland is central to China’s strategy of “storing grain in the land”. With the implementation of policies, the allocation, quality, and sustainability of land resources improve (Hall et al., 2017; Takafumi, 2021) [3,4]. The construction of high-standard farmland enhances farmers’ ability to resist natural disasters and stabilizes agricultural output. On the contrary, leveling land and improving soil conditions can increase yields and incomes, thus affecting farmers’ land transfer decisions (Semedi et al., 2014; Markowski-Lindsay et al., 2017) [5,6]. It is necessary to analyze whether the construction of high-standard farmland has an impact on agricultural modernization as well as the underlying mechanisms in this relationship.
Land circulation has been an area of focus in the existing literature. At present, scholars mainly discuss its influencing factors from the perspectives of system and property rights, nonagricultural employment, social security, and agricultural policies (Mykel et al., 2005; Chauveau et al., 2010; Constantin et al., 2017) [7,8,9]. According to economists, stable property rights are the basis of market transactions (Coase, 1992; Ye et al., 2015) [10,11] and, thus, optimizing the property rights system and promoting the orderly flow of land (Peng et al., 2022; Xu et al., 2022) [12,13]. After the adjustment of China’s land system, China has implemented an agricultural land system that relies on household contract responsibilities and emphasized “great stability and small adjustments.” However, regional differences in natural, social, and economic conditions have led to regular land adjustments in many villages. Therefore, farmers’ property rights remain unstable (Yan, 2021) [14], thus hindering land transfer. Karita [15] (2021) pointed out that high transaction costs have become an important factor in realizing effective resource allocation (Zuka, 2019) [16]. In terms of nonagricultural employment and social security (Xu et al., 2021; Su et al., 2018) [17,18], Cao et al. [19] (2021) found that labor mobility can improve land transfer. Ma et al. [20] (2019) and Wang et al. [21] (2018) pointed out that nonagricultural employment reduces the social security function of agricultural land, thus incentivizing farmers to transfer their land out. On the other hand, social security will promote the land transfer behavior of elderly farmers (Sun et al., 2023) [22]. Some scholars have analyzed the impact of agricultural subsidy policies on farmers’ land transfer and found that it has no significant impact on land transfer but it has increased the average size and price of those initiated by large-scale farmers (Kong et al., 2018) [23]. Wang et al. [24] (2020) pointed out that granting and increasing agricultural subsidies promotes land transfer.
More scholars have begun to pay attention to the issue of high-standard farmland in recent years. From a macro-perspective, the implementation of policies has driven investment in related industries, increased nonagricultural jobs, and improved farmers’ income and consumption, thus supporting the rural economy (Song et al., 2019) [25]. Some studies have found that the implementation of policies has a significantly positive effect on total grain output (Geng et al., 2021) [26], farmland infrastructure, and the recycling of agricultural film (Yue et al., 2017) [27], thus improving the level of agricultural mechanization and specialization as well as increasing the number of new farmers (Ye et al., 2023; Chen et al., 1992) [28,29]. Moreover, some scholars have found that the implementation of policies is able to reduce the incidence of rural poverty and that the impact is stable and sustainable (Malcolm et al., 2014) [30]. However, other scholars have noted its problems and found that the construction of high-standard farmland will damage the local ecosystem and change the geomorphic environment, which in turn causes soil erosion in the rainy season; this is not conducive to soil water and fertilizer retention and leads to environmental damage (Abiodun et al., 2018) [31].
Taken together, it can be seen that few studies have analyzed land transfer from the perspective of high-standard farmland construction, and only Yan et al. [32] (2022) have conducted one from the micro-perspective of individual farmers. Previous studies have proven that agricultural operating conditions are an important influencing factor in the land transfer market (Liu et al., 2019) [33]. As a key measure of agricultural conditions, high-standard farmland construction has improved the quality of cultivated land, reduced business risks, concentrated farmland areas, and encouraged land transfer. Therefore, it is necessary to further explore how high-standard farmland construction affects land transfer (Robles et al., 2012) [34].
To achieve this, this study integrates the two factors into a unified framework and uses a difference-in-differences model based on panel data from 2005 to 2017 as well as high-standard farmland construction data from 2018 to 2020 to analyze the impact of policy implementation on land transfer and its mechanisms. Furthermore, it tests the heterogeneity of this impact in terms of regions, levels of economic development, geography, and farming methods. The results provide valuable reference material to support the optimization of related policies.
2. Material and Methods
2.1. Data and Sampling
This paper uses the panel data of 31 provinces (autonomous regions and municipalities) from 2005 to 2017 (except Hong Kong, Macao, and Taiwan) for analysis. Among them, the data of the high-standard farmland construction area and investment in comprehensive agricultural development were retrieved from the China Financial Statistics Yearbook; the data of the rural labor force’s education years, rural labor force quantity, plastic film usage, rural per capita power generation, cultivated land area, irrigation area proportion, industrialization rate, and land transfer area were retrieved from the China Rural Statistical Yearbook and China Statistical Yearbook; the data of average annual rainfall and annual sunshine duration were obtained from the China Meteorological Science Data Network. The number of Internet access ports were obtained from the China EPS database. Table 1 shows descriptive statistics of the variables.
Table 1.
Variable selection and descriptive statistics.
Figure 1 depicts the high-standard and land transfer areas from 2005 to 2017 and, thus, the relationship between policy implementation and land transfer. It can be seen that since the implementation of the policy in 2011, both areas have increased, and the relationship between them intensified after 2011. Therefore, it can be preliminarily assumed that the implementation of the policy has had a positive impact on land transfer.
Figure 1.
Relationship between the proportion of high-standard land area and the proportion of land transfer area.
2.2. Conceptual and Empirical Models of the Study
2.2.1. Policy Review
High-standard basic farmland is a type of basic farmland that has been developed through land consolidation and construction over a certain period of time, characterized by concentrated contiguous areas, supporting facilities, high and stable yields, good ecological conditions, strong disaster-resistance capabilities, and is compatible with modern agricultural production and management methods. In 1997, “On Further Strengthening Land Management and Effectively Protecting and Managing Cultivated Land” put forward the concept of land remediation, which is the practical source of high-standard farmland construction. In 2005, the No. 1 central document of the Central Government proposed that “we should pay attention to the construction of shelter forest system and farmland forest network to create a good ecological barrier for the construction of high-standard farmland”, which is the first mention of this concept. According to whether there are detailed acceptance standards and normative guidance documents for high-standard farmland construction, the policy implementation is generally divided into two stages: The first is the exploration and implementation stage (2006–2012). In 2006, China officially designated 116 counties (cities and districts) as national basic farmland protection demonstration zones and promoted high-standard basic farmland demonstration projects in some major grain-growing counties, aiming at upgrading the existing basic farmland and low- and medium-yield fields for agricultural production conditions; the second is the standard implementation stage (from 2013 to now). It was not until 2013 that the construction of high-standard farmland began to have temporary acceptance standards and the implementation of policies gradually entered the stage of standardization implementation. In 2013, the Chinese government proposed a plan to complete the construction of 400 million mu of high-standard farmland by 2025, and to build 1.2 billion mu of high-standard farmland by 2030, further transforming and upgrading existing high-standard farmland.
2.2.2. A Conceptual Model
This study established a comprehensive model of the impact mechanism of policy implementation on land transfer (Figure 2).
Figure 2.
Research mechanism of land circulation.
High-Standard Farmland Construction Policies Promote Land Transfer by Improving Agricultural Conditions
Constantly improving agricultural conditions is the key to agricultural production and management, especially in modern agricultural methods. Therefore, improving agricultural mechanization is a feasible path for China to achieve agricultural modernization (Ye et al., 2015) [11]. However, the use of agricultural machinery has certain requirements on the quality of cultivated land. The decentralization of agricultural land in China, conservative awareness among farmers, and inadequate policy promotion have all limited agricultural mechanization, resulting in slow adoption of new technologies. High-standard farmland construction is designed to realize agricultural mechanization, consolidate farmland, and improve field accessibility. This necessitates the wide use of agricultural technology, which can not only improve the efficiency of agricultural production (Ye et al., 2023) [28] but also promote labor substitution, and will address the agricultural labor shortage as well as rising labor costs (Anka et al., 2008; Shingo et al., 2011) [35,36]. This will in turn create the desired effect of activating the agricultural land transfer market (Robles et al., 2012) [34]. In addition, agricultural mechanization enables farmers with large-scale operations to maximize their output, thereby promoting land circulation (Peter, 2002) [37].
High-Standard Farmland Construction Policies Promote Land Transfer by Improving the Factor Utilization Rate
Poor topographic conditions, the scarcity of water resources, and the scattered distribution of cultivated land hinder the improvement of cultivated land quality and lead to low land productivity in China. China has a small-scale farming model, and maximizing income is thus an important consideration for farmers (Lyu et al., 2018) [38]. Therefore, when the expected economic benefits are higher, farmers who pursue profit maximization will be more motivated to expand their farms or transfer their land (Geng et al., 2021) [26]. By improving agricultural conditions and reducing costs, policy implementation can increase farmers’ incomes and promote land transfer (Vachadze et al., 2013; Sarah et al., 2021) [39,40]. Specifically, high-standard farmland construction can alleviate land fragmentation and concentrate farmland through field remediation, which is helpful in forming economies of scale and improving operating income and yield (Yan et al., 2022; Abiodun et al., 2018) [31,32]. The quality of cultivated land can be improved by increasing soil permeability and water and fertilizer retention functions, which helps to reduce the required factor inputs and thus the total production costs (Geng et al., 2021) [26].
High-Standard Farmland Construction Policies Promote Land Transfer by Ensuring Agricultural Production and Increasing Income
The construction of high-standard farmland can mitigate the risks of agricultural production, thus positively impacting land transfer. Natural disasters occur frequently in China, which makes most farmers risk-averse. As such, the purpose of constructing high-standard farmland is to ensure stable yields through drought and flood conditions. Specifically, policy implementation can improve irrigation and drainage facilities, which can reduce the impact of floods and droughts on agricultural production, thus stabilizing agricultural output (Ma et al., 2019) [20]. By doing so, it can improve the incomes of small farmers and, in turn, promote land transfer. Therefore, policy implementation will encourage farmers to participate in land transfer by reducing the risks associated with farming (Valente, 2011) [41].
Based on this, the following research hypotheses are put forward.
H1.
The implementation of the high-standard farmland construction policy promotes land transfer.
H2.
The high-standard farmland construction policy promotes land transfer by improving agricultural conditions, improving the factor utilization rate, buffering against natural disasters, ensuring agricultural production, and increasing incomes.
2.2.3. Econometric Model
The implementation of policies emphasizes that local characteristics should be considered and that the process should be gradual. Therefore, there are great differences in its progress across provinces. While the ordinary difference-in-differences (DID) model cannot eliminate the implementation year and regional heterogeneity of the policy, it also cannot be used to evaluate its impact on land transfer. In view of this, this study uses the implementation of the high-standard farmland construction policy as a quasi-natural experiment and a continuous DID model to evaluate the net effect of policy implementation on land transfer. Compared with the ordinary DID model, a continuous DID model shows the variability of sample data without changing the original properties and can therefore accurately evaluate the impact of policy implementation. It should be noted here that we are not only concerned with policy implementation or nonimplementation but also with the proportion of high-standard farmland area. Therefore, this article distinguishes between the experimental group and the control group based on the proportion of high-standard farmland area.
Benchmark Regression Model
To identify the impact of the high-standard farmland policy on land transfer, a continuous DID model is constructed as follows:
where is the land transfer area in the -th province during period ; is the core explanatory variable, where represents the proportion of high-standard farmland construction area; represents the dummy variable at the time of policy implementation—when ≥ 2011, the value of is 1, when < 2011, the value of is 0; represents a series of control variables, including the level of education, rural labor force, irrigation area, industrialization rate, etc.; is a constant term; represents the net effect of policy implementation, which is the focus of this article; is the coefficient on each control variable; represents the province fixed effect; represents the year fixed effect; and is a random error term.
Parallel Trend Test and Dynamic Impact Analysis of Policies
The validity of DID results depends on whether the parallel trend assumption is met. That is, before the implementation of the policy, the land transfer area between the experimental and control groups will not show significant differences over time. In this paper, in Formula (1) is replaced by a dummy variable representing several years before and after the implementation of the policy, and constructed a model to test the parallel trend hypothesis:
where represents the year dummy variable and the other variables and coefficients are set in the same as in Formula (1). In this paper, the five years before the implementation of the policy is taken as the benchmark experiment to measure the trend change and 95% confidence interval of . If the policy can significantly affect the land transfer, the trend change in should be relatively stable before the implementation of the policy (2005 ≤ t < 2011), and after the implementation of the policy (2011 ≤ t ≤ 2017), will change significantly. At the same time, the dynamic effect of the policy is also estimated.
2.2.4. Explained Variable
The explained variable of this paper is land transfer. There are many indicators and methods that can be used to measure land transfer. For example, “whether to transfer” is used to examine farmers’ land transfer behavior (Peng et al., 2020) [42] but this indicator can only analyze whether farmers participate in land transfer and cannot analyze the degree of land transfer. The land transfer area can also be used to measure the degree of land transfer (Kong et al., 2018) [23] but this represents a comparison of the absolute amount of land circulated. However, to ensure objectivity, it should instead be analyzed using the relative size of the land transfer area. Therefore, more scholars use the ratio of the total area of land transfer to the total area of cultivated land to measure the land transfer activity in different regions (Ying et al., 2019) [43].
2.2.5. Explanatory Variables
In this paper, the interaction term between the proportion of high-standard farmland construction area and the dummy variable at the time of policy implementation ) is used as the core explanatory variable, considering that the investment in comprehensive agricultural development can also reflect the progress of high-standard farmland construction. Based on this, the interaction term of the investment per unit area and the policy implementation time variable () is used as the substitute variable in a robustness test.
2.2.6. Control Variables
The following control variables are selected: education level—the higher the education level, the greater the ability to understand national policies and participate in land transfer; proportion of rural labor force—the less household labor force there is, the stronger the willingness to transfer land; proportion of irrigated area—the better the irrigation conditions, the more favorable it is for land circulation; per capita electricity generation in rural areas can to some extent measure the degree of agricultural modernization—the higher the degree of agricultural modernization, the more frequent the land transfer; number of Internet access ports—the higher the informatization level, the more land circulation information can be obtained; the higher the industrialization rate and level, the more capital will drive agricultural development and achieve scale in operations through land transfer; and climate variables, including average sunshine hours, annual temperature, and daily rainfall.
2.2.7. Mechanism Variables
The preceding analysis shows that the construction of high-standard farmland may affect agricultural land transfer through three mechanisms: improving agricultural conditions, improving factor output capacity and resistance to natural disasters, and ensuring agricultural production and increasing income. The level of agricultural mechanization is taken as the indicator variable of agricultural conditions (Guo et al., 2022) [44]. At the same time, according to the existing literature (Ma et al., 2022) [20], the average output per unit of land is used to indicate the capacity of each factor. The disaster rate is an intuitive manifestation of the risk associated with agricultural production (Ye et al., 2023; Janine et al., 2022) [28,45]. Therefore, the disaster rate is taken as the indicator variable for the third mechanism.
3. Results
3.1. Benchmark Regression Results
The results of the baseline regression estimates are reported in Table 2. Column (1) is the result of provincial-level clustering robust standard errors without control variables, and columns (2)–(4) are the results of those obtained after random sampling for 1000 iterations using the ordinary standard error, robust standard error, provincial-level clustering robust standard error, and the bootstrap self-help methods. It can be seen that when the province and year fixed effects are controlled at the same time, the results of the four standard errors are that policy implementation has a significantly positive impact on land transfer irrespective of whether the control variables are included, which shows that the results of the model are relatively stable. The coefficients on each model after including control variables are 0.196, thus indicating that policy implementation increased the land transfer area by 0.196 units. Hypothesis 1 was therefore verified.
Table 2.
Estimation results of basic model.
3.2. Parallel Trend Test and Policy Dynamic Effect
3.2.1. Parallel Trend Test for Benchmark Regression
The previous benchmark regression results show that the implementation of the policy increases the land transfer area but the parallel trend test is needed before the DID model is used. Therefore, using Formula (2) to verify the validity of the hypothesis, it is necessary to discard one period as the benchmark group when conducting parallel trend testing to avoid multicollinearity issues. For the purpose of analyzing year continuity, this article uses 2005 as the benchmark. Figure 3 shows the results both with and without control variables. It can be seen that before the implementation of the policy, is negative and contains no values in the 95% confidence interval, which indicates that the original hypothesis holds. After the implementation of the policy (2011–2017), 95% of the confidence intervals are above zero, which indicates that the impact of policy implementation on land transfer is significantly positive. Our results therefore pass the parallel trend test.
Figure 3.
The dynamic impact of policy implementation on land transfer. Note: The blue line in the figure is the estimated coefficient, and the green line is the 95% confidence interval of the estimated coefficient.
3.2.2. Impact of Policy Implementation
As can be seen in Table 3, the coefficient on the year of policy implementation (2011) is significantly positive (0.285), thus indicating that the policy implementation has significantly increased the land transfer area. In the six years after the implementation of the policy (2012–2017), the coefficients are significantly positive, which shows that this effect is stable and sustainable.
Table 3.
Estimation of dynamic effect of policy implementation.
3.2.3. Robustness Test
The above results demonstrate that the implementation of policies has promoted land transfer but the results may be confused by missing variables and sample self-selection bias. In order to improve the robustness of the results, this section will conduct a robustness test. The results are shown in Table 4.
Changing the Time of Policy Implementation
The above results are based on samples from 2005 to 2017 but the policy was implemented in 2011. Therefore, the period before the implementation of the policy is longer in our quasi-natural experiment. To test the robustness of the results, 2008 and 2010 are selected as experimental policy implementation years. The results are shown in columns (1) and (2) of Table 4. The results show that the implementation of the policy has no significant impact on land circulation. This shows that the policy impact did not occur before the implementation of the policy and thus the results hold.
Replacing the Dependent Variable
Due to the use of land transfer area as the dependent variable in this article, the results may be biased due to the randomness of indicator selection. Therefore, the robustness of the model is tested by replacing the dependent variable with the land transfer area per capita. The results are shown in column (3) of Table 4. The coefficient of the core explanatory variable is significantly positive, indicating that the model is robust.
Replacing the Core Explanatory Variables
We continue to use the interaction term between the investment in agriculture and the dummy variable at the time of policy implementation () as the substitute variable for estimation. The results are shown in column (4) of Table 4. The coefficient on the new interaction term is significantly positive, thus indicating that the policy implementation still has a significant role in promoting land transfer. In addition, the core explanatory variable is replaced by lagged high-standard farmland construction to investigate the lag effect of the policy on land transfer. The results are shown in column (5) of Table 4. The land transfer area coefficient is still significantly positive and indicates that the original model is robust.
Table 4.
Estimation results of robustness test.
Table 4.
Estimation results of robustness test.
| Variable | 2008 Policy Time | 2010 Policy Time | Substitution Dependent Variable: Transfer2 | Replace the Core Explanatory Variable: Invest | Replace the Core Explanatory Variable: Lag 1 Period |
|---|---|---|---|---|---|
| (1) | (2) | (3) | (4) | (5) | |
| 0.0342 | 0.0378 | 0.263 * | 0.196 *** | ||
| (0.0769) | (0.0674) | (0.1520) | (0.0293) | ||
| 0.0406 *** | |||||
| (0.0066) | |||||
| Control variable | YES | YES | YES | YES | YES |
| Individual effect | YES | YES | YES | YES | YES |
| Time effect | YES | YES | YES | YES | YES |
| Constant | 0.3890 | 0.405 * | −0.1130 | −0.602 ** | −0.571 ** |
| (0.2430) | (0.2370) | (0.1080) | (0.2750) | (0.2530) | |
| R2 | 0.962 | 0.962 | 0.963 | 0.966 | 0.979 |
Note: the figures in parentheses are the robust standard errors; *, ** and *** indicate that the variable is statistically significant at the 10%, 5%, and 1% levels, respectively.
3.2.4. Heterogeneity Analysis
Heterogeneity of Agricultural Area
Considering the regional heterogeneity, the sample is divided into main and non-main grain-producing areas for the regression to test the heterogeneity of policy implementation across regions. As shown in columns (1) and (2) of Table 5, it can be seen that there is heterogeneity in the impact of policy implementation on land transfer across regions, which significantly increases the land transfer area in the main and non-main grain-producing areas to 0.156 and 0.208, respectively. One possible explanation for this result is that after the grain-production zones were divided in 2001, the main function of grain-producing areas was to ensure national food security. To promote economies of scale in grain production, such areas had already carried out large-scale land transfers before policy implementation, while those in non-main grain-producing areas lagged behind. After policy implementation, improvements in farmland in non-main grain-producing areas have led to higher grain output. Grain subsidy policies have also increased the expected benefits of planting grain crops in these areas, thereby promoting land transfer in non-main grain-producing areas.
Heterogeneity of Regional Economic Development
Considering the differences in economic development across regions, we continue to divide the samples into eastern, central, and western regions to explore the regional heterogeneity of the impact of policy implementation on land transfer. Columns (3) to (5) of Table 5, respectively, report the impact of policy implementation on land transfer in three regions. The results show that the implementation of the policy promotes the transfer of agricultural land, and this effect is strongest in the eastern and central regions. The possible reasons for this finding are as follows. In the western region, although the policy implementation improves agricultural conditions and stimulates land transfer, the land transfer market remains relatively underdeveloped (Geng et al., 2021) [26], which weakens the policy effect to a certain extent. However, the eastern and central regions are relatively developed, and thus the land transfer market is as well. Furthermore, the land areas that are transformed by high-standard farmland construction are more easily transferred. Therefore, the implementation of policies has a more prominent impact on land transfer in the eastern and central regions.
Table 5.
Heterogeneity test of agricultural functional areas and regional economic development.
Table 5.
Heterogeneity test of agricultural functional areas and regional economic development.
| Variable | Grain | Position | |||
|---|---|---|---|---|---|
| Main Producing Area | Non-Main Producing Area | East | Middle | Western | |
| (1) | (2) | (3) | (4) | (5) | |
| 0.156 ** | 0.208 *** | 0.118 ** | 0.194 ** | 0.255 * | |
| (0.0688) | (0.0264) | (0.0489) | (0.0852) | (0.0944) | |
| Control variable | YES | YES | YES | YES | YES |
| Individual effect | YES | YES | YES | YES | YES |
| Time effect | YES | YES | YES | YES | YES |
| Constant term | −0.3340 | −0.731 ** | −0.750 ** | −0.1450 | −0.6110 |
| (0.3350) | (0.3340) | (0.3030) | (0.2580) | (0.4420) | |
| R2 | 0.866 | 0.91 | 0.83 | 0.915 | 0.922 |
Note: the figures in parentheses are the robust standard errors; *, ** and *** indicate that the variable is statistically significant at the 10%, 5%, and 1% levels, respectively.
Heterogeneity of Physical Location
Due to differences in climatic conditions and resource endowments, the farming systems, and crops differ between the South and the North of China. Therefore, the samples were divided into groups representing the North (where wheat is mainly planted) and the South (where rice is mainly planted) for regression. The results are shown in columns (1) and (2) of Table 6. The coefficients on the land transfer area ratio in both regions are positive at the 1% significance level, and the coefficients in the South are larger than those in the North (0.201 and 0.194, respectively). This result shows that the policy has a greater effect on land transfer in the South. One possible explanation for this finding is that the southern region of China is mainly mountainous and hilly, and the implementation of policies can consolidate land, level plots, and prevent soil erosion in hilly and mountainous areas. This improves the convenience of farming, thereby increasing the possibility of farmers participating in land transfer.
Heterogeneity of Terrain
Terrain will determine the production and management of crops and then affect farmers’ willingness to transfer land. In order to test the impact of policy implementation on land transfer in different terrains, this paper divides the samples into plains and mountainous areas according to the altitude and relative undulation height. It can be seen from columns (3) and (4) of Table 6 that the implementation of the policy has a significant positive effect on land transfer in plain and mountainous provinces. From the estimated parameter size, the implementation of the policy increased the land transfer area of plain and mountainous provinces by 0.187 and 0.289 units, respectively. It can be seen that the implementation of the policy has a stronger positive effect on land circulation in mountainous provinces. This may be because it is difficult to attract new agricultural business entities to participate in land transfer in mountainous areas due to the relatively undulating terrain, and agricultural business entities are more willing to transfer land in plain areas. However, the construction of high-standard farmland has a more obvious effect on leveling mountainous land, which can also promote new agricultural business entities to participate in land transfer in mountainous areas (Yu et al., 2021) [46].
Table 6.
Heterogeneity test of natural geographical location and terrain.
Table 6.
Heterogeneity test of natural geographical location and terrain.
| Variable | Location | Plant | ||
|---|---|---|---|---|
| Plain | Mountain | Planting Structure ≥ 0.5 (Grain-Oriented Crops) | Planting Structure < 0.5 (Cash Crop) | |
| (1) | (2) | (3) | (4) | |
| 0.187 *** | 0.289 *** | 0.200 *** | 0.260 ** | |
| (0.0134) | (0.0135) | (0.0336) | (0.0647) | |
| Control variable | YES | YES | YES | YES |
| Individual effect | YES | YES | YES | YES |
| Time effect | YES | YES | YES | YES |
| Constant | −0.251 | −1.257 | −0.492 * | −1.262 |
| (0.2458) | (0.9853) | (0.2770) | (1.0170) | |
| R2 | 0.974 | 0.968 | 0.986 | 0.958 |
Note: the figures in parentheses are the robust standard errors; *, ** and *** indicate that the variable is statistically significant at the 10%, 5%, and 1% levels, respectively.
3.2.5. Mechanism Analysis
From the preceding theoretical analysis, it can be seen that the high-standard farmland construction policy may affect land transfer through three pathways. Table 7 shows the estimated results. Path1 represents the mechanism for improving agricultural conditions, Path2 represents the mechanism for improving factor utilization, Path3 represents the mechanism of resistance to natural disasters, ensuring agricultural production, and increasing income.
Mechanism for Improving Agricultural Conditions
Column (1) in Table 7 shows that the policy implementation has a significantly positive impact on land transfer, with a coefficient of 0.196. Column (2) shows that the policy implementation has a significantly positive impact on the agricultural machinery per capita, which suggests that it can promote agricultural mechanization. In column (3), it can be seen that the per capita total agricultural machinery and the policy interaction items pass the significance test with a coefficient of 0.0177, which shows that after controlling for the impact of policy implementation, the impact of intermediary variables on land transfer is still significant. This implies that the total agricultural machinery per capita has a partial intermediary role in the impact of policy implementation on land transfer with a coefficient of is 10.45%. That is, the policy implementation creates favorable conditions for agricultural machinery and reduces the labor requirement, thus encouraging business entities to transfer to agricultural land.
Mechanism for Improving Factor Utilization
The results of the factor output mechanism test are shown in columns (4) and (5) of Table 7. Column (4) shows that the implementation of the policy has a significantly positive impact on the average yield, which can increase the land transfer area by 0.154 units. The mediating variable for average output and the policy interaction variables in column (5) pass the significance test, which shows that after controlling for the impact of policy implementation, the mediating variable for average output still has an impact on land transfer. The corresponding coefficient is 0.0599 and significant at the 1% level. It can be seen that there are significant partial intermediary effects with a coefficient of 20.66%, which indicates that the policy implementation improves land efficiency and reduces costs, thus increasing incomes and promoting land transfer.
Mechanism of Resistance to Natural Disasters, Ensuring Agricultural Production, and Increasing Income
The results in column (6) show that the implementation of the policy has a significantly negative effect on the disaster rate. In column (7), the disaster rate and policy interaction variables pass the significance test, which shows that after controlling for the impact of policy implementation, the effect is significantly positive with a coefficient of 0.0432. Taken together, there is a partial intermediary effect of the policy implementation on land transfer with a coefficient of 9.2%, which further confirms the validity of the results and shows that the implementation of the policy benefits farmers and thus promotes land transfer.
Table 7.
Estimated results of mechanism test.
Table 7.
Estimated results of mechanism test.
| Variable | Transfer1 | Path1 | Path2 | Path3 | |||
|---|---|---|---|---|---|---|---|
| Machine | Transfer1 | Efficiency | Transfer1 | Disaster | Transfer1 | ||
| (1) | (2) | (3) | (4) | (5) | (6) | (7) | |
| 0.196 *** | 1.157 ** | 0.178 *** | 0.676 *** | 0.154 *** | −0.417 ** | 0.176 *** | |
| (0.0293) | (0.4700) | (0.0310) | (0.1250) | (0.0313) | (0.1710) | (0.0278) | |
| Machine | 0.0177 *** | ||||||
| (0.0049) | |||||||
| Efficiency | 0.0599 *** | ||||||
| (0.0132) | |||||||
| Disaster | −0.0432 *** | ||||||
| (0.0095) | |||||||
| Control variable | YES | YES | YES | YES | YES | YES | YES |
| Individual effect | YES | YES | YES | YES | YES | YES | YES |
| Time effect | YES | YES | YES | YES | YES | YES | YES |
| Constant | −0.571 ** | 5.420 *** | −0.663 ** | 0.0992 | −0.579 ** | 0.9480 | −0.535 ** |
| (0.2530) | (1.5540) | (0.2640) | (0.5880) | (0.2650) | (1.3510) | (0.2190) | |
| R2 | 0.879 | 0.619 | 0.886 | 0.806 | 0.888 | 0.445 | 0.888 |
Note: the figures in parentheses are the robust standard errors; ** and *** indicate that the variable is statistically significant at the 5%, and 1% levels, respectively.
4. Further Analysis
Based on the panel data of 31 provinces in China from 2005 to 2017, this paper empirically tests the impact of and mechanisms of policy implementation on land transfer. However, due to a lack of data, it is impossible to prove whether this effect persists after 2017. Therefore, it is necessary to supplement the relevant data using those in previous research. In this paper, the interpolation and proportional methods are used to supplement the data from 2018 to 2020, and we then re-run the regressions to verify whether the above conclusions are still valid. The first method is linear interpolation. The second method is the proportional method, which calculates the proportion of high-standard farmland area in each province from 2005 to 2017, then uses the area of high-standard farmland reclamation from 2018 to 2020 to find the inverse of the high-standard farmland area in each province in each year. It is found that this indicator remains relatively stable at around 750 million mu, which is close to the figure of 800 million mu published by the Chinese government.
4.1. Descriptive Statistics
Figure 4 depicts the high-standard farmland and land transfer areas in China from 2005 to 2020. On the whole, their trends are similar. The period from 2018 to 2020 shows that the land transfer area continues to rise, thus indicating that the policy implementation is likely to have a positive impact on land transfer.
Figure 4.
Relationship between the proportion of high-standard farmland area and the proportion of land transfer area from 2005 to 2020.
4.2. Benchmark Results and Dynamic Effects
Table 8 shows the results after supplementing the data from 2018 to 2020 and including the control variables. Columns (1) and (2) report the impact of policy implementation on land transfer after supplementing the data. The results show that the policy implementation has a significantly positive impact on the land transfer area, with coefficients of 0.191 and 0.228, respectively. Columns (3) and (4) show the results after supplementing the data with the 2018 to 2020 period. The coefficients are significantly positive from 2011 to 2020 and increase in the eighth year after the policy implementation (0.182 and 0.224, respectively). This shows that the policy effect on land transfer is increasing, which once again confirms the reliability of the benchmark regression results.
Table 8.
Extended regression after supplementing the data from 2018 to 2020.
4.3. Parallel Trend Test from 2005 to 2020
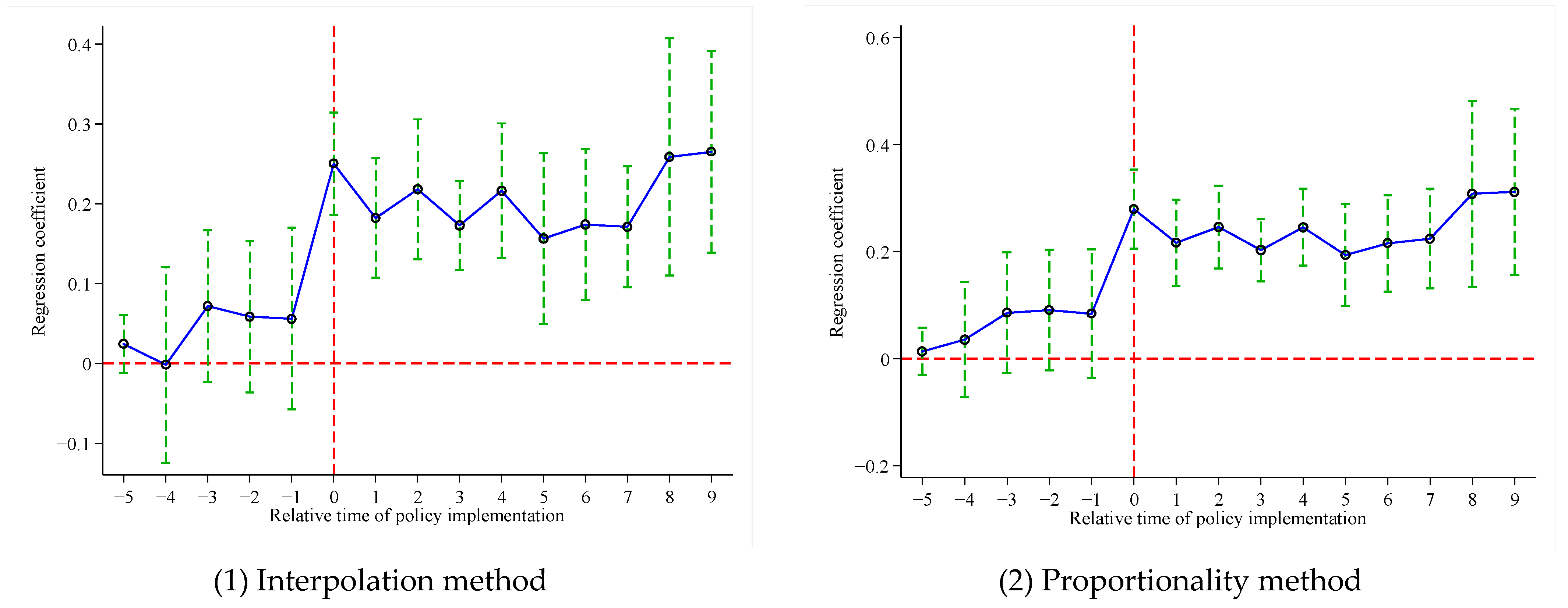
Figure 5 shows the parallel trend results after supplementing the data to include the 2018 to 2020 period. From Figure 5 (1) and (2), it can be seen that before the implementation of the policy, the is negative and the 95% confidence interval contains zero, which indicates that the original hypothesis is valid before the implementation of the policy. After the implementation of the policy (2011–2020), the 95% confidence interval is above zero and rising, which indicates that the impact of policy implementation on land transfer is significantly positive. It can therefore be seen that our results pass the parallel trend test.
Figure 5.
Dynamic effect of policy implementation after supplementing data from 2018 to 2020. Note: The blue line in the figure is the estimated coefficient, and the green line is the 95% confidence interval of the estimated coefficient.
5. Conclusions and Policy Recommendations
The continuous DID model was used to analyze the impact of policy implementation on land transfer. Furthermore, it investigates the heterogeneity in how it affects land transfer from the perspectives of farmland area, regional economic development, geographic location, and crop cultivation. The main conclusions are as follows.
First, the high-standard farmland construction policy implemented by the Chinese government can promote land transfer, which will significantly increase the proportion of land transfer area by 0.196 units. This result holds after robustness tests. Second, a heterogeneity analysis shows that the positive effect of the implementation of policies on land transfer is more obvious in major grain-producing areas. Furthermore, the positive effect of policy implementation on regional economic development is greatest in the eastern and central regions, and the policy implementation has a stronger effect on land transfer in mountainous and in economic areas. Third, a mechanism test shows that improving agricultural conditions, improving factor utilization and resistance to natural disasters, ensuring agricultural production, and increasing income have partial intermediary effects on land transfer of 10.45%, 20.66%, and 9.2%, respectively. Fourth, after supplementing the missing data from 2018 to 2020 using the interpolation method, it is found that the above conclusions hold, which confirms the adopted research hypothesis.
According to the research conclusions, the following suggestions are put forward. First, we must implement a new round of the high-standard farmland construction policy. Although small farmers are still dominant, economies of scale are playing an increasingly important role in agricultural production and ensuring the food supply. Therefore, it is necessary to attach great importance to and accelerate the construction of high-standard farmland to ensure China’s food security and provide a favorable environment for the development of moderate-scale business entities. Second, we should pay attention to the effects of various policies and measures. The impact of high-standard farmland construction on land transfer is significantly different in different farming areas and geographic locations. Therefore, the construction of high-standard farmland should be conducted according to local conditions. The new round of the high-standard farmland construction policy should also address its shortcomings. For example, in the western region, where the economic development level is low, it should pay attention to agricultural mechanization and carry out farmland remediation accordingly [46]. In the northern region, where wheat is the main crop, it should build farmland water conservancy facilities and moderate soil pH values to promote land transfer and farm expansion. Third, to activate the land transfer market, it is necessary to attach great importance to improving yields, controlling risks, and incorporating agricultural technology. Special attention should be paid to the transformation of medium- and low-yield farmland to help business entities achieve increased production and income. By building supporting infrastructure, it is possible to protect against drought and floods while reducing the impact of natural disasters. Through land consolidation and road construction, it is possible to improve the level of agricultural mechanization, thus promoting land transfer and large-scale land management.
Compared to previous research, this article has mainly expanded from three aspects. Firstly, based on the economic logic deduction of land use behavior, the logical relationship between improving agricultural conditions, increasing factor utilization, and ensuring agricultural disaster reduction and production in high-standard farmland construction and land transfer has been revealed. Secondly, the double difference model was used to quantitatively evaluate the impact of high-standard farmland construction and land transfer, verifying the theoretical hypothesis. Thirdly, robustness tests were conducted using methods such as changing the policy implementation time, replacing dependent variables, and replacing core explanatory variables. Compared with the existing literature, the conclusions of this study are more reliable and scientific. Overall, the research conclusion of this article is relatively close to the research results of many scholars, which further indicates that land consolidation projects such as high-standard farmland construction will promote land circulation, facilitate the realization of large-scale agricultural operations, and accelerate the modernization of agriculture. There are certain limitations to this study. First, due to the availability of data, this study only considers land transfer at the provincial level and does not analyze land transfer at the county and village levels. This can be performed in future research to provide more granular policy guidance. Second, this article only analyzes the impact of policy implementation on the land transfer area, and there is a lack of discussion on the impact on the direction of farmers’ land transfer. In the future, further subdivision research is needed on the situation of land transfer.
Author Contributions
Conceptualization, J.P. and L.C.; data curation, J.P.; formal analysis, Y.C. and L.C.; investigation, J.P.; methodology, Q.C.; project administration, J.P.; writing—original draft, Y.C.; writing—review and editing, Q.C. All authors have read and agreed to the published version of the manuscript.
Funding
The National Natural Science Foundation of China (No. 72063012); the MOE (Ministry of Education in China) Humanities and Social Sciences Youth Foundation (No. 20C10421035); Jiangxi Provincial Social Science Fund (No. 23YJ12).
Institutional Review Board Statement
Not applicable.
Informed Consent Statement
Not applicable.
Data Availability Statement
All data and materials are available upon request.
Acknowledgments
We would like to thank the reviewers for their thoughtful comments that helped improve the quality of this work.
Conflicts of Interest
The authors declare no conflicts of interest.
References
- Deininger, K.; Jin, S.; Xia, F.; Huang, J. Moving Off the Farm: Land Institutions to Facilitate Structural Transformation and Agricultural Productivity Growth in China. World Dev. 2021, 59, 505–520. [Google Scholar] [CrossRef]
- Pilossof, R. Possibilities and Constraints of Market-Led Land Reforms in Southern Africa: An Analysis of Transfers of Commercial Farmland in Postcolonial Zimbabwe, 1980–2000. J. Agrar. Chang. 2016, 16, 32–49. [Google Scholar] [CrossRef]
- Hall, R.; Kepe, T. Elite capture and state neglect: New evidence on South Africa’s land reform. Rev. Afr. Political Econ. 2017, 44, 122–130. [Google Scholar] [CrossRef]
- Takafumi, S. Capitalization of local government grants on land values: Evidence from Tokyo metropolitan area, Japan. Jpn. World Econ. 2021, 60, 101106. [Google Scholar] [CrossRef]
- Semedi, P.; Bakker, L. Between Land Grabbing and Farmers’ Benefits: Land Transfers in West Kalimantan, Indonesia. Asia Pac. J. Anthropol. 2014, 15, 376–390. [Google Scholar] [CrossRef]
- Markowski-Lindsay, M.; Butler, B.; Kittredge, D. The future of family forests in the USA: Near-term intentions to sell or transfer. Land Use Policy 2017, 69, 577–585. [Google Scholar] [CrossRef]
- Taylor, M.R.; Brester, G.W. Noncash Income Transfers and Agricultural Land Values. Rev. Agric. Econ. 2005, 27, 526–541. [Google Scholar] [CrossRef]
- Chauveau, J.; Colin, J. Customary Transfers and Land Sales in Côte d’Ivoire: Revisiting the Embeddedness Issue. Africa 2010, 80, 81–103. [Google Scholar] [CrossRef]
- Constantin, C.; Luminita, C.; Vasile, A. Land grabbing: A review of extent and possible consequences in Romania. Land Use Policy 2017, 62, 143–150. [Google Scholar] [CrossRef]
- Coase, R. The Institutional Structure of Production. Am. Econ. Rev. 1992, 82, 713–719. [Google Scholar]
- Ye, J. Land Transfer and the Pursuit of Agricultural Modernization in China. J. Agrar. Chang. 2015, 15, 314–337. [Google Scholar] [CrossRef]
- Peng, J.; Zhao, Z.; Chen, L. The Impact of High-Standard Farmland Construction Policy on Rural Poverty in China. Land 2022, 11, 1578. [Google Scholar] [CrossRef]
- Xu, R.; Zhan, Y.; Zhang, J.; He, Q.; Zhang, K.; Xu, D.; Deng, X. Does Construction of High-Standard Farmland Improve Recycle Behavior of Agricultural Film? Evidence from Sichuan, China. Agriculture 2022, 12, 1632. [Google Scholar] [CrossRef]
- Yan, J.; Yang, Y.; Xia, F. Subjective land ownership and the endowment effect in land markets: A case study of the farmland “three rights separation” reform in China. Land Use Policy 2021, 101, 105137. [Google Scholar] [CrossRef]
- Karita, K. Creating land markets for rural revitalization: Land transfer, property rights and gentrification in China. J. Rural Stud. 2021, 82, 68–77. [Google Scholar] [CrossRef]
- Zuka, S. Customary Land titling and inter-generational wealth transfer in Malawi: Will secondary Land rights holders maintain their Land rights? Land Use Policy 2019, 81, 680–688. [Google Scholar] [CrossRef]
- Xu, D.; Yong, Z.; Deng, X.; Zhuang, L.; Qing, C. Rural-Urban Migration and its Effect on Land Transfer in Rural China. Land 2021, 9, 81. [Google Scholar] [CrossRef]
- Su, B.; Li, Y.; Li, L.; Wang, Y. How does nonfarm employment stability influence farmers’ farmland transfer decision? Implications for China’s land use policy. Land Use Policy 2018, 74, 66–72. [Google Scholar] [CrossRef]
- Cao, Y.; Zou, J.; Fang, X.; Wang, J. Effect of land tenure fragmentation on the decision-making and scale of agricultural land transfer in China. Land Use Policy 2021, 99, 104996. [Google Scholar] [CrossRef]
- Ma, W.; Jaing, G.; Li, W.; Zhou, T.; Zhang, R. Multifunctionality assessment of the land use system in rural residential areas: Confronting land use supply with rural sustainability demand. J. Environ. Manag. 2019, 231, 73–85. [Google Scholar] [CrossRef]
- Wang, J.; Fang, F.; Zhang, Q.; Wang, J.; Yao, B.; Wang, W. Risk evaluation of agricultural disaster impacts on food production in southern China by probability density method. Nat. Hazards 2018, 83, 1605–1634. [Google Scholar] [CrossRef]
- Sun, J.; Cheng, P.; Liu, Z. Social Security, Intergenerational Care, and Cultivated Land Renting Out Behavior of Elderly Farmers: Findings from the China Health and Retirement Longitudinal Survey. Land 2023, 12, 392. [Google Scholar] [CrossRef]
- Kong, X.; Liu, Y.; Jiang, P.; Tian, Y.; Zou, Y. A novel framework for rural homestead land transfer under collective ownership in China. Land Use Policy 2018, 78, 138–146. [Google Scholar] [CrossRef]
- Wang, Y.; Li, X.; He, H.; Xin, L.; Tan, M. How reliable are cultivated land assets as social security for Chinese farmers? Land Use Policy 2020, 90, 104318. [Google Scholar] [CrossRef]
- Song, W.; Wu, K.; Zhao, H.; Zhao, R.; Li, T. Arrangement of High-standard Basic Farmland Construction Based on Village-region Cultivated Land Quality Uniformity. Chin. Geogr. Sci. 2019, 29, 325–340. [Google Scholar] [CrossRef]
- Geng, N.; Meng, Y.; Liu, Z. Farmland Transfer, Scale Management and Economies of Scale Assessment: Evidence from the Main Grain-Producing Shandong Province in China. Sustainability 2021, 14, 15229. [Google Scholar] [CrossRef]
- Yue, S.; Yang, Y.; Pu, Z. Total-factor ecology efficiency of regions in China. Ecol. Indic. 2017, 73, 284–292. [Google Scholar] [CrossRef]
- Ye, F.; Wang, L.; Razzaq, A.; Tong, T.; Zhang, Q.; Abbas, A. Policy Impacts of High-Standard Farmland Construction on Agricultural Sustainability: Total Factor Productivity-Based Analysis. Land 2023, 12, 238. [Google Scholar] [CrossRef]
- Chen, M.; Zhong, T.; Zhou, B.; Huang, H.; He, W. Empirical research on farm households’ attitude and behaviour for cultivated land transferring and it’s influencing factors in China. Agric. Econ. Zemed. Ekon. 1992, 56, 409–420. [Google Scholar] [CrossRef]
- Keswell, M.; Carter, M.R. Poverty and land redistribution. J. Dev. Econ. 2014, 110, 250–261. [Google Scholar] [CrossRef]
- Abiodun, N.; Emmanuel, D.; Charmaine, M.; Stephen, O. Impact of access to credit on farm income: Policy implications for rural agricultural development in Lesotho. Agrekon 2018, 27, 152–166. [Google Scholar] [CrossRef]
- Yan, H.; Du, W.; Zhou, Y. Satellite-based evidences to improve cropland productivity on the high standard farmland project regions in Henan province, China. Remote Sens. 2022, 14, 314–337. [Google Scholar] [CrossRef]
- Liu, Y.; Yan, B.; Wang, Y.; Zhou, Y. Will land transfer always increase technical efficiency in China? A land cost perspective. Land Use Policy 2019, 82, 414–421. [Google Scholar] [CrossRef]
- Robles, B.; Héctor, M. Transnational agribusiness capital and land market dynamics in Mexico. Can. J. Dev. Stud. 2012, 33, 529–551. [Google Scholar] [CrossRef]
- Anka, L.; Miran, F.; Franc, L.; Radoš, Š. Modelling the rural land transaction procedure. Land Use Policy 2008, 25, 286–297. [Google Scholar] [CrossRef]
- Shingo, K.; Keijiro, O.; Tetsushi, S.; Scott, R. Efficiency of Land Allocation through Tenancy Markets: Evidence from China. Econ. Dev. Cult. Chang. 2011, 59, 86. [Google Scholar] [CrossRef]
- Peter, L. Policy transfer and reversal: Customary land registration from Africa to Melanesia. Public Adm. Dev. 2002, 22, 151–161. [Google Scholar] [CrossRef]
- Lyu, K.; Chen, K.; Zhang, H. Relationship between land tenure and soil quality: Evidence from China’s soil fertility analysis. Land Use Policy 2019, 80, 345–361. [Google Scholar] [CrossRef]
- Vachadze, G. Land market liberalization, transfer of agricultural technology, and the process of industrialization. Land Use Policy 2013, 35, 388–394. [Google Scholar] [CrossRef]
- Sarah, R.; Brooke, W.; Han, X.; Wang, Z.; Duan, Y.; He, J.; Li, J.; Lin, W.; Wong, C. Scaling up agriculture? The dynamics of land transfer in inland China. World Dev. 2021, 146, 105563. [Google Scholar] [CrossRef]
- Valente, C. Household Returns to Land Transfers in South Africa: A Q-squared Analysis. J. Dev. Stud. 2011, 47, 354–376. [Google Scholar] [CrossRef]
- Peng, K.; Yang, C.; Chen, Y. Land transfer in rural China: Incentives, influencing factors and income effects. Appl. Econ. 2020, 52, 5477–5490. [Google Scholar] [CrossRef]
- Ying, W.; Richard, E.; Qi, Z.; Li, J.; Song, C. Effects of payment for ecosystem services and agricultural subsidy programs on rural household land use decisions in China: Synergy or trade-off? Land Use Policy 2019, 81, 785–801. [Google Scholar] [CrossRef]
- Guo, L.; Wang, W. Does agricultural mechanisation promote agricultural TFPG? Evidence from spatial panel data in China. Appl. Econ. 2022, 59, 6809–6828. [Google Scholar] [CrossRef]
- Janine, M.; Margareth, L. Mobile land: Modes of transfer—varieties of contexts. Hist. Fam. 2022, 27, 1–10. [Google Scholar] [CrossRef]
- Yu, X.; Yin, X.; Liu, Y.; Li, D. Agricultural Machinery Services Facilitate Land Transfer? Evidence from Rice Farmers in Sichuan Province, China. Land 2021, 10, 466. [Google Scholar] [CrossRef]
Disclaimer/Publisher’s Note: The statements, opinions and data contained in all publications are solely those of the individual author(s) and contributor(s) and not of MDPI and/or the editor(s). MDPI and/or the editor(s) disclaim responsibility for any injury to people or property resulting from any ideas, methods, instructions or products referred to in the content. |
© 2024 by the authors. Licensee MDPI, Basel, Switzerland. This article is an open access article distributed under the terms and conditions of the Creative Commons Attribution (CC BY) license (https://creativecommons.org/licenses/by/4.0/).




