Abstract
It is of great practical significance to utilize the agricultural carbon emission reduction effect of the policy of re-designation of counties as cities or city districts (RCCD) to achieve agricultural high-quality development. This paper uses panel data of 39 cities in the Yangtze River Delta region in China from 2010 to 2022, and adopts a staggered difference-in-difference model and a panel threshold model to identify the causal impact of the policy of RCCD on agricultural carbon emissions (ACE). We show that: (1) Overall, the policy of RCCD exerts a tangible dampening effect on ACE, with cities in the experimental group exhibiting a significant reduction of 0.069 in agricultural carbon emissions compared to the control group post-implementation of the policy. (2) A dual-threshold effect of environmental regulation emerges in the context of the policy of RCCD, wherein the impact on ACE varies depending on the level of environmental regulation. (3) The policy of RCCD exerts a notable inhibitory influence on urban ACE in cities with high urbanization levels, underdeveloped regions and central regions. (4) Agricultural green technology progress plays the mediating role in the relationship between the policy of RCCD and ACE. (5) The suppressive effect of the policy of RCCD on ACE is characterized by a delayed and enduring influence. Our study has both theoretical and practical implications for accelerating agricultural high-quality development.
1. Introduction
After the reform and opening up, as the comprehensive and deepening reform progresses continuously and the market economy improves, according to the latest Chinese government report, China’s urbanization rate has risen from 26.23% in 2000 to 66.61% in 2023, with an average annual growth rate of 1.68%. Among numerous administrative division policies aimed at enhancing the urbanization rate, the policy of RCCD has gradually become a crucial administrative measure for local governments to expand urban scale and optimize spatial layout. Existing studies have discovered that the policy of RCCD can influence the resources and corresponding behavioral incentives obtained by participants in regional economic activities, and subsequently affect the ultimate performance of economic activities [1]. Nevertheless, since the removal of counties and the establishment of districts have distinct policy practice characteristics serving the urbanization strategy, most scholars mainly focus on the evaluation of its implementation effect in non-agricultural fields such as regional economic growth [2,3] and urbanization level [4]. Some scholars have concentrated their research perspectives on the behavioral analysis and interest game of the policy of RCCD [5], and on the policy of RCCD and the development of urbanization [6]. In general, the existing research mainly centers on the analysis of political integration, economic integration, ecological improvement, and other aspects brought about by the policy of withdrawing counties and dividing districts into districts, while scarce literature focuses on the relationship between the policy of withdrawing counties and dividing districts into districts and agriculture [7]. Some recent studies have explored the impact of the policy of RCCD on agriculture and found that when the industrial base meets the standard for establishing cities, “re-designation of counties as cities or city districts (districts)” can promote industrial development, drive the transfer of agricultural labor to non-agricultural industries [8], maintain the stability of agricultural output, and thereby achieve the transformation of agricultural modernization [9]. Essentially, The policy of RCCD not only implies that the municipal (district) government supports agricultural development but also indicates that the coordinated development of urban and rural areas is characterized by “industry feeding agriculture and city driving countryside”. However, it remains unclear whether the policy of RCCD can exert the carbon emission reduction effect in the agricultural field [10]. At the same time, according to the relevant data of the Food and Agriculture Organization of the United Nations, approximately 14% to 24% of the total global greenhouse gas emissions originate from the agricultural sector [11]. In China, the issue of carbon dioxide emissions is becoming increasingly prominent, and the main carbon emitters are the economic belts throughout the country, one of which is the Yangtze River Economic Belt [12]. Simultaneously, according to the 2023 Low-carbon Development Report of China’s Agriculture and Rural Areas released by the Chinese Academy of Agricultural Sciences, agricultural carbon emissions account for approximately 6.7% of the country’s total carbon emissions, demonstrating that agriculture is an important source of carbon emissions. Among them, the Yangtze River Delta region is a significant agricultural production area in China, and its agricultural added value constitutes about 15% of the country’s total, playing a vital role in the national agricultural development [13]. However, with the extensive use of agricultural materials, the green development of agriculture in the Yangtze River Delta region is facing great pressure [14]. In other words, achieving carbon emission reduction in the agricultural sector is an important requirement for China to achieve the “dual-carbon” strategic goal of carbon peak and carbon neutrality, and is also a key step to realize the green and low-carbon transformation of agriculture.
Under China’s “carbon peak and carbon neutrality” strategic ambit, the strategic initiatives of county consolidation and agricultural carbon emission reduction stand as pivotal policy instruments and objectives for fostering high-caliber development, with the potential for inherent interconnections [15]. Against this backdrop, what impact does the principal administrative restructuring policy in China exert on ACE amid the trajectory of urban-rural amalgamation? What mechanistic interplay governs this relationship? Furthermore, how do regional disparities elucidate the nexus between the two facets? To elucidate these inquiries, this study employs a staggered difference-in-difference model to discern the causal linkage between the policy of RCCD and ACE, unraveling the underlying mechanisms of this correlation through an analysis of panel data encompassing 39 cities within the Yangtze River Delta region.
In light of these considerations, this study initially quantifies ACE across 39 prefectural-level cities in the Yangtze River Delta region in China spanning the period from 2010 to 2022 utilizing the carbon source coefficient methodology. Subsequently, it conducts empirical assessments to scrutinize the influence of the policy of RCCD on ACE and delineate its operational mechanisms leveraging the staggered difference-in-difference model and the panel threshold model. Furthermore, this study delves into exploring the heterogeneity of the relationship between these variables at the regional level. Through meticulous examination, the findings hold significant implications for pinpointing viable pathways for refining the implementation of county consolidation policy and advancing the realization of the regional agricultural “carbon peak and carbon neutrality” objectives. Lastly, a detailed analysis is conducted to discern the disparate effects of these policies across diverse regions, thus enhancing the scholarly discourse on the contextual parameters shaping the environmental ramifications of the policy of RCCD.
2. Literature Review and Research Hypotheses
2.1. Literature Review
2.1.1. The Policy of Re-Designation of Counties as Cities or City Districts
The prevailing academic discourse on the impacts of the policy of RCCD predominantly centers on urban economic advancement, industrial structure enhancement, and public service elevation. Notably, within the realm of economic development, scholarly investigations have revealed a transitory boost in urban economic growth attributable to the policy of RCCD, spanning approximately 5 years [16]. This surge is primarily discernible in indicators such as per capita fixed asset investment growth and per capita consumption uptick. Scholars have posited that the underlying driver of this growth spurt lies in escalated infrastructure investments [17], thereby catalyzing industrial and real estate sector transitions that, in turn, propel economic expansion [18]. Regarding industrial structure upgrading, scholarly inquiries have indicated that the policy of RCCD exerts a discernible influence on the industrial landscape of removed regions through governmental interventions, societal demands, and resource allocations [19]. In terms of augmenting public services, governmental initiatives play a pivotal role in advancing the manufacturing industry of counties through the enhancement of public services and innovation capabilities [20]. Moreover, the transition to removed counties and district establishment contributes to the amelioration of urban basic education services, optimizing urban land utilization efficiency [21], and fortifying the provision of essential economic public services such as transportation infrastructure [20,22].
From a global perspective, given the diverse systems of various countries, there are scarce relevant studies on the policy of eliminating counties and establishing districts. In the 1990s, Toronto, Canada implemented the administrative division merger to address issues such as traffic congestion, environmental pollution and waste, which yielded highly conspicuous positive effects [23]. Two years after the reunification of East and West Germany in 1990, the economic drag of East Germany on West Germany started to surface [24,25]. On the contrary, France has carried out a series of “town association” plans since 1891, which have successfully enhanced administrative efficiency, and “town communities” have also achieved resource sharing and mutual benefits among themselves, thereby promoting France’s modernization [26]. Regarding the environmental impact of administrative division changes, some scholars quantified the carbon emissions of 91 cities after the urban-rural integration policy and discovered that urbanization might reduce the per capita carbon emissions of some developed countries to a certain extent [27]. From the aspect of urban agglomeration and urban compactness in Poland, some scholars also found that the more complex the urban spatial structure is and the higher the fragmentation degree is, the more carbon emissions will increase, as they lack continuity and connectivity [28]. Additionally, in the context of urban annexation and expansion, land will be integrated or allocated correspondingly [29], which can reduce the fuel consumption of farm transportation and ultimately lower carbon emissions by altering the layout of agricultural roads, the quantity of farmland and its spatial distribution [30].
Through literature research, it was found that there are fewer studies on the impact of the policy of RCCD on ACE. Nonetheless, serving as a pivotal administrative instrument within the urbanization framework, the discernible impact of the said policy lies in expediting the urban–rural integration process. This acceleration, in turn, reshapes the dynamics of mobility factors like labor and capital between urban and rural domains, alongside influencing the developmental trajectory of production factors such as agricultural technology [31]. Notably, these factors are intricately intertwined with ACE, thus underscoring the significance of exploring this nexus in future research endeavors.
2.1.2. Agricultural Carbon Emissions
In the realm of the studies of ACE, prevailing literature predominantly delves into the accounting framework of ACE and the myriad factors that exert influence on them. On one hand, within the domain of analyzing the accounting structure of ACE, scholars commonly segregate carbon emissions stemming from energy consumption in agricultural production from those arising from crop growth [32,33]. Additionally, some researchers opt to identify carbon sources such as planting, straw burning, livestock husbandry, and soil, aiming to prognosticate the year when Xinjiang’s agricultural carbon production is anticipated to peak [34]. Alternatively, from a national perspective, other scholars pinpoint carbon sources like fertilizers, pesticides, and agricultural diesel, utilizing China’s provincial panel data spanning from 2001 to 2018 to gauge the overall carbon emissions emanating from China’s agricultural sector. Furthermore, they employ the Gini coefficient as a metric to gauge the intensity of national agricultural emissions [35]. In the realm of ACE accounting, Chinese scholars predominantly rely on the carbon source emission coefficient method to quantify ACE. Notably, the primary variables utilized encompass carbon emissions from fertilizers, pesticides, agricultural films, irrigation, energy consumption, soil erosion, among others. Moreover, scholars predominantly concentrate on provincial-level assessments when calculating ACE, with limited attention directed towards measurements at the urban level.
In the research of ACE accounting, Chinese scholars predominantly rely on the carbon source emission coefficient method to quantify ACE. Notably, the primary variables utilized encompass carbon emissions from fertilizers, pesticides, agricultural films, irrigation, energy consumption, soil erosion, among others. Moreover, scholars predominantly concentrate on provincial-level assessments when calculating ACE, with limited attention directed towards measurements at the urban level.
On the other hand, in the analysis of factors influencing ACE, researchers have examined the factors affecting ACE in the Yangtze River Delta region from 2009 to 2018. They discovered that for every 1% increase in the rate of agricultural scientific and technological progress and the agricultural green total factor productivity, agricultural carbon emissions decreased by 0.03% and 0.24%, respectively [36]. Some researchers have developed an indicator system to assess the level of agricultural modernization and have determined that this level exerts a substantial influence on ACE. Specifically, their findings indicate that a higher degree of agricultural modernization correlates with a notable reduction in the intensity of ACE. Furthermore, they posit that the advancement of agricultural modernization can effectively mitigate the intensity of agricultural carbon emissions by fostering innovation in agricultural technologies [37]. Nevertheless, despite being a crucial aspect of China’s urbanization trajectory, the impact of transitioning counties into districts on ACE remains largely unexplored in the existing literature [38].
2.1.3. A Critical Discussion of Findings Concerning the Research Questions and in Light of Previous Research
Through the review of domestic and foreign literatures on ACE, it is found that domestic and foreign scholars have formed a complete research system on ACE from the measurement of quantity to the analysis of influencing factors. However, there are still limitations in the research. Specifically, first, the concept of ACE is not clearly defined. Some scholars regard carbon dioxide and other greenhouse gases generated in the whole process of agricultural production as the calculation part of ACE for accounting, while others only calculate carbon dioxide generated in the whole process of agricultural production. The estimated value of agricultural carbon emissions will be lower than the actual value. Second, the measurement standards of ACE have not been unified. Third, the research perspective is relatively simple, and there are relatively few studies on ACE in prefecture-level cities or the Yangtze River Delta region, resulting in the lack of corresponding theoretical support for green and low-carbon agricultural development in the YRD region. However, there are few studies on the effect of the policy on ACE. Based on the above research status, this paper will calculate ACE based on the carbon emissions of planting industry, and select prefecture-level cities as the research scope, so as to make up for the lack of corresponding theoretical support for the green and low-carbon development of agriculture in the YRD.
2.2. Research Hypotheses
The policy of RCCD has a multifaceted impact on ACE, manifesting in three primary dimensions. Firstly, this policy expedites the convergence of urban and rural infrastructures and the amalgamation of essential public services [39], fostering a bi-directional flow of resources between urban and rural areas. This dynamic exchange facilitates a more rational allocation and efficient utilization of resources, thereby catalyzing the transformation of the rural economy and mitigating ACE [40]. Secondly, post-implementation of the policy of RCCD, governmental efforts prioritize the advancement of “ecological civilization construction” enacting environmental protection measures, enhancing rural environmental oversight, and advocating for sustainable agricultural practices. Consequently, a spatial framework characterized by resource conservation and low carbon emissions emerges in rural areas [41]. Lastly, the accelerated integration of urban and rural areas, propelled by the policy of RCCD, plays a pivotal role in fostering the transformation of rural energy structures. Numerous regions have integrated rural energy development into the broader framework of ecological civilization construction, energy revolution initiatives, and rural revitalization planning. In alignment with the economic realities of each region, these areas have devised tailored strategies for reducing rural carbon emissions, gradually shifting from conventional energy practices towards the adoption of clean energy sources like solar and wind power [42].
Consequently, we posit the first hypothesis:
H1:
The policy of RCCD is conducive to mitigating ACE.
Environmental regulation is a series of policies led by the government to achieve environmental protection, and the intensity of environmental regulation is the expression of the level of regional environmental protection [43]. Some scholars believe that environmental regulation can reduce carbon emissions because it can strengthen various measures of environmental protection at the government level [44], while other scholars believe that with the increase in environmental regulation intensity, policies to limit climate change are constantly implemented, and fossil energy exploitation is accelerated, leading to further deterioration of the environment. Therefore, the carbon emissions are increased, namely the “green paradox” effect [45].
It can be seen that environmental regulation is regarded as a key threshold for affecting agricultural carbon emissions. On the one hand, the stronger the environmental regulation is, the higher the requirements for energy conservation and emission reduction will be during the implementation of the policy, which may promote agricultural carbon emission reduction. On the other hand, regardless of the intensity of environmental regulation, it may make it more difficult for municipal governments at all levels to save energy and reduce emissions in the process of implementing the policy of RCCD.
Therefore, we introduce the second hypothesis:
H2:
There is the threshold effect of environmental regulation on the correlation between the policy of RCCD and the reduction in ACE.
Although the Yangtze River Delta (YRD) region is a more economically developed region in China, there are great differences in the level of economic development and the level of urbanization development due to the large number of pooled provinces and cities. Therefore, the implementation of the policy of RCCD in each prefecture-level city in the YRD region may have different impacts on the ACE of each city in the region. Specifically, this is first reflected in the differential impacts on the level of urbanization. For cities with a higher level of urbanization in the YRD region, the regional coordination mechanism is more complete, and these cities can break through their respective administrative interest constraints after the administrative barriers between cities and counties are broken down [46]. This means that the government is able to make decisions to maximize benefits based on synergistic development, avoiding duplicative construction in urban and rural areas and avoiding environmental pollution in rural areas, thus reducing ACE. For cities with a lower level of urbanization, the policy of RCCD may make the regional development model face greater challenges, and the high degree of centralization of administrative power after the withdrawal of annexation creates friction with the customary path of the operation of the county administrative system [47], and it is difficult to set up an effective mechanism for coordinated development of urban and rural areas in a short period of time, which may have a negative impact on the reduction in ACE.
Secondly, the differentiated impact of regional development is evident. In the more developed cities within the Yangtze River Delta region, there is a notable disparity in regional output value and per capita income, with a predominant focus on industries such as manufacturing, services, and tourism, while agriculture plays a relatively minor role. These developed regions have demonstrated a commitment to ecological construction, as exemplified by the achievements highlighted in studies such as Zhang [48]. Consequently, the ongoing implementation of the policy of RCCD may not yield substantial effects in mitigating ACE in these advanced urban centers. In the less developed cities situated within the Yangtze River Delta region, primary sectors like manufacturing and mining remain predominant, underscoring an economic landscape that lags behind more advanced counterparts. Studies such as Wang [49] suggest that local governments in these regions have yet to make significant advancements in ecological construction and environmental protection. With the initiation of the policy of RCCD, there has been a discernible flow of resources from more developed urban areas to less developed regions, facilitating the transfer of innovation platforms and cutting-edge technologies, as illustrated in research by Li [50]. This redistribution of resources has triggered a notable surge in rural labor productivity and green total factor productivity within the agricultural sector, as elucidated by the research findings of Zhu [51]. Furthermore, with the integration of cutting-edge technologies like precision fertilizer application into agricultural practices, there emerges a transformative potential to enhance traditional production methods, optimize the efficacy of pesticides and other agricultural chemicals, and positively impact the ecological landscape by influencing fertilizer consumption and carbon emission patterns [52], ultimately mitigating agricultural carbon footprints. Consequently, in contrast, the adoption of the policy of RCED may yield a more pronounced inhibitory effect on ACE in less developed areas.
Finally, it is reflected in the differentiated influence of different regions in the Yangtze River Delta region. Due to the large area of the Yangtze River Delta region, the provinces and cities in the region are different in terms of economic development level, industrial structure, policy orientation and technological innovation. The eastern region of the Yangtze River Delta region (Jiangsu Province, Zhejiang Province, and Shanghai) is an economically developed region in the Yangtze River Delta region, with high regional output value and per capita income.
In contrast, the leading industries in the central Yangtze River Delta region (Anhui Province) may rely more on the primary industry, manufacturing and mining, which are relatively backward, and the government’s achievements in environmental protection may not be as obvious as those in the eastern Yangtze River Delta region. In order to pursue rapid economic development, the central region of the Yangtze River Delta carries out industrial production and emits a large amount of carbon dioxide in the way of “high energy consumption, high pollution and high emission”, and the carbon emission reduction situation in the central region is more severe. In addition, the highly polluting industries in the eastern region of the Yangtze River Delta continue to migrate to the central region, resulting in a high growth rate of carbon emissions in most districts and counties in the central region [53]. On the other hand, the implementation of the policy of RCCD and the promotion of urban–rural integration may promote the flow of innovation platforms and advanced technologies from developed areas to the central region, thus improving rural labor productivity and agricultural green TFP [54], so as to achieve ACE reduction. Therefore, in contrast, the implementation of the policy of RCCD may have a more obvious inhibitory effect on ACE in the central part of the Yangtze River Delta. Specifically, in the eastern region, the policy has a limited inhibitory effect on ACE, and in the central region, the policy has the potential to significantly reduce ACE through the transfer of technology and resources.
Based on the theoretical analysis, the third hypothesis is as follows:
H3:
The policy of RCCD has heterogeneous effects on the carbon emissions of urban agriculture in the Yangtze River Delta with different levels of urbanization, different levels of development, and the eastern and central regions.
Agricultural green technology progress is an important link to achieve high-quality agricultural development. Agricultural green technology progress may promote agricultural carbon emission reduction through technological innovation, resource optimization, energy structure adjustment, and production mode transformation. Specifically, the progress of agricultural green technology can improve the efficiency of agricultural production, reduce the dependence on fertilizers and pesticides, and thus reduce the carbon emissions in the process of agricultural production [55]. With the application of agricultural green technologies, rural areas can achieve more accurate resource management, such as precise fertilization and irrigation, to reduce resource waste, and thus reduce carbon footprint, thus reducing ACE [56]. At the same time, the use of new and clean energy gradually replaces traditional fossil energy, reduces greenhouse gas emissions [57], and may promote the transformation of agricultural production methods to more sustainable and environmentally friendly, such as from traditional farming methods to conservation farming and organic agriculture, thus reducing ACE [58].
At the same time, the policy of RCCD can provide a broader space and resources for the research and development and application of agricultural green technologies. Firstly, with the adjustment of administrative divisions, counties can be better integrated into the overall development planning of cities and enjoy the advantages of cities in capital, technology and talents, thus providing support for the progress of agricultural green technology [59]. Secondly, the policy of RCCD helps to improve the total factor productivity of agriculture and promote the development of green agricultural technology. Studies have shown that the policy of changing counties to districts, by increasing the capital–labor ratio, leads to a direction of technological progress that favors capital, which is in line with the “weakly induced bias hypothesis” of biased technological progress [60]. Therefore, the policy of RCCD may reduce ACE by promoting the progress of green agricultural technology.
Based on the theoretical analysis, the fourth hypothesis is as follows:
H4:
Agricultural green technology progress plays a partial intermediary role in the impact of the policy of RCCD on agricultural carbon emissions, that is, the policy effect indirectly affects ACE through technological progress.
3. Models, Variables and Data
3.1. Identification Strategies
3.1.1. A Staggered Difference-in-Difference Model
To investigate the influence of the policy of RCCD on ACE, this study employs a staggered difference-in-difference model to comprehensively evaluate the policy’s effects through temporal and regional lenses. By adopting this approach, we aim to address potential endogeneity concerns that may arise during policy assessments. Specifically, leveraging a quasi-natural experimental design, the research designates the prefecture-level city where the policy intervention occurred as the experimental group, contrasting it with a control group comprising prefecture-level cities where county structures remained unchanged. Through this comparative framework, we endeavor to isolate the “net” effects of the policy of RCCD on ACE. Consequently, the econometric model is structured as follows:
In Equation (1), ACEit is the dependent variable, which represents the agricultural carbon emissions of the ith county (city) and the tth year; RCCD is the dummy variable for the policy of re-designation of counties as cities or city districts; Xit is a series of control variables; β is the parameter of focus in this paper, which reflects the net effect of the policy of RCCD; t is the fixed effect of time, and vi is the fixed effect of region; α is a constant; γ is the regression coefficient of control variables; εit is the residual term, indicating other factors that may have an impact on ACE.
3.1.2. The Panel Threshold Model
Traditional linear regression methods fail to solve the structural mutation problem. In this paper, the influence of the policy of RCCD on ACE may vary according to the environmental regulation intensity and present different characteristics. In other words, different intervals of environmental regulation intensity may bring different effects, that is, there is probably a possible non-linear relationship between the policy of RCCD and ACE. In order to test this hypothesis, we use the panel threshold model proposed by Hansen [61] to further examine the influence of the policy of RCCD on ACE in different intervals of environmental regulation intensity. The expression is expressed as follows:
In Equation (1), ERit represents environmental regulation intensity of the ith county (city) and the tth year. I() is indicative function. ȵ denotes the value of environmental regulation intensity.
3.2. Variables
3.2.1. Dependent Variable
The dependent variable in this study is agricultural carbon emissions, with the logarithmized values serving as the metric for assessing the extent of emissions in each region. ACE in China predominantly stem from four sources: agricultural land use, agricultural soil, emissions from rice paddies, and livestock breeding. Given the narrow focus on agriculture in this paper, referencing existing literature, the estimation of ACE encompasses six key aspects: agricultural fertilizer, pesticides, agricultural film, agricultural diesel, tilling, and irrigation. The prevalent method for measuring carbon emissions in academia is the factor measurement formula approach, which is also adopted in this study. The estimation formula for ACE is detailed as follows:
In Equation (3), C is the total amount of ACE (kg), indicates the agricultural carbon emissions generated by agricultural carbon sources of category i (kg), is the total amount of data from carbon sources of category i (kg), and is the corresponding carbon emission conversion coefficient of carbon sources of category i (Table 1). The carbon emission coefficients were determined by referring to the research results of Li et al. [62].
Table 1.
Carbon sources, coefficients and reference sources of agricultural carbon emissions.
3.2.2. Core Independent Variables
The core independent variable under examination in this study is the policy of RCCD. Given that the implementation of this policy across different cities occurred at varying points in time rather than simultaneously, the timing of the policy’s execution is inconsistent. Consequently, this paper categorizes the variable value as 0 (RCCD = 0) for all years leading up to the year of county abolition and district establishment, and as 1 (RCCD = 1) for all subsequent years following the policy’s implementation. Over the period from 2010 to 2022, a total of 221 samples in the Yangtze River Delta (YRD) region have undergone the process of re-designation of counties as cities or city districts, presenting a robust quasi-natural experiment design conducive to the application of the staggered difference-in-difference model. Within the sample pool of 507, the 221 counties (cities) that have completed county abolition comprise the experimental group, while the remaining 286 counties (cities) constitute the control group.
3.2.3. Threshold Variables
In this study, we employ environmental regulation intensity (ER) as a pivotal threshold variable. By evaluating the environmental governance capacity across different regions, ER enables an assessment of the policy implications surrounding county withdrawal and district establishment, offering insights into the delicate balance between environmental protection investments and outcomes within these regions. Drawing on the research by Zhang et al. [64], we utilize the ratio of environmental vocabulary word frequencies in municipal government reports to the total word frequencies of government work reports as a proxy for measuring environmental regulation. This approach facilitates a nuanced exploration of the impact of the county withdrawal and district establishment policy on environmental governance dynamics, shedding light on the interplay between regulatory frameworks and environmental outcomes in these regions.
3.2.4. Control Variables
Drawing upon the research on the influencing factors of ACE in the existing literature, in the YREB, the magnitude of the total influencing factors on CO2 emissions follows an order where affluence is the biggest driver, followed by energy intensity, technology and openness, while the biggest driver in the YRETB is industrial structure supererogation, followed by population, energy intensity, and affluence. Both direct and spatial spillover effects of the drivers are observed in the two economic belts [12], thus, this study establishes a selection of 12 indicators as control variables. These include financial support for agriculture (GA), assessed by the ratio of financial expenditures on agriculture, forestry, and water affairs to the general budgetary outlays of the local government; trade openness (IM), quantified by the ratio of total trade imports and exports to the gross domestic product (GDP); financial support to agriculture (FA), measured by the ratio of agricultural output value to year-end loan balance; agricultural GDP (AP), measured by agricultural output value; per capita total agricultural machinery power (SQ), measured by the ratio of the total power of agricultural machinery to the total rural population. Agricultural labor productivity (LR) is assessed by the ratio of agricultural output to labor consumption; rural greening rate (GR) is determined by the ratio of rural green space to rural land area; sanitary latrine penetration rate (WR) is calculated as the ratio of households using sanitary latrines to the total number of households in rural areas; per capita net income of peasants (AS) is defined as the difference between the total household income of rural inhabitants and the expenditure on household business expenses; per capita income growth rate of peasants (AR) is computed as the ratio of the current year’s per capita income of farmers minus the previous year’s per capita income of farmers to the previous year’s per capita income of farmers; and the number of health technicians per 1000 people in rural areas (SK) is determined by the ratio of the total number of health technicians to the total rural population. Table 2 presents the results of descriptive statistical analysis of the main variables in this study. It should be noted that this paper is based on the descriptive analysis results of the original variables. In the regression analysis, this paper uniformly adds 1 to take the natural logarithm.
Table 2.
Descriptive statistical results of original variables (507 observations).
3.3. Data
In view of data availability and authenticity, we set the study period as 2010–2022, and the study object is the 39 prefecture-level cities in the Yangtze River Delta region. The socio-economic data required for this study (including the number of county-level administrative units implementing the policy of RCCD) are mainly obtained from the China Urban Statistical Yearbook, China Regional Economic Statistical Yearbook, as well as relevant city statistical yearbooks and statistical bulletins for the years 2010–2022. For the missing data problems occurring in the five cities of Lishui, Jiaxing, Quzhou, Jinhua, and Taizhou, they are obtained by interpolation using the mean value method and the linear trend method; meanwhile, Zhoushan and Wenzhou are excluded from the sample in view of their serious missing data. The data on the policy of RCCD were obtained by collecting and organizing the changes in administrative divisions above the county level released on the official website of the Ministry of Civil Affairs of the People’s Republic of China (http://xzqh.mca.gov.cn, accessed on 24 May 2024). According to statistics, there are 17 cities above prefecture level that have implemented the policy of RCCD during the study period, which provides a good “quasi-natural experiment” condition for this paper to carry out empirical research. Therefore, this paper sets these 17 cities as the experimental group, and sets the remaining cities not affected by the policy as the control group. In addition, the data of agricultural carbon emission measurement and related control variables are mainly obtained from 2010 to 2022 China Rural Statistical Yearbook, China Agricultural Yearbook, China Population and Employment Statistical Yearbook, China Rural Business Management Statistical Yearbook, as well as relevant urban statistical yearbooks, rural statistical yearbooks, and statistical bulletins; the data of the threshold variables are mainly obtained from the 2010–2022 government reports of prefecture-level cities in the Yangtze River Delta region.
4. Results
4.1. Baseline Regression Results
To investigate the impact of the policy of RCCD on ACE, we initially conduct baseline regression estimations on the entire sample. The regression outcomes are presented in Table 3, where Column (1) lacks control variables and does not control for two-way fixed effects; Column (2) excludes control variables but incorporates two-way fixed effects; and Column (3) includes both control variables and two-way fixed effects. The regression results reveal that the coefficient of the policy of RCCD on ACE is statistically significant at the 1% level, demonstrating a negative association. This suggests that the implementation of the policy can notably decrease agricultural carbon emissions. Specifically, cities that adopt the policy of RCCD experience a reduction of 7.7% in ACE compared to cities without this policy.
Table 3.
Results of the baseline regression.
It can be observed from the benchmark regression that trade openness (IM), financial support for agriculture (FA), and agricultural GDP (AP) can significantly augment agricultural carbon emissions in the Yangtze River Delta region. This might be because trade openness activities will enhance trade-related transportation and logistics activities, thereby escalating energy consumption and carbon emissions, or delaying the peak time of carbon emissions. Additionally, financial support for agriculture and the growth in agricultural GDP output rely on high-input agricultural production approaches, which might increase carbon emissions through heightened land utilization, fertilizer and pesticide application, and farm machinery operation. In other words, the penetration rate of sanitation toilets (WR) can also raise agricultural carbon emissions in the Yangtze River Delta to a certain extent. This could be because improved sanitation in rural areas, which mitigates disease transmission and enhances the quality of life, does not directly lead to increased ACE per se. However, improved sanitation in rural areas, accompanied by enhanced infrastructure and elevated living standards in rural areas, might indirectly augment energy consumption and associated carbon emissions.
4.2. The Robustness Test
4.2.1. The Parallel Trends and Dynamic Effects Test
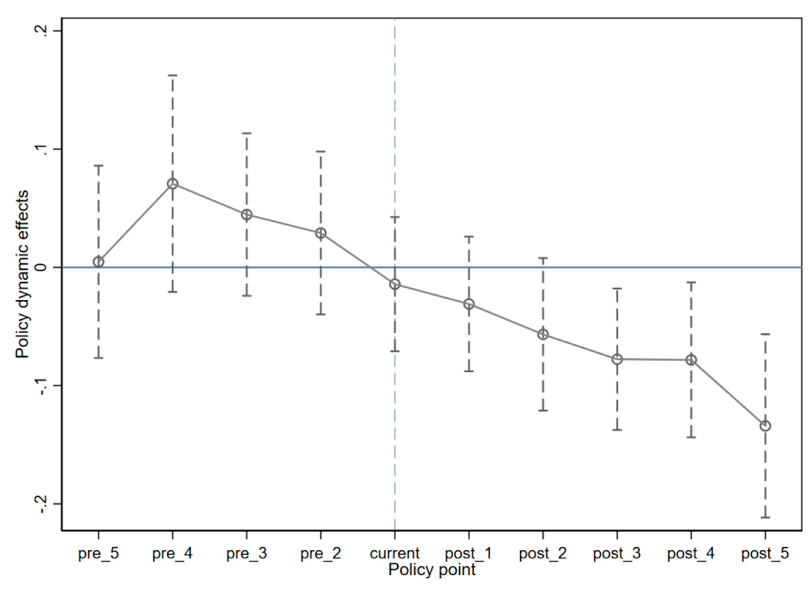
The prerequisite for employing the difference-in-difference method is the fulfillment of the parallel trend assumption. In this study, we assess the parallel trend and dynamic effect through an event study approach, and the regression results are illustrated in Figure 1. Our analysis reveals that none of the regression coefficients exhibit significance prior to the policy shock, indicating a lack of substantial differences between the experimental and control group cities during this time frame, thereby confirming the validity of the parallel trend assumption. Additionally, the examination of dynamic effects demonstrates that the influence of the policy of RCCD on ACE does not manifest immediately but instead exhibits a short-term delay. This is evidenced by the absence of significant policy effects in the initial period, with a notable negative impact only becoming apparent starting from the third year. The intricate and protracted nature of implementing and promoting the policy of RCCD suggests a transitional phase is necessary before its impact on economic and social development becomes evident. Moreover, the enduring characteristics of the policy’s effects are highlighted in the regression coefficients, with a more pronounced inhibitory trend emerging from the 3rd to the 5th year. Notably, significance gradually increases from the 3rd year onwards, indicating a progressive escalation in the negative impact of the policy over time.
Figure 1.
Dynamic effects of county abolition and district establishment on agricultural carbon emissions.
In the initial phases of annexation, the intricate and protracted implementation and promotional processes associated with the policy of RCCD may contribute to the observed phenomenon. The enhancements in agricultural technology, labor productivity, and expansion of rural greening areas may not immediately manifest in ACE, resulting in a discernible time lag. Subsequently, by the third year, these factors are anticipated to yield a more prolonged latent benefit, fostering a sustained decrease in ACE and underscoring the enduring impact of these mechanisms. It is only after the third year that these factors begin to unveil a protracted hidden dividend and consistently propel the reduction in ACE, indicative of their long-term influence.
4.2.2. The PSM-DID Test
To mitigate the potential influence of sample selection bias on the regression results and enhance the selection of the control group for validating the robustness of the benchmark findings, we employ the propensity score matching-difference-in-difference (PSM-DID) model to ascertain the causal impact of implementing the policy of RCCD on ACE. Given the disparate time frames of policy implementation within this study, a year-by-year matching approach is adopted to ensure precise estimation when applying various matching techniques. Table 4 presents the regression findings pertaining to the policy effects derived from three distinct matching methods: 1:4 nearest neighbor matching, radius matching, and kernel matching, consecutively.
Table 4.
Results of propensity score matching-double difference model.
The outcomes of Columns (1~3) indicate that while there exist slight disparities in the estimated coefficients obtained from diverse matching methodologies, the regression results and their level of significance align closely with those of the baseline regression analysis. This reaffirms the substantial inhibitory impact of the policy of RCCD on ACE.
4.2.3. The Placebo Test
In order to ensure that the changes in ACE are mainly affected by the policy of RCCD, and to exclude other potentially unobservable factors, this paper adopts the placebo test to examine the robustness of the baseline regression results. The specific operation is as follows: by randomly selecting the sample 500 times, a pseudo-experimental group with the same number of the original experimental group is randomly selected, assuming that these cities are the cities where the policy of RCCD occurs, and the other cities are used as the control group. Sampling is repeated 500 times after repeated estimation of the sample, and finally we obtain 500 times pseudo-policy dummy variable regression results. From the results shown in Figure 2, the regression coefficients are centrally distributed around coefficient 0, indicating that the randomly set samples of the treatment group of RCCD do not have an impact on ACE, and thus the effect of the policy of RCCD really exists; the actual regression coefficient is minus 0.086, which is significantly lower than the results of the placebo test, which indicates that the regression coefficients of the 500 simulated regressions are all insignificant, and thus the non-accidental implementation of the policy of RCCD, and can exclude disturbing factors.
Figure 2.
Placebo test in randomized treatment groups.
4.2.4. The Instrumental Variable Method
The possible endogeneity caused by the problems of reverse causality and missing variables in the model may cause large errors in the estimation results. Therefore, the instrumental variable method is used to alleviate the potential endogenicity problem in the model. Specifically, we adopt the number of counties in the city (NCC) as the instrumental variable. Because NCC is related to the policy of RCCD, but not related to ACE. Therefore, NCC meets the requirements of instrumental variable selection. Meanwhile, the results of the tests (Cragg–Donald Wald F and Kleibergen–Paap rk LM) also indicate that the instrumental variable is reasonable. And it can be seen from the regression results of the second stage of the instrumental variable method in Table 5 that the policy of RCCD still has a significant negative effect on ACE. In other words, the robustness of the baseline regression results is verified.
Table 5.
Results of instrumental variable method.
5. Further Analysis
5.1. Threshold Effect Analysis
Environmental regulation reflects the government’s emphasis on environmental protection. Some studies have found that the impact of environmental regulation on carbon emissions may have an inverted U-shaped feature, that is, with the increase in environmental regulation intensity, carbon emissions may increase first and then decrease, forming an inverted U-shaped [65]. To investigate the underlying correlation between the policy of RCCD in the Yangtze River Delta region and ACE, and considering the influential role of environmental regulation in shaping policy formulation and optimizing the equilibrium between environmental protection inputs and benefits, we incorporate the heterogeneity of environmental regulation to assess the diverse impacts of RCCD on ACE. In this regard, we adopt Hansen’s threshold effect model as a framework to illuminate the intricate dynamics at play. Hence, this study employs Hansen’s threshold effect model [61], with environmental regulation intensity serving as the pivotal threshold variable, to scrutinize the intricate mechanism underlying the impact of the policy of RCCD on ACE within the spectrum of environmental regulation intensity. By conducting a Bootstrap test with 300 iterations, the findings, as showcased in Table 6, indicate that only the double threshold effect model successfully surpasses the significance level test of P-value. It is discerned that the policy of RCCD, under the influence of environmental regulation intensity, exhibits a non-linear relationship with ACE. Consequently, the double threshold effect model is adopted as the preferred approach in this study.
Table 6.
Results of the threshold effect test.
As shown in Table 7 and Figure 3, the significance threshold values of environmental regulation intensity (%) are 0.254 and 0.26, respectively. When environmental regulation intensity is at 0.254 and 0.264, The significant reduction effect of the policy of RCCD on ACE is higher than that when the environmental regulation intensity is less than 0.254 and the environmental regulation intensity is greater than 0.264. This shows that under low and high environmental regulation intensity, the effect of the policy of RCCD on ACE reduction is limited, and only under moderate level of environmental regulation intensity can the policy of RCCD significantly reduce ACE reduction.
Table 7.
Results of double threshold effect regression.
Figure 3.
Significance level test of the double threshold effect.
Specifically, when the environmental regulation is within the range of 0.254–0.264, the policy of RCCD has a significant inhibitory effect on ACE in the Yangtze River Delta region. It may reduce ACE by guiding agricultural enterprises and farmers to adopt advanced production technology, agricultural carbon clean technology, strengthening the publicity of agricultural energy conservation and emission reduction concept, etc. However, when the environmental regulation is in the range of 0–0.254, it may lead to insufficient awareness of farmers on environmental regulation, and they will not fully realize the importance of low-carbon agricultural technology, thus inhibiting the reduction in ACE in the Yangtze River Delta region. When the range of environmental regulation is above 0.264, it may face problems such as difficulty in practical implementation of environmental regulation and lack of targeted incentive measures, thus inhibiting the reduction in ACE in the Yangtze River Delta region.
5.2. Heterogeneity Analysis
5.2.1. Heterogeneity of Urbanization Level
In an effort to scrutinize potential regional disparities in the impact of the policy of RCCD on ACE across varying urbanization levels, we employ the resident urban population as the statistical benchmark, the level of urbanization is represented by the ratio of urban population to total population. The dataset is partitioned into two distinct groups based on differing urbanization levels, utilizing the average urbanization level as the delineating threshold, and subsequently investigates the heterogeneity of the policy’s impact through a split-sample regression analysis. The outcomes of the regression analysis are summarized in Table 8.
Table 8.
Results of heterogeneity analysis.
Based on the outcomes presented in Columns (1) and (2) of Table 8, it is evident that the regression coefficients associated with the policy of RCCD exhibit a noteworthy negative correlation. Notably, the impact of this policy is more pronounced among areas characterized by higher levels of urbanization as opposed to those with lower urbanization levels; this observation is further confirmed by the coefficient difference test between the two groups. These findings suggest that in urban areas with higher levels of urbanization, the policy of RCCD exerts a more conspicuous restraining influence on ACE. This phenomenon may be attributed to the higher influx of rural populations and labor forces into cities and towns in such areas, leading to increased utilization of agricultural machinery and a higher degree of intensification, greening, and low-carbon practices in agricultural production, ultimately resulting in a more effective mitigation of ACE.
5.2.2. Heterogeneity in the Degree of Urban Development
In this study, the output value of prefecture-level cities serves as the statistical benchmark. The entire dataset is then categorized into two groups based on the level of urban development, with the median of the output value of prefecture-level cities serving as the threshold. Subsequently, a comparative analysis of the heterogeneity of the policy of RCCD is conducted across varying levels of urban development, employing regression analysis on the sub-sample. The detailed regression results are displayed in Table 8.
In Columns (3) and (4) presented in Table 8, a significantly negative policy impact of RCCD is observed in the underdeveloped cities group. Conversely, the policy effect in the developed cities group exhibits a negative but statistically insignificant trend. This suggests that the policy of RCCD exerts a more pronounced inhibitory effect on ACE in underdeveloped cities. This outcome underscores the substantial impact of the policy in curbing ACE in the developing cities within the Yangtze River Delta region. It is plausible that this disparity arises from the greater reliance of underdeveloped cities on agricultural activities, leading to higher ACE and consequently making them more susceptible to the effects of the policy compared to their developed counterparts, which primarily emphasize industrial and service sectors.
5.2.3. Heterogeneity in the Different Regions
In order to further explore the impact of regional heterogeneity on the relationship between the policy of RCCD and ACE, we also divide the sample cities according to the geographical location of the central region and the eastern region. Specifically, Anhui province belongs to the central region, while Jiangsu, Zhejiang and Shanghai belong to the eastern region. We conduct group regression analysis on the sample cities in the central and eastern regions, respectively, and the results are shown in Table 8.
From Columns (5) and (6) in Table 8, we find that the policy of RCCD has a negative influence on ACE in both groups of cities, and the regression coefficient on ACE of cities in the central region is greater. Moreover, the difference between the regression coefficient in the two groups is significant through the coefficient difference test. Therefore, the above results indicate that the policy of RCCD has more obvious inhibitory effects on ACE of cities in the central region than in the eastern region.
The heterogeneity analysis results above reveal that the policy of RCCD no longer adequately aligns with the low-carbon agricultural development needs of highly urbanized and developed cities in the YRD region, especially in the eastern region. In these cities, ACE have reached a stage where supplementary policies are necessary to effectively mitigate their growth. Moreover, the varying effects of the policy across cities with differing levels of urbanization, development and regions underscore the diverse and nuanced requirements for suppressing ACE. Consequently, relying solely on the policy of RCCD for achieving low-carbon agricultural development in the developed cities of the Yangtze River Delta region is deemed inadequate. Instead, tailored and context-specific approaches are imperative to avoid indiscriminate administrative consolidation.
5.3. The Mechanism Test
We further adopt the mediating effect model to examine the role of agricultural green technology progress (AGTP) in the influence mechanism of the policy of RCCD on ACE. Specifically, we use the number of agricultural green patent applications in each city to measure AGTP of sample cities, and we conduct a logarithmic processing to the variable after added one. The results of the mediating mechanism test are shown in Table 9.
Table 9.
Results of the mechanism test.
From Columns (1) and (2) in Table 9, we can see that there is a positive impact of the policy of RCCD on AGTP, and the policy of RCCD and AGTP both play the negative roles on ACE. Therefore, the results imply that AGTP has a partial mediating effect on the relationship between the policy of RCCD and ACE.
6. Conclusions and Policy Implications
6.1. Conclusions
Based on the national dual-carbon target and the strategic requirements of agricultural green development, this paper takes 39 prefecture-level cities in the Yangtze River Delta region as the research object from 2010 to 2022, and incorporates ACE into the analytical framework of the policy effect of RCCD, and the main conclusions of this study are as follows: (1) The results of the baseline regression show that the policy of RCCD has a significant inhibitory effect on the ACE, which can be verified by a series of robustness checks. When the policy of RCCD occurs, ACE are significantly reduced by 7.7%; (2) the results of the threshold effect show that when the environmental regulation intensity is located at 0.254 and 0.264, the policy of RCCD has a significant lowering effect on ACE than when the environmental regulation intensity is less than 0.254; (3) the results of heterogeneity analysis show that the policy of RCCD has a more obvious inhibiting effect on ACE in cities with a higher level of urbanization, underdeveloped cities and cities in central region; (4) the inhibiting effect of the policy of RCCD on ACE has both a short-term lag and a long-term impact, which is manifested in the inhibiting effect on ACE in the third year after the occurrence of the policy; (5) agricultural green technology progress plays a partial mediating role in the relationship between the policy of RCCD and ACE.
6.2. Policy Implications
Based on the above findings, this paper puts forward the following policy implications:
(1) The Yangtze River Delta region ought to keep on advancing the policy of RCCD, with the aim of facilitating the organic integration of new urbanization and comprehensive rural revitalization, promoting the two-way flow of various factors, advancing the new urbanization construction with county towns as the significant carrier, and shaping a new pattern of integrated urban–rural development. Give full play to the carbon emission reduction effect of the policy on agriculture, accelerate the optimal allocation of resources among cities and counties, enhance the comprehensive carrying capacity and governance capacity of counties and rural areas, and establish a long-term policy mechanism that effectively serves green and low-carbon agriculture. Additionally, the dual-carbon target and ecological indicators should be fully incorporated into the implementation system and assessment system of the policy of RCCD, so as to prevent some regions from blindly pursuing administrative division reform and rapid urbanization while neglecting regional environmental protection. During the policy implementation process, attention should also be paid to the inhibitory effect of financial support for agriculture and rural greening on ACE.
(2) Moderately intensify the strength of environmental regulation. If the intensity of environmental regulation is overly high or overly low, it will undermine the inhibitory effect of the policy of RCCD on ACE reduction. Meanwhile, moderately strengthening environmental regulation is conducive to ACE reduction. The environmental regulation scheme should be optimized in accordance with local conditions to avoid situations of overly low or overly high environmental regulation intensity, and be vigilant about the obstacle to ACE reduction caused by blindly increasing the intensity of environmental regulation and the green paradox effect. Strategic coordination should be made between policy constraints and green development to promote carbon emission reduction in agriculture. Specifically, in the process of eliminating counties and establishing districts, binding and heterogeneous environmental regulation schemes should be taken into account, the application conditions of environmental regulation policy tools should be considered, the diversity and flexibility of environmental regulation means should be employed to plan environmental regulation schemes that match the characteristics of various regions, and the intensity of environmental regulation should be scientifically controlled to achieve ACE reduction.
(3) In the subsequent “low-carbon” action, the government should focus on promoting low-carbon agricultural technologies and green production methods, encourage the adoption of efficient agricultural production technologies such as precise fertilization and optimized irrigation, reduce the excessive use of chemical fertilizers and pesticides, improve agricultural production efficiency, and reduce carbon emissions. At the same time, policies and incentives for agricultural green technology development should be formulated to encourage agricultural producers to adopt green production technologies and methods through policy guidance and incentives, such as tax incentives and financial subsidies, so as to promote sustainable agricultural development. Finally, we should strengthen scientific and technological innovation and promotion from the root, encourage and support cooperation between agricultural research institutions and enterprises to develop green technologies adapted to local agricultural development, such as water-saving irrigation, precise fertilization, biological control of pests and diseases, and increase the promotion of these technologies. This will drive the development of circular agriculture and ecological agriculture, improve the utilization efficiency of agricultural resources, and reduce the use of chemical fertilizers and pesticides. In terms of scientific and technological means, we should improve the level of agricultural informatization, use modern information technologies such as the Internet of Things and big data to improve the level of intelligent management of agricultural production, realize precision agriculture and reduce ACE.
(4) The implementation of the policy of RCCD must be tailored to local circumstances, accounting for regional heterogeneity and fostering targeted advancements in productivity. Our findings demonstrate significant variations in the policy’s impact across cities with different levels of urbanization and development, underscoring the necessity for customized policy implementation. In cities characterized by higher levels of urbanization and developing areas, proactive promotion of RCCD is recommended to mitigate ACE and expedite the transition away from traditional, unsustainable development models. Conversely, in other cities, the policy of RCCD should not be blindly pursued. Instead, it should shift focus from administrative consolidation to high-quality development, fostering new agricultural productivity in alignment with local conditions. At the same time, the development and implementation of low-carbon actions in the Yangtze River Delta region should pay attention to the differences in spatial dimensions. In the next step, we should focus on the central region, promote the flow of innovation platform and advanced technology from the developed eastern region to the central region, and improve the rural labor productivity and agricultural green TFP in the central region to achieve ACE reduction. In addition, the Yangtze River Delta region has a close spatial connection, which indicates that the realization of the “dual-carbon” goal cannot be achieved by “working alone”, and the eastern and central regions should carry out joint actions on the issue of ACE.
(5) The government should enrich the ecological appraisal system of the policy of RCCD. Ecological assessment and carbon emission indicators should be added to the assessment system of the administrative division policy. Specifically, the government should build a multidimensional appraisal system for the policy of RCCD, strengthen the indicator setting of ecological protection and restoration by incorporating agricultural green and low-carbon indicators, and set up more ecological protection and restoration indicators in the appraisal system, such as ecological protection zones, forested land area, and water resource utilization rate; and improve the data collection and monitoring mechanism of the appraisal indicators, strengthen the data collection and monitoring, and set up the ecological environment monitoring system. Regions with remarkable results in ecological environmental protection should be given incentives and policy support, while regions with serious ecological deterioration should be penalized accordingly and urged to improve, so as to promote the green development of agriculture.
6.3. Limitations
There are several limitations of this study. First, due to the availability of data, we did not investigate the effect of the policy of RCCD on ACE reduction in regions other than the Yangtze River Delta, and the resulting estimates of the impact of RCCD on ACE reduction may be biased to a certain extent. We will try to expand the scope of this study in the subsequent research. Secondly, the calculation of ACE in this paper only considers the planting industry in the narrow sense, and the subsequent research will consider animal husbandry and breeding industry in the accounting of ACE to ensure comprehensive results.
Author Contributions
Conceptualization, S.Z. and Y.X.; methodology, S.Z.; software, S.Z. and Y.F.; validation, Y.X.; formal analysis, S.Z., Y.F. and Y.X.; investigation, S.Z., Y.F. and Y.X.; resources, Y.X.; data curation, S.Z. and Y.F.; writing—original draft preparation, S.Z. and Y.F.; writing—review and editing, S.Z. and Y.X.; visualization, Y.F.; supervision, Y.X.; project administration, S.Z. and Y.X. All authors have read and agreed to the published version of the manuscript.
Funding
This research received no external funding.
Data Availability Statement
Data will be available if requested.
Conflicts of Interest
The authors declare no conflict of interest.
References
- Niu, S.; Chen, Y.; Zhang, R.; Feng, Y. How does the air pollution prevention and control action plan affect sulfur dioxide intensity in China? Front. Public Health 2023, 11, 1119710. [Google Scholar] [CrossRef] [PubMed]
- Zhou, X.L.; Cui, Y.W.; Zhang, S.P. Internet use and rural residents’ income growth. An intertemporal general equilibrium analysis. China Agric. Econ. Rev. 2020, 12, 315–327. [Google Scholar] [CrossRef]
- Wang, H.; Geng, Y.; Zhang, J.; Xia, X.; Feng, Y. Ecological Civilization Demonstration Zone, Air Pollution Reduction, and Political Promotion Tournament in China: Empirical Evidence from a Quasi-Natural Experiment. Int. J. Environ. Res. Public Health 2021, 18, 11880. [Google Scholar] [CrossRef]
- Qu, Y.; Zhang, Z.Q.; Feng, Y.C.; Cui, X.R. How Do Chinese National Scenic Areas Affect Tourism Economic Development? The Moderating Effect of Time-Limited Rectification. Int. J. Environ. Res. Public Health 2021, 18, 11620. [Google Scholar] [CrossRef]
- Zhang, Z.H.; Zhang, Y.P.; Zhao, M.C.; Muttarak, R.; Feng, Y.C. What is the global causality among renewable energy consumption, financial development, and public health? New perspective of mineral energy substitution. Resour. Policy 2023, 85, 104036. [Google Scholar] [CrossRef]
- Zhang, S.J.; Dong, R.; Jiang, J.X.; Yang, S.Y.; Cifuentes-Faura, J.; Peng, S.H.; Feng, Y.C. Whether the green credit policy effectively promote green transition of enterprises in China? Empirical analysis and mechanism verification. Environ. Res. 2024, 244, 117910. [Google Scholar] [CrossRef]
- Wu, G.Y.; Sun, M.M.; Feng, Y.C. How does the new environmental protection law affect the environmental social responsibility of enterprises in Chinese heavily polluting industries? Humanit. Social. Sci. Commun. 2024, 11, 168. [Google Scholar] [CrossRef]
- Chen, J.L.; Huang, J.Y.; Huang, X.C.; Sun, S.W.; Hao, Y.; Wu, H.T. How does new environmental law affect public environmental protection activities in China? Evidence from structural equation model analysis on legal cognition. Sci. Total Environ. 2020, 714, 136558. [Google Scholar] [CrossRef]
- Li, Y.; Gao, Y.; Meng, X.; Liu, X.; Feng, Y. Assessing the air pollution abatement effect of prefabricated buildings in China. Environ. Res. 2023, 239, 117290. [Google Scholar] [CrossRef]
- Liu, S.; Wang, Y.K. Green innovation effect of pilot zones for green finance reform: Evidence of quasi natural experiment. Technol. Forecast. Social. Change 2023, 186, 122079. [Google Scholar] [CrossRef]
- Zhang, J.X.; Cheng, C.; Feng, Y.C. The Heterogeneous Drivers of CO2 Emissions in China’s Two Major Economic Belts: New Evidence from Spatio-Temporal Analysis. Environ. Dev. Sustain. 2024, 26, 10653–10679. [Google Scholar] [CrossRef] [PubMed]
- Zhang, Z.-H.; Sun, S.-M.; Gao, J. Evolution Characteristic and Influencing Mechanism of Water-Energy-Food Stress in Yangtze River Delta Urban Agglomeration. J. Nat. Resour. 2022, 37, 1586–1597. [Google Scholar] [CrossRef]
- Zhu, N.; Zhang, X.; Ren, X.; Wang, L. The Response of Corporate Innovation to Climate Policy Uncertainty: Evidence from China. J. Environ. Assess. Policy Manag. 2023, 25, 2350008. [Google Scholar] [CrossRef]
- Xiong, C.H.; Chen, S.; Yang, D.G. Selecting Counties to Participate in Agricultural Carbon Compensation in China. Pol. J. Environ. Stud. 2018, 28, 1443–1449. [Google Scholar] [CrossRef]
- Liu, Z.L.; He, S.G.; Li, W.T.; Sun, H.B. Does green credit reduce carbon emissions? Evidence from China. Environ. Sci. Pollut. Res. 2022, 30, 26735–26751. [Google Scholar] [CrossRef]
- Huang, X.Q.; Xu, X.C.; Wang, Q.Q.; Zhang, L.; Gao, X.; Chen, L.H. Assessment of Agricultural Carbon Emissions and Their Spatiotemporal Changes in China, 1997–2016. Int. J. Environ. Res. Public Health 2019, 16, 3105. [Google Scholar] [CrossRef]
- Wang, G.F.; Liao, M.L.; Jiang, J. Research on Agricultural Carbon Emissions and Regional Carbon Emissions Reduction Strategies in China. Sustainability 2020, 12, 2627. [Google Scholar] [CrossRef]
- Tang, Y.; Chen, M.H. Impact Mechanism and Effect of Agricultural Land Transfer on Agricultural Carbon Emissions in China: Evidence from Mediating Effect Test and Panel Threshold Regression Model. Sustainability 2022, 14, 13014. [Google Scholar] [CrossRef]
- Tripathy, P.; Jena, P.K.; Mishra, B.R. Systematic literature review and bibliometric analysis of energy efficiency. Renew. Sustain. Energy Rev. 2024, 200, 114583. [Google Scholar] [CrossRef]
- Wang, G.X.; Wan, Y.S.; Ding, C.J.; Liu, X.Q.; Jiang, Y.X. A review of applied research on low-carbon urban design: Based on scientific knowledge mapping. Environ. Sci. Pollut. Res. 2023, 30, 103513–103533. [Google Scholar] [CrossRef]
- Liu, B.L.; Ding, C.J.; Ahmed, A.D.; Huang, Y.J.; Su, Y.Q. Carbon emission allowances and green development efficiency. J. Clean. Prod. 2024, 463, 142246. [Google Scholar] [CrossRef]
- Zhang, S.P.; Wang, X.H. Does innovative city construction improve the industry–university–research knowledge flow in urban China? Technol. Forecast. Social Change 2022, 174, 121200. [Google Scholar] [CrossRef]
- Zhao, M.L.; Wang, X.H.; Zhang, S.P.; Cheng, L. Business strategy and environmental information disclosure from a Confucian cultural perspective: Evidence from China. Bus. Strategy Environ. 2024, 33, 1557–1577. [Google Scholar] [CrossRef]
- Luqman, M.; Rayner, P.J.; Gurney, K.R. On the Impact of Urbanisation on CO2 Emissions. NPJ Urban. Sustain. 2023, 3, 6. [Google Scholar] [CrossRef]
- Hong, S.F.; Hui, E.C.M.; Lin, Y.Y. Relationship between Urban Spatial Structure and Carbon Emissions: A Literature Review. Ecol. Indic. 2022, 144, 109456. [Google Scholar] [CrossRef]
- McFarlane, N.; Hurley, J.; Sun, Q. Private-Led Land Assembly and Urban Consolidation: The Relative Influence of Regulatory Zoning Mechanisms. Land Use Policy 2023, 134, 106904. [Google Scholar] [CrossRef]
- Janus, J.; Ertunç, E. Impact of Land Consolidation on Agricultural Decarbonization: Estimation of Changes in Carbon Dioxide Emissions Due to Farm Transport. Sci. Total Environ. 2023, 873, 162391. [Google Scholar] [CrossRef]
- Ding CT, J.; Chen, H.; Liu, Y.; Hu, J.; Hu, M.J.; Chen, D.; Irfan, M. Unleashing digital empowerment: Pioneering low-carbon development through the broadband China strategy. Energy 2024, 295, 131034. [Google Scholar] [CrossRef]
- Liu, X.Q.; You, C.; Cifuentes-Faura, J.; Peng, X.Y. Bigger cities and less carbon? Government-driven urbanization and carbon emissions in China. J. Clean. Prod. 2024, 467, 142808. [Google Scholar] [CrossRef]
- Teng, W.; Zhang, Q.; Guo, Z.; Ying, G.; Zhao, J.; Ying, G.G.; Zhao, J.L. Carbon emissions from road transportation in China: From past to the future. Environ. Sci. Pollut. Res. 2024, 31, 48048–48061. [Google Scholar] [CrossRef]
- Zhu, X.W.; Li, D.Z.; Zhou, S.H.; Zhu, S.Y.; Yu, L.G. Evaluating coupling coordination between urban smart performance and low-carbon level in China’s pilot cities with mixed methods. Sci. Rep. 2024, 14, 20461. [Google Scholar] [CrossRef] [PubMed]
- Chen, S.Y.; Huang, Q.X.; Muttarak, R.; Fang, J.Y.; Liu, T.; He, C.Y.; Liu, Z.W.; Zhu, L. Updating global urbanization projections under the Shared Socioeconomic Pathways. Sci. Data 2022, 9, 137. [Google Scholar] [CrossRef] [PubMed]
- Cheng, L.; Wang, X.H.; Zhang, S.P.; Zhao, M.L. On corporate total factor productivity: Public procurement. Manag Decis. 2024. early access. [Google Scholar] [CrossRef]
- Yang, Y.Y.; Bao, W.K.; Wang, Y.S.; Liu, Y.S. Measurement of urban-rural integration level and its spatial differentiation in China in the new century. Habitat. Int. 2021, 117, 102420. [Google Scholar] [CrossRef]
- Zhang, C.; Fan, Y.P.; Fang, C.L. When will China realize urban-rural integration? A case study of 30 provinces in China. Cities 2024, 153, 105290. [Google Scholar] [CrossRef]
- Aertsens, J.; Nocker, L.D.; Gobin, A. Valuing the carbon sequestration potential for European agriculture. Land Use Policy 2013, 31, 584–594. [Google Scholar] [CrossRef]
- Pan, W.; Wang, J.; Li, Y.R.; Chen, S.T.; Lu, Z. Spatial pattern of urban-rural integration in China and the impact of geography. Geogr. Sustain. 2023, 4, 404–413. [Google Scholar] [CrossRef]
- Li, N.; Wang, X.H.; Zhang, S.P. Effects of digitization on enterprise growth performance: Mediating role of strategic change and moderating role of dynamic capability. Manag. Decis. Econ. 2023, 44, 1040–1053. [Google Scholar] [CrossRef]
- Nsabiyeze, A.; Ma, R.Q.; Li, J.; Luo, H.L.; Zhao, Q.A.; Tomka, J.; Zhang, M.J. Tackling Climate Change in Agriculture: A Global Evaluation of the Effectiveness of Carbon Emission Reduction Policies. J. Clean. Prod. 2024, 468, 142973. [Google Scholar] [CrossRef]
- Linderholm, K.; Katterer, T.; Mattsson, J.E. Valuing carbon capture in agricultural production: Examples from Sweden. SN Appl. Sci. 2020, 2, 1264. [Google Scholar] [CrossRef]
- Angus, A.; Burgess, P.J.; Morris, J.; Lingard, J. Agriculture and land use: Demand for and supply of agricultural commodities, characteristics of the farming and food industries, and implications for land use in the UK. Land Use Policy 2009, 26, 230–242. [Google Scholar] [CrossRef]
- Wu, D.; Zhang, Z.W.; Liu, D.; Zhang, L.L.; Li, M.; Khan, M.I.; Li, T.X.; Cui, S. Calculation and analysis of agricultural carbon emission efficiency considering water–energy–food pressure: Modeling and application. Sci. Total Environ. 2024, 907, 167819. [Google Scholar] [CrossRef] [PubMed]
- Cheng, Y.; Luo, P.; Yang, H.; Zhou, W.; Zhang, D. Land use and cover change accelerated China’s land carbon sinks limits soil carbon. NPJ Clim. Atmos. Sci. 2024, 7, 199. [Google Scholar] [CrossRef]
- Ren, Y.; Arif, M.; Cao, Y.K.; Zhang, S.P. Pathways to enhance the efficiency of forestry ecological conservation and restoration: Empirical evidence from Heilongjiang Province, China. Front. For. Glob. Change 2024, 7, 1382198. [Google Scholar] [CrossRef]
- Li, X.T.; Wang, X.H.; Zhang, S.P. Impacts of Urban Spatial Development Patterns on Carbon Emissions: Evidence from Chinese Cities. Land 2022, 11, 2031. [Google Scholar] [CrossRef]
- Chen, W.; Lan, M.H.; Sun, W.; Liu, W.; Liu, C.G. Integrated High-Quality Development of the Yangtze River Delta: Connotation, Current Situation and Countermeasures. J. Nat. Resour. 2022, 37, 1403–1412. [Google Scholar] [CrossRef]
- Du, K.; Cheng, Y.; Yao, X. Environmental regulation, green technology innovation, and industrial structure upgrading: The road to the green transformation of Chinese cities. Energy Econ. 2021, 98, 105247. [Google Scholar] [CrossRef]
- Zhang, S.P.; Gan, H.H. Is carbon emission trading a green blessing or a curse for firm performance in China? A quasi-experiment design and exploring the spatial spillover effect. Environ. Sci. Pollut. Int. 2023. early access. [Google Scholar] [CrossRef]
- Wang, S.G.; Zhang, Z.Q.; Zhou, Z.C.; Zhong, S. The carbon emission reduction effect of green fiscal policy: A quasi-natural experiment. Sci. Rep. 2024, 14, 20317. [Google Scholar] [CrossRef]
- Li, Z.J.; Yin, S.G.; Jiang, Y.X.; Lyu, Y.L. Analysis of allometric relationship and formation mechanism between economic growth and carbon emissions in the Yangtze River Delta. J. Nat. Resour. 2022, 37, 1507–1523. [Google Scholar] [CrossRef]
- Zhu, H.G.; Fang, S.Y.; Zhang, S.P.; Zhang, X.L.; Tian, Y.C. Effects of social capital on energy poverty: Evidence from the national key ecological function zones in Northeast China. Energy 2024, 304, 131956. [Google Scholar] [CrossRef]
- Niu, S.H.; Zhang, K.X.; Zhang, J.; Feng, Y.C. How Does Industrial Upgrading Affect Urban Ecological Efficiency? New Evidence from China. Emerg. Mark. Financ. Trade. 2023, 60, 1–22. [Google Scholar] [CrossRef]
- Zhu, H.G.; Chen, Z.H.; Zhang, S.P.; Zhao, W.C. The Role of Government Innovation Support in the Process of Urban Green Sustainable Development: A Spatial Difference-in-Difference Analysis Based on China’s Innovative City Pilot Policy. Int. J. Environ. Res. Public Health 2022, 19, 7860. [Google Scholar] [CrossRef]
- Yang, N.; Sun, X.; Qi, Q. Impact of factor quality improvement on agricultural carbon emissions: Evidence from China’s high-standard farmland. Front. Environ. Science 2022, 10, 989684. [Google Scholar] [CrossRef]
- Zhang, S.P.; Cheng, L.; Ren, Y.; Yao, Y. Effects of carbon emission trading system on corporate green total factor productivity: Does environmental regulation play a role of green blessing? Environ. Res. 2024, 248, 118295. [Google Scholar] [CrossRef] [PubMed]
- Yang, H.; Wang, X.X.; Bin, P. Agriculture carbon-emission reduction and changing factors behind agricultural eco-efficiency growth in China. J. Clean. Prod. 2022, 334, 130193. [Google Scholar] [CrossRef]
- Du, Y.Y.; Liu, H.B.; Huang, H.; Li, X.H. The carbon emission reduction effect of agricultural policy—Evidence from China. J. Clean. Prod. 2023, 406, 137005. [Google Scholar] [CrossRef]
- Wang, C.A.; Wang, L.; Zhao, S.K.; Yang, C.Y.; Albitar, K. The impact of Fintech on corporate carbon emissions: Towards green and sustainable development. Bus. Strategy Environ. 2024. early access. [Google Scholar]
- Ling, S.; Jin, S.R.; Wang, H.J.; Zhang, Z.H.; Feng, Y.C. Transportation infrastructure upgrading and green development efficiency: Empirical analysis with double machine learning method. J. Environ. Manag. 2024, 358, 120922. [Google Scholar] [CrossRef]
- Cao, Y.Q.; Ji, X.H.; Yao, J.Q.; Xu, N.; Chen, M.; Yang, X.T.; Liu, Z.H.; Li, Z.H.; Mo, F. Research on Coupling Coordination of Agricultural Carbon Emission Efficiency and Food Security in Hebei Province, China. Sustainability 2024, 16, 5306. [Google Scholar] [CrossRef]
- Hansen, B.E. Threshold effects in non-dynamic panels: Estimation, testing, and inference. J. Econom. 1999, 93, 345–368. [Google Scholar] [CrossRef]
- Li, H.C.; Su, Y.Q.; Ding, C.J.; Tian, G.G.; Wu, Z. Unveiling the green innovation paradox: Exploring the impact of carbon emission reduction on corporate green technology innovation. Technol. Forecast. Social. Change 2024, 207, 123562. [Google Scholar] [CrossRef]
- Raupach, M.R.; Marland, G.; Ciais, P.; Le Quere, C.; Canadell, J.G.; Klepper, G.; Field, C.B. Global and regional drivers of accelerating CO2 emissions. Proc. Natl. Acad. Sci. USA 2007, 104, 10288–10293. [Google Scholar] [CrossRef] [PubMed]
- Zhang, Z.H.; Shi, K.; Gao, Y.; Feng, Y.C. How does environmental regulation promote green technology innovation in enterprises? A policy simulation approach with an evolutionary game. J. Environ. Plan. Manag. 2023, 219, 108137. [Google Scholar]
- Xu, Y.; Liu, Y.; Chen, R.; Meng, Y.F.; Li, K.A.; Fu, C. Study on the spatio-temporal evolution characteristics and driving mechanism of China’s carbon emissions. Humanit. Soc. Sci. Commun. 2023, 10, 786. [Google Scholar] [CrossRef]
Disclaimer/Publisher’s Note: The statements, opinions and data contained in all publications are solely those of the individual author(s) and contributor(s) and not of MDPI and/or the editor(s). MDPI and/or the editor(s) disclaim responsibility for any injury to people or property resulting from any ideas, methods, instructions or products referred to in the content. |
© 2024 by the authors. Licensee MDPI, Basel, Switzerland. This article is an open access article distributed under the terms and conditions of the Creative Commons Attribution (CC BY) license (https://creativecommons.org/licenses/by/4.0/).


