A Reference Modelling Approach for Cost Optimal Maintenance for Offshore Wind Farms
Abstract
1. Introduction
- A declarative reference model facilitates online prototyping of alternative scenarios for integrated preventive-predictive maintenance, alongside assessing risk pertaining to the availability of the required service quality for OWF scale and associated O&M costs.
- Formulating task-oriented problems regarding, among others, the selection of OWF service missions minimizing O&M costs, planning of vessels routing, the number of service teams, and the sizes of vessels fleet within the framework of constrained programming.
- Numerous computer experiments demonstrate the capability of the proposed approach to generate alternative scenarios while maintaining the cost and quality of OWF service.
2. Literature Review
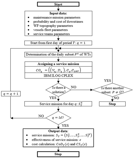
3. A Modelling Framework
- A reduction in downtime costs by the potential prevention of the forecasted WT downtime occurrences,
- and an increase in service costs as the complexity of the service mission increases, which requires further resources, i.e., expenses for vessel operations, service team salaries, fuel, and others.
3.1. Illustrative Example
3.2. Declarative Modelling
- each WT is only serviced by one service team, and the service team number is limited to ,
- service teams are transported to their designated WTs by a fleet of vessels (),
- any vessel may return to the WT to collect the service team after service has been performed,
- the vessel that delivered a team to a WT is not required to be the same vessel to collect the team after finished service,
- service time () of each WT is known, and the transport times () between WTs are also known.
- number of chosen points to service (WTs and port),
- number of points to create a relationship between delivery and pick up to/from WTparameters calculated is via the formula: ,
- number of vessels,
- number of ST,
- the set containing the points visited (on q-th day) by vessels, to which STs are delivered for the first time and from which STs are picked up for the first time.
- set of vessels, where ,
- :
- vessel travel time between points and ,
- service time of point ,
- :
- time of entry/exit from the vessel,
- :
- time horizon (length of -th working day).
- :
- binary variable used to indicate if the vessel travels to from ,
- :
- time at which vessel arrives at the point ,
- :
- start time of vessel ,
- :
- waiting time of vessel arrives at the point ,
- :
- binary variable used to indicate if the team is assigned to ,
- :
- binary variable used to indicate if the team is delivered to ,
- :
- binary variable used to indicate if the team is taken from ,
- :
- total service time.
- Constraints determining the admissible vessels’ route:
- Constraints determining dependencies between delivery and pick up the service team to/from point
- Conditions ensuring timely delivery and pick up of service teams
- Constraints determining the allocation of service teams to WTs
- Conditions ensuring that the same vessel delivers and picks up the service team from the point (on/off depending on the adopted strategy)
3.3. Problem Statement
4. Computer-Aided Maintenance Planning for OWFs
- How many days will it take to service a subset of WTs with turbines using an fleet of vessels carrying service teams, assuming the time windows for each WT’s service date are known?
- Is it possible to service a subset of WTs with turbines within a given period (e.g., 2 days) using a fleet of vessels carrying service teams, with the same vessel delivering and picking up the service teams (constraint (22))?
- How does a large fleet of vessels carrying service teams ensure that a subset of turbines is serviced before all expected downtimes occur ()? What is the cost of service associated with such a mission plan?
- determining the routes of vessels,
- , determining schedules of vessels.
5. Evaluation of Scalability and Applicability
5.1. Computer Experiments
- for the first day on which WTs: , are serviced,
- for the second day on WTs: are serviced—Figure 6b).
5.2. Decision Support
5.3. Scalability Assessment
6. Conclusions
Author Contributions
Funding
Institutional Review Board Statement
Informed Consent Statement
Data Availability Statement
Conflicts of Interest
References
- Tusar, M.I.H.; Sarker, B.R. Developing the Optimal Vessel Fleet Size and Mix Model to Minimize the Transportation Cost of Offshore Wind Farms. Ocean. Eng. 2023, 274, 114041. [Google Scholar] [CrossRef]
- Bocewicz, G.; Frederiksen, R.D.; Nielsen, P.; Banaszak, Z. Integrated Preventive-Proactive -Reactive Offshore Wind Farms Maintenance Planning. Ann. Oper. Res. 2024. [Google Scholar] [CrossRef]
- Halvorsen-Weare, E.E.; Nonås, L.M. Maritime Logistics Optimisation for Predictive Maintenance at Offshore Wind Farms. J. Phys. Conf. Ser. 2023, 2626, 021040. [Google Scholar] [CrossRef]
- Fischetti, M.; Pisinger, D. Mathematical Optimization and Algorithms for Offshore Wind Farm Design: An Overview. Bus. Inf. Syst. Eng. 2019, 61, 469–485. [Google Scholar] [CrossRef]
- Turnbull, A.; Carroll, J. Cost Benefit of Implementing Advanced Monitoring and Predictive Maintenance Strategies for Offshore Wind Farms. Energies 2021, 14, 4922. [Google Scholar] [CrossRef]
- Bousdekis, A.; Apostolou, D.; Mentzas, G. Predictive Maintenance in the 4th Industrial Revolution: Benefits, Business Opportunities, and Managerial Implications. IEEE Eng. Manag. Rev. 2020, 48, 57–62. [Google Scholar] [CrossRef]
- Frederiksen, R.D.; Bocewicz, G.; Radzki, G.; Banaszak, Z.; Nielsen, P. Cost-Effectiveness of Predictive Maintenance for Offshore Wind Farms: A Case Study. Energies 2024, 17, 3147. [Google Scholar] [CrossRef]
- Nickel, S.; Steinhardt, C.; Schlenker, H.; Burkart, W. Decision Optimization with IBM ILOG CPLEX Optimization Studio. In Angewandte Optimierung mit IBM ILOG CPLEX Optimization Studio; Springer: Berlin/Heidelberg, Germany, 2022. [Google Scholar] [CrossRef]
- Mladenović, S.; Stefanović, I.; Janković, S.; Uzelac, A.; Marković, G.; Zdravković, S. Cost Optimisation Tool for Multicommodity Network Flow Problem in Telecommunications. Promet-Traffic Transp. 2024, 36, 608–622. [Google Scholar] [CrossRef]
- Dymchenko, S.; Mykhailova, M. Declaratively Solving Tricky Google Code Jam Problems with Prolog-Based ECLiPSe CLP System. In Proceedings of the ACM Symposium on Applied Computing 2014, Gyeongju, Republic of Korea, 13–17 April 2015; pp. 2122–2124. [Google Scholar] [CrossRef]
- Bertagnon, A.; Gavanelli, M. Improved Filtering for the Euclidean Traveling Salesperson Problem in CLP(FD). In Proceedings of the AAAI Conference on Artificial Intelligence, New York, NY, USA, 7–12 February 2020; Volume 34, pp. 1412–1419. [Google Scholar] [CrossRef]
- Du, Y.; Glover, F.; Kochenberger, G.; Hennig, R.; Wang, H.; Hulandageri, A. Solving the Minimum Sum Coloring Problem: Alternative Models, Exact Solvers, and Metaheuristics. Inf. J. Comput. 2024. ahead of print. [Google Scholar] [CrossRef]
- Sitek, P.; Wikarek, J.; Juzoń, Z. Applying an Enterprise Architecture Approach to Modeling Production Procesess. In Distributed Computing and Artificial Intelligence, Special Sessions I, 20th International Conference; Lecture Notes in Networks and Systems; Springer: Cham, Switzerland, 2023; Volume 741, pp. 24–35. [Google Scholar] [CrossRef]
- Banaszak, Z.; Radzki, G.; Nielsen, I.; Frederiksen, R.; Bocewicz, G. Proactive Mission Planning of Unmanned Aerial Vehicle Fleets Used in Offshore Wind Farm Maintenance. Appl. Sci. 2023, 13, 8449. [Google Scholar] [CrossRef]
- Fanan, M.; Baron, C.; Carli, R.; Divernois, M.A.; Marongiu, J.C.; Susto, G.A. Anomaly Detection for Hydroelectric Power Plants: A Machine Learning-Based Approach. In Proceedings of the IEEE International Conference on Industrial Informatics (INDIN), Lemgo, Germany, 18–20 July 2023. [Google Scholar]
- Velasquez, V.; Flores, W. Machine Learning Approach for Predictive Maintenance in Hydroelectric Power Plants. In Proceedings of the 2022 IEEE Biennial Congress of Argentina, ARGENCON, San Juan, Argentina, 7–9 September 2022. [Google Scholar]
- Betti, A.; Crisostomi, E.; Paolinelli, G.; Piazzi, A.; Ruffini, F.; Tucci, M. Condition Monitoring and Predictive Maintenance Methodologies for Hydropower Plants Equipment. Renew. Energy 2021, 171, 246–253. [Google Scholar] [CrossRef]
- Zulfauzi, I.A.; Dahlan, N.Y.; Sintuya, H.; Setthapun, W. Anomaly Detection Using K-Means and Long-Short Term Memory for Predictive Maintenance of Large-Scale Solar (LSS) Photovoltaic Plant. Energy Rep. 2023, 9, 154–158. [Google Scholar] [CrossRef]
- De Benedetti, M.; Leonardi, F.; Messina, F.; Santoro, C.; Vasilakos, A. Anomaly Detection and Predictive Maintenance for Photovoltaic Systems. Neurocomputing 2018, 310, 59–68. [Google Scholar] [CrossRef]
- Macek, K.; Endel, P.; Cauchi, N.; Abate, A. Long-Term Predictive Maintenance: A Study of Optimal Cleaning of Biomass Boilers. Energy Build 2017, 150, 111–117. [Google Scholar] [CrossRef]
- Buster, G.; Siratovich, P.; Taverna, N.; Rossol, M.; Weers, J.; Blair, A.; Huggins, J.; Siega, C.; Mannington, W.; Urgel, A.; et al. A New Modeling Framework for Geothermal Operational Optimization with Machine Learning (Gooml). Energies 2021, 14, 6852. [Google Scholar] [CrossRef]
- Ling, W.; Liu, Y.; Young, R.; Cladouhos, T.T.; Jafarpour, B. Efficient Data-Driven Models for Prediction and Optimization of Geothermal Power Plant Operations. Geothermics 2024, 119, 102924. [Google Scholar] [CrossRef]
- Nölken, L. Impact of Robotics on the Operation and Maintenance of Offshore Wind Turbines—A Review. Educ. J. Renew. Energy Short Rev. 2024, 8, 46–52. [Google Scholar] [CrossRef]
- McMorland, J.; Collu, M.; McMillan, D.; Carroll, J. Operation and Maintenance for Floating Wind Turbines: A Review. Renew. Sustain. Energy Rev. 2022, 163, 112499. [Google Scholar] [CrossRef]
- Tremps, L.; Yeter, B.; Kolios, A. Review and Analysis of the Failure Risk Mitigation via Monitoring for Monopile Offshore Wind Structures. Energy Rep. 2024, 11, 5407–5420. [Google Scholar] [CrossRef]
- Gao, Q.; Hayward, J.A.; Sergiienko, N.; Khan, S.S.; Hemer, M.; Ertugrul, N.; Ding, B. Detailed Mapping of Technical Capacities and Economics Potential of Offshore Wind Energy: A Case Study in South-Eastern Australia. Renew. Sustain. Energy Rev. 2024, 189, 113872. [Google Scholar] [CrossRef]
- Costa, Á.M.; Orosa, J.A.; Vergara, D.; Fernández-Arias, P. New Tendencies in Wind Energy Operation and Maintenance. Appl. Sci. 2021, 11, 1386. [Google Scholar] [CrossRef]
- Fox, H.; Pillai, A.C.; Friedrich, D.; Collu, M.; Dawood, T.; Johanning, L. A Review of Predictive and Prescriptive Offshore Wind Farm Operation and Maintenance. Energies 2022, 15, 504. [Google Scholar] [CrossRef]
- Toftaker, H.; Bødal, E.F.; Sperstad, I.B. Joint Optimization of Preventive and Condition-Based Maintenance for Offshore Wind Farms. J. Phys. Conf. Ser. 2022, 2362, 012041. [Google Scholar] [CrossRef]
- Dao, C.D.; Kazemtabrizi, B.; Crabtree, C.J.; Tavner, P.J. Integrated Condition-Based Maintenance Modelling and Optimisation for Offshore Wind Turbines. Wind Energy 2021, 24, 1180–1198. [Google Scholar] [CrossRef]
- Fan, Q.; Wang, X.; Yuan, J.; Liu, X.; Hu, H.; Lin, P. A Review of the Development of Key Technologies for Offshore Wind Power in China. J. Mar. Sci. Eng. 2022, 10, 929. [Google Scholar] [CrossRef]
- Song, X.; Xing, Z.; Jia, Y.; Song, X.; Cai, C.; Zhang, Y.; Wang, Z.; Guo, J.; Li, Q. Review on the Damage and Fault Diagnosis of Wind Turbine Blades in the Germination Stage. Energies 2022, 15, 7492. [Google Scholar] [CrossRef]
- Shihavuddin, A.S.M.; Chen, X.; Fedorov, V.; Christensen, A.N.; Riis, N.A.B.; Branner, K.; Dahl, A.B.; Paulsen, R.R. Wind Turbine Surface Damage Detection by Deep Learning Aided Drone Inspection Analysis. Energies 2019, 12, 676. [Google Scholar] [CrossRef]
- Fontenla-Carrera, G.; Aldao, E.; Veiga-López, F.; González-Jorge, H. Route Optimization of Vessel-UAV Tandem Systems for Offshore Wind Farm Inspections. In Proceedings of the 2024 International Conference on Unmanned Aircraft Systems (ICUAS), Chania, Crete, Greece, 4–7 July 2024; pp. 99–106. [Google Scholar] [CrossRef]
- Ma, Y.; Liu, Y.; Bai, X.; Guo, Y.; Yang, Z.; Wang, L.; Tao, T.; Zhang, L. DivideMerge: A Multi-Vessel Optimization Approach for Cooperative Operation and Maintenance Scheduling in Offshore Wind Farm. Renew. Energy 2024, 229, 120758. [Google Scholar] [CrossRef]
- Shafiee, M. Maintenance Logistics Organization for Offshore Wind Energy: Current Progress and Future Perspectives. Renew. Energy 2015, 77, 182–193. [Google Scholar] [CrossRef]
- Jin, T.; Tian, Z.; Huerta, M.; Piechota, J. Coordinating Maintenance with Spares Logistics to Minimize Levelized Cost of Wind Energy. In Proceedings of the 2012 International Conference on Quality, Reliability, Risk, Maintenance, and Safety Engineering, ICQR2MSE, Chengdu, China, 15–18 June 2012; pp. 1022–1027. [Google Scholar] [CrossRef]
- Sperstad, I.B.; McAuliffe, F.D.; Kolstad, M.; Sjømark, S. Investigating Key Decision Problems to Optimize the Operation and Maintenance Strategy of Offshore Wind Farms. Energy Procedia 2016, 94, 261–268. [Google Scholar] [CrossRef]
- Papadopoulos, P.; Coit, D.W.; Aziz Ezzat, A. STOCHOS: Stochastic Opportunistic Maintenance Scheduling for Offshore Wind Farms. IISE Trans. 2024, 56, 1–15. [Google Scholar] [CrossRef]
- Ge, X.; Chen, Q.; Fu, Y.; Chung, C.Y.; Mi, Y. Optimization of Maintenance Scheduling for Offshore Wind Turbines Considering the Wake Effect of Arbitrary Wind Direction. Electr. Power Syst. Res. 2020, 184, 106298. [Google Scholar] [CrossRef]
- Sperstad, I.B.; Stålhane, M.; Dinwoodie, I.; Endrerud, O.E.V.; Martin, R.; Warner, E. Testing the Robustness of Optimal Access Vessel Fleet Selection for Operation and Maintenance of Offshore Wind Farms. Ocean. Eng. 2017, 145, 334–343. [Google Scholar] [CrossRef]
- Golinska, P.; Fertsch, M.; Pawlewski, P. Production Flow Control in the Automotive Industry—Quick Scan Approach. Int. J. Prod. Res. 2011, 49, 4335–4351. [Google Scholar] [CrossRef]
- Pawlewski, P.; Golinska, P.; Fertsch, M.; Trujillo, J.A.; Pasek, Z.J. Multiagent Approach for Supply Chain Integration by Distributed Production Planning, Scheduling and Control System. Adv. Soft Comput. 2009, 50, 29–37. [Google Scholar] [CrossRef]
- Golinska, P.; Hajdul, M. Multi-Agent Coordination Mechanism of Virtual Supply Chain. In Agent and Multi-Agent Systems: Technologies and Applications; KES-AMSTA 2011; Lecture Notes in Computer Science; O’Shea, J., Nguyen, N.T., Crockett, K., Howlett, R.J., Jain, L.C., Eds.; Springer: Berlin/Heidelberg, Germany, 2011; Volume 6682, pp. 620–629. [Google Scholar] [CrossRef]
- Watson, S.C.L.; Somerfield, P.J.; Lemasson, A.J.; Knights, A.M.; Edwards-Jones, A.; Nunes, J.; Pascoe, C.; McNeill, C.L.; Schratzberger, M.; Thompson, M.S.A.; et al. The Global Impact of Offshore Wind Farms on Ecosystem Services. Ocean Coast. Manag. 2024, 249, 107023. [Google Scholar] [CrossRef]
- Galparsoro, I.; Menchaca, I.; Garmendia, J.M.; Borja, Á.; Maldonado, A.D.; Iglesias, G.; Bald, J. Reviewing the Ecological Impacts of Offshore Wind Farms. Npj Ocean Sustain. 2022, 1, 1. [Google Scholar] [CrossRef]
- Golinska, P.; Fertsch, M.; Gómez, J.M.; Oleskow, J. The Concept of Closed-Loop Supply Chain Integration through Agents-Based System. Environ. Sci. Eng. 2007, 189–202. [Google Scholar] [CrossRef]
- Santos, F.; Teixeira, Â.P.; Soares, C.G. Modelling and Simulation of the Operation and Maintenance of Offshore Wind Turbines. Proc. Inst. Mech. Eng. Part O J. Risk Reliab. 2015, 229, 385–393. [Google Scholar] [CrossRef]
- Masoumi, M. Machine Learning Solutions for Offshore Wind Farms: A Review of Applications and Impacts. J. Mar. Sci. Eng. 2023, 11, 1855. [Google Scholar] [CrossRef]
- Sitek, P.; Wikarek, J.; Rutczyńska-Wdowiak, K. Capacitated Vehicle Routing Problem with Pick-up, Alternative Delivery and Time Windows (CVRPPADTW): A Hybrid Approach. Adv. Intell. Syst. Comput. 2020, 1004, 33–40. [Google Scholar] [CrossRef]
- Allal, A.; Sahnoun, M.; Adjoudj, R.; Benslimane, S.M.; Mazar, M. Multi-Agent Based Simulation-Optimization of Maintenance Routing in Offshore Wind Farms. Comput. Ind. Eng. 2021, 157, 107342. [Google Scholar] [CrossRef]
- Li, N.; Liu, Y.; Li, L.; Chang, S.; Han, S.; Zhao, H.; Meng, H. Numerical Simulation of Wind Turbine Wake Based on Extended K-Epsilon Turbulence Model Coupling with Actuator Disc Considering Nacelle and Tower. IET Renew. Power Gener. 2020, 14, 3834–3842. [Google Scholar] [CrossRef]
- Xia, J.; Zou, G. Operation and Maintenance Optimization of Offshore Wind Farms Based on Digital Twin: A Review. Ocean. Eng. 2023, 268, 113322. [Google Scholar] [CrossRef]
- Kusiak, A.; Li, W. The Prediction and Diagnosis of Wind Turbine Faults. Renew. Energy 2011, 36, 16–23. [Google Scholar] [CrossRef]
- Udo, W.; Muhammad, Y. Data-Driven Predictive Maintenance of Wind Turbine Based on SCADA Data. IEEE Access 2021, 9, 162370–162388. [Google Scholar] [CrossRef]
- Butte, S.; Prashanth, A.R.; Patil, S. Machine Learning Based Predictive Maintenance Strategy: A Super Learning Approach with Deep Neural Networks. In Proceedings of the 2018 IEEE Workshop on Microelectronics and Electron Devices, WMED 2018, Boise, ID, USA, 20 April 2018. [Google Scholar]
- Wang, X.; Zheng, Z.; Jiang, G.; He, Q.; Xie, P. Detecting Wind Turbine Blade Icing with a Multiscale Long Short-Term Memory Network. Energies 2022, 15, 2864. [Google Scholar] [CrossRef]
- Burmeister, N.; Frederiksen, R.D.; Hog, E.; Nielsen, P. Exploration of Production Data for Predictive Maintenance of Industrial Equipment: A Case Study. IEEE Access 2023, 11, 102025–102037. [Google Scholar] [CrossRef]
- Eisenberg, D.; Laustsen, S.; Stege, J. Wind Turbine Blade Coating Leading Edge Rain Erosion Model: Development and Validation. Wind Energy 2018, 21, 942–951. [Google Scholar] [CrossRef]
- Joshuva, A.; Sugumaran, V. Fault Diagnostic Methods for Wind Turbine: A Review. ARPN J. Eng. Appl. Sci. 2016, 11, 4654–4668. [Google Scholar]
- Lau, B.C.P.; Ma, E.W.M.; Pecht, M. Review of Offshore Wind Turbine Failures and Fault Prognostic Methods. In Proceedings of the IEEE 2012 Prognostics and System Health Management Conference, PHM-2012, Beijing, China, 23–25 May 2012. [Google Scholar]
- Münsterberg, T.; Jahn, C.; Hepp, T. Simulation-Based Evaluation of Operation and Maintenance Logistic Concepts for Offshore Wind Power Plants; Fraunhofer Verlag: Stuttgart, Germany, 2015; Volume 2. [Google Scholar]
- Hanifi, S.; Liu, X.; Lin, Z.; Lotfian, S. A Critical Review of Wind Power Forecasting Methods—Past, Present and Future. Energies 2020, 13, 3764. [Google Scholar] [CrossRef]
- Graves, A.; Harman, K.; Wilkinson, M.; Walker, R. Understanding Availability Trends of Operating Wind Farms. In Proceedings of the Awea Windpower 2008, Houston, TX, USA, 1–4 June 2008. [Google Scholar]
- Bocewicz, G.; Banaszak, Z.; Rudnik, K.; Smutnicki, C.; Witczak, M.; Wójcik, R. An Ordered-Fuzzy-Numbers-Driven Approach to the Milk-Run Routing and Scheduling Problem. J. Comput. Sci. 2021, 49, 101288. [Google Scholar] [CrossRef]
- Radzki, G.; Bocewicz, G.; Wikarek, J.; Nielsen, P.; Banaszak, Z. Comparison of Exact and Approximate Approaches to UAVs Mission Contingency Planning in Dynamic Environments. Math. Biosci. Eng. 2022, 19, 7091–7121. [Google Scholar] [CrossRef] [PubMed]








| Description | Parameter | Value | Description | Parameter | Value |
|---|---|---|---|---|---|
| Length of working day | 12 h | Fixed vessel cost per day | 3400 EUR | ||
| Time to service WT | 120 min | Cost of a service team | 1440 [EUR/day] | ||
| Cost of vessel (fuel cost) | 400 [EUR/h] | Mobilization time | 15 min |
| Scenarios | [%] | Total Cost | |||||
|---|---|---|---|---|---|---|---|
| s00 | 0 | 0 | 0 | 100 | 0.00 | 53,921.97 | 53,921.97 |
| s01 | 1 | 1 | 4 | 27.77 | 22,133.33 | 14,972.75 | 37,106.09 |
| s02 | 1 | 2 | 3 | 8.15 | 18,956.00 | 4393.00 | 23,349.00 |
| s03 | 1 | 3 | 2 | 3.44 | 17,296.00 | 1854.92 | 19,150.92 |
| s04 | 2 | 4 | 2 | 2.93 | 20,439.00 | 1577.94 | 22,016.94 |
| s05 | 2 | 5 | 2 | 2.46 | 22,586.67 | 1325.49 | 23,912.16 |
| s06 | 2 | 6 | 2 | 1.99 | 24,026.67 | 1073.04 | 25,099.71 |
| s07 | 4 | 8 | 1 | 0.00 | 28,166.67 | 0 | 28,166.67 |
| Comp Time [s] | Comp Time [s] | ||||||
|---|---|---|---|---|---|---|---|
| 5 | 1 | 1 | 0.483 | 11 | 1 | 1 | ≥600 |
| 5 | 2 | 1 | 0.313 | 11 | 2 | 1 | ≥600 |
| 5 | 2 | 2 | 0.399 | 11 | 2 | 2 | ≥600 |
| 5 | 3 | 1 | 0.213 | 11 | 3 | 1 | 256.122 |
| 5 | 3 | 2 | 0.501 | 11 | 3 | 2 | 93.374 |
| 5 | 3 | 3 | 0.282 | 11 | 3 | 3 | 429.378 |
| 5 | 4 | 1 | 0.155 | 11 | 4 | 1 | 25.459 |
| 5 | 4 | 2 | 0.413 | 11 | 4 | 2 | 306.344 |
| 5 | 4 | 3 | 0.275 | 11 | 4 | 3 | 55.221 |
| 5 | 4 | 4 | 0.359 | 11 | 4 | 4 | 26.921 |
| 7 | 1 | 1 | 1.789 | 13 | 1 | 1 | ≥600 |
| 7 | 2 | 1 | 1.583 | 13 | 2 | 1 | ≥600 |
| 7 | 2 | 2 | 0.615 | 13 | 2 | 2 | ≥600 |
| 7 | 3 | 1 | 0.571 | 13 | 3 | 1 | ≥600 |
| 7 | 3 | 2 | 0.946 | 13 | 3 | 2 | ≥600 |
| 7 | 3 | 3 | 0.779 | 13 | 3 | 3 | ≥600 |
| 7 | 4 | 1 | 0.240 | 13 | 4 | 1 | ≥600 |
| 7 | 4 | 2 | 0.858 | 13 | 4 | 2 | ≥600 |
| 7 | 4 | 3 | 0.665 | 13 | 4 | 3 | ≥600 |
| 7 | 4 | 4 | 0.663 | 13 | 4 | 4 | ≥600 |
| 9 | 1 | 1 | 63.147 | 15 | 1 | 1 | ≥600 |
| 9 | 2 | 1 | 186.856 | 15 | 2 | 1 | ≥600 |
| 9 | 2 | 2 | 8.010 | 15 | 2 | 2 | ≥600 |
| 9 | 3 | 1 | 7.069 | 15 | 3 | 1 | ≥600 |
| 9 | 3 | 2 | 5.353 | 15 | 3 | 2 | ≥600 |
| 9 | 3 | 3 | 2.694 | 15 | 3 | 3 | ≥600 |
| 9 | 4 | 1 | 0.677 | 15 | 4 | 1 | ≥600 |
| 9 | 4 | 2 | 2.473 | 15 | 4 | 2 | ≥600 |
| 9 | 4 | 3 | 23.773 | 15 | 4 | 3 | ≥600 |
| 9 | 4 | 4 | 5.169 | 15 | 4 | 4 | ≥600 |
Disclaimer/Publisher’s Note: The statements, opinions and data contained in all publications are solely those of the individual author(s) and contributor(s) and not of MDPI and/or the editor(s). MDPI and/or the editor(s) disclaim responsibility for any injury to people or property resulting from any ideas, methods, instructions or products referred to in the content. |
© 2024 by the authors. Licensee MDPI, Basel, Switzerland. This article is an open access article distributed under the terms and conditions of the Creative Commons Attribution (CC BY) license (https://creativecommons.org/licenses/by/4.0/).
Share and Cite
Frederiksen, R.D.; Bocewicz, G.; Nielsen, P.; Radzki, G.; Banaszak, Z. A Reference Modelling Approach for Cost Optimal Maintenance for Offshore Wind Farms. Sustainability 2024, 16, 8352. https://doi.org/10.3390/su16198352
Frederiksen RD, Bocewicz G, Nielsen P, Radzki G, Banaszak Z. A Reference Modelling Approach for Cost Optimal Maintenance for Offshore Wind Farms. Sustainability. 2024; 16(19):8352. https://doi.org/10.3390/su16198352
Chicago/Turabian StyleFrederiksen, Rasmus Dovnborg, Grzegorz Bocewicz, Peter Nielsen, Grzegorz Radzki, and Zbigniew Banaszak. 2024. "A Reference Modelling Approach for Cost Optimal Maintenance for Offshore Wind Farms" Sustainability 16, no. 19: 8352. https://doi.org/10.3390/su16198352
APA StyleFrederiksen, R. D., Bocewicz, G., Nielsen, P., Radzki, G., & Banaszak, Z. (2024). A Reference Modelling Approach for Cost Optimal Maintenance for Offshore Wind Farms. Sustainability, 16(19), 8352. https://doi.org/10.3390/su16198352

