Next Article in Journal
Constructing a Coal Mine Safety Knowledge Graph to Promote the Association and Reuse of Risk Management Empirical Knowledge
Previous Article in Journal
Climatic Effects on the Growth of Fagus sylvatica L. in Mixed Stands with Pinus sylvestris L. in Lithuania
 
 
Font Type:
Arial Georgia Verdana
Font Size:
Aa Aa Aa
Line Spacing:
Column Width:
Background:
Article

Modeling and Analysis of Public Transport Network in Hohhot Based on Complex Network

1
Transportation Institute, Inner Mongolia University, Hohhot 010070, China
2
Inner Mongolia Engineering Research Center for Intelligent Transportation Equipment, Hohhot 010070, China
*
Author to whom correspondence should be addressed.
Sustainability 2024, 16(20), 8849; https://doi.org/10.3390/su16208849
Submission received: 12 September 2024 / Revised: 30 September 2024 / Accepted: 4 October 2024 / Published: 12 October 2024

Abstract

In the urban public transport network, the transfer of buses and subways provides convenience for residents to travel efficiently. But in actual operation, it is found that accidents, natural disasters, and other damage are inevitable. These sudden events may lead to route suspensions and service delays, ultimately resulting in network paralysis. In this paper, complex network theory is used to construct a weighted double-layer network model. Carrying capacity is considered the edge weight. The model analyzes the impact of these sudden events on network performance. It also conducts in-depth research on network structure and node importance. A collective influence (CI) algorithm is proposed as a centrality index to evaluate node importance. Based on the dynamic nature of the attacks, the network state is divided into initial network and current network. Taking Hohhot as an example, the results show that the network based on a CI algorithm node attack has the worst invulnerability. The network invulnerability based on an edge weight attack is better than that of edge betweenness. Compared with the current network, the invulnerability of the initial network is stronger. This indicates that ongoing changes and adaptations in the network may accelerate the decline in overall performance. At the same time, targeted interventions on key nodes and edges can enhance the network’s invulnerability. Planners can continuously monitor network performance to provide a basis for dynamic management and real-time adjustments. Additionally, effective information about critical routes to the public helps ensure the sustainable operation of the public transportation network.

1. Introduction

As China’s economy and society experience rapid development, urban populations burgeon and the proliferation of car ownership exacerbates issues such as traffic congestion. These challenges are compounded by various interferences that pose significant impacts on the expanding public transport network, including terrorist attacks, extreme weather events, congestion, network security breaches, and power outages. An illustrative incident occurred on 20 July 2021, in Zhengzhou, when a severe rainstorm flooded the urban rail transit line 5, resulting in 14 fatalities and the complete shutdown of the network. This event underscores how localized interferences can ripple across entire lines or networks, inflicting substantial economic losses and endangering passenger safety. Therefore, ensuring the stable operation of urban public transportation systems is crucial. Complex network theory provides effective tools to tackle these challenges. This paper analyzes network structure, performance, and node importance to identify critical nodes and edges. This enables timely maintenance of the transportation system, ensuring that key routes can operate effectively in the event of unexpected disruptions. It also provides guidance for the sustainable development of public transportation systems.
Contemporary scholarship, both domestic and international, predominantly employs complex network theory to scrutinize subway–bus composite networks. This involves analyzing network characteristics, evaluating the resilience of composite networks, and pinpointing pivotal stations. González et al. [1] provided an insightful discussion on the evolution and growth of the Mexican subway public transport system spanning five decades. Employing complex network analysis, their study delved into the patterns of structural changes and network characteristics.
In the realm of analyzing characteristics of composite networks, the majority of the research focuses on single-layer traffic networks, such as urban rail transit, urban public transport systems, railways, and aviation networks. Numerous scholars [2,3,4,5] have significantly contributed to the field of public transport networks. Ding et al. [6] proposed a multi-layer optimization method for urban traffic networks, with the objective of enhancing synergies by expanding subway network stations, albeit with potential limitations. Pu et al. [7] took the double-layer network structure of public transportation in Lanzhou as a case study to analyze network characteristics, revealing that the composite network exhibited greater efficiency than a single network. Chen et al. [8] developed a double-layer network model incorporating urban rail and bus systems, employing K-shell decomposition to compute node importance indices and identify critical road sections, thereby offering insights for optimizing the structure of double-layer traffic networks. Through the application of methods in complex network theory, Regt et al. [9] could effectively discern the stability of public transport networks (PTNs). Furthermore, they delved into the universal load dynamics of these systems. These characteristics served as pivotal performance indicators to facilitate the ongoing development of efficient and stable PTNs. They all emphasize the impact of multi-layer structures on transportation systems, which makes network performance evaluation more specific and empirical. This shift allows for a more comprehensive understanding of the interactions between different modes of transportation.
In the domain of analyzing the robustness of composite networks, numerous scholars [10,11,12] employ various metrics to assess the resilience of real-world systems. However, within the context of complex networks, there exists confusion regarding terms such as invulnerability, vulnerability, and robustness, often leading to their interchangeable usage in practice. For instance, Yang et al. [13] adopted the concept of robustness, while Zhang et al. [14] quantified the structural vulnerability of urban rail transit networks under random and deliberate attacks. Similarly, Han et al. [15] measured the invulnerability of urban public transportation (UPT) under various attack modes. Yang et al. [16] proposed a cascading failure model based on flow mechanics by constructing the bus network and the subway network as an MSCCN (Multi-Service Coupling Complex Network). By comprehensively considering three key indicators—node size, network efficiency, and passenger flow change—the study comprehensively evaluated the system’s robustness. This research underscored the resemblance between cascading failures in public transport networks triggered by extreme weather events and sudden traffic accidents, offering a novel approach to optimize the resilience of urban transport systems. Zhang et al. and Han et al. alternatively employed the concepts of vulnerability and invulnerability in their works. Fundamentally, the invulnerability of composite networks emphasizes their capacity to maintain basic functionalities during network failures. Applied to the characteristics of the subway–bus dual layer network, invulnerability pertains to the network’s ability to sustain essential operational functions amidst internal and external emergencies, including vehicle breakdowns, traffic incidents, unforeseen disasters, adverse weather conditions, and surges in passenger volume.
In the pursuit of pinpointing crucial nodes within composite networks, Zhang et al. [17] elucidated traditional methodologies for assessing node importance. These approaches typically fall into two main categories. The first category encompasses topology-based network metrics, including degree centrality, betweenness centrality, and the K-shell algorithm. The second category pertains to network vulnerability to cascading failures, wherein nodes with heightened influence wield a more substantial impact, particularly in networks exhibiting diminished robustness. In contrast, many existing studies tend to focus on a single metric, lacking a comprehensive comparison of different methods. Morone et al. [18] delved into the challenge of maximizing influence through optimal penetration within composite networks, unveiling a novel cadre of strategic influencers known as weak nodes. These nodes, despite their low degree, wield significant influence. They introduced the collective influence (CI) algorithm to tackle the optimization quandary posed by large-scale datasets. This perspective differs significantly from the traditional focus on high-degree nodes in existing research. It offers a new viewpoint for understanding network dynamics.
Chen et al. [19] presented an enhanced evaluation approach, termed CLI, for discerning the significance of urban rail transit stations. Employing the Suzhou rail transit network as a case study, they conducted a comparative attack experiment contrasting betweenness centrality with CLI. Results indicated that CLI exerts a more pronounced influence on network performance compared to node degree and betweenness centrality, facilitating a more efficacious assessment of pivotal stations within urban rail transit networks. Examining the time-varying topological attributes of complex networks, Zhang et al. [20] scrutinized connectivity patterns and network structures in Vehicular Ad-Hoc Networks (VANETs). Their investigation unveiled crucial insights such as key nodes, network stability, and information transmission efficiency. Within the same experimental framework, the time-varying network model proved more adept at capturing the network’s information transmission process compared to instantaneous and static network models. Simulation outcomes underscored a significant enhancement in VANET connectivity as the communication radius expands, with the study focalizing on the pivotal role of this key parameter in shaping network connectivity.
The above research validates the empirical nature of multilayer networks. It provides a more effective method for assessing key nodes, significantly contributing to the advancement of complex networks in transportation. However, when constructing networks, researchers often overlook the impact of actual train operation conditions on modeling. Additionally, most studies focus solely on key nodes, neglecting the role of edges. This paper constructs a weighted network by considering factors such as bus schedules and departure frequency in the capacity calculations. The approach makes the model more aligned with real-world conditions. Drawing from Morone’s team’s weak node parameter strategy, a node centrality method is developed to evaluate network characteristics. The invulnerability of the initial network and the current network is also analyzed. Furthermore, this paper introduces the Hohhot network topology and explores how different attack strategies impact the invulnerability of the composite network.
Previous research on complex network public transportation systems has primarily focused on developed cities in southern China. In contrast, studies addressing northern regions, especially the northwest, are relatively scarce. Public transportation development in these areas is slow, particularly for rail transit. This results in significant operational differences between northern and southern cities. Hohhot, as a remote city, faces challenges such as inadequate infrastructure, low operational efficiency, and limited service coverage. Thus, selecting Hohhot as a case study fills a gap in this research area and provides valuable insights for public transportation systems in remote regions. By analyzing its network structure, node importance, and edge effects, this study reveals how to optimize the invulnerability and efficiency of public transportation under resource constraints. Additionally, it enhances the understanding of operational differences between northern and southern regions. This research contributes to sustainable development in the area.

2. Double-Layer Network Construction

2.1. Construction of Single-Layer Network for Subways and Buses

Subway network model: the Space-L model method offers a straightforward means of capturing the network’s topological characteristics. Consequently, this study uses the Space-L method in constructing a single-layer network model.
The subway transportation network is represented as a set G , wherein V S = { 1 , 2 , 3 , , N } encompasses all stations, E S = { e i S j S | v i S , v j S V S } represents the set of edges, and W S = { w i S j S } signifies the weight assigned to each station, indicating the presence and significance of edges within the network. This weight serves to delineate the existence and importance of connecting edges: A weight of 0 signifies the absence of a connecting edge, while a positive weight indicates its existence, with higher values implying greater importance. The number of nodes is denoted by N = | V | and the number of edges by L = | E | , where it is evident that L N ( N 1 ) . Each edge e within E ( S ) is associated with a pair of points i , j in V ( S ) . Given the bidirectional nature of the lines, the node pairs i , j and j , i refer to the same edge as their corresponding pair.
The weight of each edge is determined by carrying capacity, which is influenced by actual train frequency and the number of lines operating during different time periods. For analytical convenience, the weight of each edge is expressed as follows in Equations (1)–(3):
W S = | w i S j S S |
w i j S = c S 60 h S α a i j S
where c S is the maximum passenger capacity of a single subway, h S is the departure interval of the subway along this route, and α is the number of subway lines between stations, often taking 0 or 1. The connection relationship of subway network nodes is expressed by Formula (3).
a i S j S S = { 1 ,   if   there   is   an   edge   connecting   nodes   i B   and j B 0 ,   O t h e r w i s e
Bus network model: In contrast to the subway network, the bus network operates as a single-layer network with a comparable structure. Thus, the bus network can similarly be defined as a set G B = ( V B , E B , W B ) , where V B includes all the stations, E B is the set of connecting edges, and W B represents the weight values of each station, signifying the presence and significance of connecting edges within the network. As bus lines operate bidirectionally, the node pair i , j and j , i corresponds to the same edge. The mathematical framework for the bus layer is elucidated by Equations (4)–(7).
A B = | a i B j B B |
The connection relationship of bus network nodes is as follows:
a i B j B B = { 1 ,   if   there   is   an   edge   connecting   nodes   i B   and j B 0 ,   O t h e r w i s e
W B = | w i B j B B |
w i B j B B = a i B j B B n V i B j B 60 h i B j B n c n B
where h i B j B n is the departure interval between node i and j on the nth bus route, and c n B is the maximum passenger capacity of the nth bus line.

2.2. Construction of Subway–Bus Composite Network

The method for representing a multi-layer network is defined as Space-M, comprising several single-layer networks interconnected with composite relationships. This approach finds frequent application in the transportation domain for depicting multi-modal transportation networks with distinct physical attributes. In comparison to single-layer networks, the multi-layer network provides a more precise portrayal of the spatial characteristics inherent in multi-mode composite transportation networks. This study establishes a weighted composite network utilizing Space-M, where the upper layer denotes a bus network based on Space-L G B = ( V B , E B , W B ) , and the lower layer represents a subway network based on Space-L G S = ( V S , E S , W S ) . The inter-layer connection is formulated as follows (Equations (8)–(19)). (At this moment, i S is a subway station, and j B is a bus station).
G = G S + G B
V = V S + V B
E = E B + E S + E B S
A = A B A B S A B S A S
W = W B W B S W B S W S
A B S = a i S j B B S
a i S j B B S = { 0 ,   i S   and   j B   not   closest   hetero   site ,   dist   >   R 1 ,   i S   and   j B   are   the   closest   hetero   site ,   d i s t     R  
W B S = w i S j B B S
N i S = n | a i S j B B S = 1 , j S V B
w j B = i B V B , i B j B w i B j B
w j S = i S V S , i S j S w i S j S
w i S j B B S = min μ i S j B w j , μ i S j B w S μ i S j B n N i S μ n j B
In the equation, G represents the network, μ i j is the assumed transfer coefficient between nodes i and j , R is the inter-layer coupling radius between nodes i and j , a i S j B B S is the inter-layer connection relationship, W B S is the inter-layer edge weight set, w i S j B B S is the inter-layer edge weight, w j B is the weight of bus node j B within the single-layer bus network, and w j S is the weight of subway node j S within the single-layer subway network.
In the actual travel process, passengers have the option to transfer between subway and bus stations on foot, thereby facilitating the integration of the subway and bus networks. This paper proposes a method for constructing transfer edges between subway and bus stations, outlined in the following steps. (Assuming a transfer coefficient of μ = 0.5 (R = 500 m), μ = 0.75 (R = 300 m), μ = 0.25 (R = 650 m)).
(1)
The network nodes are defined by subway and bus stations. When a subway or bus line passes sequentially through two adjacent nodes, an edge is established between them.
(2)
A buffer zone with a radius of r = 500 m is created around each subway station. The Geographic Information System (GIS) spatial connection method is utilized to identify bus stations within this buffer zone, establishing a spatial mapping relationship between the subway station and the set of bus stations within the zone. Within this buffer zone, each bus station is exclusively connected to the nearest subway station, implying that a bus station can connect to at most one subway station, while a subway station can connect to multiple bus stations.
(3)
The network is designed as an undirected network, disregarding differences in network flow directions.
(4)
The combined carrying capacity of the lines between two stations is used as the edge weight, denoting the total passenger capacity that can be transported between the two stations. This facilitates the establishment of a transfer edge set between subway stations and bus stations.
By employing the aforementioned method for constructing transfer edges between subway and bus stations, a subway–bus composite network can be realized.

3. Research on the Invulnerability of Double-Layer Networks

3.1. Calculation of Public Transport Network Edge Weight

To accurately depict the operational dynamics of both subway and bus systems, this study adopts carrying capacity as the connecting weight, taking into account factors such as vehicle departure intervals, operating durations, and maximum passenger capacities. This method establishes a weighted composite network integrating both subway and bus systems. Within this weighted network, three types of connecting edges are identified: subway-to-bus station section edges, subway-to-subway station section edges, and bus-to-bus station section edges.
For calculating the weight of the bus-to-bus station section edge, historical departure time data for each bus line are first gathered to determine the departure interval for each bus. Subsequently, the average departure frequency is computed to establish the bus departure frequency. Finally, the carrying capacity between bus stations is calculated based on this frequency. The specific calculation is shown in Equation (7).
To compute the weight of the subway-to-subway station section edge, subway departure intervals are acquired, considering both peak and average peak departure frequencies. The carrying capacity between subway stations is then determined based on the passenger capacity of a single subway train. The specific calculation is shown in Equation (18).
In determining the weight of the subway-to-bus station section edges, the transfer edge weight is initially calculated based on the selected coupling radius and node load value. The results of the bus–subway connection calculation based on the bus layer are compared with those of the bus–subway connection capacity of the subway layer, with the minimum value selected as the weight. The specific calculation is shown in Equation (19).

3.2. Composite Network Performance Judgment Analysis Method

The statistical features of complex networks encompass a variety of quantitative measures, including node complexity, edge complexity, and structural complexity within the network. Their primary objective is to unveil the network’s structure and functionality, its underlying laws and distinctive properties, as well as its resilience, thereby providing guidance for the design and optimization of real-world networks. This section introduces four centrality indices, such as degree, betweenness centrality, clustering coefficient, and k-core. Additionally, it explores the centrality index of collective influence (CI). Recent research by the H. Makse team at the City University of New York has involved extensive analysis of real-world data, revealing that high-K core nodes exert significant influence on propagation dynamics. Their findings, published in Nature, underscore that impactful nodes may also manifest as nodes with low degrees within the network. These nodes often serve as bridge nodes, exemplifying characteristic parameters of collective influence.
The degree k i of node i is the sum of the number of other nodes connected to node i and is calculated as in Formula (20).
k i = j N a i j
The betweenness B i of node i is node i passing through the shortest path of all node pairs in the network and is calculated as in Formula (21).
B i = j , k N ( j k ) n j k ( i ) n j k
The clustering coefficient C i of node i is the ratio of the number of edges E i actually existing between the neighboring nodes of node i to the maximum possible number of connected edges k i ( k i 1 ) / 2 , which is calculated as in Formula (22).
C i = 2 E i k i ( k i 1 )
The k-core (also called k-shell, KS) decomposition progress is an iteration to delete the k-degree nodes. For example, the node degree parameter is set as 1. All 1-degree nodes and their connected links are deleted. Then, the new 1-degree nodes are deleted and this cycle is reciprocated.
The formula for the method of identifying important nodes in the network based on collective influence is as follows.
C I l ( i ) = ( k i 1 ) j B a l l ( i , l ) ( k j 1 )
where B a l l i , l is the set of nodes inside a ball of radius l (defined as the shortest path) around node i , B a l l i , l is the frontier of the ball, P l i , j is the shortest path of length l connecting i and j (Figure 1), and k i is the degree of node i .
The characteristic indices used to gauge the resilience of composite networks include global network efficiency (E) and the relative size of the maximum connected subgraph (S), among others. Global network efficiency measures the speed of information transmission within the network and signifies the ease of accessing any node in the traffic network. The size of the maximum connected subgraph indicates the impact of accidents on the network’s structure and size, reflecting its connectivity—the degree of interconnectedness between nodes.
(1)
Maximum connected subgraph
The maximum connected subgraph is a subgraph with the largest number of nodes among all the connected subgraphs in the graph. Some researchers have shown that there is always a maximum connected subgraph in a network. After a node in the network is attacked, the destructiveness of the network is measured by the maximum connected subgraph size. The specific expression is:
S = N N
where N is the network node suffering from the number of nodes in the maximum connected subgraph after the attack, and N is the total number of nodes in the symbiotic network. For the initial state without an attack, the maximum connected subgraph size S is 1, indicating that the start of the network is a fully connected undirected graph. When S is 0, the network is near collapse.
(2)
Network efficiency
Network efficiency is a measure of the transmission efficiency of a network. When some sites in the network are attacked or fail, the shortest path length between the sites increases, leading to a reduction in network transmission efficiency. Network efficiency is defined as the ratio of the reciprocal sum of the total shortest path lengths to the total number of shortest paths, i.e.,
E = 1 N ( N 1 ) i j , i , j V 1 d i j
where N is the total number of nodes, and d i j is the distance between node i and node j .
Common composite network attack strategies are categorized based on their targets, which include node attacks and edge attacks. Node attacks correspond to incidents in the traffic network resulting in site facility damage or service interruptions, while edge attacks involve accidents occurring between stations leading to transportation interruptions. When a node fails, the edges connected to that node also fail, while the remaining nodes or edges continue to operate normally. Conversely, edge failures only affect the specific edge without impacting other nodes or edges.
These attacks can be further classified into random attacks and deliberate attacks based on the deletion method employed. Random attacks involve the random removal of one or a group of nodes and edges in each iteration to create a new network. Due to the stochastic nature of random attacks, averaging over multiple rounds is necessary to obtain meaningful results. Deliberate attacks entail the systematic removal of nodes or edges according to predefined rules, followed by evaluating the network’s performance.
Furthermore, the attack strategies are classified into initial and current networks based on ranking node importance and the dynamic nature of the attack. Initial network attacks primarily target the network’s static characteristic. In an initial network attack, the attacker will rank the node centrality index, and then attack and calculate the characteristic parameters of the network. In current network attacks, the attacker will reorder the centrality index before each round of attack and calculate the network characteristic parameters.
Here, the strategies are illustrated using node attacks as an example. Figure 2 demonstrates the steps of random and deliberate attacks involved in the initial and current network.

4. Case Analysis

4.1. Double-Layer Network Construction and Carrying Capacity Calculation

The research area covers four districts: Yuquan District, Saihan District, Huimin District, and Xincheng District, excluding remote areas. It includes a total of 43 subway stations and 1215 bus stops, serving two subway lines and 168 bus routes. Using actual network and operational data from Hohhot City, a weighted composite network is established (Figure 3). The weights of subway segment edges are determined using average daily operational data from 2023, while bus segment edge weights are derived from bus departure data in December 2023. Bus stations within the buffer radius of subway stations are exclusively connected to the nearest subway stations to facilitate intermodal transfers.
As outlined in Table 1, it is evident that the network with a coupling radius of 650 m demonstrates advantages across the average path length and global clustering coefficient. The network exhibits characteristics of closely distributed nodes and efficient information dissemination, making it suitable for scenarios requiring effective information propagation and close collaboration. Considering these metrics, the composite network with a 650 m coupling radius displays strong performance, warranting further research and practical applications. Table 2 presents the weights of the top 10 ranked edges in the composite network carrying capacity with a coupling radius of 650 m. The edges with high carrying capacity are screened out—that is, subway-to-subway stations. Most of the top 20 are subway-to-bus stations, because the subway bears a lot of carrying capacity.

4.2. Network Invulnerability Analysis

Based on the constructed weighted composite network with a radius of 650 m, simulation experiments on network invulnerability are conducted using two types of attack strategies. These strategies include random attacks and deliberate attacks such as degree centrality (DC), betweenness centrality (BC), closeness centrality (CC), K-core centrality (KS), and collective influence (CI). In the experiment, 5% of the nodes or edges in the network are deleted each time. Deliberate attacks target nodes or edges from high to low importance based on node or edge centrality. Random attacks randomly select nodes or edges in the network each time. The changes in characteristics such as the maximum connected subgraph (S), network efficiency (E), average degree (k), average clustering coefficient (C), and average path length (L) are presented in Figure 4, Figure 5, Figure 6 and Figure 7. These variations occur under different attack strategies. In the figure, q represents the proportion of deleted nodes, while n denotes the number of deleted edges.
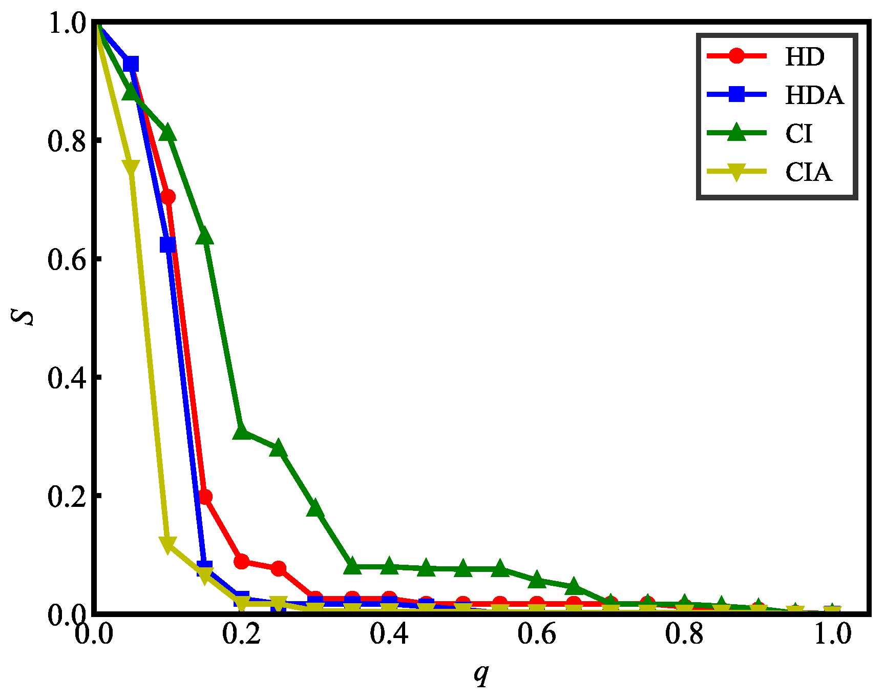
For the strategy of deleting network nodes, the change in network characteristic is shown in Figure 4. It can be seen from Figure 4 that under the deliberate attack strategy of collective influence (CI) and degree value (HD), the maximum connected subgraph (S) size of the current network (HDA, CIA) decreases more obviously than that of the initial network (HD, CI). The network invulnerability of the initial network is better. Specifically, after the removal of approximately 10% of the nodes from the initial network, the maximum connected subgraph (S) under the degree of attack remains around 0.7, while under the CI attack, it measures at about 0.8. Conversely, after removing the same 10% of nodes from the current network, the situation deteriorates significantly. The maximum connected subgraph (S) based on degree centrality drops to approximately 0.6, while under the CI attack, it plummets to nearly zero. This collapse illustrates that the current network is particularly susceptible to the CI attack strategy, leading to a complete loss of connectivity. Such a drastic decline underscores the urgent need for preventive measures to enhance the invulnerability of nodes influenced by CI.
Figure 5 depict the trends of initial network parameters following node deletions. Notably, the maximum connected subgraph (S) decreases in a stepwise manner, while the global efficiency (E) changes relatively smoothly. When the proportion of attacked nodes (q) reaches 0.2, both the maximum connected subgraph (S) and network efficiency (E) approach zero, indicating that the network has effectively become paralyzed and its connectivity is nearly nonexistent. This highlights the severe impact of deliberate attacks based on degree centrality, which are shown to be the most destructive to the network’s integrity. As a result, the network demonstrates a weak invulnerability to such targeted assaults.
Furthermore, the average path length (L) initially increases, reflecting a reduction in effective pathways between nodes. This change adversely affects information transmission efficiency and overall global connectivity. In contrast, the average degree (k) of the network remains relatively stable throughout the attack process. In Figure 5e, the curve representing random attacks decreases at the slowest rate initially, whereas the curve for degree centrality (DC) declines the most rapidly. At approximately 0.45 for the proportion of deleted nodes, the average clustering coefficient (C) drops to zero, underscoring the critical effects of targeted attacks on the network’s structural cohesion.
The deliberate node attacks in the current network (Figure 6) result in more severe disruptions. Increasing trends in average path length (L) and efficiency (E) are observed in both initial and current networks, reflecting architectural evolution and optimization. Notably, attacks that focus on nodes based on degree centrality and betweenness centrality severely undermine network connectivity. For example, when the proportion of attacked nodes reaches 0.2, both the maximum connected subgraph (S) and network efficiency (E) plummet to below 0.2 and 0.02, respectively. Such a drastic decline leads to a state of network paralysis, where communication and interaction between nodes become virtually impossible. This highlights the critical importance of safeguarding key nodes in maintaining overall network functionality.
Furthermore, the average clustering coefficient (C) decreases to zero when the proportion of attacked nodes reaches 0.25, indicating a complete loss of node clustering. This loss signifies that the remaining nodes no longer form cohesive groups or communities, which are essential for facilitating efficient information exchange and collaboration within the network. As the attacks intensify, the average degree (k) of the network diminishes to zero when the proportion of attacked nodes reaches 0.7. At this juncture, the remaining nodes become isolated, rendering the network entirely dysfunctional.
For the strategy of removing the edges of the network, the network characteristic changes, as shown in Figure 7. It is evident that the two curves in the edge attack graph exhibit a similar declining trend. Specifically, when 50% of the edges are deleted, the network’s maximum connected subgraph under the weight attack is approximately 0.6, with a corresponding global efficiency of around 0.025. This suggests that, even with a substantial reduction in connectivity, the network maintains a relatively robust structure. In contrast, the betweenness centrality attack results in a maximum connected subgraph (S) of only about 0.4 and a global efficiency (E) of approximately 0.02. These findings suggest that prioritizing the deletion of highly weighted edges within the network better preserves its connectivity and global efficiency in information dissemination, rendering the network more resilient against destruction.

5. Conclusions

In this paper, the complex network theory is applied to Hohhot as a case study. The network edge carrying capacity is calculated according to the subway and bus operation data. Simulation experiments on the subway–bus double-layer network under various attack strategies assess network invulnerability. The conclusions of this study are as follows:
  • A total of 20% of the nodes are removed based on their degree value, resulting in a significant reduction in the network’s characteristic parameters.
  • Deliberate attacks launched by node degree centrality under the initial network are more destructive to the network.
  • Current network invulnerability faces greater challenges, particularly with key node indicators like collective influence and betweenness centrality.
  • When approximately 10% of the nodes are removed, the network loses connectivity.
  • The network demonstrates better invulnerability when edges are removed based on weight; however, targeted attacks on betweenness centrality result in rapid network failures.
  • The transportation complex network in Hohhot features a dense node distribution and efficient information dissemination. Additionally, the high carrying capacity of edges connecting subway stations underscores the subway’s vital role in the public transportation system. These characteristics enhance network efficiency and offer valuable insights for optimization.
This paper utilizes real data from the public transport network to calculate edge weights; however, it does not consider peak travel times or passenger overflow during festivals. Future research should aim to enhance the accuracy of network traffic attributes by further refining edge weighting. Planners in Hohhot and similar cities should prioritize subway efficiency and, when construction is constrained, develop additional feeder bus routes and short-distance services connecting key nodes. This strategy will significantly improve public transportation accessibility and convenience to meet the increasing travel demands.

Author Contributions

Conceptualization, H.Z. and L.L.; methodology, H.Z.; software, L.L.; formal analysis, H.Z.; writing—original draft, L.L.; writing—review and editing, H.Z.; supervision, H.Z. All authors have read and agreed to the published version of the manuscript.

Funding

The work described in this paper was supported by grants from the Natural Science Foundation of Inner Mongolia Autonomous Region of China (project No. 2023MS07014) and Inner Mongolia Science and Technology Achievement Transfer and Transformation Demonstration Zone, University Collaborative Innovation Base, and University Entrepreneurship Training Base Construction Project (Supercomputing Power Project) (Project No. 21300-231510).

Institutional Review Board Statement

Not applicable.

Informed Consent Statement

Informed consent was obtained from all subjects involved in this study.

Data Availability Statement

The datasets used during the current study are available from the corresponding author on reasonable request.

Conflicts of Interest

The authors declare no conflict of interest.

References

  1. González, S.H.; De La Mota, I.F. Applying complex network theory to the analysis of Mexico city metro network (1969–2018). Case Stud. Transp. Policy 2021, 9, 1344–1357. [Google Scholar] [CrossRef]
  2. Han, P.; Li, Y.; Ma, C.; Mu, H.-B. Analysis of the projective synchronization of the urban public transportation super network. Adv. Mech. Eng. 2017, 9, 389–413. [Google Scholar]
  3. Zhang, S.J.; Jia, S.P.; Bai, Y.; Mao, B.H.; Ma, C.R.; Zhang, T. Optimal Adjustment Schemes on the Long Through-Type Bus Lines considering the Urban Rail Transit Network. Discret. Dyn. Nat. Soc. 2018, 2018, 8029137. [Google Scholar] [CrossRef]
  4. Luo, Y.; Qian, D. Research on the Impact Scope of Bus Stations Based on the Application of Bus Lanes. J. Adv. Transp. 2018, 2018, 3935852. [Google Scholar] [CrossRef]
  5. Du, W.; Zhang, J.; Li, Y.; Qin, S. Synchronization between Different Networks with Time-Varying Delay and Its Application in Bilayer Coupled Public Traffic Network. Math. Probl. Eng. 2016, 2016, 6498316. [Google Scholar] [CrossRef]
  6. Rui, D.; Ujang, N.; Hamid, H.B.; Manan, M.S.A.; Li, R.; Wu, J. Heuristic urban transportation network design method, a multilayer coevolution approach. Phys. A Stat. Mech. Its Appl. 2017, 479, 71–83. [Google Scholar]
  7. Pu, H.; Li, Y.; Ma, C. Topology analysis of Lanzhou public transport network based on double-layer complex network theory. Phys. A Stat. Mech. Its Appl. 2022, 592, 126694. [Google Scholar] [CrossRef]
  8. Chen, X.; Li, Y.; Shen, Q.; Ju, Y. Collaborative Optimization Method for Urban Traffic Network Based on Double-Layer Complex Network. Comput. Appl. 2019, 39, 3079–3087. [Google Scholar]
  9. de Regt, R.; von Ferber, C.; Holovatch, Y.; Lebovka, M. Public transportation in Great Britain viewed as a complex network. Transp. A-Transp. Sci. 2019, 15, 722–748. [Google Scholar] [CrossRef]
  10. Guo, Y.; Jiang, S.; Chen, F.; Li, Y.; Luo, C. Borrower-lender Information Fusion for P2P Lending: A Nonparametric Approach. Ingénierie Systèmes D Inf. 2019, 24, 269–279. [Google Scholar] [CrossRef]
  11. Qiu, T.; Luo, D.; Xia, F.; Deonauth, N.; Si, W.; Tolba, A. A greedy model with small world for improving the robustness of heterogeneous Internet of Things. Comput. Netw. 2016, 101, 127–143. [Google Scholar] [CrossRef]
  12. Bhange, D.; Dethe, C. Performance Optimization of LS/LMMSE Using Swarm Intelligence in 3D MIMO-OFDM Systems. Trait. Signal 2020, 37, 107–112. [Google Scholar] [CrossRef]
  13. Yang, Y.H.; Liu, Y.X.; Zhou, M.X.; Li, F.X.; Sun, C. Robustness assessment of urban rail transit based on complex network theory: A case study of the Beijing Subway. Saf. Sci. 2015, 79, 149–162. [Google Scholar] [CrossRef]
  14. Zhang, J.; Zhao, M.; Liu, H.; Xu, X. Networked characteristics of the urban rail transit networks. Phys. A Stat. Mech. Its Appl. 2013, 392, 1538–1546. [Google Scholar] [CrossRef]
  15. Han, F.; Lin, L.; Li, S. Invulnerability analysis in intelligent transportation system. Int. J. High Perform. Syst. Archit. 2017, 7, 197–203. [Google Scholar] [CrossRef]
  16. Yang, H.; An, S. Robustness evaluation for multi-subnet composited complex network of urban public transport. Alex. Eng. J. 2021, 60, 2065–2074. [Google Scholar] [CrossRef]
  17. Zhang, M.; Wang, X.; Jin, L.; Song, M.; Li, Z. A new approach for evaluating node importance in complex networks via deep learning methods. Neurocomputing 2022, 497, 13–27. [Google Scholar] [CrossRef]
  18. Morone, F.; Makse, H.A. Influence maximization in complex networks through optimal percolation. Nature 2015, 524, 65–68. [Google Scholar] [CrossRef] [PubMed]
  19. Chen, T.; Ma, J.; Zhu, Z.; Guo, X. Evaluation Method for Node Importance of Urban Rail Network Considering Traffic Characteristics. Sustainability 2023, 15, 3582. [Google Scholar] [CrossRef]
  20. Zhang, H.; Wei, L. Topology characteristic analysis of vehicular ad hoc network based on time-varying complex network. Aip Adv. 2021, 11, 115011. [Google Scholar] [CrossRef]
Figure 1. Weak node. Weak node i is an influential low-degree connection node.
Figure 1. Weak node. Weak node i is an influential low-degree connection node.
Sustainability 16 08849 g001
Figure 2. Node attack steps.
Figure 2. Node attack steps.
Sustainability 16 08849 g002
Figure 3. Composite network morphology in Hohhot City. The red dots in the picture represent subway stations, while the green triangles represent bus stops. The black lines represent connections between subway stations, while the green lines represent connections between bus stops.
Figure 3. Composite network morphology in Hohhot City. The red dots in the picture represent subway stations, while the green triangles represent bus stops. The black lines represent connections between subway stations, while the green lines represent connections between bus stops.
Sustainability 16 08849 g003
Figure 4. Comparison of degree and CI attack in initial and current networks.
Figure 4. Comparison of degree and CI attack in initial and current networks.
Sustainability 16 08849 g004
Figure 5. Initial network: (a) network efficiency (E); (b) maximum connected subgraph; (c) average path length; (d) average degree; (e) average clustering coefficient.
Figure 5. Initial network: (a) network efficiency (E); (b) maximum connected subgraph; (c) average path length; (d) average degree; (e) average clustering coefficient.
Sustainability 16 08849 g005
Figure 6. Current network: (a) network efficiency (E); (b) maximum connected subgraph; (c) average path length; (d) average degree; (e) average clustering coefficient.
Figure 6. Current network: (a) network efficiency (E); (b) maximum connected subgraph; (c) average path length; (d) average degree; (e) average clustering coefficient.
Sustainability 16 08849 g006
Figure 7. Network characteristic change under edge attack: (a) network efficiency (E); (b) maximum connected subgraph.
Figure 7. Network characteristic change under edge attack: (a) network efficiency (E); (b) maximum connected subgraph.
Sustainability 16 08849 g007
Table 1. Network characteristic parameters under different coupling radii.
Table 1. Network characteristic parameters under different coupling radii.
Coupling Radius/m500300650
Number of nodes125812581262
Number of edges184318041902
Average path length16.4616.7016.28
Average clustering coefficient0.100.090.11
Global clustering coefficient0.140.130.16
Global efficiency0.080.080.08
Table 2. Top 20 edge carrying capacity rankings.
Table 2. Top 20 edge carrying capacity rankings.
SourceTargetWeight
Inner Mongolia MuseumMuseum10,591.5
Inner Mongolia Exhibition HallWanda Plaza10,311.0
West Dragon King TempleUlanfu Memorial Hall10,032.0
Ulanfu Memorial HallHui orchard9405.0
NUOHEMULEDongwayao Wholesale Market9184.5
People’s HallGeneral’s Office8919.0
Arts CollegeFourteen Middle School8335.5
People’s HallNew Century Plaza8278.5
City GovernmentCity Government8125.0
Xinhua SquareXinhua Inner Mongolia Branch8125.0
Inner Mongolia MuseumBank of Communications7995.0
Dongying RoadChina Bohai Bank7020.0
Dongying RoadInner Mongolia Exhibition Hall6780.0
West Dragon King TempleWorkers’ Village6688.0
Hohhot East Railway StationEast Train Station6597.0
General’s OfficeBank of China Inner Mongolia Branch6556.5
Hohhot Railway StationRailway Station6181.0
Affiliated HospitalZhaojun Hotel6019.5
Inner Mongolia Exhibition HallUnity Community5821.0
University West StreetFamous City, Central Square5563.0
Disclaimer/Publisher’s Note: The statements, opinions and data contained in all publications are solely those of the individual author(s) and contributor(s) and not of MDPI and/or the editor(s). MDPI and/or the editor(s) disclaim responsibility for any injury to people or property resulting from any ideas, methods, instructions or products referred to in the content.

Share and Cite

MDPI and ACS Style

Zhang, H.; Lu, L. Modeling and Analysis of Public Transport Network in Hohhot Based on Complex Network. Sustainability 2024, 16, 8849. https://doi.org/10.3390/su16208849

AMA Style

Zhang H, Lu L. Modeling and Analysis of Public Transport Network in Hohhot Based on Complex Network. Sustainability. 2024; 16(20):8849. https://doi.org/10.3390/su16208849

Chicago/Turabian Style

Zhang, Hong, and Lu Lu. 2024. "Modeling and Analysis of Public Transport Network in Hohhot Based on Complex Network" Sustainability 16, no. 20: 8849. https://doi.org/10.3390/su16208849

APA Style

Zhang, H., & Lu, L. (2024). Modeling and Analysis of Public Transport Network in Hohhot Based on Complex Network. Sustainability, 16(20), 8849. https://doi.org/10.3390/su16208849

Note that from the first issue of 2016, this journal uses article numbers instead of page numbers. See further details here.

Article Metrics

Back to TopTop