You are currently viewing a new version of our website. To view the old version click .
Sustainability
  • Article
  • Open Access

26 September 2024

Effects of Dairy Cattle Slurry Application on Alfalfa Biomass: Photosynthetic Characteristics and Nitrogen and Phosphorus Use Efficiency

,
,
,
and
1
Agro-Environmental Protection Institute, Ministry of Agriculture and Rural Affairs, Tianjin 300191, China
2
Key Laboratory of Low-Carbon Green Agriculture in North China, Ministry of Agriculture and Rural Afairs, Beijing 100193, China
3
Agricultural Technology Service Centre, Agricultural and Rural Bureau of Yichang Dianjun District, Yichang 443004, China
*
Authors to whom correspondence should be addressed.

Abstract

With the rapid development of the animal farming industry in China, the large amount of manure has caused a systematic environmental problem, while the demand for high-quality feed continues to increase. The application of dairy cattle slurry to alfalfa fields is a simple and inexpensive solution to the problems above. A repacked soil column study was conducted to investigate the effect of slurry nitrogen (N) on alfalfa biomass, as well as its photosynthetic characteristics. Dairy cattle slurry N or mineral fertilizer N was applied in two dressings at the first cut, with a target amount of 90 kg ha−1. A non-fertilization control (CK), a single mineral fertilizer N (MIN), and a slurry substitution for mineral N fertilizers (with equivalent N rate: FPS, 50% N from dairy cattle slurry; SLU, 100% N from dairy cattle slurry) were used. The results show that the slurry N increased the alfalfa biomass by 16.40–36.36% and the SPAD value by 30.27–61.34% with FPS and SLU treatments, respectively. Compared to the CK treatment, the FPS and SLU treatments meaningfully increased the net photosynthetic rate by 19.97–60.04% and 3.03–89.48%, the stomatal conductance by 10.53–57.14% and 15.38–88.89%, the intercellular CO2 concentration by 5.78–24.92% and 7.21–32.53%, and the transpiration rate by 13.16–103.50% and 16.44–111.19%. More specifically, compared with the CK treatment, the N absorption of the SLU treatment increased by 6.78–12.30%, and the use efficiency increased by 30.98–46.60% in the SLU treatment. Similarly, phosphorus (P) absorption of the SLU treatment increased by 36.73–52.57%, and the use efficiency increased by 30.98–46.60%. Overall, the dairy cattle slurry N was utilized efficiently as mineral N for alfalfa biomass, improved the photosynthetic characteristics of alfalfa leaves, and increased the N and P use efficiency. Our results clarify the optimal amount of dairy cattle slurry to be applied and provide a scientific basis for the use of dairy cattle slurry in agricultural systems.

1. Introduction

With China’s increasing population, economic growth, and urbanization, the demand for animal products has greatly increased, which has stimulated the development of the animal farming industry toward intensive production. Simultaneously, the demand for feed in the animal farming industry, particularly in dairy cattle farming, continues to rise [1] (pp. 314–319), in which alfalfa has become an indispensable part of animal husbandry with its high nutritional value, significant commercial value, stable yield, and strong adaptability [2,3,4] (pp. 107–111; 525–534; 379–389). According to the China Feed Industry Association, China’s feed consumption was as high as 380 million tons in 2022, accounting for about 48% of the total food consumption, and will increase by more than half that amount in the future [5] (pp. 44–49). In 2021, China’s alfalfa production reached 4.2 million tons, while the cumulative total of imported alfalfa was 1.8 million tons [6], a figure that not only highlights the huge demand for alfalfa in China’s animal husbandry industry [7,8,9] (pp. 369–377; 46–50; 7–12) but also demonstrates the wide application and pivotal role of alfalfa in the animal husbandry industry. As the scale of the animal farming industry continues to expand, the demand for high-quality alfalfa is also increasing. High-quality alfalfa not only requires an appropriate protein content, but also needs to exhibit photosynthetic characteristics to ensure its yield and nutritional value [10,11] (p. 1378; 1673). However, the animal farming industry has already become a major contributor to a range of environmental problems, which has seriously affected the sustainability of the animal farming industry [12] (pp. 103062–103072). According to the Second National Census of Pollution Sources, China’s livestock and poultry manure emissions reached 3.05 billion tons in 2020, becoming the primary emission source of agriculturally sourced pollution [13]. Therefore, how to effectively deal with livestock and poultry manure and achieve recycling resources while guaranteeing the supply of feed has become an important issue to promote the sustainable development of the animal farming industry.
The integrated crop-livestock production system is a fundamental way to achieve effective utilization of manure resources [14] (pp. 180–189). By converting manure into organic fertilizer, it can reduce environmental pollution and provide nutrients for the growth of forage and other crops [15,16,17] (pp. 613–626; 1–15; p. 122823), and at the same time, it can also promote the sustainable development of the cow–grass–soil production system, cultivating a harmonious agroecosystem [18] (pp. 357–370). Dairy cattle slurry is traditionally applied to agricultural soil as a source of nutrients, and the use of dairy cattle slurry has been promoted as a substitute for or complement to mineral fertilizer in order to decrease production costs and increase nutrient recycling at the farm scale [19] (pp. 87–99). Some studies have shown that the application of dairy cattle slurry to forage can increase yield and improve soil quality [20,21] (pp. 337–349; 248–260). Huertas et al. [22] (pp. 745–762) concluded that dairy cattle slurry can provide inorganic N and effective potassium (K) for forage growth without affecting groundwater quality. After the application of dairy cattle slurry, Bosch-Serra et al. [23] (p. 111092) confirmed that the annual rate of increase in soil organic carbon content within 30 cm was 2.3% or 2.7%. Shi et al. [24] (pp. 97–107) showed that the soil microbial and bacterial biomass increased, and dehydrogenase and alkaline phosphatase activities were enhanced from 0 to 10 cm with increasing slurry application. Jurgutis et al. [25] (p. 106211) found that an application of swine slurry increased the total N content of forage by 20% when compared to unfertilized forage. Wentzel and Joergensen et al. [26] (pp. 215–222) also found a 166% increase in the average aboveground total N uptake by ryegrass with slurry. Along with increasing N content, slurry can also significantly increase intra-plant P content. Glowacka et al. [27] (p. 490) found that slurry increased the P content in switchgrass. Zheng et al. [28] (pp. 332–337) showed that 30% of the proportion of slurry returned to the field from swine farms could significantly increase the uptake and utilization of quick-acting N and P in the soil by peanuts, and that N accumulation was increased by 8.97% to 31.58% as compared to the treatment of chemical fertilizer alone. Xu et al. [29] (p. 3605) formulated the slurry from the output of a family farm to grow Perilla frutescens, and the results concluded that slurry irrigation resulted in a significant increase in the N content of the plant aboveground and in the roots, while the P content in the root system of Perilla frutescens was significantly increased compared to the control. All of the studies above confirm the potential of slurry return to field to increase forage growth and promote the uptake and utilization of nutrients. Other studies have shown that N and P treatments contributed to synergistic improvements in specific leaf weight, leaf area, fenestrated tissue thickness, spongy tissue thickness, and photosynthetic characteristic parameters of alfalfa, which in turn promoted crop growth [30] (p. 1613). Therefore, a dairy cattle slurry application has potential for improving alfalfa yield and quality.
Currently, the application of dairy cattle slurry to alfalfa fields is not clear in terms of the application rate, application period, and fertilizer application method, which may lead to problems such as environmental pollution and difficulties in field management. However, current studies on the effect of dairy cattle slurry on alfalfa production mainly focus on its improvement of soil fertility and its effects on alfalfa yield. Harasimowicz [31] found through more than three years of alfalfa field trials that the application of dairy cattle slurry increased the soil carbon and N content and improved the basic soil fertility index. Liu et al. [32] (pp. 159–164) found that slurry return to the field significantly increased alfalfa yield and increased with the amount of slurry return to the field and also increased the soil organic matter content. However, there is not enough research on how dairy cattle slurry affects the photosynthetic characteristics, N uptake of alfalfa, and P utilization of alfalfa. Therefore, this study used a soil column test to clarify the effects of dairy cattle slurry application on alfalfa yield and N and P uptake and utilization, as well as physiological indexes, so as to provide data support for the utilization of slurry in the field.

2. Materials and Methods

2.1. Experimental Equipment

The repacked soil column study was conducted in Tianjin (39°5′49″ N, 117°8′46″ E). The area has a warm-temperate semi-humid continental monsoon climate, with an average annual temperature of 13.5 °C, a frost-free period of generally about 200 days, and an average annual precipitation of 524.9 mm.
The experiment setup consisted of a PVC pipe with a height of 80 cm and an inner diameter of 20 cm, secured vertically to the ground using a stainless-steel frame. The bottom end of the column was covered with a 400-mesh nylon net, which was covered with a 2 cm thick layer of fine quartz sand. The soil was then layered on the quartz sand. Before soil filling, a layer of Vaseline was spread evenly on the inner wall of the PVC pipe. After filling the soil, it was irrigated with deionized water.

2.2. Test Materials

The alfalfa variety was “ZHONG MU 1”, and 20–25 plants were planted in each soil column. The slurry was taken from the slurry anaerobic storage pool of dairy cattle farms. The nutrient index was determined before the experiment: the pH was 7.97, total N was 1438.21 mg·L−1, total P was 120.67 mg·L−1, and total K was 1002.50 mg·L−1.
The soil tested was loamy tidal soil, which was collected after corn harvest. The soil was collected in layers corresponding to 0–20 cm, 20–40 cm, and 40–60 cm, and the debris and roots were removed, respectively, then screened by 5 mm mesh for use. The basic chemical properties of each soil layer are shown in Table 1.
Table 1. Basic chemical properties of the tested soil before being filled in the lysimeter.

2.3. Experimental Design

The experiment began in December 2019 and ended in August 2020. There were four treatments: non-fertilization control (CK), single mineral fertilizer N (MIN), and slurry substitution for mineral N fertilizers (with equivalent N rate: FPS, 50% N from dairy cattle slurry; SLU, 100% N from dairy cattle slurry). Each treatment was repeated four times using a random block arrangement. The N, P, and K inputs in all the treatments were the same: N 90 kg·ha−1, superphosphate (P2O5) 120 kg·ha−1, and potassium chloride (K2O) 180 kg·ha−1. Chemical fertilizers were used to make up for insufficient P and K in the slurry. Fertilizer was applied two times during the experiment, in January 2020 (overwintering period of the first season) and June 2020 (returning green period of the second season of alfalfa). The fertilizer was evenly mixed with distilled water and applied to the soil surface, with the same amount of fertilizer applied both times. The alfalfa was harvested twice during the experiment, and the irrigation amount of alfalfa was 6000 m3·ha−1 each time.

2.4. Sample Collection and Analysis

The entire amount of alfalfa was harvested and weighed for fresh weight. Five representative plants were selected for each treatment and were dried at 105 °C for 30 min, and then dried at 70–80 °C to a constant weight. The dried alfalfa samples were pulverized and ground through an 80-mesh sieve, and then digested using sulfuric acid-hydrogen peroxide. The total nitrogen (TN) was determined by a semi-micro Kjeldt N analyzer, and the total phosphorus (TP) was determined by a flow injection analyzer (FIA-6000+, Beijing Jitian Instruments, Beijing, China).
To ensure that the same part of the leaf was measured each time, we selected the middle of the fourth fully unfolded blade from the top down. A photosynthometer (LI-6400XT, LI-COR, Lincoln, NE, USA) was used to determine photosynthesis, including the net photosynthetic rate (Pn), stomatic conductivity (Gs), intercellular CO2 concentration (Ci), and transpiration rate (Tr), on a clear and wind-free day from 9:00 am to 11:00 am for each growth stage.
The fourth leaf was selected from the same position as the measurement of the photosynthetic rate, and the leaf chlorophyll content was determined by a portable chlorophyll instrument (SPAD-502PULS, Konica Minolta Sensing, INC, Warrington, UK).

2.5. Data Calculation and Statistical Analysis

The experimental data were analyzed by one-way ANOVA using SAS (Version 9.4) software, the LSD method was used for multiple comparisons (p = 0.05), and Origin 2021 software was used for mapping.
N use efficiency (%) = (N uptake of alfalfa in N application treatment − N uptake of alfalfa in control treatment)/N input × 100%

3. Results

3.1. Alfalfa Biomass

As shown in Table 2, compared with the non-fertilization control (CK), the cumulative biomass of the alfalfa under all the fertilizer treatments was significantly higher, and the biomass of alfalfa in two seasons increased by 16.40% to 36.36% on average. Under the same amount of N application (90 kg·ha−1), the biomass of the alfalfa treated with dairy cattle slurry (FPS, SLU) was not significantly different from that treated with a single mineral fertilizer N (MIN) when the first season was harvested. However, the biomass of the alfalfa treated with dairy cattle slurry (FPS, SLU) was significantly higher than that treated with a chemical fertilizer when the second season was harvested. The application of dairy cattle slurry had a significant effect on the alfalfa biomass.
Table 2. Effects of dairy cattle slurry on biomass of alfalfa.

3.2. SPAD Value of Leaves

As can be seen from Figure 1, during the growth of alfalfa in the first season, the fertilization treatments resulted in significantly higher SPAD values in the leaves at each stage compared to CK, with no significant differences in the SPAD values among the fertilization treatments. During the growth of the second season of alfalfa, there was no difference in the SPAD value among the different treatments at different stages. The SPAD value increased with the increase of growing time, and the SPAD value was the highest at the flowering stage. The distribution of the SPAD value in the CK treatment was relatively discrete, the variability was large, and there was a huge difference from the median value. The distribution of the chlorophyll value in the fertilization treatment was relatively balanced.
Figure 1. Effect of dairy cattle slurry on SPAD value of alfalfa leaves.

3.3. Photosynthetic Characteristics of Leaves

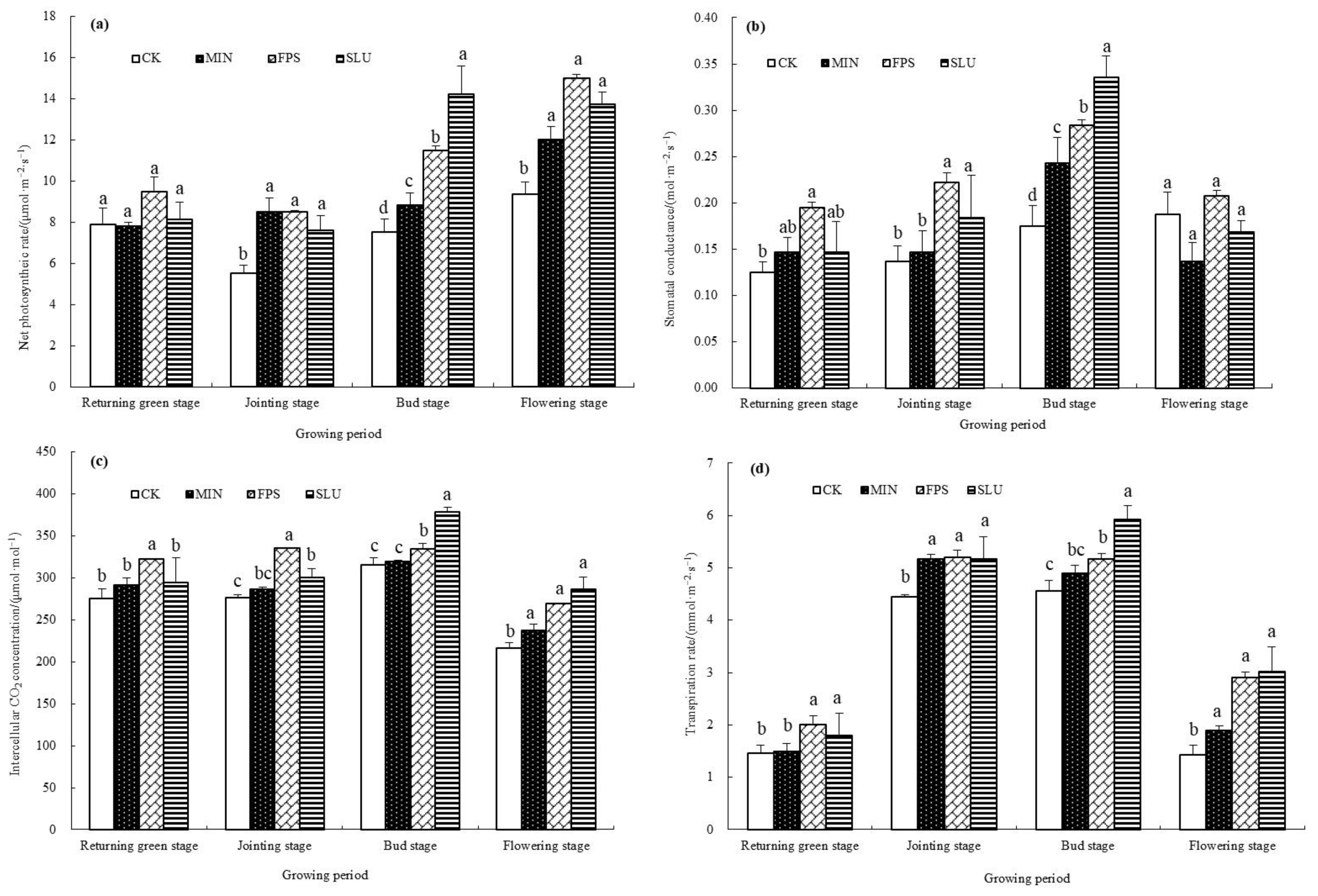
During the growth of alfalfa in the second season, fertilization had a certain effect on the photosynthetic characteristics of the leaves in each growth stage of alfalfa (Figure 2). There was no significant difference between the slurry treatments and chemical fertilizer treatment in the regreening, jointing, and flowering stages. The net photosynthetic rate (Pn) of the leaves in the slurry treatment was observably higher than that in the fertilizer treatment at the budding stage. Compared with the MIN treatment, the stomatal conductance of the fertilizer treatments did not differ significantly in the regreening, jointing, and flowering stages, whereas in the bud stage, the stomatal conductance of the slurry treatments was significantly higher than that of the chemical fertilizer treatments, with an increase of 30.27% in the FPS treatment and 61.34% in the SLU treatment. The intercellular CO2 concentration of the alfalfa leaves increased first and then decreased with growth and development. The intercellular CO2 concentration of the leaves of all the treatments reached the highest at the budding stage and decreased at the flowering stage. At the jointing stage, budding stage, and flowering stage, the intercellular CO2 concentration of the alfalfa leaves treated with dairy cattle slurry (FPS, SLU) was significantly higher than that of the control treatment. For the transpiration rate, the treatments were higher at the jointing stage and bud stage, reaching a maximum of 5.92 mmol·m−2·s−1. Compared with the MIN treatment, the application of dairy cattle slurry increased the transpiration rate of the alfalfa leaves in the FPS and SLU treatments in the regreening stage by 34% and 19.33%. In the jointing stage, the FPS treatment increased by 0.77%, and the SLU treatment reached a consistent level with the MIN treatment. In the bud stage, the FPS treatment and SLU treatment increased by 5.31% and 20.82%, and in the flowering stage, the FPS and SLU treatments increased by 53.97% and 59.79%.
Figure 2. Effect of dairy cattle slurry on photosynthetic characteristic of alfalfa leaves. (a) Net photosynthetic rate of alfalfa during different growth periods; (b) stomatal conductance of alfalfa during different growth periods; (c) intercellular CO2 concentration of alfalfa during different growth periods; (d) transpiration rate of alfalfa during different growth periods. Lowercase letters in the figure represent diferences in total aboveground biomass of three cuttings among treatments.

3.4. Nitrogen Absorption and Utilization

The variations in aboveground alfalfa N uptake are presented in Table 3. Compared with the CK treatment, the N application treatments highly increased the N uptake of alfalfa in the first and second seasons by 28.04–35.86% in MIN, 35.04–54.49% in FPS, and 36.73–52.57% in SLU. Compared with MIN treatment, the absorption of alfalfa N in 50% N from dairy cattle slurry (FPS) increased by 5.46–13.71%, and the absorption of alfalfa N in 100% N from dairy cattle slurry (SLU) increased by 6.78–12.30%. For the cumulative N uptake of alfalfa in two seasons, dairy cattle slurry instead of chemical fertilizer extremely increased the cumulative N uptake of aboveground alfalfa under the same N application amount. In the same trend as the change of alfalfa N absorption, the N use efficiency of alfalfa in both of the harvests of that treated with the slurry replacement increased; the N use efficiency of the FPS treatment increased by 24.96–51.96%, and the SLU treatment increased by 30.98–46.60% compared with the MIN treatment. The cumulative N use efficiency of two seasons of alfalfa treated with FPS and SLU was significantly higher than that treated with MIN, by 36.60% and 37.70%.
Table 3. Effects of dairy cattle slurry on nitrogen uptake and utilization of alfalfa.

3.5. Phosphorus Absorption and Utilization

The variations in the aboveground alfalfa P uptake are presented in Table 4. Compared with the CK treatment, the N application treatments highly increased the P uptake of alfalfa in the first and second seasons by 27.73–34.87% in the MIN treatment, 38.18–106.80% in the FPS treatment, and 19.04–76.68% in the SLU treatment. Compared with MIN treatment, the FPS and SLU treatments significantly increased the P uptake by 8.17–3.33% and 10.51–30.10%. For the cumulative P uptake of alfalfa in two seasons, the same amount of N applied dairy cattle slurry instead of the fertilizer N application significantly increased the alfalfa aboveground P cumulative uptake. In the same trend as the change of alfalfa P absorption, the P use efficiency of alfalfa in the first and second seasons of the dairy cattle slurry replacement increased; the FPS treatment increased by 37.69–206.30%, and the SLU treatment increased by 48.39–119.94% compared with that of the MIN treatment. The cumulative P use efficiency of the two seasons of alfalfa in the FPS and SLU treatments was significantly higher than that of the MIN treatment; they increased by 76.20% and 103.20%.
Table 4. Effects of dairy cattle slurry on phosphorus uptake and utilization of alfalfa.

4. Discussion

4.1. Effect of Dairy Cattle Slurry Application on Alfalfa Biomass

Forage production is an important means to ensure the development of the animal farming industry. Alfalfa is rich in crude protein and trace elements [33,34] (pp. 225–233; 1349–1357), has high feed nutritional value [35,36,37] (pp. 34–36; 14–19; 75–79), and is a high-quality forage preferred by dairy cattle. However, the N-fixation function of alfalfa itself cannot satisfy all the N required for its growth and development, and it cannot achieve high yield, so it needs to be artificially supplemented with exogenous N fertilizer [38,39] (pp. 86–89). Dairy cattle slurry is rich in inorganic and organic N [40] (pp. 90–98), with inorganic N functioning as a quick-acting nutrient to satisfy the initial growth and development of alfalfa, and the mineralization of organic N providing a continuous supply of nutrients for the later stages of alfalfa and for the growth of later crops [41] (pp. 888–900). This finding was confirmed in a study by Müller et al. [42] (pp. 1362–1371), where a dairy cattle slurry application increased the forage yield by 53.52% to 72.00%, and the yield with the application of dairy cattle slurry. This study shows that a dairy cattle slurry application to alfalfa significantly increased the alfalfa biomass by an average of 18.10% to 39.92%, which is in line with previous studies. Reference [43] (pp. 507–522) demonstrated that a N application can significantly increase alfalfa biomass. However, in the yield of the second season, the CK treatment was lower than that of the first season, which indicated that N fixation in alfalfa could not support the production of two consecutive crops. This may be due to the fact that the N levels in the soil decreased during the growth of alfalfa, especially after the first season. Alfalfa as a N-fixing plant that is able to replenish N in the soil through its root symbiotic N-fixing bacteria [44,45] (p. 4269; 9216), but this process takes time, and the amount of N fixation may not be sufficient to meet the high demand of two consecutive growing crops. In the first-season treatment, the crop showed good growth in both the fertilizer and slurry treatments, and there was no significant difference in yield. This indicated that both fertilizer applications provided sufficient nutrients to the crop to meet its growth requirements during the growth cycle of the first season. However, going into the second season, the crop yield of the slurry application treatment was significantly higher than that of the chemical fertilizer application treatment. This phenomenon may be related to the fact that the organic matter left over from the slurry treatment in the first season continued to be mineralized in the second season, providing a more stable and persistent supply of nutrients to the crop [46] (pp. 70–73). In contrast, chemical fertilizers, although providing sufficient nutrients in the first season, have a short-lived effect [47] (p. 187) and may be under-supplied due to factors such as nutrient leaching from the soil and microbial decomposition [48] (pp. 1–20), thus affecting the yield of the second season. In addition, the differences exhibited in the alfalfa biomass between the two seasons under the same irrigation may also be related to temperature changes during the growth phase. It has been shown [49] (pp. 563–569) that with increasing temperature, the shortening of alfalfa’s reproductive period and early flowering will lead to lower yields. Further in-depth studies on the effects of temperature are needed in a follow-up study.

4.2. Effects of Dairy Cattle Slurry Application on N and P Utilization and Photosynthetic Characteristics of Alfalfa

N and P are key elements for plant growth and play a critical role in promoting physiological processes, such as leaf flourish, enhanced photosynthesis, and respiration [50,51] (pp. 74–81; 199–223). High-yielding alfalfa will take away a large amount of nutrients from the soil, with 27 kg of N for every 1 ton of alfalfa harvested [52] (pp. 61–68). P is easily immobilized by metal ions in the soil, resulting in most of the P fertilizers applied to the soil accumulating in the soil in different forms of phosphates [53,54] (p. 130889; pp. 2043–2050). Therefore, alfalfa should be supplemented with the appropriate amount of fertilizer needed for alfalfa growth and development to maintain the normal growth and consumption of alfalfa [55,56] (pp. 2538–2546; 55–60). However, the absorption capacity of plants is limited, and the crop utilizes less than 50% of N fertilizers [57] (pp. 1365–1384) and less than 12% of P fertilizers [58,59] (pp. 915–924; 75–79). Excessive fertilizer application cannot be fully absorbed and utilized by plants but instead leads to fertilizer loss [60,61] (pp. 37–47; 99–107), and may also pose potential threats to the environment, such as N leaching and eutrophication of water [62,63,64] (pp. 1756–1766; p.25088; 119388). Cattle slurry is rich in N and P, with N dominated by ammonium N, which accounts for about 70% of the total N [65] (pp. 487–493), and compared with other fertilizers, dairy cattle slurry can increase the quick-acting N of the soil [66,67] (pp. 1–14; p. 109616) and improve the uptake and utilization of P by crops [68,69] (p. 42; 949371). In this study, it was found that an application of a slurry treatment significantly enhanced the N and P uptake in the first and second seasons by 28.04% to 36.73% and 27.73% to 41.16% in the first season and 35.86% to 54.49% and 34.87% to 106.80% in the second season, which was consistent with the results of previous studies [70] (pp. 36–44). This phenomenon may be related to the richness of N and P in slurry and its good bioavailability [71] (pp. 893–903). When slurry is treated, the N and P in it are more readily absorbed by the root system of the crop, providing an adequate source of nutrients for the crop. In addition, a slurry application may also improve the efficiency of crop uptake of these nutrients by improving soil microbial activity [72] (pp. 2534–2542), which in turn promotes N and P cycling in the soil.
Plant growth and development are highly dependent on photosynthesis. According to Cooledge et al. [73] (pp. 245–271), about 90% of dry matter accumulation in the plant body is produced by photosynthesis. The increase of N and P content in crops plays a key role in the promotion of photosynthesis. In the process of photosynthesis, chlorophyll plays a crucial role, and the level of chlorophyll content directly affects the intensity of photosynthesis in plants. A high chlorophyll content helps to maintain a high photosynthetic rate, thus improving the photosynthetic rate [74,75] (p. 117159; pp. 1667–1676). N is an important component of chlorophyll, and its increased content helps to increase the content and activity of chlorophyll, which in turn enhances the photosynthetic capacity of the leaves [47] (p. 187). P, on the other hand, as a component of a variety of enzymes and coenzymes in photosynthesis, can promote the activity of these enzymes and coenzymes, thereby accelerating the process of material conversion and energy transfer in light and dark reactions [76] (pp. 306–320). Therefore, the increase in N and P content in crops can significantly enhance the photosynthetic capacity of crops, improve the efficiency of light energy utilization, and promote the growth and development of crops. Relative chlorophyll content SPAD is closely related to chlorophyll content and can reflect leaf chlorophyll content [77,78] (pp. 1642–1659; 1–15). The results of this study show that the application of dairy cattle slurry significantly increased the SPAD value of alfalfa leaves compared to no fertilizer. The study by Shi et al. [79] (pp. 154–162) further showed that the application of organic fertilizer increased the photosynthetic rate of the crop, which was consistent with the enhancement of alfalfa photosynthesis by the dairy cattle slurry application in the present study. The study by Song et al. [80] (pp. 94–96+89) showed that a slurry application can enhance the photosynthetic capacity and improve the yield and quality in crop production. After the application of dairy cattle slurry, alfalfa leaves were able to absorb more nutrients, such as N and P, which promoted the synthesis and accumulation of chlorophyll, and thus increased the SPAD value. In addition, dairy cattle slurry contains a certain amount of organic matter and microbial communities, which can improve the soil environment, which is conducive to the growth and development of the alfalfa root system and nutrient absorption, and thus promotes the synthesis and accumulation of leaf chlorophyll [72] (pp. 2534–2542). In this study, it was also observed that significant differences in the yield of the second season and significant differences in crop N and P uptake occurred simultaneously. This may be due to the important role of N and P in improving crop physiological functions and environmental adaptation [81] (pp. 23–32). On the one hand, N and P can promote the nutritive and reproductive growth of crops, improve the photosynthetic efficiency and material production capacity of leaves, and provide energy and a material base for their own growth and reproduction, thereby increasing crop yield [82,83,84] (pp. 115–121; 898–903; 113–120). On the other hand, N and P can also improve the crop’s resistance to adversity, such as by improving the water retention capacity of cells and reducing cell membrane permeability [85,86] (pp.995–1008; 56–58), so that the crop can still maintain a better growth condition under unfavorable environments. In the second-season growth, crops are susceptible to water stress and high temperature stress due to the increase in ambient temperature and decrease in soil moisture. The role of N and P can help the crop to improve its resistance to adversity and reduce the negative impact of stress on crop growth, thus maintaining a higher yield.

4.3. Analysis of Application Potential

Dairy cattle slurry has shown great potential for application to alfalfa fields and not only converts farm wastes into highly efficient organic fertilizers to provide nutrients for alfalfa, improving yield and enhancing quality, but also achieves resource recycling and reduces environmental pollution. On the one hand, the increased production of alfalfa improves income; on the other hand, the application of slurry reduces the use of mineral fertilizer and thus saves costs. Compared with other organic fertilizers, a dairy cattle slurry direct application can be quickly absorbed by alfalfa roots, effectively shortening the nutrient cycling cycle and improving the efficiency of nutrient use [87] (pp. 2844–2849). At the same time, it can promote soil microbial reproduction [88] (pp. 36–44), further accelerate the decomposition and mineralization of organic matter, and provide nutrient support for alfalfa growth. In terms of soil environmental impacts, this study found that the application of slurry increased the soil pH to a certain extent, which may be due to the fact that slurry contains certain salts and minerals that cause changes in soil pH [89] (pp. 2056–2064), especially when it contains more alkaline substances, in which case it will neutralize the acid in the soil, which leads to an increase in soil pH. In a follow-up study, in-depth research on the change of soil pH will be conducted to clarify the specific reasons for the change. Its effect on the structure of the soil microbial community could be further explored, and field experiments will be carried out to study its impact and benefit analysis in practical application. It was also found that the ammonia volatility of the dairy cattle slurry applied to alfalfa was 2.43% lower than that of mineral fertilizer and did not have a significant effect on nitrogen leaching [90] (pp. 6345–6356). In addition, the application technology involves a harmless treatment of slurry and scientific irrigation and fertilization methods to ensure efficient nutrient use and avoid pollution. At present, there have been a lot of studies of these aspects, such as that by Wang et al. [91] (pp. 4182–4189), who, through the study of the composition of the bacterial flora in the process of anaerobic fermentation of dairy cattle manure, found that the dominant phyla and genera of bacteria underwent a large change in the diversity of the bacterial flora and the abundance of bacteria were reduced after the fermentation treatment. Yang et al. [92] (pp. 42–48) analyzed the principles and characteristics of the three types of anaerobic fermentation pretreatment technologies: physical, chemical, and biological, and discussed the development status and prospects for application of the various types of technologies. At present, China has relevant norms, such as the Technical Specification for Harmless Treatment of Livestock and Poultry Manure and Technical Specification for Livestock and Poultry Manure Returned to the Field, and relevant policies, such as the Guiding Opinions on Promoting the Use of Livestock and Poultry Manure Returned to the Field and Strengthening Breeding Pollution Control in accordance with the law. With the continuous progress of technology and the gradual improvement of policies, the application of cattle farm manure in alfalfa fields has great potential for development.

5. Conclusions

The substitution of slurry for chemical fertilizers for alfalfa crops is currently un-common in many agricultural areas. However, this approach has been shown to significantly improve alfalfa photosynthetic characteristics, as well as N and P uptake and utilization, which in turn increases yield. Specifically, the average relative chlorophyll content (SPAD), net photosynthetic rate, stomatal conductance, leaf intercellular CO2 concentration, and transpiration rate of alfalfa in the treatments with dairy cattle slurry were significantly increased compared with a fertilizer application. Compared with the CK treatment, the increase in alfalfa biomass average in the two seasons was 18.10–39.92%. Under the same N application condition, with the increase in application times of dairy cattle slurry, the effect of the slurry on the yield increase in alfalfa biomass was obvious, and the N use efficiency was increased by 24.96–51.96%. Dairy cattle slurry can be used as a nutrient input for alfalfa growth, which is a sustainable way to consume large amounts of livestock manure and increase alfalfa yields.

Author Contributions

Conceptualization, H.D. and Z.Z.; methodology, H.D. and Z.Z.; formal analysis, H.S.; investigation, J.Z.; data curation, H.D. and Z.Z.; writing—original draft preparation, H.S.; writing—review and editing, H.S., Y.H. and J.Z.; visualization, H.S. All authors have read and agreed to the published version of the manuscript.

Funding

This research was funded by the National Key Research and Development Program of China, grant number 2023YFD1702000.

Institutional Review Board Statement

Not applicable.

Data Availability Statement

The data that support the findings of this study are available from the corresponding author upon reasonable request.

Conflicts of Interest

The authors declare no conflicts of interest.

References

  1. Sun, Q.; Yu, Z.; Xu, C. Urgency of further developing alfalfa industry in China. Pratacultural Sci. 2012, 29, 314–319. [Google Scholar]
  2. Jingyi, X.; Xinlan, S.; Xun, L.; Yan, Z. Analysis of Domestic Current Situation of Medicago sativa L. Mixed Planting. Mod. Agric. Res. 2024, 30, 107–111. [Google Scholar]
  3. Wang, Y.F.; Zhang, Z.Q.; Liu, H.M.; An, Y.R.; Han, B.; Wu, Y.J.; Chang, L.Q.; Hu, T.M.; Yang, P.Z. Overexpression of an alfalfa (Medicago sativa) gene, MsDUF, negatively impacted seed germination and response to osmotic stress in transgenic tobacco. Plant Cell Tissue Organ Cult. 2018, 132, 525–534. [Google Scholar] [CrossRef]
  4. Beauregard, M.S.; Hamel, C.; Atul, N.; St-Arnaud, M. Long-Term Phosphorus Fertilization Impacts Soil Fungal and Bacterial Diversity but not AM Fungal Community in Alfalfa. Microb. Ecol. 2010, 59, 379–389. [Google Scholar] [CrossRef] [PubMed]
  5. Hongbo, Z.; Yuchuan, J.; Chunbo, W. Prediction of Feed Yield in China Based on BP Neural Network Technology. J. Heilongjiang Bayi Agric. Univ. 2024, 36, 44–49. [Google Scholar]
  6. China Agriculture Press. Grass Statistics in China (2021); China Agriculture Press: Beijing, China, 2022. [Google Scholar]
  7. Fang, J.; Shangli, S.; Pan, N.; Ruihong, M.; Yun, A.; Baofu, L.; Jian, G.; Huihui, Z. Comparison of Leaf Characteristics, Photosynthetic Physiological Characteristics, and Yield Traits of Different Alfalfa Varieties. Acta Agrestia Sin. 2024, 32, 369–377. [Google Scholar]
  8. Tao, S.; Wang, Y.; Zhang, Q. Situation of domestic alfalfa market and the impact from Sino-US trade frictions and its counter-measures. Anim. Husb. Feed. Sci. Inn. Mong. 2019, 40, 46–50. [Google Scholar]
  9. Wang, R.G.; Xu, W.P. Development Characteristics and Trend of Alfalfa Industry in China. J. Agric. Sci. Technol. 2021, 23, 7–12. [Google Scholar]
  10. Li, J.G.; He, P.R.; Jin, Q.; Chen, J.; Chen, D.; Dai, X.P.; Ding, S.Y.; Chu, L.L. Aeration Alleviated the Adverse Effects of Nitrogen Topdressing Reduction on Tomato Root Vigor, Photosynthetic Performance, and Fruit Development. Plants 2024, 13, 1378. [Google Scholar] [CrossRef]
  11. Biswas, D.K.; Coulman, B.; Biligetu, B.; Fu, Y.B. Advancing Bromegrass Breeding Through Imaging Phenotyping and Genomic Selection: A Review. Front. Plant Sci. 2020, 10, 1673. [Google Scholar] [CrossRef]
  12. Cai, X.H.; Qin, Y.F.; Yan, B.J.; Shi, W.J. Identification of livestock farms with potential risk of environmental pollution by using a model for returning livestock manure to cultivated land. Environ. Sci. Pollut. Res. 2023, 30, 103062–103072. [Google Scholar] [CrossRef] [PubMed]
  13. Ministry of Agriculture and Rural Affairs; Ministry of Ecology and Environment; National Bureau of Statistics. The Second National Census of Pollution Sources; China Water Risk: Hong Kong, China, 2020. [Google Scholar]
  14. Dong, H.; Zuo, L.; Wei, S.; Zhu, Z.; Yin, F. Establish Manure Nutrient Management Plan to Promote Green Development of Integrated Crop-livestock Production System. Bull. Chin. Acad. Sci. 2019, 34, 180–189. [Google Scholar]
  15. Neufeld, K.R.; Grayston, S.J.; Bittman, S.; Krzic, M.; Hunt, D.E.; Smukler, S.M. Long-term alternative dairy manure management approaches enhance microbial biomass and activity in perennial forage grass. Biol. Fertil. Soils 2017, 53, 613–626. [Google Scholar] [CrossRef]
  16. Chen, M.; Yin, Y.; He, L. Research and reflection on the integration of manure resource treatment and integrated farming system in animal husbandry. Sci. Sin. (Vitae) 2024, 5, 1–15. [Google Scholar]
  17. Zubair, M.; Wang, S.Q.; Zhang, P.Y.; Ye, J.P.; Liang, J.S.; Nabi, M.; Zhou, Z.Y.; Tao, X.; Chen, N.; Sun, K.; et al. Biological nutrient removal and recovery from solid and liquid livestock manure: Recent advance and perspective. Bioresour. Technol. 2020, 301, 122823. [Google Scholar] [CrossRef]
  18. Reddy, P.P. Integrated Crop-Livestock Farming Systems. In Sustainable Intensification of Crop Production; Springer: Berlin/Heidelberg, Germany, 2016; pp. 357–370. [Google Scholar]
  19. Fangueiro, D.; Pereira, J.L.; Fraga, I.; Surgy, S.; Vasconcelos, E.; Coutinho, J. Band application of acidified slurry as an alternative to slurry injection in a Mediterranean double cropping system: Agronomic effect and gaseous emissions. Agric. Ecosyst. Environ. 2018, 267, 87–99. [Google Scholar] [CrossRef]
  20. Valencia-Gica, R.B.; Yost, R.S.; Porter, G. Biomass production and nutrient removal by tropical grasses subsurface drip-irrigated with dairy effluent. Grass Forage Sci. 2012, 67, 337–349. [Google Scholar] [CrossRef]
  21. Valdez-Ibañez, A.S.; Domingo-Olivé, F.; Mateo-Marín, N.; Yagüe-Carrasco, M.R.; Bosch-Serra, A.D. Long-term fertilization with dairy cattle slurry in intensive production systems: Effects on soil porosity and pore morphology. Rev. Fac. Cienc. Agrar. 2019, 51, 248–260. [Google Scholar]
  22. Huertas, J.; Cuevas, J.G.; Paulino, L.; Salazar, F.; Arumí, J.L.; Dörner, J. Dairy slurry application to grasslands and groundwater quality in a volcanic soil. J. Soil Sci. Plant Nutr. 2016, 16, 745–762. [Google Scholar] [CrossRef]
  23. Bosch-Serra, A.D.; Yagüe, M.R.; Valdez, A.S.; Domingo-Olivé, F. Dairy cattle slurry fertilization management in an intensive Mediterranean agricultural system to sustain soil quality while enhancing rapeseed nutritional value. J. Environ. Manag. 2020, 273, 111092. [Google Scholar] [CrossRef]
  24. Shi, Y.; Ziadi, N.; Hamel, C.; Bittman, S.; Hunt, D.; Lalande, R.; Shang, J. Soil microbial biomass, activity, and community composition as affected by dairy manure slurry applications in grassland production. Appl. Soil Ecol. 2017, 125, 97–107. [Google Scholar] [CrossRef]
  25. Jurgutis, L.; Slepetiene, A.; Amaleviciute-Volunge, K.; Volungevicius, J.; Slepetys, J. The effect of digestate fertilisation on grass biogas yield and soil properties in field-biomass-biogas-field renewable energy production approach in Lithuania. Biomass Bioenergy 2021, 153, 106211. [Google Scholar] [CrossRef]
  26. Wentzel, S.; Joergensen, R.G. Effects of biogas and raw slurries on grass growth and soil microbial indices. J. Plant Nutr. Soil Sci. 2016, 179, 215–222. [Google Scholar] [CrossRef]
  27. Glowacka, A.; Szostak, B.; Klebaniuk, R. Effect of Biogas Digestate and Mineral Fertilisation on the Soil Properties and Yield and Nutritional Value of Switchgrass Forage. Agronomy 2020, 10, 490. [Google Scholar] [CrossRef]
  28. Xuebo, Z.; Jianbo, F.; Jian, C.; Lei, X.; Zhenqiu, Z.; Yuanqiu, H.; Jing, Z. Effects of Biogas Slurry and Chemical Fertilizer Application on N and P Uptake and Distribution and Yield of Peanut. J. Ecol. Rural. Environ. 2016, 32, 332–337. [Google Scholar]
  29. Xu, W.Z.; Zhu, Y.Q.; Wang, X.; Ji, L.; Wang, H.; Yao, L.; Lin, C.W. The Effect of Biogas Slurry Application on Biomass Production and Forage Quality of Lolium Multiflorum. Sustainability 2021, 13, 3605. [Google Scholar] [CrossRef]
  30. Sun, Y.L.; Wang, X.Z.; Ma, C.H.; Zhang, Q.B. Effects of Nitrogen and Phosphorus Addition on Agronomic Characters, Photosynthetic Performance and Anatomical Structure of Alfalfa in Northern Xinjiang, China. Agronomy 2022, 12, 1613. [Google Scholar] [CrossRef]
  31. Harasimowicz-Hermann, G. Changes in Chemical Composition of Soil as an Effect of Several Years’ Fertilization of Alfalfa (Medicago sativa L.) with Slurry and Liquid Manure; Royal Society of Chemistry: Cambridge, UK, 1991. [Google Scholar]
  32. Qingsong, L.; Yanli, J.; Yupeng, X.; Yu, X.; Guixia, L.; Xiao, T.; Xinyue, Q.; Hongbi, L.; Xudong, Y. Effects of Different Amounts of Cow Manure Returning to Field on Alfalfa Growth, Soil Physical and Chemical Properties. Chin. Agric. Sci. Bull. 2024, 40, 159–164. [Google Scholar]
  33. Kusi, N.Y.O.; Temu, V.W.; Kering, M.K.; Atalay, A.; Rutto, L.K.; Solomon, J.K.Q. Growth response of alfalfa to Azomite composite micronutrient fertilizer on four lime-amended Virginia soils. Grassl. Sci. 2021, 67, 225–233. [Google Scholar] [CrossRef]
  34. Haiming, Z.; Ruixin, W.; Yuan, L.; Yongliang, Y.; Guibo, L.; Lanju, Z.; Jianwu, Y. Dynamic Analyzing on the Production Performance of Alfalfa between Different Cutting Times and Years. Acta Agrestia Sin. 2016, 24, 1349–1357. [Google Scholar]
  35. Li, S. Exploration of quality index system based on mechanised harvesting operation of alfalfa. Contemp. Farm Mach. 2024, 5, 34–36. [Google Scholar]
  36. Quan, R.; Yu, H.; Liu, C.; Yu, Y. A Comparative Study on Waterlogging Tolerance Among Varieties of Medicago sativa L. J. Southwest Univ. 2012, 34, 14–19. [Google Scholar]
  37. Jun, Y.; Xiaozeng, H.; Shouyu, W.; Shuqi, W.; Xiaohui, L.; Weiwei, Z. Effects of Different N Supply Levels and Methods on Nodule Growth and Nitrogen Fixation in Soybean (Glycine max L.). Jiangsu J. Agric. Sci. 2010, 26, 75–79. [Google Scholar]
  38. Youguo, L.; Junchu, Z. Major factors affecting the efficiency of symbiotic nitrogen fixation by rhizobia and genetic modification. Microbiol. China 2002, 6, 86–89. [Google Scholar]
  39. Bonten, L.T.C.; Zwart, K.B.; Rietra, R.P.J.J.; Postma, R.; Nysingh, S.L. Bio-Slurry as Fertilizer: Is Bio-Slurry from Household Digesters a Better Fertilizer than Manure? A Literature Review. Alterra Wageningen University & Research Centre. 2014. Available online: https://www.researchgate.net/publication/283398291 (accessed on 8 September 2024).
  40. Case, S.D.C.; Uno, H.; Nakajima, Y.; Jensen, L.S.; Akiyama, H. Bamboo biochar does not affect paddy soil N2O emissions or source following slurry or mineral fertilizer amendmenta 15N tracer study. J. Plant Nutr. Soil Sci. 2018, 181, 90–98. [Google Scholar] [CrossRef]
  41. Zhang, X.Y.; Fang, Q.C.; Zhang, T.; Ma, W.Q.; Velthof, G.L.; Hou, Y.; Oenema, O.; Zhang, F.S. Benefits and trade-offs of replacing synthetic fertilizers by animal manures in crop production in China: A meta-analysis. Glob. Change Biol. 2020, 26, 888–900. [Google Scholar] [CrossRef]
  42. Müller, C.; Laughlin, R.J.; Christie, P.; Watson, C.J. Effects of repeated fertilizer and cattle slurry applications over 38 years on N dynamics in a temperate grassland soil. Soil Biol. Biochem. 2011, 43, 1362–1371. [Google Scholar] [CrossRef]
  43. Wei, Z.; Bai, Z.; Ma, L.; Zhang, F. Yield gap of alfalfa, ryegrass and oat grass and their influence factors in China. Sci. Agric. Sin. 2018, 51, 507–522. [Google Scholar]
  44. Zhao, Y.; Liu, X.; Tong, C.; Wu, Y. Effect of root interaction on nodulation and nitrogen fixation ability of alfalfa in the simulated alfalfa/triticale intercropping in pots. Sci. Rep. 2020, 10, 4269. [Google Scholar] [CrossRef]
  45. Kovačić, Đ.; Lončarić, Z.; Jović, J.; Samac, D.; Popović, B.; Tišma, M. Digestate Management and Processing Practices: A Review. Appl. Sci. 2022, 12, 9216. [Google Scholar] [CrossRef]
  46. Cheng, L.; Wang, Z.; Huang, S.; Wu, H.; Li, J. Research on the yield-increasing effect and mechanism of amino acid value-added nitrogen fertilizer. Anhui Agric. Sci. Bull. 2024, 30, 70–73. [Google Scholar]
  47. Li, F.; Chen, L.; Zhang, J.B.; Yin, J.; Huang, S.M. Bacterial Community Structure after Long-term Organic and Inorganic Fertilization Reveals Important Associations between Soil Nutrients and Specific Taxa Involved in Nutrient Transformations. Front. Microbiol. 2017, 8, 187. [Google Scholar] [CrossRef] [PubMed]
  48. Lin, M.; Chen, F.; Yao, Q.; Wang, R.; Zhou, K.; Mi, S.; Zhou, B. Research progress on sources, absorption pathways and toxic effects of micro/nanoplastics in terrestrial plants. J. Agric. Resour. Environ. 2024, 1–20. [Google Scholar]
  49. Han, M.; Gao, Y.; Wang, C.; Su, F.; Wang, Y.; Zhang, X. Related Studies on the Effects of High Temperature Stress on Alfalfa and its Heat Resistance Mechanism. Genom. Appl. Biol. 2010, 29, 563–569. [Google Scholar]
  50. Nikiforov, L.N.; Krivoshchekov, S.V.; Kolomiets, N.E.; Kadyrova, T.V.; Belousov, M.V. Development of Parameters for Standardization of Duckweed (Lemna Minor L.) Raw Material. Drug Dev. Regist. 2021, 10, 74–81. [Google Scholar] [CrossRef]
  51. Dissanayaka, S.; Ghahremani, M.; Siebers, M.; Wasaki, J.; Plaxton, W.C. Recent Insights into the Metabolic Adaptations of Phosphorus Deprived Plants. J. Exp. Bot. 2020, 72, 199–223. [Google Scholar] [CrossRef]
  52. Zhang, J.X.; Liu, X.J.; Hao, F.; Fan, J.J.; Feng, B.Z.; Peng, Q. Effects of Nitrogen and Phosphorus Regulation on Alfalfa Nitrogen Accumulation and the Nitrogen and Phosphorus Nutrients of Soil. Acta Agrestia Sin. 2016, 24, 61–68. [Google Scholar]
  53. Dubrovina, T.A.; Losev, A.A.; Karpukhin, M.M.; Vorobeichik, E.L.; Neaman, A. Gypsum soil amendment in metal-polluted soils—An added environmental hazard. Chemosphere 2021, 281, 130889. [Google Scholar] [CrossRef]
  54. Li, W.; Yuan, L.; Zhang, S.; Lin, Z.; Li, Y.; Zhao, B. Mechanism of middle and low molecular weight humic acids in promoting phosphorus fertilizer uptake efficiency and yield of winter wheat. J. Plant Nutr. Fertil. 2020, 26, 2043–2050. [Google Scholar]
  55. Liu, L.; Sha, B.; Gao, X.; Fu, B. Effect of Water and Fertilizer Coupling on Soil Fractal Characteristics and Nutrients of Alfalfa Fields in the Ningxia Yellow River Diversion Irrigation Area. Acta Agrestia Sin. 2021, 29, 2538–2546. [Google Scholar]
  56. Cai, L.; Qi, G.; Kang, Y.; Wang, J.; Li, X.; Zhao, M.; Lai, S.; Yu, X. Effects of water regulated deficit on onobrychisviciaefolia yield and water utilization under wolfberry intercropping system. Water Resour. Plan. Des. 2020, 9, 55–60. [Google Scholar]
  57. Zhang, Z.H.; Gao, S.P.; Chu, C.C. Improvement of nutrient use efficiency in rice: Current toolbox and future perspectives. Theor. Appl. Genet. 2020, 133, 1365–1384. [Google Scholar] [CrossRef] [PubMed]
  58. Zhang, F.S.; Wang, J.Q.; Zhang, W.F.; Cui, Z.L.; Ma, W.Q.; Chen, X.P.; Jiang, R.F. Nutrient use efficiencies of major cereal crops in china and measures for improvement. Acta Pedol. Sin. 2008, 45, 915–924. [Google Scholar]
  59. Zhang, L.; Zhang, H.; Huang, Y.; Ye, Y.; Zhang, Z.; Zhan, Z. Effect of phosphorus application on soil available phosphorus and maize phosphorus uptake and yield. Chin. J. Eco-Agric. 2013, 21, 75–79. [Google Scholar] [CrossRef]
  60. Peng, S.B.; Buresh, R.J.; Huang, J.L.; Yang, J.C.; Zou, Y.B.; Zhong, X.H.; Wang, G.H.; Zhang, F.S. Strategies for overcoming low agronomic nitrogen use efficiency in irrigated rice systems in China. Field Crops Res. 2006, 96, 37–47. [Google Scholar] [CrossRef]
  61. Sui, B.A.; Feng, X.M.; Tian, G.L.; Hu, X.Y.; Shen, Q.R.; Guo, S.W. Optimizing nitrogen supply increases rice yield and nitrogen use efficiency by regulating yield formation factors. Field Crops Res. 2013, 150, 99–107. [Google Scholar] [CrossRef]
  62. Ladha, J.K.; Reddy, C.K.; Padre, A.T.; Kessel, C.V. Role of Nitrogen Fertilization in Sustaining Organic Matter in Cultivated Soils. J. Environ. Qual. 2011, 40, 1756–1766. [Google Scholar] [CrossRef]
  63. Zhou, J.; Gu, B.; Schlesinger, W.H.; Ju, X. Significant accumulation of nitrate in Chinese semi-humid croplands. Sci. Rep. 2016, 6, 25088. [Google Scholar] [CrossRef]
  64. Kostensalo, J.; Lemola, R.; Salo, T.; Ukonmaanaho, L.; Turtola, E.; Saarinen, M. A site-specific prediction model for nitrogen leaching in conventional and organic farming. J. Environ. Manag. 2024, 349, 119388. [Google Scholar] [CrossRef]
  65. Li, F.; Keqiang, Z.; Wenxuan, G.; Huiying, D. Characteristics of nutrients in anaerobic effluents from large-scale livestock farms in North China Plain. J. Agric. Resour. Environ. 2019, 36, 487–493. [Google Scholar]
  66. Insam, H.; Gómez-Brandón, M.; Ascher, J. Manure-based biogas fermentation residues—Friend or foe of soil fertility? Soil Biol. Biochem. 2015, 84, 1–14. [Google Scholar] [CrossRef]
  67. Yan, L.; Liu, Q.; Liu, C.; Liu, Y.; Gu, W. Effect of swine biogas slurry application on soil dissolved organic matter (DOM) content and fluorescence characteristics. Ecotoxicol. Environ. Saf. 2019, 184, 109616. [Google Scholar] [CrossRef]
  68. Hossain, M.Z.; Bahar, M.M.; Sarkar, B.; Donne, S.W.; Ok, Y.S.; Palansooriya, K.N.; Kirkham, M.B.; Chowdhury, S.; Bolan, N. Biochar and its importance on nutrient dynamics in soil and plant. Biochar 2020, 2, 42. [Google Scholar] [CrossRef]
  69. Khan, K.S.; Ali, M.M.; Naveed, M.; Rehmani, M.I.A.; Shafique, M.W.; Ali, H.M.; Abdelsalam, N.R.; Ghareeb, R.Y.; Feng, G. Co-application of organic amendments and inorganic P increase maize growth and soil carbon, phosphorus availability in calcareous soil. Front. Environ. Sci. 2022, 10, 949371. [Google Scholar] [CrossRef]
  70. Shan, X.; Zhang, Y.; Wang, X.; Sun, H.; Liu, L. Effects of different nitrogen application rates on dry matter accumulation and nitrogen uptake of alfalfa. Grassl. Prataculture 2023, 35, 36–44. [Google Scholar]
  71. Chen, G.; Cao, H.; Wu, P.; Huang, Y.; Wang, Y.; Liu, H.; Dong, J.; Fang, C. Effect of Pig Slurry Application on Crop Growth and Soil Quality of Farmland Under Rice-Wheat Rotation System. Acta Pedol. Sin. 2023, 60, 893–903. [Google Scholar]
  72. Xu, M.; Xian, Y.; Wu, J.; Gu, Y.F.; Yang, G.; Zhang, X.H.; Peng, H.; Yu, X.Y.; Xiao, Y.L.; Li, L. Effect of biogas slurry addition on soil properties, yields, and bacterial composition in the rice-rape rotation ecosystem over 3 years. J. Soils Sediments 2019, 19, 2534–2542. [Google Scholar] [CrossRef]
  73. Cooledge, E.C.; Chadwick, D.R.; Smith, L.M.J.; Leake, J.R.; Jones, D.L. agronomic and environmental benefits of reintroducing herb- and legume-rich multispecies leys into arable rotations: A review. Front. Agric. Sci. Eng. 2022, 9, 245–271. [Google Scholar]
  74. Yu, Y.; He, R.H.; Chen, S.; Zhang, H.J.; Zhang, X.; Wang, X.Y.; Liu, Z.J.; Li, Z.L.; Wang, Y.T.; Liu, W.X.; et al. The B-box transcription factor PabBBX27 in the regulation of chlorophyll biosynthesis and photosynthesis in poplar (Populus alba × P. Berolinensis). Ind. Crops Prod. 2023, 203, 117159. [Google Scholar] [CrossRef]
  75. Liu ZhaoXin, L.Z.; Liu Yan, L.Y.; Liu TingRu, L.T.; He MeiJuan, H.M.; Yao Yuan, Y.Y.; Yang JianQun, Y.J.; Zhen XiaoYu, Z.X.; Li XinXin, L.X.; Yang DongQing, Y.D.; Li XiangDong, L.X. Effect of controlled-release compound fertilized on photosystem II performance, yield and quality of intercropped peanut with wheat. Acta Agron. Sin. 2017, 43, 1667–1676. [Google Scholar]
  76. Veneklaas, E.J.; Lambers, H.; Bragg, J.; Finnegan, P.M.; Raven, J.A. Opportunities for improving phosphorus-use efficiency in crop plants. New Phytol. 2012, 195, 306–320. [Google Scholar] [CrossRef]
  77. Yanzhi, W.; Lin, X.; Jian, Z.; Li, W.; Ya, L.; Yanfang, W. Effects of Waste Residue of Cinnamomum longepaniculatum on the Cultivation of Pinellia ternata and Microorganisms of Rhizospheric Soil. J. Agric. Biotechnol. 2024, 32, 1642–1659. [Google Scholar]
  78. Deng, Y.; Huang, R.; Zhang, S.; Ding, X.; Liu, L.; Fan, M.; Wang, J. Effects of Green Manure and Nitrogen Fertilize Combined Application on Growth Characteristics and Yield of Flue-cured Tobacco. J. Qingdao Agric. Univ. (Nat. Sci.) 2024, 6, 1–15. [Google Scholar]
  79. Shi, X.-R.; Ren, B.-B.; Jiang, L.-L.; Fan, S.-X.; Cao, Y.-L.; Ma, D.-R. Effects of organic manure partial substitution for chemical fertilizer on the photosynthetic rate, nitrogen use efficiency and yield of rice. J. Appl. Ecol. 2021, 32, 154–162. [Google Scholar]
  80. Song, H.J.; Lu, D.H. Effect of Biogas Slurry Fertilizer on Peach Tree. China Biogas 2014, 32, 94–96+89. [Google Scholar]
  81. Duan, C.; Li, X.; Chai, Y.; Xu, W.; Su, L.; Yang, X.; Ma, P. Eco-stoichiometric Characteristics of Carbon, Nitrogen, and Phosphorus in Degraded Alpine Meadow under Artificial Restoration. Chin. J. Grassl. 2022, 44, 23–32. [Google Scholar]
  82. Shu, H.; Wang, Y.; Zhang, S.; Liang, Y.; Lu, J.; Li, D.; Ou, Y.; Li, N.; Zhu, Y. Effect of light-shading on accumulation of chlorophylls and their precursors in tea shoots. J. Tea Sci. 2012, 32, 115–121. [Google Scholar]
  83. Steckel, L.E.; Sprague, C.L.; Hager, A.G.; Simmons, F.W.; Bollero, G.A. Effects of shading on common waterhemp (Amaranthus rudis) growth and development. Weed Sci. 2003, 51, 898–903. [Google Scholar] [CrossRef]
  84. Guo, X.J.; Xie, J.H.; Li, L.L.; Wang, J.N.; Kang, C.R.; Peng, Z.K.; Wang, J.B.; Fudjoe, S.; Wang, L.L. Effects of Soil Amendment on Maize Yield and Photosynthetic Characteristics in Arid Areas of Central Gansu. J. Maize Sci. 2021, 29, 113–120. [Google Scholar]
  85. Xu, Y.; Han, Y.; Wu, Y.; Song, J.; Liu, B.; Han, W.; Bai, W. Effects of Foliar-spray Chemical Regulators on Wheat Winter Resistance through Dry-hot Wind Stress. Chin. J. Agrometeorol. 2023, 44, 995–1008. [Google Scholar]
  86. Tang, Z.; Enhe, Z.; Peng, H. Effects of phosphorus supply on several stress physiological index of eight genotypic corn varieties. Pratacultural Sci. 2002, 19, 56–58. [Google Scholar]
  87. Kikuhara, K.; Kumagai, H.; Hirooka, H. Development and Evaluation of a Simulation Model for Dairy Cattle Production Systems Integrated with Forage Crop Production. Asian-Australas. J. Anim. Sci. 2009, 22, 2844–2849. [Google Scholar] [CrossRef]
  88. Johansen, A.; Carter, M.S.; Jensen, E.S.; Hauggard-Nielsen, H.; Ambus, P. Effects of digestate from anaerobically digested cattle slurry and plant materials on soil microbial community and emission of CO2 and N2O. Appl. Soil Ecol. 2013, 2013, 36–44. [Google Scholar] [CrossRef]
  89. Aula, L.; Omara, P.; Dhillon, J.S.; Fornah, A.; Raun, W.R. Influence of Applied Cattle Manure on Winter Wheat (Triticum aestivum L.) Grain Yield, Soil pH and Soil Organic Carbon. Commun. Soil Sci. Plant Anal. 2019, 50, 2056–2064. [Google Scholar] [CrossRef]
  90. Huang, Y.; Wang, G.; Du, L.; Liu, F.; Yang, J.; Zhang, K.; Du, H. Effect of Dairy Cattle Slurry Application on Alfalfa Yield, Nitrogen Utilization, and Nitrogen Surplus. J. Soil Sci. Plant Nutr. 2023, 23, 6345–6356. [Google Scholar] [CrossRef]
  91. Wang, W.; Sui, J.; Xu, Y.; Tai, L.; Ru, C.; Wei, Z.; Xin, Y.; BASANG, Z.; Jia, C. Study on Bacterial Flora Changes in Producing Bedding Process Using Cow Manure by Anaerobic Fermentation Technology in Dairy Farms. China Anim. Husb. Vet. Med. 2024, 9, 4182–4189. [Google Scholar]
  92. Yang, K.; Lin, C. Reaearch progress on anaerobic fermentation pretreatment technology of livestock and poultry manure. Energy Environ. Prot. 2021, 35, 42–48. [Google Scholar]
Disclaimer/Publisher’s Note: The statements, opinions and data contained in all publications are solely those of the individual author(s) and contributor(s) and not of MDPI and/or the editor(s). MDPI and/or the editor(s) disclaim responsibility for any injury to people or property resulting from any ideas, methods, instructions or products referred to in the content.

Article Metrics

Citations

Article Access Statistics

Multiple requests from the same IP address are counted as one view.