Sustainable Utilization of Hemp Press Cake Flour in Ice Cream Production: Physicochemical, Rheological, Textural, and Sensorial Properties
Abstract
1. Introduction
2. Materials and Methods
2.1. Materials
2.2. Ice Cream Production
2.3. Analysis of Ice Cream Mixes
2.3.1. Physicochemical Analysis
2.3.2. Rheological Parameters
2.4. Analysis of Ice Cream Samples
2.4.1. Fat Destabilization Index Determination
2.4.2. Overrun Determination
2.4.3. Instrumental Texture Analysis
2.4.4. Instrumental Colour Analysis
2.4.5. Sensory Evaluation
2.5. Data Analysis
3. Results and Discussion
3.1. Physicochemical Properties of Aged Ice Cream Mixes
3.1.1. Chemical Composition
3.1.2. pH, Acidity and aw Values
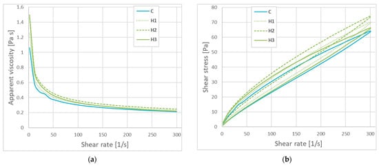
3.1.3. Rheological Properties
3.2. Ice Cream Properties
3.2.1. Overrun
3.2.2. Fat Destabilization Index
3.2.3. Texture
3.2.4. Colour
3.2.5. Sensory Characteristics
3.2.6. The Relationship between the Characteristics of Ice Creams and Mixes
4. Conclusions
Author Contributions
Funding
Institutional Review Board Statement
Informed Consent Statement
Data Availability Statement
Acknowledgments
Conflicts of Interest
References
- Petraru, A.; Amariei, S. Oil Press-Cakes and Meals Valorization through Circular Economy Approaches: A Review. Appl. Sci. 2020, 10, 7432. [Google Scholar] [CrossRef]
- Topolska, K.; Florkiewicz, A.; Filipiak-Florkiewicz, A. Functional Food—Consumer Motivations and Expectations. Int. J. Environ. Res. Public Health 2021, 2, 5327. [Google Scholar] [CrossRef]
- Kasapoglu, M.Z.; Sagdic, O.; Avci, E.; Tekin-Cakmak, Z.H.; Karasu, S.; Turker, R.S. The Potential Use of Cold-Pressed Coconut Oil By-Product as an Alternative Source in the Production of Plant-Based Drink and Plant-Based Low-Fat Ice Cream: The Rheological, Thermal, and Sensory Properties of Plant-Based Ice Cream. Foods 2023, 12, 650. [Google Scholar] [CrossRef] [PubMed]
- Pascual, A.; Pineda-Quiroga, C.; Goiri, I.; Atxaerandio, R.; Ruiz, R.; García-Rodríguez, A. Effects of Feeding UFA-Rich Cold-Pressed Oilseed Cakes and Sainfoin on Dairy Ewes’ Milk Fatty Acid Profile and Curd Sensory Properties. Small Rumin. Res. 2019, 175, 96–103. [Google Scholar] [CrossRef]
- Hessle, A.; Eriksson, M.; Nadeau, E.; Turner, T.; Johansson, B. Cold-Pressed Hempseed Cake as a Protein Feed for Growing Cattle. Acta Agric. Scand A 2008, 58, 136–145. [Google Scholar] [CrossRef]
- Johansson, B.; Kumm, K.I.; Åkerlind, M.; Nadeau, E. Cold-Pressed Rapeseed Cake or Full Fat Rapeseed to Organic Dairy Cows—Milk Production and Profitability. Org. Agric. 2015, 5, 29–38. [Google Scholar] [CrossRef]
- Mannucci, A.; Castagna, A.; Santin, M.; Serra, A.; Mele, M.; Ranieri, A. Quality of Flaxseed Oil Cake under Different Storage Conditions. LWT 2019, 104, 84–90. [Google Scholar] [CrossRef]
- Ferreira, D.M.; Nunes, M.A.; Santo, L.E.; Machado, S.; Costa, A.S.G.; Álvarez-Ortí, M.; Pardo, J.E.; Oliveira, M.B.P.P.; Alves, R.C. Characterization of Chia Seeds, Cold-Pressed Oil, and Defatted Cake: An Ancient Grain for Modern Food Production. Molecules 2023, 28, 723. [Google Scholar] [CrossRef]
- Bárta, J.; Bártová, V.; Jarošová, M.; Švajner, J.; Smetana, P.; Kadlec, J.; Filip, V.; Kyselka, J.; Berčíková, M.; Zdráhal, Z.; et al. Oilseed Cake Flour Composition, Functional Properties and Antioxidant Potential as Effects of Sieving and Species Differences. Foods 2021, 10, 2766. [Google Scholar] [CrossRef]
- Bakkalbasi, E.; Meral, R.; Dogan, I.S. Bioactive Compounds, Physical and Sensory Properties of Cake Made with Walnut Press-Cake. J. Food Qual. 2015, 38, 422–430. [Google Scholar] [CrossRef]
- Pojić, M.; Dapčević Hadnadev, T.; Hadnadev, M.; Rakita, S.; Brlek, T. Bread Supplementation with Hemp Seed Cake: A By-Product of Hemp Oil Processing. J. Food Qual. 2015, 38, 431–440. [Google Scholar] [CrossRef]
- Feng, X.; Sun, G.; Fang, Z. Effect of Hempseed Cake (Cannabis sativa L.) Incorporation on the Physicochemical and Antioxidant Properties of Reconstructed Potato Chips. Foods 2022, 11, 211. [Google Scholar] [CrossRef] [PubMed]
- Merlino, M.; Tripodi, G.; Cincotta, F.; Prestia, O.; Miller, A.; Gattuso, A.; Verzera, A.; Condurso, C. Technological, Nutritional, and Sensory Characteristics of Gnocchi Enriched with Hemp Seed Flour. Foods 2022, 11, 2783. [Google Scholar] [CrossRef] [PubMed]
- Kotecka-Majchrzak, K.; Kasałka-Czarna, N.; Montowska, M.; Spychaj, A.; Mikołajczak, B. The Effect of Hemp Cake (Cannabis sativa L.) on the Characteristics of Meatballs Stored in Refrigerated Conditions. Molecules 2021, 26, 5284. [Google Scholar] [CrossRef] [PubMed]
- Food and Agriculture Organization of the United Nations. Crops and Livestock Products, Data. Available online: https://www.fao.org/faostat/en/#data/QCL/visualize (accessed on 10 September 2024).
- Valuates Reports. Global Hemp Seed Cakes Market Research Report 2024. Available online: https://reports.valuates.com/market-reports/QYRE-Auto-25F15527/global-hemp-seed-cakes (accessed on 10 September 2024).
- Vasantha Rupasinghe, H.P.; Davis, A.; Kumar, S.K.; Murray, B.; Zheljazkov, V.D. Industrial Hemp (Cannabis sativa Subsp. Sativa) as an Emerging Source for Value-Added Functional Food Ingredients and Nutraceuticals. Molecules 2020, 25, 4078. [Google Scholar] [CrossRef]
- Farinon, B.; Molinari, R.; Costantini, L.; Merendino, N. The Seed of Industrial Hemp (Cannabis sativa L.): Nutritional Quality and Potential Functionality for Human Health and Nutrition. Nutrients 2020, 12, 1935. [Google Scholar] [CrossRef]
- Łopusiewicz, Ł.; Waszkowiak, K.; Polanowska, K.; Mikołajczak, B.; Śmietana, N.; Hrebień-Filisińska, A.; Sadowska, J.; Mazurkiewicz-Zapałowicz, K.; Drozłowska, E. The Effect of Yogurt and Kefir Starter Cultures on Bioactivity of Fermented Industrial By-Product from Cannabis sativa Production—Hemp Press Cake. Fermentation 2022, 8, 490. [Google Scholar] [CrossRef]
- Sciacca, F.; Virzì, N.; Pecchioni, N.; Melilli, M.G.; Buzzanca, C.; Bonacci, S.; Di Stefano, V. Functional End-Use of Hemp Seed Waste: Technological, Qualitative, Nutritional, and Sensorial Characterization of Fortified Bread. Sustainability 2023, 15, 12899. [Google Scholar] [CrossRef]
- Istrate, A.M.; Dabija, A.; Codina, G.G.; Rusu, L. Influence of hemp flour on dough rheology and bread quality. Sci. Study Res. Chem. Chem. Eng. Biotechnol. Food Ind. 2021, 22, 521–531. [Google Scholar]
- Mikulec, A.; Kowalski, S.; Sabat, R.; Skoczylas, Ł.; Tabaszewska, M.; Wywrocka-Gurgul, A. Hemp Flour as a Valuable Component for Enriching Physicochemical and Antioxidant Properties of Wheat Bread. LWT 2019, 102, 164–172. [Google Scholar] [CrossRef]
- Lukin, A.; Bitiutskikh, K. On potential use of hemp flour in bread production. Bull. Transilv. Univ. Braşov 2017, 10, 113–118. [Google Scholar]
- Rusu, I.E.; Marc, R.A.; Mureşan, C.C.; Mureşan, A.E.; Mureşan, V.; Pop, C.R.; Chiş, M.S.; Man, S.M.; Filip, M.R.; Onica, B.-M.; et al. Hemp (Cannabis sativa L.) Flour-Based Wheat Bread as Fortified Bakery Product. Plants 2021, 10, 1558. [Google Scholar] [CrossRef] [PubMed]
- Ropciuc, S.; Apostol, L.C.; Damian, C.; Prisacaru, A.E. Effect of Hemp Seed Oil Addition on the Rheological Properties of Dough and Bread. Appl. Sci. 2022, 12, 2764. [Google Scholar] [CrossRef]
- Jagelaviciute, J.; Cizeikiene, D. The Influence of Non-Traditional Sourdough Made with Quinoa, Hemp and Chia Flour on the Characteristics of Gluten-Free Maize/Rice Bread. LWT 2021, 137, 110457. [Google Scholar] [CrossRef]
- Korus, J.; Witczak, M.; Ziobro, R.; Juszczak, L. Hemp (Cannabis sativa Subsp. Sativa) Flour and Protein Preparation as Natural Nutrients and Structure Forming Agents in Starch Based Gluten-Free Bread. LWT 2017, 84, 143–150. [Google Scholar] [CrossRef]
- Hayward, L.; McSweeney, M.B. Acceptability of Bread Made with Hemp (Cannabis sativa Subsp. Sativa) Flour Evaluated Fresh and Following a Partial Bake Method. J. Food Sci. 2020, 85, 2915–2922. [Google Scholar] [CrossRef]
- Radočaj, O.; Dimić, E.; Tsao, R. Effects of Hemp (Cannabis sativa L.) Seed Oil Press-Cake and Decaffeinated Green Tea Leaves (Camellia sinensis) on Functional Characteristics of Gluten-Free Crackers. J. Food Sci. 2014, 79, C318–C325. [Google Scholar] [CrossRef]
- Korus, A.; Gumul, D.; Krystyjan, M.; Juszczak, L.; Korus, J. Evaluation of the quality, nutritional value and antioxidant activity of gluten-free biscuits made from corn-acorn flour or corn-hemp flour composites. Eur. Food Res. Technol. 2017, 243, 1429–1438. [Google Scholar] [CrossRef]
- Nissen, L.; di Carlo, E.; Gianotti, A. Prebiotic Potential of Hemp Blended Drinks Fermented by Probiotics. Int. Food Res. 2020, 131, 109029. [Google Scholar] [CrossRef]
- Beşir, A.; Awad, N.; Mortaş, M.; Yazici, F. A Plant-Based Milk Type: Hemp Seed Milk. Akad. Gıda 2022, 20, 170–181. [Google Scholar] [CrossRef]
- Hidas, K.I.; Nyulas-Zeke, I.C.; Szepessy, A.; Romvári, V.; Gerhart, K.; Surányi, J.; Laczay, P.; Darnay, L. Physical Properties of Hemp Drink-Based Ice Cream with Different Plant Proteins Guar Gum and Microbial Transglutaminase. LWT 2023, 182, 114865. [Google Scholar] [CrossRef]
- Zahari, I.; Ferawati, F.; Helstad, A.; Ahlström, C.; Östbring, K.; Rayner, M.; Purhagen, J.K. Development of High-Moisture Meat Analogues with Hemp and Soy Protein Using Extrusion Cooking. Foods 2020, 9, 772. [Google Scholar] [CrossRef] [PubMed]
- Goff, H.D. Ice cream and frozen desserts: Manufacture. In Encyclopedia of Dairy Sciences, 2nd ed.; Fuquay, J.W., Fox, P.F., McSweeney, P.L.H., Eds.; Academic Press: San Diego, CA, USA, 2011; Volume 2, pp. 899–904. [Google Scholar]
- Arslaner, A.; Salik, M.A. Functional Ice Cream Technology. Akad. Gıda 2020, 18, 180–189. [Google Scholar] [CrossRef]
- Genovese, A.; Balivo, A.; Salvati, A.; Sacchi, R. Functional Ice Cream Health Benefits and Sensory Implications. Int. Food Res. 2022, 161, 111858. [Google Scholar] [CrossRef]
- Goff, H.D. Ice cream. In Advanced Dairy Chemistry Volume 2: Lipids, 3rd ed.; Fox, P.F., McSweeney, P.L.H., Eds.; Spinger: Boston, MA, USA, 2006. [Google Scholar] [CrossRef]
- Goff, H.D. Ice Cream and Frozen Desserts. In Ullmann’s Encyclopedia of Industrial Chemistry; Wiley-VCH Verlag GmbH & Co. KGaA: Weinheim, Germany, 2015; pp. 1–15. [Google Scholar] [CrossRef]
- Marshall, R.T.; Goff, H.D.; Hartel, R.W. Ice Cream; Springer: Boston, MA, USA, 2003. [Google Scholar] [CrossRef]
- Kozłowicz, K.; Krajewska, M.; Nazarewicz, S.; Gładyszewski, G.; Chocyk, D.; Świeca, M.; Dziki, D.; Kobus, Z.; Parafiniuk, S.; Przywara, A.; et al. Examining the Influence of Ultrasounds and the Addition of Arrowroot on the Physicochemical Properties of Ice Cream. Appl. Sci. 2023, 13, 9816. [Google Scholar] [CrossRef]
- Nakov, G.; Trajkovska, B.; Zlatev, Z.; Jukić, M.; Lukinac, J. Quality Characteristics of Probiotic Yoghurt Enriched with Honey and By-Products Left after the Production of Hemp Oil by Cold Pressing the Seeds of Cannabis sativa L. Mljekarstvo 2023, 73, 3–11. [Google Scholar] [CrossRef]
- Nakov, G.; Trajkovska, B.; Atanasova-Pancevska, N.; Daniloski, D.; Ivanova, N.; Lučan Čolić, M.; Jukić, M.; Lukinac, J. The Influence of the Addition of Hemp Press Cake Flour on the Properties of Bovine and Ovine Yoghurts. Foods 2023, 12, 958. [Google Scholar] [CrossRef]
- Goff, H.D. Ice cream and frozen desserts: Product Types. In Encyclopedia of Dairy Sciences, 2nd ed.; Fuquay, J.W., Fox, P.F., McSweeney, P.L.H., Eds.; Academic Press: San Diego, CA, USA, 2011; Volume 2, pp. 893–898. [Google Scholar]
- AOAC. Official Methods of Analysis of the Aoac, 17th ed.; Association of Official Analytical Chemists: Rockville, MD, USA, 2000. [Google Scholar]
- Shamshad, A.; Iahtisham-Ul-Haq; Butt, M.S.; Nayik, G.A.; Al Obaid, S.; Ansari, M.J.; Karabagias, I.K.; Sarwar, N.; Ramniwas, S. Effect of Storage on Physicochemical Attributes of Ice Cream Enriched with Microencapsulated Anthocyanins from Black Carrot. Food Sci. Nutr. 2023, 11, 3976–3988. [Google Scholar] [CrossRef]
- Prindiville, E.A.; Marshall, R.T.; Heymann, H. Effect of Milk Fat, Cocoa Butter, and Whey Protein Fat Replacers on the Sensory Properties of Lowfat and Nonfat Chocolate Ice Cream. J. Dairy Sci. 2000, 83, 2216–2223. [Google Scholar] [CrossRef]
- Soukoulis, C.; Lebesi, D.; Tzia, C. Enrichment of Ice Cream with Dietary Fibre: Effects on Rheological Properties, Ice Crystallisation and Glass Transition Phenomena. Food Chem. 2009, 115, 665–671. [Google Scholar] [CrossRef]
- Kurt, A.; Cengiz, A.; Kahyaoglu, T. The Effect of Gum Tragacanth on the Rheological Properties of Salep Based Ice Cream Mix. Carbohydr. Polym. 2016, 143, 116–123. [Google Scholar] [CrossRef] [PubMed]
- Goff, H.D.; Jordan, W.K. Action of Emulsifers in Promoting Fat Destabilization During the Manufacture of Ice Cream. J. Dairy Sci. 1989, 72, 18–29. [Google Scholar] [CrossRef]
- Surendra Babu, A.; Parimalavalli, R.; Jagan Mohan, R. Effect of Modified Starch from Sweet Potato as a Fat Replacer on the Quality of Reduced Fat Ice Creams. J. Food Meas. Charact. 2018, 12, 2426–2434. [Google Scholar] [CrossRef]
- Pathare, P.B.; Opara, U.L.; Al-Said, F.A.J. Colour Measurement and Analysis in Fresh and Processed Foods: A Review. Food Bioprocess. Technol. 2013, 6, 36–60. [Google Scholar] [CrossRef]
- ISO 11136:2014; Sensory Analysis—Methodology—General Guidance For Conducting Hedonic Tests With Consumers In A Controlled Area. ISO (International Organization for Standardization): Geneva, Switzerland, 2014.
- Sakr, S.S.; Mohamed, S.H.S.; Ali, A.A.; Ahmed, W.E.; Algheshairy, R.M.; Almujaydil, M.S.; Al-Hassan, A.A.; Barakat, H.; Hassan, M.F.Y. Nutritional, Physicochemical, Microstructural, Rheological, and Organoleptical Characteristics of Ice Cream Incorporating Adansonia Digitata Pulp Flour. Foods 2023, 12, 533. [Google Scholar] [CrossRef]
- Pereira, G.d.G.; de Resende, J.V.; de Abreu, L.R.; de Oliveira Giarola, T.M.; Perrone, I.T. Influence of the Partial Substitution of Skim Milk Powder for Soy Extract on Ice Cream Structure and Quality. Eur. Food Res. Technol. 2011, 232, 1093–1102. [Google Scholar] [CrossRef]
- Irawan, I.; Fitriyana. Ice Cream Properties Affected by Carrageenan Form Seaweed Deference Type Drying Methods. In IOP Conference Series: Earth and Environmental Science; IOP Publishing Ltd.: Bristol, UK, 2021; Volume 679. [Google Scholar] [CrossRef]
- Trejo-Flores, P.G.; Santiago-Rodríguez, L.A.; Domínguez-Espinosa, M.E.; Cruz-Salomón, A.; Velázquez-Jiménez, P.E.; Hernández-Méndez, J.M.E.; Morales-Ovando, M.A.; Cruz-Salomón, K.d.C.; Hernández-Cruz, M.d.C.; Vázquez-Villegas, P.T.; et al. Sustainable Ice Cream Base: Harnessing Mango Seed Kernel (Mangifera indica L. Var. Tommy atkins) Waste and Cheese Whey. Sustainability 2023, 15, 14583. [Google Scholar] [CrossRef]
- Güven, M.; Kalender, M.; Taşpinar, T. Effect of Using Different Kinds and Ratios of Vegetable Oils on Ice Cream Quality Characteristics. Foods 2018, 7, 104. [Google Scholar] [CrossRef] [PubMed]
- Markowska, J.; Tyfa, A.; Drabent, A.; Stępniak, A. The Physicochemical Properties and Melting Behavior of Ice Cream Fortified with Multimineral Preparation from Red Algae. Foods 2023, 12, 4481. [Google Scholar] [CrossRef]
- Xu, J.; Xu, X.; Yuan, Z.; Hua, D.; Yan, Y.; Bai, M.; Song, H.; Yang, L.; Zhu, D.; Liu, J.; et al. Effect of Hemp Protein on the Physicochemical Properties and Flavor Components of Plant-Based Yogurt. LWT 2022, 172, 114145. [Google Scholar] [CrossRef]
- Sakkas, L.; Karela, M.; Zoidou, E.; Moatsou, G.; Moschopoulou, E. Incorporation of Yogurt Acid Whey in Low-Lactose Yogurt Ice Cream. Foods 2023, 12, 3860. [Google Scholar] [CrossRef] [PubMed]
- Syamaladevi, R.M.; Tang, J.; Villa-Rojas, R.; Sablani, S.; Carter, B.; Campbell, G. Influence of Water Activity on Thermal Resistance of Microorganisms in Low-Moisture Foods: A Review. Compr. Rev. Food Sci. Food Saf. 2016, 15, 353–370. [Google Scholar] [CrossRef] [PubMed]
- Dhakal, H.N.; Zhang, Z.Y.; Richardson, M.O.W. Effect of Water Absorption on the Mechanical Properties of Hemp Fibre Reinforced Unsaturated Polyester Composites. Compos. Sci. Technol. 2007, 67, 1674–1683. [Google Scholar] [CrossRef]
- Roy, S.; Hussain, S.A.; Prasad, W.G.; Khetra, Y. Quality Attributes of High Protein Ice Cream Prepared by Incorporation of Whey Protein Isolate. Appl. Food Res. 2022, 2, 100029. [Google Scholar] [CrossRef]
- Kurt, A.; Atalar, I. Effects of Quince Seed on the Rheological, Structural and Sensory Characteristics of Ice Cream. Food Hydrocoll. 2018, 82, 186–195. [Google Scholar] [CrossRef]
- Atik, I.; Tekin Cakmak, Z.H.; Avcı, E.; Karasu, S. The Effect of Cold Press Chia Seed Oil By-products on the Rheological, Microstructural, Thermal, and Sensory Properties of Low-fat Ice Cream. Foods 2021, 10, 2302. [Google Scholar] [CrossRef]
- Goff, H.D.; Hartel, R.W. Ice Cream, 7th ed.; Springer: Boston, MA, USA, 2013. [Google Scholar] [CrossRef]
- Rossa, P.N.; Burin, V.M.; Bordignon-Luiz, M.T. Effect of Microbial Transglutaminase on Functional and Rheological Properties of Ice Cream with Different Fat Contents. LWT 2012, 48, 224–230. [Google Scholar] [CrossRef]
- Mewis, J.; Wagner, N.J. Thixotropy. Adv. Colloid. Interface Sci. 2009, 147–148, 214–227. [Google Scholar] [CrossRef]
- Saraiva, B.R.; da Silva, L.H.M.; Anjo, F.A.; Vital, A.C.P.; Da Silva, J.B.; Bruschi, M.L.; Matumoto Pintro, P.T. Technological and Sensorial Properties of Liquid Nitrogen Ice Cream Enriched with Protein from Brewing Waste (Trub). Int. J. Food Sci. Technol. 2020, 55, 1962–1970. [Google Scholar] [CrossRef]
- Chang, Y.; Hartel, R.W. Development of Air Cells in a Batch Ice Cream Freezer. J. Food Eng. 2002, 55, 71–78. [Google Scholar] [CrossRef]
- Lozano, E.; Padilla, K.; Salcedo, J.; Arrieta, A.; Andrade-Pizarro, R. Effects of Yam (Dioscorea rotundata) Mucilage on the Physical, Rheological and Stability Characteristics of Ice Cream. Polymers 2022, 14, 3142. [Google Scholar] [CrossRef] [PubMed]
- Daw, E.; Hartel, R.W. Fat Destabilization and Melt-down of Ice Creams with Increased Protein Content. Int. Dairy J. 2015, 43, 33–41. [Google Scholar] [CrossRef]
- Alvarez, V.B.; Wolters, C.L.; Vodovotz, Y.; Ji, T. Physical Properties of Ice Cream Containing Milk Protein Concentrates. J. Dairy Sci. 2005, 88, 862–871. [Google Scholar] [CrossRef]
- Ozdemir, C.; Dagdemir, E.; Ozdemir, S.; Sagdic, O. The Effects of Using Alternative Sweeteners to Sucrose on Ice Cream Quality. J. Food Qual. 2008, 31, 415–428. [Google Scholar] [CrossRef]
- Liu, X.; Sala, G.; Scholten, E. Structural and Functional Differences between Ice Crystal-Dominated and Fat Network-Dominated Ice Cream. Food Hydrocoll. 2023, 138, 108466. [Google Scholar] [CrossRef]
- Seo, C.W.; Oh, N.S. Functional Application of Maillard Conjugate Derived from a κ-Carrageenan/Milk Protein Isolate Mixture as a Stabilizer in Ice Cream. LWT 2022, 161, 113406. [Google Scholar] [CrossRef]
- Kot, A.; Jakubczyk, E.; Kamińska-Dwórznicka, A. The Effectiveness of Combination Stabilizers and Ultrasound Homogenization in Milk Ice Cream Production. Appl. Sci. 2023, 13, 7561. [Google Scholar] [CrossRef]
- Nazarewicz, S.; Kozłowicz, K.; Gładyszewska, B.; Rząd, K.; Matwijczuk, A.; Kobus, Z.; Ivanišová, E.; Harangozo, L.; Skrzypek, T. Effects of Ultrasound Treatment on the Physical and Chemical Properties of Ice Cream with a Strawberry Seed Oil Oleogel. Sustainability 2023, 15, 8975. [Google Scholar] [CrossRef]
- Lučan Čolić, M.L.; Antunović, M.; Lukinac, J.; Babić, J.; Jozinović, A.; Matijević, B.; Nikolić, T.; Jukić, M. Physicochemical Properties of Turmeric (Curcuma longa L.) and Black Pepper (Piper nigrum) Enriched Ice Cream. Mljekarstvo 2024, 74, 45–63. [Google Scholar] [CrossRef]
- Yano, H.; Fu, W. Hemp: A Sustainable Plant with High Industrial Value in Food Processing. Foods 2023, 12, 651. [Google Scholar] [CrossRef]
- Raikos, V.; Neacsu, M.; Russell, W.; Duthie, G. Comparative Study of the Functional Properties of Lupin, Green Pea, Fava Bean, Hemp, and Buckwheat Flours as Affected by PH. Food Sci. Nutr. 2014, 2, 802–810. [Google Scholar] [CrossRef] [PubMed]
- Wang, W.; Wang, M.; Xu, C.; Liu, Z.; Gu, L.; Ma, J.; Jiang, L.; Jiang, Z.; Hou, J. Effects of Soybean Oil Body as a Milk Fat Substitute on Ice Cream: Physicochemical, Sensory and Digestive Properties. Foods 2022, 11, 1504. [Google Scholar] [CrossRef] [PubMed]
- Ghaedrahmati, S.; Shahidi, F.; Roshanak, S.; Nassiri Mahallati, M. Application of Jaban Watermelon Exocarp Powder in Low-Calorie Ice Cream Formulation and Evaluation of Its Physicochemical, Rheological, and Sensory Properties. J. Food Process Preserv. 2021, 45, 15768. [Google Scholar] [CrossRef]
- Amador, J.; Hartel, R.; Rankin, S. The Effects of Fat Structures and Ice Cream Mix Viscosity on Physical and Sensory Properties of Ice Cream. J. Food Sci. 2017, 82, 1851–1860. [Google Scholar] [CrossRef]
- Sezer, E.; Ayar, A.; Yılmaz, S.Ö. Fermentation of Dietary Fibre-Added Milk with Yoghurt Bacteria and L. Rhamnosus and Use in Ice Cream Production. Fermentation 2023, 9, 3. [Google Scholar] [CrossRef]
- Liu, X.; Sala, G.; Scholten, E. Effect of Fat Aggregate Size and Percentage on the Melting Properties of Ice Cream. Food Res. Int. 2022, 160, 111709. [Google Scholar] [CrossRef]
- Warren, M.M.; Hartel, R.W. Effects of Emulsifier, Overrun and Dasher Speed on Ice Cream Microstructure and Melting Properties. J. Food Sci. 2018, 83, 639–647. [Google Scholar] [CrossRef]
- Clarke, C. Ice Cream: A complex composite material. In The Science of Ice Cream, 1st ed.; Clarke, C., Ed.; Royal Society of Chemistry: London, UK, 2004; pp. 135–165. [Google Scholar]
- Muse, M.R.; Hartel, R.W. Ice Cream Structural Elements That Affect Melting Rate and Hardness. J. Dairy Sci. 2004, 87, 1–10. [Google Scholar] [CrossRef]
- Akalın, A.S.; Karagözlü, C.; Ünal, G. Rheological Properties of Reduced-Fat and Low-Fat Ice Cream Containing Whey Protein Isolate and Inulin. Eur. Food Res. Technol. 2008, 227, 889–895. [Google Scholar] [CrossRef]
- Crizel, T.D.M.; Araujo, R.R.D.; Rios, A.D.O.; Rech, R.; Flôres, S.H. Orange Fiber as a Novel Fat Replacer in Lemon Ice Cream. Food Sci. Technol. 2014, 34, 332–340. [Google Scholar] [CrossRef]
- Tolve, R.; Zanoni, M.; Ferrentino, G.; Gonzalez-Ortega, R.; Sportiello, L.; Scampicchio, M.; Favati, F. Dietary Fibers Effects on Physical, Thermal, and Sensory Properties of Low-Fat Ice Cream. LWT 2024, 199, 116094. [Google Scholar] [CrossRef]
- Aydar, E.F.; Tutuncu, S.; Ozcelik, B. Plant-Based Milk Substitutes: Bioactive Compounds, Conventional and Novel Processes, Bioavailability Studies, and Health Effects. J. Funct. Foods 2020, 70, 103975. [Google Scholar] [CrossRef]
- Milovanovic, B.; Djekic, I.; Miocinovic, J.; Djordjevic, V.; Lorenzo, J.M.; Barba, F.J.; Mörlein, D.; Tomasevic, I. What Is the Color of Milk and Dairy Products and How Is It Measured? Foods 2020, 9, 1629. [Google Scholar] [CrossRef] [PubMed]
- Marcinkowski, D.; Nizio, E.; Golimowski, W.; Czwartkowski, K. The Influence of the Used Bleaching Earth on the Content of Natural Dyes in Hemp (Cannabis sativa L.) Oils. Appl. Sci. 2024, 14, 390. [Google Scholar] [CrossRef]
- Bürck, M.; Fratelli, C.; Assis, M.; Braga, A.R.C. Naturally Colored Ice Creams Enriched with C-Phycocyanin and Spirulina Residual Biomass: Development of a Fermented, Antioxidant, Tasty and Stable Food Product. Fermentation 2024, 10, 304. [Google Scholar] [CrossRef]





| Ingredients (%)/Samples | C | H1 | H2 | H3 |
|---|---|---|---|---|
| UHT milk | 55.85 | 55.85 | 55.85 | 55.85 |
| UHT cream | 23.30 | 23.30 | 23.30 | 23.30 |
| Skim milk powder | 5.35 | 4.01 | 3.35 | 2.67 |
| Sucrose | 15.00 | 15.00 | 15.00 | 15.00 |
| Soy lecithin | 0.30 | 0.30 | 0.30 | 0.30 |
| Guar gum | 0.20 | 0.20 | 0.20 | 0.20 |
| Hemp press cake flour | 0 | 1.34 | 2.00 | 2.68 |
| Replacement level (%) | - | 25.0 | 37.5 | 50.0 |
| Parameter/Samples | C | H1 | H2 | H3 |
|---|---|---|---|---|
| Total solids (%) | 37.38 ± 0.46 a | 37.33 ± 0.48 a | 37.31 ± 0.48 a | 37.29 ± 0.49 a |
| Carbohydrates (%) | 20.84 ± 0.30 a | 20.74 ± 0.29 a | 20.70 ± 0.29 a | 20.65 ± 0.28 a |
| Fat (%) | 10.13 ± 0.11 a | 10.22 ± 0.11 a | 10.27 ± 0.11 a | 10.32 ± 0.11 a |
| Protein (%) | 4.38 ± 0.17 a | 4.35 ± 0.16 a | 4.33 ± 0.15 a | 4.32 ± 0.15 a |
| pH | 6.66 ± 0.00 d | 6.74 ± 0.00 c | 6.81 ± 0.00 b | 6.90 ± 0.00 a |
| Titratable acidity (%) | 0.146 ± 0.000 a | 0.142 ± 0.000 ab | 0.140 ± 0.000 b | 0.133 ± 0.000 c |
| aw | 0.946 ± 0.000 c | 0.948 ± 0.001 b | 0.949 ± 0.000 ab | 0.950 ± 0.001 a |
| Parameter/Samples | C | H1 | H2 | H3 |
|---|---|---|---|---|
| K (Pa sn) | 1.319 ± 0.028 b | 1.570 ± 0.099 ab | 1.649 ± 0.241 ab | 1.908 ± 0.074 a |
| n | 0.681 ± 0.005 a | 0.661 ± 0.011 a | 0.656 ± 0.016 ab | 0.622 ± 0.010 b |
| R2 | 0.9989 | 0.9990 | 0.9993 | 0.9999 |
| η50 (Pa s) | 0.379 ± 0.001 a | 0.415 ± 0.008 a | 0.434 ± 0.001 a | 0.424 ± 0.035 a |
| At (Pa/s) | 1682.00 ± 4.90 b | 1656.50 ± 68.18 b | 1630.00 ± 60.42 b | 2120.50 ± 105.74 a |
| Parameter/Samples | C | H1 | H2 | H3 |
|---|---|---|---|---|
| Overrun (%) | 26.83 ± 1.94 b | 30.37 ± 0.99 ab | 34.04 ± 0.78 ab | 35.00 ± 3.93 a |
| Fat destabilization index (%) | 43.70 ± 1.80 a | 40.12 ± 0.46 ab | 36.94 ± 2.50 b | 26.84 ± 2.67 c |
| Hardness (g) | 6833.12 ± 807.75 c | 10,749.42 ± 802.55 b | 13,213.63 ± 199.89 a | 14,660.06 ± 1472.34 a |
| Adhesiveness (g∙s) | −532.22 ± 74.11 a | −594.97 ± 54.85 a | −687.53 ± 83.60 a | −581.40 ± 86.85 a |
| Gumminess | 514.36 ± 121.97 d | 753.00 ± 72.61 c | 903.95 ± 71.39 b | 1021.31 ± 58.64 a |
| Cohesiveness | 0.076 ± 0.006 a | 0.070 ± 0.004 ab | 0.068 ± 0.001 b | 0.070 ± 0.003 ab |
| Parameter/Samples | C | H1 | H2 | H3 |
|---|---|---|---|---|
![]() | ![]() | ![]() | ![]() | |
| L* | 91.04 ± 0.23 a | 80.91 ± 0.46 b | 77.00 ± 0.32 c | 73.11 ± 0.74 d |
| a* | −1.95 ± 0.12 c | 0.36 ± 0.04 b | 0.23 ± 0.16 b | 0.15 ± 0.03 a |
| b* | 12.87 ± 0.40 a | 11.12 ± 0.24 b | 10.62 ± 0.19 b | 10.73 ± 0.22 b |
| WI | 84.20 ± 0.42 a | 77.90 ± 0.48 b | 74.67 ± 0.35 c | 71.05 ± 0.68 d |
| YI | 20.19 ± 0.66 ab | 19.64 ± 0.50 b | 19.70 ± 0.42 b | 20.96 ± 0.47 a |
| BI | 13.27 ± 0.60 c | 14.11 ± 0.39 bc | 14.27 ± 0.18 b | 15.65 ± 0.40 a |
| C* | 13.01 ± 0.38 a | 11.13 ± 0.24 b | 10.62 ± 0.20 b | 10.73 ± 0.22 b |
| h* | 98.64 ± 0.74 a | 91.84 ± 0.21 b | 91.19 ± 0.85 b | 89.19 ± 0.14 c |
| ∆E | - | 10.41 ± 0.47 c | 14.34 ± 0.45 b | 18.19 ± 0.74 a |
Disclaimer/Publisher’s Note: The statements, opinions and data contained in all publications are solely those of the individual author(s) and contributor(s) and not of MDPI and/or the editor(s). MDPI and/or the editor(s) disclaim responsibility for any injury to people or property resulting from any ideas, methods, instructions or products referred to in the content. |
© 2024 by the authors. Licensee MDPI, Basel, Switzerland. This article is an open access article distributed under the terms and conditions of the Creative Commons Attribution (CC BY) license (https://creativecommons.org/licenses/by/4.0/).
Share and Cite
Lučan Čolić, M.; Jukić, M.; Nakov, G.; Lukinac, J.; Antunović, M. Sustainable Utilization of Hemp Press Cake Flour in Ice Cream Production: Physicochemical, Rheological, Textural, and Sensorial Properties. Sustainability 2024, 16, 8354. https://doi.org/10.3390/su16198354
Lučan Čolić M, Jukić M, Nakov G, Lukinac J, Antunović M. Sustainable Utilization of Hemp Press Cake Flour in Ice Cream Production: Physicochemical, Rheological, Textural, and Sensorial Properties. Sustainability. 2024; 16(19):8354. https://doi.org/10.3390/su16198354
Chicago/Turabian StyleLučan Čolić, Mirela, Marko Jukić, Gjore Nakov, Jasmina Lukinac, and Martina Antunović. 2024. "Sustainable Utilization of Hemp Press Cake Flour in Ice Cream Production: Physicochemical, Rheological, Textural, and Sensorial Properties" Sustainability 16, no. 19: 8354. https://doi.org/10.3390/su16198354
APA StyleLučan Čolić, M., Jukić, M., Nakov, G., Lukinac, J., & Antunović, M. (2024). Sustainable Utilization of Hemp Press Cake Flour in Ice Cream Production: Physicochemical, Rheological, Textural, and Sensorial Properties. Sustainability, 16(19), 8354. https://doi.org/10.3390/su16198354





