Next Article in Journal
Understanding Crop Diversification Among Smallholder Farmers: Socioeconomic Insights from Central Malawi
Next Article in Special Issue
Does the Innovative City Pilot Policy Improve Urban Resilience? Evidence from China
Previous Article in Journal
Experimental Study on the Protective Effect of High Alcoholysis Polyvinyl Alcohol (PVA) Solution Spraying on Loess Fill Slopes
Previous Article in Special Issue
Cross-Sectoral and Multilevel Dimensions of Risk and Resilience Management in Urban Areas Enabled by Geospatial Data Processing
 
 
Font Type:
Arial Georgia Verdana
Font Size:
Aa Aa Aa
Line Spacing:
Column Width:
Background:
Article

Assessing the Cascading Post-Earthquake Fire-Risk Scenario in Urban Centres

1
Department of Civil Engineering, Advanced Production and Intelligent Systems (ARISE), Institute for Sustainability and Innovation in Structural Engineering (ISISE), University of Minho, Campus de Azurém, 4800-058 Guimarães, Portugal
2
Department of Engineering, School of Computing and Engineering, University of Huddersfield, Queensgate, Huddersfield HD1 3DH, UK
3
Department of Civil, Environmental and Mechanical Engineering, University of Trento, Via Mesiano 77, 38123 Trento, Italy
4
Câmara Municipal de Lisboa, 1749-099 Lisbon, Portugal
*
Author to whom correspondence should be addressed.
Sustainability 2024, 16(20), 9075; https://doi.org/10.3390/su16209075
Submission received: 11 September 2024 / Revised: 16 October 2024 / Accepted: 17 October 2024 / Published: 19 October 2024
(This article belongs to the Special Issue Urban Resilience and Sustainable Construction Under Disaster Risk)

Abstract

The frequency of urban fires has grown in recent years everywhere, especially in historic districts, including in Portugal, due to the existence of sensitive igniting materials, the proximity of buildings, the complex urban layout, and the presence of many people. The current study proposes a technique, applied in the Baixa Pombalina (downtown) area in Lisbon, to undertake an appropriate evaluation of the post-earthquake fire cascading effect, which may cause major damage. The earthquake vulnerability and damage scenario were carried out using the Risk-UE method. An empirical fire ignition model was then applied to determine the quantity and location of fire ignitions for different return periods. Furthermore, the simple fire spread Hamada’s model was applied to both the equally spaced grid buildings, as in the original Hamada procedure, and the current study area layout for different time thresholds. Finally, the risk assessment for both models was carried out, allowing for the estimation of earthquake and fire losses, respectively. The results demonstrated that the models are comparable, showing that the Hamada model might be a useful tool for large-scale evaluations aimed at disaster-risk reduction and management since it gives useful information for managing and reducing natural and anthropogenic hazards.

1. Introduction

Natural hazards are expected to increase losses to communities and urban areas as a result of changes in the severity, frequency, and spatial distribution of catastrophic events caused by factors such as population growth, unregulated urbanisation, climate change, and inadequate disaster-risk management [1,2,3]. An international effort has been made in response to the growing importance of this issue, with the Hyogo Framework for Action, HFA [4], and the UN Sendai Framework for Disaster Risk Reduction 2015–2030 [5], which emphasised the importance of understanding risk to better implement mitigation strategies. However, some authors have highlighted that a site is commonly subject to various hazards [2,3,6,7,8]. As a consequence, an effective disaster risk-reduction strategy may be realised if all potential hazards are analysed concurrently, resulting in a multi-hazard perspective. Despite this, a majority of vulnerability and risk assessment approaches, particularly in historical areas, examine just one hazard at a time [1,7,9]. Indeed, multi-hazard evaluation is a difficult endeavour, especially given the geographical and temporal overlap of different hazards which may result in complex interactions between them. All of these concerns become more acute in historic city centres, where the complexity of the physical environment, as well as the simultaneous existence of tangible and intangible values, exacerbates the challenges of their preservation [1,3,7,8]. Different definitions of hazard interactions may be found in the literature [8,10]; nevertheless, according to [8], they can be classified as independent, triggering or cascading, change conditions, compound hazard, and mutual exclusion; see [8] for a further explanation.
A typical cascading effect, i.e., a primary event that leads to one or more secondary events occurring [8], that affects urban settlements is the fires that may originate following an earthquake, which is typically caused by a powerful ground shaking that seriously damage systems, causing leaks in gas or electrical lines, as well as the overturning of combustible equipment or material, finally ending up in fire ignitions [11]. This phenomenon is usually referred to as Post-Earthquake Fire (PEF), or Fires Following Earthquake (FFE), and it has been found to have significant consequences to the point where, in certain cases, the damage produced by the PEF can exceed the losses directly caused by the earthquake [11]. The two most commonly referenced example events in the literature [11,12] are the 1906 San Francisco earthquake and the 1923 Kanto earthquake. As reported in [12,13], on 18 April 1906, a large earthquake of magnitude 8.3 on the Richter scale devastated the city of San Francisco, followed by more than 50 fires, mostly caused by gas line ruptures, damage to chimneys, and short circuits in electrical wiring. The earthquake caused significant damage to buildings and infrastructure, but fire was responsible for more than 80% of the reported damage. Over 3000 people perished, and over 28,000 structures, most of which were made of timber, were destroyed. Next, as cited in [13], on 1 September 1923, an earthquake of 8.3 magnitude on the Richter scale, followed by two days of fires, hit the Kanto region. It is reported that over 140,000 people died, while many others were injured. The fire contributed to around 78% of the total economic loss and was the main cause of the partial or total destruction of more than 694,000 houses. In recent years, PEF has also caused significant losses. For example, [13] reported that, on 11 March 2011, the Tohoku earthquake (Japan) and subsequent tsunami also resulted in multiple fires, which quickly grew to more than 293 distinct fires. In this latter event (9.0 of magnitude on the Richter scale), the majority of fires caused by the earthquake had a building-based origin, whereas fires caused by tsunami waves resulted from the discharge and spread of dangerous materials. It is important to remember that, for high-intensity earthquakes, the moment magnitude (Mw), which is connected to the energy released by a seismic event, is generally used rather than the Richter magnitude (ML).
According to the statistics shown above, even though PEF is a low-probability phenomenon, severe earthquakes in urban areas have resulted in concurrent outbreaks of multiple fires, some of which have spread throughout the city. As a result, post-earthquake fires may have a large impact on communities, incurring significant human and economic losses [12,14]. Therefore, the topic is undoubtedly intriguing and deserves more investigation. As explained by [12], although the subject of evaluating fire risk has acquired importance for more than 60 years, the problem of PEF ignition and propagation, especially in historical city centres, has received little consideration. Many factors, including the availability of combustible materials, building materials, firefighter capability, and wind direction and speed, the number of collapsed buildings, narrow streets, and many others, have been identified as contributing to the spread of fires after an earthquake and the subsequent high fire losses [11]. These issues are particularly acute in historic districts, where the high density of combustible materials, lack of maintenance, favourable propagation conditions between buildings, and complex urban layout contribute to increasing the fire risk and make evacuation of residents even more difficult in the event of a fire emergency [15].
Given these issues, the present research seeks to develop an integrated cascading risk scenario due to the earthquake–fire effect, with an emphasis on historical cities. The case study will explicitly analyse the PEF risk of typical ordinary unreinforced masonry structures (URM) in the city of Lisbon that have already experienced similar events [16,17]. The exposure model was developed using remote-sensing techniques and then integrated into a QGIS system [18]. Seismic vulnerability and damage scenarios for different return periods were simulated with the Risk-UE approach [19]. Then, using a simplified fire ignition model [20,21], it was possible to determine the number and locations of fires that could originate following an earthquake. Subsequently, the fire spread model described in [22] enabled the assessment of the possible spread within the city. Finally, a comprehensive assessment of the expected losses, i.e., building’s economic losses as a result of PEF’s triggering impact, was carried out to have an overview of the asset exposed to risk. The ongoing research aims to address the issue of multi-risk in urban areas, so the proposed analyses serve as a starting point for more detailed investigations.

2. Materials and Methods

The methodology presented in this paper for PEF risk assessment is divided into five main steps: (i) earthquake damage simulation, (ii) fire ignition analysis, (iii) fire spread analysis, (iv) fire vulnerability analysis, and (v) fire-risk assessment, as explained in the following sections. The workflow is also illustrated in the flowchart in Figure 1.

2.1. Earthquake Damage Simulation

The seismic vulnerability and damage simulation has been performed for different return periods, specifically 475–975–2500–5000 years, and it has been calculated following the Risk-UE procedure [19], which is a methodology that classifies the buildings according to the Building Typology Matrix (BTM) and defines the damage levels according to the European Macroseismic Scale (EMS-98) by [23].
The first step of the methodology is to calculate the vulnerability of each building through the following equation [19]:
V - I = V I * + Δ V R + Δ V m ,
where V I * is the most probable value of the vulnerability index of the corresponding building class, Δ V R is the regional vulnerability factor that takes into account the unique qualities of some building types regionally, and Δ V m   is the sum of the behaviour modifiers that alter the vulnerability index’s overall score for each building by accounting for particular characteristics (e.g., plan regularity or state of preservation).
The second step is to estimate the mean damage grade ( μ D ), which is based on 6 damage states (Dk = 0, 1, 2, ..., 5) derived from the European Macroseismic Scale (EMS-98) by [23]: D0, μ D   0.5 (no damage); D1, 0.5 < μ D   1 (negligible damage); D2, 1 < μ D   2 (moderate damage); D3, 2 < μ D   3 (substantial damage); D4, 3 < μ D   4 (near collapse); and D5, 4 < μ D   5 (collapse). The μ D is then estimated through the following formula [19]:
μ D = 2.5   × 1 + tanh I + 6.25   V - I 13.1 Q ,
where I is the macroseismic intensity of the earthquake; V - I is the vulnerability index previously introduced; and Q is the ductility factor, which is correlated to the building ductility and can generally range from 1 to 4 but was assigned a value of 2.3 in the current study [24,25]. Indeed, the validation performed by [25], which compared mechanical capacity curves to the macroseismic method, verified that a ductility index of 2.3 is appropriate for buildings without ductile behaviour, such as masonry buildings.
Subsequently, the resulting damages obtained by applying Equation (2) allowed to estimate the frequency of the expected damage to develop the Damage Probability Matrices (DPMs). The DPMs are a statistical analysis of the damage caused by an earthquake, derived by grouping the damage by frequency classes for a specific intensity. Then, it is possible to compare them with the weighted average of damages, μ D , through the following equation [24,25]:
p k = 5 ! k ! 5 k ! × μ D 5 k × 1 μ D 5 5 k μ D = k = 0 5 p w × k ,
The fragility curves, which relate the intensity measure to the probability that the damage is equal to or higher than a certain damage state, Dk, have also been used to assess the vulnerability of the area under examination. The fragility curves were calculated firstly by using the binomial distribution function for each macroseismic intensity, as shown previously in Equation (3). Subsequently, the cumulative probability mass function was used as follows [24]:
P D i D k I = k = 0 5 p k   ,
Since the seismic input is generally specified in terms of the PGA, the estimate of the fragility curves using the macroseismic intensity has limited application [24]. However, the fragility curves for this specific study were calculated using PGA, taking into consideration the following relationship between macroseismic intensity and PGA (I-PGA) [24]:
log(PGA) = c1 × I − c2,
where the empirical coefficients c1 and c2 are constant and equal to 0.602 and 7.073, respectively [24].

2.2. Fire Ignition Analysis

Developing the ignition model for the area under investigation requires identifying the number of ignited structures and their location for a certain earthquake intensity [26,27,28]. Most ignition models use regression approaches based on historical PEF event statistics that relate a certain seismic intensity to the ignition frequency [20,29].
Starting from the works developed by [20,21], the procedure adopted in this study can be divided into three main steps: (i) given a seismic intensity, apply a regression model to calculate the number of ignited buildings; (ii) use a probabilistic model to calculate the igniting probability of each building; and (iii) choose the ignited buildings through the highest igniting probability of any of them.
For the first step, the [21] ignition model was used, which adopts a regression model based on post-earthquake fire records from China, America, and Japan from 1900 to 1996, resulting in a new second-order relationship [21]:
y = −0.11749 + 1.34534 x − 0.8476 x2,
where y is the number of ignited buildings per 100,000 m2, and x is the PGA expressed in g.
The second step is to calculate the probability that a building will ignite, as follows [21]:
P(RJi) = P(M) × P(FK|M) × P(DJ) × P(G),
where the functional terms are as follows:
  • P(M) is the likelihood that a building contains or is made of flammable materials;
  • P(FK|M) is the probability that different combustible materials can be found in a building;
  • P(DJ) is the influence of the seismic damage of a building on the probability of a fire occurring;
  • P(G) is the index of external factors such as weather, season, and environment.
The value of P(M) is set to 1 for structures that contain flammable materials and 0 for those that do not. P(FK|M) is classified into five groups, each with a distinct value according to the type of flammable material present. P(G) is subdivided into three groups with different values based on whether external conditions are disadvantageous, neutral, or advantageous, as reported in [21]. Finally, the term P(DJ) can be calculated according to [21]:
P ( D J ) = P ( D J | I i )   ×   P ( C J | D J )   ×   P ( S J | D J ) ,
where we have the following:
  • P(DJ|Ii) is the probability that a structure suffers a damaged state, DJ, given a certain PGA;
  • P(CJ|DJ) is the probability that ignitable material can leak and spread for a specific degree of damage;
  • P(SJ|DJ) is the probability that the ignition will cause a specific degree of damage.
The terms P(CJ|DJ), and P(SJ|DJ) are classified into five groups, each with a distinct value according to the degree of damage to the building (see [21]). However, as noted by [20], the term P(DJ|Ii) was not explained in [21]. Therefore, in the present study, the probability that the building exhibits a damaged state, DJ, given a PGA is calculated according to the DPM seismic damage simulation.
The third step of the procedure is to select the buildings with the highest igniting probability. However, as noted also by [20], the igniting probability given in Equation (7) may overestimate the ignition risk. Therefore, [20] proposed the building ignition index, r, which represents a relative igniting risk for different buildings, as follows [20]:
r = P ( R Ji ) P ( R ) max ×   100 ,
where P(R)max is 0.867 and represents the maximum value that can result from Equations (7) and (8) by considering the worst conditions for each term [20].

2.3. Fire Spread Analysis

In general, developing fire spread models includes modelling both development in a single structure and spread across neighbouring buildings. A majority of fire spread models are physics-based rather than empirical [20,29]. To analyse fire spread throughout the city, the spread model given in [22] was employed. FEMA’s fire spread in urban settings is based on a model developed by [30] for fire propagation in Japanese metropolitan areas. The Hamada model is based on the premise that an urban area consists of a series of equal-sized (plan area) buildings with equal spacing between them. Furthermore, it is assumed that fire spreads in an elliptical form, which corresponds to fires burning with an evenly distributed fuel load and constant wind velocity. It has been observed that urban fires move initially along this trend, but the ultimate form of the fire spread varies due to differences in fuel loading, wind changes, and fire suppression operations [22,31]. The approach is based on simple empirical equations and employs the variables Ks, Kd, and Ku to describe the distance a fire spreads in the sideways, downwind, and upwind directions as a function of time since ignition [22,31]; see Figure 2. It is important to note that, in Figure 2, the time-factors, t1, t2, and t3, reflect distinct time thresholds after ignition, and thus the distances, Ks, Kd, and Ku, will assume different values as the time after ignition increases [22].
The K values are determined by several parameters, including the average plan dimension (a) of a structure, the average building separation distance (d), the building density factor (δ), the percentage of fire-resistant buildings (fb), and the wind speed (V). However, in the FEMA version, the K values are slightly changed, namely K’s, K’d, and K’u, to account for the fact that the Hamada model’s fire spreading rates (Ks, Kd, and Ku) differ even when the wind speed approaches zero [22,31]. In the present study, the fire spread ellipses were calculated with [22] methodology for different times from ignition (15, 30, and 60 min). These time intervals were used to represent the minimum, average, and maximum durations for the fire spread simulation, respectively. However, other simulations can be conducted using intermediate times or by determining possible scenarios through data interpolation. However, these time frames have been applied to two types of study area layouts: Hamada’s assumption of equal-size and equal-spaced buildings, as well as the real building footprint area. It is also important to point out that, in this simplified evaluation, no differences in fuel loading, wind changes, and fire suppression operations were taken into account.

2.4. Fire Vulnerability Analysis

In the present study, the vulnerability to fire was proposed as the burned ratio. For each of the fire spread ellipses (15, 30, and 60 min), the burned ratio of building i-th (br,i) was calculated as the burned area (Ab,i) divided by the total plan area of the building (Ai):
b r , i   = A b , i A i ,

2.5. Fire Risk Analysis

To calculate the risk in terms of PEF losses, firstly the earthquake losses for each building, i (Li,EQ), were calculated as follows:
Li,EQ = DRi × Ei,
where Ei is the monetary exposure of the building, while DR is the damage ratio, which normally represents the ratio of the repair cost (dependent on the damage state, DS, of a building) to its replacement value [32,33]. Specifically, the damage-to-loss model proposed by [34] was applied to relate the damage ratio, DR, with the damage state of the building, which is equal to 0, 0.01, 0.2, 0.4, 0.8, and 1 for grades D0, D1, D2, D3, D4, and D5, respectively. In the present study, the market value was used instead of the replacement value due to a lack of data. Therefore, the monetary exposure of buildings (Ei) was calculated by multiplying the floor area (Aj) by the number of floors (nj) and by the market value of each floor (Vm,j), according to the following [9]:
E i = j = 1 n A j × n   j × V m , j ,
The market value may be derived from Census data (see [35]), specifically 5200 EUR/m2 for commercial areas and 3788 EUR/m2 for residential areas [9].
The double-counting of losses is one of the main issues with evaluating losses in the event of an earthquake-caused fire. As a result, the total cost should include the cost of repairing all damages, with no duplications accounting. This issue, sometimes known as “burnt rubble”, has already been addressed by other authors, such as [36], who describe a methodology that allows for the combination of results from the single hazard while accounting for the influence of “burnt rubble” and avoiding double-counting. This aspect is very important, and for this reason, the authors proposed an easy method in order to avoid the double-counting of losses: after calculating Li,EQ, the residual value of the building (Ri) was calculated as the remaining value of the building after earthquake losses, as follows:
Ri = Ei − Li,EQ,
Then, to relate the residual value of the building after an earthquake with the losses due to fire (Li,F), the fire vulnerability model adopted in the present study can be used. Specifically, the residual value of each building, Ri, was multiplied by the burned ratio (br,i) to understand the losses due to fire:
Li,F = br,i × Ri,
Finally, the total losses were calculated as the sum of earthquake losses and fire losses as follows:
LTOT = Li,EQ + Li,F,

3. Results

3.1. Case Study

The case study focuses on a specific location in the city of Lisbon, which is located on the right bank of the Tagus River estuary. Lisbon, a historically vulnerable city, has faced a variety of hazards over time, including earthquakes and fires [16,37]. The case study focuses on the downtown area, namely Baixa Pombalina (see Figure 3), which is the heart of the historic centre and has significant historical value [9,38].

3.1.1. History of Hazards

Lisbon is vulnerable to seismic activity because of its location on the Eurasian plate near the boundary with the African plate, which has resulted in significant earthquakes throughout its history [37,40]. Important events were the “Lower Tagus Valley earthquake” in 1531 (magnitude of 6.5–7.1), which caused major damage in the city downtown and surrounding areas [41,42]; the “Benavente earthquake” in 1909 (magnitude of 6.3), which occurred in the area of Benavente (about 60 km northeast of Lisbon) and mostly affected the eastern part of Lisbon, where the damage was moderate [37]; and the “Algarve earthquake” in 1969, centred offshore, to the south of Algarve (magnitude of 7.8), that mainly caused the collapse of chimneys in Lisbon [37]. However, the most relevant event to examine for this study was the “Great Lisbon Earthquake” in 1755, situated offshore (estimated magnitude of 8.5–8.7 on the Richter scale), which generated a cascade effect, with a tsunami and fire [37,41].
According to [43], residential fires are the most common type of urban fires in countries such as Portugal, China, and the United States, particularly in low-income and densely populated areas. Specifically, in Portugal, older buildings with more combustible materials, poor maintenance, and inadequate electrical systems are more prone to catching fire. As stated in [17,37], the fires that originated from the 1755 Lisbon earthquake contributed to losses. In this tragedy, the narrow streets and debris contributed to the difficulties in the evacuation of people and did not allow for suitable rescue [17]. More recently, on 25 August 1988, the so-called “Chiado Fire” devastated Lisbon, and it is claimed to have been the most damaging disaster in the city since the 1755 earthquake in terms of damaged areas and destroyed buildings. This fire began in Rua do Carmo in the Chiado area (near the Baixa district) and quickly spread to Rua Garrett, destroying 18 commercial buildings in Chiado, killing two people, injuring 73, leaving 300 people homeless, and displacing over 2000 workers. The fire began at 5:00 a.m. and spread quickly due to highly flammable and explosive materials kept in the affected buildings, and past incorrect rehabilitation and urban works [16,38].

3.1.2. Building Characteristics of the Area

As stated, the Baixa Pombalina area is historically significant for seismic losses. Its rebuilding introduced a specific seismic-resistant architectural type known as “Pombalino”, so named because of the prime minister, Marquis of Pombal, who ordered the reconstruction of the area [37,38]. The structural system consists of a series of interior walls known as “frontal” which are composed of a wood frame composed of three-dimensional triangle geometry (“Pombalino cage”), filled with low-quality masonry, and joined to the orthogonal walls by vertical studs in the corners (see [9,37,38]). In addition to using specific construction techniques to increase building seismic resistance, various innovations were used to improve the fire safety of the area. Indeed, the irregular and narrow streets of the Medieval city were replaced with a regular orthogonal grid of wide streets to offer residents speedy escape routes in the case of a building collapse and to enhance rescue-team access. The structures were erected on fire-resistant vaulted masonry bases, with the masonry walls of neighbouring buildings continuing up through the buildings, including the roofs, to provide fire separation between each unit [17].
The first step in implementing a risk assessment method, particularly on an urban scale, is to develop an exposure model that depicts all assets that, owing to their position in hazardous zones, may be exposed to loss. Particularly, the exposure of a building may be determined primarily by its position and monetary value [1,9]. As a result, all exposed assets must be accurately identified and classified to establish a reliable inventory with the necessary physical characteristics; see Figure 4.
As presented in [9], the exposure model of the area was evaluated by creating a comprehensive inventory of important features (e.g., number of floors, physical condition, and building typology) obtained from remote resources, e.g., Google Maps, Census data, and the literature, and then visualised inside the QGIS environment [18]. According to [9], the area consists of 393 ordinary structures, the bulk of which are unreinforced masonry “Pombalino” typologies (82% of the cases) and others constructed of RC (reinforced concrete) 18% of the sample. Refer to [9] for other relevant building features. The monetary value was calculated through Equation (12), as discussed in Section 2.5.

3.2. Fire Simulation

As described in Section 2, the post-earthquake fire evaluation begins by analysing the earthquake damage. Firstly, the seismic hazard intensities in terms of both PGA and macroseismic intensity were assessed. According to [44,45], a PGA of 0.17g for a 475-year return period was assigned for the city of Lisbon. As indicated in [9], two empirical formulations that can be found in [46] were used to calculate the PGA for consecutive return periods (975–2500–5000 years) and then to relate them to the EMS-98 macroseismic intensity (see Table 1). It is particularly important to note that the EMS-98 intensities vary slightly between different return periods; nonetheless, the percentage difference between 475 and 975 years is set at 5%, 11% between 475 and 2500, and 15% between 475 and 5000.
Subsequently, the vulnerability index was evaluated (see Equation (1)) for each URM ordinary building according to the Risk-UE methodology [19]. The Pombalino typology was assumed to be the M3.1 typology suggested in the Building Typology Matrix (BTM) proposed in the Risk-UE method. M3.1 typology corresponds to URM-Wooden slabs with the most probable value of the vulnerability index, V I * , being equal to 0.74; the ∆VR, regional vulnerability factor, was assumed to be equal to 0 due to the lack of data, while the behaviour modifiers (∆Vm) were added based on building characteristics (see Figure 5) [9].
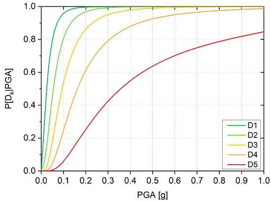
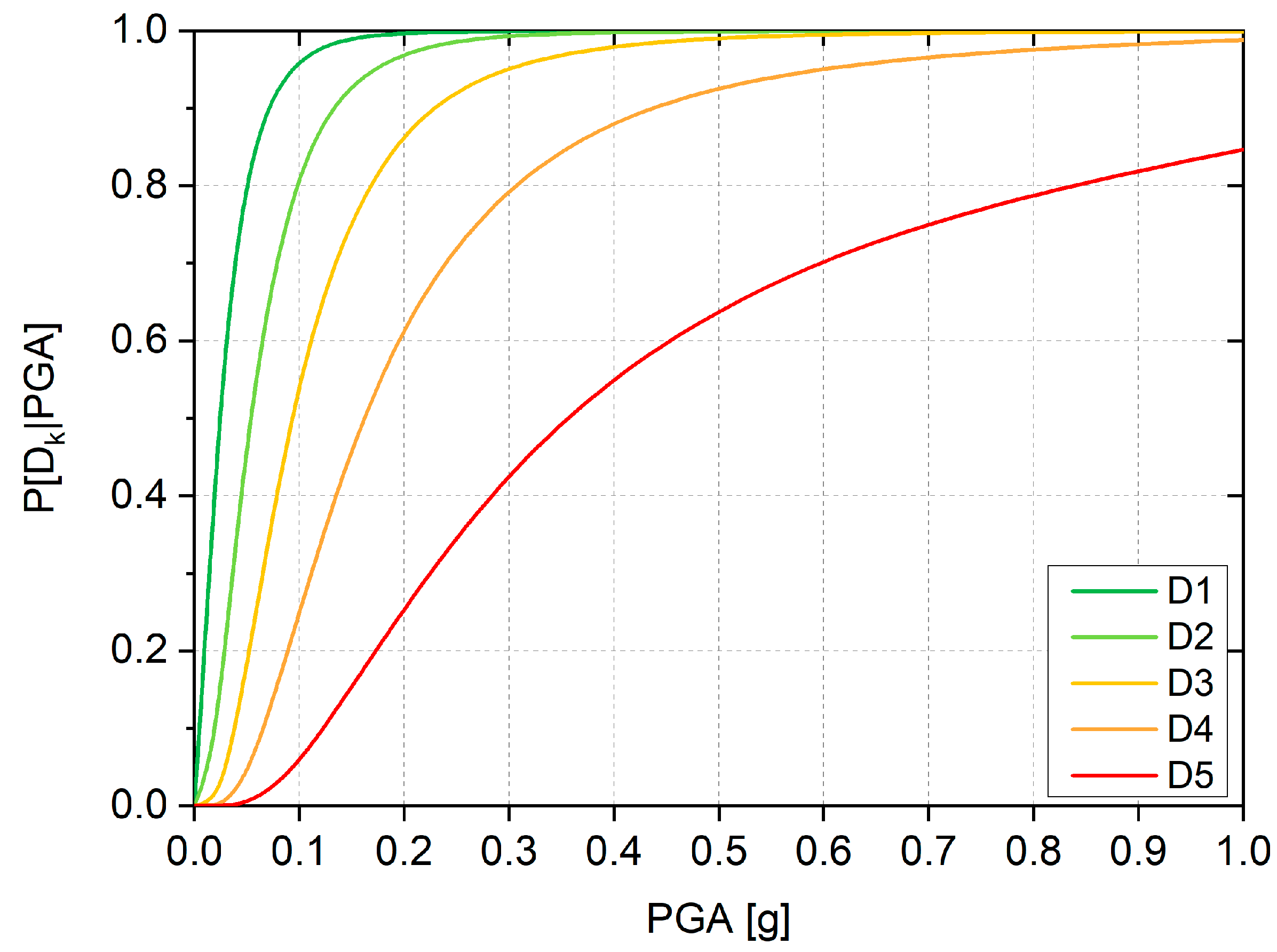
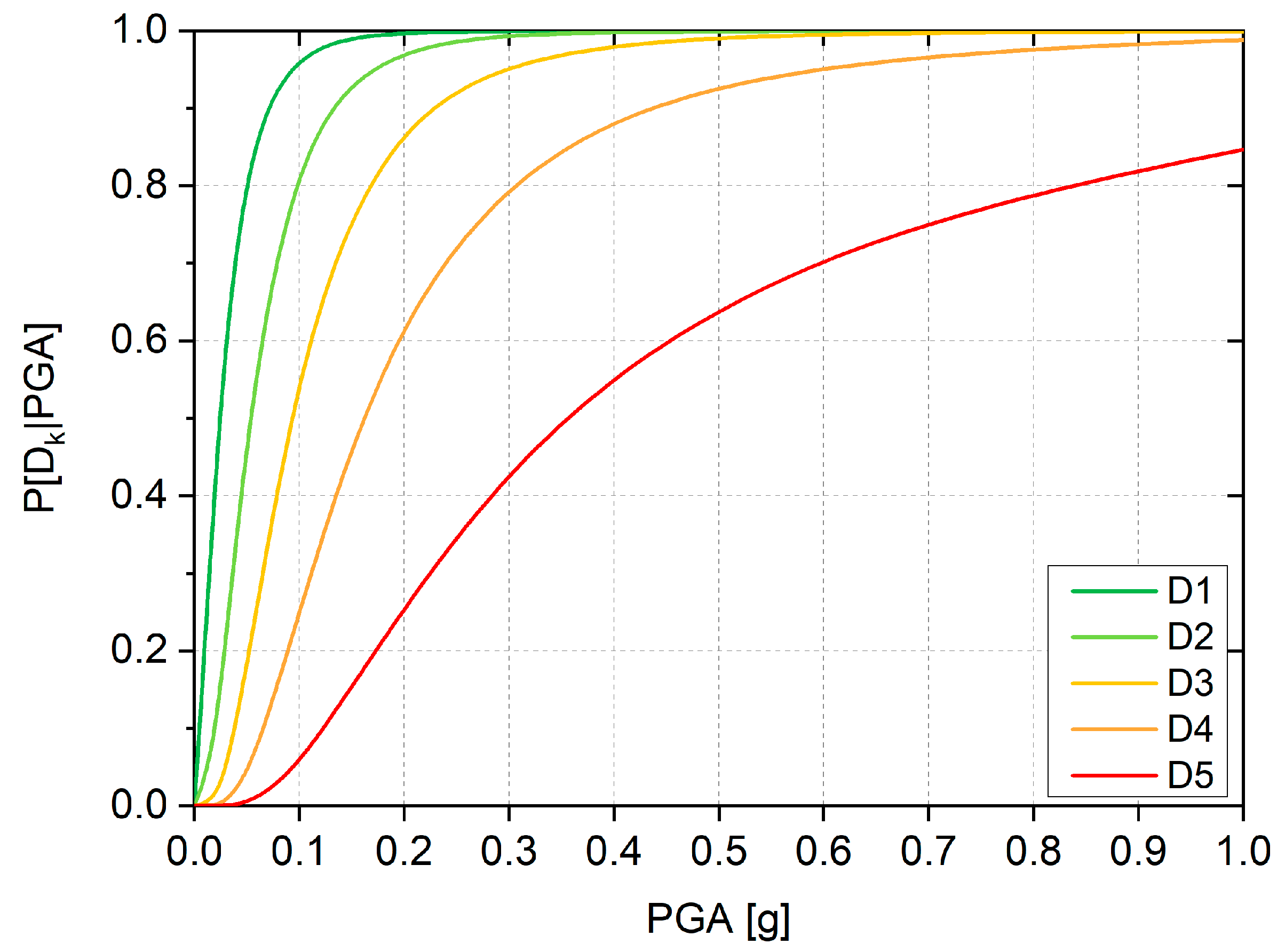
Subsequently, the μ D and DPM for each selected return period (475–975–2500–5000 years) were evaluated. The results are shown in Figure 6. According to the computed DPM, the relative frequency of damage states was analysed, as shown in Table 2. Finally, the fragility curves were evaluated in terms of PGA for the M3.1 buildings (Figure 7). For illustrative purposes, two scenarios with return periods of 475 years and 5000 years are examined, as they represent the lower and upper bounds of the expected and conducted damage simulations. In the 475-year scenario, most buildings exhibit damage levels D3 and D4, accounting for 53% and 44% of the sample, respectively, while only 3% show damage level D2. In the 5000-year scenario, 49% of the buildings (160) are classified as having damage level D4, while 51% (164 buildings) reach damage level D5.
Following the earthquake damage simulation, a fire ignition estimation was performed. In terms of fire safety, buildings can also be categorised using different classification schemes, including ISO [47], where Class 1 structures are the least fire-resistant and Class 6 buildings are the most. Commercial construction is categorised by the ISO into six “classes” based on the potential impact of a fire related with the type of materials used, the percentage of each type of material used, and the potential damage a structure might suffer in the event of catching fire. In the case of Pombalino structures, the structure can be categorised as ISO 2, —Joisted Masonry, which is distinguished by masonry external walls but with flammable floors and roofs. This group is one of the most vulnerable to fire damage because the use of combustible materials inside allows fire to spread quickly [47]. First, Equation (6) was used to compute the number of ignited buildings per 100,000 m2, which was then related to the case study’s total building floor area (TFA), equal to 576,672 m2. Table 3 shows that for shorter return periods, only one building may ignite, but for higher return periods, two structures may ignite.
The ignition model shows that given the return periods under consideration, two fire spread scenarios may occur: one for shorter return periods, in which only one structure may ignite; and another for longer return periods, in which two buildings may ignite.
The last step is to determine which structures could catch fire using the ignition probability predicted by Equations (7)–(9). The term P(M) (the probability that a building includes or is made of combustible materials) was assigned a value equal to 1 for masonry structures. The term P(FK|M) (the probability that each type of combustible material will be found in a building) was calculated using set values of 0.89 (flammable material such as clothing and paper) for the ground floor and 0.675 (brick constructions with wooden elements such as doors, windows, and furniture) for the upper floors (see [21]). The P(FK|M) for each building was determined as the weighted average of different floor values, as follows:
P ( F K | M ) = 0.89 × 1 + 0.675 · ( n 1 ) n ,
where n is the number of floors.
The term P(G) (the index of external variables) is considered to be 0.80, as suggested by [21], representing the neutral condition of the environment with sunlight, a moderate gale, and considerable humidity.
The terms P(CJ|DJ) and P(SJ|DJ) are set to the tabulated values in [21] depending on the degree of damage, Dk = 1…5. Finally, the term P(DJ|Ii) is assumed to be the relative frequency for each return period, as shown in Table 2.
Once all of the components in Equations (7) and (8) were determined, the probability that a building would ignite, P(RJi), was computed based on the various scenarios provided (475, 975, 2500, and 5000 years). Following that, the value of relative igniting risk (r) (see Equation (9) in Section 2.2) was computed. As an example, only the scenarios for 475 and 5000 years are reported, representing the lower and upper bounds of the simulation conducted. These buildings had the highest values of r, indicating a higher possibility of ignition (see Figure 8).
In Figure 8, the buildings marked with the red colour are the most likely to catch fire; therefore, in the current case study, building 277 (see in Figure 8a) is the igniting building for the scenario in which one building ignites. However, when two buildings may ignite, buildings 277 and 262 have the highest likelihood, as reported in Figure 8b. After identifying the structures that are likely to ignite, the fire spread was calculated for the three distinct times from ignition (15, 30, and 60 min). The fire spread may be simulated under the premise that it spreads in an elliptical form by computing the following parameters, as specified in [22]:
  • Ks is half of the width of the fire spread (lateral direction);
  • Kd is the length of the fire spread in the downwind direction;
  • Ku is the length of the fire spread in the upwind direction.
As suggested by [22], the adjusted values K’s, K’d, and K’u are used to guarantee that fire spread rates are equal in all directions when the wind speed approaches zero. These three terms depend on a series of variables that include time after ignition (t), wind velocity (V), building density ratio (δ), average structure plan dimension (a), average building spacing (d), and fire-resistant buildings ratio (fb), [22]. For the present case study, the aforementioned terms are summarised in Table 4.
As shown in Table 4, the term t has been set to three established values to better understand how the fire spreads in the study area over time. The wind velocity, set at 5 m/s, is based on data collected from [48]. It is important to note that the wind direction was assumed to blow from the river towards the inner part of the city (i.e., from the south to the north), as this represents the most unfavourable condition. This assumption is supported by [16], who studied the propagation of smoke plumes during the 1988 Chiado Fire in Lisbon. Their research indicates that during the fire, the wind initially blew predominantly from the north, later shifting to the east and eventually to the southwest. The term δ was calculated as the sum of the plan area of buildings divided by the plan area under investigation. According to [49], the aggregates in Baixa Pombalina have an average area of around 27 × 71 m2. Starting with this information, an average plan dimension was determined (a). The building separation distance, d, was employed as the average distance between aggregates in this area. Finally, it was assumed that the number of fire-resistant structures was equal to zero. With these assumptions, the dimensions of the ellipses for the fire spread for 15, 30, and 60 min are reported in Table 5.
The fire spread ellipses were used in two simulations: when one building may ignite and when two buildings may ignite. Moreover, the simulations have been applied in two urban layouts: the Hamada model, which has equal-sized, equal-spaced structures; and the real pattern. These assumptions were made for each time threshold (15–30–60 min), leading to twelve different urban fire spread scenarios. Figure 9 gives, as an example, the maps for 15 min for both layouts.
To calculate the losses due to post-earthquake fire, the earthquake losses were calculated according to Equation (11), i.e., multiplying the monetary value of the building (Ei) by the damage ratio, DRi. In the present study, the earthquake damage simulation assumed for the scenario with one building ignited (shorter return periods) is the one calculated for 475 years. Instead, for the scenario with two ignited structures (longer return periods), a 5000-year damage scenario was adopted. Table 6 summarises the earthquake losses in millions of euros.
Then, the residual value for each building after earthquake damage was evaluated with Equation (13). Subsequently, fire losses and total losses were calculated through Equations (14) and (15); see Figure 10. Table 7 and Table 8 show the results in millions of euros for the one-ignited building scenario (475 years) and for two-ignited buildings scenario (5000 years), respectively.
It is worth noting that, according to the results in the above tables, for shorter return periods, the increase in damage caused by the fire is higher (roughly up to 50% at 60 min), whereas, for longer return periods, the main damage is already caused by the large seismic event, so the increase in damage caused by fire is lower (roughly 10% at 60 min). Moreover, it is important to mention that the Hamada model provides for a 5000-year return period and 60-min simulation losses that exceed the overall value of the area’s masonry structures (approximately 1709 M€). This comes from the fact that the Hamada model simplifies the aggregates by splitting the urban layout into regular grids, therefore involving more burned area, resulting in an overestimation compared to the real model.

4. Discussion and Conclusions

The research described here proposes a large-scale strategy for assessing post-earthquake fire risk in urban areas. The approach focused on the URM ordinary buildings in Baixa Pombalina, a historical district of Lisbon that has previously been affected by different disastrous events [16,17,37].
First, an exposure model was built by obtaining data from remote resources such as Google Maps, Census data, and the literature and then using QGIS to generate a building inventory of major features. According to the data acquired, the majority of the structures in the area (more than 80%) are of the Pombalino typology, a city-specific typology consisting of walls with a wooden triangular frame (“Pombalino cage”) and filled with low-quality masonry.
The vulnerability model was implemented after determining the seismic hazard for the area in terms of PGA and EMS-98 macroseismic intensity, using an empirical formulation for various return periods: 475, 975, 2500, and 5000 years. The index-based Risk-UE approach was used [19], and damage scenarios, DPMs, and fragility curves were computed for the M3.1 typology (Pombalino buildings).
Then, an empirical fire ignition model [20,21] and a spread model [22] were used. The ignition model allowed to simulate the number and the location of fires following an earthquake for different return periods. Two fire spread simulations were performed: one ignited building for shorter return periods and two ignited buildings for longer return periods. The spread ellipses for 15, 30, and 60 min were estimated while assuming no differences in fuel loading, wind variations, and fire suppression operations. Each of these spread simulations was performed on two city layouts, an equally spaced grid (Hamada model), and the actual Baixa layout to better understand the differences and limits of the Hamada model.
The next stage was to compute the PEF losses by first calculating the earthquake losses based on the seismic damage simulated, followed by the fire losses, which may affect the residual value of the structure after the earthquake based on the area burned concerning the overall area of the building. The results are comparable, particularly for scenarios with only one structure ignited. This indicates that the Hamada model can be an effective technique for performing a preliminary fire risk assessment, particularly in locations with quite regular structures, such as Baixa. More changes arise in the two-buildings simulation as a result of the existing region’s physical limitations in comparison to the larger Hamada model area.
The authors also introduced the burned area as a vulnerability model to fire. This model relates the percentage of the burned area to the total area, also called the burned ratio, with the physical damage due to fire. Despite being a simplified vulnerability model, it produces an estimate that is consistent with the real damage caused by fire. Indeed, having a proportion of burned area equal to 50% of the total might be viewed as actual damage of 50% of the building value that remains after the earthquake damage (residual value). This simplified relationship allowed for the estimation of total building losses.
This strategy is a beginning step towards the development of easy-to-use and cutting-edge approaches tailored for PEF risk procedures, and more improvements may be required. One of the most significant drawbacks is the data’s dependability to better understand the building characteristics of the region, which may either improve or worsen fire ignition and spread. The data collecting procedure may be improved by performing building surveys, conducting on-site inspections, or using a more reliable dataset. Other factors that should be improved include accounting for differences in fuel loading, wind variations, and fire suppression operations to conduct a more thorough study. Indeed, in real urban conflagrations, these elements can influence the final shape of the fire, whereas spread fires initially assume on an oval shape. Furthermore, the damage ratios employed for seismic damage states are generalised; therefore, a tailored damage ratio model for the area under consideration would be preferred. However, due to a lack of data, a general approach, such as the one used in this study, is typically appropriate. There are alternative damage ratio models available; however, they typically do not differ greatly from the one selected. One final issue that might be improved in the proposed evaluation is the use of replacement cost rather than market value, which can differ greatly from one another, especially for historic buildings. However, the present availability data for the area do not allow for more accurate judgements based on replacement cost; thus, additional specific studies are required. However, this approach introduces new perspectives to PEF risk analysis for urban areas, paving the way for more comprehensive future assessments in Lisbon and other locations. This method offers valuable insights for informed decision-making in disaster management and urban planning, allowing for the prioritization and adaptation of future urban risk reduction efforts.

Author Contributions

Conceptualization, N.C. and G.M.; methodology, N.C. and G.M.; software, G.M.; validation, N.C. and G.M.; formal analysis, G.M.; investigation, G.M.; resources, N.C., G.M. and C.P.; data curation, N.C. and G.M.; writing—original draft preparation, G.M.; writing—review and editing, G.M., N.C., N.T., C.P. and P.B.L.; supervision, N.C., N.T., C.P. and P.B.L.; project administration, G.M. All authors have read and agreed to the published version of the manuscript.

Funding

This work is financed by national funds through FCT—Foundation for Science and Technology, under grant agreement 2023.03899.BDANA attributed to the first author.

Institutional Review Board Statement

Not applicable.

Informed Consent Statement

Not applicable.

Data Availability Statement

The data can be requested by directly contacting the first author of the paper.

Acknowledgments

This work was partly financed by FCT/MCTES through national funds (PIDDAC) under the R&D Unit Institute for Sustainability and Innovation in Structural Engineering (ISISE), under reference UIDB/04029/2020 (doi.org/10.54499/UIDB/04029/2020), and under the Associate Laboratory Advanced Production and Intelligent Systems ARISE under reference LA/P/0112/2020. This work is financed by national funds through FCT—Foundation for Science and Technology, under grant agreement 2023.03899.BDANA attributed to the first author.

Conflicts of Interest

The authors declare no conflicts of interest. The funders had no role in the design of the study; in the collection, analyses, or interpretation of data; in the writing of the manuscript; or in the decision to publish the results.

Nomenclature

V - I Total vulnerability index
V I * Most probable value of the vulnerability index
Δ V R Regional vulnerability factor
Δ V m Behaviour modifiers
μ D Mean damage grade
I Macroseismic intensity
Q Ductility factor
p k Damage probability
k Level of damage
p w Weighted damage probability
P(RJi)Ignition probability
P(M)Likelihood that a building contains or is made of flammable materials
P(FK|M)probability that different combustible materials can be found in a building
P(DJ)Influence of the seismic damage of a building on the probability of a fire occurring
P(G)Index of external factors such as weather, season, and environment
P(DJ|Ii)Probability that a structure suffers a damaged state, DJ, given a certain PGA
P(CJ|DJ)Probability that ignitable material can leak and spread for a specific degree of damage
P(SJ|DJ)Probability that the ignition will cause a specific degree of damage
RBuilding ignition index
P(R)maxMaximum ignition probability
br,iBurned ratio
Ab,iBurned area
AiTotal plan area
Li,EQEarthquake losses
DRiDamage ratio
EiMonetary exposure
AjFloor area
njNumber of floors
Vm,jMarket value
RiResidual value
Li,FFire losses
LTOTTotal losses
KsHalf of the width of the fire spread (lateral direction)
KdLength of the fire spread in the downwind direction
KuLength of the fire spread in the upwind direction

References

  1. Arrighi, C.; Tanganelli, M.; Cristofaro, M.T.; Cardinali, V.; Marra, A.; Castelli, F.; De Stefano, M. Multi-risk assessment in a historical city. Nat. Hazards 2023, 119, 1041–1072. [Google Scholar] [CrossRef]
  2. Gallina, V.; Torresan, S.; Critto, A.; Sperotto, A.; Glade, T.; Marcomini, A. A review of multi-risk methodologies for natural hazards: Consequences and challenges for a climate change impact assessment. J. Environ. Manag. 2016, 168, 123–132. [Google Scholar] [CrossRef] [PubMed]
  3. Juliá, P.B.; Ferreira, T.M. From single- to multi-hazard vulnerability and risk in Historic Urban Areas: A literature review. Nat. Hazards 2021, 108, 93–128. [Google Scholar] [CrossRef]
  4. UNISDR. Hyogo Framework for Action 2005–2015: Building the Resilience of Nations and Communities to Disasters. Presented at the Extract from the final report of the World Conference on Disaster Reduction (A/CONF. 206/6), The United Nations International Strategy for Disaster Reduction Geneva, 2005. Available online: https://www.unisdr.org/2005/wcdr/intergover/official-doc/L-docs/Hyogo-framework-for-action-english.pdf (accessed on 5 June 2024).
  5. UNISDR. Sendai Framework for Disaster Risk Reduction 2015–2030. Presented at the Proceedings of the 3rd United Nations World Conference on DRR, Sendai, Japan, Geneva: United Nations Office for Disaster Risk Reduction, 2015. Available online: https://www.unisdr.org/files/43291_sendaiframeworkfordrren.pdf (accessed on 5 June 2024).
  6. Johnson, K.; Depietri, Y.; Breil, M. Multi-hazard risk assessment of two Hong Kong districts. Int. J. Disaster Risk Reduct. 2016, 19, 311–323. [Google Scholar] [CrossRef]
  7. Kappes, M.S.; Keiler, M.; von Elverfeldt, K.; Glade, T. Challenges of analyzing multi-hazard risk: A review. Nat. Hazards 2012, 64, 1925–1958. [Google Scholar] [CrossRef]
  8. Tilloy, A.; Malamud, B.D.; Winter, H.; Joly-Laugel, A. A review of quantification methodologies for multi-hazard inter-relationships. Earth-Sci. Rev. 2019, 196, 102881. [Google Scholar] [CrossRef]
  9. Mascheri, G.; Chieffo, N.; Arrighi, C.; Del Gaudio, C.; Lourenço, P.B. A framework for multi-risk assessment in a historical area of Lisbon. Int. J. Disaster Risk Reduct. 2024, 108, 104508. [Google Scholar] [CrossRef]
  10. Gill, J.C.; Malamud, B.D. Reviewing and visualizing the interactions of natural hazards. Rev. Geophys. 2014, 52, 680–722. [Google Scholar] [CrossRef]
  11. Yildiz, S.S.; Karaman, H. Post-earthquake ignition vulnerability assessment of Küçükçekmece District. Nat. Hazards Earth Syst. Sci. 2013, 13, 3357–3368. [Google Scholar] [CrossRef]
  12. Juliá, P.B.; Ferreira, T.M.; Rodrigues, H. Post-earthquake fire risk assessment of historic urban areas: A scenario-based analysis applied to the Historic City Centre of Leiria, Portugal. Int. J. Disaster Risk Reduct. 2021, 60, 102287. [Google Scholar] [CrossRef]
  13. Behnam, B. Post-Earthquake Fire Analysis in Urban Structures: Risk Management Strategies, 1st ed.; CRC Press Taylor & Francis Group: Boca Raton, FL, USA, 2016. [Google Scholar] [CrossRef]
  14. Nishino, T. Probabilistic urban cascading multi-hazard risk assessment methodology for ground shaking and post-earthquake fires. Nat. Hazards 2023, 116, 3165–3200. [Google Scholar] [CrossRef]
  15. Silva, D.; Rodrigues, H.; Ferreira, T.M. Assessment and Mitigation of the Fire Vulnerability and Risk in the Historic City Centre of Aveiro, Portugal. Fire 2022, 5, 173. [Google Scholar] [CrossRef]
  16. Conceição, R.; Melgão, M.; Silva, H.G.; Nicoll, K.; Harrison, R.G.; Reis, A.H. Transport of the smoke plume from Chiado’s fire in Lisbon (Portugal) sensed by atmospheric electric field measurements. Air Qual. 2016, 9, 275–283. [Google Scholar] [CrossRef]
  17. Martins, A.N.; Pereira, A.A.; Forbes, C.; de Lima, J.L.M.P.; Matos, D. Risk to cultural heritage in Baixa Pombalina (Lisbon Downtown)—A transdisciplinary approach to exposure and drivers of vulnerability. Int. J. Archit. Herit. 2021, 15, 1058–1080. [Google Scholar] [CrossRef]
  18. Graser, A. Learning QGIS 2.0; Packt Publishing Ltd.: Birmingham, UK, 2013. [Google Scholar]
  19. Milutinovic, Z.V.; Trendafiloski, G.S. Risk-UE An Advanced Approach to Earthquake Risk Scenarios with Applications to Different European Towns. Contract: EVK4-CT-2000-00014, WP4: Vulnerability of Current Buildings; 2003, p. 110. Available online: http://www.civil.ist.utl.pt/~mlopes/conteudos/DamageStates/Risk%20UE%20WP04_Vulnerability.pdf (accessed on 22 July 2024).
  20. Lu, X.; Guan, H. Earthquake Disaster Simulation of Civil Infrastructures: From Tall Buildings to Urban Areas, 2nd ed.; Springer: Singapore, 2021. [Google Scholar] [CrossRef]
  21. Ren, A.Z.; Xie, X.Y. The Simulation of Post-Earthquake Fire-Prone Area Based on GIS. J. Fire Sci. 2004, 22, 421–439. [Google Scholar] [CrossRef]
  22. FEMA. Hazus Earthquake Model Technical Manual. Hazus 5.1. Federal Emergency Management Agency, July 2022. Available online: https://www.fema.gov/sites/default/files/documents/fema_hazus-earthquake-model-technical-manual-5-1.pdf (accessed on 22 July 2024).
  23. Grünthal, G. European Macroseismic Scale 1998; Conseil De l’Europe: Luxembourg, 1998. [Google Scholar]
  24. Chieffo, N.; Formisano, A.; Landolfo, R.; Milani, G. A vulnerability index based-approach for the historical centre of the city of Latronico (Potenza, Southern Italy). Eng. Fail. Anal. 2022, 136, 106207. [Google Scholar] [CrossRef]
  25. Lagomarsino, S.; Giovinazzi, S. Macroseismic and mechanical models for the vulnerability and damage assessment of current buildings. Bull. Earthq. Eng. 2006, 4, 415–443. [Google Scholar] [CrossRef]
  26. Elhami Khorasani, N.; Gernay, T.; Garlock, M. Data-driven probabilistic post-earthquake fire ignition model for a community. Fire Saf. J. 2017, 94, 33–44. [Google Scholar] [CrossRef]
  27. Tong, Q.; Gernay, T. A hierarchical Bayesian model for predicting fire ignitions after an earthquake with application to California. Nat. Hazards 2022, 111, 1637–1660. [Google Scholar] [CrossRef]
  28. Zolfaghari, M.R.; Peyghaleh, E.; Nasirzadeh, G. Fire Following Earthquake, Intra-structure Ignition Modeling. J. Fire Sci. 2009, 27, 45–79. [Google Scholar] [CrossRef]
  29. Lee, S.; Davidson, R.; Ohnishi, N.; Scawthorn, C. Fire following Earthquake—Reviewing the State-of-the-Art of Modeling. Earthq. Spectra 2008, 24, 933–967. [Google Scholar] [CrossRef]
  30. Hamada, M. Architectural Fire Resistant Themes, No. 21; Kenchikugaku Taikei, Shokokusha: Tokyo, Japan, 1975. [Google Scholar]
  31. Li, S.; Davidson, R. Application of an Urban Fire Simulation Model. Earthq. Spectra 2013, 29, 1369–1389. [Google Scholar] [CrossRef]
  32. Babič, A.; Dolšek, M.; Žižmond, J. Simulating Historical Earthquakes in Existing Cities for Fostering Design of Resilient and Sustainable Communities: The Ljubljana Case. Sustainability 2021, 13, 7624. [Google Scholar] [CrossRef]
  33. Nassirpour, A. Performance Based Seismic Assessment of Masonry Infilled Steel Frame Structures. Doctoral Dissertation, UCL (University College London), London, UK, 2018. [Google Scholar]
  34. Roca, A.; Goula, X.; Susagna, T.; Chávez, J.; González, M.; Reinoso, E. A Simplified Method for Vulnerability Assessment of Dwelling Buildings and Estimation of Damage Scenarios in Catalonia, Spain. Bull. Earthq. Eng. 2006, 4, 141–158. [Google Scholar] [CrossRef]
  35. INE. Instituto Nacional de Estatística, IP—Portugal. Available online: https://www.ine.pt/xportal/xmain?xpid=INE&xpgid=ine_base_dados (accessed on 23 June 2023).
  36. Keshishian, P.; Khater, M.; Khemici, O.; Chavez, J. The Problem of “Burnt Rubble” in Fire Following Earthquake. In Proceedings of the 15th World Conference on Earthquake Engineering (15WCEE), Lisboa, Portugal, 24–28 September 2012. [Google Scholar]
  37. Bernardo, V.; Sousa, R.; Candeias, P.; Costa, A.; Campos Costa, A. Historic Appraisal Review and Geometric Character-ization of Old Masonry Buildings in Lisbon for Seismic Risk Assessment. Int. J. Archit. Herit. 2022, 16, 1921–1941. [Google Scholar] [CrossRef]
  38. Barchetta, L.; Petrucci, E.; Xavier, V.; Bento, R. A Simplified Framework for Historic Cities to Define Strategies Aimed at Implementing Resilience Skills: The Case of Lisbon Downtown. Buildings 2023, 13, 130. [Google Scholar] [CrossRef]
  39. Google Earth. Available online: https://www.google.it/earth/ (accessed on 28 May 2024).
  40. Vilanova, S.P.; Fonseca, J.F.B.D. Probabilistic Seismic-Hazard Assessment for Portugal. Bull. Seismol. Soc. Am. 2007, 97, 1702–1717. [Google Scholar] [CrossRef]
  41. Custódio, S.; Dias, N.A.; Carrilho, F.; Góngora, E.; Rio, I.; Marreiros, C.; Morais, I.; Alves, P.; Matias, L. Earthquakes in western Iberia: Improving the understanding of lithospheric deformation in a slowly de-forming region. Geophys. J. Int. 2015, 203, 127–145. [Google Scholar] [CrossRef]
  42. Sá, L.; Morales-Esteban, A.; Durand Neyra, P. The 1531 earthquake revisited: Loss estimation in a historical perspective. Bull. Earthq. Eng. 2018, 16, 4533–4559. [Google Scholar] [CrossRef]
  43. Pais, C.; Pereira, S.; Oliveira, S.C. Multi-scale Residential Fire Susceptibility in the Lisbon Metropolitan Area. In Multi-Risk Interactions Towards Resilient and Sustainable Cities. Advances in Sustainability Science and Technology; Ferreira, T.M., Ed.; Springer Nature: Singapore, 2023; pp. 93–116. [Google Scholar] [CrossRef]
  44. Danciu, L.; Nandan, S.; Reyes, C.; Basili, R.; Weatherill, G.; Beauval, C.; Rovida, A.; Vilanova, S.; Şeşetyan, K.; Bard, P.Y.; et al. The 2020 Update of the European Seismic Hazard Model: Model Overview; EFEHR Technical Report 001, v1.0.0; 2021. Available online: http://hazard.efehr.org/en/Documentation/specific-hazard-models/europe/eshm2020-overview/index.html (accessed on 22 July 2024). [CrossRef]
  45. IPQ. Eurocódigo 8—Projecto de Estruturas Para Resistência aos Sismos. Parte 1: Regras Gerais, Acções Sísmicas e Regras para Edifícios; NP EN 1998-1:2010; Instituto Português da Qualidade: Caparica, Portugal, 2010. [Google Scholar]
  46. Lantada, N.; Pujades, L.G.; Barbat, A.H. Earthquake Risk Scenarios in Urban Areas: A Review with Applications to the Ciutat Vella District in Barcelona, Spain. Int. J. Archit. Herit. 2018, 12, 1112–1130. [Google Scholar] [CrossRef]
  47. ISO. Verisk, Construction Briefs. Construction Classes for Commercial Buildings. Available online: https://www.verisk.com/resources/construction-briefs/ (accessed on 3 October 2024).
  48. Weather Spark. Available online: https://weatherspark.com/y/32022/Average-Weather-in-Lisbon-Portugal-Year-Round#Sections-Wind (accessed on 15 June 2024).
  49. Cóias, V. Reabilitação Estrutural de Edifícios Antigos: Alvenaria, Madeira: Técnicas Pouco Intrusivas, 2nd ed.; Argumentum & Gecorpa: Lisbon, Portugal, 2007. [Google Scholar]
Figure 1. Workflow of the current study.
Figure 1. Workflow of the current study.
Sustainability 16 09075 g001
Figure 2. Spread according to the Hamada model. Adapted from [22].
Figure 2. Spread according to the Hamada model. Adapted from [22].
Sustainability 16 09075 g002
Figure 3. Casestudy area: Baixa Pombalina. Adapted from [39].
Figure 3. Casestudy area: Baixa Pombalina. Adapted from [39].
Sustainability 16 09075 g003
Figure 4. Georeferencing and numbering of the buildings in the case study area.
Figure 4. Georeferencing and numbering of the buildings in the case study area.
Sustainability 16 09075 g004
Figure 5. Vulnerability index according to the Risk-UE methodology for the case study area [9].
Figure 5. Vulnerability index according to the Risk-UE methodology for the case study area [9].
Sustainability 16 09075 g005
Figure 6. DPM: (a) TR 475 years, (b) TR 975 years, (c) TR 2500 years, and (d) TR 5000 years.
Figure 6. DPM: (a) TR 475 years, (b) TR 975 years, (c) TR 2500 years, and (d) TR 5000 years.
Sustainability 16 09075 g006
Figure 7. Fragility curves for the examined building typology.
Figure 7. Fragility curves for the examined building typology.
Sustainability 16 09075 g007
Figure 8. Buildings with higher probability to ignite: (a) TR = 475 years and (b) TR = 5000 years, with buildings 277 and 262 identified with tags, respectively.
Figure 8. Buildings with higher probability to ignite: (a) TR = 475 years and (b) TR = 5000 years, with buildings 277 and 262 identified with tags, respectively.
Sustainability 16 09075 g008
Figure 9. The fire spread simulations at 15 min after ignition: (a) real layout for one-ignited building scenario (TR = 475 years); (b) Hamada model for one-ignited building scenario (TR = 475 years); (c) real layout for two-ignited buildings scenario (TR = 5000 years); and (d) Hamada model for two-ignited buildings scenario (TR = 5000 years).
Figure 9. The fire spread simulations at 15 min after ignition: (a) real layout for one-ignited building scenario (TR = 475 years); (b) Hamada model for one-ignited building scenario (TR = 475 years); (c) real layout for two-ignited buildings scenario (TR = 5000 years); and (d) Hamada model for two-ignited buildings scenario (TR = 5000 years).
Sustainability 16 09075 g009
Figure 10. Total PEF losses: (a) one-ignited building scenario (TR = 475 years) and (b) two-ignited buildings scenario (TR = 5000 years).
Figure 10. Total PEF losses: (a) one-ignited building scenario (TR = 475 years) and (b) two-ignited buildings scenario (TR = 5000 years).
Sustainability 16 09075 g010
Table 1. Seismic hazard in terms of PGA and EMS-98 intensity for Lisbon.
Table 1. Seismic hazard in terms of PGA and EMS-98 intensity for Lisbon.
TR (Years)PGA (g)I (EMS-98)
4750.17VIII
9750.22VIII
25000.31IX
50000.41IX
Table 2. Relative frequency of damage states for different return periods.
Table 2. Relative frequency of damage states for different return periods.
Damage State (Dk)TR 475 YearsTR 975 YearsTR 2500 YearsTR 5000 Years
D0----
D1----
D23%---
D353%25%8%-
D444%67%64%49%
D5-8%28%51%
Table 3. Number of ignited buildings for each return period in the case study area.
Table 3. Number of ignited buildings for each return period in the case study area.
TR (Years)Number of Ignitions/TFA
4750.50
9750.80
25001.28
50001.67
Table 4. Variables to calculate K’s, K’d, and K’u parameters.
Table 4. Variables to calculate K’s, K’d, and K’u parameters.
VariablesValue
t15 min; 30 min; 60 min
V5 m/s
δ0.53
a43 m
d10 m
fb0
Table 5. Variables K’s, K’d, and K’u for 15, 30, and 60 min.
Table 5. Variables K’s, K’d, and K’u for 15, 30, and 60 min.
Values15 min30 min60 min
K’s17 m63 m153 m
K’d68 m155 m324 m
K’u15 m61 m148 m
Table 6. Earthquake losses for two different scenarios, i.e., 475-year and 5000-year return periods, respectively.
Table 6. Earthquake losses for two different scenarios, i.e., 475-year and 5000-year return periods, respectively.
TR (Years)Li,EQ (M€)
475993
50001549
Table 7. Total losses for one-ignited building scenario (TR = 475 years).
Table 7. Total losses for one-ignited building scenario (TR = 475 years).
15 min30 min60 min
Current layout1005 M€1109 M€1533 M€
Hamada model1008 M€1106 M€1572 M€
Table 8. Total losses for two-ignited buildings scenario (TR = 5000 years).
Table 8. Total losses for two-ignited buildings scenario (TR = 5000 years).
15 min30 min60 min
Current layout1551 M€1586 M€1681 M€
Hamada model1556 M€1597 M€1735 M€
Disclaimer/Publisher’s Note: The statements, opinions and data contained in all publications are solely those of the individual author(s) and contributor(s) and not of MDPI and/or the editor(s). MDPI and/or the editor(s) disclaim responsibility for any injury to people or property resulting from any ideas, methods, instructions or products referred to in the content.

Share and Cite

MDPI and ACS Style

Mascheri, G.; Chieffo, N.; Tondini, N.; Pinto, C.; Lourenço, P.B. Assessing the Cascading Post-Earthquake Fire-Risk Scenario in Urban Centres. Sustainability 2024, 16, 9075. https://doi.org/10.3390/su16209075

AMA Style

Mascheri G, Chieffo N, Tondini N, Pinto C, Lourenço PB. Assessing the Cascading Post-Earthquake Fire-Risk Scenario in Urban Centres. Sustainability. 2024; 16(20):9075. https://doi.org/10.3390/su16209075

Chicago/Turabian Style

Mascheri, Glenda, Nicola Chieffo, Nicola Tondini, Cláudia Pinto, and Paulo B. Lourenço. 2024. "Assessing the Cascading Post-Earthquake Fire-Risk Scenario in Urban Centres" Sustainability 16, no. 20: 9075. https://doi.org/10.3390/su16209075

APA Style

Mascheri, G., Chieffo, N., Tondini, N., Pinto, C., & Lourenço, P. B. (2024). Assessing the Cascading Post-Earthquake Fire-Risk Scenario in Urban Centres. Sustainability, 16(20), 9075. https://doi.org/10.3390/su16209075

Note that from the first issue of 2016, this journal uses article numbers instead of page numbers. See further details here.

Article Metrics

Back to TopTop