Study on the Deviation Characteristics of Driving Trajectories for Autonomous Vehicles and the Design of Dedicated Lane Widths
Abstract
1. Introduction
2. The Study of the Trajectory Deviation Characteristics of AVs
2.1. Influencing Factors
- (1)
- Vehicle speed
- (2)
- Radius of Circular Curves
- (3)
- Gradients
- (4)
- Superelevation
- (5)
- Transition Curve Parameters
- (6)
- Length of Circular Curve
2.2. Experimental Programs
2.2.1. Experimental Tools
- (1)
- Co-Simulation Platform
- (2)
- Experimental Scenarios
- (3)
- Vehicle Model
- (4)
- Control Algorithms
2.2.2. Experimental Design
- (1)
- Orthogonal Experiment
- (2)
- Horizontal Alignment Design
2.3. Driving Trajectory Offset Characteristics
2.3.1. Offset Eigenvalue Selection
2.3.2. Data Analysis
- (1)
- Ranking of Factors Influencing Trajectory Deviation
- (2)
- Impact of Horizontal Curve Combinations on Driving Trajectory
2.4. Trajectory Offset Model
3. Design of Dedicated Lanes for Autonomous Vehicles
3.1. Calculation of Dedicated Lane Width
3.2. Determination of Dedicated Lane Position
3.2.1. Single Dedicated Lane Configuration
- (1)
- Dedicated Lane (Inner) + General Lane
- (2)
- Dedicated Lane (Middle) + General Lane
- (3)
- General Lane + Dedicated Lane (Outer)
3.2.2. Two Dedicated Lanes Configuration
- (1)
- Dedicated Lanes (Inner + Middle) + General Lane
- (2)
- Dedicated Lanes (Middle + Middle) + General Lane
- (3)
- General Lane + Dedicated Lanes (Middle + Outer)
3.3. Lane Width Under Different Lane Configurations
- (1)
- Single Lane Configuration:
- (2)
- Two-Lane Configuration:
- (3)
- Lane Width Determination Based on Configuration and Location:
4. Discussion
- (1)
- Regardless of whether the vehicle is a passenger vehicle or large truck, the length of the circular curve, the parameters of the transition curve, and the superelevation have a relatively minor impact on the trajectory deviation of autonomous vehicles. The most significant influencing factor is vehicle speed.
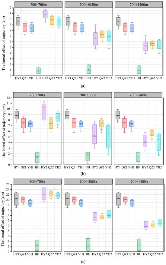
- (2)
- At design speeds of 60–130 km/h, the overall deviation range for passenger vehicles is approximately [8 cm, 12 cm]. However, when the design speed is 140–150 km/h, the trajectory deviation increases significantly with speed. Specifically, at a design speed of 150 km/h, the 85th percentile deviation approaches 25 cm. For large buses, the deviation range at design speeds of 60–100 km/h is [8 cm, 15 cm]. These results further confirm that the magnitude of trajectory deviation is closely related to the design speed.
- (3)
- For the scenario with a single dedicated lane, the required width range for an inner lane dedicated to passenger vehicles is [2.60 m, 3.00 m], while the width range for an outer lane dedicated to trucks is [3.10 m, 3.20 m]. In the case of two dedicated lanes, the width of the dedicated lane for passenger vehicles can be further reduced. Under design speeds not exceeding 150 km/h, the width range for the inner lane is [2.80 m, 3.00 m], and for the middle lane, it is [2.80 m, 3.10 m]. For trucks, the lane width is consistent with the values used for a single dedicated lane, with the primary controlling factor being the lateral wind safety clearance. This analysis demonstrates that the recommended lane widths for autonomous vehicle dedicated lanes are generally smaller than the corresponding standard lane widths, indicating that setting up dedicated lanes could effectively optimize highway land use and reduce construction costs.
Author Contributions
Funding
Institutional Review Board Statement
Informed Consent Statement
Data Availability Statement
Conflicts of Interest
References
- Tu, L.; Xu, M. An Analysis of the Use of Autonomous Vehicles in the Shared Mobility Market: Opportunities and Challenges. Sustainability 2024, 16, 6795. [Google Scholar] [CrossRef]
- Tengilimoglu, O.; Carsten, O.; Wadud, Z. Implications of Automated Vehicles for Physical Road Environment: A Comprehensive Review. Transp. Res. Part E Logist. Transp. Rev. 2023, 169, 102989. [Google Scholar] [CrossRef]
- Al-Turki, M.; Ratrout, N.T.; Rahman, S.M.; Reza, I. Impacts of Autonomous Vehicles on Traffic Flow Characteristics under Mixed Traffic Environment: Future Perspectives. Sustainability 2021, 13, 11052. [Google Scholar] [CrossRef]
- Ye, L.; Yamamoto, T. Impact of Dedicated Lanes for Connected and Autonomous Vehicle on Traffic Flow Throughput. Phys. A Stat. Mech. Its Appl. 2018, 512, 588–597. [Google Scholar] [CrossRef]
- Razmi Rad, S.; Farah, H.; Taale, H.; van Arem, B.; Hoogendoorn, S.P. Design and Operation of Dedicated Lanes for Connected and Automated Vehicles on Motorways: A Conceptual Framework and Research Agenda. Transp. Res. Part C Emerg. Technol. 2020, 117, 102664. [Google Scholar] [CrossRef]
- Ghiasi, A.; Hussain, O.; Qian, Z.; Li, X.S. Lane Management with Variable Lane Width and Model Calibration for Connected Automated Vehicles. J. Transp. Eng. Part A Syst. 2020, 146, 04019075. [Google Scholar] [CrossRef]
- Gopalakrishna, D.; Carlson, P.J.; Sweatman, P.; Raghunathan, D.; Brown, L.; Serulle, N.U. Impacts of Automated Vehicles on Highway Infrastructure; USDOT: Washington, DC, USA, 2021.
- Intini, P.; Colonna, P.; Berloco, N.; Ranieri, V. Rethinking the Main Road Design Concepts for Future Automated Vehicles Native Roads. Eur. Transp./Trasp. Eur. 2019, 73, 1–28. [Google Scholar]
- Chang, X.; Li, H.; Rong, J.; Chen, X.; Wang, Y. Determining the Appropriate Lane Width at Urban Signalised Intersections—A Case Study in Beijing. IET Intell. Transp. Syst. 2019, 13, 1785–1791. [Google Scholar] [CrossRef]
- Chen, Z.; Wu, S.; Dai, Z.; Chen, Z.; Pan, C.; Xu, J. A Study of Vehicle Lateral Position Characteristics and Passenger Cars’ Special Lane Width on Expressways. Eng. Rep. 2024, 6, e12753. [Google Scholar] [CrossRef]
- JTG B01-2014; Technical Standard of Highway Engineering. Ministry of Transportation of the People’s Republic of China: Beijing, China, 2014.
- AASHTO. A Policy on Geometric Design of Highways and Streets, 7th ed.; American Association of State Highway and Transportation Officials: Wahington, DC, USA, 2018. [Google Scholar]
- TAC. Geometric Design Guide for Canadian Roads; TAC: Edmonton, AB, Canada, 2017. [Google Scholar]
- Gunay, B. Car Following Theory with Lateral Discomfort. Transp. Res. Part B Methodol. 2007, 41, 722–735. [Google Scholar] [CrossRef]
- Ding, R.; Pan, C.; Dai, Z.; Xu, J. Lateral Oscillation Characteristics of Vehicle Trajectories on the Straight Sections of Freeways. Appl. Sci. 2022, 12, 11498. [Google Scholar] [CrossRef]
- Chen, X.; Ma, D.; Liu, R.W. Application of Artificial Intelligence in Maritime Transportation. J. Mar. Sci. Eng. 2024, 12, 439. [Google Scholar] [CrossRef]
- Chen, X.; Wu, H.; Han, B.; Liu, W.; Montewka, J.; Liu, R.W. Orientation-Aware Ship Detection via a Rotation Feature Decoupling Supported Deep Learning Approach. Eng. Appl. Artif. Intell. 2023, 125, 106686. [Google Scholar] [CrossRef]
- Liu, J.; Guo, Z.; Shan, D.; Liu, X. Effective Lane Width for Cars Considering Lateral Oscillation Characteristics Based on High-Precision Field Data. Int. J. Transp. Sci. Technol. 2023; in press. [Google Scholar] [CrossRef]
- Sohrabi, A.; Machiani, S.G.; Jahangiri, A. Impact of an Exclusive Narrow Automated Vehicle Lane on Adjacent Lane Driver Behavior. Accid. Anal. Prev. 2023, 181, 106931. [Google Scholar] [CrossRef]
- J3016_202104: Taxonomy and Definitions for Terms Related to Driving Automation Systems for On-Road Motor Vehicles—SAE International. Available online: https://www.sae.org/standards/content/j3016_202104/ (accessed on 8 October 2024).
- Jiao, S.; Zhang, S.; Zhou, B.; Zhang, Z.; Xue, L. An Extended Car-Following Model Considering the Drivers’ Characteristics under a V2V Communication Environment. Sustainability 2020, 12, 1552. [Google Scholar] [CrossRef]
- JTG D20-2017; Design Specification for Highway Alignment. Ministry of Transportation of the People’s Republic of China: Beijing, China, 2017.
- Wang, X.-F.; Coulibaly, N.M.; Zeng, Q.; Wang, X.-F.; Coulibaly, N.M.; Zeng, Q. Influence of Highway Space Alignment Continuous Degradation in 3-Dimensional Space on Autonomous Vehicle Trajectory Deviation Based on PreScan Simulation. Digit. Transp. Saf. 2023, 2, 77–88. [Google Scholar] [CrossRef]
- Cerni, G.; Bassani, M. Naturalistic Driving Data Collection to Investigate into the Effects of Road Geometrics on Track Behaviour. Transp. Res. Part C Emerg. Technol. 2017, 77, 1–15. [Google Scholar] [CrossRef]
- Cao, L.; Feng, X.; Liu, J.; Zhou, G. Automatic Generation System for Autonomous Driving Simulation Scenarios Based on PreScan. Appl. Sci. 2024, 14, 1354. [Google Scholar] [CrossRef]
- Wang, T.; Qu, D.; Song, H.; Dai, S. A Hierarchical Framework of Decision Making and Trajectory Tracking Control for Autonomous Vehicles. Sustainability 2023, 15, 6375. [Google Scholar] [CrossRef]
- Song, H.; Qu, D.; Guo, H.; Zhang, K.; Wang, T. Lane-Changing Trajectory Tracking and Simulation of Autonomous Vehicles Based on Model Predictive Control. Sustainability 2022, 14, 13272. [Google Scholar] [CrossRef]
- Han, G.; Fu, W.; Wang, W.; Wu, Z. The Lateral Tracking Control for the Intelligent Vehicle Based on Adaptive PID Neural Network. Sensors 2017, 17, 1244. [Google Scholar] [CrossRef] [PubMed]
- AbdElmoniem, A.; Osama, A.; Abdelaziz, M.; Maged, S.A. A Path-Tracking Algorithm Using Predictive Stanley Lateral Controller. Int. J. Adv. Robot. Syst. 2020, 17, 1729881420974852. [Google Scholar] [CrossRef]
- Chen, Y.; Quddus, M.; Wang, X. Impact of Combined Alignments on Lane Departure: A Simulator Study for Mountainous Freeways. Transp. Res. Part C Emerg. Technol. 2018, 86, 346–359. [Google Scholar] [CrossRef]
- Wang, Y.; Gao, S.; Wang, Y.; Wang, P.; Zhou, Y.; Xu, Y. Robust Trajectory Tracking Control for Autonomous Vehicle Subject to Velocity-Varying and Uncertain Lateral Disturbance. Arch. Transp. 2021, 57, 7–23. [Google Scholar] [CrossRef]
- Uystepruyst, D.; Krajnović, S. Numerical Simulation of the Transient Aerodynamic Phenomena Induced by Passing Manoeuvres. J. Wind Eng. Ind. Aerodyn. 2013, 114, 62–71. [Google Scholar] [CrossRef]
- Marshall, S.D.; Snape, K.; Soper, D.; Sterling, M.; Gillmeier, S. The Aerodynamic Performance of a Platoon of Lorries in Close-Proximity during an Overtaking Manoeuvre. Front. Future Transp. 2024, 5, 1356539. [Google Scholar] [CrossRef]









| Level | Design Speed (km·h−1) | Circular Curve Length (m) | Transition Curve Parameter | Gradient (%) | Superelevation (%) |
|---|---|---|---|---|---|
| Level 1 | 60 | 6 s of travel | R/3 | −2 | 2 |
| Level 2 | 80 | 9 s of travel | R/2 | −1 | 4 |
| Level 3 | 100 | 12 s of travel | 2R/3 | 0 | 6 |
| Level 4 | 120 | 1 | 8 | ||
| Level 5 | 130 | 2 | |||
| Level 6 | 140 | ||||
| Level 7 | 150 |
| Level | Design Speed (km·h−1) | Circular Curve Length (m) | Transition Curve Parameter | Gradient (%) | Superelevation (%) |
|---|---|---|---|---|---|
| Level 1 | 60 | 6 s of travel | R/3 | −2 | 2 |
| Level 2 | 80 | 9 s of travel | R/2 | −1 | 4 |
| Level 3 | 100 | 12 s of travel | 2R/3 | 0 | 6 |
| Level 4 | 1 | 8 | |||
| Level 5 | 2 | ||||
| Level 6 | |||||
| Level 7 |
| Vehicle Type | Design Speed (km·h−1) | Radius of Forward Curve (m) | Ratio of Front and Rear Curve Radii | Circular Curve Length (m) | Transition Curve Length (m) |
|---|---|---|---|---|---|
| Passenger Car | 60 | 200 | 1.0 1.5 2.0 | 100 | 75 |
| 80 | 400 | 130 | 100 | ||
| 100 | 700 | 170 | 130 | ||
| 120 | 1000 | 200 | 150 | ||
| 130 | 1150 | 220 | 165 | ||
| 140 | 1300 | 235 | 180 | ||
| 150 | 1500 | 250 | 190 | ||
| Truck | 60 | 200 | 1.0 | 100 | 75 |
| 80 | 400 | 1.5 | 130 | 100 | |
| 100 | 700 | 2.0 | 170 | 130 |
| Average Value | 85% Quartile Value | Maximum Value | Standard Deviation | |||||
|---|---|---|---|---|---|---|---|---|
| F | Notability | F | Notability | F | Notability | F | Notability | |
| Modified model | 41.047 | 0.000 | 39.900 | 0.000 | 15.281 | 0.000 | 4.758 | 0.000 |
| Design speed | 112.362 | 0.000 | 105.072 | 0.000 | 34.251 | 0.000 | 5.878 | 0.000 |
| Circular curve length | 1.241 | 0.303 | 4.884 | 0.014 | 1.133 | 0.335 | 2.735 | 0.081 |
| Transition curve parameter | 1.823 | 0.178 | 4.570 | 0.018 | 14.016 | 0.000 | 10.697 | 0.000 |
| Gradient | 3.837 | 0.012 | 6.012 | 0.001 | 4.646 | 0.005 | 3.574 | 0.016 |
| Superelevation | 0.719 | 0.548 | 1.634 | 0.202 | 1.794 | 0.169 | 1.488 | 0.237 |
| R2 | 0.957 | 0.956 | 0.893 | 0.723 | ||||
| Modified R2 | 0.934 | 0.932 | 0.835 | 0.571 | ||||
| Average Value | 85% Quartile Value | Maximum Value | Standard Deviation | |||||
|---|---|---|---|---|---|---|---|---|
| F | Notability | F | Notability | F | Notability | F | Notability | |
| Modified model | 28.676 | 0.000 | 5.375 | 0.004 | 9.551 | 0.000 | 4.853 | 0.006 |
| Design speed | 138.559 | 0.000 | 7.398 | 0.009 | 15.215 | 0.001 | 2.141 | 0.164 |
| Circular curve length | 3.514 | 0.066 | 0.455 | 0.646 | 6.437 | 0.014 | 2.606 | 0.118 |
| Transition curve parameter | 2.668 | 0.114 | 14.034 | 0.001 | 15.240 | 0.001 | 14.255 | 0.001 |
| Gradient | 20.486 | 0.000 | 5.884 | 0.009 | 11.347 | 0.001 | 5.166 | 0.014 |
| Superelevation | 0.452 | 0.721 | 0.856 | 0.492 | 1.664 | 0.232 | 1.472 | 0.276 |
| R2 | 0.971 | 0.864 | 0.919 | 0.852 | ||||
| Modified R2 | 0.937 | 0.703 | 0.822 | 0.676 | ||||
| Passenger car | Design speed (km·h−1) | Single lane | Dual lanes | ||||||||
| Inside lane width (m) | Outside lane width (m) | Inside lane width (m) | Center lane width (m) | Outside lane width (m) | |||||||
| Calculated value | Difference from the norm * | Calculated value | Difference from the norm * | Calculated value | Difference from the norm * | Calculated value | Difference from the norm * | Calculated value | Difference from the norm * | ||
| 60 | 2.67 | −0.83 | 2.43 | −1.07 | 2.82 | −0.68 | 2.83 | −0.67 | 2.58 | −0.92 | |
| 80 | 2.61 | −1.14 | 2.37 | −1.38 | 2.77 | −0.98 | 2.78 | −0.97 | 2.53 | −1.22 | |
| 100 | 2.61 | −1.14 | 2.37 | −1.38 | 2.77 | −0.98 | 2.78 | −0.97 | 2.53 | −1.22 | |
| 120 | 2.67 | −1.08 | 2.43 | −1.32 | 2.82 | −0.93 | 2.83 | −0.92 | 2.58 | −1.17 | |
| 130 | 2.85 | −0.9 | 2.61 | −1.14 | 2.86 | −0.89 | 2.99 | −0.76 | 2.62 | −1.13 | |
| 140 | 2.92 | −0.83 | 2.68 | −1.07 | 2.91 | −0.84 | 3.04 | −0.71 | 2.67 | −1.08 | |
| 150 | 3.01 | −0.74 | 2.77 | −0.98 | 2.98 | −0.77 | 3.11 | −0.64 | 2.74 | −1.01 | |
| Truck | Design speed (km·h−1) | Single lane and dual lanes | |||||||||
| Outside lane width (m) | Width of center lane (m) | ||||||||||
| Calculated value | Difference from the norm * | Calculated value | Difference from the norm * | ||||||||
| 60 | 3.07 | −0.68 | 3.39 | −0.36 | |||||||
| 80 | 3.09 | −0.66 | 3.41 | −0.34 | |||||||
| 100 | 3.16 | −0.34 | 3.48 | −0.02 | |||||||
Disclaimer/Publisher’s Note: The statements, opinions and data contained in all publications are solely those of the individual author(s) and contributor(s) and not of MDPI and/or the editor(s). MDPI and/or the editor(s) disclaim responsibility for any injury to people or property resulting from any ideas, methods, instructions or products referred to in the content. |
© 2024 by the authors. Licensee MDPI, Basel, Switzerland. This article is an open access article distributed under the terms and conditions of the Creative Commons Attribution (CC BY) license (https://creativecommons.org/licenses/by/4.0/).
Share and Cite
Cao, Y.; Liao, Y.; Lai, J.; Shen, T.; Wang, X. Study on the Deviation Characteristics of Driving Trajectories for Autonomous Vehicles and the Design of Dedicated Lane Widths. Sustainability 2024, 16, 9155. https://doi.org/10.3390/su16219155
Cao Y, Liao Y, Lai J, Shen T, Wang X. Study on the Deviation Characteristics of Driving Trajectories for Autonomous Vehicles and the Design of Dedicated Lane Widths. Sustainability. 2024; 16(21):9155. https://doi.org/10.3390/su16219155
Chicago/Turabian StyleCao, Yuansheng, Yonggang Liao, Jiancong Lai, Tianjie Shen, and Xiaofei Wang. 2024. "Study on the Deviation Characteristics of Driving Trajectories for Autonomous Vehicles and the Design of Dedicated Lane Widths" Sustainability 16, no. 21: 9155. https://doi.org/10.3390/su16219155
APA StyleCao, Y., Liao, Y., Lai, J., Shen, T., & Wang, X. (2024). Study on the Deviation Characteristics of Driving Trajectories for Autonomous Vehicles and the Design of Dedicated Lane Widths. Sustainability, 16(21), 9155. https://doi.org/10.3390/su16219155
