Exploring Sustainable Solutions: Dynamic Adsorption, Isotherm Models, and Kinetics of Organic Contaminants on Polystyrene Microplastics
Abstract
1. Introduction
2. Materials and Methods
2.1. Materials
2.2. Batch Experiments
2.3. OCP Extraction
2.4. OCP Chromatographic Determination
2.5. Quality Assurance and Quality Control
2.6. PS Characterization
2.7. Adsorption Study
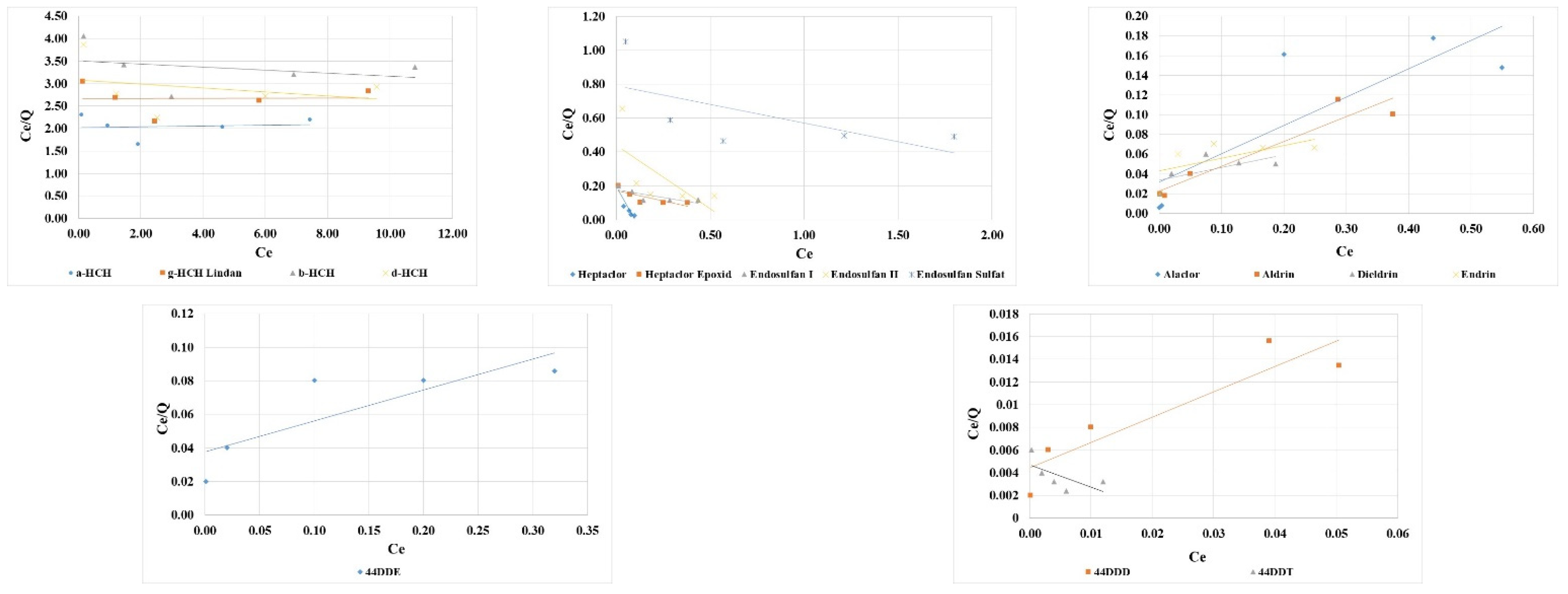
2.8. Adsorption Isotherms
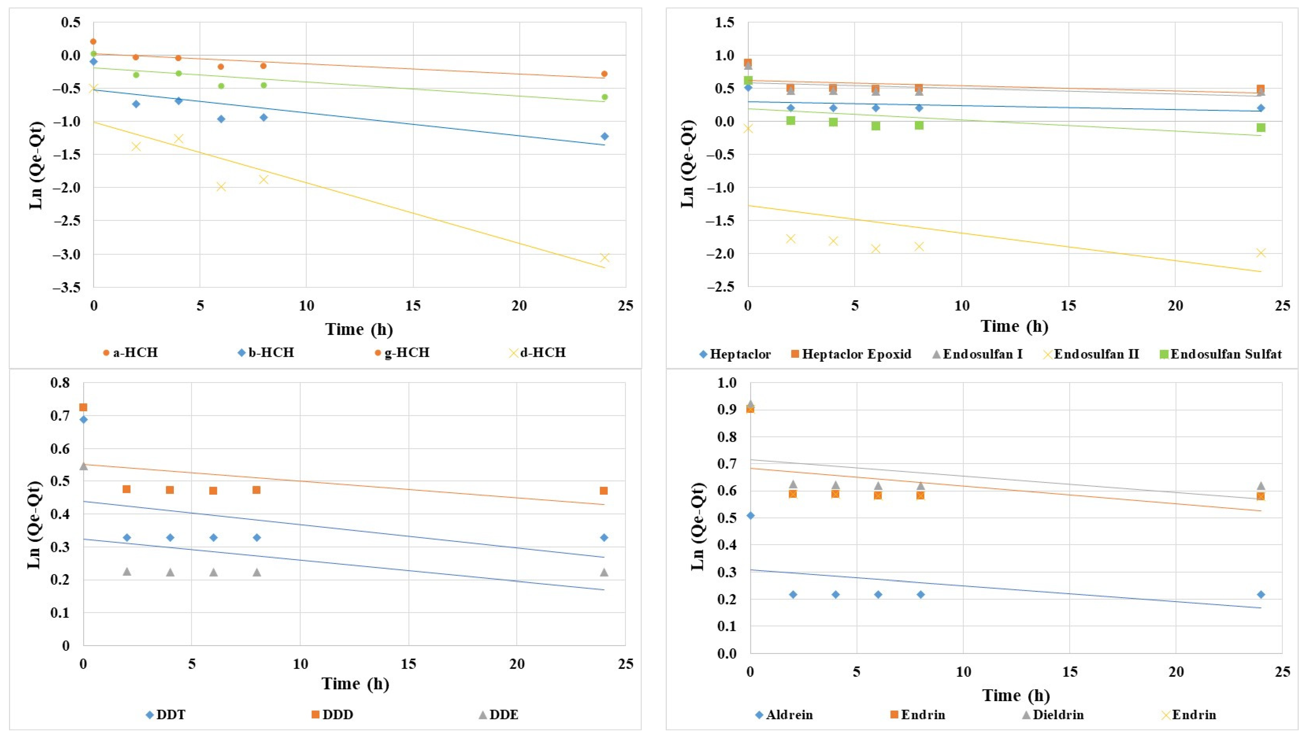
2.9. Kinetic Study
3. Results
3.1. Polystyrene Characterization
3.2. Adsorption Parameters Optimization
3.2.1. pH Influence
3.2.2. Effect of Contact Time
3.3. Adsorption Isotherms
3.4. Adsorption Process Kinetics
4. Conclusions
Author Contributions
Funding
Institutional Review Board Statement
Informed Consent Statement
Data Availability Statement
Acknowledgments
Conflicts of Interest
References
- Siwach, S.; Bharti, M.; Yadav, S.; Dolkar, P.; Modeel, S.; Yadav, P.; Negi, T.; Negi, R.K. Unveiling the ecotoxicological impact of microplastics on organisms—The persistent organic pollutant (POP): A comprehensive review. J. Contam. Hydrol. 2024, 266, 104397. [Google Scholar] [CrossRef] [PubMed]
- Chen, X.; Yu, X.; Zhang, L.; Zhao, W.; Sui, Q. Organic pollutants adsorbed on microplastics: Potential indicators for source appointment of microplastics. J. Hazard. Mater. 2024, 465, 133225. [Google Scholar] [CrossRef] [PubMed]
- Sparling, D.W. Chapter 4—Organochlorine Pesticides. In Ecotoxicology Essentials; Sparling, D.W., Ed.; Academic Press: Cambridge, MA, USA, 2016; pp. 69–107. ISBN 9780128019474. [Google Scholar] [CrossRef]
- Stockholm Convention—History of the Negotiations of the Stockholm Convention. Available online: http://chm.pops.int/TheConvention/Overview/History/Overview/tabid/3549/Default.aspx (accessed on 12 March 2024).
- Directive (EU) 2020/2184 of the European Parliament and of the Council of 16 December 2020 on the Quality of Water in-Tended for Human Consumption. Available online: https://faolex.fao.org/docs/pdf/eur201243.pdf (accessed on 12 March 2024).
- Hassaan, M.A.; El Nemr, A. Pesticides pollution: Classifications, human health impact, extraction and treatment techniques. Egypt. J. Aquat. Res. 2020, 46, 207–220. [Google Scholar] [CrossRef]
- Tiemann, U. In vivo and in vitro effects of the organochlorine pesticides DDT, TCPM, methoxychlor, and lindane on the female reproductive tract of mammals: A review. Reprod. Toxicol. 2008, 25, 316–326. [Google Scholar] [CrossRef]
- Jiménez-Skrzypek, G.; Hernández-Sánchez, C.; Ortega-Zamora, C.; González-Sálamo, J.; González-Curbelo, M.Á.; Hernández-Borges, J. Microplastic-adsorbed organic contaminants: Analytical methods and occurrence. TrAC Trends Anal. Chem. 2021, 136, 116186. [Google Scholar] [CrossRef]
- Zhang, Y.; Kang, S.; Allen, S.; Allen, D.; Gao, T. Sillanpää. Atmospheric microplastics: A review on current status and perspectives. Earth Sci. Res. 2020, 203, 103118. [Google Scholar] [CrossRef]
- Waller, C.L.; Griffiths, H.J.; Waluda, C.M.; Thorpe, S.E.; Loaiza, I.; Moreno, B.; Pacherres, C.O.; Hughes, K.A. Microplastics in the Antarctic marine system: An emerging area of research. Sci. Total Environ. 2017, 598, 220–227. [Google Scholar] [CrossRef]
- Gonzalez-Pleiter, M.; Velazquez, D.; Edo, C.; Carretero, O.; Gago, J.; Baron-Sola, A.; Hernandez, L.E.; Yousef, I.; Quesada, A.; Leganes, F.; et al. Fibers spreading worldwide: Microplastics and other anthropogenic litter in an Arctic freshwater lake. Sci. Total Environ. 2020, 722, 137904. [Google Scholar] [CrossRef]
- Courtene-Jones, W.; Quinn, B.; Gary, S.F.; Mogg, A.O.M.; Narayanaswamy, B.E. Microplastic pollution identified in deep-sea water and ingested by benthic invertebrates in the Rockall trough North Atlantic Ocean. Environ. Pollut. 2017, 231, 271–280. [Google Scholar] [CrossRef]
- Xiao, S.; Cui, Y.; Brahney, J.; Mahowald, N.M.; Li, Q. Long-distance atmospheric transport of microplastic fibres influenced by their shapes. Nat. Geosci. 2023, 16, 863–870. [Google Scholar] [CrossRef]
- Rodrigues, J.P.; Duarte, A.C.; Santos-Echeandía, J.; Rocha-Santos, T. Significance of interactions between microplastics and POPs in the marine environment: A critical overview. TrAC Trends Anal. Chem. 2019, 111, 252–260. [Google Scholar] [CrossRef]
- Bhagat, J.; Nishimura, N.; Shimada, Y. Toxicological interactions of microplastics/nanoplastics and environmental contaminants: Current knowledge and future perspectives. J. Hazard. Mater. 2020, 405, 123913. [Google Scholar] [CrossRef] [PubMed]
- Tourinho, P.S.; Kocí, V.; Loureiro, S.; van Gestel, C.A.M. Partitioning of chemical contaminants to microplastics: Sorption mechanisms, environmental distribution and effects on toxicity and bioaccumulation. Environ. Pollut. 2019, 252, 1246–1256. [Google Scholar] [CrossRef]
- Liu, Q.; Wu, H.; Chen, J.; Guo, B.; Zhao, X.; Lin, H.; Li, W.; Zhao, X.; Lv, S.; Huang, C. Adsorption mechanism of trace heavy metals on microplastics and simulating their effect on microalgae in river. Environ. Res. 2022, 214, 113777. [Google Scholar] [CrossRef] [PubMed]
- Joo, S.H.; Liang, Y.; Kim, M.; Byun, J.; Choi, H. Microplastics with adsorbed contaminants: Mechanisms and Treatment. Environ. Chall. 2021, 3, 100042. [Google Scholar] [CrossRef]
- Li, Y.D.; Li, M.; Li, Z.; Yang, L.; Liu, X. Effects of particle size and solution chemistry on Triclosan sorption on polystyrene microplastic. Chemosphere 2019, 231, 308–314. [Google Scholar] [CrossRef]
- McDougall, L.; Thomson, L.; Brand, S.; Wagstaff, A.; Lawton, L.; Petrie, B. Adsorption of a diverse range of pharmaceuticals topolyethylene microplastics in wastewater and their desorption in environmental matrices. Sci. Total Environ. 2022, 808, 152071. [Google Scholar] [CrossRef]
- Lang, Z.; Xue, L. Can Polylactic Acid (PLA) Act as an Important Vector for Triclosan? Sustainability 2022, 14, 12872. [Google Scholar] [CrossRef]
- Wang, T.; Yu, C.C.; Chu, Q.; Wang, F.H.; Lan, T.; Wang, J.F. Adsorption behavior and mechanism of five pesticides on microplastics from agricultural polyethylene films. Chemosphere 2020, 244, 125491. [Google Scholar] [CrossRef]
- Dong, Y.M.; Gao, M.L.; Song, Z.G.; Qiu, W.W. As(III) adsorption onto different-sized polystyrene microplastic particles and its mechanism. Chemosphere 2020, 239, 124792. [Google Scholar] [CrossRef]
- Zhang, C.; Lei, Y.; Qian, J.; Qiao, Y.; Liu, J.; Li, S.; Dai, L.; Sun, K.; Guo, H.; Sui, G.; et al. Sorption of organochlorine pesticides on polyethylene microplastics in soil suspension. Ecotox. Environ. Saf. 2021, 223, 112591. [Google Scholar] [CrossRef] [PubMed]
- Zhang, X.J.; Zheng, M.G.; Wang, L.; Lou, Y.H.; Shi, L.; Jiang, S.J. Sorption of three synthetic musks by microplastics. Mar. Pollut. Bull. 2018, 126, 606–609. [Google Scholar] [CrossRef] [PubMed]
- Wang, W.F.; Wang, J. Comparative evaluation of sorption kinetics and isotherms of pyrene onto microplastics. Chemosphere 2018, 193, 567–573. [Google Scholar] [CrossRef]
- Wang, Z.; Chen, M.L.; Zhang, L.W.; Wang, K.; Yu, X.B.; Zheng, Z.M.; Zheng, R.Y. Sorption behaviors of phenanthrene on the microplastics identified in a mariculture farm in Xiangshan Bay, southeastern China. Sci. Total Environ. 2018, 628–629, 1617–1626. [Google Scholar] [CrossRef]
- Guo, X.; Chen, C.; Wang, J.L. Sorption of sulfamethoxazole onto six types of microplastics. Chemosphere 2019, 228, 300–308. [Google Scholar] [CrossRef] [PubMed]
- Chen, X.; Gu, X.N.; Bao, L.J.; Ma, S.S.; Mu, Y.H. Comparison of adsorption and desorption of triclosan between microplastics and soil particles. Chemosphere 2021, 263, 127947. [Google Scholar] [CrossRef]
- Fan, X.; Zou, Y.; Geng, N.; Liu, J.; Hou, J.; Li, D.; Yang, C.; Li, Y. Investigation on the adsorption and desorption behaviors of antibiotics by degradable MPs with or without UV ageing process. J. Hazard. Mater. 2021, 401, 123363. [Google Scholar] [CrossRef]







| No. | Compound | Molecular Formula | Molecular Mass | CAS |
|---|---|---|---|---|
| 1 | α-Hexachlorocyclohexane | C6H6Cl6 | 290.8 | 319-84-6 |
| 2 | β-Hexachlorocyclohexane | C6H6Cl6 | 290.8 | 319-85-7 |
| 3 | γ-Hexachlorocyclohexane | C6H6Cl6 | 290.8 | 58-89-9 |
| 4 | δ-Hexachlorocyclohexane | C6H6Cl6 | 290.8 | 319-86-8 |
| 5 | Aldrin | C12H8Cl6 | 364.9 | 309-00-2 |
| 6 | Dieldrin | C12H8Cl6O | 380.9 | 60-57-1 |
| 7 | Endrin | C12H8Cl6O | 380.9 | 72-20-8 |
| 8 | Endrin Aldehyde | C12H8Cl6O | 380.9 | 7421-93-4 |
| 9 | Heptachlor | C10H5Cl7 | 373.3 | 76-44-8 |
| 10 | Heptachlor Epoxide | C10H5Cl7O | 389.3 | 1024-57-3 |
| 11 | 4,4′-DDT | C14H9Cl5 | 354.5 | 50-29-3 |
| 12 | 4,4′-DDE | C14H8Cl4 | 318.0 | 72-55-9 |
| 13 | 4,4′-DDD | C14H10Cl4 | 320.0 | 72-54-8 |
| 14 | Endosulfan I | C9H6Cl6O3S | 406.9 | 959-98-8 |
| 15 | Endosulfan II | C9H6Cl6O3S | 406.9 | 33213-65-9 |
| 16 | Endosulfan Sulfate | C9H6Cl6O4S | 422.9 | 1031-07-8 |
| Compound | Langmuir Parameters | Freundlich Parameters | |||||
|---|---|---|---|---|---|---|---|
| Qmax (µg/g) | KL (L/mg) | R2 | KF (µg/g) | n | 1/n | R2 | |
| a-HCH | 1.02 | 0.004 | 0.0101 | 2.05628 | 0.9767 | 1.0238 | 0.9951 |
| b-HCH | 29.7 | 0.009 | 0.092 | 0.84783 | 0.9461 | 1.0569 | 0.9959 |
| d-HCH | 22.6 | 0.014 | 0.0818 | 0.97658 | 0.9257 | 1.0802 | 0.9926 |
| g-HCH | 1.25 | 0.0003 | 0.0009 | 2.70689 | 0.9709 | 1.03 | 0.9954 |
| Alachlor | 3.47 | 9.127 | 0.7062 | 0.35354 | 2.01 | 0.4975 | 0.9356 |
| Aldrin | 4.69 | 12.38 | 0.3839 | 0.2271 | 0.8444 | 1.1843 | 0.9718 |
| Dieldrin | 7.78 | 3.813 | 0.4167 | 0.3203 | 1.2396 | 0.8067 | 0.9936 |
| Endrin | 7.67 | 3.033 | 0.3987 | 0.3468 | 1.2989 | 0.7699 | 0.9909 |
| 44′-DDT | 5.13 | 4.145 | 0.4118 | 0.1762 | 0.8235 | 1.2143 | 0.9915 |
| 44′-DDE | 5.41 | 4.917 | 0.6949 | 0.35273 | 1.3644 | 0.7329 | 0.9963 |
| 44′-DDD | 4.48 | 5.678 | 0.8389 | 0.2079 | 1.4741 | 0.6784 | 0.9969 |
| Heptachlor | 3.7 | 9.681 | 0.0588 | 0.21757 | 0.8655 | 1.1553 | 0.9834 |
| Heptachlor epoxide | 8.28 | 0.869 | 0.4558 | 0.47402 | 0.8211 | 1.2179 | 0.996 |
| Endosulfan I | 7.15 | 1.835 | 0.1537 | 0.50086 | 0.8399 | 1.1906 | 0.9963 |
| Endosulfan II | 1.33 | 1.705 | 0.4421 | 0.60637 | 0.6421 | 15574 | 0.9805 |
| Endosulfan sulfate | 6.23 | 0.564 | 0.2514 | 1.55008 | 0.927 | 1.0787 | 0.994 |
| Compounds | Calculated Qe (µg/g) | Pseudo-Order I | Pseudo-Order II | ||||
|---|---|---|---|---|---|---|---|
| Qe, exp (µg/g) | k1 (min−1) | R2 | Qe, exp (µg/g) | k2 (g/mg·min) | R2 | ||
| a-HCH | 1.43 | 1.03 | 0.0007 | 0.6341 | 1.54 | 1.6349 | 0.999 |
| b-HCH | 1.86 | 0.59 | 0.0014 | 0.6005 | 1.52 | 0.533 | 0.999 |
| g-HCH | 1.58 | 0.82 | 0.0009 | 0.6635 | 1.69 | 0.5908 | 0.999 |
| d-HCH | 2.16 | 0.37 | 0.0038 | 0.8548 | 2.18 | 0.459 | 1.003 |
| Aldrin | 1.26 | 1.36 | 0.0002 | 0.1749 | 1.26 | 0.7953 | 1.001 |
| Dieldrin | 0.64 | 2.04 | 0.0003 | 0.1816 | 0.64 | 1.5555 | 1.012 |
| Endrin | 0.71 | 1.98 | 0.0003 | 0.1889 | 0.72 | 1.3976 | 1.006 |
| 44DDT | 1.11 | 1.55 | 0.0003 | 0.1729 | 1.11 | 0.8987 | 1.002 |
| 44-DDE | 1.25 | 1.38 | 0.0003 | 0.1762 | 1.25 | 0.7995 | 1.007 |
| 44DDD | 0.9 | 1.73 | 0.0002 | 0.1768 | 0.89 | 1.1157 | 1.001 |
| Heptachlor | 1.27 | 1.34 | 0.0003 | 0.172 | 1.27 | 0.7856 | 1.008 |
| Heptachlor epoxide | 0.85 | 1.85 | 0.0003 | 0.194 | 0.86 | 1.165 | 1.015 |
| Endosulfan I | 0.9 | 1.78 | 0.0003 | 0.1986 | 0.92 | 1.082 | 1.023 |
| Endosulfan II | 2.34 | 0.28 | 0.0017 | 0.244 | 2.35 | 0.4262 | 1.006 |
| Endosulfan sulfate | 1.51 | 1.27 | 0.0003 | 0.172 | 1.44 | 0.7856 | 1.003 |
Disclaimer/Publisher’s Note: The statements, opinions and data contained in all publications are solely those of the individual author(s) and contributor(s) and not of MDPI and/or the editor(s). MDPI and/or the editor(s) disclaim responsibility for any injury to people or property resulting from any ideas, methods, instructions or products referred to in the content. |
© 2024 by the authors. Licensee MDPI, Basel, Switzerland. This article is an open access article distributed under the terms and conditions of the Creative Commons Attribution (CC BY) license (https://creativecommons.org/licenses/by/4.0/).
Share and Cite
Cojocaru, V.C.; Cristea, I.N.; Paris, I.A.; Ionescu, I.A.; Chiriac, F.L. Exploring Sustainable Solutions: Dynamic Adsorption, Isotherm Models, and Kinetics of Organic Contaminants on Polystyrene Microplastics. Sustainability 2024, 16, 7743. https://doi.org/10.3390/su16177743
Cojocaru VC, Cristea IN, Paris IA, Ionescu IA, Chiriac FL. Exploring Sustainable Solutions: Dynamic Adsorption, Isotherm Models, and Kinetics of Organic Contaminants on Polystyrene Microplastics. Sustainability. 2024; 16(17):7743. https://doi.org/10.3390/su16177743
Chicago/Turabian StyleCojocaru, Victor Constantin, Ionut Nicolae Cristea, Ioana Ana Paris, Ioana Alexandra Ionescu, and Florentina Laura Chiriac. 2024. "Exploring Sustainable Solutions: Dynamic Adsorption, Isotherm Models, and Kinetics of Organic Contaminants on Polystyrene Microplastics" Sustainability 16, no. 17: 7743. https://doi.org/10.3390/su16177743
APA StyleCojocaru, V. C., Cristea, I. N., Paris, I. A., Ionescu, I. A., & Chiriac, F. L. (2024). Exploring Sustainable Solutions: Dynamic Adsorption, Isotherm Models, and Kinetics of Organic Contaminants on Polystyrene Microplastics. Sustainability, 16(17), 7743. https://doi.org/10.3390/su16177743

