Next Article in Journal
Toward Economic Sustainability: Exploring Business Model Innovation in Servitization Transformation Enterprises through Resource Orchestration
Previous Article in Journal
Preliminary Findings on the Bioaccumulation and Marine Trophic Transfer of the Antifouling Biocide DCOIT in Soluble and Nanostructured Forms
 
 
Font Type:
Arial Georgia Verdana
Font Size:
Aa Aa Aa
Line Spacing:
Column Width:
Background:
Article

Anaerobic Digestion of Food Waste with the Addition of Biochar Derived from Microwave Catalytic Pyrolysis of Solid Digestate

Chemical and Biological Engineering, The University of British Columbia, Vancouver, BC V6T 1Z3, Canada
*
Author to whom correspondence should be addressed.
Sustainability 2024, 16(18), 7997; https://doi.org/10.3390/su16187997
Submission received: 10 August 2024 / Revised: 7 September 2024 / Accepted: 8 September 2024 / Published: 13 September 2024
(This article belongs to the Section Pollution Prevention, Mitigation and Sustainability)

Abstract

This study explores the potential of biochar derived from microwave-assisted catalytic pyrolysis of solid digestate as an additive to enhance the stability and performance of the anaerobic digestion process. The focus was placed on the effects of biochar dosage, pyrolysis temperature, and pyrolysis catalyst on methane production. Biochemical methane potential (BMP) tests using synthetic food waste as the substrate revealed a dosage-dependent relationship with specific methane yield (SMY). At a low biochar dosage of 0.1 g/g total solids (TS), improvement in methane (CH4) production was marginal, whereas a high dosage of 0.6 g/g TS increased CH4 content by at least 10% and improved yield by 35–52%. ANOVA analysis indicated that biochar dosage level significantly influenced CH4 yield, while pyrolysis temperature (400 °C vs. 500 °C) and catalyst (20 wt% K3PO4 vs. 10 wt% K3PO4/10 wt% clinoptilolite) did not lead to significant differences in CH4 yield between the treatments. Correlation analysis results suggested that biochar’s most impactful properties on methane yield would be dosage-adjusted specific surface area (or total surface area per unit volume of substrate) and aromaticity index. The findings underscore the potential of solid-digestate-derived biochar as a beneficial additive for anaerobic digestion and hence the sustainability of food waste management system.

1. Introduction

The need for sustainable waste management practices has emerged amidst the backdrop of escalating global energy demands and the challenges of waste management spurred by population growth and industrialization. Substantial volumes of food waste as a major component of municipal solid waste (MSW) generated annually present an opportunity for conversion to bioenergy in the form of biogas through anaerobic digestion (AD). Its most significant environmental benefit is reduced GHG emissions [1]. Relatively well-established techniques are available to convert biogas to biomethane (or renewable natural gas RNG) for vehicle fuel or injection into regional or national grids [2]. At present, Canada is tapping only about 14 percent of its readily available biogas energy potential [3]. In British Columbia alone, 0.2 million/year (oven-dry ton) of food waste is available that can be converted to biogas [4]. One of the main by-products of AD is digestate, which consists of partially degraded organic matter, inorganic compounds, and microbial biomass [5,6].
Rapid acidification can occur during acidogenesis, a critical stage in AD, leading to the accumulation of VFAs and inhibition of methanogen activity. Alkalinity in AD systems refers to the liquid’s capacity to neutralize acids and maintain a stable pH level [7]. The optimal carbon-to-nitrogen (C/N) ratio that promotes CH4 production typically lies between 20:1 and 30:1 [8,9]. Low carbon conversion efficiency, operational instability, and management of digestate streams are among the key challenges facing AD systems. Various strategies have been proposed to address these challenges, including co-digestion of feedstocks to optimize nutrient balance and adding exogenous substances to stimulate microbial activity and reduce inhibitor concentrations [10,11]. Co-digestion of food waste (FW) with wheat straw (WS) primarily aims to achieve a suitable C/N ratio for AD, which would reduce the risk of ammonia nitrogen inhibition and stabilize the digestion process through increased buffering capacity. For instance, Yong et al. [12] reported a CH4 content increase from 57% to 67.5% and a 40% increase in CH4 yield for FW-WS co-digestion. Among a range of exogenous substances that can help the AD process, biochar produced by pyrolysis has garnered increased attention for its applicability in AD as an additive [13,14]. It has a higher electron exchange capacity and the ability to accelerate reaction rates vs. activated carbon [15]. The possible benefits of biochar in the AD process include process stability, higher biogas yields, and mitigating inhibition problems [16,17,18,19]. Due to its alkaline nature, biochar can increase AD alkalinity and regulate pH levels, thus enhancing microbial adaptability and facilitating fast CH4 production [20,21,22]. For instance, Ma et al. [23] reported a 44% decrease in the lag phase and a 25% increase in the maximum CH4 production rate after adding 15 g/L biochar. Moreover, the redox-active organic functional groups such as quinone and hydroquinone on the biochar surface can promote direct interspecies electron transfer (DIET) by enhancing microbial colonization on its surface [24]. Consequently, adding biochar to AD can accelerate the process start-up and shorten the lag period of biogas production. A reduction in the lag period by 24% under the dual inhibition of ammonia and VFAs was observed [25]. A decrease in lag time by 27.5–64.4% during sludge/food waste co-digestion with biochar addition was also reported [26].
The process parameters of pyrolysis, including temperature, heating rate, and residence time, play a significant role in determining biochar properties and yields. Higher pyrolysis temperature tends to produce biochar with a greater specific surface area and smaller particle size [24,27,28]. Microwave-assisted pyrolysis (MAP) enables rapid and efficient heating while requiring no heat convection through fluids [29]. It also results in better biochar quality in terms of surface area, porosity, and fixed carbon content [30]. More recently, microwave-assisted catalytic pyrolysis (MACP) represents another advancement to MAP, as it can simultaneously improve microwave absorption for speeding up the heating rate and the quality of biochar and bio-oil as the main products [31]. The effectiveness of biochar has been shown to reduce CO2 generation from AD and achieve CH4 content up to 95 vol%, meeting pipeline quality standards [32,33]. Significant removal of CO2 by coarser biochar (51%) and smaller biochar (61%) during AD of food waste [34] was also observed. The use of biochar as an adsorbent for CO2 and H2S, thus improving the calorific value of biogas and the commercial viability of AD [35,36], has continued to gain much attention in recent years. Various biochar properties, including porosity, specific surface area (SSA), pH, and surface functional groups, also play a major role in influencing the efficacy of biochar supplementation in AD systems, particularly in methane production. Porosity, as characterized by pore volume and distribution, dictates biochar’s capacity for adsorption and microbial habitat provision. Biochar typically exhibits a pore size distribution that consists of micro- (<2 nm), meso- (2–50 nm), and macro-pores (>50 nm) [37]. Micro- and meso-pores are vital for adsorption, while macro-pores facilitate microbial colonization. High-temperature pyrolysis can enhance SSA and pore development, thereby augmenting biochar’s porosity. Studies have observed significant contributions of micro-pores to biochar SSA, which have a high capacity for adsorbate and water uptake [38,39]. There have been differing views on the correlation between SSA and methane yield. While larger SSA observed in certain biochar types facilitated microbial enrichment and potentially contributed to increased CH4 production, other research suggested that SSA may not be the sole determinant of methane yield [40,41]. While the potential benefits of incorporating solid-digestate-derived (SDD) biochar into AD systems are promising, knowledge gaps still exist. Most of the previous studies have used biochar derived from the solid digestate of food waste AD and manure AD for the treatment of contaminated water, but very few have utilized biochar in the AD of food waste. In this regard, the addition of biochar made by the MACP process to food waste AD has not been presented. Specifically, the relationship between AD performance and the operational conditions, including the catalyst, the pyrolysis temperature, and the biochar dosage, needs to be investigated. This study aimed to explore the potential impact of adding SDD biochar to AD. The specific objectives are to evaluate the efficacy of biochar in enhancing biogas and methane production by conducting biochemical methane potential (BMP) tests and to examine the influence of pyrolysis process conditions on the physicochemical properties of biochar and, hence, the performance of AD systems.

2. Materials and Methods

2.1. Materials

The substrates utilized in the BMP tests comprised wheat straw sourced from a farm in Alberta, “Model organic fraction of municipal solid waste” (M-OFMSW, or synthetic food waste) prepared using food items that were procured from a supermarket in Vancouver, BC, Canada, and microcrystalline cellulose (Sigma-Aldrich, Oakville, ON, Canada). The M-OFMSW composition is as follows: cooked rice (15.0 wt%) and pasta (15.0 wt%), cabbage/carrot/apple/banana (each 9.2 wt%), cooked ground beef (8.3 wt%), dog food (8.3 wt%), and tap water (16.6 wt%) that was added to enhance solubilization. Size reduction of the synthetic food waste was achieved by grinding 1 kg of the materials at high speed in a food processor for 30 s. The inoculum in the form of an anaerobic bacteria culture was sourced from an anaerobic digester at Seabreeze Farms (Delta, BC, Canada). The substrates for the digester are dairy manure and food waste (mainly fats, oil, and grease), with typically 20–30 wt% of the latter. The inoculum was stored at 20 °C for up to 30 days prior to use.
Biochar samples were made by the Pyrolysis Group at the Clean Energy Research Centre, UBC, using the MACP process and a lab-scale fixed-bed microwave reactor (Enwave Corporation, Vancouver, BC, Canada). The equipment consists of several major parts, which include a microwave generator (2.45 GHz frequency and 1.2 kW maximum power output), microwave transmission duct and leakage detection system, a cylindrical quartz tube reactor (44 mm inner diameter and 250 mm height), infrared pyrometer for temperature measurement, and a PID controller to control the reactor temperature via controlling the microwave power output [42]. In general, the two configurations of batch operation MACP are the in situ and ex situ modes [43]. The in situ MACP mode of operation was adopted to make the biochar required for our study, whereby the catalyst was well mixed with biomass in the same microwave reactor.
Solid digestate collected from the Seabreeze Farms anaerobic digester was used as the feedstock for MACP after drying. The solid digestate had 38.8 wt% hemicellulose, 24.1 wt% cellulose, 23.9 wt% lignin, 10.3 wt% ash, and 2.9 wt% moisture. Two types of catalysts were employed: “20K” (i.e., 20 wt% potassium phosphate, K3PO4) and “10K10C” (i.e., a mixture of 10 wt% K3PO4 and 10 wt% clinoptilolite (zeolite). The pyrolysis process was conducted at two levels of temperature, 400 °C and 500 °C, with a heating rate of about 70 °C/min and a 30 min residence time. After pyrolysis was completed, each biochar sample was washed with distilled water for 30 min with agitation, followed by overnight drying at 105 °C. Subsequently, it was sieved to <0.5 mm after grinding by a mortar and pestle to make powdered biochar and then stored in a desiccator.

2.2. Methods

2.2.1. Apparatus and Experimental Procedure

The gas density (GD) method was used to conduct the BMP assays. Established guidelines from the literature [44,45,46] were followed for the batch GD-BMP assays setup, which consists of a 20 L incubator (Vevor, Suzhou, China) and nine 500 mL media Pyrex bottles (VWR, Mississauga, ON, Canada) fitted with bromobutyl rubber stoppers as bioreactors. A schematic diagram of the experimental setup is shown in Figure 1. Before the start of each test, the inoculum was pre-incubated at 37 °C to degas and eliminate the impact of residual organic matter on methane production, and the bottles and stoppers were dried overnight at 60 °C.
The substrate-to-inoculum (S/I) ratio was maintained at 0.5. The bottles were sealed after flushing with nitrogen gas for 5 min to maintain anaerobic conditions. To prevent gas pressure from exceeding 200 kPa inside the serum bottles, a minimum of 400 mL of headspace was left in them; hence, the liquid volume in each bioreactor was around 100 mL with a total solids (TS) content of 8.5%. The bioreactors were then monitored daily for biogas production, whereby mass loss and biogas volume were measured. To determine the volume of biogas at atmospheric pressure, an electronic scale with a readability of 0.01 g, 150 mL plastic syringes with 21-gauge needles (VWR), a 3-way stopcock, and a Dwyer digital differential manometer (ITM Instruments, Ste-Anne-de-Bellevue, QC, Canada) were used. The error in the GD-BMP method is mainly related to weighing accuracy; hence, the selection of an appropriate scale is essential. For high accuracy and low random error (relative standard deviation RSD < 5%) in BMP, a reported scale accuracy of 30 mg or better appears to be sufficient when using as little as 1 g of the substrate VS.
The experiment was run at a mesophilic temperature of 37 °C. For each sampling event, the bottle was mixed by swirling and weighed (“pre-venting mass”), then the biogas was extracted with a syringe (vented biogas volume) and weighed again (“post-venting mass”). The water-only control was also weighed to ensure a stable response from the balance. The assay was performed in triplicate for each experimental treatment to ensure the reproducibility of the test and proper statistical analysis. Retention was ca. 18 days when the daily biogas production reached within 1% of the cumulative biogas production. At the end of the test, the bottles were removed from the incubator for measurements. For each BMP assay, the evaluation includes the specific cumulative methane yield (SMY), the biogas yield and its methane content, and the FOS/TAC ratio, which is a key indicator of system stability and biomass input. “FOS” corresponds to the volatile fatty acid (VFA) concentration, and “TAC” is an estimation of the buffering capacity.

2.2.2. Experimental Treatments

The pyrolysis temperature, the pyrolysis catalyst, and the biochar dosage are the key factors investigated for the performance of AD with the addition of biochar. The experimental treatments involve four types of biochar that were obtained from MACP of solid digestate at two levels of pyrolysis temperature (400 °C, 500 °C) and two types of catalyst (20K, 10K10C), and two levels of biochar dosage: a low dosage of 0.1 g/g substrate TS (or 8 g/L substrate) and a high dosage of 0.6 g/g substrate TS (or 48 g/L substrate). The two control treatments are food waste (control) and microcrystalline cellulose (positive control) as the substrate with the inoculum but without biochar amendment. The reasons for the chosen experimental conditions are outlined below. Previous studies relevant to anaerobic digestion that involve food waste as the substrate have applied a dosage ranging from 10 g/L to 50 g/L (or 0.12 g/g TS to 0.62 g/g TS) for biochar produced by pyrolysis or gasification of biomass [40,47,48,49]. According to the review paper on biomass MACP [50], the pyrolysis temperature generally ranges between 400 and 600 °C for in situ MACP and the catalyst works in the same temperature range. Regarding the choice of catalyst associated with biochar used in the experiment, firstly, studies in the literature have identified the advantages of K3PO4, which could act as a microwave absorber to increase the heating rate and act as a catalyst during biomass pyrolysis (especially the decomposition of lignin), resulting in improved pore structure and distribution of biochar [51,52]. K3PO4 could also be fully recovered with biochar for application as fertilizer and soil amendment to enhance plant growth. Secondly, synergistic catalytic effects were manifested in the presence of a mixture of K3PO4 and clinoptilolite compared to a single catalyst (K3PO4) at higher catalyst loads, such that the type of coke deposited on catalyst surfaces will affect the dielectric properties of the sample and microwave absorption, and consequently improved bio-oil and biochar quality [53].
Aside from these experimental treatments, two additional sets of BMP assays were conducted. The first additional set used biochar that was obtained from MACP with lignin as the feedstock, 500 °C pyrolysis temperature, one type of catalyst (20K), and two biochar dosage levels. The aim was to find out how the solid-digestate-derived biochar (SDD-biochar, with 25% lignin content) as the feedstock affects methane yield when compared to the lignin-derived biochar (LD-biochar). The second additional set is for co-digestion of M-OFMSW with wheat straw at two food-waste-to-wheat-straw (FW:WS) mass ratios (90:10 and 80:20 based on VS). The aim was to observe the AD performance due to co-digestion without biochar amendment and compare it to that due to the addition of biochar to food waste.

2.2.3. Characterization of Materials

The materials utilized in the anaerobic digestion process, including the biochar, the feedstock, and the inoculum, were characterized. The specific surface area of biochar was measured by N2 adsorption/desorption isotherm at 77 K (Model ASAP 2020, Micromeritics Instrument, Norcross, GA, USA). The total surface area and average pore diameter were determined by BET analysis, whereas the micropore volume and pore size were determined by BJH method. Elemental analysis (CHNS) of the biochars produced was conducted using an Elemental Analyzer (Thermo Fisher Scientific, Waltham, MA, USA). Fourier-transform infrared (FTIR) spectroscopy was conducted using an INVENIO-S (Bruker Corporation, Billerica, MA, USA) to analyze the functional groups present in the biochar samples. FTIR spectra were acquired over a spectral range of 4000–400 cm−1 with a resolution of 4 cm−1. Spectral data were processed and analyzed using Excel version 16.88 (2024) and Tableau version 2023.2.1. pH measurement was conducted using a pH meter. The measurement of TS and VS for the substrate and inoculum followed standard methods outlined in APHA 2540 B and 2540 E protocols [54], respectively.

2.2.4. Data and Statistical Analyses

  • Gas-Density Method
The GD method, as described by Justesen et al. [55], was followed to determine the methane content and yield of the biogas produced during anaerobic digestion. This method involves sampling the biogas from the reactors, measuring its volume and mass loss, and then calculating the biogas density. From the biogas density measurements, the methane content and yield are determined, providing insights into the efficiency of methane production. Biogas density under standard conditions of 101.3 kPa and 0 °C was calculated from bottle mass loss and standardized biogas volume. Mass loss was determined from changes in the post-venting bottle mass between sampling events or the change in bottle mass during venting. Standardized biogas volume was determined from the measured vented volume with corrections for moisture, temperature, and pressure. The water vapor pressure was calculated assuming saturation and knowing Ths, the reactor headspace temperature at the time of venting, which will lie between the incubation and room temperatures. The concentration of water present in the vented biogas was then calculated from this value, the molar mass of water, the biogas pressure in the reactor headspace just prior to venting, and the molar volume of biogas at standard condition (22.3 L mol−1).
  • Statistical Analyses
Statistical analyses were conducted to evaluate the significance of experimental results and identify any trends or correlations. Three-way analyses of variance (ANOVA) were employed to confirm the significant factors that drive the variations in biogas yield and SMY from AD of food waste. Furthermore, correlation analysis was performed to determine the strength and direction of the possible relationships between the biochar properties and SMY. All statistical analyses were conducted using R Studio.

3. Results and Discussion

3.1. Characteristics of Biochar, Substrate, and Inoculum

Parameters such as surface area, porosity, chemical composition, and pH are among the critical factors explored to elucidate the influence of biochar on AD performance. Table 1 shows the surface area and pore characteristics, as well as the physicochemical properties (pH and ash content) of the biochar samples that were used in the batch BMP assays. As the pyrolysis temperature increased from 400 to 500 °C, the SSA of the solid-digestate-derived biochar had a decrease of 30% for samples produced using 20K as the catalyst but a slight increase of 5% for samples made using 10K10C as the catalyst. Although higher temperatures would typically result in increased SSA, a reduction in SSA was observed at temperatures that exceeded 600 °C, which can be attributed to the higher ash content and, hence, decreased micropore formation [56]. In our study, biochars B2 and B4 (500 °C) had higher ash contents than biochars B1 and B3 (400 °C) (Table 1).
The biochar with the highest SSA (387 m2/g) was associated with the lignin-derived biochar LN-20K-500 (i.e., pyrolysis with lignin as the feedstock, 20K as the catalyst, and a 500 °C temperature), which is 120% greater than SSA of 176 m2/g for SD-10K10C-500 (i.e., pyrolysis with solid digestate as the feedstock, 10K10C as the catalyst, and a 500 °C temperature). Usually, lignin-rich substrates are expected to have a higher SSA and porosity, as the thermal degradation of lignin during pyrolysis leads to the formation of aromatic carbon structures and porous networks, enhancing the surface area [7]. The average pore diameter of the biochar samples ranged from 3.98 nm to 8.7 nm, with higher temperatures being associated with smaller pore sizes. This aligns with previous research, suggesting that higher pyrolysis temperatures lead to biochar formation with smaller pore sizes due to heat-induced decomposition of organic matter and the formation of more compact and stable carbon structures [57]. Generally, pores with a radius over 25 nm are considered to facilitate transport, while pores smaller than 25 nm are considered to facilitate adsorption [58]. All biochars displayed a positive correlation between pyrolysis temperature and pore volume. When the temperature increased from 400 to 500 °C, the total pore volume increased by around twofold, yet the micropore volume decreased by 41% and 5% for the SD-20K biochar and the SD-10K10C biochar, respectively. Interestingly, the biochar LN-20K-500 had a similar total pore volume but almost three times larger micropore volume as compared to the biochar SD-10K10C-500. Feedstocks having high volatile matter and lignin contents tend to develop a dense porous structure through the release of volatile compounds during pyrolysis, which is preserved by the thermal stability of lignin [59]. It shall be noted that the ash content of the SDD-biochars ranged from 42.4 to 51.0 wt% db, whereas the LD-biochar had a lower ash content of 13.2 wt% db due to the feedstock composition. The pH of all biochar samples (9.86–10.24) was within the typical alkaline pH range of 7.1–10.5 [60], though the LD-biochar had a slightly lower pH than that of the SDD-biochar.
FTIR spectra of the various biochar samples are displayed in Figure S1 (Supplementary Materials). The results revealed the presence of distinct functional groups, with variations attributed to differences in feedstock type, pyrolysis temperature, and catalyst composition. The SDD-biochars produced at a pyrolysis temperature of 500 °C did not exhibit strong signals, possibly due to lower concentrations of the surface groups. Nevertheless, broad peaks in the wavenumber 3450–3250 cm−1 range were observed in all biochar samples, indicative of OH-stretching frequencies in phenolic and H-bonded hydroxyl groups. During pyrolysis, the components of the feedstock undergo thermal decomposition, generating hydroxyl-containing compounds. This broadband appears more intense at 400 °C pyrolysis temperature compared to those at 500 °C. The bands between 2850 and 2950 cm−1 indicate C-H symmetric and asymmetric stretching of residual CHx groups commonly found in organic matter. This peak exhibited higher intensity in the LD-biochar.
The elemental analysis results are presented in Table 2. Several mass ratios that involve the (C, H, N, O) contents were calculated to determine the relationship between pyrolysis temperature and the biochar’s degree of aromaticity and hydrophobicity. During pyrolysis, the volatile matter in the feedstock is lost, while the minerals and carbon remain. The carbon content indicates the graphitic level of biochar. The H/C ratio indicates the degree of original organic carbon preserved. A decrease in the H/C ratio indicates increased aromatization and carbonization and high resistance against chemical and microbial decomposition. A drop in the O/C ratio indicates the evolution of the carbonization process and reduced hydrophilicity. As the temperature increased from 400 to 500 °C, for the biochar SD-20K, the aromaticity index (H/C) and polarity index (O/C) increased; hence, less complete carbonization was achieved at 500 °C. However, for the biochar SD-10K10C, there is a slight decrease in the H/C ratio and a significant reduction in the O/C ratio. Brickler et al. [61] have made similar observations that the lack of gas circulation and the heating of water molecules in the microwave pyrolysis process may result in less dehydration, which could account for the differences in the trends of the ratios.
Table 3 shows the properties of the substrates and the inoculum. Food waste (FW) and wheat straw (WS) had carbon contents of 47.2% and 44.0% and nitrogen contents of 3.16% and 0.35%, respectively. For a mass ratio of 90:10 (FW:WS, based on VS), the resulting C/N ratio is 17.6, and for a mass ratio of 80:20, the C/N ratio was 19.8.

3.2. BMP Assays—AD Performance

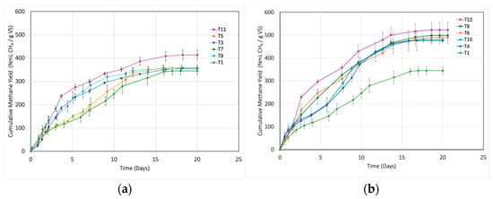
Figure 2a shows the AD performance in terms of the methane generation profiles for the experimental treatments (T3, T5, T7, T9, and T11) with a low biochar dosage of 0.1 g/g TS. As of 2–3 days after start-up, all treatments with SDD-biochar (except for T5 “SD-20K-500”) had higher methane production compared to the control (T1), while treatment T11 with LD-biochar performed better than the SDD-biochars throughout the whole test. Figure 2b shows the methane generation profiles for the treatments (T4, T6, T8, T10, and T12) with a high biochar dosage of 0.6 g/g TS. Evidently, methane production for all treatments with SDD-biochar as well as LD-biochar was significantly greater than the control as of 4–5 days after start-up.
Results in terms of the cumulative biogas yield, specific methane yield (SMY), and biogas CH4 content for all treatments are summarized in Table 4. In addition, Figure 3 displays the SMY in graphical form. SMY is defined as the cumulative methane yield per gram of VS at the end of the test. With a high biochar dosage of 0.6 g/g TS, the biogas yield and SMY associated with the SD-10K10C-400 biochar were 854 mL/g VS and 501 mL/g VS, respectively, and that associated with the SD-20K-500 biochar were 809 mL/g VS and 492 mL/g VS, respectively. By comparison, the LN-20K-500 biochar led to the highest biogas yield (906 mL/g VS) and SMY (525 mL/g VS). The mean FOS/TAC ratio measured at the end of each batch test ranged between 0.10 and 0.16. These values imply a low level of biomass feeding and complete consumption of the VFAs generated during the AD process. In practice, the biogas system is stable when the FOS/TAC ratio lies between 0.3 and 0.4.
For all biochar treatments, the biogas CH4 content ranged from 49 to 61%, as compared to 48% for the control. With a low dosage of 0.1 g/g TS, the SDD-biochar treatments had a slight decrease in biogas yield and did not enhance SMY compared to the control, whereas the LDD-biochar increased SMY by 16.8%. When the biochar dosage was raised to 0.6 g/g TS, the SDD-biochar treatments exhibited notable SMY enhancements by 36–52% and a greater CH4 content of 60–61% compared to the control. Though the LDD-biochar had the highest SMY of 525 mL/g VS, the CH4 content was not as high at 56%. These results suggest that the increase in biogas yield was less than the increase in SMY. A comparison of the biochar treatments was made with the food waste/wheat straw co-digestion treatments (T13 and T14 in Figure 1). With FW:WS mass ratios of 90:10 and 80:20, SMY was found to increase by 13–19%, along with a CH4 content of 58%. Thus, the biochar treatments with a high dosage performed better than the co-digestion treatments with no biochar addition.
We compared our results with those presented in the literature for AD of food waste with the addition of SDD-biochar. The accumulative methane yields associated with biochar dosages of 25 g/L and 50 g/L were found to be significantly higher than biochar dosages of 3–12 g/L [48]. Alghashm et al. [49] used biochar derived from the solid digestate of OFMSW (food/kitchen wastes) and conducted a mesophilic BMP test; they found that for pyrolysis temperature of 700 °C and biochar dosage of 10 g/L, the cumulative biogas yield of 990 mL/g VS was 8% greater than the control. Liu et al. [62] used food waste SDD-biochar and conducted bench-scale thermophilic co-digestion test with food waste and sewage sludge as substrates; the average daily methane yield was reported to be 432 mL/g VS, which is 40% greater than the control.

3.3. Influence of Biochar Dosage, Pyrolysis Temperature, and Catalyst

For treatments T3–T10 involving the SDD-biochars with both a high biochar dosage of 0.6 g/g TS and a low biochar dosage of 0.1 g/g TS, increasing the pyrolysis temperature from 400 °C to 500 °C had no significant effect on biogas yield and specific methane yield (SMY), regardless of the catalyst used. A decrease in SMY by 10% with an increase in pyrolysis temperature from 450 to 550 °C has also been observed in previous studies, for instance, in the anaerobic digestion of chicken manure [63]. As for the effect of biochar types, LD-biochar gave rise to somewhat better performance in terms of biogas yield and SMY vs. the SDD-biochars under low biochar dosage; yet the two types of biochar differ significantly in their performance under high biochar dosage.
Subsequently, a three-way ANOVA was performed to determine the impact of the three factors (biochar dosage, pyrolysis temperature, and pyrolysis catalyst) on SMY for these treatments. The results reveal that variations in biochar dosage largely dominate the observed variance in biogas yield and SMY (p < 0.001), yet no significant impacts are observed for pyrolysis temperature or pyrolysis catalyst (p > 0.1). Moreover, no significant interactions are found between biochar dosage and either pyrolysis temperature or pyrolysis catalyst.
Parameters that are pertinent to the properties of biochar (SSA, micropore volume, aromaticity index, polarity index, and hydrophilicity) were then adjusted by incorporating the biochar dosage applied in each treatment. The aim is to standardize the variables that are affected by different biochar dosages across treatments. Multiplying these parameters by the biochar dosage created new variables, allowing for a comparison of the relative impact of biochar’s physicochemical properties on SMY while accounting for differences in biochar dosage. These variables are labeled as “dosage-adjusted SSA, micropore volume, aromaticity index, polarity index, and hydrophilicity”, as displayed in Table 5. It shall be noted that the parameter “dosage-adjusted SSA” is the “total surface area of biochar per unit volume of the substrate, in [m2/L]”.
A correlation analysis was then performed to determine the strength and direction of the possible relationships between the biochar physicochemical properties and SMY. Without dosage adjustment, calculations indicated that there is little correlation between SMY and each of the biochar properties under the scenarios of low and high biochar dosage levels, as the correlation coefficients, r, were less than 0.30. The results of the correlation analysis involving the dosage-adjusted parameters are shown in Table 5. Here, the correlation coefficients are seen to range from 0.710 to 0.934.
The dosage-adjusted SSA and micropore volume have a strong positive correlation with SMY, the correlation coefficient r being 0.923 and 0.874, respectively. Based on separate calculations, the dosage-adjusted SSA and micropore volume also hold a very strong positive correlation (r = 0.983). This is reasonable since, during pyrolysis, the feedstock undergoes thermal degradation in the absence of oxygen, forming biochar with a complex pore structure. The development of micropores (<2 nm) occurs as volatile components are driven off, leaving behind a porous carbon matrix. This process contributes to an increase in both the biochar SSA and micropore volume. The correlation between the dosage-adjusted AI and SMY also has a high r of 0.934, suggesting that both the surface functional groups and pore properties impact the methane yield. AI is associated with the aromatic carbon structures within the biochar, which are characterized by conjugated double bonds in a ring-like arrangement, imparting stability and degradation resistance. By comparison, the correlations between the dosage-adjusted PI and hydrophilicity (HP) with SMY are mild, having r values of 0.737 and 0.710, respectively. PI is also related to the surface functional groups, and it indicates the polarity, hydrophilicity, or hydrophobicity of the biochar surface, reflecting its affinity for polar or nonpolar molecules. Aromatic compounds typically possess nonpolar characteristics due to the delocalization of π-electrons within the ring structure, resulting in minimal interaction with polar solvents or molecules. Overall, the correlation analysis demonstrates that the total surface area of biochar per unit volume of substrate and the dosage-adjusted aromaticity index have the most significant impact on SMY.

4. Conclusions

Adding biochar to food waste (M-OFMSW) exhibited a notable dosage-dependent relationship with SMY. At a lower dosage (0.1 g/g TS), the incremental improvement in methane production was marginal across most biochar treatments compared to the control. All biochars at a higher dosage of 0.6 g/g TS increased methane content by at least 10%, with significant improvements in methane yield ranging from 35% to 52% compared to the control. A three-way ANOVA showed that biochar dosage level significantly influenced methane yield, while pyrolysis temperature (400 °C vs. 500 °C) and catalyst (20 wt% K3PO4 vs. 10 wt% K3PO4/10 wt% clinoptilolite) did not lead to significant differences in CH4 yield between the treatments. Correlation analysis results suggested that biochar’s most impactful properties on methane yield would be the dosage-adjusted specific surface area (or total surface area per unit volume of substrate) and aromaticity index. Hence, a range of dosage levels shall be tested in the future, with the aim of delineating an optimal biochar dosage for food waste AD. The findings suggest more research to be conducted that involves optimizing the specific surface area and aromaticity of biochar along with optimal biochar dosage, which could be key to improving methane production and, hence, the conversion efficiency and sustainability of AD systems.

Supplementary Materials

The following supporting information can be downloaded at https://www.mdpi.com/article/10.3390/su16187997/s1, Figure S1: FTIR spectra of the five biochar samples.

Author Contributions

Conceptualization, A.L.; Methodology, S.L.S. and A.L.; Investigation, S.L.S.; Writing—original draft preparation, S.L.S.; Writing—review and editing, A.L. and S.L.S.; Supervision, A.L.; Funding acquisition, A.L. All authors have read and agreed to the published version of the manuscript.

Funding

This research was funded by the Natural Sciences and Engineering Research Council of Canada (NSERC).

Institutional Review Board Statement

Not applicable.

Informed Consent Statement

Not applicable.

Data Availability Statement

All data collected and analyzed are presented in this published article. Any additional data supporting the results can be made available upon request to the corresponding author.

Acknowledgments

The financial support by NSERC is gratefully acknowledged. Special thanks are extended to Qing An, Yang Liu, and Pu Yang from the Pyrolysis Group at the Clean Energy Research Centre for making and testing the biochar samples as needed for the BMP assays.

Conflicts of Interest

The authors declare no conflicts of interest.

References

  1. Li, C.; Li, J.; Pan, L.; Zhu, X.; Xie, S.; Yu, G.; Wang, Y.; Pan, X.; Zhu, G.; Angelidaki, I. Treatment of digestate residues for energy recovery and biochar production: From lab to pilot-scale verification. J. Clean. Prod. 2020, 265, 121852. [Google Scholar] [CrossRef]
  2. International Energy Agency. IEA. Global Energy Review. 2021. Available online: https://Www.Iea.Org/Reports/Global-Energy-Review-2021v (accessed on 10 May 2022).
  3. Canadian Biogas Association. 2023 Canadian Biogas Market Report. Available online: https://biogasassociation.ca/resources/nutrient_recovery_from_agricultural_biogas_systems (accessed on 1 December 2023).
  4. Wang, H.; Zhang, S.; Bi, X.; Clift, R. Greenhouse gas emission reduction potential and cost of bioenergy in British Columbia, Canada. Energy Policy 2020, 138, 111285. [Google Scholar] [CrossRef]
  5. Breunig, H.M.; Amirebrahimi, J.; Smith, S.; Scown, C.D. Role of digestate and biochar in carbon-negative bioenergy. Environ. Sci. Technol. 2019, 53, 12989–12998. [Google Scholar] [CrossRef]
  6. Chen, T.; Qiu, X.; Feng, H.; Yin, J.; Shen, D. Solid digestate disposal strategies to reduce the environmental impact and energy consumption of food waste-based biogas systems. Bioresour. Technol. 2021, 325, 124706. [Google Scholar] [CrossRef]
  7. Saif, I.; Thakur, N.; Zhang, P.; Zhang, L.; Xing, X.; Yue, J.; Song, Z.; Nan, L.; Yujun, S.; Usman, M.; et al. Biochar assisted anaerobic digestion for biomethane production: Microbial symbiosis and electron transfer. J. Environ. Chem. Eng. 2022, 10, 107960. [Google Scholar] [CrossRef]
  8. González-Fernández, C.; García-Encina, P.A. Impact of substrate to inoculum ratio in anaerobic digestion of swine slurry. Biomass- Bioenergy 2009, 33, 1065–1069. [Google Scholar] [CrossRef]
  9. Wang, X.; Yang, G.; Feng, Y.; Ren, G.; Han, X. Optimizing feeding composition and carbon–nitrogen ratios for improved methane yield during anaerobic co-digestion of dairy, chicken manure and wheat straw. Bioresour. Technol. 2012, 120, 78–83. [Google Scholar] [CrossRef] [PubMed]
  10. Pecchi, M.; Baratieri, M. Coupling anaerobic digestion with gasification, pyrolysis or hydrothermal carbonization: A review. Renew. Sustain. Energy Rev. 2019, 105, 462–475. [Google Scholar] [CrossRef]
  11. Zheng, Y.; Zhao, J.; Xu, F.; Li, Y. Pretreatment of lignocellulosic biomass for enhanced biogas production. Prog. Energy. Combust. Sci. 2014, 42, 35–53. [Google Scholar] [CrossRef]
  12. Yong, Z.; Dong, Y.; Zhang, X.; Tan, T. Anaerobic co-digestion of food waste and straw for biogas production. Renew. Energy 2015, 78, 527–530. [Google Scholar] [CrossRef]
  13. International Biochar Initiative. IBI. Standardized Product Definition and Product Testing Guidelines for Biochar That Is Used in Soil V.2.1. 2012. Available online: http://www.biocharinternational.org/sites/default/files/IBI_Biochar_Standards_V2.1_Final.pdf (accessed on 1 September 2022).
  14. Qi, Q.; Sun, C.; Cristhian, C.; Zhang, T.; Zhang, J.; Tian, H.; He, Y.; Tong, Y.W. Enhancement of methanogenic performance by gasification biochar on anaerobic digestion. Bioresour. Technol. 2021, 330, 124993. [Google Scholar] [CrossRef] [PubMed]
  15. Zhao, D.; Yan, B.; Liu, C.; Yao, B.; Luo, L.; Yang, Y.; Liu, L.; Wu, F.; Zhou, Y. Mitigation of acidogenic product inhibition and elevated mass transfer by biochar during anaerobic digestion of food waste. Bioresour. Technol. 2021, 338, 125531. [Google Scholar] [CrossRef] [PubMed]
  16. Cai, J.; He, P.; Wang, Y.; Shao, L.; Lü, F. Effects and optimization of the use of biochar in anaerobic digestion of food wastes. Waste Manag. Res. 2016, 34, 409–416. [Google Scholar] [CrossRef] [PubMed]
  17. Luo, C.; Lü, F.; Shao, L.; He, P. Application of eco-compatible biochar in anaerobic digestion to relieve acid stress and promote the selective colonization of functional microbes. Water Res. 2015, 68, 710–718. [Google Scholar] [CrossRef]
  18. Monlau, F.; Sambusiti, C.; Ficara, E.; Aboulkas, A.; Barakat, A.; Carrère, H. New opportunities for agricultural digestate valorization: Current situation and perspectives. Energy Environ. Sci. 2015, 8, 2600–2621. [Google Scholar] [CrossRef]
  19. Ambaye, T.G.; Rene, E.R.; Nizami, A.-S.; Dupont, C.; Vaccari, M.; van Hullebusch, E.D. Beneficial role of biochar addition on the anaerobic digestion of food waste: A systematic and critical review of the operational parameters and mechanisms. J. Environ. Manag. 2021, 290, 112537. [Google Scholar] [CrossRef]
  20. Ramanayaka, S.; Vithanage, M.; Alessi, D.S.; Liu, W.-J.; Jayasundera, A.C.A.; Ok, Y.S. Nanobiochar: Production, properties, and multifunctional applications. Environ. Sci. Nano 2020, 7, 3279–3302. [Google Scholar] [CrossRef]
  21. Yin, C.; Shen, Y.; Yuan, R.; Zhu, N.; Yuan, H.; Lou, Z. Sludge-based biochar-assisted thermophilic anaerobic digestion of waste-activated sludge in microbial electrolysis cell for methane production. Bioresour. Technol. 2019, 284, 315–324. [Google Scholar] [CrossRef]
  22. Zhang, C.; Yang, R.; Sun, M.; Zhang, S.; He, M.; Tsang, D.C.W.; Luo, G. Wood waste biochar promoted anaerobic digestion of food waste: Focusing on the characteristics of biochar and microbial community analysis. Biochar 2022, 4, 62. [Google Scholar] [CrossRef]
  23. Ma, H.; Hu, Y.; Kobayashi, T.; Xu, K.-Q. The role of rice husk biochar addition in anaerobic digestion for sweet sorghum under high loading condition. Biotechnol. Rep. 2020, 27, e00515. [Google Scholar] [CrossRef]
  24. Zhao, W.; Yang, H.; He, S.; Zhao, Q.; Wei, L. A review of biochar in anaerobic digestion to improve biogas production: Performances, mechanisms and economic assessments. Bioresour. Technol. 2021, 341, 125797. [Google Scholar] [CrossRef] [PubMed]
  25. Lü, F.; Luo, C.; Shao, L.; He, P. Biochar alleviates combined stress of ammonium and acids by firstly enriching Methanosaeta and then Methanosarcina. Water Res. 2016, 90, 34–43. [Google Scholar] [CrossRef] [PubMed]
  26. Wang, G.; Li, Q.; Gao, X.; Wang, X.C. Synergetic promotion of syntrophic methane production from anaerobic digestion of complex organic wastes by biochar: Performance and associated mechanisms. Bioresour. Technol. 2018, 250, 812–820. [Google Scholar] [CrossRef] [PubMed]
  27. Mumme, J.; Srocke, F.; Heeg, K.; Werner, M. Use of biochars in anaerobic digestion. Bioresour. Technol. 2014, 164, 189–197. [Google Scholar] [CrossRef]
  28. Chiappero, M.; Norouzi, O.; Hu, M.; Demichelis, F.; Berruti, F.; Di Maria, F.; Mašek, O.; Fiore, S. Review of biochar role as additive in anaerobic digestion processes. Renew. Sustain. Energy Rev. 2020, 131, 110037. [Google Scholar] [CrossRef]
  29. Li, J.; Dai, J.; Liu, G.; Zhang, H.; Gao, Z.; Fu, J.; He, Y.; Huang, Y. Biochar from microwave pyrolysis of biomass: A review. Biomass- Bioenergy 2016, 94, 228–244. [Google Scholar] [CrossRef]
  30. Selvam, S.M.; Paramasivan, B. Microwave assisted carbonization and activation of biochar for energy-environment nexus: A review. Chemosphere 2022, 286, 131631. [Google Scholar] [CrossRef]
  31. Mohamed, B.A.; Ellis, N.; Kim, C.S.; Bi, X.; Emam, A.E.-R. Engineered biochar from microwave-assisted catalytic pyrolysis of switchgrass for increasing water-holding capacity and fertility of sandy soil. Sci. Total. Environ. 2016, 566–567, 387–397. [Google Scholar] [CrossRef]
  32. Shen, Y.; Linville, J.L.; Urgun-Demirtas, M.; Schoene, R.P.; Snyder, S.W. Producing pipeline-quality biomethane via anaerobic digestion of sludge amended with corn stover biochar with in-situ CO2 removal. Appl. Energy 2015, 158, 300–309. [Google Scholar] [CrossRef]
  33. Wang, H.; Larson, R.; Runge, T. Impacts to hydrogen sulfide concentrations in biogas when poplar wood chips, steam treated wood chips, and biochar are added to manure-based anaerobic digestion systems. Bioresour. Technol. Rep. 2019, 7, 100232. [Google Scholar] [CrossRef]
  34. Linville, J.L.; Shen, Y.; Leon, P.A.I.-D.; Schoene, R.P.; Urgun-Demirtas, M. In-situ biogas upgrading during anaerobic digestion of food waste amended with walnut shell biochar at bench scale. Waste Manag. Res. 2017, 35, 669–679. [Google Scholar] [CrossRef] [PubMed]
  35. Choudhury, A.; Lansing, S. Biochar addition with Fe impregnation to reduce H2S production from anaerobic digestion. Bioresour. Technol. 2020, 306, 123121. [Google Scholar] [CrossRef] [PubMed]
  36. Nguyen, L.N.; Kumar, J.; Vu, M.T.; Mohammed, J.A.; Pathak, N.; Commault, A.S.; Sutherland, D.; Zdarta, J.; Tyagi, V.K.; Nghiem, L.D. Biomethane production from anaerobic co-digestion at wastewater treatment plants: A critical review on development and innovations in biogas upgrading techniques. Sci. Total. Environ. 2021, 765, 142753. [Google Scholar] [CrossRef] [PubMed]
  37. Yuan, Y.; Bolan, N.; Prévoteau, A.; Vithanage, M.; Biswas, J.K.; Ok, Y.S.; Wang, H. Applications of biochar in redox-mediated reactions. Bioresour. Technol. 2017, 246, 271–281. [Google Scholar] [CrossRef] [PubMed]
  38. Fagbohungbe, M.O.; Herbert, B.M.J.; Hurst, L.; Ibeto, C.N.; Li, H.; Usmani, S.Q.; Semple, K.T. The challenges of anaerobic digestion and the role of biochar in optimizing anaerobic digestion. Waste Manag. 2017, 61, 236–249. [Google Scholar] [CrossRef]
  39. Zabaniotou, A.; Stavropoulos, G.; Skoulou, V. Activated carbon from olive kernels in a two-stage process: Industrial improvement. Bioresour. Technol. 2008, 99, 320–326. [Google Scholar] [CrossRef]
  40. Johnravindar, D.; Wong, J.W.; Chakraborty, D.; Bodedla, G.; Kaur, G. Food waste and sewage sludge co-digestion amended with different biochars: VFA kinetics, methane yield and digestate quality assessment. J. Environ. Manag. 2021, 290, 112457. [Google Scholar] [CrossRef]
  41. Pan, J.; Sun, J.; Ao, N.; Xie, Y.; Zhang, A.; Chen, Z.; Cai, L. Factors Influencing Biochar-Strengthened Anaerobic Digestion of Cow Manure. BioEnergy Res. 2022, 17, 1145–1154. [Google Scholar] [CrossRef]
  42. Mohamed, B.A.; Kim, C.S.; Ellis, N.; Bi, X. Microwave-assisted catalytic pyrolysis of switchgrass for improving bio-oil and biochar properties. Bioresour. Technol. 2016, 201, 121–132. [Google Scholar] [CrossRef]
  43. Du, H.; Zhong, Z.; Zhang, B.; Shi, K.; Li, Z. Ex -situ catalytic upgrading of vapors from microwave -assisted pyrolysis of bamboo with chemical liquid deposition modified HZSM-5 to enhance aromatics production. J. Anal. Appl. Pyrolysis 2020, 149, 104857. [Google Scholar] [CrossRef]
  44. Angelidaki, I.; Alves, M.; Bolzonella, D.; Borzacconi, L.; Campos, J.L.; Guwy, A.J.; Kalyuzhnyi, S.; Jenicek, P.; van Lier, J.B. Defining the biomethane potential (BMP) of solid organic wastes and energy crops: A proposed protocol for batch assays. Water Sci. Technol. 2009, 59, 927–934. [Google Scholar] [CrossRef] [PubMed]
  45. Filer, J.; Ding, H.H.; Chang, S. Biochemical Methane Potential (BMP) Assay Method for Anaerobic Digestion Research. Water 2019, 11, 921. [Google Scholar] [CrossRef]
  46. Ohemeng-Ntiamoah, J.; Datta, T. Perspectives on variabilities in biomethane potential test parameters and outcomes: A review of studies published between 2007 and 2018. Sci. Total. Environ. 2019, 664, 1052–1062. [Google Scholar] [CrossRef] [PubMed]
  47. Wang, G.; Li, Q.; Gao, X.; Wang, X.C. Sawdust-Derived Biochar Much Mitigates VFAs Accumulation and Improves Microbial Activities To Enhance Methane Production in Thermophilic Anaerobic Digestion. ACS Sustain. Chem. Eng. 2019, 7, 2141–2150. [Google Scholar] [CrossRef]
  48. Zhang, J.; Cui, Y.; Zhang, T.; Hu, Q.; Tong, Y.W.; He, Y.; Dai, Y.; Wang, C.-H.; Peng, Y. Food waste treating by biochar-assisted high-solid anaerobic digestion coupled with steam gasification: Enhanced bioenergy generation and porous biochar production. Bioresour. Technol. 2021, 331, 125051. [Google Scholar] [CrossRef]
  49. Alghashm, S.; Song, L.; Liu, L.; Ouyang, C.; Zhou, J.L.; Li, X. Improvement of biogas production using biochar from digestate at different pyrolysis temperatures during OFMSW anaerobic digestion. Sustainability 2023, 15, 11917. [Google Scholar] [CrossRef]
  50. Ren, X.; Ghazani, M.S.; Zhu, H.; Ao, W.; Zhang, H.; Moreside, E.; Zhu, J.; Yang, P.; Zhong, N.; Bi, X. Challenges and opportunities in microwave-assisted catalytic pyrolysis of biomass: A review. Appl. Energy 2022, 315, 118970. [Google Scholar] [CrossRef]
  51. Zhang, H.; Ke, S.; Xia, M.; Bi, X.; Shao, J.; Zhang, S.; Chen, H. Effects of phosphorous precursors and speciation on reducing bioavailability of heavy metal in paddy soil by engineered biochars. Environ. Pollut. 2021, 285, 117459. [Google Scholar] [CrossRef] [PubMed]
  52. Zhu, H.; Saddler, J.; Bi, X. An economic and environmental assessment of biofuel produced via microwave-assisted catalytic pyrolysis of forest residues. Energy Convers. Manag. 2022, 263, 115723. [Google Scholar] [CrossRef]
  53. Mohamed, B.A.; Ellis, N.; Kim, C.S.; Bi, X. Microwave-assisted catalytic biomass pyrolysis: Effects of catalyst mixtures. Appl. Catal. B Environ. 2019, 253, 226–234. [Google Scholar] [CrossRef]
  54. American Public Health Association. Standard Methods for the Examination of Water and Wastewater, 21st ed.; American Public Health Association: Washington, DC, USA, 2005. [Google Scholar]
  55. Justesen, C.G.; Astals, S.; Mortensen, J.R.; Thorsen, R.; Koch, K.; Weinrich, S.; Triolo, J.M.; Hafner, S.D. Development and Validation of a Low-Cost Gas Density Method for Measuring Biochemical Methane Potential (BMP). Water 2019, 11, 2431. [Google Scholar] [CrossRef]
  56. Chaves Fernandes, B.C.; Ferreira Mendes, K.; Dias Júnior, A.F.; da Silva Caldeira, V.P.; da Silva Teófilo, T.M.; Severo Silva, T.; Mendonça, V.; de Freitas Souza, M.; Valadão Silva, D. Impact of Pyrolysis Temperature on the Properties of Eucalyptus Wood-Derived Biochar. Materials 2020, 13, 5841. [Google Scholar] [CrossRef]
  57. Tomczyk, A.; Sokołowska, Z.; Boguta, P. Biochar physicochemical properties: Pyrolysis temperature and feedstock kind effects. Rev. Environ. Sci. Bio/Technol. 2020, 19, 191–215. [Google Scholar] [CrossRef]
  58. Zdravkov, B.; Čermák, J.; Šefara, M.; Janků, J. Pore classification in the characterization of porous materials: A perspective. Open Chem. 2007, 5, 385–395. [Google Scholar] [CrossRef]
  59. Leng, L.; Xiong, Q.; Yang, L.; Li, H.; Zhou, Y.; Zhang, W.; Jiang, S.; Li, H.; Huang, H. An overview on engineering the surface area and porosity of biochar. Sci. Total. Environ. 2021, 763, 144204. [Google Scholar] [CrossRef]
  60. Lehmann, J.; Rillig, M.C.; Thies, J.; Masiello, C.A.; Hockaday, W.C.; Crowley, D. Biochar effects on soil biota—A review. Soil Biol. Biochem. 2011, 43, 1812–1836. [Google Scholar] [CrossRef]
  61. Brickler, C.A.; Wu, Y.; Li, S.; Anandhi, A.; Chen, G. Comparing Physicochemical Properties and Sorption Behaviors of Pyrolysis-Derived and Microwave-Mediated Biochar. Sustainability 2021, 13, 2359. [Google Scholar] [CrossRef]
  62. Liu, H.; Wang, X.; Fang, Y.; Lai, W.; Xu, S.; Lichtfouse, E. Enhancing thermophilic anaerobic co-digestion of sewage sludge and food waste with biogas residue biochar. Renew. Energy 2022, 188, 465–475. [Google Scholar] [CrossRef]
  63. Pan, J.; Ma, J.; Liu, X.; Zhai, L.; Ouyang, X.; Liu, H. Effects of different types of biochar on the anaerobic digestion of chicken manure. Bioresour. Technol. 2019, 275, 258–265. [Google Scholar] [CrossRef]
Figure 1. Schematic diagram of experimental setup. Created with BioRender.com.
Figure 1. Schematic diagram of experimental setup. Created with BioRender.com.
Sustainability 16 07997 g001
Figure 2. Methane generation profiles for the experimental treatments: (a) with a low biochar dosage of 0.1 g/g TS; (b) with a high biochar dosage of 0.6 g/g TS as compared to the control.
Figure 2. Methane generation profiles for the experimental treatments: (a) with a low biochar dosage of 0.1 g/g TS; (b) with a high biochar dosage of 0.6 g/g TS as compared to the control.
Sustainability 16 07997 g002
Figure 3. Comparison of specific methane yield (SMY) among the experimental treatments.
Figure 3. Comparison of specific methane yield (SMY) among the experimental treatments.
Sustainability 16 07997 g003
Table 1. Characteristics of the biochars used in the experiment.
Table 1. Characteristics of the biochars used in the experiment.
Biochar *BET
Surface Area (m2/g)
pHAsh (wt%, db)Pore
Volume (cm3/g)
Micropore
Volume (cm3/g)
Average
Pore Size (nm)
B1 (SD-20K-400)16110.142.40.1450.06288.70
B2 (SD-20K-500)11310.243.60.1830.03005.89
B3 (SD-10K10C-400)16810.245.80.1440.05997.49
B4 (SD-10K10C-500)17610.251.00.2280.05675.76
B5 (LN-20K-500)3879.8613.20.2310.16493.98
* B1–B4: solid-digestate derived biochar; B5: lignin-derived biochar.
Table 2. Elemental analysis and weight ratios (AI, PI, HP) of biochar samples.
Table 2. Elemental analysis and weight ratios (AI, PI, HP) of biochar samples.
BiocharElemental Analysis (wt %, db)AIPIHP
CHNSOH/C(O+N)/CO/C
B151.40.881.010.423.90.0170.0960.076
B240.90.940.750.4113.40.0230.350.330
B337.60.630.480.3915.10.0170.410.400
B444.20.640.680.373.150.0140.0870.071
B572.20.870.032.1911.50.0120.340.160
AI: aromaticity index, PI: polarity index, HP: hydrophilicity.
Table 3. Characteristics of the substrate and inoculum.
Table 3. Characteristics of the substrate and inoculum.
TS
(wt%)
VS
(wt%)
C
(wt% db)
N
(wt% db)
Inoculum3.052.17--
Food waste27.526.247.23.16
Wheat straw94.290.644.00.35
Cellulose *95.495.0--
* Cellulose is the positive control.
Table 4. Biochemical methane potential(BMP) test results.
Table 4. Biochemical methane potential(BMP) test results.
Treatment/BiocharBiochar
Dosage
(g/g TS)
Biogas
Yield
(mL/g VS)
SMY
(mL/g VS)
Methane
Content
(%)
T1Control--714 ± 24345 ± 1748
T2Positive control--715 ± 21372 ± 1252
T3SD-20K-4000.1672 ± 9356 ± 449
T4SD-20K-4000.6776 ± 34475 * ± 4461
T5SD-20K-5000.1700 ± 23358 ± 1251
T6SD-20K-5000.6809 ± 49492 * ± 2761
T7SD-10K10C-4000.1692 ± 8352 ± 1553
T8SD-10K10C-4000.6854 ± 24501 * ± 761
T9SD-10K10C-5000.1709 ± 8351 ± 1550
T10SD-10K10C-5000.6797 ± 4480 * ± 1160
T11LN-20K-5000.1759 ± 56403 * ± 0.0653
T12LN-20K-5000.6906 ± 85525 * ± 3656
* Statistically different than the control treatment at a 95% confidence level.
Table 5. Correlation coefficients between dosage-adjusted biochar physicochemical properties and SMY for treatments T3–T10.
Table 5. Correlation coefficients between dosage-adjusted biochar physicochemical properties and SMY for treatments T3–T10.
Dosage-Adjusted
Parameter
Coefficient of Correlation, r
Specific surface area (SSA)0.923
Micropore volume0.874
Aromaticity index (AI)0.934
Polarity index (PI)0.737
Hydrophilicity (HP)0.710
Disclaimer/Publisher’s Note: The statements, opinions and data contained in all publications are solely those of the individual author(s) and contributor(s) and not of MDPI and/or the editor(s). MDPI and/or the editor(s) disclaim responsibility for any injury to people or property resulting from any ideas, methods, instructions or products referred to in the content.

Share and Cite

MDPI and ACS Style

Saucedo, S.L.; Lau, A. Anaerobic Digestion of Food Waste with the Addition of Biochar Derived from Microwave Catalytic Pyrolysis of Solid Digestate. Sustainability 2024, 16, 7997. https://doi.org/10.3390/su16187997

AMA Style

Saucedo SL, Lau A. Anaerobic Digestion of Food Waste with the Addition of Biochar Derived from Microwave Catalytic Pyrolysis of Solid Digestate. Sustainability. 2024; 16(18):7997. https://doi.org/10.3390/su16187997

Chicago/Turabian Style

Saucedo, Sofia Lucero, and Anthony Lau. 2024. "Anaerobic Digestion of Food Waste with the Addition of Biochar Derived from Microwave Catalytic Pyrolysis of Solid Digestate" Sustainability 16, no. 18: 7997. https://doi.org/10.3390/su16187997

APA Style

Saucedo, S. L., & Lau, A. (2024). Anaerobic Digestion of Food Waste with the Addition of Biochar Derived from Microwave Catalytic Pyrolysis of Solid Digestate. Sustainability, 16(18), 7997. https://doi.org/10.3390/su16187997

Note that from the first issue of 2016, this journal uses article numbers instead of page numbers. See further details here.

Article Metrics

Back to TopTop