Bearing Characteristics of Deep Cement Mixing Integrated Drilling, Mixing and Jetting Piles Based on Numerical Simulation
Abstract
1. Introduction
2. DMJ Pile Construction Procedure
- DMJ Variable-Modulus Piles
- 2.
- Capped DMJ Piles
3. Numerical Simulation Modelling
3.1. Model Definition
- Parts and Materials
- 2.
- Contact Surface
- 3.
- Boundary Condition
- 4.
- Grids and Iterative Algorithms
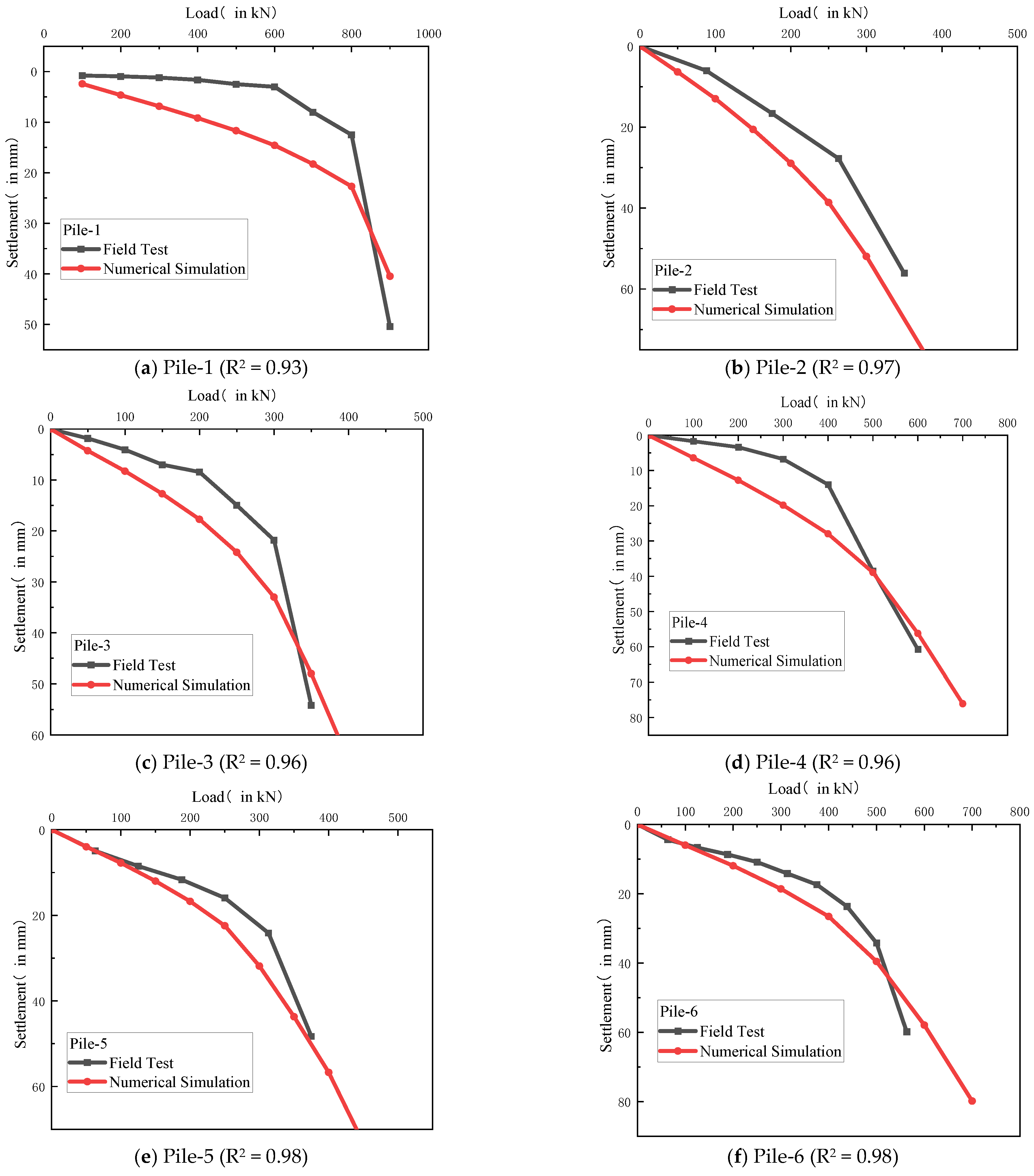
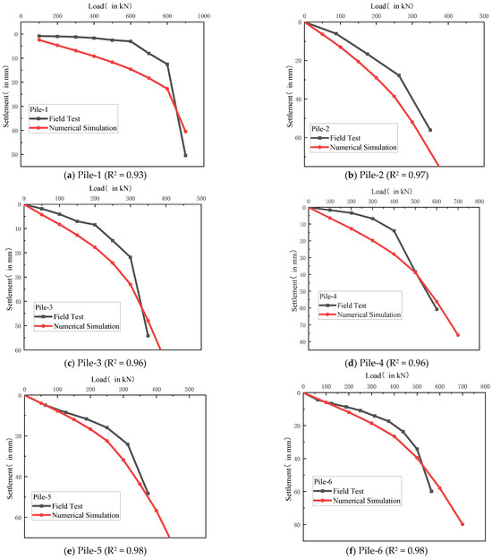
3.2. Reliability Verification of Models
4. Result and Analysis
4.1. Single Pile Bearing Characteristics of DMJ
4.1.1. Bearing Characterization of DMJ Variable-Modulus Piles
4.1.2. Bearing Characterization of Capped DMJ Piles
4.2. Bearing Characterization of Composite Foundations with DMJ Piles
4.2.1. Bearing Capacity of Composite Foundations
4.2.2. Pile–Soil Stress Distribution
4.2.3. Differential Settlement of Piles and Soil
5. Conclusions
- The larger the strength difference between the inner and outer sides of the variable-modulus drilled pile, the more pronounced the stress concentration phenomenon became. The maximum stress of the single pile generally occurs at a depth of 1 m from the top of the pile.
- It can be concluded that a DMJ pile with variable core moduli will not affect the ultimate bearing capacity of a single pile. However, the upper part of the pile and the side wall of the pile will be damaged prematurely due to insufficient bearing capacity and stress concentration.
- It is recommended that the modulus of the pile core should reach at least 0.3 GPa or be capped after 1 m or more to avoid early destruction during the bearing process of a single pile. It can be observed that an increase in pile diameter and an elevation in pile body modulus will result in a proportional enhancement of the bearing capacity of the single-pile composite foundation. The utilization of large-diameter DMJ piles has been demonstrated to markedly enhance the bearing capacity of composite foundations, whilst concurrently reducing the extent of pile–soil differential settlement.
- Pile spacing represents a pivotal parameter, with an increase in the aforementioned parameter resulting in an undesirable and excessive pile–soil differential settlement.
- DMJ piles can effectively enhance bearing capacity, although their upper portions are susceptible to damage. In accordance with the specifications of the project, a capping treatment may be incorporated as required.
Author Contributions
Funding
Institutional Review Board Statement
Informed Consent Statement
Data Availability Statement
Conflicts of Interest
References
- Kitazume, M. The Deep Mixing Method; CRC Press: Boca Raton, FL, USA, 2013. [Google Scholar]
- Bergado, D.T.; Anderson, L.R.; Miura, N.; Balasubramaniam, A.S. Soft Ground Improvement in Lowland and Other Environments; ASCE Press: Reston, VA, USA, 1996. [Google Scholar]
- Al-Tabbaa, A. Soil mixing in the UK 1991–2001: State of practice report. In Ground Improvement; Institution of Civil Engineers: London, UK, 2003. [Google Scholar]
- Bell, F. Engineering Treatment of Soils; CRC Press: London, UK, 1993. [Google Scholar]
- Porbaha, A. State of the art in deep mixing technology: Part I. Basic concepts and overview. Proc. Inst. Civ. Eng. Ground Improv. 1998, 2, 125–139. [Google Scholar] [CrossRef]
- Diamond, S.; Kinter, E.B. Mechanisms of Soil-Lime Stabilization; U. S. Bureau of Public Roads: Washington, DC, USA, 1996; Volume 33, pp. 260–265.
- Jamsawang, P.; Bergado, D.T.; Voottipruex, P. Field behaviour of stiffened deep cement mixing piles. Proc. Inst. Civ. Eng.-Ground Improv. 2011, 164, 33–49. [Google Scholar] [CrossRef]
- Srijaroen, C.; Hoy, M.; Horpibulsuk, S.; Rachan, R.; Arulrajah, A. Soil-cement screw pile: Alternative pile for low-and medium-rise buildings in soft Bangkok clay. J. Constr. Eng. Manag. 2021, 147, 04020173. [Google Scholar] [CrossRef]
- Yi, Y.; Liu, S.; Du, Y.; Zhu, Z.; Du, G. The T-Shaped Deep Mixed Column Application in Soft Ground Improvement. In Proceedings of the International Conference on Grouting & Deep Mixing, New Orleans, LA, USA, 15–18 February 2012. [Google Scholar]
- Liu, L.; Zhou, A.; Deng, Y.; Cui, Y.; Yu, Z.; Yu, C. Strength performance of cement/slag-based stabilized soft clays. Constr. Build. Mater. 2019, 211, 909–918. [Google Scholar] [CrossRef]
- Liu, L.; Deng, T.; Deng, Y.; Zhan, L.; Horpibulsuk, S.; Wang, Q. Stabilization nature and unified strength characterization for cement-based stabilized soils. Constr. Build. Mater. 2022, 336, 127544. [Google Scholar] [CrossRef]
- Taki, O.; Yang, D.S. Soil-Cement Mixed Wall Technique. In Proceedings of the Geotechnical Engineering Congress, Boulder, CO, USA, 10–12 June 1991. [Google Scholar]
- He, L. Spatial Variability in Deep Soil Mixing—Centrifuge Model and Field Data Study. Ph.D. Thesis, National University of Singapore, Singapore, 2018. [Google Scholar]
- He, W.-X.; Shen, X.-D. Mechanical behavior of soil-sand-cement admixture. Rock Soil Mech. 2011, 32, 392–396. [Google Scholar]
- Yapage, N.N.S.; Liyanapathirana, D.S. A parametric study of geosynthetic-reinforced column-supported embankments. Geosynth. Int. 2014, 21, 213–232. [Google Scholar] [CrossRef]
- Zhuang, Y.; Wang, K.Y. Finite-Element Analysis on the Effect of Subsoil in Reinforced Piled Embankments and Comparison with Theoretical Method Predictions. Int. J. Geomech. 2016, 16, 04016011. [Google Scholar] [CrossRef]
- Ariyarathne, P.; Liyanapathirana, D.S.; Leo, C.J. Comparison of Different Two-Dimensional Idealizations for a Geosynthetic-Reinforced Pile-Supported Embankment. Int. J. Geomech. 2013, 13, 754–768. [Google Scholar] [CrossRef]
- Ariyarathne, P.; Liyanapathirana, D.S. Review of existing design methods for geosynthetic-reinforced pile-supported embankments. Soils Found. 2015, 55, 17–34. [Google Scholar] [CrossRef]
- Zhuang, Y.; Ellis, E.A. Finite-element analysis of a piled embankment with reinforcement and subsoil. Geotechnique. J. 2016, 66, 596–601. [Google Scholar] [CrossRef]
- Voottipruex, P.; Suksawat, T.; Bergado, D.; Jamsawang, P. Numerical simulations and parametric study of SDCM and DCM piles under full scale axial and lateral loads. Comput. Geotech. 2011, 38, 318–329. [Google Scholar] [CrossRef]
- King, D.J.; Bouazza, A.; Gniel, J.R.; Rowe, R.K.; Bui, H.H. Serviceability design for geosynthetic reinforced column supported embankments. Geotext. Geomembr. 2017, 45, 261–279. [Google Scholar] [CrossRef]
- Chai, J.-C.; Shrestha, S.; Hino, T.; Ding, W.-Q.; Kamo, Y.; Carter, J. 2D and 3D analyses of an embankment on clay improved by soil–cement columns. Comput. Geotech. 2015, 68, 28–37. [Google Scholar] [CrossRef]
- Zhuang, Y.; Wang, K.Y. Three-dimensional behavior of biaxial geogrid in a piled embankment: Numerical investigation. Can. Geotech. J. 2014, 52, 1629–1635. [Google Scholar] [CrossRef]
- Wang, A.; Zhang, D.; Deng, Y. Lateral response of single piles in cement-improved soil: Numerical and theoretical investigation. Comput. Geotech. 2018, 102, 164–178. [Google Scholar] [CrossRef]
- Zhang, P.; Qi, X.; Ding, H.; Le, C.; Lin, Y.; Xiao, J. Bearing characteristics of mono-column composite bucket foundation in sand for offshore wind turbines. Ocean. Eng. 2023, 280, 114870. [Google Scholar] [CrossRef]
- Wang, K.; Chen, M.; Zhang, R.; Fang, W. Finite element simulation of load bearing capacity of circular CFST long columns with localized corrosion under eccentric load. Structures 2022, 43, 1629–1642. [Google Scholar] [CrossRef]
- Xia, M.; Xu, S.; Wang, Y.; Li, H.; Zhao, B. Experimental study on bearing capacity of corroded Q345 H-shaped steel column under axial compression load. J. Build. Eng. 2022, 52, 104354. [Google Scholar] [CrossRef]
- Mohtasham, M.R.; Khodaparast, M. Investigation of the effect of dimensional characteristics of stone column on load-bearing capacity and consolidation time. Civ. Eng. J. 2018, 4, 1437–1446. [Google Scholar] [CrossRef]
- Zhu, S.; Chen, C.; Cai, H.; Mao, F. Analytical modeling for the load-transfer behavior of stiffened deep cement mixing (SDCM) pile with rigid cap in layer soils. Comput. Geotech. 2022, 144, 104618. [Google Scholar] [CrossRef]
- Jiu, Y.; Gao, Y.; Lei, F.; Zhu, Y.; Zhang, Z. Nonlinear Analysis of Bearing Characteristics of Stiffened Deep Cement Mixing Piles under Vertical Loading. Buildings 2024, 14, 816. [Google Scholar] [CrossRef]
- El Sawwaf, M.; Azzam, W.; Aamer, F.; Abd El Ghaffar, A. Laboratory modelling of stiffened deep mixing columns with variable diameter under vertical load in loose sand. Int. J. Geotech. Eng. 2024, 18, 554–567. [Google Scholar] [CrossRef]






















| Depth | Material | Density (kN/m3) | Plasticity Index | Yield Stress (kPa) | Internal Friction Angle (°) | Young’s Modulus (MPa) |
|---|---|---|---|---|---|---|
| (a) Site-1 | ||||||
| 0–5.5 | Silty Clay | 18.9 | 14.3 | 22.8 | 14.6 | 6.66 |
| 5.5–8 | Mucky Silty Clay | 18.6 | 17.1 | 32.9 | 8.9 | 4.44 |
| 8–10 | Silty Clay | 19.1 | 15.9 | 26.2 | 14.3 | 5.18 |
| 10–20 | Silty Clay | 19.2 | 11 | 23.5 | 15.5 | 7 |
| 0–10 | Pile-1 | 21 | - | - | - | 700 |
| (b) Site-2 | ||||||
| Depth | Materials | Density (kN/m3) | Plasticity Index | Yield Stress (kPa) | Internal Friction Angle (°) | Young’s Modulus (MPa) |
| 0–2 | Fillings | 18.7 | 11.8 | 24.5 | 16.6 | 4.13 |
| 2–6 | Silt | 18.8 | 7.7 | 15.5 | 20.5 | 5.36 |
| 6–10 | Mucky Silty Clay | 18.6 | 17.1 | 32.9 | 8.9 | 4.44 |
| 10–20 | Silty Clay | 19.2 | 11 | 23.5 | 15.5 | 7 |
| 0–10 | Pile-2 | 19 | - | - | - | 150 |
| 0–10 | Pile-3 | 19 | - | - | - | 200 |
| 0–10 | Pile-4 | 19 | - | - | - | 300 |
| 0–10 | Pile-5 | 19 | - | - | - | 250 |
| 0–10 | Pile-6 | 19 | - | - | - | 300 |
| Type of Soil | Density (kN/m3) | Plasticity Index | Yield Stress (kPa) | Internal Friction Angle (°) | Poisson’s Ratio | Young’s Modulus (Mpa) |
|---|---|---|---|---|---|---|
| Silty Clay | 19 | 13 | 22.8 | 15 | 0.3 | 7 |
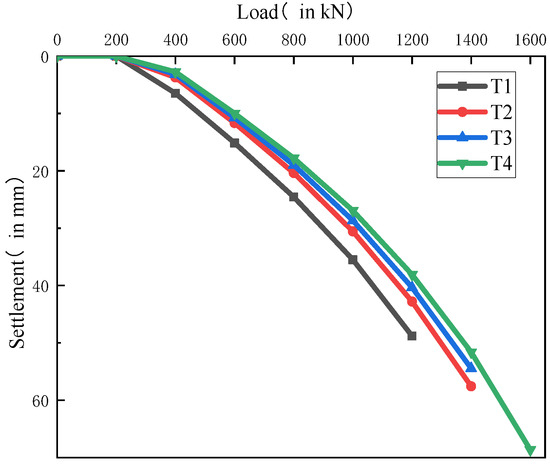
| Internal Modulus (GPa) | External Modulus (GPa) | μ | Cap Thickness (m) | Cap Modulus (GPa) | Internal Modulus (GPa) | External Modulus (GPa) | μ | ||
|---|---|---|---|---|---|---|---|---|---|
| M1 | 0.1 | 0.7 | 0.77 | T1 | 0.5 | 0.7 | 0.1 | 0.35 | 0.69 |
| M2 | 0.3 | 0.7 | 0.77 | ||||||
| M3 | 0.5 | 0.7 | 0.77 | T2 | 1 | ||||
| M4 | 0.7 | 0.7 | 0.77 | ||||||
| M5 | 0.1 | 0.2 | 0.56 | T3 | 1.5 | ||||
| M6 | 0.1 | 0.3 | 0.66 | ||||||
| M7 | 0.1 | 0.4 | 0.7 | T4 | 2 |
| Diameter/m | Internal Modulus (GPa) | External Modulus (GPa) | Loading Method | |
|---|---|---|---|---|
| F1 | 0.5 | 0.2 | 0.2 | Control pile spacing of 1.2, 1.5, 1.8, 2.1 m, applying pressure on the top of the bearing plate |
| F2 | 0.8 | 0.7 | 0.7 | |
| F3 | 0.8 | 0.1 | 0.7 | |
| F4 | 0.8 | 0.3 | 0.7 | |
| F5 | 0.8 | 0.1 | 0.35 (Cap:1 m) |
Disclaimer/Publisher’s Note: The statements, opinions and data contained in all publications are solely those of the individual author(s) and contributor(s) and not of MDPI and/or the editor(s). MDPI and/or the editor(s) disclaim responsibility for any injury to people or property resulting from any ideas, methods, instructions or products referred to in the content. |
© 2024 by the authors. Licensee MDPI, Basel, Switzerland. This article is an open access article distributed under the terms and conditions of the Creative Commons Attribution (CC BY) license (https://creativecommons.org/licenses/by/4.0/).
Share and Cite
Wang, Y.; Zhang, Y.; Zhang, K.; Rong, Y.; Xu, R.; Li, J.; Feng, W.; Sang, Z.; Yao, Z.; Yao, K. Bearing Characteristics of Deep Cement Mixing Integrated Drilling, Mixing and Jetting Piles Based on Numerical Simulation. Sustainability 2024, 16, 9198. https://doi.org/10.3390/su16219198
Wang Y, Zhang Y, Zhang K, Rong Y, Xu R, Li J, Feng W, Sang Z, Yao Z, Yao K. Bearing Characteristics of Deep Cement Mixing Integrated Drilling, Mixing and Jetting Piles Based on Numerical Simulation. Sustainability. 2024; 16(21):9198. https://doi.org/10.3390/su16219198
Chicago/Turabian StyleWang, Yang, Yuhe Zhang, Kaixing Zhang, Yu Rong, Runze Xu, Jie Li, Weizhe Feng, Zihan Sang, Zhanyong Yao, and Kai Yao. 2024. "Bearing Characteristics of Deep Cement Mixing Integrated Drilling, Mixing and Jetting Piles Based on Numerical Simulation" Sustainability 16, no. 21: 9198. https://doi.org/10.3390/su16219198
APA StyleWang, Y., Zhang, Y., Zhang, K., Rong, Y., Xu, R., Li, J., Feng, W., Sang, Z., Yao, Z., & Yao, K. (2024). Bearing Characteristics of Deep Cement Mixing Integrated Drilling, Mixing and Jetting Piles Based on Numerical Simulation. Sustainability, 16(21), 9198. https://doi.org/10.3390/su16219198
