Next Article in Journal
Optimization and Evaluation of a Stand-Alone Hybrid System Consisting of Solar Panels, Biomass, Diesel Generator, and Battery Bank for Rural Communities
Next Article in Special Issue
How the Belt and Road Initiative Transforms Corporate ESG Performance: Insights from China’s Experience
Previous Article in Journal
Understanding Household Income Inequality in Rural Vietnam: A Regression-Based Decomposition Study
Previous Article in Special Issue
Environmental Credit Constraints and the Enterprise Choice of Environmental Protection Behavior
 
 
Font Type:
Arial Georgia Verdana
Font Size:
Aa Aa Aa
Line Spacing:
Column Width:
Background:
Article

Can Environmental Protection Tax Promote Urban Green Transformation? Experimental Evidence from China

1
School of Management, Hangzhou Dianzi University, Hangzhou 310036, China
2
The Center for Environmental Tax, Chinese Academy of Environmental Planning, Beijing 100041, China
3
National Joint Research Center for Ecological Conservation and High Quality Development of the Yellow River Basin, Beijing 100012, China
*
Author to whom correspondence should be addressed.
Sustainability 2024, 16(20), 9011; https://doi.org/10.3390/su16209011
Submission received: 2 September 2024 / Revised: 25 September 2024 / Accepted: 30 September 2024 / Published: 17 October 2024
(This article belongs to the Special Issue Environmental Governance and Environmental Responsibility Research)

Abstract

As one of China’s important environmental and economic policies, the environmental protection tax (EPT) is important in promoting economic and social green transformation. In this study, the green total factor productivity (GTFP) of 283 prefecture-level cities in China from 2013 to 2022 was calculated using a Super Slack-Based Model (Super-SBM) and the Malmquist-Luenberger (ML) index, which includes undesirable outputs. Moreover, the implementation effect of environmental tax on promoting urban green transformation is identified through the difference-in-differences (DID) model. This study revealed that (1) an EPT can significantly increase the GTFP of a city and promote its green transformation. (2) Industrial structure optimization and technological innovation are important mechanisms through which EPT drives urban green transformation. (3) The implementation effect of EPT in promoting urban green transformation presents significant policy differences across geographic locations, whether cities are key environmental protection cities or types of resource-based cities. EPT can significantly promote the green transformation of local cities, which in turn can positively affect the green transformation of neighboring cities. Based on this study’s conclusions, suggestions are put forward to improve the EPT system to promote urban green transformation.

1. Introduction

Since 1978, China’s resource and environmental constraints have become increasingly prominent due to the extensive economic growth model with high input, high consumption, high emissions, and low efficiency. Under the scientific guidance of Xi Jinping’s ecological civilization thought, China has made great efforts and achieved historic achievements in ecological environmental protection. However, the structural, root and trend pressures of ecological environmental protection have not been fundamentally alleviated at present. Environmental protection work requires the comprehensive use of multiple measures to exert synergy and promote energy conservation and emission reduction of enterprises and industrial structure adjustment. As an important environmental economic means, EPT has a long-term effect on adjusting corporate environmental behavior and promoting the transformation of development mode. It is of great significance to enrich the environmental fiscal and taxation system and improve the green tax system chain [1]. To practice the development concept according to which “clear waters and the green mountains are golden mountains and silver mountains”, in 2018, the EPT Law was officially implemented as China’s first separate tax law that specifically embodies the “green tax system”. This system gave a strong impetus to the process of building an ecological civilization in China. At the 75th Session of the United Nations General Assembly in 2020, President Xi Jinping proposed the “reaching carbon peak before 2030 and achieving carbon neutrality before 2060” goal in China, making an important commitment to the United Nations and demonstrating once again the determination to promote green economic and social transformation. At present, “the total amount of major pollutant emissions continues to decrease” is still one of the main goals of the “14th Five-Year Plan for National Economic and Social Development of the People’s Republic of China”. An important window period for China to accelerate greening and low-carbon, high-quality development has arrived. Leading high-quality development with the concept of green development is not only an inevitable choice for achieving the “carbon peak and carbon neutrality” goal but also an intrinsic requirement for building a beautiful China. Therefore, studying the implementation effects of EPT in promoting regional green transformation is highly important.
GTFP represents a useful measurement of regional green transformation. Because the traditional measure of total factor productivity focuses on the economy and output efficiency and neglects environmental factors, it cannot offer a comprehensive and objective evaluation of economic development [2]. In contrast, GTFP includes resource and environmental factors and thus provides a broader space for the study of economic and social green transformation [3]. GTFP is measured using the Solow residual method [4] (or the Cobb-Douglas function and the trans-log production function), data envelopment analysis (DEA), and stochastic frontier analysis (SFA) [5,6]. The DEA model does not require a preset functional form and estimation parameters, which not only prevents the influence of subjective factors but also reduces errors to the maximum extent; thus, it is a very important method in the study of economic efficiency [7]. To address the problem of the joint production of undesirable and ideal outputs, some scholars included “bad output” in the model and introduced a directional distance function (DDF) to solve the problem of uneven output, extending the practical management tool [8]. Furthermore, the Super-SBM model enables the improvement in model relaxation to be reflected in the measurement of the efficiency value [9]. However, when the efficiency of many decision-making units (DMUs) is 1, the above models ignore the further differentiation of effective DMUs; thus, the Super-SBM model was developed [10].
Evaluating the implementation effect of the EPT can provide an effective way to improve policy. Recent scholars have discussed the impact of the EPT, especially within the framework of the “double dividend” theory [11]. Through empirical models, many scholars have found that an EPT can significantly reduce pollutant emission levels and improve environmental quality [12,13]. Some scholars believe that an EPT may have a “blue dividend” [14,15] that can promote economic growth and improve welfare. However, not all scholars agree that the effect is positive. Some scholars believe that EPT has a negative effect on the economy [16] and that there is no blue dividend [17] or that the realization of the double dividend is conditional [18]. Furthermore, scholars have explored the implementation effect of EPT from multiple angles, such as technological innovation [19], industrial structure [20], energy efficiency [21,22], and enterprise performance [23]. The results of different theoretical models lead to different conclusions. For example, it is believed that an EPT significantly promotes firm performance by increasing the firm’s environmental investment [24]. Scholars have found that the EPT “reversely forces” companies to increase R&D investment and achieve restructuring and upgrading but inhibits the growth of corporate performance in the short term [25]. From the point of view of technological innovation, some scholars believe that EPT reform effectively promotes the green innovation activities of enterprises [26], and others believe that the relationship between environmental taxation and enterprise green innovation is U-shaped, in which environmental taxation first inhibits and then promotes enterprise green innovation [27].
With respect to GTFP, some scholars have considered the perspective of EPT, but most have considered different types, intensities, and influence relationships of environmental regulation and discussed economic and social green transformation. Some scholars believe that the implementation of EPT can increase the GTFP in provinces affected by a policy shock and accelerate the process of regional green transformation, especially in service-oriented provinces [28]. However, research on heavily polluting enterprises shows that EPT has a positive effect on improving GTFP only for enterprises with low financing costs [29]. Research on environmental regulation has increased in recent years. Some scholars have noted that different types of environmental regulation exhibit different characteristics in green transformation [30] and that command-and-control environmental regulations have a better effect in promoting the GTFP level of the industry [31]. However, high-intensity environmental regulation can cause the costs of compliance to exceed the gains from innovation, thereby harming economic performance [32]. Therefore, environmental regulation should not adopt one-size-fits-all static standards or blindly increase the intensity of regulation [30]. In addition, the relationship between environmental regulation and GTFP does not follow a simple linear relationship [33] but may be dynamic [34] or have a significant double threshold effect [35].
While there are in-depth studies on EPT, the related literature is still deficient. First, investigations of the implementation effect of EPT have focused on the environment, the economy and influencing factors. However, studies on the impact of the EPT on the green transition from the perspective of GTFP are limited, especially at the city level. Second, the traditional DEA model cannot further differentiate between effective DMUs with high and low efficiency. Therefore, in the present study, the Super-SBM model and the ML index, including unexpected outputs, are used to calculate the GTFP of prefecture-level cities. Moreover, the DID model is used to empirically test the mechanism and implementation effect of EPT in promoting economic and social green transformation to scientifically evaluate the effectiveness of policy implementation. The results provide factual evidence that China can achieve high-quality green development.
The possible contributions of this paper are as follows. First, on the basis of the long panel data of the DID model, the research on the impact and mechanism of the green tax system, represented by the EPT, on a city’s green transformation is enriched from theoretical and empirical aspects. Second, different from methods that involve the scoring of traditional subjective indicators, the entropy weight method, or the green growth model, the GTFP calculated by the model in this paper can thus more objectively reflect the balance between guiding economic development, considering resource consumption, and reducing pollution levels. It can accurately measure the differences in green transformation between different cities. Third, relevant suggestions based on the research conclusions provide beneficial references for improving the EPT system and promoting urban green transformation.

2. Theoretical Analysis and Research Hypotheses

Reasonable environmental regulation can promote an increase in GTFP [33]. As an indispensable part of environmental regulation, EPT plays an important role in facilitating economic and social green transformation [36]. The concept of the EPT can be traced back to welfare economics, which advocates the taxation of polluters to internalize the negative externality of environmental pollution [37]. China established a pollution discharge fee system in 1979. This system has subsequently undergone 40 years of change, from sewage fees to EPT. Compared with sewage fees, the EPT has a higher legal status and a stronger collection and management level. First, based on the principle of “paying more tax for more pollutant discharge, paying less tax for less pollutant discharge, and paying no fee for no pollutant discharge”, this tax has increased the environmental treatment costs of polluters and supported efforts for pollution control and emission reduction. Second, tax cuts are given to enterprises that reduce their pollutant discharge levels, which further encourages enterprises to carry out technological innovation, equipment transformation, and process upgrades. Finally, the EPT can increase public awareness of environmental protection, which in turn stimulates green demand and motivates enterprises to adopt green production processes and produce green products to cope with the fluctuating market demands. Under legal pressure, enterprises must follow the path of sustainable development with low pollution, low consumption, and high efficiency. A higher level of supervision reduces the possibility of tax evasion by polluting enterprises.
Hypothesis 1.
EPT can increase urban GTFP and promote urban green transformation.
The harmonious development of the economy and ecology is closely related to the optimization of industrial structure. While the EPT raises market entry barriers, the profit margins of high-polluting industries are constantly compressed, which forces enterprises to carry out technological innovation and process transformation to reduce pollution emissions or face the risk of being eliminated from the market. Given the high risks and costs of high-polluting industries, capital is more likely to flow to green and environmentally friendly industries; this preference for investment in the environmental field can promote the further optimization of resource allocation. Research indicates that EPT can transfer the output and human capital of pollution-intensive industries to green industries, which reflects a significant effect of industrial structure optimization and adjustment [38]. Research through the construction of a double difference model shows that EPT helps upgrade the industrial structure by increasing investment in technological innovation, attracting foreign direct investment and strengthening tax collection [20]. Studies on industrial structure and GTFP show that industrial structure optimization has a positive promoting effect on GTFP [39], and this effect intensifies with increasing levels of economic development. The important channels for promoting sustainable economic development and increasing global GDP are closely related to the upgrading of industrial structure [40].
Hypothesis 2.
EPT can promote urban green transformation through industrial structure upgrading.
As an important market-incentive environmental regulation in China, the EPT represents a milestone in the implementation of the concepts of “clear waters and the green mountains are golden mountains and silver mountains” and the promotion of green development. According to the innovation compensation effect, well-designed environmental regulations can encourage enterprises to carry out more innovation activities to improve productivity and competitiveness and reduce or offset the compliance costs arising from environmental regulation [41]. An EPT directly increases the economic cost of pollutant emissions, forcing enterprises and industries to improve production processes, conduct research and development of alternative materials, and increase resource utilization efficiency to reduce the tax burden. To reduce tax expenditures, enterprises have a stronger incentive to invest in green technologies and environmental protection facilities, thus promoting technological innovation. Scholars pointed out that EPT can significantly improve the level of green technology innovation by stimulating enterprises to increase their R&D investment [42,43,44]. In the process of EPT promoting GTFP, technological innovation plays an important bridging role [45]. The mechanism of EPT affecting urban green transformation is shown in Figure 1.
Hypothesis 3.
EPT can promote urban green transformation through technological innovation.
Figure 1. Effect path of the EPT on urban green transformation.
Figure 1. Effect path of the EPT on urban green transformation.
Sustainability 16 09011 g001

3. Materials and Methods

3.1. Data Sources

On the basis of data availability, a total of 283 prefecture-level cities in China from 2013 to 2022 were selected for the present study, with a total of 2830 samples. The data were obtained from the China Stock Market & Accounting Research database, China City Statistical Yearbook, local statistical bulletins, and statistical yearbooks. Some missing data were processed via linear interpolation. The nighttime light data were from a fused and rectified Defense Meteorological Satellite Program Operational Linescan Scanning System (DMSP-OLS). Energy consumption in prefecture-level cities was obtained by decomposing provincial-level nighttime light data using a linear model without an intercept term. Table 1 shows the descriptive statistics of the relevant variables.

3.2. Variable Selection

Explained variable: GTFP. This study used Max DEA Ultra 9.1.7.0 software to calculate the GTFP of 283 cities in China from 2013 to 2022 through the Super-SBM model, which includes undesirable outputs and the ML index. The model contains n DMUs, m inputs, q1 expected output, and q2 undesirable outputs. The specific models are as follows:
min ρ * = 1 + 1 m i = 1 m s i x i k 1 1 q 1 + q 2 r = 1 q 1 s r + y r k + t = 1 q 2 s t b b t k ,
s . t . j = 1 , j k n   x i j λ j s i x i k j = 1 , j k n   y r j λ j + s r + y r k j = 1 , j k n   b t j λ j s t b b t k j = 1 , j k n   λ j = 1 λ , s , s + 0 i = 1,2 , m ; r = 1,2 , q 1 ; t = 1,2 , q 2 ; j = 1,2 , n j k ,
where s t b , s r + , and s i represent the slack variables of non-expected output, expected output, and input factors, respectively. b t k , y r k , and x i k , respectively, represent the t-th undesired output, r-th expected output, and i-th input of the k-th DMU. λ j is a column vector. ρ represents the efficiency value. The specific construction indicators [46] are shown in Table 2.
Since the ML index can reflect only the change rate of a DMU’s GTFP between two adjacent periods, it needs to be adjusted. With reference to existing studies and using the year 2012 as the base period, the annual GTFP for each city is obtained via multiplication [47]. Furthermore, technical efficiency change (EC) and technical change (TC) are decomposed by GTFP. The model is as follows:
M L = E C × T C = E f x t + 1 , y t + 1 E f x t , y t = E t + 1 x t + 1 , y t + 1 E t x t , y t E f x t + 1 , y t + 1 E t + 1 x t + 1 , y t + 1 E t x t , y t E f x t , y t ,
E C = E t + 1 x t + 1 , y t + 1 E t x t , y t ,
T C = E f x t + 1 , y t + 1 E t + 1 x t + 1 , y t + 1 E t x t , y t E f x t , y t ,
where xt and yt represent the input and output values of the DMU in period t and where Ef and Et represent the efficiency values of the fixed frontier and the frontier in period t, respectively.
Explanatory variables: EPT policy (did). The EPT is derived from the reform of the pollution discharge fee. The EPT Law implemented in 2018 stipulated the tax rate range for air pollutants, which is 1.2–12 CNY per pollution equivalent. However, due to differences in environmental carrying capacity, pollutant emission status, and economic, social, and ecological development goals in various regions, local governments can adjust the tax standards for air pollutants within the scope of the EPT Law. Therefore, some cities have increased the tax standards for air pollutants, while other cities have shifted the tax standards for pollution discharge fees based on their own development. The non-uniform city tax rate standards provide a good quasi-natural experiment for the double difference model used in this paper. The cities where the air pollutant tax collection standards increased after 2018 compose the treatment group (treat = 1), and the cities where the tax standards shifted from the control group (treat = 0). The time dummy variable for the implementation of the EPT is represented by post, with time = 0 for years before 2018 and time = 1 for years after 2018. The did is the interaction term between the treatment group variable (treat) and the time dummy variable (post).
Mechanism variables: industrial structure optimization (industry). The greening level of the industrial structure is represented by the proportion of the added value of the tertiary industry in the local GDP. The greening level increases as the index increases. Technological innovation (TC). Technological progress is used as a proxy variable of the action mechanism of technological innovation. The larger the numerical value is, the stronger the technological innovation capability.
Control variables: City size (population) is expressed as the logarithm of city population. The logarithm of the city’s year-end actual deposit balances of financial institutions is used to tender the level of financial development (finance). Government expenditure on science education (science) is expressed as the logarithm of the actual government fiscal expenditure on science education. The urbanization rate (urban) is measured as the percentage of the urban resident population to the city’s population at the end of the year.

3.3. Model

3.3.1. DID Model

The DID model is used to identify the impact of EPT on promoting the green transformation of Chinese cities. The model is shown below:
G T F P i t = β 0 + β 1 d i d i t + β 2 c o n t r o l s i t + μ i + λ t + ε i t ,
where G T F P i t is the total green factor productivity of city i in year t. d i d i t is a dummy variable that characterizes the implementation effect of the EPT policy for city i in year t. c o n t r o l s i t represents a series of control variables. μ i is the city-fixed effect, λ t is the time-fixed effect, and ε i t represents a random disturbance term.

3.3.2. Mechanism Model

In order to identify the mechanism through which EPT promotes the implementation effect of urban green transformation, with reference to an existing study [48], the impact of the EPT on industrial structure adjustment and technological innovation was first investigated, and then the impact of the interaction terms of technological innovation, industrial structure, and did on GTFP was studied. The specific model was constructed as follows:
T i t = β 0 + β 1 d i d i t + β 2 c o n t r o l s i t + μ i + λ t + ε i t ,
G T F P i t = β 0 + β 1 T i t × d i d i t + β 2 c o n t r o l s i t + μ i + λ t + ε i t ,
where T i t is a proxy variable for industrial structure and technological innovation.
β 1 is the core coefficient of interest in this model, indicating that the EPT affects the urban GTFP by increasing the proportion of tertiary industry and technological innovation. The definitions of the remaining variables are the same as those in Model (6).

3.3.3. Spatial Durbin Model

The baseline model may ignore the spatial correlation of the promotion of urban green transformation by the EPT, resulting in biased estimation results. Therefore, the spatial spillover effects of EPT in promoting urban green transformation were identified by adopting the spatial Durbin model. The model settings are as follows:
G T F P i t = π 0 + ρ W G T F P i t + π 1 d i d i t + θ W d i d i t + π 3 c o n t r o l s i t + δ W c o n t r o l s i t + μ i + λ t + ε i t ,
where ρ is the spatial autocorrelation coefficient, indicating the impact of the green transformation of neighboring cities on the green transformation of the local city. π 1 represents the impact of the EPT on the green transformation of the local city. θ represents the impact of the EPT on the green transformation of the neighboring cities. W is the spatial weighting matrix measured via the economic geography nested matrix. The settings of the other variables are the same as those in Model (6).

4. Empirical Results

4.1. Baseline Regression

In this study, Stata 17.0 software was used to examine the net effect of EPT in promoting urban transformation, and the progressive regression method was adopted to conduct the regression by adding the control variables one by one. Table 3 shows that the implementation effects of EPT are significantly positive at the 1% confidence level. Specifically, with other variables held constant, the GTFP of cities with an increased EPT burden will increase by 12.5% compared with that of cities without an increase. The results indicate that the EPT can significantly promote urban green transformation. Hypothesis 1 was confirmed.

4.2. Robustness Checks

4.2.1. Parallel Trend Test

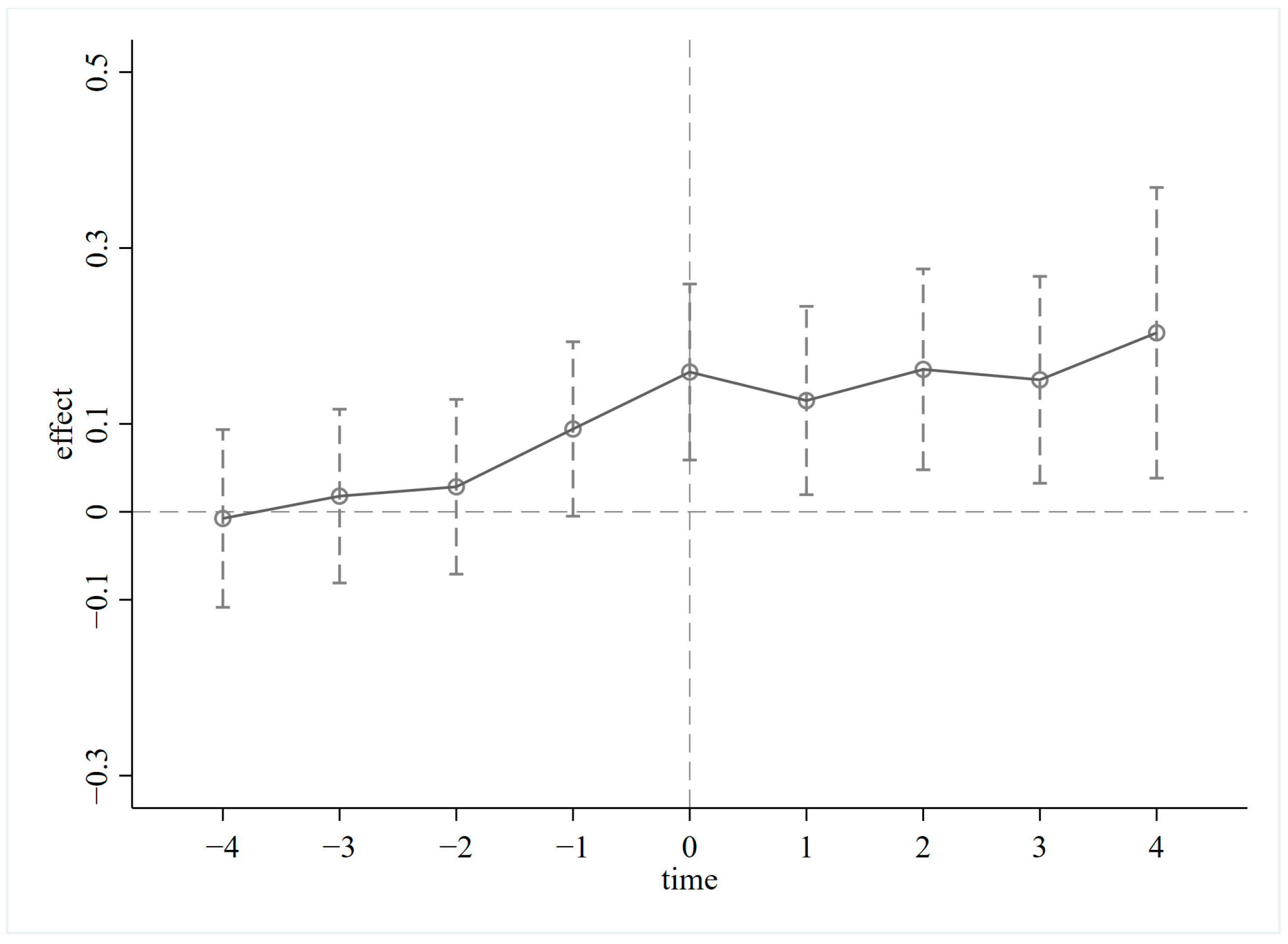
The premise for using the DID model was to meet the parallel trend test. That is, the GTFPs of cities where the tax burden increased and cities where the tax burden shifted should have the same trend before the implementation of the EPT.
G T F P i t = α 1 + t = 4 4 δ t t r e a t i t + + α 2 c o n t r o l s i t + μ i + λ t + ε i t ,
where t r e a t i t is a dummy variable that takes a value of 1 if the EPT burden of city i increases in year t and 0 otherwise. The meanings of other variables are the same as in Model (6). Figure 2 shows that the policy effect before the implementation of EPT was not significant. The test was passed.

4.2.2. Placebo Test

This paper adopted a fictitious treatment group to eliminate the impact of unobserved variables on the benchmark results. The same number of cities as those in the original treatment group were randomly selected from the sample as the new treatment group, and the other cities served as the placebo control group. The baseline regression model was used to re-estimate the data, and the above experiment was repeated 1000 times. A distribution map of the p values of the estimated coefficients was drawn. Figure 3 shows that the p values of false did coefficients are mostly insignificant in the range of 0.1–1 and are far away from the benchmark results of this article (the intersection of the red lines in the figure). It is shown that the benchmark results cannot be obtained by chance. Therefore, the placebo test was passed.

4.2.3. PSM-DID Test

In this study, the robustness of the baseline results was examined using the propensity score-matched DID model (PSM-DID). Specifically, the logarithm of the built-up area (area), total imports and exports as a percentage of GDP (Open), the green coverage percentage of built-up areas (gcr), and the consumer price index (cpi) in the base period of 2012 were used as matching variables. The PSM-DID test was performed via the nearest neighbor matching with a caliper. The regression was performed successively on the samples with weights other than 0 (Weight ≠ 0) and within the common range (In the common). Table 4 and Figure 4 show that the deviations of each variable after matching are all within 10% and not significant, indicating a good matching effect.
The regression results are shown in Table 5. Regardless of which of the above methods was used, the regression result was still significant at the 1% level. Hypothesis 1 was confirmed again.

5. Further Analysis

5.1. Mechanism Test

5.1.1. Industrial Structure Optimization

In Table 6, column (1) presents the influence of EPT on the optimization of the three industrial structures, and column (2) presents the effects of the interaction term of the three industrial restructurings and policy implementation on the GTFP of a city. The results show that the implementation of an EPT has a significantly positive effect on industrial structure adjustment. Furthermore, the interaction term between industrial structure and policy implementation has a significant positive correlation with urban GTFP. That is, EPT drives urban green transformation through the optimization of industrial structure. This is because the EPT can promote the transfer of outdated production capacity with high energy consumption, high pollution, and low efficiency to the service industry and high-tech industries, which can optimize resource allocation efficiency and corporate competitiveness. In addition, the environmental tax has raised the environmental awareness of the whole society [45,49,50]. Investment in green technologies, clean energy, recycling, and other green industries has significantly promoted the city’s green transformation. Thus, Hypothesis 2 was supported.

5.1.2. Technological Innovation

This study examined the mechanism by which the EPT affects urban GTFP through technological innovation. The regression results are shown in Table 6, columns (3)–(5). The implementation of the EPT had no significant effect on technology efficiency, while the estimation coefficients of the interaction term between technological progress and the policy dummy variable were both below the 1% level. This finding was significantly positive, indicating that technological innovation is one of the mechanisms by which the EPT increases the GTFP of a city and promotes its green transformation. As a separate tax law that embodies the “green tax system”, the EPT has a higher legal level and has increased the penalties on polluting enterprises, giving enterprises a stronger motivation to carry out technological innovation to reduce pollution emissions. At the same time, EPT has formulated tax reduction incentives for companies that reduce pollution, which strongly encourages them to increase their investment in environmental protection, the development and application of green technologies, the upgrading of production equipment, the optimization of process flows, and the use of energy-saving materials to achieve green and sustainable development. Hypothesis 3 was, thus, supported.

5.2. Heterogeneity Analysis

5.2.1. Regional Heterogeneity

Owing to the differences in geographic location, level of economic development, and resource endowment of different cities, different cities may present different responses to the EPT. In this study, Chinese cities were divided into three regions—east, center, and west—and the corresponding dummy variables were generated as new proxy variables Tit. Model (8) was used to further test the regional differences in the effects of the EPT on urban green transformation. In Table 7, columns (1)–(3) show that the implementation of EPT significantly increases the GTFP of the central cities, while this effect is not observed in East China or West China. This may be due to the mismatch between the higher level of economic development and the lower EPT rates in some eastern cities, which entails a less constraining effect on enterprises and makes it more difficult to increase the marginal effect. On the other hand, under the pressure to increase GDP, it is common to sacrifice the environment and resources for economic growth. The EPT Law gives local governments a high degree of autonomy in freely setting tax rates. On the basis of various factors, including the economy, industry, the ecological environment, and the level of supervision, western cities have set low tax rate standards, which leads to “pollution transfer” [51], and the effect of the EPT on promoting urban green transformation cannot be effectively exerted. Western cities’ disadvantages in terms of industrial structure, infrastructure, and human capital also influence urban green transformation. In summary, the implementation effect of the EPT in promoting urban green transformation was heterogeneous across geographic locations.

5.2.2. Key Cities in Environmental Protection

In 2018, the State Council promulgated the “Three-Year Action Plan to Win the Battle for Blue Sky Defense”, which clearly proposed expanding the scope of the national urban air quality ranking. Given the importance of a good institutional environment and government priority on the implementation effect of environmental regulation, on the basis of the availability of data for prefecture-level cities, the “key environmental protection cities” (environmental) listed by the Ministry of Ecology and Environment were used as new proxy variables Tit and substituted into Models (8) for regression. In Table 7, column (4) shows that the EPT significantly promotes the green transformation process of key environmental protection cities. The air quality level of key environmental protection cities is low, and their energy, industry, and transportation structures are seriously polluted. This is highly consistent with the regulatory objects of the EPT and is more conducive to the macro-regulatory role of the tax.
In general, the regulatory pressure in key environmental protection cities is greater, so local governments have no choice but to adopt green energy to adjust their energy use structure, develop green industries to optimize their industrial structure, and support new energy vehicle companies to green their transportation structure. That is, EPT is more likely to form synergy with other policies to promote urban green development.

5.2.3. Resource-Based Cities

The resource endowments of different cities and the development of different types of resource-based cities differ significantly. Chinese cities can be divided into non-resource-based cities and resource-based cities according to the “Sustainable Development Plan of Resource-Based Cities (2013–2020)”. Among them, resource-based cities can be subdivided into growing, mature, declining, and regenerative cities. The corresponding dummy variables were generated as new proxy variables Tit, and regression was performed with Model (8). The results in Table 8, columns (1)–(2), show that the impact of EPT on urban green transformation is more evident in non-resource-based cities. Enterprises in resource-based cities are mainly in high-pollution industries such as mining and metallurgy. EPT has increased the pollution costs of resource development industries, promoted resource-based cities to introduce advanced technologies to clean production processes, and accelerated urban green transformation. However, resource-based cities are important strategic security bases for energy and resources in China, and the raw coal, crude oil, and iron ore they produce are important for maintaining social stability. Their single industrial development model and weak driving force for transformation make these cities more likely to face the dilemma of the “resource curse”. Therefore, the regulatory effect of EPT on resource-based cities is weaker. Columns (3)–(6) of Table 8 show that, among resource-based cities, regenerative cities present a significant increase in GTFP in response to an EPT. According to the “Sustainable Development Plan of Resource-Based Cities (2013–2020)”, the primary goal of a regenerative city is to innovate and explore a sustainable development path, which coincides with the green development concept of the EPT. While strengthening the environmental aspect of key industries, the EPT increases the pollution discharge standards, which greatly promotes the green transformation process of regenerative cities.

5.2.4. Spatial Effect

Before using the spatial Durbin panel model, a spatial correlation test was required. Table 9 shows that Moran’s I of the explained variables from 2013 to 2022 are all greater than 0, and most of the explained variables are significantly positive at the 1% level, indicating significant spatial correlation. The LM and LR tests reported in Table 10 show that the Durbin model setting is reasonable. The fixed effect model was used based on the Hausman test.
Table 11 shows that EPT can effectively promote the green transformation of a local city and that the green transformation of surrounding cities has a positive impact on the local city. Furthermore, the direct effect of the EPT on promoting the green transformation of neighboring cities is minimal. This is because the economic scale, technological level, and industrial structure of adjacent cities are similar, and green transformation is characterized by high-high aggregation and low-low aggregation, which increases the agglomeration effect between cities and facilitates the linkage effect of upstream and downstream industries and the spillover and dissemination of green innovation technologies. Although local governments refer to the tax rates in neighboring cities when setting the EPT rate, urban green transformation is a systematic project that involves all aspects of the economy and society. Therefore, the direct role of EPT in promoting the green transformation of surrounding cities is not yet obvious.

6. Conclusions and Discussion

6.1. Conclusions

On the basis of the data from 283 prefecture-level cities in China from 2013 to 2022, this study calculated the urban GTFP through the Super-SBM model, including undesirable outputs and the ML index, attempting to explore the impact of EPT in promoting urban green transformation. This study found the following: (1) When the control variables remain unchanged, the EPT caused the GTFP of cities with increased tax collection standards to increase by 0.125 compared with that of cities with shifted collection standards, which strongly promotes the process of urban green transformation. (2) The mechanism test revealed that the optimization of the industrial structure and technological innovation play important roles in the process by which the EPT promotes cities’ green transformation. (3) Heterogeneity analysis showed that EPT can effectively promote the green transformation of middle cities, while eastern and western cities do not present this effect. The EPT can increase GTFP more in key environmental protection cities than in other cities. Compared with resource-based cities, EPT promotes the green transformation of non-resource-based cities more obviously. The green transformation of renewable resource cities is more significant among resource-based cities. The green transformation of local cities can not only be effectively promoted by EPT but also has significant positive spatial spillover effects. However, the direct promotion effect of the EPT on the green transformation of neighboring cities has not yet been reflected.

6.2. Policy Suggestions

Three policy recommendations are proposed on the basis of this study’s conclusions. First, the EPT system should be improved to promote a continuous improvement of the city’s green transformation level. We should increase the EPT rate and continuously expand the scope of taxation, including pollutants such as volatile organic compounds. The pollutant discharge standards, monitoring specifications, and tax-related information-sharing platform should be improved; timely tracking and assessment should be carried out; and the promulgation of relevant central and local supporting rules and normative documents should be accelerated to ensure the legitimacy, fairness, standardization, and effectiveness of the EPT collection. Second, we should strengthen the incentive role of EPT reduction. Differentiated preferential tax reduction measures should be implemented for enterprises that present good environmental performance by innovating production technology, using green energy, and upgrading technological processes. Third, policies should be coordinated, and cooperation and synergies should be enhanced. The coordination of policies and systems, such as EPT, industrial access, pollutant discharge permits, and green finance, should be strengthened, and the synergy of policies should be fully used to optimize the industrial structure and encourage technological innovation. Differentiated green development paths should be actively explored on the basis of the resource endowment, development stage, and advantageous characteristics of each city.

Author Contributions

Z.Q. (Zhankun Qi): writing—original draft, writing—review and editing, methodology, formal analysis, visualization. F.L.: conceptualization, methodology, writing—review and editing, investigation, supervision, funding acquisition. F.B.: methodology, validation. X.T.: data curation, formal analysis. Z.Q. (Ziwei Qian): data curation. X.D.: conceptualization, supervision. C.G.: project administration. All authors have read and agreed to the published version of the manuscript.

Funding

This research was funded by the Joint Research Program for Ecological Conservation and High Quality Development of the Yellow River Basin (2022-YRUC-01-0403).

Institutional Review Board Statement

Not applicable.

Informed Consent Statement

Not applicable.

Data Availability Statement

The data involved in this study will be made available on request.

Conflicts of Interest

The authors declare no conflicts of interest.

References

  1. Long, F.; Yang, Q.; Ge, C.; Dong, Z. Analysis on the Influence of Environmental Protection Tax on Enterprises Economic Burden. Environ. Prot. 2018, 46, 82–85. [Google Scholar] [CrossRef]
  2. Nanere, M.; Fraser, I.; Quazi, A.; D’Souza, C. Environmentally adjusted productivity measurement: An Australian case study. J. Environ. Manag. 2007, 85, 350–362. [Google Scholar] [CrossRef] [PubMed]
  3. Chen, S.; Golley, J. ‘Green’ productivity growth in China's industrial economy. Energy Econ. 2014, 44, 89–98. [Google Scholar] [CrossRef]
  4. Solow, R.M. Technical Change and the Aggregate Production Function. Rev. Econ. Stat. 1957, 39, 312–320. [Google Scholar] [CrossRef]
  5. Zhu, C.; Yue, H.; Shi, P. Empirical Study on China's Economic Growth Efficiency Under the Binding of Environment. J. Quant. Technol. Econ. 2011, 28, 3–20. [Google Scholar] [CrossRef]
  6. Ying, C.; Jie, Z. Carbon Emission, Green Total Factor Productivity and Economic Growth. J. Quant. Technol. Econ. 2016, 33, 47–63. [Google Scholar] [CrossRef]
  7. Charnes, A.; Cooper, W.W.; Rhodes, E. Measuring the efficiency of decision making units. Eur. J. Oper. Res. 1978, 2, 429–444. [Google Scholar] [CrossRef]
  8. Chung, Y.H.; Färe, R.; Grosskopf, S. Productivity and Undesirable Outputs: A Directional Distance Function Approach. J. Environ. Manag. 1997, 51, 229–240. [Google Scholar] [CrossRef]
  9. Tone, K. A slacks-based measure of efficiency in data envelopment analysis. Eur. J. Oper. Res. 2001, 130, 498–509. [Google Scholar] [CrossRef]
  10. Andersen, P.; Petersen, N.C. A procedure for ranking efficient units in data envelopment analysis. Manag. Sci. 1993, 39, 1261–1264. [Google Scholar] [CrossRef]
  11. Pearce, D. The role of carbon taxes in adjusting to global warming. Econ. J. 1991, 101, 938–948. [Google Scholar] [CrossRef]
  12. Li, P.; Lin, Z.; Du, H.; Feng, T.; Zuo, J. Do environmental taxes reduce air pollution? Evidence from fossil-fuel power plants in China. J. Environ. Manag. 2021, 295, 113112. [Google Scholar] [CrossRef]
  13. Ye, J.; An, H. Can Environmental Taxes Effectively Control Air Pollution. China Ind. Econ. 2017, 5, 54–74. [Google Scholar] [CrossRef]
  14. Fan, Q.; Zhou, X.; Zhang, T. Externalities of Dynamic Environmental Taxation, Paths of Accumulative Pollution and Long-term Economic Growth. Econ. Res. J. 2016, 51, 116–128. [Google Scholar]
  15. Pereira, A.M.; Pereira, R.M.; Rodrigues, P.G. A new carbon tax in Portugal: A missed opportunity to achieve the triple dividend? Energy Policy 2016, 93, 110–118. [Google Scholar] [CrossRef]
  16. Lin, B.; Jia, Z. The energy, environmental and economic impacts of carbon tax rate and taxation industry: A CGE based study in China. Energy 2018, 159, 558–568. [Google Scholar] [CrossRef]
  17. Bhat, A.A.; Mishra, P.P. Evaluating the performance of carbon tax on green technology: Evidence from India. Environ. Sci. Pollut. Res. 2020, 27, 2226–2237. [Google Scholar] [CrossRef]
  18. Hu, X.R.; Liu, J.F.; Yang, H.Z.; Meng, J.; Wang, X.J.; Ma, J.M.; Tao, S. Impacts of Potential China’s Environmental Protection Tax Reforms on Provincial Air Pollution Emissions and Economy. Earth's Future 2020, 8, 11. [Google Scholar] [CrossRef]
  19. Li, C.; Teng, Y.; Zhou, Y.; Feng, X. Can environmental protection tax force enterprises to improve green technology innovation? Environ. Sci. Pollut. Res. 2024, 31, 9371–9391. [Google Scholar] [CrossRef]
  20. Huang, J.; Qi, Y. Can environmental taxes force industrial structure optimization and upgrading? A quasi-natural experiment based on environmental “Fee to Tax”. Ind. Econ. Res. 2022, 2, 1–13. [Google Scholar] [CrossRef]
  21. He, P.; Sun, Y.; Shen, H.; Jian, J.; Yu, Z. Does environmental tax affect energy efficiency? An empirical study of energy efficiency in OECD countries based on DEA and Logit model. Sustainability 2019, 11, 3792. [Google Scholar] [CrossRef]
  22. Su, S.Q.; Li, S.Y. Energy efficiency suppression and spatial spillover effect: A quasi-natural experiment based on China’s environmental protection tax law. Environ. Dev. Sustain. 2023, 1–26. [Google Scholar] [CrossRef]
  23. He, Y.; Zhu, X.; Zheng, H. The influence of environmental protection tax law on total factor productivity: Evidence from listed firms in China. Energy Econ. 2022, 113, 106248. [Google Scholar] [CrossRef]
  24. Liu, G.; Yang, Z.; Zhang, F.; Zhang, N. Environmental tax reform and environmental investment: A quasi-natural experiment based on China’s Environmental Protection Tax Law. Energy Econ. 2022, 109, 106000. [Google Scholar] [CrossRef]
  25. Long, F.; Lin, F.; Ge, C. Impact of China’s environmental protection tax on corporate performance: Empirical data from heavily polluting industries. Environ. Impact Assess. Rev. 2022, 97, 106892. [Google Scholar] [CrossRef]
  26. Jiang, Z.; Xu, C.; Zhou, J. Government environmental protection subsidies, environmental tax collection, and green innovation: Evidence from listed enterprises in China. Environ. Sci. Pollut. Res. 2023, 30, 4627–4641. [Google Scholar] [CrossRef] [PubMed]
  27. Liu, J.; Xiao, Y. China’s Environmental Protection Tax and Green Innovation: Incentive Effect or Crowding-out Effect? Econ. Res. J. 2022, 57, 72–88. [Google Scholar]
  28. Yang, Y.; Huang, J.; Li, H. Environmental Protection Tax Law and Regional Green Transformation: Mechanism and Effect. Financ. Account. Mon. 2024, 45, 102–109. [Google Scholar] [CrossRef]
  29. Su, Y.; Zhu, X.; Deng, Y.; Chen, M.; Piao, Z. Does the greening of the tax system promote the green transformation of China’s heavily polluting enterprises? Environ. Sci. Pollut. Res. 2023, 30, 54927–54944. [Google Scholar] [CrossRef]
  30. Shen, N.; Liao, H.; Deng, R.; Wang, Q. Different types of environmental regulations and the heterogeneous influence on the environmental total factor productivity: Empirical analysis of China’s industry. J. Clean. Prod. 2019, 211, 171–184. [Google Scholar] [CrossRef]
  31. Cheng, Z.H.; Kong, S.Y. The effect of environmental regulation on green total-factor productivity in China’s industry. Environ. Impact Assess. Rev. 2022, 94, 13. [Google Scholar] [CrossRef]
  32. Yuan, B.; Ren, S.; Chen, X. Can environmental regulation promote the coordinated development of economy and environment in China’s manufacturing industry?—A panel data analysis of 28 sub-sectors. J. Clean. Prod. 2017, 149, 11–24. [Google Scholar] [CrossRef]
  33. Tian, Y.; Feng, C. The internal-structural effects of different types of environmental regulations on China’s green total-factor productivity. Energy Econ. 2022, 113, 106246. [Google Scholar] [CrossRef]
  34. Li, P.; Chen, Y. The Influence of Enterprises’ Bargaining Power on the Green Total Factor Productivity Effect of Environmental Regulation—Evidence from China. Sustainability 2019, 11, 4910. [Google Scholar] [CrossRef]
  35. Ma, G.; Tan, Y. Impact of Environmental Regulation on Agricultural Green Total Factor Productivity—Analysis Based on the Panel Threshold Model. J. Agrotech. Econ. 2021, 77–92. [Google Scholar] [CrossRef]
  36. Kong, L.; Li, Z.; Liu, B.; Xu, K. The impact of environmental protection tax reform on low-carbon total factor productivity: Evidence from China’s fee-to-tax reform. Energy 2024, 290, 130216. [Google Scholar] [CrossRef]
  37. Pigou, A. The Economics of Welfare; Routledge: New York, NY, USA, 2017. [Google Scholar]
  38. Xu, W.; Mao, Y. The Adjustment Effect of the Environmental Tax on the Industrial Structure. J. Manag. 2019, 32, 36–44. [Google Scholar]
  39. Chen, L.Y.; Hu, Z.Y.; Hu, X.T.; Xu, G.N. How do green industrial policies accelerate regional sustainability transition? A spatiotemporal evaluation of policy with a relationalist perspective. J. Clean. Prod. 2023, 404, 15. [Google Scholar] [CrossRef]
  40. Sun, J.H.; Tang, D.C.; Kong, H.J.; Boamah, V. Impact of Industrial Structure Upgrading on Green Total Factor Productivity in the Yangtze River Economic Belt. Int. J. Environ. Res. Public Health 2022, 19, 3718. [Google Scholar] [CrossRef]
  41. Porter, M.E.; van der Linde, C. Toward a New Conception of the Environment-Competitiveness Relationship. J. Econ. Perspect. 1995, 9, 97–118. [Google Scholar] [CrossRef]
  42. Liu, Y.; Deng, N. Does the environmental protection tax effectively produce the quadruple dividend effect? Chin. J. Popul. Resour. Environ. 2023, 33, 35–46. [Google Scholar]
  43. Zhao, X.M.; Li, J.H.; Li, Y. Impact of Environmental Tax on Corporate Sustainable Performance: Insights from High-Tech Firms in China. Int. J. Environ. Res. Public Health 2023, 20, 461. [Google Scholar] [CrossRef] [PubMed]
  44. Zhao, A.W.; Wang, J.Y.; Sun, Z.Z.; Guan, H.J. Environmental taxes, technology innovation quality and firm performance in China-A test of effects based on the Porter hypothesis. Econ. Anal. Policy 2022, 74, 309–325. [Google Scholar] [CrossRef]
  45. Yang, Z.W.; Zeng, Q.; Wang, Y. The impact of environmental protection tax on green total factor productivity: China’s exceptional approach. Environ. Dev. Sustain. 2024, 1–28. [Google Scholar] [CrossRef]
  46. Zhang, J.; Wu, G.Y.; Zhang, P. The Estimation of China’s provincial capital stock: 1952–2000. Econ. Res. J. 2004, 10, 35–44. [Google Scholar]
  47. Qiu, B.; Yang, S.; Xin, P. Research on FDI technology spillover channels and China’s manufacturing productivity growth: An analysis based on panel data. J. World Econ. 2008, 8, 20–31. [Google Scholar]
  48. Wang, Q.; She, S.; Zeng, J. The mechanism and effect identification of the impact of National High-tech Zones on urban green innovation: Based on a DID test. China Popul. Resour. Environ. 2020, 30, 129–137. [Google Scholar]
  49. Du, J.Z.; Li, Z.W.; Shi, G.P.; Wang, B. Can “environmental protection fee to tax” reduce carbon emissions? Evidence from China. Financ. Res. Lett. 2024, 62, 10. [Google Scholar] [CrossRef]
  50. Zhang, D.; Shen, M. Examination of the Mechanism of Environmental Tax Affecting the Public Green Consumption Levels. Tax. Econ. 2024, 4, 52–62. [Google Scholar]
  51. Li, M.J.; Du, W.J.; Tang, S.L. Assessing the impact of environmental regulation and environmental co-governance on pollution transfer: Micro-evidence from China. Environ. Impact Assess. Rev. 2021, 86, 9. [Google Scholar] [CrossRef]
Figure 2. Parallel trend test.
Figure 2. Parallel trend test.
Sustainability 16 09011 g002
Figure 3. Placebo test.
Figure 3. Placebo test.
Sustainability 16 09011 g003
Figure 4. PSM effect.
Figure 4. PSM effect.
Sustainability 16 09011 g004
Table 1. Descriptive statistics for variables.
Table 1. Descriptive statistics for variables.
VariablesMeanS.D.MinMaxN
GTFP1.4520.6120.39710.772830
EC1.1960.3280.3436.7642830
TC1.2220.3880.2984.1842830
industry0.4470.0950.1280.8392830
population4.7890.8262.7317.8822830
finance16.991.03714.7821.282830
science13.290.82710.3016.432830
urban0.5810.1450.18112830
Table 2. GTFP calculation indicators.
Table 2. GTFP calculation indicators.
CategoryVariablesDefinition
InputLabor forceExpressed as the urban employed population.
EnergyThe provincial energy consumption decomposed based on the city night light data.
CapitalCalculate the actual capital investment of each city over the years, with 2012 as the base period, using the perpetual inventory method.
OutputExpected outputMeasured by urban real GDP in 2012 as the base period.
Undesired outputIndustrial sulfur dioxide emission.
Table 3. Benchmark regression results.
Table 3. Benchmark regression results.
Variables(1)(2)(3)(4)(5)(6)
GTFP
did0.134 ***0.128 ***0.133 ***0.130 ***0.133 ***0.125 ***
(4.946)(4.710)(4.939)(4.819)(4.931)(4.605)
population 0.119 *** 0.104 ***
(3.204) (2.804)
finance 0.251 ** 0.195 *
(2.243) (1.848)
science 0.136 *** 0.110 ***
(3.926) (3.165)
urban −0.128−0.123
(−0.560)(−0.538)
YearYesYesYesYesYesYes
CityYesYesYesYesYesYes
Observations283028302830283028302830
Note: t values are reported in parentheses; *, **, and *** represent significance at the 10%, 5%, and 1% levels, respectively.
Table 4. PSM effect.
Table 4. PSM effect.
VariablesUnmatchedMean %Reductt TestV (T)/
V (C)
MatchedTreatedControl%bias|bias|tP > |t|
areaU4.7904.46139.7 10.470.0001.15 *
M4.6984.6960.299.50.060.9490.98 *
openU0.1930.15016.2 4.210.0001.89 *
M0.1720.185−4.870.3−1.330.1841.29 *
gcrU0.4120.40514.1 3.790.0000.59 *
M0.4100.412−3.475.8−1.060.2870.69 *
areaU4.7904.46139.7 10.470.0001.15 *
M4.6984.6960.299.50.060.9490.98 *
cpiU1.1151.10811.2 2.950.0031.16 *
M1.1131.1120.991.70.250.8001.11 *
Note: t values are reported in parentheses; * represent significance at the 10% level.
Table 5. PSM-DID.
Table 5. PSM-DID.
VariablesWeight ≠ 0In the Common
GTFP
did0.081 ***0.131 ***
(2.920)(4.878)
population0.101 **0.108 ***
(2.446)(3.039)
finance0.300 ***0.228 **
(2.795)(1.993)
science0.120 ***0.111 ***
(3.085)(3.208)
urban−0.628 **−0.431 *
(−2.520)(−1.900)
YearYesYes
CityYesYes
Observations21272761
Adj. R20.6760.632
Note: t values are reported in parentheses; *, **, and *** represent significance at the 10%, 5%, and 1% levels, respectively.
Table 6. Mechanism test.
Table 6. Mechanism test.
Variables(1)(2)(3)(4)(5)
IndustryGTFPECTCGTFP
did0.013 *** 0.0180.086 ***
(4.940) (1.037)(5.693)
Industry × did 0.195 ***
(3.587)
TC × did 0.179 ***
(10.262)
ControlYesYesYesYesYes
YearYesYesYesYesYes
CityYesYesYesYesYes
Observations28302830283028302830
Adj. R20.8710.6360.5020.7200.650
Note: t values are reported in parentheses; *** represent significance at the 1% level.
Table 7. Test of regional heterogeneity.
Table 7. Test of regional heterogeneity.
Variables(1)(2)(3)(4)
GTFP
east × did−0.006
(−0.132)
middle × did 0.329 ***
(10.544)
west × did −0.139 ***
(−3.229)
environmental × did 0.210 ***
(6.722)
ControlYesYesYesYes
YearYesYesYesYes
CityYesYesYesYes
N2830283028302830
Adj. R20.6340.6460.6360.642
Note: t values are reported in parentheses; *** represent significance at the 1% level.
Table 8. Inspection of environmental protection and resource-based cities.
Table 8. Inspection of environmental protection and resource-based cities.
Variables(1)(2)(3)(4)(5)(6)
GTFP
non-resource × did0.098 ***
(3.043)
Resource × did 0.055 *
(1.674)
growing × did −0.166 **
(−2.040)
mature × did 0.014
(0.360)
declining × did −0.033
(−0.380)
regenerative × did 0.423 ***
(5.329)
ControlYesYesYesYesYesYes
Note: t values are reported in parentheses; *, **, and *** represent significance at the 10%, 5%, and 1% levels, respectively.
Table 9. Moran’s I.
Table 9. Moran’s I.
YearMoran’s IYearMoran’s I
20130.091 ***20180.082 ***
20140.096 ***20190.115 ***
20150.106 ***20200.137 ***
20160.082 ***20210.105 ***
20170.084 ***20220.056 **
Note: **, and *** represent significance at the 5%, and 1% levels, respectively.
Table 10. Model robustness test.
Table 10. Model robustness test.
Test MethodsStatisticsp Value
Robust LM-Lag211.3060.000
Robust LM-Error5.8440.016
LR-Lag11.490.0425
LR-Error10.410.0643
Hausman Test27.000.0001
Table 11. Spatial Durbin results.
Table 11. Spatial Durbin results.
Variables(1)
GTFP
did0.128 **
(2.22)
ρ0.313 ***
(8.11)
Direct0.129 **
Indirect0.004
ControlYes
YearYes
CityYes
N2830
Adj. R20.090
Note: z values are reported in parentheses; **, and *** represent significance at the 5%, and 1% levels, respectively.
Disclaimer/Publisher’s Note: The statements, opinions and data contained in all publications are solely those of the individual author(s) and contributor(s) and not of MDPI and/or the editor(s). MDPI and/or the editor(s) disclaim responsibility for any injury to people or property resulting from any ideas, methods, instructions or products referred to in the content.

Share and Cite

MDPI and ACS Style

Qi, Z.; Long, F.; Bi, F.; Tian, X.; Qian, Z.; Duan, X.; Ge, C. Can Environmental Protection Tax Promote Urban Green Transformation? Experimental Evidence from China. Sustainability 2024, 16, 9011. https://doi.org/10.3390/su16209011

AMA Style

Qi Z, Long F, Bi F, Tian X, Qian Z, Duan X, Ge C. Can Environmental Protection Tax Promote Urban Green Transformation? Experimental Evidence from China. Sustainability. 2024; 16(20):9011. https://doi.org/10.3390/su16209011

Chicago/Turabian Style

Qi, Zhankun, Feng Long, Fenfen Bi, Xue Tian, Ziwei Qian, Xianming Duan, and Chazhong Ge. 2024. "Can Environmental Protection Tax Promote Urban Green Transformation? Experimental Evidence from China" Sustainability 16, no. 20: 9011. https://doi.org/10.3390/su16209011

APA Style

Qi, Z., Long, F., Bi, F., Tian, X., Qian, Z., Duan, X., & Ge, C. (2024). Can Environmental Protection Tax Promote Urban Green Transformation? Experimental Evidence from China. Sustainability, 16(20), 9011. https://doi.org/10.3390/su16209011

Note that from the first issue of 2016, this journal uses article numbers instead of page numbers. See further details here.

Article Metrics

Back to TopTop