Expanding the Concept of Sustainable Interaction Design: A Systematic Review
Abstract
1. Introduction
1.1. Aim and Research Motivations
1.2. Background Knowledge: The Definition of SID
1.3. Existing Literature Reviews
1.4. Key Research Elements and Structure
2. Methodology of the Literature Review
2.1. Scoping Literature Review
2.2. Systematic Literature Review
2.2.1. Search Keywords and Query Limits
TITLE-ABS-KEY (“sustainable interaction design” OR “sustainable HCI” OR “sustainable human computer interaction” OR “SHCI” OR “SID”)
2.2.2. Inclusion and Exclusion Criteria for Abstract Screening
- EC 1. The acronyms “SHCI” or “SID” had different meanings from “Sustainable Human–Computer Interaction” and “Sustainable Interaction Design”.
- EC 2. Sustainability was not the main topic. Instead, it was used as an example of concern for discussing something else.
- EC 3. The title or abstract subject was not related to the field of HCI or IxD. Some examples were finance, medicine, and chemistry.
- EC 4. The search keyword was included in the authors’ keywords but was not present in the abstract or title as it was not the focus of the publication, or it had been misused for the starting definition considered.
- EC 5. The record was just the introductory paragraph to a conference proceeding.
2.2.3. Guidelines for Paper Screening
- EC 6. Publications affirming the overall importance of focusing on sustainability—broadly speaking—in IxD or presenting all the different perspectives in general terms.
- EC 7. Summaries of conferences’ workshops stating that they will debate about SIDin general terms without anticipating an initial position/an interpretation about it.
- EC 8. Studies mainly vertical on specific issues that are not strictly related to SID but imply it just as context (e.g., digital art on climate change, ICT for brand sustainability, food science as a lens for examining practices, the problem of engaging academic stakeholders, etc.)
3. Sustainable Interaction Design
3.1. Defining Sustainability (in Interaction Design): The Debate
3.2. Mankoff and Blevis’s Delineation of SID
- Sustainability in design: This approach involves using sustainability as a critical lens during the design process of interactive technologies. It encompasses four core dimensions that guide the development of sustainable interactive concepts and artifacts. These dimensions focus on improving energy efficiency, reusing energy, reducing energy consumption, and recycling energy resources. Essentially, this approach treats sustainability as an integrated aspect of the artifact’s design—a sustainability by-product.
- Sustainability through design: This approach uses interactive technologies to encourage sustainable behaviors. It emphasizes designing interactions that foster sustainable actions and raise awareness. The resulting technologies can operate at three levels: individual, group, and societal. Here, to our understanding, sustainability is primarily pursued through behavioral change, aiming to influence the mindset and decisions of users to support sustainable lifestyles and decision-making.
- The first approach, “in design”, comes into play in the phases of a design process in which the essence of design artifacts is shaped. It refers to when designers conceptualize and define the character and features of an interactive artifact (e.g., “an artifact that self-regulates to save energy”).
- In contrast, the second approach, “through design”, guides designers’ concerns in the design processes about how people will interact with the artifact and how the interaction will affect other decisions. It refers mainly to the design considerations in which the objective and scope are developed (e.g., “an artifact persuading people to consume less energy at home”).
Redefining the Notion of “Designing” in SID
- By design: Signifies that interactive technologies incorporate sustainability into the way they are finally designed, constituting an integral aspect of the artifact or system’s design.
- Through design: Denotes that designed interactive technologies function as instruments to propagate sustainable behaviors. Consequently, the positive effects on sustainability are realized through the interaction with technology.
- In designing: Refers to how interactive technologies are conceived, encompassing the design processes and methodologies. Here, sustainability may not be directly instigated by the artifacts or the interactions themselves but instead emanates from the design processes.
4. Mapping the Ways of Promoting SID
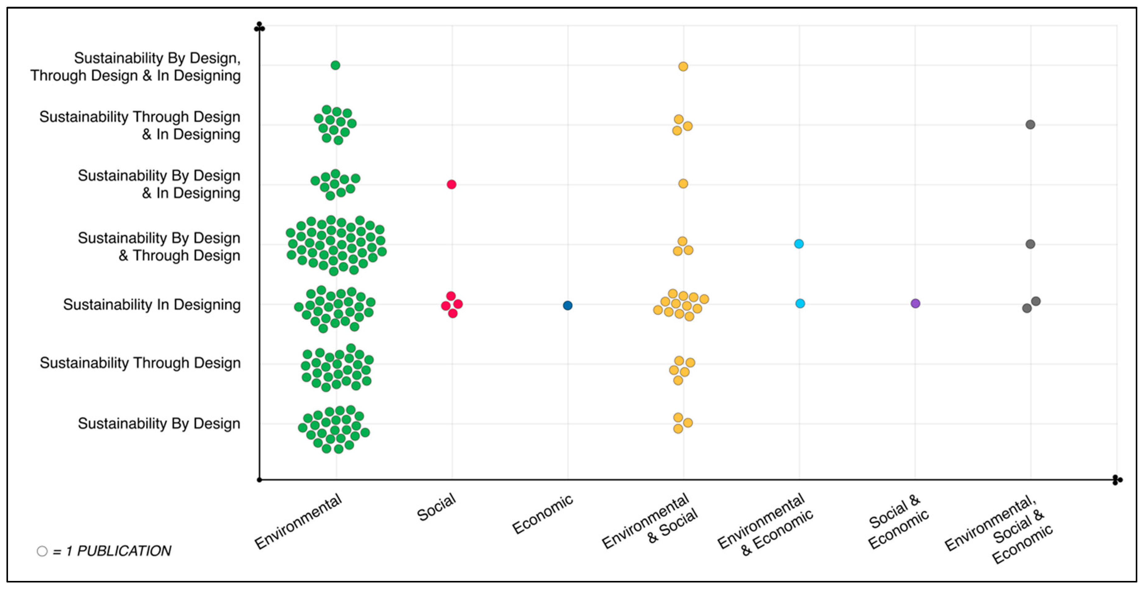
- Framing of sustainability: Originally described in the UN Brundtland report [24], echoed in the study by Braungart and McDonaugh [19] and adopted by Scuri et al. [17], it emphasizes that when working toward sustainability, we need to account for environmental, social, and economic concerns. However, as also identified in previous studies, these concerns are not evenly represented and catered for in contributions to Sustainable Interaction Design. The lens is in line with the work contributed by Scuri and associates, but here, we build from a larger and more updated pool of papers.
- The role of design: As presented in the previous section, Eli Blevis and colleagues [20] put forward that sustainability in Interaction Design could be fostered either “in design”—the artifact in itself conceived and operated in a sustainable fashion, e.g., a product that is fully recyclable, or “through design”—where the design promotes sustainable acts and behavior, e.g., it helps preserve nature. The analytical lens extends Blevis’s original approach, and we argue that sustainability is promoted in three ways: by, through, and in design.
- Recurrent and emerging topics: Finally, we unpack the specific topics and concepts that are repeated multiple times in 185 publications in the corpus (e.g., collapse informatics, persuasive technologies, and e-waste).
4.1. Framing Sustainability
4.2. Sustainability by Design and through Design in Designing: The Distribution
4.3. Recurring and Emerging Topics
- C1. Eco-feedback: Eco-feedback technologies, a well-established area within Interaction Design, are widely recognized as mechanisms that provide feedback on individual or group behaviors, with the goal of reducing environmental impact [41]. In the context of SID, most studies associate eco-feedback systems with energy consumption. However, some publications explore aspects like visualization and feedback design independently. Overall, scholars aim to connect energy data with corresponding actions to raise awareness and encourage pro-environmental behavior. This is often interpreted as individual energy conservation in domestic settings, with recent efforts expanding to community-level initiatives [42,43,44].
- C2. Behavioral change: Behavioral change, a prominent concept in HCI and IxD, is primarily defined in most publications as the process of altering attention and cognition to address habitual environmentally harmful behaviors. From this perspective, interactive technologies can motivate individuals toward environmentally friendly behaviors by changing beliefs, shaping attitudes, and influencing actions. The overarching goal is to foster ecological awareness and promote sustainable behaviors. Despite progress, the challenge remains in understanding which interventions, or combinations of interventions, are most effective for specific target users, with the aim of creating a positive and lasting sustainable impact [45,46].
- C3. Persuasive technologies: Information and persuasive technologies are often viewed as key tools for promoting behavioral change. In the surveyed literature, persuasive technologies for sustainability typically focus on encouraging self-reflection in response to shifts in attention and cognition regarding habitual behaviors related to sustainability. Persuasive HCI revolves around designing socially persuasive systems to inspire reflection and behavioral transformation, particularly in promoting sustainable lifestyles within communities. Several scholars argue that values play a significant role in either hindering or facilitating desired behavior change and suggest that integrating value research into persuasive sustainability efforts could lead to more effective interventions [47,48].
- C4. HCI and design for attachment: This approach is centered on designing digital artifacts that evoke a deep and lasting sense of attachment in users, with a focus on the emotional connection between the artifact and the user. The challenge is to design artifacts that foster personal meaning, alongside their functional roles. This type of user engagement has been a critical focus in SID research, aimed at reducing material and energy waste [49,50]. Among all these publications, one that is particularly important is the reflection by Pierce and colleagues on designing for “emotional attachment to energy” as a principle within SID [51]. It is important to note that this type of approach to design was already present in other “more traditional designs” when dealing with sustainable implications, for example, in industrial design [52].
- C5. HCI activism and feminism: The recent literature explores applying activist and feminist approaches in HCI and IxD. This shift moves the focus from individuals—crucial in sustainable HCI, especially regarding behavioral change—to the population as a whole, empowering a broader audience. Design activism requires designers to take greater responsibility, not only in acquiring knowledge but also in introspection and adopting strong stances on their role in fostering positive societal and environmental change. This approach sometimes leverages technology to facilitate collective engagement, such as enabling communication between the public and decision-makers to improve specific situations [53,54]. In contrast, feminist HCI focuses on adopting a feminist methodology of inquiry, with the idea of strengthening interaction designer awareness and a sense of responsibility for the socio-cultural consequences of their proposed interventions and practices [55].
- C6. E-waste: On a more practical level, several scholars have focused on e-waste, a concept closely related to designing for attachment. Encouraging personal attachment to electronic devices could prolong their lifespans, helping to prevent e-waste by emphasizing the continuity of digital artifacts’ material life after their “death” and narrowing the gap between their functional and perceived lifetimes. Scholars argue that approaching the design process with this perspective could help shift the current disposable technology paradigm. Designing interactive objects with sustainable values could extend their life or, at the very least, promote reflection on disposal, encouraging users to engage with the implications of the waste generated once the object ceases to function [56,57,58].
- C7. Permaculture approach: Recently, some scholars have begun integrating the philosophy of permaculture—an old method of designing sustainable human settlements—into the design process. This approach proposes a methodological shift that promotes harmonious collaboration with nature rather than controlling it, as traditional models often do. Even in crafting fully digital interactions, this perspective advocates for an ecologically conscious approach, drawing inspiration from the sustainable practices of permanent agriculture, even in applications that seem far removed from nature, like UX design for digital artifacts [59,60].
- C8. Collapse informatics: Another way of approaching the Interaction Design process that scholars have discussed in recent years is the use of “collapse informatics” as a scenario. It involves guiding design choices by considering the global scarcity of resources, particularly related to informatics and digital artifacts, and how to plan for a future marked by resource shortages. Scholars in the SID field using this lens argue that researchers should explore how the discipline can help prevent such scenarios or address the challenges that might arise [61,62].
- C9. Sustainable HCI and bio-materials: Focusing on the material dimension of SID, some scholars have increasingly emphasized the role of materiality in Interaction Design, specifically in relation to SID. Their studies investigate the sustainability of materials themselves (e.g., using bio-based materials or those that reduce resource consumption and pollution) or the indirect sustainability linked to interactions with the artifact’s materiality (e.g., working on sensory experiences, engaging with materiality, or addressing the waste implications). Their research highlights the importance of sustainable materials in extending the lifecycle of interactive objects and reducing environmental impact [63,64].
5. Future Research Trajectories of SID
Study Limitations (and Future Work)
6. Conclusions
Supplementary Materials
Author Contributions
Funding
Acknowledgments
Conflicts of Interest
Appendix A
- Yellow = Publication authored and co-authored by Eli Blevis
- Light blue = Contributions included in the book “Digital Technology and Sustainability: Engaging the Paradox” [4]
| Title | Authors | Year | 
|---|---|---|
| Sustainable interaction design: Invention & disposal, renewal & reuse | Blevis E. [1] | 2007 | 
| Using design critique as research to link sustainability and interactive technologies | Blevis E. et al. [66] | 2007 | 
| Luxury & new luxury, quality & equality | Blevis E. et al. [67] | 2007 | 
| Sustainable millennials: Attitudes towards sustainability and the material effects of interactive technologies | Hanks K. et al. [68] | 2008 | 
| Breaking the disposable technology paradigm: Opportunities for sustainable interaction design for mobile phones | Huang E.M. and Truong K.N. [69] | 2008 | 
| A bright green perspective on sustainable choices | Woodruff A. et al. [70] | 2008 | 
| Nourishing the ground for sustainable HCI: Considerations from ecologically engaged art | DiSalvo C. et al. [71] | 2009 | 
| Three environmental discourses in human-computer interaction | Goodman E. [9] | 2009 | 
| Human Computer Biosphere Interaction: Towards a Sustainable Society | Kobayashi H. et al. [72] | 2009 | 
| Understanding why we preserve some things and discard others in the context of interaction design | Odom W. et al. [73] | 2009 | 
| A sustainable identity: The creativity of an everyday designer | Wakkary R. and Tanenbaum K. [34] | 2009 | 
| PrintMarmoset: Redesigning the print button for sustainability | Xiao J. and Fan J. [74] | 2009 | 
| Mapping the landscape of sustainable HCI | Di Salvo C. et al. [10] | 2010 | 
| Navigating the terrain of sustainable HCI | Di Salvo C. et al. [75] | 2010 | 
| Making food, producing sustainability | Hirsch T. et al. [76] | 2010 | 
| Finding the lost treasure: Understanding reuse of used computing devices | Huh J. et al. [77] | 2010 | 
| “Mate, we don’t need a chip to tell us the soil’s dry”: Opportunities for designing interactive systems to support urban food production | Odom W. [78] | 2010 | 
| Designing for emotional attachment to energy | Pierce J. and Paulos E. [79] | 2010 | 
| Home, habits, and energy: Examining domestic interactions and energy consumption | Pierce J. et al. [51] | 2010 | 
| Toward an ecological sensibility: Tools for evaluating sustainable HCI | Silberman M.S. et al. [80] | 2010 | 
| Towards a feminist HCI methodology: Social science, feminism, and HCI | Bardzell S. and Bardzell J. [55] | 2011 | 
| Social translucence as a theoretical framework for sustainable HCI | Barreto M. et al. [81] | 2011 | 
| Visible–Actionable–Sustainable: Sustainable interaction design in professional domains | Bonanni L. et al. [82] | 2011 | 
| Motivating domestic energy conservation through comparative, community-based feedback in mobile and social media | Petkov P. et al. [83] | 2011 | 
| Engaging energy saving through motivation-specific social comparison | Petkov P. et al. [84] | 2011 | 
| Designing eco-feedback systems for everyday life | Strengers Y. [44] | 2011 | 
| My grandfather’s iPod: An investigation of emotional attachment to digital and non-digital artefacts | Turner P. and Turner S. [85] | 2011 | 
| Power to the people: Dynamic energy management through communal cooperation | Boucher A. et al. [86] | 2012 | 
| Sustainably unpersuaded: How persuasion narrows our vision of sustainability | Brynjarsdóttir H. et al. [87] | 2012 | 
| Understanding domestic energy consumption through interactive visualisation: A field study | Costanza E. et al. [88] | 2012 | 
| Inspiring the design of longer-lived electronics through an understanding of personal attachment | Gegenbauer S. and Huang E.M. [49] | 2012 | 
| Symbolic documentation: Toward fashion-related sustainable design | Pan Y. [89] | 2012 | 
| Re-conceptualizing fashion in sustainable HCI | Pan Y. et al. [90] | 2012 | 
| Personalised eco-feedback as a design technique for motivating energy saving behaviour at home | Petkov P. et al. [91] | 2012 | 
| Evaluating semi-automatic annotation of domestic energy consumption as a memory aid | Richardson D.P. et al. [92] | 2012 | 
| “we’ve bin watching you”—Designing for reflection and social persuasion to promote sustainable lifestyles | Thieme A. et al. [48] | 2012 | 
| Collapse informatics: Augmenting the sustainability & ICT4D discourse in HCI | Tomlinson B. et al. [93] | 2012 | 
| Domestic artefacts: Sustainability in the context of Indian Middle Class | Vyas D. [94] | 2012 | 
| Facilitation of sustainability through appropriation-enabling design | Arakelyan A. and Lamas D. [95] | 2013 | 
| Eco-Buzz: An interactive eco-feedback system based on cultural forms of play | Banerjee A. [96] | 2013 | 
| Designing beyond habit: Opening space for improved recycling and food waste behaviors through processes of persuasion, social influence and aversive affect. | Comber R. and Thieme A. [45] | 2013 | 
| Beyond being green: Simple living families and ICT | Håkansson M. and Sengers P. [97] | 2013 | 
| Design Activism in the HCI Classroom | Hauser S. et al. [53] | 2013 | 
| Sustainable HCI for grassroots urban food-growing communities | Heitlinger S. et al. [35] | 2013 | 
| Living lab and research on sustainability: Practical approaches on sustainable interaction design | Keyson D.V. et al. [98] | 2013 | 
| Re-Imagining Persuasion: Designing for Self-Transcendence | Knowles B. [47] | 2013 | 
| Greenify: Fostering Sustainable Communities Via Gamification | Lee J.J. et al. [99] | 2013 | 
| Introduction to the special issue on practice-oriented approaches to sustainable HCI | Pierce J. et al. [100] | 2013 | 
| Taking a note from marketing research in sustainable HCI | Remy C. [101] | 2013 | 
| Collapse informatics and practice: Theory, method, and design | Tomlinson B. et al. [62] | 2013 | 
| A sustainable design fiction: Green practices | Wakkary R. et al. [36] | 2013 | 
| Sustainability in the workplace: Nine intervention techniques for behavior change | Yun R. et al. [46] | 2013 | 
| Ghost Hunter: Parents and children playing together to learn about energy consumption | Banerjee A. and Horn M.S. [102] | 2014 | 
| Towards an holistic view of the energy and environmental impacts of domestic media and IT | Bates O. et al. [103] | 2014 | 
| Rewriting, redesigning and reimagining the recipe for more sustainable food systems | Frawley J.K. et al. [104] | 2014 | 
| The talking plants: An interactive system for grassroots urban food-growing communities | Heitlinger S. et al. [105] | 2014 | 
| Social practices, households, and design in the smart grid | Katzeff C. and Wangel J. [106] | 2014 | 
| Rethinking plan A for sustainable HCI | Knowles B. et al. [7] | 2014 | 
| Patterns of persuasion for sustainability | Knowles B. et al. [107] | 2014 | 
| Human-computer-biosphere interaction: Beyond human—Centric interaction | Kobayashi H.H. [108] | 2014 | 
| Designing persuasive systems for sustainability—A cognitive dissonance model | Mustaquim M. and Nyström T. [109] | 2014 | 
| Open sustainability innovation—A pragmatic standpoint of sustainable HCI | Mustaquim M.M. and Nyström T. [110] | 2014 | 
| Sustainable information system design and the role of sustainable HCI | Nyström T. and Mustaquim M.M. [111] | 2014 | 
| Fashion thinking: Lessons from fashion and Sustainable interaction design, concepts and issues | Pan Y. and Blevis E. [112] | 2014 | 
| Rethinking sustainability in computing: From buzzword to non-negotiable limits | Pargman D. and Raghavan B. [113] | 2014 | 
| ‘Sometimes it’s the weather’s fault’—Sustainable HCI & political activism | Prost S. et al. [54] | 2014 | 
| Next steps for sustainable HCI | Silberman M.S. et al. [114] | 2014 | 
| PORTS: An interdisciplinary and systemic approach to studying energy use in the home | Wilson G.T. et al. [115] | 2014 | 
| Exploring (un)sustainable growth of digital technologies in the home | Bates, O. et al. [116] | 2015 | 
| Role-based eco-info systems: An organizational theoretical view of sustainable HCI at work | Castelli N. et al. [117] | 2015 | 
| Sustainability Begins in the Street: A Story of Transition Town Totnes | Gui, X.N. and Nardi, B.N. [118] | 2015 | 
| Constructing and constraining participation in participatory arts and HCI | Holmer H.B. et al. [37] | 2015 | 
| Growing food in the city: Design ideations for urban residential gardeners | Lyle P. et al. [119] | 2015 | 
| Fashion thinking: Fashion practices and sustainable interaction design | Pan Y. et al. [120] | 2015 | 
| Understanding limits from a social ecological perspective | Pargman T.C. and Joshi S. [121] | 2015 | 
| Addressing obsolescence of consumer electronics through sustainable interaction design | Remy C. [122] | 2015 | 
| Bridging the theory-practice gap: Lessons and challenges of applying the attachment framework for Sustainable HCI design | Remy C. et al. [50] | 2015 | 
| Addressing the obsolescence of end-user devices: Approaches from the field of sustainable hci | Remy C. and Huang E.M. [123] | 2015 | 
| Limits and sustainable interaction design: Obsolescence in a future of collapse and resource scarcity | Remy C. and Huang E.M. [61] | 2015 | 
| Sustainable making? Balancing optimism and criticism in HCI discourse | Roedl D. et al. [29] | 2015 | 
| What people do with consumption feedback: A long-term living lab study of a home energy management system | Schwartz T. et al. [124] | 2015 | 
| LightShare: Sharing illumination the tangible way | Tong Y. et al. [125] | 2015 | 
| Engaging children with nature through environmental HCI | Anggarendra R. and Brereton M. [126] | 2016 | 
| An analysis of persuasive technologies for energy demand side management | Daniel M. et al. [127] | 2016 | 
| Challenging the role of design(ing) in the sustainability field—Towards a ‘humble’ design approach | De Jong A. et al. [128] | 2016 | 
| SYSTEMATEKS: Scalable interactive modular simulation (SIMS): Towards sustainable design | Ferrara L. and Dadashi N. [129] | 2016 | 
| InfoPlant: Multimodal augmentation of plants for enhanced human-computer interaction | Hammerschmidt J. et al. [130] | 2016 | 
| Linking data to action: Designing for amateur energy management | Hasselqvist H. et al. [43] | 2016 | 
| Challenging the car norm: Opportunities for ICT to support sustainable transportation practices | Hasselqvist H. et al. [131] | 2016 | 
| HeatDial: Beyond user scheduling in eco-interaction | Jensen R.H. and Hasselqvist H [132] | 2016 | 
| A sustainable HCI knowledge base in progress | Knowles B. and Håkansson M. [133] | 2016 | 
| Impoverished visions of sustainability: Encouraging disruption in digital learning environments | Meyers E.M. and Nathan L.P. [134] | 2016 | 
| Understanding and mitigating the effects of device and cloud service design decisions on the environmental footprint of digital infrastructure | Preist C. and Hasselqvist H [135] | 2016 | 
| Improving attractiveness of public transportation with interactive experiences | Väänänen K. et al. [136] | 2016 | 
| Eco-feedback visualization for closing the gap of organic food consumption | Zapico J.L. et al. [137] | 2016 | 
| Further connecting sustainable interaction design with sustainable digital infrastructure design | Blevis E. et al. [138] | 2017 | 
| Towards a social practice theory perspective on sustainable HCI research and design | Clear A.K. and Comber R. [139] | 2017 | 
| Response 2: Challenging the scope? | Costanza E. [4] | 2017 | 
| Designing and evaluating ambient tangible interfaces for shifting energy supply in the workplace | Daniel M. [140] | 2017 | 
| CAIRNS: An ambient tangible interface for shifting energy demand at work | Daniel M. et al. [141] | 2017 | 
| Reducing children’s psychological distance from climate change via eco-feedback technologies | Dillahunt T. et al. [142] | 2017 | 
| Sustainable HCI: Blending permaculture and user-experience | Egan C. and Benyon D. [143] | 2017 | 
| Permaculture as a foundation for sustainable interaction design and UX | Egan C. et al. [144] | 2017 | 
| EcoSonic: Auditory peripheral monitoring of fuel consumption for fuel-efficient driving | Hammerschmidt J. and Hermann T. [145] | 2017 | 
| Response 3a: Connected and complicit | Hogan M. [57] | 2017 | 
| Community-empowered air quality monitoring system | Hsu Y.-C. et al. [146] | 2017 | 
| Every little bit makes little difference: The paradox within SHCI | Joshi S. and Cerratto Pargman T. [4] | 2017 | 
| Response 3b: From participatory design to participatory governance through sustainable HCI | Kennedy R. [4] | 2017 | 
| A conversation between two sustainable HCI researchers: The role of HCI in a positive socio-ecological transformation | Mann S. and Bates O. [4] | 2017 | 
| Developing a political economy perspective for sustainable HCI | Nardi B. and Ekbia H. [40] | 2017 | 
| Perspectives in sustainable interaction design: A preliminary discussion involving human values and HCI | Nunes L. and Mont’Alvão C. [14] | 2017 | 
| Response 1a: Sustainable HCI: From individual to system | Preist C. [4] | 2017 | 
| Means and ends in human-computer interaction: Sustainability through disintermediation | Raghavan B. and Pargman D. [26] | 2017 | 
| Exploring the flexibility of everyday practices for shifting energy consumption through clockcast | Rasmussen M.K. et al. [147] | 2017 | 
| The limits of evaluating sustainability | Remy C. et al. [148] | 2017 | 
| Communicating SHCI research to practitioners and stakeholders | Remy C. and Huang E.M. [4] | 2017 | 
| Three principles of sustainable interaction design, revisited | Roedl D. et al. [25] | 2017 | 
| Response 4: Sustainability futures and the future of sustainable HCI | Strengers Y. [4] | 2017 | 
| A survey of empirical studies on persuasive technologies to promote sustainable living | Agnisarman S. et al. [18] | 2018 | 
| Building momentum: Scaling up change in community organizations | Biørn-Hansen A. and Håkansson M. [149] | 2018 | 
| Design-insights for devising persuasive IoT devices for sustainability in the workplace | Casado-Mansilla D. et al. [150] | 2018 | 
| More-than-human urban futures: Speculative participatory design to avoid ecocidal smart cities | Clarke R. et al. [151] | 2018 | 
| “Will the Last one out, please turn off the lights”: Promoting energy awareness in public areas of office buildings | Coutaz J. et al. [152] | 2018 | 
| Designing for diverse stakeholder engagement in resource-intensive practices | Hasselqvist H. and Eriksson E. [153] | 2018 | 
| Visualizing carbon footprint from school meals | Hedin B. et al. [154] | 2018 | 
| What can you do with 100 kWh? A longitudinal study of using an interactive energy comparison tool to increase energy awareness | Hedin B. and Zapico J.L. [155] | 2018 | 
| Avoiding ecocidal smart cities: Participatory design for more-than-human futures | Heitlinger S. et al. [156] | 2018 | 
| Computer as partner: A critique perspective of interaction design for social sustainability | Ho J.C.F. [30] | 2018 | 
| Assisted shifting of electricity use: A long-term study of managing residential heating | Jensen R.H. et al. [157] | 2018 | 
| Washing with the wind: A study of scripting towards sustainability | Jensen R.H. et al. [158] | 2018 | 
| This changes sustainable HCI | Knowles B. et al. [28] | 2018 | 
| Out of control: Reframing sustainable HCI using permaculture | Liu S.-Y.C. et al. [60] | 2018 | 
| Exploring sustainable HCI research through the inclusive innovation framework | Nyström T.; Mustaquim M. [159] | 2018 | 
| Examining the role visual graph structures play in collective awareness and cooperative decisions | Promann M. [160] | 2018 | 
| Evaluation beyond usability: Validating sustainable HCI research | Remy C. et al. [161] | 2018 | 
| “Data justice” by design: Building engagement through civic technologies | Walker D. [162] | 2018 | 
| The Lions’ gate: Towards a permaculture-inspired blended space | Egan C. et al. [59] | 2019 | 
| The right to the sustainable smart city | Heitlinger S. et al. [163] | 2019 | 
| Smell Pittsburgh: Community-empowered mobile smell reporting system | Hsu Y.-C. et al. [164] | 2019 | 
| Designing for multispecies collaboration and cohabitation | Liu S.-Y. [165] | 2019 | 
| Designing with, through, and for human-nature interaction | Liu S.-Y. [166] | 2019 | 
| Thermporal: An easy-to-deploy temporal thermographic sensor system to support residential energy audits | Mauriello M.L. et al. [167] | 2019 | 
| Evaluating sustainable interaction design of digital services: The case of YouTube | Preist C. et al. [8] | 2019 | 
| Not (B)interested? Using Persuasive Technology to Promote Sustainable Household Recycling Behavior | Bremer C. [168] | 2020 | 
| A digital nexus: Sustainable HCI and domestic resource consumption | Green N. et al. [15] | 2020 | 
| Lumen: A Case Study of Designing for Sustainable Energy Communities through Ambient Feedback | Hansen A.H. et al. [169] | 2020 | 
| Waste Wizard: Exploring Waste Sorting using AI in Public Spaces | Jacobsen R.Mø. et al. [170] | 2020 | 
| Designing for transitions in rural transport | Karahasanovic A. et al. [171] | 2020 | 
| Designing for the end of life of IoT objects | Lechelt S. et al. [58] | 2020 | 
| Econundrum: Visualizing the climate impact of dietary choice through a shared data sculpture | Sauvé K. et al. [172] | 2020 | 
| Single Use Goes Circular–An ICT Proto-Practice for a Sustainable Circular Economy Future | Junge I.P. [173] | 2021 | 
| E-Scooter Sustainability—A Clash of Needs, Perspectives, and Experiences | Kjærup M. et al. [174] | 2021 | 
| One Byte at a Time: Insights about Meaningful Data for Sustainable Food Consumption Practices | Lindrup M.V.A. et al. [175] | 2021 | 
| Can hci help increase people’s engagement in sustainable development? A case study on energy literacy | Pestana C. et al. [176] | 2021 | 
| Supporting Interaction with CO2 as a Resource with Individual Carbon Footprint Trackers as Everyday Assistants | Schrills T. et al. [177] | 2021 | 
| Envirofy your Shop: Development of a Real-time Tool to Support Eco-friendly Food Purchases Online | Shakeri G. and McCallum C.H. [178] | 2021 | 
| What We Speculate about When We Speculate about Sustainable HCI | Soden R. et al. [179] | 2021 | 
| A Tale of Two Mice: Sustainable Electronics Design and Prototyping | Arroyos V. et al. [56] | 2022 | 
| Designing Smart Plugs for Interactivity and Energy Sustainability via a Survey and Thematic Analysis | Barreto M. et al. [42] | 2022 | 
| Designing with Alganyl: A Hands-on Exploration of Biodegradable Plastics | Bell F. and Alistar M. [63] | 2022 | 
| Choosing a Questionnaire Measuring Connectedness to Nature for Human-Computer Interaction User Studies | Bouzekri E. and Rivière G. [180] | 2022 | 
| Tangibility and Engagement in Environmental Behavior: Toward a Longitudinal Study | Bouzekri E. and Rivière G. [181] | 2022 | 
| Have We Taken On Too Much?: A Critical Review of the Sustainable HCI Landscape | Bremer C. et al. [16] | 2022 | 
| Patterns and Opportunities for the Design of Human-Plant Interaction | Chang M. et al. [182] | 2022 | 
| Negotiating sustainable futures in communities through participatory speculative design and experiments in living | Chopra S. et al. [38] | 2022 | 
| Aqua: Leveraging Citizen Science to Enhance Whale-Watching Activities and Promote Marine-Biodiversity Awareness | Dionisio M. et al. [183] | 2022 | 
| Exploring Renewable Energy Futures through Household Energy Resilience | Hasselqvist H. et al. [184] | 2022 | 
| Exploring Biofoam as a Material for Tangible Interaction | Lazaro Vasquez E.S. et al. [64] | 2022 | 
| Sustainable Foodtures: Exploring Roles of Future Technology in Sustainable Food Shopping | Lindrup M.V.A. et al. [185] | 2022 | 
| Between Egoism and Altruism: A Mixed-Methods Study of Reflections about Energy Use in the Life Cycle of High Preference Grocery Products | Lindrup M.V.A. et al. [186] | 2022 | 
| Phenology Probes: Exploring Human-Nature Relations for Designing Sustainable Futures | Rodgers S. et al. [187] | 2022 | 
| Noticing the Environment—A Design Ethnography of Urban Farming | Rosén A.P. et al. [188] | 2022 | 
| Hitting the Triple Bottom Line: Widening the HCI Approach to Sustainability | Scuri S. et al. [17] | 2022 | 
| Ecorbis: A Data Sculpture of Environmental Behavior in the Home Context | Stegers B. et al. [189] | 2022 | 
| Designing Interactions with Kombucha SCOBY | Bell F. et al. [190] | 2023 | 
| A Methodology and a Tool to Support the Sustainable Design of Interactive Systems: Adapting systemic design tools to model complexity in interaction design | Bornes L. [191] | 2023 | 
| Validating Design Choices of a Bio-Inspired Histogram to Support a Shared Practice of Clean Energy at the Workplace | Bouzekri E. and Rivière G. [192] | 2023 | 
| Regulating Responsibility: Environmental Sustainability, Law, and the Platformisation of Waste Management | Comber R. and Rossitto C. [193] | 2023 | 
| (Re-)Distributional Food Justice: Negotiating conflicting views of fairness within a local grassroots community | Engelbutzeder P. et al. [194] | 2023 | 
| Value misalignments in interactions: An opportunity for sustainable HCI | Grimal L. et al. [32] | 2023 | 
| Sustainability by Design. How to Encourage Users to Choose Energy-Saving Programs and Settings when Washing Laundry | Grönewald L. et al. [195] | 2023 | 
| Exploring Values of Energy Justice: A Case Study of a Burgeoning Energy Community | Jensen V.V. and Jensen R.H. [196] | 2023 | 
| Sustainable HCI Under Water: Opportunities for Research with Oceans, Coastal Communities, and Marine Systems | Perovich L.J et al. [197] | 2023 | 
| Pick Me Up Before You Go-Go: Sociotechnical Strategies for Waste in Music Festival Campsites | Vella K. [198] | 2023 | 
References
- Blevis, E. Sustainable Interaction Design: Invention & Disposal, Renewal & Reuse. In Proceedings of the SIGCHI Conference on Human Factors in Computing Systems, San Jose, CA, USA, 28 April–3 May 2007; ACM: New York, NY, USA, 2007; pp. 503–512. [Google Scholar] [CrossRef]
- Carroll, J.M. Human-Computer Interaction-Brief Intro. In Interaction Design Foundation-IxDF. 2014. Available online: https://www.interaction-design.org/literature/book/the-encyclopedia-of-human-computer-interaction-2nd-ed/human-computer-interaction-brief-intro (accessed on 21 August 2024).
- Löwgren, J. Interaction Design-Brief Intro. In The Encyclopedia of Human-Computer Interaction, 2nd ed. 2014. Available online: https://www.interaction-design.org/literature/book/the-encyclopedia-of-human-computer-interaction-2nd-ed/interaction-design-brief-intro (accessed on 21 August 2024).
- Hazas, M.; Nathan, L.P. (Eds.) Digital Technology and Sustainability: Engaging the Paradox, 1st ed.; Routledge: Oxfordshire, UK, 2017; ISBN 978-1-315-46597-5. [Google Scholar]
- Huang, E.M.; Blevis, E.; Mankoff, J.; Nathan, L.P.; Tomlinson, B. Defining the Role of HCI in the Challenges of Sustainability. In Proceedings of the CHI ’09 Extended Abstracts on Human Factors in Computing Systems, Boston, MA, USA, 4–9 April 2009; ACM: New York, NY, USA, 2009; pp. 4827–4830. [Google Scholar] [CrossRef]
- Fry, T. The Scenario of Design. Des. Philos. Pap. 2005, 3, 19–27. [Google Scholar] [CrossRef]
- Knowles, B.; Blair, L.; Coulton, P.; Lochrie, M. Rethinking Plan A for Sustainable HCI. In Proceedings of the SIGCHI Conference on Human Factors in Computing Systems, Toronto, ON, Canada, 26 April-1 May 2014; ACM: New York, NY, USA, 2014; pp. 3593–3596. [Google Scholar] [CrossRef]
- Preist, C.; Schien, D.; Shabajee, P. Evaluating Sustainable Interaction Design of Digital Services: The Case of YouTube. In Proceedings of the 2019 CHI Conference on Human Factors in Computing Systems, Glasgow, UK, 4–9 May 2019; ACM: New, York, NY, USA, 2019; p. 12. [Google Scholar] [CrossRef]
- Goodman, E. Three Environmental Discourses in Human-Computer Interaction. In Proceedings of the CHI ’09 Extended Abstracts on Human Factors in Computing Systems, Boston, MA, USA, 4–9 April 2009; ACM: New York, NY, USA, 2009; pp. 2535–2544. [Google Scholar] [CrossRef]
- DiSalvo, C.; Sengers, P.; Brynjarsdóttir, H. Mapping the Landscape of Sustainable HCI. In Proceedings of the SIGCHI Conference on Human Factors in Computing Systems, Atlanta, GA, USA, 10–15 April 2010; ACM: New York, NY, USA, 2010; pp. 1975–1984. [Google Scholar] [CrossRef]
- Knowles, B.; Blair, L.; Hazas, M.; Walker, S. Exploring Sustainability Research in Computing: Where We Are and Where We Go Next. In Proceedings of the 2013 ACM International Joint Conference on Pervasive and Ubiquitous Computing, Zurich, Switzerland, 8–12 September 2013; ACM: New York, NY, USA, 2013; pp. 305–314. [Google Scholar] [CrossRef]
- De Almeida Neris, V.P.; Da Hora Rodrigues, K.R.; Lima, R.F. A Systematic Review of Sustainability and Aspects of Human-Computer Interaction. In Human-Computer Interaction. Applications and Services; Kurosu, M., Ed.; Lecture Notes in Computer Science; Springer International Publishing: Cham, Switzerland, 2014; Volume 8512, pp. 742–753. ISBN 978-3-319-07226-5. [Google Scholar]
- Hansson, L.Å.E.J.; Cerratto Pargman, T.; Pargman, D.S. A Decade of Sustainable HCI: Connecting SHCI to the Sustainable Development Goals. In Proceedings of the 2021 CHI Conference on Human Factors in Computing Systems, Yokohama, Japan, 8–13 May 2021; ACM: New York, NY, USA, 2021; p. 19. [Google Scholar] [CrossRef]
- Nunes, L.; Mont’Alvão, C. Perspectives in Sustainable Interaction Design: A Preliminary Discussion Involving Human Values and HCI. In Proceedings of the Human Factors and Ergonomics Society Annual Meeting, Austin, TX, USA, 19–23 September 2017; Volume 61, pp. 823–827. [Google Scholar] [CrossRef]
- Green, N.; Comber, R.; Kuznesof, S. A Digital Nexus: Sustainable HCI and Domestic Resource Consumption. In The Oxford Handbook of Digital Technology and Society; Oxford University Press: Oxford, UK, 2020; ISBN 978-0-19-093259-6. [Google Scholar]
- Bremer, C.; Knowles, B.; Friday, A. Have We Taken on Too Much? A Critical Review of the Sustainable HCI Landscape. In Proceedings of the CHI Conference on Human Factors in Computing Systems, New Orleans, LA, USA, 29 April–5 May 2022; ACM: New York, NY, USA, 2022; p. 11. [Google Scholar] [CrossRef]
- Scuri, S.; Ferreira, M.; Jardim Nunes, N.; Nisi, V.; Mulligan, C. Hitting the Triple Bottom Line: Widening the HCI Approach to Sustainability. In Proceedings of the CHI Conference on Human Factors in Computing Systems, New Orleans, LA, USA, 29 April–5 May 2022; ACM: New York, NY, USA, 2022; p. 19. [Google Scholar] [CrossRef]
- Agnisarman, S.; Madathil, K.C.; Stanley, L. A Survey of Empirical Studies on Persuasive Technologies to Promote Sustainable Living. Sustain. Comput. Inform. Syst. 2018, 19, 112–122. [Google Scholar] [CrossRef]
- McDonough, W.; Braungart, M. Design for the Triple Top Line: New Tools for Sustainable Commerce. Corp. Environ. Strategy 2002, 9, 251–258. [Google Scholar] [CrossRef]
- Mankoff, J.C.; Blevis, E.; Borning, A.; Friedman, B.; Fussell, S.R.; Hasbrouck, J.; Woodruff, A.; Sengers, P. Environmental Sustainability and Interaction. In Proceedings of the CHI ’07 Extended Abstracts on Human Factors in Computing Systems, San Jose, CA, USA, 28 April–3 May 2017; ACM: New York, NY, USA, 2007; pp. 2121–2124. [Google Scholar] [CrossRef]
- Paré, G.; Trudel, M.-C.; Jaana, M.; Kitsiou, S. Synthesizing Information Systems Knowledge: A Typology of Literature Reviews. Inf. Manag. 2015, 52, 183–199. [Google Scholar] [CrossRef]
- Okoli, C. A Guide to Conducting a Standalone Systematic Literature Review. Commun. Assoc. Inf. Syst. 2015, 37, 879–910. [Google Scholar] [CrossRef]
- Moher, D.; Liberati, A.; Tetzlaff, J.; Altman, D.G. The PRISMA Group Preferred Reporting Items for Systematic Reviews and Meta-Analyses: The PRISMA Statement. PLoS Med. 2009, 6, e1000097. [Google Scholar] [CrossRef] [PubMed]
- WCED Report of the World Commission on Environment and Development: Our Common Future. 1987. Available online: http://www.un-documents.net/our-common-future.pdf (accessed on 21 August 2024).
- Roedl, D.; Odom, W.; Blevis, E. Three Principles of Sustainable Interaction Design, Revisited. In Digital Technology and Sustainability: Engaging the Paradox; Hazas, M., Nathan, L.P., Eds.; Routledge: Oxfordshire, UK, 2017; pp. 17–30. ISBN 978-1-315-46597-5. [Google Scholar]
- Raghavan, B.; Pargman, D. Means and Ends in Human-Computer Interaction: Sustainability through Disintermediation. In Proceedings of the 2017 CHI Conference on Human Factors in Computing Systems, Denver, CO, USA, 6–11 May 2017; ACM: New York, NY, USA, 2017; pp. 786–796. [Google Scholar] [CrossRef]
- Kirchherr, J.; Reike, D.; Hekkert, M. Conceptualizing the Circular Economy: An Analysis of 114 Definitions. Resour. Conserv. Recycl. 2017, 127, 221–232. [Google Scholar] [CrossRef]
- Knowles, B.; Bates, O.; Håkansson, M. This Changes Sustainable HCI. In Proceedings of the 2018 CHI Conference on Human Factors in Computing Systems, Montreal, QC, Canada, 21–26 April 2018; ACM: New York, NY, USA, 2018; p. 12. [Google Scholar] [CrossRef]
- Roedl, D.; Bardzell, S.; Bardzell, J. Sustainable Making? Balancing Optimism and Criticism in HCI Discourse. ACM Trans. Comput.-Hum. Interact. 2015, 22, 1–27. [Google Scholar] [CrossRef]
- Ho, J.C.F. Computer as Partner: A Critique Perspective of Interaction Design for Social Sustainability. In Proceedings of the Sixth International Symposium of Chinese CHI., Montreal, QC, Canada, 21–22 April 2018; ACM: New York, NY, USA, 2018; pp. 95–99. [Google Scholar] [CrossRef]
- Mann, S.; Bates, O. A Conversation between Two Sustainable HCI Researchers: The Role of HCI in a Positive Socio-Ecological Transformation. In Digital Technology and Sustainability: Engaging the Paradox; Hazas, M., Nathan, L.P., Eds.; Routledge: Oxfordshire, UK, 2017; pp. 17–30. ISBN 978-1-315-46597-7. [Google Scholar]
- Grimal, L.; Di Loreto, I.; Troussier, N. Value Misalignments in Interactions: An Opportunity for Sustainable HCI. In Proceedings of the IHM ’23: Proceedings of the 34th Conference on l’Interaction Humain-Machine, Troyes, France, 3–6 April 2023; ACM: New York, NY, USA, 2023; p. 10. [Google Scholar] [CrossRef]
- Eriksson, E.; Pargman, D.; Bates, O.; Normark, M.; Gulliksen, J.; Anneroth, M.; Berndtsson, J. HCI and UN’s Sustainable Development Goals: Responsibilities, Barriers and Opportunities. In Proceedings of the 9th Nordic Conference on Human-Computer Interaction, Gothenburg, Sweden, 23–27 October 2016; ACM: New York, NY, USA, 2016; p. 2. [Google Scholar] [CrossRef]
- Wakkary, R.; Tanenbaum, K. A Sustainable Identity: The Creativity of an Everyday Designer. In Proceedings of the SIGCHI Conference on Human Factors in Computing Systems, Boston, MA, USA, 4–9 April 2009; ACM: New York, NY, USA, 2009; pp. 365–374. [Google Scholar] [CrossRef]
- Heitlinger, S.; Bryan-Kinns, N.; Jefferies, J. Sustainable HCI for Grassroots Urban Food-Growing Communities. In Proceedings of the 25th Australian Computer-Human Interaction Conference: Augmentation, Application, Innovation, Collaboration, Adelaide, Australia, 25–29 November 2013; ACM: New York, NY, USA, 2013; pp. 255–264. [Google Scholar] [CrossRef]
- Wakkary, R.; Desjardins, A.; Hauser, S.; Maestri, L. A Sustainable Design Fiction: Green Practices. ACM Trans. Comput.-Hum. Interact. 2013, 20, 1–34. [Google Scholar] [CrossRef]
- Holmer, H.B.; DiSalvo, C.; Sengers, P.; Lodato, T. Constructing and Constraining Participation in Participatory Arts and HCI. Int. J. Hum.-Comput. Stud. 2015, 74, 107–123. [Google Scholar] [CrossRef]
- Chopra, S.; Clarke, R.E.; Clear, A.K.; Heitlinger, S.; Dilaver, O.; Vasiliou, C. Negotiating Sustainable Futures in Communities through Participatory Speculative Design and Experiments in Living. In Proceedings of the CHI Conference on Human Factors in Computing Systems, New Orleans, LA, USA, 29 April–5 May 2022; ACM: New York, NY, USA, 2022; p. 17. [Google Scholar] [CrossRef]
- Saldaña, J. The Coding Manual for Qualitative Researchers; Sage: Los Angeles, CA, USA, 2009; ISBN 978-1-84787-548-8. [Google Scholar]
- Nardi, B.; Ekbia, H. Developing a Political Economy Perspective for Sustainable HCI. In Digital Technology and Sustainability: Engaging the Paradox; Hazas, M., Nathan, L.P., Eds.; Routledge: Oxfordshire, UK, 2017; pp. 86–102. ISBN 978-1-315-46597-5. [Google Scholar]
- Froehlich, J.; Findlater, L.; Landay, J. The Design of Eco-Feedback Technology. In Proceedings of the SIGCHI Conference on Human Factors in Computing Systems, Atlanta, GA, USA, 10–15 April 2010; ACM: New York, NY, USA, 2010; pp. 1999–2008. [Google Scholar] [CrossRef]
- Barreto, M.; Casado-Mansilla, D.; Esteves, A.; Magno De Gouveia Quintal, F. Designing Smart Plugs for Interactivity and Energy Sustainability via a Survey and Thematic Analysis. In Proceedings of the Nordic Human-Computer Interaction Conference, Aarhus, Denmark, 8–12 October 2022; ACM: New York, NY, USA, 2022; p. 12. [Google Scholar] [CrossRef]
- Hasselqvist, H.; Bogdan, C.; Kis, F. Linking Data to Action: Designing for Amateur Energy Management. In Proceedings of the 2016 ACM Conference on Designing Interactive Systems, Brisbane, QLD, Australia, 4–8 June 2016; ACM: New York, NY, USA, 2016; pp. 473–483. [Google Scholar] [CrossRef]
- Strengers, Y.A.A. Designing Eco-Feedback Systems for Everyday Life. In Proceedings of the SIGCHI Conference on Human Factors in Computing Systems, Vancouver, BC, Canada, 7–12 May 2011; ACM: New York, NY, USA, 2011; pp. 2135–2144. [Google Scholar] [CrossRef]
- Comber, R.; Thieme, A. Designing beyond Habit: Opening Space for Improved Recycling and Food Waste Behaviors through Processes of Persuasion, Social Influence and Aversive Affect. Pers. Ubiquit. Comput. 2013, 17, 1197–1210. [Google Scholar] [CrossRef]
- Yun, R.; Scupelli, P.; Aziz, A.; Loftness, V. Sustainability in the Workplace: Nine Intervention Techniques for Behavior Change. In Persuasive Technology; Berkovsky, S., Freyne, J., Eds.; Lecture Notes in Computer Science; Springer: Berlin/Heidelberg, Germany, 2013; Volume 7822, pp. 253–265. ISBN 978-3-642-37156-1. [Google Scholar]
- Knowles, B. Re-Imagining Persuasion: Designing for Self-Transcendence. In Extended Abstracts, Proceedings of the CHI ’13 on Human Factors in Computing Systems, Paris, France, 27 April–2 May 2013; ACM: New York, NY, USA, 2013; pp. 2713–2718. [Google Scholar] [CrossRef]
- Thieme, A.; Comber, R.; Miebach, J.; Weeden, J.; Kraemer, N.; Lawson, S.; Olivier, P. “We’ve Bin Watching You”: Designing for Reflection and Social Persuasion to Promote Sustainable Lifestyles. In Proceedings of the SIGCHI Conference on Human Factors in Computing Systems, Austin, TX, USA, 5–10 May 2012; ACM: New York, NY, USA, 2012; pp. 2337–2346. [Google Scholar] [CrossRef]
- Gegenbauer, S.; Huang, E.M. Inspiring the Design of Longer-Lived Electronics through an Understanding of Personal Attachment. In Proceedings of the Designing Interactive Systems Conference, Newcastle Upon Tyne, UK, 11–15 June 2012; ACM: New York, NY, USA, 2012; pp. 635–644. [Google Scholar] [CrossRef]
- Remy, C.; Gegenbauer, S.; Huang, E.M. Bridging the Theory-Practice Gap: Lessons and Challenges of Applying the Attachment Framework for Sustainable HCI Design. In Proceedings of the 33rd Annual ACM Conference on Human Factors in Computing Systems, Seoul, Republic of Korea, 18–23 April 2015; ACM: New York, NY, USA, 2015; pp. 1305–1314. [Google Scholar] [CrossRef]
- Pierce, J.; Schiano, D.J.; Paulos, E. Home, Habits, and Energy: Examining Domestic Interactions and Energy Consumption. In Proceedings of the SIGCHI Conference on Human Factors in Computing Systems, Atlanta, GA, USA, 10–15 April 2010; ACM: New York, NY, USA, 2010; pp. 1985–1994. [Google Scholar] [CrossRef]
- Chapman, J. Design for (Emotional) Durability. Des. Issues 2009, 25, 29–35. [Google Scholar] [CrossRef]
- Hauser, S.; Desjardins, A.; Wakkary, R. Design Activism in the HCI Classroom. In Extended Abstracts, Proceedings of the CHI ’13 on Human Factors in Computing Systems, Paris France, 27 April–2 May 2013; ACM: New York, NY, USA, 2013; pp. 2119–2128. [Google Scholar] [CrossRef]
- Prost, S.; Schrammel, J.; Tscheligi, M. “Sometimes It’s the Weather’s Fault”: Sustainable HCI & Political Activism. In Proceedings of the CHI ’14 Extended Abstracts on Human Factors in Computing Systems, Toronto, ON, Canada, 26 April–1 May 2014; ACM: New York, NY, USA, 2014; pp. 2005–2010. [Google Scholar] [CrossRef]
- Bardzell, S.; Bardzell, J. Towards a Feminist HCI Methodology: Social Science, Feminism, and HCI. In Proceedings of the CHI ’11: Proceedings of the SIGCHI Conference on Human Factors in Computing Systems, Vancouver, BC, Canada, 7–12 May 2011. [Google Scholar] [CrossRef]
- Arroyos, V.; Viitaniemi, M.L.K.; Keehn, N.; Oruganti, V.; Saunders, W.; Strauss, K.; Iyer, V.; Nguyen, B.H. A Tale of Two Mice: Sustainable Electronics Design and Prototyping. In Proceedings of the CHI Conference on Human Factors in Computing Systems Extended Abstracts, New Orleans, LA, USA, 29 April–5 May 2022; ACM: New York, NY, USA, 2022; p. 10. [Google Scholar] [CrossRef]
- Hogan, M. Connected and Complicit. In Digital Technology and Sustainability: Engaging the Paradox; Hazas, M., Nathan, L.P., Eds.; Routledge: Oxfordshire, UK, 2017; pp. 17–30. ISBN 978-1-315-46595_20. [Google Scholar]
- Lechelt, S.; Gorkovenko, K.; Soares, L.L.; Speed, C.; Thorp, J.K.; Stead, M. Designing for the End of Life of IoT Objects. In Proceedings of the Companion Publication of the 2020 ACM Designing Interactive Systems Conference, Eindhoven, The Netherlands, 6–10 July 2020; ACM: New York, NY, USA, 2020; pp. 417–420. [Google Scholar] [CrossRef]
- Egan, C.; Thompson, R.; O’Dowd, A. The Lions’ Gate: Towards a Permaculture-Inspired Blended Space. In Proceedings of the Fifth Workshop on Computing within Limits, Lappeenranta, Finland, 3–6 July 2017; ACM: New York, NY, USA, 2019; p. 8. [Google Scholar] [CrossRef]
- Liu, S.-Y.; Bardzell, S.; Bardzell, J. Out of Control: Reframing Sustainable HCI Using Permaculture. In Proceedings of the 2018 Workshop on Computing within Limits, Toronto, ON, Canada, 13–14 May 2018; ACM: New York, NY, USA, 2018; p. 8. [Google Scholar] [CrossRef]
- Remy, C.; Huang, E.M. Limits and Sustainable Interaction Design: Obsolescence in a Future of Collapse and Resource Scarcity. First Monday 2015, 20, 1–4. [Google Scholar] [CrossRef]
- Tomlinson, B.; Blevis, E.; Nardi, B.; Patterson, D.J.; Silberman, M.S.; Pan, Y. Collapse Informatics and Practice: Theory, Method, and Design. ACM Trans. Comput.-Hum. Interact. 2013, 20, 1–26. [Google Scholar] [CrossRef]
- Bell, F.; Alistar, M. Designing with Alganyl: A Hands-on Exploration of Biodegradable Plastics. In Proceedings of the Sixteenth International Conference on Tangible, Embedded, and Embodied Interaction, Daejeon, Republic of Korea, 13–16 February 2022; ACM: New York, NY, USA, 2022; p. 5. [Google Scholar] [CrossRef]
- Lazaro Vasquez, E.S.; Ofer, N.; Wu, S.; West, M.E.; Alistar, M.; Devendorf, L. Exploring Biofoam as a Material for Tangible Interaction. In Proceedings of the Designing Interactive Systems Conference, Online, Australia, 13–17 June 2022; ACM: New York, NY, USA, 2022; pp. 1525–1539. [Google Scholar] [CrossRef]
- Page, M.J.; McKenzie, J.E.; Bossuyt, P.M.; Boutron, I.; Hoffmann, T.C.; Mulrow, C.D.; Shamseer, L.; Tetzlaff, J.M.; Akl, E.A.; Brennan, S.E.; et al. The PRISMA 2020 statement: An updated guideline for reporting systematic reviews. BMJ 2021, 372, n71. [Google Scholar] [CrossRef]
- Blevis, E.; Lim, Y.; Roedl, D.; Stolterman, E. Using Design Critique as Research to Link Sustainability and Interactive Technologies. In Online Communities and Social Computing; Schuler, D., Ed.; Lecture Notes in Computer Science; Springer: Berlin/Heidelberg, Germany, 2007; Volume 4564, pp. 22–31. ISBN 978-3-540-73256-3. [Google Scholar]
- Blevis, E.; Makice, K.; Odom, W.; Roedl, D.; Beck, C.; Blevis, S.; Ashok, A. Luxury & New Luxury, Quality & Equality. In Proceedings of the 2007 conference on Designing pleasurable products and interfaces, Helsinki, Finland, 22 August 2007; pp. 296–311. [Google Scholar]
- Hanks, K.; Odom, W.; Roedl, D.; Blevis, E. Sustainable Millennials: Attitudes towards Sustainability and the Material Effects of Interactive Technologies. In Proceedings of the SIGCHI Conference on Human Factors in Computing Systems, Florence, Italy, 5–10 April 2008; pp. 333–342. [Google Scholar]
- Huang, E.M.; Truong, K.N. Breaking the Disposable Technology Paradigm: Opportunities for Sustainable Interaction Design for Mobile Phones. In Proceedings of the SIGCHI Conference on Human Factors in Computing Systems, Florence, Italy, 5–10 April 2008; pp. 323–332. [Google Scholar]
- Woodruff, A.; Hasbrouck, J.; Augustin, S. A Bright Green Perspective on Sustainable Choices. In Proceedings of the SIGCHI Conference on Human Factors in Computing Systems, Florence, Italy, 5–10 April 2008; pp. 313–322. [Google Scholar]
- DiSalvo, C.; Boehner, K.; Knouf, N.A.; Sengers, P. Nourishing the Ground for Sustainable HCI: Considerations from Ecologically Engaged Art. In Proceedings of the SIGCHI Conference on Human Factors in Computing Systems, Boston, MA, USA, 4–9 April 2009; pp. 385–394. [Google Scholar]
- Kobayashi, H.; Ueoka, R.; Hirose, M. Human Computer Biosphere Interaction: Towards a Sustainable Society. In Proceedings of the SIGCHI Conference on Human Factors in Computing Systems, Boston, MA, USA, 4–9 April 2009; pp. 2509–2518. [Google Scholar]
- Odom, W.; Pierce, J.; Stolterman, E.; Blevis, E. Understanding Why We Preserve Some Things and Discard Others in the Context of Interaction Design. In Proceedings of the SIGCHI Conference on Human Factors in Computing Systems, Boston, MA, USA, 4–9 April 2009; pp. 1053–1062. [Google Scholar]
- Xiao, J.; Fan, J. PrintMarmoset: Redesigning the Print Button for Sustainability. In Proceedings of the SIGCHI Conference on Human Factors in Computing Systems, Boston, MA, USA, 4–9 April 2009; pp. 109–112. [Google Scholar]
- DiSalvo, C.; Sengers, P.; Brynjarsdóttir, H. Navigating the Terrain of Sustainable HCI. Interactions 2010, 17, 22–25. [Google Scholar] [CrossRef]
- Hirsch, T.; Sengers, P.; Blevis, E.; Beckwith, R.; Parikh, T. Making Food, Producing Sustainability. In Proceedings of the CHI ’10 Extended Abstracts on Human Factors in Computing Systems, Atlanta, GA, USA, 10 April 2010; pp. 3147–3150. [Google Scholar]
- Huh, J.; Nam, K.; Sharma, N. Finding the Lost Treasure: Understanding Reuse of Used Computing Devices. In Proceedings of the SIGCHI Conference on Human Factors in Computing Systems, Atlanta, GA, USA, 10 April 2010; pp. 1875–1878. [Google Scholar]
- Odom, W. “Mate, We Don’t Need a Chip to Tell Us the Soil’s Dry”: Opportunities for Designing Interactive Systems to Support Urban Food Production. In Proceedings of the DIS ‘10: Designing Interactive Systems Conference 2010, Aarhus, Denmark, 16–20 August 2010. [Google Scholar]
- Pierce, J.; Paulos, E. Designing for Emotional Attachment to Energy. 2010. Available online: http://www.paulos.net/papers/2010/emotional_energy_DE2010.pdf (accessed on 21 August 2024).
- Silberman, S.M.; Tomlinson, B. Toward an Ecological Sensibility: Tools for Evaluating Sustainable HCI. In Proceedings of the SIGCHI Conference on Human Factors in Computing Systems, Atlanta, GA, USA, 10 April 2010. [Google Scholar]
- Barreto, M.; Karapanos, E.; Nunes, N. Social Translucence as a Theoretical Framework for Sustainable HCI. In Human-Computer Interaction—INTERACT 2011; Campos, P., Graham, N., Jorge, J., Nunes, N., Palanque, P., Winckler, M., Eds.; Lecture Notes in Computer Science; Springer: Berlin/Heidelberg, Germany, 2011; Volume 6949, pp. 195–203. ISBN 978-3-642-23767-6. [Google Scholar]
- Bonanni, L.; Busse, D.K.; Thomas, J.C.; Blevis, E.; Turpeinen, M.; Nunes, N.J. Visible–Actionable–Sustainable: Sustainable Interaction Design in Professional Domains. In Proceedings of the CHI ’11 Extended Abstracts on Human Factors in Computing Systems; Association for Computing Machinery: New York, NY, USA, 2011; pp. 2413–2416. [Google Scholar]
- Petkov, P.; Köbler, F.; Foth, M.; Krcmar, H. Motivating Domestic Energy Conservation through Comparative, Community-Based Feedback in Mobile and Social Media. In Proceedings of the 5th International Conference on Communities and Technologies, Brisbane, Australia, 29 June 2011; pp. 21–30. [Google Scholar]
- Petkov, P.; Köbler, F.; Foth, M.; Medland, R.; Krcmar, H. Engaging Energy Saving through Motivation-Specific Social Comparison. In Proceedings of the CHI ’11 Extended Abstracts on Human Factors in Computing Systems, Vancouver, BC, Canada, 7 May 2011; pp. 1945–1950. [Google Scholar]
- Turner, P.; Turner, S. My Grandfather’s iPod: An Investigation of Emotional Attachment to Digital and Non-Digital Artefacts. In Proceedings of the ECCE ‘11: European Conference on Cognitive Ergonomics, Rostock, Germany, 24–26 August 2011. [Google Scholar]
- Boucher, A.; Cameron, D.; Jarvis, N. Power to the People: Dynamic Energy Management through Communal Cooperation. In Proceedings of the DIS ‘12: Designing Interactive Systems Conference 2012, Newcastle Upon Tyne, UK, 11–15 June 2012. [Google Scholar]
- Brynjarsdottir, H.; Håkansson, M.; Pierce, J.; Baumer, E.; DiSalvo, C.; Sengers, P. Sustainably Unpersuaded: How Persuasion Narrows Our Vision of Sustainability. In Proceedings of the SIGCHI Conference on Human Factors in Computing Systems, Austin, TX, USA, 5 May 2012; pp. 947–956. [Google Scholar]
- Costanza, E.; Ramchurn, S.D.; Jennings, N.R. Understanding Domestic Energy Consumption through Interactive Visualisation: A Field Study. In Proceedings of the Ubicomp ‘12: The 2012 ACM Conference on Ubiquitous Computing, Pittsburgh, PA, USA, 5–8 September 2012. [Google Scholar]
- Pan, Y. Symbolic Documentation: Toward Fashion-Related Sustainable Design. In Proceedings of the CHI ’12 Extended Abstracts on Human Factors in Computing Systems, Austin, TX, USA, 5 May 2012; pp. 1387–1392. [Google Scholar]
- Pan, Y.; Roedl, D.; Blevis, E.; Thomas, J. Re-Conceptualizing Fashion in Sustainable HCI. In Proceedings of the DIS ‘12: Designing Interactive Systems Conference 2012, Newcastle Upon Tyne, UK, 11–15 June 2012. [Google Scholar]
- Petkov, P.; Goswami, S.; Köbler, F.; Krcmar, H. Personalised Eco-Feedback as a Design Technique for Motivating Energy Saving Behaviour at Home. In Proceedings of the 7th Nordic Conference on Human-Computer Interaction: Making Sense Through Design, Copenhagen, Denmark, 14 October 2012; pp. 587–596. [Google Scholar]
- Richardson, D.P.; Costanza, E.; Ramchurn, S.D. Evaluating Semi-Automatic Annotation of Domestic Energy Consumption as a Memory Aid. In Proceedings of the 2012 ACM Conference on Ubiquitous Computing, Pittsburgh, PA, USA, 5 September 2012; pp. 613–614. [Google Scholar]
- Tomlinson, B.; Silberman, M.S.; Patterson, D.; Pan, Y.; Blevis, E. Collapse Informatics: Augmenting the Sustainability & ICT4D Discourse in HCI. In Proceedings of the SIGCHI Conference on Human Factors in Computing Systems, Austin, TX, USA, 5 May 2012; pp. 655–664. [Google Scholar]
- Vyas, D. Domestic Artefacts: Sustainability in the Context of Indian Middle Class. In Proceedings of the 4th International Conference on Intercultural Collaboration, Bengaluru, India, 21 March 2012; pp. 119–128. [Google Scholar]
- Arakelyan, A.; Lamas, D. Facilitation of Sustainability through Appropriation-Enabling Design. In Proceedings of the International Conference on Multimedia, Interaction, Design and Innovation, Warsaw, Poland, 24 June 2013; p. 9. [Google Scholar]
- Banerjee, A. Eco-Buzz: An Interactive Eco-Feedback System Based on Cultural Forms of Play. In Proceedings of the 7th International Conference on Tangible, Embedded and Embodied Interaction, Barcelona, Spain, 10 February 2013; pp. 341–342. [Google Scholar]
- Håkansson, M.; Sengers, P. Beyond Being Green: Simple Living Families and ICT. In Proceedings of the SIGCHI Conference on Human Factors in Computing Systems, Paris, France, 27 April 2013; pp. 2725–2734. [Google Scholar]
- Keyson, D.V.; Al Mahmud, A.; Romero, N. Living Lab and Research on Sustainability: Practical Approaches on Sustainable Interaction Design. In Ambient Intelligence; Augusto, J.C., Wichert, R., Collier, R., Keyson, D., Salah, A.A., Tan, A.-H., Eds.; Lecture Notes in Computer Science; Springer International Publishing: Cham, Switzerland, 2013; Volume 8309, pp. 229–234. ISBN 978-3-319-03646-5. [Google Scholar]
- Lee, J.J.; Matamoros, E.; Kern, R.; Marks, J.; De Luna, C.; Jordan-Cooley, W. Greenify: Fostering Sustainable Communities via Gamification. In Proceedings of the CHI ’13 Extended Abstracts on Human Factors in Computing Systems, Paris, France, 27 April 2013; pp. 1497–1502. [Google Scholar]
- Pierce, J.; Strengers, Y.; Sengers, P.; Bødker, S. Introduction to the Special Issue on Practice-Oriented Approaches to Sustainable HCI. ACM Trans. Comput.-Hum. Interact. 2013, 20, 1–8. [Google Scholar] [CrossRef]
- Remy, C. Taking a Note from Marketing Research in Sustainable HCI. Interactions 2013, 20, 12–15. [Google Scholar] [CrossRef]
- Banerjee, A.; Horn, M.S. Ghost Hunter: Parents and Children Playing Together to Learn about Energy Consumption. In Proceedings of the 8th International Conference on Tangible, Embedded and Embodied Interaction, Munich, Germany, 16 February 2014; pp. 267–274. [Google Scholar]
- Bates, O.; Hazas, M.; Friday, A.; Morley, J.; Clear, A.K. Towards an Holistic View of the Energy and Environmental Impacts of Domestic Media and IT. In Proceedings of the SIGCHI Conference on Human Factors in Computing Systems, Toronto, ON, Canada, 26 April 2014; pp. 1173–1182. [Google Scholar]
- Frawley, J.K.; Dyson, L.E.; Underwood, J. Rewriting, Redesigning and Reimagining the Recipe for More Sustainable Food Systems. In Proceedings of the 26th Australian Computer-Human Interaction Conference on Designing Futures: The Future of Design, Sydney, Australia, 2 December 2014; pp. 366–369. [Google Scholar]
- Heitlinger, S.; Bryan-Kinns, N.; Jefferies, J. The Talking Plants: An Interactive System for Grassroots Urban Food-Growing Communities. In Proceedings of the CHI ’14 Extended Abstracts on Human Factors in Computing Systems, Toronto, ON, Canada, 26 April 2014; pp. 459–462. [Google Scholar]
- Katzeff, C.; Wangel, J. Social Practices, Households, and Design in the Smart Grid. In ICT Innovations for Sustainability; Hilty, L.M., Aebischer, B., Eds.; Advances in Intelligent Systems and Computing; Springer International Publishing: Cham, Switzerland, 2015; Volume 310, pp. 351–365. ISBN 978-3-319-09227-0. [Google Scholar]
- Knowles, B.; Blair, L.; Walker, S.; Coulton, P.; Thomas, L.; Mullagh, L. Patterns of Persuasion for Sustainability. In Proceedings of the 2014 conference on Designing interactive systems, Vancouver, BC, Canada, 21 June 2014; pp. 1035–1044. [Google Scholar]
- Kobayashi, H.H. Human–Computer–Biosphere Interaction: Beyond Human—Centric Interaction. In Distributed, Ambient, and Pervasive Interactions; Streitz, N., Markopoulos, P., Eds.; Lecture Notes in Computer Science; Springer International Publishing: Cham, Switzerland, 2014; Volume 8530, pp. 349–358. ISBN 978-3-319-07787-1. [Google Scholar]
- Mustaquim, M.; Nyström, T. Designing Persuasive Systems for Sustainability—A Cognitive Dissonance Model. In Proceedings of the ECIS 2014, 22nd Conference on Information Systems, Tel Aviv, Israel, 9–11 June 2014. [Google Scholar]
- Mustaquim, M.M.; Nyström, T. Open Sustainability Innovation—A Pragmatic Standpoint of Sustainable HCI. In Perspectives in Business Informatics Research; Johansson, B., Andersson, B., Holmberg, N., Eds.; Lecture Notes in Business Information Processing; Springer International Publishing: Cham, Switzerland, 2014; Volume 194, pp. 101–112. ISBN 978-3-319-11369-2. [Google Scholar]
- Nyström, T.; Mustaquim, M.M. Sustainable Information System Design and the Role of Sustainable HCI. In Proceedings of the 18th International Academic MindTrek Conference: Media Business, Management, Content & Services, Tampere, Finland, 4 November 2014; pp. 66–73. [Google Scholar]
- Pan, Y.; Blevis, E. Fashion Thinking: Lessons from Fashion and Sustainable Interaction Design, Concepts and Issues. In Proceedings of the 2014 conference on Designing interactive systems, Vancouver, BC, Canada, 21 June 2014; pp. 1005–1014. [Google Scholar]
- Pargman, D.; Raghavan, B. Rethinking Sustainability in Computing: From Buzzword to Non-Negotiable Limits. In Proceedings of the 8th Nordic Conference on Human-Computer Interaction: Fun, Fast, Foundational, Helsinki, Finland, 26 October 2014; pp. 638–647. [Google Scholar]
- Silberman, M.S.; Nathan, L.; Knowles, B.; Bendor, R.; Clear, A.; Håkansson, M.; Dillahunt, T.; Mankoff, J. Next Steps for Sustainable HCI. Interactions 2014, 21, 66–69. [Google Scholar] [CrossRef]
- Wilson, G.T.; Mackley, K.L.; Mitchell, V.; Bhamra, T.; Pink, S. PORTS: An Interdisciplinary and Systemic Approach to Studying Energy Use in the Home. In Proceedings of the 2014 ACM International Joint Conference on Pervasive and Ubiquitous Computing: Adjunct Publication, Seattle, WA, USA, 13 September 2014; pp. 971–978. [Google Scholar]
- Bates, O.; Lord, C.; Knowles, B.; Friday, A.; Clear, A.; Hazas, M. Exploring (Un)Sustainable Growth of Digital Technologies in the Home. In Proceedings of the EnviroInfo and ICT for Sustainability 2015, Copenhagen, Denmark, 7–9 September 2015. [Google Scholar]
- Castelli, N.; Schönau, N.; Stevens, G.; Schwartz, T.; Jakobi, T. Role-Based Eco-Info Systems: An Organizational Theoretical View of Sustainable HCI at Work. In Proceedings of the ECIS 2015, Munster, Germany, 26–29 May 2015; p. 20. [Google Scholar]
- Gui, X.; Nardi, B. Sustainability Begins in the Street: A Story of Transition Town Totnes. In Proceedings of the EnviroInfo and ICT for Sustainability 2015, Copenhagen, Denmark, 7–9 September 2015. [Google Scholar]
- Lyle, P.; Choi, J.H.; Foth, M. Growing Food in the City: Design Ideations for Urban Residential Gardeners. In Proceedings of the 7th International Conference on Communities and Technologies, Limerick, Ireland, 27 June 2015; pp. 89–97. [Google Scholar]
- Pan, Y.; Roedl, D.; Blevis, E.; Thomas, J.C. Fashion Thinking: Fashion Practices and Sustainable Interaction Design. Int. J. Des. 2015, 9, 53–66. [Google Scholar]
- Pargman, T.C.; Joshi, S. Understanding Limits from a Social Ecological Perspective. First Monday 2015, 20, 8. [Google Scholar] [CrossRef][Green Version]
- Remy, C. Addressing Obsolescence of Consumer Electronics through Sustainable Interaction Design. In Proceedings of the 33rd Annual ACM Conference Extended Abstracts on Human Factors in Computing Systems, Seoul, Republic of Korea, 18 April 2015; pp. 227–230. [Google Scholar]
- Remy, C.; Huang, E.M. Addressing the Obsolescence of End-User Devices: Approaches from the Field of Sustainable HCI. In ICT Innovations for Sustainability; Springer: Berlin/Heidelberg, Germany, 2014. [Google Scholar] [CrossRef]
- Schwartz, T.; Stevens, G.; Jakobi, T.; Denef, S.; Ramirez, L.; Wulf, V.; Randall, D. What People Do with Consumption Feedback: A Long-Term Living Lab Study of a Home Energy Management System. Interact. Comput. 2015, 27, 551–576. [Google Scholar] [CrossRef]
- Tong, Y.; Sikorska, J.E.; Silva, C.D.; Singh, M.; Mhatre, S. LightShare: Sharing Illumination the Tangible Way. In Proceedings of the 2015 British HCI Conference, Lincoln, UK, 13 July 2015; pp. 305–306. [Google Scholar]
- Anggarendra, R.; Brereton, M. Engaging Children with Nature through Environmental HCI. In Proceedings of the 28th Australian Conference on Computer-Human Interaction–OzCHI ’16, Launceston, Australia, 29 November–2 December 2016; pp. 310–315. [Google Scholar]
- Daniel, M.; Rivière, G.; Couture, N.; Kreckelbergh, S. An analysis of persuasive technologies for energy demand side management. In Proceedings of the Actes de la 28ième Conférence Francophone sur l’Interaction Homme-Machine on–IHM ’16, Fribourg, Switzerland, 25–28 October 2016; pp. 197–210. [Google Scholar]
- De Jong, A.; Önnevall, E.; Reitsma, L.; Wessmann, S. Challenging the Role of Design(Ing) in the Sustainability Field: Towards a “Humble” Design Approach. In Proceedings of the 9th Nordic Conference on Human-Computer Interaction, Gothenburg, Sweden, 23 October 2016; p. 3. [Google Scholar]
- Ferrara, L.; Dadashi, N. SYSTEMATEKS: Scalable Interactive Modular Simulation (SIMS): Towards Sustainable Design. In Cross-Cultural Design; Rau, P.-L.P., Ed.; Lecture Notes in Computer Science; Springer International Publishing: Cham, Switzerland, 2016; Volume 9741, pp. 173–181. ISBN 978-3-319-40092-1. [Google Scholar]
- Hammerschmidt, J.; Hermann, T.; Walender, A.; Kromker, N. InfoPlant: Multimodal Augmentation of Plants for Enhanced Human-Computer Interaction. In Proceedings of the 2015 6th IEEE International Conference on Cognitive Infocommunications (CogInfoCom, Gyor, Hungary, 19–21 October 2015; pp. 511–516. [Google Scholar]
- Hasselqvist, H.; Hesselgren, M.; Bogdan, C. Challenging the Car Norm: Opportunities for ICT to Support Sustainable Transportation Practices. In Proceedings of the 2016 CHI Conference on Human Factors in Computing Systems, San Jose, CA, USA, 7 May 2016; pp. 1300–1311. [Google Scholar]
- Jensen, R.H.; Kjeldskov, J.; Skov, M.B. HeatDial: Beyond User Scheduling in Eco-Interaction. In Proceedings of the 9th Nordic Conference on Human-Computer Interaction, Gothenburg, Sweden, 23 October 2016; p. 10. [Google Scholar]
- Knowles, B.; Håkansson, M. A Sustainable HCI Knowledge Base in Progress. Interactions 2016, 23, 74–76. [Google Scholar] [CrossRef]
- Meyers, E.M.; Nathan, L.P. Impoverished Visions of Sustainability: Encouraging Disruption in Digital Learning Environments. In Proceedings of the 19th ACM Conference on Computer-Supported Cooperative Work & Social Computing, San Francisco, CA, USA, 27 February 2016; pp. 222–232. [Google Scholar]
- Preist, C.; Schien, D.; Blevis, E. Understanding and Mitigating the Effects of Device and Cloud Service Design Decisions on the Environmental Footprint of Digital Infrastructure. In Proceedings of the 2016 CHI Conference on Human Factors in Computing Systems, San Jose, CA, USA, 7 May 2016; pp. 1324–1337. [Google Scholar]
- Väänänen, K.; Ojala, J.; Hilden, E.; Karlsson, M.; Wallgren, P.; Turunen, M. Improving Attractiveness of Public Transportation with Interactive Experiences. In Proceedings of the 9th Nordic Conference on Human-Computer Interaction, Gothenburg, Sweden, 23 October 2016; p. 2. [Google Scholar]
- Zapico, J.L.; Katzeff, C.; Bohné, U.; Milestad, R. Eco-Feedback Visualization for Closing the Gap of Organic Food Consumption. In Proceedings of the 9th Nordic Conference on Human-Computer Interaction, Gothenburg, Sweden, 23 October 2016; p. 9. [Google Scholar]
- Blevis, E.; Preist, C.; Schien, D.; Ho, P. Further Connecting Sustainable Interaction Design with Sustainable Digital Infrastructure Design. In Proceedings of the 2017 Workshop on Computing Within Limits, Santa Barbara, CA, USA, 22 June 2017; pp. 71–83. [Google Scholar]
- Clear, A.K.; Comber, R. Towards a Social Practice Theory Perspective on Sustainable HCI Research and Design, 1st ed.; Routledge: Abingdon, UK, 2017; ISBN 978-1-315-46597-5. [Google Scholar]
- Daniel, M. Designing and Evaluating Ambient Tangible Interfaces for Shifting Energy Supply in the Workplace. In Proceedings of the 3rd European Tangible Interaction Studio (ETIS 2017), Luxembourg, 19–23 June 2017. [Google Scholar]
- Daniel, M.; Rivière, G.; Couture, N. CAIRNS: An ambient tangible interface for shifting energy demand at work. In Proceedings of the 29th Conference on l’Interaction Homme-Machine, Poitiers, France, 29 August 2017; pp. 221–231. [Google Scholar]
- Dillahunt, T.; Lyra, O.; Barreto, M.L.; Karapanos, E. Reducing Children’s Psychological Distance from Climate Change via Eco-Feedback Technologies. Int. J. Child-Comput. Interact. 2017, 13, 19–28. [Google Scholar] [CrossRef]
- Egan, C.; Benyon, D. Sustainable HCI: Blending Permaculture and User-Experience. In Proceedings of the 2017 ACM Conference Companion Publication on Designing Interactive Systems, Edinburgh, UK, 10 June 2017; pp. 39–43. [Google Scholar]
- Egan, C.; Benyon, D.; Thompson, R. Permaculture as a Foundation for Sustainable Interaction Design and UX. In Proceedings of the 31st International BCS Human Computer Interaction Conference (HCI 2017), Sunderland, UK, 3–6 July 2017. [Google Scholar]
- Hammerschmidt, J.; Hermann, T. EcoSonic: Auditory Peripheral Monitoring of Fuel Consumption for Fuel-Efficient Driving. Displays 2017, 47, 40–50. [Google Scholar] [CrossRef]
- Hsu, Y.-C.; Dille, P.; Cross, J.; Dias, B.; Sargent, R.; Nourbakhsh, I. Community-Empowered Air Quality Monitoring System. In Proceedings of the 2017 CHI Conference on Human Factors in Computing Systems, Denver, CO, USA, 2 May 2017; pp. 1607–1619. [Google Scholar]
- Rasmussen, M.K.; Rasmussen, M.K.; Verdezoto, N.; Brewer, R.; Nielsen, L.L.; Bouvin, N.O. Exploring the Flexibility of Everyday Practices for Shifting Energy Consumption through Clockcast. In Proceedings of the 29th Australian Conference on Computer-Human Interaction, Brisbane, Australia, 28 November 2017; pp. 296–306. [Google Scholar]
- Remy, C.; Bates, O.; Thomas, V.; Huang, E.M. The Limits of Evaluating Sustainability. In Proceedings of the 2017 Workshop on Computing Within Limits, Santa Barbara, CA, USA, 22 June 2017; pp. 103–110. [Google Scholar]
- Biørn-Hansen, A.; Håkansson, M. Building Momentum: Scaling up Change in Community Organizations. In Proceedings of the 2018 CHI Conference on Human Factors in Computing Systems, Montreal, QC, Canada, 21 April 2018; p. 13. [Google Scholar]
- Casado-Mansilla, D.; Irizar, A.M.; Garaizar, P.; Lopez-de-Ipina, D. Design-Insights for Devising Persuasive IoT Devices for Sustainability in the Workplace. In Proceedings of the 2018 Global Internet of Things Summit (GIoTS), Bilbao, Spain, 4–7 June 2018; p. 6. [Google Scholar]
- Clarke, R.; Heitlinger, S.; Foth, M.; DiSalvo, C.; Light, A.; Forlano, L. More-than-Human Urban Futures: Speculative Participatory Design to Avoid Ecocidal Smart Cities. In Proceedings of the 15th Participatory Design Conference: Short Papers, Situated Actions, Workshops and Tutorial—Volume 2, Hasselt and Genk, Belgium, 20 August 2018; p. 4. [Google Scholar]
- Coutaz, J.; Carlesso, A.; Bonnefond, N.; Balzarini, R.; Laurillau, Y.; Mandran, N.; Crowley, J.L. “Will the Last One Out, Please Turn off the Lights”: Promoting Energy Awareness in Public Areas of Office Buildings. In Ambient Intelligence; Kameas, A., Stathis, K., Eds.; Lecture Notes in Computer Science; Springer International Publishing: Cham, Switzerland, 2018; Volume 11249, pp. 20–36. ISBN 978-3-030-03061-2. [Google Scholar]
- Hasselqvist, H.; Eriksson, E. Designing for Diverse Stakeholder Engagement in Resource-Intensive Practices. In Proceedings of the 10th Nordic Conference on Human-Computer Interaction, Oslo, Norway, 29 September 2018; pp. 426–438. [Google Scholar]
- Hedin, B.; Claesson, P.; Odqvist, P. Visualizing Carbon Footprint from School Meals. In Proceedings of the 2017 Sustainable Internet and ICT for Sustainability (SustainIT), Funchal, Portugal, 6–7 December 2017; p. 3. [Google Scholar]
- Hedin, B.; Zapico, J.L. What Can You Do with 100 kWh? A Longitudinal Study of Using an Interactive Energy Comparison Tool to Increase Energy Awareness †. Sustainability 2018, 10, 2269. [Google Scholar] [CrossRef]
- Heitlinger, S.; Foth, M.; Clarke, R.; DiSalvo, C.; Light, A.; Forlano, L. Avoiding Ecocidal Smart Cities: Participatory Design for More-than-Human Futures. In Proceedings of the 15th Participatory Design Conference: Short Papers, Situated Actions, Workshops and Tutorial—Volume 2, Hasselt and Genk, Belgium, 20 August 2018; p. 3. [Google Scholar]
- Jensen, R.H.; Kjeldskov, J.; Skov, M.B. Assisted Shifting of Electricity Use: A Long-Term Study of Managing Residential Heating. ACM Trans. Comput.-Hum. Interact. 2018, 25, 1–33. [Google Scholar] [CrossRef]
- Jensen, R.H.; Raptis, D.; Kjeldskov, J.; Skov, M.B. Washing with the Wind: A Study of Scripting towards Sustainability. In Proceedings of the 2018 Designing Interactive Systems Conference, Hong Kong, China, 8 June 2018; pp. 1387–1400. [Google Scholar]
- Nyström, T.; Mustaquim, M. Exploring Sustainable HCI Research Dimensions Through the Inclusive Innovation Framework. In This Changes Everything – ICT and Climate Change: What Can We Do? Kreps, D., Ess, C., Leenen, L., Kimppa, K., Eds.; IFIP Advances in Information and Communication Technology; Springer International Publishing: Cham, Switzerland, 2018; Volume 537, pp. 151–165. ISBN 978-3-319-99604-2. [Google Scholar]
- Promann, M. Examining the Role Visual Graph Structures Play in Collective Awareness and Cooperative Decisions. In Proceedings of the Extended Abstracts of the 2018 CHI Conference on Human Factors in Computing Systems, Montreal, QC, Canada, 20 April 2018; p. 6. [Google Scholar]
- Remy, C.; Bates, O.; Dix, A.; Thomas, V.; Hazas, M.; Friday, A.; Huang, E.M. Evaluation Beyond Usability: Validating Sustainable HCI Research. In Proceedings of the 2018 CHI Conference on Human Factors in Computing Systems, Montreal, QC, Canada, 21 April 2018; p. 14. [Google Scholar]
- Walker, D. “Data Justice” By Design: Building Engagement Through Civic Technologies. In Proceedings of the Extended Abstracts of the 2018 CHI Conference on Human Factors in Computing Systems, Montreal, QC, Canada, 20 April 2018; p. 4. [Google Scholar]
- Heitlinger, S.; Bryan-Kinns, N.; Comber, R. The Right to the Sustainable Smart City. In Proceedings of the 2019 CHI Conference on Human Factors in Computing Systems, Glasgow, UK, 2 May 2019; p. 13. [Google Scholar]
- Hsu, Y.-C.; Cross, J.; Dille, P.; Tasota, M.; Dias, B.; Sargent, R.; Huang, T.-H.; Nourbakhsh, I. Smell Pittsburgh: Community-Empowered Mobile Smell Reporting System. In Proceedings of the 24th International Conference on Intelligent User Interfaces, Marina del Ray, CA, USA, 17 March 2019; pp. 65–79. [Google Scholar]
- Liu, S.-Y. (Cyn) Designing for Multispecies Collaboration and Cohabitation. In Proceedings of the Conference Companion Publication of the 2019 on Computer Supported Cooperative Work and Social Computing, Austin, TX, USA, 9 November 2019; pp. 72–75. [Google Scholar]
- Liu, S.-Y. (Cyn) Designing with, through, and for Human-Nature Interaction. In Proceedings of the Companion Publication of the 2019 on Designing Interactive Systems Conference 2019 Companion, San Diego, CA, USA, 18 June 2019; pp. 101–104. [Google Scholar]
- Mauriello, M.L.; McNally, B.; Froehlich, J.E. Thermporal: An Easy-To-Deploy Temporal Thermographic Sensor System to Support Residential Energy Audits. In Proceedings of the 2019 CHI Conference on Human Factors in Computing Systems, Glasgow, UK, 2 May 2019; p. 14. [Google Scholar]
- Bremer, C. Not (B)Interested? Using Persuasive Technology to Promote Sustainable Household Recycling Behavior. In Persuasive Technology. Designing for Future Change; Gram-Hansen, S.B., Jonasen, T.S., Midden, C., Eds.; Lecture Notes in Computer Science; Springer International Publishing: Cham, Switzerland, 2020; Volume 12064, pp. 195–207. ISBN 978-3-030-45711-2. [Google Scholar]
- Hansen, A.H.; Jensen, R.H.; Stausgaard Jensen, L.; Guldager, E.K.; Sigsgaard, A.W.; Moroder, F.; Raptis, D.; Siksnys, L.; Pedersen, T.; Skov, M.B. Lumen: A Case Study of Designing for Sustainable Energy Communities through Ambient Feedback. In Proceedings of the 32nd Australian Conference on Human-Computer Interaction, Sydney, Australia, 2 December 2020; pp. 724–729. [Google Scholar]
- Jacobsen, R.M.; Johansen, P.S.; Bysted, L.B.L.; Skov, M.B. Waste Wizard: Exploring Waste Sorting Using AI in Public Spaces. In Proceedings of the 11th Nordic Conference on Human-Computer Interaction: Shaping Experiences, Shaping Society, Tallinn, Estonia, 25 October 2020; p. 11. [Google Scholar]
- Karahasanovic, A.; Culén, A.L.; Skjetne, J.H.; Hasle, G. Designing for Transitions in Rural Transport; IADIS Press: Lisbon, Portugal, 2020. [Google Scholar]
- Sauvé, K.; Bakker, S.; Houben, S. Econundrum: Visualizing the Climate Impact of Dietary Choice through a Shared Data Sculpture. In Proceedings of the 2020 ACM Designing Interactive Systems Conference, Eindhoven, The Netherlands, 3 July 2020; pp. 1287–1300. [Google Scholar]
- Junge, I.P. Single Use Goes Circular–An ICT Proto-Practice for a Sustainable Circular Economy Future. J. Sustain. Res. 2021, 3, e210009. [Google Scholar] [CrossRef]
- Kjærup, M.; Skov, M.B.; Van Berkel, N. E-Scooter Sustainability – A Clash of Needs, Perspectives, and Experiences. In Human-Computer Interaction—INTERACT 2021; Ardito, C., Lanzilotti, R., Malizia, A., Petrie, H., Piccinno, A., Desolda, G., Inkpen, K., Eds.; Lecture Notes in Computer Science; Springer International Publishing: Cham, Switzerland, 2021; Volume 12934, pp. 365–383. ISBN 978-3-030-85612-0. [Google Scholar]
- Lindrup, M.V.A.; Cheon, E.; Skov, M.B.; Raptis, D. One Byte at a Time: Insights about Meaningful Data for Sustainable Food Consumption Practices. In Proceedings of the Designing Interactive Systems Conference 2021, Virtual, 28 June 2021; pp. 683–696. [Google Scholar]
- Pestana, C.; Barros, L.; Scuri, S.; Barreto, M. Can HCI Help Increase People’s Engagement in Sustainable Development? A Case Study on Energy Literacy. Sustainability 2021, 13, 7543. [Google Scholar] [CrossRef]
- Schrills, T.; Rosenbusch, L.; Zoubir, M.; Stahl, J.; Franke, T. Supporting Interaction with CO2 as a Resource with Individual Carbon Footprint Trackers as Everyday Assistants. In Proceedings of the 21st Congress of the International Ergonomics Association (IEA 2021), Virtual, 13–18 June 2021; Black, N.L., Neumann, W.P., Noy, I., Eds.; Lecture Notes in Networks and Systems. Springer International Publishing: Cham, Switzerland, 2021; Volume 220, pp. 573–581, ISBN 978-3-030-74604-9. [Google Scholar]
- Shakeri, G.; McCallum, C.H. Envirofy Your Shop: Development of a Real-Time Tool to Support Eco-Friendly Food Purchases Online. In Proceedings of the Extended Abstracts of the 2021 CHI Conference on Human Factors in Computing Systems, Yokohama, Japan, 8 May 2021; p. 10. [Google Scholar]
- Soden, R.; Pathak, P.; Doggett, O. What We Speculate About When We Speculate About Sustainable HCI. In Proceedings of the ACM SIGCAS Conference on Computing and Sustainable Societies (COMPASS), Virtual, 28 June 2021; pp. 188–198. [Google Scholar]
- Bouzekri, E.; Rivière, G. Choosing a Questionnaire Measuring Connectedness to Nature for Human–Computer Interaction User Studies: Choisir Un Questionnaire Mesurant Le Rapport à La Nature Pour Des Études Utilisateur En Interaction Humain-Machine. In Proceedings of the 33rd Conference on l’Interaction Humain-Machine, Namur, Belgium, 5 April 2022; p. 13. [Google Scholar]
- Bouzekri, E.; Rivière, G. Tangibility and Engagement in Environmental Behavior: Toward a Longitudinal Study. In Proceedings of the IHM ‘22: Proceedings of the 33rd Conference on l’Interaction Humain-Machine: Adjunct, Namur, Belgium, 5 April 2022; p. 6. [Google Scholar]
- Chang, M.; Shen, C.; Maheshwari, A.; Danielescu, A.; Yao, L. Patterns and Opportunities for the Design of Human-Plant Interaction. In Proceedings of the Designing Interactive Systems Conference, Virtual, 13 June 2022; pp. 925–948. [Google Scholar]
- Dionisio, M.; Mendes, M.; Fernandez, M.; Nisi, V.; Nunes, N. Aqua: Leveraging Citizen Science to Enhance Whale-Watching Activities and Promote Marine-Biodiversity Awareness. Sustainability 2022, 14, 14203. [Google Scholar] [CrossRef]
- Hasselqvist, H.; Renström, S.; Håkansson, M.; Strömberg, H. Exploring Renewable Energy Futures through Household Energy Resilience. In Proceedings of the CHI Conference on Human Factors in Computing Systems, New Orleans, LA, USA, 29 April 2022; p. 18. [Google Scholar]
- Lindrup, M.V.A.; Cheon, E.; Skov, M.B.; Raptis, D.; Comber, R. Sustainable Foodtures: Exploring Roles of Future Technology in Sustainable Food Shopping. In Proceedings of the Nordic Human-Computer Interaction Conference, Aarhus, Denmark, 8 October 2022; p. 12. [Google Scholar]
- Lindrup, M.V.A.; Skov, M.B.; Raptis, D. Between Egoism and Altruism: A Mixed-Methods Study of Reflections about Energy Use in the Life Cycle of High Preference Grocery Products. In Proceedings of the Nordic Human-Computer Interaction Conference, Aarhus, Denmark, 8 October 2022; p. 10. [Google Scholar]
- Rodgers, S.; Ploderer, B.; Vella, K.; Brereton, M. Phenology Probes: Exploring Human-Nature Relations for Designing Sustainable Futures. In Proceedings of the 34th Australian Conference on Human-Computer Interaction, Canberra, Australia, 29 November 2022; pp. 216–228. [Google Scholar]
- Rosén, A.P.; Normark, M.; Wiberg, M. Noticing the Environment—A Design Ethnography of Urban Farming. In Proceedings of the Nordic Human-Computer Interaction Conference, Aarhus, Denmark, 8 October 2022; p. 13. [Google Scholar]
- Stegers, B.; Sauvé, K.; Houben, S. Ecorbis: A Data Sculpture of Environmental Behavior in the Home Context. In Proceedings of the Designing Interactive Systems Conference, Virtual, 13 June 2022; pp. 1669–1683. [Google Scholar]
- Bell, F.; Chow, D.; Lazaro Vasquez, E.S.; Devendorf, L.; Alistar, M. Designing Interactions with Kombucha SCOBY. In Proceedings of the Seventeenth International Conference on Tangible, Embedded, and Embodied Interaction, Warsaw, Poland, 26 February 2023; p. 5. [Google Scholar]
- Bornes, L. A Methodology and a Tool to Support the Sustainable Design of Interactive Systems: Adapting Systemic Design Tools to Model Complexity in Interaction Design. In Proceedings of the Extended Abstracts of the 2023 CHI Conference on Human Factors in Computing Systems, Hamburg, Germany, 19 April 2023; p. 5. [Google Scholar]
- Bouzekri, E.; Rivière, G. Validating Design Choices of a Bio-Inspired Histogram to Support a Shared Practice of Clean Energy at the Workplace. In Proceedings of the IHM ’23: Proceedings of the 34th Conference on l’Interaction Humain-Machine, Troyes, France, 3 April 2023; p. 20. [Google Scholar]
- Comber, R.; Rossitto, C. Regulating Responsibility: Environmental Sustainability, Law, and the Platformisation of Waste Management. In Proceedings of the 2023 CHI Conference on Human Factors in Computing Systems, Hamburg, Germany, 19 April 2023; p. 19. [Google Scholar]
- Engelbutzeder, P.; Bollmann, Y.; Berns, K.; Landwehr, M.; Schäfer, F.; Randall, D.; Wulf, V. (Re-)Distributional Food Justice: Negotiating Conflicting Views of Fairness within a Local Grassroots Community. In Proceedings of the 2023 CHI Conference on Human Factors in Computing Systems, Hamburg, Germany, 19 April 2023; p. 16. [Google Scholar]
- Grönewald, L.; Weiblen, J.; Laschke, M.; Christoforakos, L.; Hassenzahl, M. Sustainability by Design. How to Encourage Users to Choose Energy-Saving Programs and Settings When Washing Laundry. In Proceedings of the 2023 CHI Conference on Human Factors in Computing Systems, Hamburg, Germany, 19 April 2023; p. 14. [Google Scholar]
- Jensen, V.V.; Jensen, R.H. Exploring Values of Energy Justice: A Case Study of a Burgeoning Energy Community. In Proceedings of the Extended Abstracts of the 2023 CHI Conference on Human Factors in Computing Systems, Hamburg, Germany, 19 April 2023; p. 9. [Google Scholar]
- Perovich, L.J.; Titcomb, C.; Hirsch, T.; Helmuth, B.; Harteveld, C. Sustainable HCI Under Water: Opportunities for Research with Oceans, Coastal Communities, and Marine Systems. In Proceedings of the 2023 CHI Conference on Human Factors in Computing Systems, Hamburg, Germany, 19 April 2023; p. 16. [Google Scholar]
- Vella, K. Pick Me Up Before You Go-Go: Sociotechnical Strategies for Waste in Music Festival Campsites. In Proceedings of the 2023 CHI Conference on Human Factors in Computing Systems, Hamburg, Germany, 19 April 2023; p. 13. [Google Scholar]




| A. Framing of Sustainability | B. The Role of Design | C. Recurrent and Emerging Topics | 
|---|---|---|
| Environmental (179) | Sust. by Design (92) | Behavioral Change (24) | 
| Social (40) | Sust. through Design (99) | Eco-feedback (27) | 
| Economic (8) | Sust. in Designing (76) | Persuasive Technologies (22) | 
| HCI and Design for Attachment (7) | ||
| HCI Activism and Feminism (5) | ||
| E-Waste (4) | ||
| Permaculture (4) | ||
| Collapse Informatics (4) | ||
| HCI and Bio-materials (3) | 
| Disclaimer/Publisher’s Note: The statements, opinions and data contained in all publications are solely those of the individual author(s) and contributor(s) and not of MDPI and/or the editor(s). MDPI and/or the editor(s) disclaim responsibility for any injury to people or property resulting from any ideas, methods, instructions or products referred to in the content. | 
© 2024 by the authors. Licensee MDPI, Basel, Switzerland. This article is an open access article distributed under the terms and conditions of the Creative Commons Attribution (CC BY) license (https://creativecommons.org/licenses/by/4.0/).
Share and Cite
Besana, N.; Krogh, P.G.; Petersen, M.G.; Spallazzo, D. Expanding the Concept of Sustainable Interaction Design: A Systematic Review. Sustainability 2024, 16, 7486. https://doi.org/10.3390/su16177486
Besana N, Krogh PG, Petersen MG, Spallazzo D. Expanding the Concept of Sustainable Interaction Design: A Systematic Review. Sustainability. 2024; 16(17):7486. https://doi.org/10.3390/su16177486
Chicago/Turabian StyleBesana, Nicola, Peter Gall Krogh, Marianne Graves Petersen, and Davide Spallazzo. 2024. "Expanding the Concept of Sustainable Interaction Design: A Systematic Review" Sustainability 16, no. 17: 7486. https://doi.org/10.3390/su16177486
APA StyleBesana, N., Krogh, P. G., Petersen, M. G., & Spallazzo, D. (2024). Expanding the Concept of Sustainable Interaction Design: A Systematic Review. Sustainability, 16(17), 7486. https://doi.org/10.3390/su16177486
 
        


 
       