Abstract
The “Belt and Road Initiative” (BRI) drives international trade more and more frequently, making exchange rates and taxes unavoidable issues for multi-national companies. Thus, exchange risk uncertainty and tax saving planning should be considered in the operational decisions of a multi-national supply chain. This paper constructs a Stackelberg game model with four composite modes to explore the risk-taking and hedging strategy of retailers with reference-dependent psychology. The results show that: (1) exchange rate risk is transmitted through all subjects under the cost-plus transfer pricing strategy, while it is transmitted only between headquarters and retailers under the resale-price transfer pricing strategy. (2) No matter which subject bears the exchange rate risk, the motivation is stronger under the resale-price transfer pricing strategy. (3) The effect of futures hedging exchange rate risk is influenced by retailer reference-dependent psychology. When the reference dependence coefficient is low, and the risk of positive exchange rate fluctuations is too high, the retailer chooses to hedge its exchange rate risk. At this time, the transfer pricing strategy should shift to cost-plus, and the exchange rate fluctuation range that each entity can afford is larger than before hedging.
1. Introduction
China proposed the “Belt and Road Initiative” (BRI) in 2013, aiming to foster the formation of a mutually beneficial global value chain [1,2]. With a distinct role in the global value chain, multi-national companies constitute an indispensable imperative for the sustainable advancement of economic globalization [3]. Needless to say, the BRI provides more resources and a broad trading platform for a multi-national supply chain within a significantly enlarged market [4,5]. In 2023, China’s foreign trade volume skyrocketed to 41.76 trillion CNY, providing strong support for high-quality economic development with a record-breaking 645,000 import-export entities (General Administration of Customs of the People’s Republic of China. Table of total value of imports and exports in 2023. http://www.customs.gov.cn/customs/302249/zfxxgk/2799825/302274/302277/302276/5637005/index.html (accessed on 25 July 2024). People’s Daily graphic database. The number of foreign trade entities exceeded 600,000 for the first time in 2023. Available online: http://paper.people.com.cn/rmrb/html/2024-03/17/nw.D110000renmrb_20240317_2-01.htm (accessed on 25 July 2024)). While the implementation of the BRI has presented exciting new development opportunities for multi-national supply chains, it has also inevitably introduced a multitude of challenges.
Due to different market conditions and opaque policy information among countries along the Belt and Road, tax planning and exchange rate volatility are the two top concerns and challenges of multi-national supply chain executives [6,7]. First, facing inconsistent tax policies among countries, multi-national supply chains have resorted to transfer pricing strategies to improve global tax efficiency [8] because the upstream and downstream subsidiaries of multi-national supply chains generate corporate income by different tax rates. In order to maximize tax savings, multi-national supply chains are often motivated to relocate profits from a high-tax country to a low-tax country by properly manipulating transfer prices between their subsidiaries [9,10]. Moreover, the transfer price adheres to the rule of “the arm’s length principle (ALP)” as outlined in the OECD Model Tax Convention [11]. In line with this principle, there are two most common transfer pricing methods regarding internal related party transactions: the cost-plus method and the resale-price method [12,13].
Second, when subsidiaries of multi-national supply chains trade with each other at the transfer price, they usually use different currencies of their home countries [14]. At the same time, frequent fluctuations in exchange rates make trade capital flows increasingly complex and uncertain. On the one hand, there is a fixed credit period between product delivery and payment when subsidiaries are situated in different countries, leading one party to be exposed to the currency exchange rate risk [15,16]. For example, sellers’ profits will be shocked by the fluctuations in the exchange rates if the goods are not priced in their domestic currency [17]. Thus, it is inevitable to explicitly state which party should bear the exchange rate risk, which is crucial to optimizing the overall profitability of the multi-national supply chain [18]. On the other hand, when exposed to exchange rate risk, there are various ways to mitigate this volatility. In fact, financial instruments such as futures contracts have been extensively discussed and utilized in both theoretical research and practical applications [19]. These instruments take an investment position in financial markets to offset the operational risk [20]. Based on the above analysis of transfer price and exchange rate risk, the overlooked question is that the concerns of transfer pricing and exchange rate risk often coexist and require simultaneous consideration and effective coordination.
Facing all kinds of uncertainties, supply chain subjects are prone to make decisions based on reference-dependent psychology. This psychological predisposition constitutes a pervasive challenge in risk management decision-making. To be specific, they often determine their current utility as a reference point for future decisions based on their experiences and preferences [21]. Because past events can easily be interpreted as more predictable than before, thus influencing the course of intertemporal choices [22,23]. This may be attributable to projection bias, which can be derived from the reference point [24]. While several studies have analyzed reference-dependent psychology based on different types of reference points, they often overlook a comprehensive assessment of utility [25]. To address this gap, this study employs a projection bias utility model to portray reference-dependent preferences, including exchange rate fluctuations, aiming to explore its effect on risk management decisions.
In summary, there exists an implicit relation between transfer pricing strategy and the designation of exchange rate risk bearers. On the one hand, exchange rate risk will be transmitted in different ways through the supply chain under different risk-bearing mechanisms. On the other hand, the adoption of transfer pricing affects the choice of foreign exchange risk-taking and hedging strategies. In addition, reference-dependent psychology is a realistic but often neglected issue in risk management decisions nowadays. Hence, the research theme of this paper based on the literature in the next section is represented in Figure 1. Moreover, the subsequent research questions are focused on the following key issues:
Figure 1.
The research theme within the existing research framework.
- (1)
- How do transfer pricing strategies and exchange rate risk distribution structures work together to affect multi-national supply chain operations?
- (2)
- What is the transmission path of exchange rate risk in the multi-national supply chain? How does this differ under different transfer pricing methods?
- (3)
- What are the conditions for retailers to take and hedge exchange rate risk? What is the influence of a retailer’s reference-dependent psychology?
To answer the above questions, the research considers a multi-national supply chain consisting of a headquarters, its retailer, and its overseas purchaser. First, based on Wu and Lu (2018), who discuss two transfer pricing strategies, i.e., cost-plus and resale-price strategies [12], we consider two types of exchange rate risk-taking entities under them. Thus, we obtain four composite scenario models: Cost-plus strategy, purchaser taking the risk mode (CP); Cost-plus strategy, retailer taking the risk mode (CR); Resale-price strategy, purchaser taking the risk mode (RP); Resale-price strategy, retailer taking the risk mode (RR). All four composite modes and the operational decisions are investigated by formulating a Stackelberg game model based on The Newsvendor Problem. Then, the risk hedging model is solved under the circumstances when the retailer takes the exchange rate risk. Finally, a sensitivity analysis is conducted to compare the optimal decisions of each subject under four modes. Simultaneously, we delve into the conditions for taking on and hedging the exchange rate risk of retailers through numerical analysis.
Overall, our contributions are summarized in the following three points.
- (1)
- We integrated the exchange rate risk distribution structure into transfer pricing, which broadens supply chain decision-making in the international trade realm. Previously, research has discussed the transfer pricing or exchange rate risk management strategy separately. This paper examines the reciprocal effect of transfer pricing and exchange rate risk-taking and hedging strategy in the supply chain system.
- (2)
- We evaluated risk management decisions from the perspective of reference-dependent psychology. Although some scholars have focused on reference-dependent psychology, they have overlooked its role in the supply chain risk management area. By incorporating more market uncertainties into a reference-dependent utility function, new specific conditions and insights into the retailer’s motivation for exchange rate risk-taking and hedging choices are provided.
- (3)
- We found several interesting insights about exchange rate risk. First, the mutual interaction is manifested in the transmission pathways of exchange rate risk. Second, a retailer’s reference-dependence psychology can strengthen the motivation of purchasers to bear exchange rate risk. Paradoxically, the retailer is likely to actively manage exchange rate risk only when this psychology is weak. Moreover, based on the premise of risk-taking, futures instruments effectively serve as a hedging mechanism, thereby necessitating a shift in transfer pricing strategies.
The organization of this paper is stated as follows. Section 2 reviews the literature of relevant studies. Section 3 describes the problem and explains the game sequence. Then, the general models are constructed, and the equilibrium solutions are analyzed in Section 4. Section 5 provides a comparative numerical analysis and gives the condition for taking and hedging the exchange rate risk of reference-dependent retailers. Section 6 summarizes the research conclusions and implications. Some threshold values, the proofs of the lemmas and propositions, and the equilibrium results are provided in the Appendix A.
2. Literature Review
2.1. Transfer Pricing
Transfer pricing is a means of intra-group transaction price coordination often used in global supply chain operational management. Its main objective is to plan global after-tax income by increasing the proportion of profits retained in low-tax areas and reducing it in high-tax areas [26]. Existing studies have verified that external macro-factors affect the strategic implementation of transfer pricing, such as product market competition and tariff regulation, by an empirical study [27]. This provides a theoretical basis for discussing the impact of transfer pricing from the micro-perspective of the supply chain. However, different transfer pricing methods have different effects on the supply chain profits by facilitating a fair distribution among entities. Some research examined this conclusion using game theory and artificial intelligence [28,29]. In addition, this effect is influenced by negotiation bargaining power, marketing channels, FDI, and operating costs [10,30,31]. In essence, a transfer pricing strategy can maintain the price level and competitive advantage of the product. As the two most commonly applied forms, the cost-plus method can protect cost while the resale-price transfer pricing method can incorporate market changes [32]. They have different impacts on transnational production outsourcing activities and local competition [12,33].
It can be seen that although scholars have attempted to introduce transfer pricing into supply chain systems by game theory, there remains ample opportunity for further research. Few studies have considered the impact of exchange rate risk as a macro factor under the framework of transfer pricing. However, the internal mechanism of the interaction between the two should be paid more attention. Furthermore, especially for the frequent transnational trade, the selection of transfer pricing methods is not detailed enough, which hinders the development of transfer pricing categorization and policymaking.
2.2. Exchange Rate Risk
Exchange rate risk within the supply chain is another important research issue. At present, a series of research studies have been carried out on the two aspects of operational decision with transmission mechanism and risk management strategy. First and foremost, when it comes to the supply chain operation strategy considering exchange rate risk, several studies have delved into the impact of exchange rate fluctuations on outsourcing and pricing decisions within transnational supply chains [8,34]. Based on this, exchange rate risk is transmitted through strategic behavior in the supply chain structure, leading to operational variables and expected performance changes in node firms [19]. Second, exchange rate risk management tools mainly include operational flexibility and financial instruments [35]. On the one hand, revenue-sharing contracts and risk transfer agreements can achieve effective exchange rate risk management. However, the joint effect of them is not obvious [19]. Hence, more flexible contracts should be designed to better adapt to exchange rate fluctuations, for example, by establishing contract rules based on boundaries and ratios [15]. On the other hand, the financial hedging principle of foreign exchange derivatives such as futures may hinder the transmission of exchange rate risk [36,37,38].
While previous research has explored decision-making within the context of exchange rate risk, there has been limited focus on its transmission and countermeasures in the supply chain. First, the present studies default the subject taking exchange rate risk while ignoring the heterogeneity of exchange rate risk distribution structure. Second, there is insufficient understanding of the financial hedging management of exchange rate risk with futures.
2.3. Reference Dependence Effect
In reality, decision-making individuals often deviate from the hypothesis of rational economic man. For instance, enterprises tend to establish a psychological expectation for the uncertainty they encounter, using it as a benchmark to evaluate overall profit and loss [11]. Then, they make decisions based on the disparity between actual outcomes and the reference point, which is referred to as the “Reference Dependence” behavioral tendency. Reference-dependent psychology can explain the observed decision biases. Since Kahneman and Tversky (1979) introduced this concept, numerous scholars have delved into asset pricing, policy transmission effects, decision optimization, and other issues based on relevant theories [23,39,40]. The measurement of reference-dependent behavior can be divided into two broad categories. One is the selection of reference points, which is divided into individual reference points and social reference points according to horizontal object dimension [25,41]. The present reference points, future reference points, and past reference points are distinguished according to vertical time dimension [42]. Moreover, this can be extended to stochastic and multiple-variable cases [43]. The other is the representation of reference effect, which can be classified into two types: direct impact on agent utility and linear influence on demand function [44]. Further, reference-dependent valuation could be incorporated into the context of supply contracts and dynamic analysis [45,46].
Throughout the relevant studies, most of them focus on investors or consumers, with slightly less attention paid to the supply chain entity. In addition, the selection of reference points mainly involves factors such as price, quality, emission reduction efforts, and historical payments [47]. That is to say, research on reference points integrating multiple factors is not yet abundant, with inadequate attention given to other uncertainties, such as exchange rate.
3. Problem Description
This paper provides an overview of a multi-national supply chain system consisting of headquarters (h), overseas purchasers (s), and retailers (r). The purchaser and retailer are the subsidiaries of a multi-national supply chain, each fulfilling distinct business roles and responsibilities. To optimize tax efficiency, headquarters typically uses two transfer pricing strategies: the cost-plus method (C) and the resale-price method (R). The cost-plus method is based on product cost to ensure a certain profit for the purchaser, while the resale-price method reflects market changes related to supply and demand. Transfer pricing strategy follows the fair transaction principle of taxation, allowing each subject in the supply chain to make individual decisions. Exchange rate risk may be faced by both sides in transfer pricing transactions. As shown in Table 1, four composite modes are formed when the purchaser or retailer bears exchange rate risk using the backward induction method, and the equilibrium solutions of the four modes are determined.
Table 1.
Four composite modes.
The process of a multi-national supply chain begins with the establishment of internal transfer pricing coefficients by headquarters. Subsequently, the purchaser determines the optimal purchase price, while the retailer conducts a market study to decide on the quantity of products ordered. Exchange rate fluctuations are taken into consideration during the period between payment settlement and actual receipt of products. The purchaser engages with overseas suppliers and delivers products directly to the retailer. It is worth noting that the purchaser leverages its market influence to select suppliers who meet specific procurement criteria, thereby ensuring that the actual market demands are met and surpassed. Finally, in an uncertain home country market, the retailer sells products and receives after-tax returns.
The multi-national supply chain structure and operational flow are depicted in Figure 2.
Figure 2.
Sequence of events in the multi-national supply chain system.
The following research assumptions were made.
Assumption 1.
The relationship between prices is satisfied to ensure economic consistency as follows: When the purchaser bears the exchange rate risk, , , i.e., transfer pricing ; When the retailer bears the exchange rate risk, , , i.e., transfer pricing .
Assumption 2.
A multi-national supply chain generally tends to purchase products in low-cost countries and sell them in high-cost countries in order to save taxes, hence . The profits of purchasers and retailers are consistently expressed in the host country’s currency.
Assumption 3.
Demand for the division in the retail market is which obeys a uniform distribution on , and is random. The demand cumulative distribution function is and the probability density function is . is continuously differentiable and strictly increasing, in line with the generalized failure rate increasing property, where .
Assumption 4.
Decision makers lack information symmetry. Supply interruptions, stockouts, and the residual value of closing stocks are not considered.
Assumption 5.
The psychology of reference dependence leads to projective cognitive bias. A linear weighting function is utilized to characterize the reference-dependent behavior of the retailer in order to assess the uncertainties related to demand and exchange rate fluctuations [24]:
where represents the coefficient of reference dependence, are larger, implying that the end of period utility of the retailer is more dependent on the beginning of the period. and represent the instantaneous utility at the end and beginning of the period. Prior to engaging in trade with the purchaser, the retailer utilizes basic market expectations as a reference for ordering plans and develops a psychological reference point utility. Specifically, it believes that order quantity accurately reflects uncertain demand at the end of the period. Additionally, when considering exchange rate risk, the retailer anticipates mitigating potential losses from exchange rate fluctuations [48]. The psychological expectation for exchange rate declines of retailers is . The reference utility function of the retailer in the beginning period is as follows:
The parameters utilized in this model are shown in Table 2.
Table 2.
Parameter Description.
4. Model Formation and Application
4.1. Benchmark Model
4.1.1. Mode CP
Under the CP mode, headquarters utilizes the cost-plus method to establish transfer pricing, which is determined by the cost price of product multiplied by , the transfer pricing .
When the purchaser bears exchange rate risk, transactions are settled in the currency of the retailer’s country. The fluctuation in exchange rates has caused a change in the purchaser’s payment. The expected payoff of supply chain agents is given as follows.
Proposition 1.
Under the CP model in which the purchaser bears the exchange rate risk, the optimal order quantity of the retailer, the optimal purchase price of the purchaser, and the optimal cost-plus coefficient of headquarters are, respectively:
The proof of Proposition 1 is presented in Appendix A.1. First, Proposition 1 explains that the higher the reference-dependent coefficient of the retailer, the greater the order quantities are. This is because the retailer focuses on market expectations and tends to adopt a more proactive ordering strategy. Second, as headquarters increases the cost-plus coefficient, both the retailer’s order quantity and the purchaser’s purchase price undergo a concurrent decline. This indicates that the cost-plus coefficient has increased the transaction costs for the retailer. To compensate for profit loss, the retailer reduces orders, directly impacting the purchaser’s supply revenue. As a result, due to greater profit loss from reduced quantity than profit compensation from increased unit price, the purchasing price decreases. Finally, there is a positive correlation between headquarter’s cost-plus coefficient and exchange rate risk. Meanwhile, along with the changes in the exchange rate, the transfer price of products will also fluctuate. Through the “cost-plus coefficient-purchase price–order quantity” pathway, the exchange rate risk is transferred to the multi-national supply chain as a whole. This also demonstrates that headquarters could ensure the stability of the pledged profit through the insurance of transactions for sellers, reflecting the toughness characteristics of the risk.
4.1.2. Mode CR
When the retailer bears exchange rate risk, transactions are settled in the currency of the purchaser’s country. Regardless of exchange rate fluctuations, suppliers will receive the previously agreed wholesale price. The retailer is affected by the exchange rate fluctuations, and the payment for the goods changes by . The expected payoff of supply chain agents is given as follows.
Proposition 2.
Under the CR model in which the retailer bears the exchange rate risk, the optimal order quantity of the retailer, the optimal purchase price of the purchaser, and the optimal cost-plus coefficient of the headquarters enterprise, respectively, are:
The proof of Proposition 2 is presented in Appendix A.2. Proposition 2 suggests that when the retailer is exposed to exchange rate risk, the more significant the fluctuations in the actual and reference exchange rates, the lower the ordering volume of the retailer and the purchasing price of the purchaser. This reflects a natural risk-avoidance strategy employed by market players. This finding further verifies Proposition 1, indicating a relationship between purchasing price and the reference-dependent psychology of the retailer. For headquarters, the optimal strategy is to set a fixed cost-plus coefficient, which can stabilize the total transaction amount within the group to a certain extent. According to this inference, when the retailer bears the exchange rate risk, headquarters will no longer adopt flexible risk strategic decisions. However, it implements constant control to ensure the balance of the overall benefits and risks of the group.
4.1.3. Mode RP
Under the transfer pricing strategy of resale-price, the purchaser sells the products to foreign retailers at a discount based on the market price with the help of a large amount of market information, in this case, the transfer price is . The expected payoff of supply chain agents is given as follows.
Proposition 3.
Under the resale-price strategy in which the purchaser bears the exchange rate risk, the optimal order quantity of the retailer, the optimal purchase price of the purchaser, and the optimal resale-price coefficient of headquarters, respectively, are:
where , .
The proof of Proposition 3 is presented in Appendix A.3. Proposition 3 states that as the reference-dependent coefficient decreases, the resale-price coefficient increases, and the retailer’s order quantity decreases. It is consistent with the findings of cost-plus pricing strategy. However, in this case, the purchaser tends to adopt an extremely conservative purchasing price. This may be because the market purchase price is based on the resale price, which implies market competition. To gain a lower price advantage, the purchaser tries to lower the purchase price, similar to the real-life examples. Similarly, the resale-price coefficient set by headquarters is related to market variables such as taxes, exchange rates, purchase prices, and selling prices. It is easy to find that when the purchase price is higher, the optimal resale-price coefficient is lower in order to reduce trade volume between retailers and purchasers and ensure that overall revenue is not easily affected by external factors. It can be seen that when the purchaser bears exchange rate risk, its optimal decision-making process will not be disturbed by exchange rate fluctuations but actually transfer risk to headquarters.
4.1.4. Mode RR
The expected utility functions of supply chain agents are expressed in the following form.
Proposition 4.
Under the resale-price strategy in which the retailer bears the exchange rate risk, the optimal order quantity of the retailer, the optimal purchase price of the purchaser, and the optimal resale-price coefficient of headquarters, respectively, are:
The proof of Proposition 4 is presented in Appendix A.4. Combining Propositions 3 and 4, we find that under the transfer pricing strategy, the purchaser always adopts a conservative purchasing price, whoever takes the exchange rate risk. Combining Propositions 1 and 2, it can be seen that under the cost-plus pricing strategy, the optimal decision of the headquarters is only related to the market variable of the exchange rate. While under the resale-price strategy, it is related to all market variables. This indirectly confirms that the resale-price strategy is more market-oriented compared with cost-plus pricing. Therefore, under the resale-price strategy, exchange rate risk only transmits between headquarters and the retailer.
4.2. Retailer Risk Hedging Model
In the process of Belt and Road construction, many multi-national companies have used financial contracts through third-party institutions to mitigate risk. When the retailer bears exchange rate risk, it can introduce foreign exchange futures for hedging, locking in the income corresponding to the ratio order quantity through purchasing hedges in the futures market. The scenarios of retailer purchasing futures contracts are represented by superscripts “” and “” under cost-plus and resale-price strategies, respectively. Then, the utility functions of the retailer are as follows:
Proposition 5.
Given the transfer pricing coefficients, under the cost-plus pricing strategy, the equilibrium order quantity for the retailer and purchase price for the purchaser are:
Under the cost-plus pricing strategy, the equilibrium order quantity and purchase price are:
The proof of Proposition 5 is presented in Appendix A.5. For the sake of discussion convenience, we simplify the model by setting and under the resale-price strategy similarly. Proposition 5 demonstrates that lower unit transaction costs of foreign exchange futures lead to higher order volumes, indicating that hedging exchange rate risk can stimulate retailer ordering motivation. Additionally, the optimal purchasing pricing under the cost-plus strategy is affected by retailer risk hedging but not the resale-price strategy. This is mainly because the cost-plus strategy transfers exchange rate risk through purchase prices to the retailer. On the contrary, the resale-price strategy does not involve intermediate decision-making based on purchase price.
5. Numerical Example
In this section, we perform a numerical analysis of the models developed in Section 3 and Section 4. We first compared the optimal operational decision-making under the four composite modes to analyze the impact of reference-dependent psychology and exchange rate risk. Then, we discuss the retailer’s risk-taking preference and hedging strategy choice to explore the interaction between transfer pricing and risk management strategies. Assuming that the market demand for the product satisfies a uniform distribution on the interval . According to the relevant studies [12,15], the parameter setting is shown in Table 3.
Table 3.
Parameter setting.
5.1. Equilibrium Strategy and Utility of Four Modes
5.1.1. The Impact of Reference Dependence and Exchange Rate Risk on the Equilibrium Strategy
We compare the optimal order volume in the retailer for the four composite modes in Figure 3. The RP mode has the highest order volume, and there is a positive relationship between the order volume of the four modes and the reference-dependent coefficient. Moreover, exchange rate fluctuations could not affect the optimal order volume under the cost-plus strategy. Furthermore, with the exchange rate change changing from negative to positive, the order volume of the RR model retailer sector decreases first and then increases, while the change trend of the RP model is exactly the opposite.
Figure 3.
Optimal order quantity of retailer.
We next compare the optimal purchase price of the purchaser under the four composite modes in Figure 4. It is evident that the purchase price is lowest under the resale-price strategy, as indicated by the convergence of RP and RR patterns. This finding suggests that under the resale-price strategy that implies market competition, the purchaser reduces the internal related business transactions at a lower purchase price because the enterprise pays more attention to the real cost and profitability of the product.
Figure 4.
Optimal resale-price of the purchaser.
Under the cost-plus strategy, the purchase price is closely related to the exchange rate and the reference-dependent psychology of the retailer. The purchase price under the cost-plus strategy is significantly influenced by exchange rates and reference-dependent psychology within the retailer. In contrast, the purchase price under the resale-price strategy is not affected by exchange rate fluctuations and reference-dependent psychology. This manifests as the overlap between the blue and green planes. Specifically, under the cost-plus strategy, when exchange rate fluctuation exceeds a reference value (), there is a higher exchange rate risk for purchase prices in the retailer. Conversely, when exchange rate fluctuation falls below (), there is a lower exchange rate risk for purchase prices. From the perspective of the reference-dependent coefficient, when the amount of exchange rate changes is high, the larger the reference dependence coefficient, the higher the purchase price; otherwise, the two have a negative relationship, and this rule is more obvious in the situation where the retailer bears the exchange rate risk.
The optimal transfer pricing coefficients of the headquarters under cost-plus and resale-price strategies are presented in Figure 5. In Figure 5a, it is evident that when the retailer bears exchange rate risk, the cost-plus coefficient remains unaffected by exchange rate fluctuations and reference-dependent psychology. Conversely, the cost-plus coefficient shows a positive correlation with positive changes in exchange rate risk when the purchaser bears exchange rate risk. This is due to the fact that positive exchange rate risk has a negative impact on the profit of the purchaser, leading to a higher cost-plus factor being set by headquarters to balance costs and income between subsidiaries. However, when the retailer bears exchange rate risk, its risks are mitigated through purchase prices, resulting in less intervention from headquarters.
Figure 5.
Optimal transfer pricing coefficients of headquarters. (a) Transfer pricing coefficient under the cost-plus strategy. (b) Transfer pricing coefficient under the resale-price strategy.
Figure 5b shows that the retailer’s resale-price coefficient is significantly greater than the exchange rate risk. When the retailer bears the exchange rate risk (RR mode), the resale-price coefficient is “inverted U” along with an increase in the exchange rate changes, that is, an optimal point for maximum resale-price coefficient. However, when the purchaser bears exchange rate risk (RP mode), the intermediate transmission effect fails, and the resale-price coefficient decreases with an increase in the exchange rate decline risk. Upon combining Figure 3 and Figure 4, it can be seen that for the same purchase price, the retail intermediate transmission effect fails to pay more because of the increased quantity, so headquarters will set a lower transaction coefficient to protect the interests of the retailer. Furthermore, a higher reference-dependent coefficient in the retailer leads to a reduced sensitivity of the resale-price coefficient to exchange rate risk. This is because market changes have little impact on the psychological gain and loss value of the retailer at this time.
5.1.2. The Impact of Reference Dependence and Exchange Rate Risk on Utility
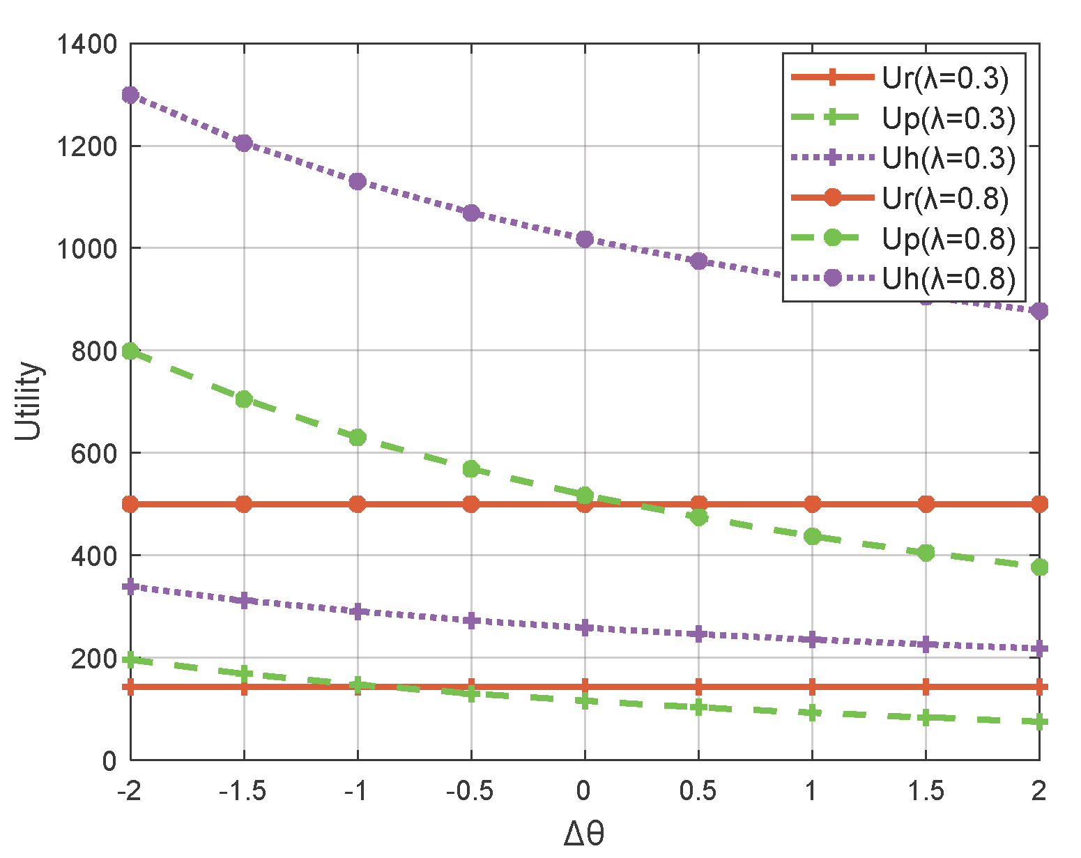
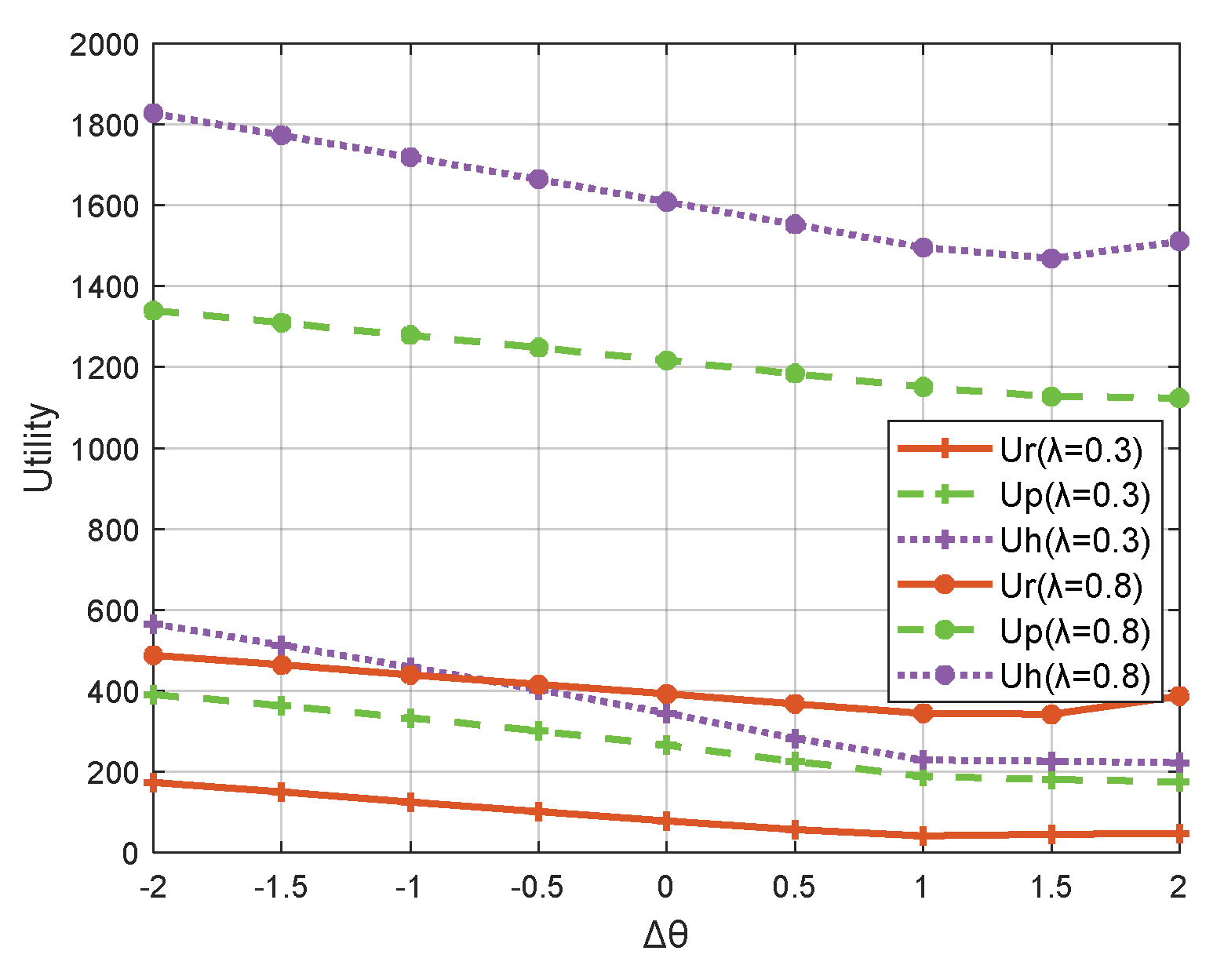
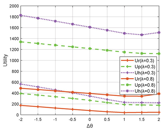
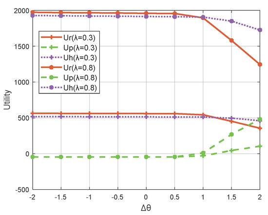
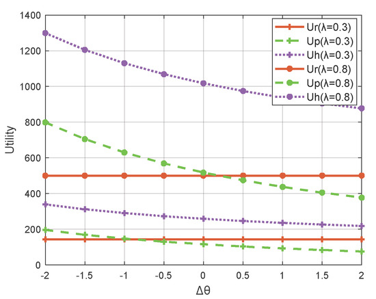
The utility of each entity in the multi-national supply chain under four combination modes in Figure 6, Figure 7, Figure 8 and Figure 9. First, we found through simulations that the utility relationship of the retailer is represented by , the purchaser by , and the headquarters by in most parameter intervals. Second, the utility of each entity increases with an increase in the reference-dependent coefficient of the retailer. However, the impact of exchange rate fluctuations on utility varies. Under a cost-plus pricing strategy, the utility of the retailer is not affected by exchange rate fluctuations, confirming that this strategy can mitigate exchange rate risk through internal transactions. In contrast, under a resale-price maintenance strategy, the utility of the retailer shows opposite changes when facing significant positive exchange rate risk. This phenomenon becomes more pronounced as reference-dependent psychology strengthens and is mainly caused by changes in order quantity. Remarkably, this phenomenon contradicts intuitive feelings about retailer profit functions and that reference-dependent psychology can only resist impacts within a certain range. When positive exchange rate risk is too high, there is a strong motivation for retailers to bear exchange rate risk actively. Otherwise, their utility decreases instead of increasing. Conversely, for the purchaser, except for RP model scenarios, utility decreases with a positive change in exchange rate risk; however, under RP model conditions, purchaser utility increases within range of positive change in exchange rate risk.
Figure 6.
Utility of each entity in CP mode.
Figure 7.
Utility of each entity in CR mode.
Figure 8.
Utility of each entity in RP mode.
Figure 9.
Utility of each entity in RR mode.
5.2. Risk Management Strategy of Retailer
5.2.1. Conditions for Bearing the Exchange Rate Risk
The choice of risk-bearing strategy means that the risk-bearing subject obtains higher utility under a certain transfer pricing method. In this section, to compare with the scenario where the retailer bears the exchange rate, we first discuss the conditions under which the purchaser bears the exchange rate risk (as depicted in Figure 10). If the purchaser chooses the resale-price strategy, then holds true. This means that when the purchaser bears the exchange rate risk ( or ), the utility is higher under the resale-price method () than under the cost-plus method (). Moreover, both the retailer and headquarters are willing to embrace this strategy risk-bearing approach, hence and also hold true. However, if the purchaser chooses the cost-plus strategy, it must satisfy , and simultaneously. The gray boxes in Figure 10, Figure 11 and Figure 12 visually illustrate the boundaries of such choices. Specifically, above the benchmark plane represented by the gray boxes, supply chain entities are more inclined to choose a particular mode, as it implies higher profits associated with that mode. Given the parameters set, it is easy to understand their utility difference are the complex functions of and .
Figure 10.
Conditions for purchasers to bear the exchange rate risk.
Figure 11.
Conditions for retailers to bear the exchange rate risk.
Figure 12.
Conditions for retailers to hedge the exchange rate risk.
When the purchaser bears the exchange rate risk, a multi-national supply chain can benefit from a win–win situation with the resale-price strategy, especially when facing high positive exchange rate risks (wherein is close to 2). However, it will never adopt the cost-plus strategy, and this willingness is enhanced with an increase in the retailer’s reference dependence coefficient. This is because the purchaser is closer to the upstream market of supplied products compared with the retailer, which can more easily grasp market trends and make strategic adjustments. Therefore, it is a better choice for bearing the exchange rate risk. Specifically, for both the retailer and the headquarters, the resale-price strategy is preferred. For the purchaser, the cost-plus strategy is preferred () when the exchange rate fluctuation is roughly within the range , and the utility difference is negatively correlated with the reference dependency coefficient; when the exchange rate change , the purchaser is motivated to reach a consensus with the other two members of the group, that is, to agree to implement the resale-price strategy.
When the retailer bears exchange rate risk (as shown in Figure 11), and the negative exchange rate risk is high while the reference-dependent psychology of the retailer is low, multi-national supply chain members prefer the resale-price strategy. Specifically, the purchaser and the headquarters both choose the resale-price strategy with the increasing risk of the reference-dependent coefficient and the negative exchange rate change. As for the retailer, when the exchange rate risk changes from negative to positive, the retailer tends to bear the exchange rate risk under the resale-price strategy first decreases and then becomes larger, and this situation increases with the enhancement of its reference-dependent psychology. In such cases, both the retailer and headquarters prefer the cost-plus strategy ( and ), while the purchaser’s preference for the resale-price strategy remains unchanged ().
5.2.2. Conditions for Hedging Exchange Rate Risk
The conditions for retailers to choose futures hedging are shown in Figure 12. To cover the risk of positive exchange rate movements, the retailer will only choose to bear the exchange rate risk () under the cost-plus strategy. Based on this, multi-national supply chain members are more likely to reach a consensus on cost-plus strategies in cooperation zones than before risk hedging, which is different from the scenario of not hedging against risks. Additionally, if the retailer has a high degree of reference-dependent psychology, it prefers the cost-plus strategy more. In addition, the purchaser and headquarters prefer the resale-price strategy more, similar to the pre-hedging scenario. However, if the retailer’s reference-dependent psychology is low, with an increase in positive exchange rate changes, there is an increasing motivation for adopting the cost-plus strategy by both purchasers and headquarters ( and ), and it even exceeds that of in utility difference compared with the retailer. In conclusion, the retailer can resist the risk of positive exchange rate changes through risk hedging, and it can achieve the transformation from the internalized transfer pricing strategy of resale-price to cost-plus.
6. Conclusions and Managerial Implications
6.1. Conclusions
There is no doubt that tax and exchange rate risks on the multi-national supply chain have received a lot of attention in recent years. Based on the current “Belt and Road Initiative,” this paper introduces the irrational behavior factor of reference dependence in retailers and discusses its exchange rate risk management strategy in multi-national supply chains under two transfer pricing methods. The research findings indicate that transfer pricing and decision-making mechanisms play a “complementary” role in the transmission of exchange rate risk. Additionally, the article discusses the conditions and coping strategies for retailers to choose whether to bear or hedge exchange rate risks. The main research conclusions are as follows:
- (1)
- There are different transmission paths for exchange rate risk in two transfer pricing strategies. In the cost-plus strategy, exchange rate risk can be mitigated through the transmission path of “cost-plus coefficient—purchase price—order quantity,” which helps to smooth out the utility loss of exchange rate risk within the multi-national supply chain. On the other hand, in the resale-price strategy, exchange rate risk is transmitted only between headquarters and retailers. This is achieved by maintaining a certain resilience in purchase prices. From the perspective of achieving Pareto improvement, the resale-price strategy exhibits significant advantages over the cost-plus strategy.
- (2)
- The choice of risk-bearing strategy is influenced by both exchange rate risk and reference dependence level. When there is significant positive exchange rate fluctuation, the purchaser bears the exchange rate risk, and this exposure increases with greater reliance on the retailer’s reference dependence level. When there is significant negative exchange rate fluctuation, the retailer takes the exchange rate risk, but only when there is low reliance on it as a reference. Furthermore, the stronger the reference-dependent psychology of the retailer, the greater the utility of the main body of the multi-national supply chain. Especially under the resale-price strategy, the motivation of the retailer to take exchange rate risk is inversely proportional to the reference dependence coefficient, while the motivation of the purchaser performs positively. The situation is reversed with a cost-plus strategy.
- (3)
- If the risk of positive fluctuation in the exchange rate is deemed too high, the retailer will bear and hedge the exchange rate risk under the cost-plus strategy. At the same time, the cooperation interval reached by a multi-national supply chain is larger than before hedging. In a word, the transfer pricing strategy will shift from resale-price to cost-plus in this circumstance.
6.2. Managerial Implications
In summary, globalization is significant concerning the cross-border trade in BRI partner countries. Nevertheless, the multi-national supply chain associated with BRI must meticulously evaluate its transfer pricing methodologies and exchange rate risk management strategies because transfer pricing methods play a crucial role in the transmission of exchange rate risk. Therefore, the key managerial insights can be distilled as follows:
Multi-national headquarters must adopt a holistic approach to micro-level risk management. When devising transfer pricing strategies, it is crucial to consider the distribution and transmission structure of exchange rate risk within its subsidiaries. By leveraging transfer pricing as an internal coordination tool, these enterprises can streamline cross-border resource allocation, bolstering their competitiveness in markets under the BRI framework.
Subsequently, a multi-national supply chain should continuously and dynamically monitor the exchange rate fluctuations in trade activities. Taking a macro-level approach to risk factors and implementing correct expectations and strategic arrangements at the micro level will facilitate the effective utilization of financial derivatives to stabilize irrational fluctuations in foreign exchange markets.
Policy authorities ought to closely observe external shocks and trade barriers that may affect China’s real economic activities under the BRI. Drawing upon the purpose of the BRI, one can devise market integration mechanisms that promote smooth cross-border capital flows for multi-national companies through high-level division of labor and institutionalized openness. Simultaneously, guiding market sentiment and expectations in the real economy can help prevent systemic risks from spreading extensively through different transmission structures.
However, this paper has some limitations that provide opportunities for future work: first, exploring the positive effects of other financial instruments, such as options and swaps, on the management of exchange rate risks within supply chains would be a valuable endeavor. Second, it could also consider the impact of the correlation between exchange rates and market variables on the decision-making process.
Author Contributions
Conceptualization, Y.L.; Methodology, Y.L.; Software, Y.L.; Validation, Y.C.; Writing—review & editing, Y.L. and Y.C.; Visualization, Y.C.; Supervision, Y.L. All authors have read and agreed to the published version of the manuscript.
Funding
This research received no external funding.
Institutional Review Board Statement
Not applicable.
Informed Consent Statement
Not applicable.
Data Availability Statement
The original contributions presented in the study are included in the article, further inquiries can be directed to the corresponding author.
Conflicts of Interest
The authors declare that they have no known competing financial interests or personal relationships that could have appeared to influence the work reported in this paper. No conflict of interest exists in the submission of this manuscript, and the manuscript is approved by all authors for publication in Sustainability.
Appendix A
Appendix A.1. Proof of Proposition 1
Proof.
① The optimal order quantity of the retailer satisfies the following target expected utility function:
Derive the first order condition of with respect to .
, and the second-order condition has been fulfilled . Hence, is a concave function of letting , The optimal order quantity is .
② Objective function of the purchaser.
The first-order partial derivative of is , and the second-order partial derivative satisfies ( can be verified by the inverse derivative of ). Similarly, letting determine the optimal purchase price .
③ Objective function of the headquarters enterprise.
Determine the primary derivative of .
By substituting variables and into first-order functions and employing mathematical techniques to simplify , one can verify the value of . The optimal solution may be derived by replacing variable with a combination of and .
In addition, as a result of , numerical simulation data is utilized to verify whether the optimal solution falls within the specified range before replacing . The findings are presented in Figure A1. It is evident that the optimal solution falls within the upper and lower limits posited in the hypothesis, thus confirming that represents the optimal solution within a reasonable range. □
Figure A1.
Transfer pricing coefficient under CP model.
Figure A1.
Transfer pricing coefficient under CP model.

Appendix A.2. Proof of Proposition 2
Proof.
The proof process is similar to Proposition 1. Specifically, the first derivative of the headquarters enterprise can be simplified to
The solution yields . Given that , the range result for testing is depicted in Figure A2. It is evident that the optimal solution falls within the upper and lower limits posited in the hypothesis, thus represents the optimal solution within a reasonable range. □
Figure A2.
Transfer pricing coefficient in CR mode.
Figure A2.
Transfer pricing coefficient in CR mode.

Appendix A.3. Proof of Proposition 3
Proof.
① The optimal order quantity for the retailer satisfies the following target expected utility function
The first derivative of the order quantity is , and can be easily obtained. Let , then solve for .
② Objective function of the purchaser
It is evident that exhibits a negative correlation with respect to , attributed to . Let denote a positive number approaching 0 infinitely, then the optimal cost-plus coefficient is .
③ Objective function of the headquarters enterprise.
Calculate the first derivative of .
By substituting and into first-order functions and using mathematical simplification to derive , the verification of can be achieved. The solution is , with and . presented here represents the optimal solution of the model without constraints. However, the actual value of within a reasonable range will be determined through numerical simulation.
In addition, as , the test results using numerical simulation are presented in Figure A3. It is evident that the exchange rate fluctuation remains below the lower limit value within the range of approximately −2 to 1. Therefore, the value of within this range is . Outside of this range, falls within the interval required by the hypothesis, and is preferred. □
Figure A3.
Transfer Pricing Coefficients in RP Mode.
Figure A3.
Transfer Pricing Coefficients in RP Mode.

Appendix A.4. Proof of Proposition 4
Proof.
The proof process is akin to Proposition 3. Similarly, the actual value of within a reasonable interval will be screened and represented through numerical simulation. As , the test results using numerical simulation are depicted in Figure A4. It is evident that falls within the majority of intervals’ upper and lower limits. At this juncture, bears the optimal value as determined by the model; specifically,
increases with variations in reference dependence coefficient and positive exchange rate changes, causing to surpass its upper limit value while takes on the value . □
Figure A4.
Transfer pricing coefficient in RR model.
Figure A4.
Transfer pricing coefficient in RR model.

Appendix A.5. Proof of Proposition 5
Proof.
Taking the cost-plus strategy as an example, the optimal decision-making process for the resale-price strategy is identical. When the retailer bears the exchange rate risk, it can be observed from Equation (27) that the second-order condition of . Therefore, is a concave function of , and if , the optimal order quantity is . The objective function of the purchaser is G, and H obtained from this function is simplified and tested to obtain I. □
References
- Wang, H.; Si, I.; Chen, Z. Does the Belt and Road Initiative promote China and the countries along the route to reconstruct the global value chain? Evidence from value-added trade. Econ. Anal. Policy 2024, 81, 63–83. [Google Scholar] [CrossRef]
- Chan, H.K.; Dai, J.; Wang, X.; Lacka, E. Logistics and supply chain innovation in the context of the Belt and Road Initiative (BRI). Transp. Res. Part E Logist. Transp. Rev. 2019, 132, 51–56. [Google Scholar] [CrossRef]
- Qiu, Y.; Zhou, C.; Jiang, C.; Tang, B.; Li, M. M&As and the value chain of host countries in the “belt and road”—Based on path test of technological innovation. Technol. Forecast. Soc. 2024, 204, 123413. [Google Scholar]
- Wu, X.; Si, Y. China’s Belt and Road Initiative and Corporate Innovation. Financ. Res. Lett. 2022, 48, 103052. [Google Scholar] [CrossRef]
- Zhang, Y.; Zhang, Z.; Jin, H.; Tu, W.; Liu, Y. Innovation and OFDI along the Belt and Road. Technol. Forecast. Soc. Chang. 2024, 200, 123136. [Google Scholar] [CrossRef]
- Chen, S.; Devereux, M.B.; Shi, K.; Xu, J. Exchange rates, local currency pricing and international tax policies. J. Monet. Econ. 2021, 117, 460–472. [Google Scholar] [CrossRef]
- Guo, J.; Zhang, B.; Guo, Y.; Li, F. Expectation or risk aversion when outward foreign direct investment firms invest in the belt and road: Evidence from China. Res. Int. Bus. Financ. 2022, 62, 101728. [Google Scholar] [CrossRef]
- Ho, W. International outsourcing, exchange rates, and monetary policy. J. Int. Money Financ. 2021, 118, 102461. [Google Scholar] [CrossRef]
- Lu, B.; Wang, Y. Multinationals’ profits in China: Impact of tax avoidance. J. Int. Money Financ. 2024, 140, 102990. [Google Scholar] [CrossRef]
- Sandonis, J.; Yermukanova, B. Tax motivated vertical FDI and transfer pricing. Econ. Model. 2024, 139, 106813. [Google Scholar] [CrossRef]
- Kumar, S.; Pandey, N.; Lim, W.M.; Chatterjee, A.N.; Pandey, N. What do we know about transfer pricing? Insights from bibliometric analysis. J. Bus. Res. 2021, 134, 275–287. [Google Scholar] [CrossRef]
- Wu, Z.; Lu, X. The effect of transfer pricing strategies on optimal control policies for a tax-efficient supply chain. Omega 2018, 80, 209–219. [Google Scholar] [CrossRef]
- Deng, S.; Xu, J.; Han, Y. A proprietary component manufacturer’s global supply chain design: The impacts of tax and organizational structure. Omega 2023, 115, 102777. [Google Scholar] [CrossRef]
- Yang, G.; Gu, Q. Effects of exchange rate variations on bilateral trade with a vehicle currency: Evidence from China and Singapore. J. Int. Money Financ. 2016, 68, 50–73. [Google Scholar] [CrossRef]
- Ogunranti, G.A.; Ceryan, O.; Banerjee, A. Buyer-supplier currency exchange rate flexibility contracts in global supply chains. Eur. J. Oper. Res. 2021, 288, 420–435. [Google Scholar] [CrossRef]
- Mittal, M.; Sarkar, B. Stochastic behavior of exchange rate on an international supply chain under random energy price. Math. Comput. Simulat 2023, 205, 232–250. [Google Scholar] [CrossRef]
- Hellerstein, R. Who bears the cost of a change in the exchange rate? Pass-through accounting for the case of beer. J. Int. Econ. 2008, 76, 14–32. [Google Scholar] [CrossRef]
- Arcelus, F.J.; Gor, R.; Srinivasan, G. Foreign exchange transaction exposure in a newsvendor setting. Eur. J. Oper. Res. 2013, 227, 552–557. [Google Scholar] [CrossRef]
- Kim, K.; Park, K.S. Transferring and sharing exchange-rate risk in a risk-averse supply chain of a multinational firm. Eur. J. Oper. Res. 2014, 237, 634–648. [Google Scholar] [CrossRef]
- Canyakmaz, C.; Özekici, S.; Karaesmen, F. Risk management through financial hedging in inventory systems with stochastic price processes. Int. J. Prod. Econ. 2024, 270, 109189. [Google Scholar] [CrossRef]
- González-Jiménez, V. Incentive design for reference-dependent preferences. J. Econ. Behav. Organ. 2024, 221, 493–518. [Google Scholar] [CrossRef]
- Chen, X.; Zhao, X. How time flies: Time perception and intertemporal choice. J. Behav. Exp. Econ. 2024, 109, 102160. [Google Scholar] [CrossRef]
- Kahneman, D.; Tversky, A. Prospect theory: An analysis of decision under risk. In Handbook of the Fundamentals of Financial Decision Making: Part I; MacLean, L.C., Ziemba, W.T., Eds.; World Scientific: Singapore, 2013; Volume 4, pp. 99–127. [Google Scholar]
- Loewenstein, G. Projection Bias in Medical Decision Making. Med. Decis. Mak. 2005, 25, 96–105. [Google Scholar] [CrossRef] [PubMed]
- Kim, K.; Kim, J. The study of brand loyalty and switching cost on OTT bundled service choice: Focusing on reference-dependent preferences in the saturated market. J. Retail. Consum. Serv. 2024, 77, 103689. [Google Scholar] [CrossRef]
- Kohlhase, S.; Wielhouwer, J.L. Tax and tariff planning through transfer prices: The role of the head office and business unit. J. Account. Econ. 2023, 75, 101568. [Google Scholar] [CrossRef]
- Choi, J.P.; Furusawa, T.; Ishikawa, J. Transfer pricing regulation and tax competition. J. Int. Econ. 2020, 127, 103367. [Google Scholar] [CrossRef]
- Shunko, M.; Debo, L.; Gavirneni, S. Transfer Pricing and Sourcing Strategies for Multinational Firms. Prod. Oper. Manag. 2014, 23, 2043–2057. [Google Scholar] [CrossRef]
- Kamali, A.H.; Taleizadeh, A.A.; Toloo, M. A novel approach to optimize an integrated network design and pricing of a healthcare supply chain. Expert. Syst. Appl. 2024, 252, 123976. [Google Scholar] [CrossRef]
- Löffier, C. Divisionalization and domestic transfer pricing for tax considerations in the multinational enterprise. Manag. Account. Res. 2019, 45, 100646. [Google Scholar] [CrossRef]
- Liu, S.; Papageorgiou, L.G. Fair profit distribution in multi-echelon supply chains via transfer prices. Omega 2018, 80, 77–94. [Google Scholar] [CrossRef]
- Gao, L.; Zhao, X. Determining intra-company transfer pricing for multinational corporations. Int. J. Prod. Econ. 2015, 168, 340–350. [Google Scholar] [CrossRef]
- Hammami, R.; Frein, Y. Integration of the profit-split transfer pricing method in the design of global supply chains with a focus on offshoring context. Comput. Ind. Eng. 2014, 76, 243–252. [Google Scholar] [CrossRef]
- Guchhait, R.; Sarkar, B. A decision-making problem for product outsourcing with flexible production under a global supply chain management. Int. J. Prod. Econ. 2024, 272, 109230. [Google Scholar] [CrossRef]
- Hassan, R.; Loualiche, E.; Pecora, A.R.; Ward, C. International trade and the risk in bilateral exchange rates. J. Financ. Econ. 2023, 150, 103711. [Google Scholar] [CrossRef]
- Bae, S.C.; Kwon, T.H.; Park, R.S. Managing exchange rate exposure with hedging activities: New approach and evidence. Int. Rev. Econ. Financ. 2018, 53, 133–150. [Google Scholar] [CrossRef]
- Kim, K.; Kim, S.; Lim, S. Optimal bond holding dynamics with hedging against real exchange rate risks. Int. Rev. Econ. Financ. 2023, 86, 626–638. [Google Scholar] [CrossRef]
- Naveed, H.M.; Pan, Y.; Yao, H.; Al-Faryan, M.A.S. Assessing the nexus between currency exchange rate returns, currency risk hedging and international investments: Intelligent network-based analysis. Technol. Forecast. Soc. Change 2024, 206, 123504. [Google Scholar] [CrossRef]
- Santoro, E.; Petrella, I.; Pfajfar, D.; Gaffeo, E. Loss aversion and the asymmetric transmission of monetary policy. J. Monet. Econ. 2014, 68, 19–36. [Google Scholar] [CrossRef]
- Dong, J.; Jiang, Y.; Liu, D.; Dou, X.; Liu, Y.; Peng, S. Promoting dynamic pricing implementation considering policy incentives and electricity retailers’ behaviors: An evolutionary game model based on prospect theory. Energy Policy 2022, 167, 113059. [Google Scholar] [CrossRef]
- Kirshner, S.N.; Shao, L. Internal and external reference effects in a two-tier supply chain. Eur. J. Oper. Res. 2018, 267, 944–957. [Google Scholar] [CrossRef]
- Qiu, R.; Yu, Y.; Sun, M. Supply chain coordination by contracts considering dynamic reference quality effect under the O2O environment. Comput. Ind. Eng. 2022, 163, 107802. [Google Scholar] [CrossRef]
- Liu, C.; Chen, W. Decision making in green supply chains under the impact of the stochastic and multiple-variable dependent reference point. Transp. Res. E-log 2019, 128, 443–469. [Google Scholar] [CrossRef]
- Malekian, Y.; Rasti-Barzoki, M. A game theoretic approach to coordinate price promotion and advertising policies with reference price effects in a two-echelon supply chain. J. Retail. Consum. Serv. 2019, 51, 114–128. [Google Scholar] [CrossRef]
- Becker-Peth, M.; Thonemann, U.W. Reference points in revenue sharing contracts—How to design optimal supply chain contracts. Eur. J. Oper. Res. 2016, 249, 1033–1049. [Google Scholar] [CrossRef]
- Zhang, J.; Gou, Q.; Liang, L.; Huang, Z. Supply chain coordination through cooperative advertising with reference price effect. Omega 2013, 41, 345–353. [Google Scholar] [CrossRef]
- Yu, B.; Wang, J.; Lu, X.; Yang, H. Collaboration in a low-carbon supply chain with reference emission and cost learning effects: Cost sharing versus revenue sharing strategies. J. Clean. Prod. 2020, 250, 119460. [Google Scholar] [CrossRef]
- Si, D.K.; Li, H.X.; Hu, D.; Li, X.L. The uncertainty of RMB exchange rate expectation and foreign investment Evidence from Cross-border M&As in China. Pac-Basin Financ. J. 2024, 83, 102213. [Google Scholar]
Disclaimer/Publisher’s Note: The statements, opinions and data contained in all publications are solely those of the individual author(s) and contributor(s) and not of MDPI and/or the editor(s). MDPI and/or the editor(s) disclaim responsibility for any injury to people or property resulting from any ideas, methods, instructions or products referred to in the content. |
© 2024 by the authors. Licensee MDPI, Basel, Switzerland. This article is an open access article distributed under the terms and conditions of the Creative Commons Attribution (CC BY) license (https://creativecommons.org/licenses/by/4.0/).











