Exploring the Income-Increasing Benefits of Rural E-Commerce in China: Implications for the Sustainable Development of Farmers
Abstract
1. Introduction
2. Theoretical Analysis and Research Hypotheses
2.1. The Impact of E-Commerce Operations on Farmers’ Income
2.2. Mechanisms of the Impact of E-Commerce Operation on Farmers’ Income
2.3. Heterogeneous Impact of E-Commerce Operation on Farmers’ Income
3. Data Sources, Variable Selection, and Model Construction
3.1. Data Sources
3.2. Variable Selection
3.2.1. Dependent Variables
3.2.2. Core Independent Variables
3.2.3. Mediating Variables
3.2.4. Control Variables
3.3. Model Construction
3.3.1. Benchmark Regression Model
3.3.2. Benchmark Regression Model
4. Analysis of Empirical Results
4.1. Benchmark Regression Results
4.2. Robustness Tests
4.2.1. Replacing the Core Independent Variables
4.2.2. Shrinkage Treatment
4.3. Endogeneity Test
4.3.1. Mutual Causality
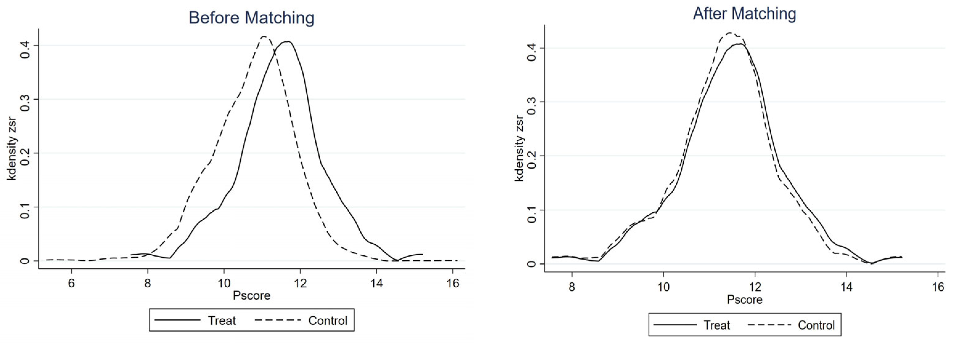
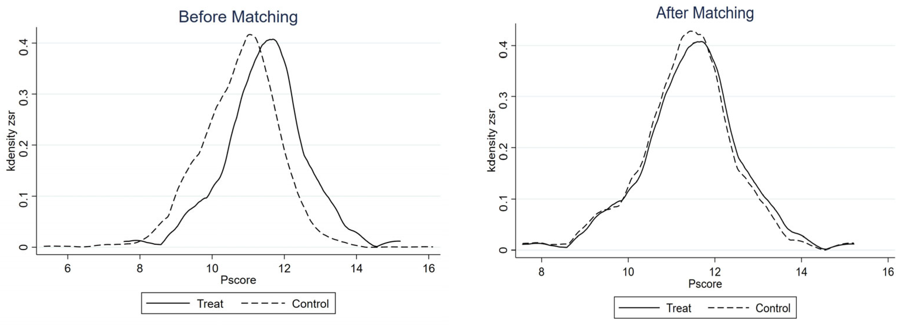
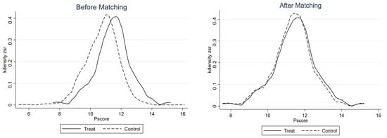
4.3.2. Self-Selection Bias
4.4. Mechanism Analysis
4.5. Heterogeneity Analysis
4.5.1. Heterogeneity Analysis Based on Rural Household Income Structure
4.5.2. Heterogeneity Analysis Based on Educational Attainment of Rural Households
4.5.3. Heterogeneity Analysis Based on the Regional Distribution of Rural Households
5. Research Findings and Policy Implications
5.1. Research Conclusions
5.2. Policy Implications
5.3. Discussion
Author Contributions
Funding
Institutional Review Board Statement
Informed Consent Statement
Data Availability Statement
Conflicts of Interest
References
- Chen, L.; Shen, W. Spatiotemporal differentiation of urban-rural income disparity and its driving force in the Yangtze River Economic Belt during 2000-2017. PLoS ONE 2021, 16, e0245961. [Google Scholar] [CrossRef]
- Jiang, Y.; Shi, X.; Zhang, S.; Ji, J. The threshold effect of high-level human capital investment on China’s urban-rural income gap. China Agric. Econ. Rev. 2011, 3, 297–320. [Google Scholar] [CrossRef]
- Shin, H.B. Economic Transition and Speculative Urbanisation in China: Gentrification Versus Dispossession. Urban Stud. 2016, 53, 471–489. [Google Scholar] [CrossRef]
- Mallick, J.; Fukumi, A. Globalisation and regional income growth disparity in India and the People’s Republic of China (PRC). Indian Growth Dev. Rev. 2020, 14, 172–198. [Google Scholar] [CrossRef]
- Sicular, T.; Yue, X.; Gustafsson, B.; Li, S. The urban–rural income gap and inequality in China. Rev. Income Wealth 2010, 53, 93–126. [Google Scholar] [CrossRef]
- Kahwani, N.; Wang, X.; Xue, N.; Zhan, P. Growth and Common Prosperity in China. China World Econ. Engl. Ed. 2022, 30, 28–57. [Google Scholar]
- Dethier, J.J.; Effenberger, A. Agriculture and development: A brief review of the literature. Econ. Syst. 2012, 36, 175–205. [Google Scholar] [CrossRef]
- Yu, W.; Elleby, C.; Zobbe, H. Food security policies in India and China: Implications for national and global food security. Food Secur. 2015, 7, 405–414. [Google Scholar] [CrossRef]
- Yu, J. Multidimensional Poverty in China: Findings Based on the chns. Soc. Indic. Res. 2013, 112, 315–336. [Google Scholar] [CrossRef]
- Xu, Y.; Guo, L.; Ding, N.; Wang, Y. Evidence of Scaling in Chinese Income Distribution. Chin. Phys. Lett. 2010, 27, 078901. [Google Scholar] [CrossRef]
- Zhang, Y.; Long, H.; Ma, L.; Tu, S.; Li, Y.; Ge, D. Analysis of rural economic restructuring driven by e-commerce based on the space of flows: The case of Xiaying village in central China. J. Rural. Stud. 2018, 93, 196–209. [Google Scholar] [CrossRef]
- Jha, S.K.; Pinsonneault, A.; Dube, L. The evolution of an ICT platform-enabled ecosystem for poverty alleviation: The case of Ekutir. MIS Q. 2016, 40, 431–445. [Google Scholar] [CrossRef]
- Gao, Y.; Zang, L.; Sun, J. Does Computer Penetration Increase Farmers’ Income? An Empirical Study from China. Telecommun. Policy 2018, 42, 345–360. [Google Scholar] [CrossRef]
- Li, X.; Guo, H.; Jin, S.; Ma, W.; Zeng, Y. Do farmers gain internet dividends from E-commerce adoption? Evidence from China. Food Policy 2021, 101, 102024. [Google Scholar] [CrossRef]
- Mintert, J.; Andresen, D.; Schroeder, T. Improving efficiency in business-to-business information transfers: A Web-based solution in the beef sector. IJIM 2003, 23, 415–424. [Google Scholar] [CrossRef]
- Jalali, A.A.; Okhovvat, M.R.; Okhovvat, M. A new applicable model of Iran rural e-commerce development. Procedia Comput. Sci. 2011, 3, 1157–1163. [Google Scholar] [CrossRef]
- Chris, P.; Kamalini, R.; Nicos, S. Is IT Enough? Evidence from a Natural Experiment in India’s Agriculture Markets. Manag. Sci. 2012, 62, 2481–2503. [Google Scholar] [CrossRef]
- Peng, C.; Biao, M.A.; Zhang, C. Poverty alleviation through e-commerce: Village involvement and demonstration policies in rural China. J. Integr. Agric. 2021, 20, 998–1011. [Google Scholar] [CrossRef]
- Wu, F.; He, J.; Cai, L.; Du, M.; Huang, M. Accurate multi-objective prediction of CO2 emission performance indexes and industrial structure optimization using multihead attention-based convolutional neural network. J. Environ. Manag. 2023, 337, 117759. [Google Scholar] [CrossRef]
- Kong, S.T. E-commerce development in rural China. In The Chinese Economic Transformation: Views from Young Economists; ANU Press: Acton, Australia, 2019. [Google Scholar] [CrossRef]
- Huang, C.; Jin, H.; Zhang, J.; Zheng, Q.; Chen, Y.; Chueng, S.; Liu, C. The Effects of an Innovative E-Commerce Poverty Alleviation Platform on Chinese Rural Laborer Skills Development and Family Well-Being. Child. Youth Serv. Rev. 2020, 116, 105189. [Google Scholar] [CrossRef]
- Jin, H.; Li, L.; Qian, X.; Zeng, Y. Can rural e-commerce service centers improve farmers’ subject well-being? A new practice of ‘internet plus rural public services’ from China. Int. Food Agribus. Manag. Rev. 2020, 23, 681–695. [Google Scholar] [CrossRef]
- Lin, H.; Li, R.; Hou, S.; Li, W. Influencing factors and empowering mechanism of participation in e-commerce: An empirical analysis on poor households from Inner Mongolia, China. Alex. Eng. J. 2020, 60, 95–105. [Google Scholar] [CrossRef]
- Tang, K.; Xiong, Q.; Zhang, F. Can the E-Commercialization Improve Residents’ Income?—Evidence From ‘Taobao Counties’ in China. Int. Rev. Econ. Financ. 2022, 78, 540–553. [Google Scholar] [CrossRef]
- Zhang, J. “Internet+” and Growth of Farmer’s Household Operating Income. Agric. Res. Technol. Open Access J. 2017, 3, 555621. [Google Scholar] [CrossRef]
- Zapata, S.; Isengildina-Massa, O.; Carpio, C.; Lamie, R.D. Does E-Commerce Help Farmers’ Markets? Measuring the Impact of Market Maker. J. Food Distrib. 2016, 47, 18. [Google Scholar]
- Marcel, F.; Bart, M. Impact of SMS-Based Agricultural Information on Indian Farmers. World Bank Econ. Rev. 2012, 26, 383–414. [Google Scholar] [CrossRef]
- Chan, M. Mobile phones and the good life: Examining the relationships among mobile use, social capital and subjective well-being. New Media Soc. 2015, 17, 96–113. [Google Scholar] [CrossRef]
- Majhi, B.; Panda, G.; Dash, P.K. Electronic Money: An Essence of E-Commerce. IETE Tech. Rev. 2015, 17, 203–207. [Google Scholar] [CrossRef]
- Kumar, B.T.S.; Kumara, S.U.S. The digital divide in India: Use and non-use of ICT by rural and urban students. World J. Sci. Technol. Sustain. Dev. 2018, 15, 156–168. [Google Scholar] [CrossRef]
- Yang, S.; Wang, H.; Wang, Z.; Mansoor Ahmed, K.; Ji, L.; Kong, R. The Nexus between Formal Credit and E-Commerce Utilization of Entrepreneurial Farmers in Rural China: A Mediation Analysis. J. Theor. Appl. Electron. Commer. Res. 2021, 16, 900–921. [Google Scholar] [CrossRef]
- Wei, Y.; Du, M.; Huang, Z. The effects of energy quota trading on total factor productivity and economic potential in industrial sector: Evidence from China. J. Clean. Prod. 2024, 445, 141227. [Google Scholar] [CrossRef]
- Munthali, N.; Leeuwis, C.; van Paassen, A.; Lie, R.; Asare, R.; van Lammeren, R.; Schut, M. Innovation intermediation in a digital age: Comparing public and private new-ICT platforms for agricultural extension in Ghana. NJAS-Wagening. J. Life Sci. 2018, 86, 64–76. [Google Scholar] [CrossRef]
- Angmo, D.; Aithal, R.K.; Jaiswal, A.K. Reducing market separation through e-commerce: Cases of Bottom of the Pyramid (BoP) firms in India. Inf. Technol. Dev. 2024, 30, 93–113. [Google Scholar] [CrossRef]
- Cook, D.A. Web-based learning: Pros, cons and controversyes. Clin. Med. 2007, 7, 37–42. [Google Scholar] [CrossRef] [PubMed]
- Mary George, N.; Parida, V.; Lahti, T.; Wincent, J. A systematic literature review of entrepreneurial opportunity recognition: Insights on influencing factors. Int. Entrep. Manag. J. 2016, 12, 309–350. [Google Scholar] [CrossRef]
- Bonfadelli, H. The Internet and knowledge gaps—A theoretical and empirical investigation. Eur. J. Commun. 2002, 17, 65–84. [Google Scholar] [CrossRef]
- Qi, J.; Zheng, X.; Guo, H. The formation of Taobao villages in China. China Econ. Rev. 2019, 53, 106–127. [Google Scholar] [CrossRef]
- Qin, Y.; Fang, Y. The Effects of E-Commerce on Regional Poverty Reduction: Evidence from China’s Rural E-Commerce Demonstration County Program. China World Econ. 2022, 30, 161–186. [Google Scholar] [CrossRef]
- Baron, R.M.; Kenny, D.A. The moderator-mediator variable distinction in social psychological research: Conceptual, strategic, and statistical considerations. J. Pers. Soc. Psychol. 1986, 51, 1173–1182. [Google Scholar] [CrossRef]
- Magagula, M.M.; Awodiji, O.A. The implications of the fourth industrial revolution on technical and vocational education and training in South Africa. Soc. Sci. Humanit. Open 2024, 10, 2590–2911. [Google Scholar] [CrossRef]
- Ma, W.; Wang, X. Internet Use, Sustainable Agricultural Practices and Rural Incomes: Evidence from China. Soc. Sci. Electron. Publ. 2020, 64, 1087–1112. [Google Scholar] [CrossRef]
- Bayar, O. Weak instruments and estimated monetary policy rules. Am. Econ. J. Macroecon. 2018, 58, 308–317. [Google Scholar] [CrossRef]
- Rosenbaum, P.R.; Rubin, D.B. Constructing a Control Group Using Multivariate Matched Sampling Methods That Incorporate the Propensity Score. Am. Stat. 1985, 39, 33–38. [Google Scholar] [CrossRef]
- Caliendo, M.; Kopeinig, S. Some Practical Guidance for the Implementation of Propensity Score Matching. J. Econ. Surv. 2005, 22, 31–72. [Google Scholar] [CrossRef]
- Oddo, V.M.; Bleich, S.N.; Pollack, K.M.; Surkan, P.J.; Mueller, N.T.; Mueller, J.C. The weight of work: The association between maternal employment and overweight in low- and middle-income countries. Int. J. Behav. Nutr. Phy. 2017, 14, 66. [Google Scholar] [CrossRef]
- Xiao, W.; Pan, J.; Liu, L.Y. China’s industrial structure upgrade in the “new normal”: Empirical test and determinants. Singap. Econ. Rev. 2017, 63, 885–897. [Google Scholar] [CrossRef]
- Zhou, X.; Cui, Y.; Zhang, S. Internet use and rural residents’ income growth. China Agric. Econ. Rev. 2020, 12, 315–327. [Google Scholar] [CrossRef]
- Du, M.; Wu, F.; Ye, D.; Zhao, Y.; Liao, L. Exploring the effects of energy quota trading policy on carbon emission efficiency: Quasi-experimental evidence from China. Energy Econ. 2023, 124, 106791. [Google Scholar] [CrossRef]



| Variables | Variable Name | Variable Interpretation and Explanation | Mean | Std | Min | Max |
|---|---|---|---|---|---|---|
| Dependent variables | Total household income | The total net income of rural households (CNY), taken as the logarithm | 10.812 | 1.101 | 5.337 | 16.12 |
| Household per capita income | The per capita net income of rural households (CNY), taken as logarithmic | 9.451 | 1.066 | 3.589 | 15.427 | |
| Core independent variables | E-commerce operation | Whether the farmer sells products online (yes = 1, no = 0) | 0.071 | 0.257 | 0 | 1 |
| Mediating variables | Enhance information acquisition | Whether farmers can satisfy themselves through the Internet Information on requests (not at all satisfied = 1, not very satisfied = 2, fair = 3, basically satisfied = 4, fully satisfied = 5) | 3.999 | 1.043 | 1 | 5 |
| Reduce operating costs | Whether farmers purchase agricultural materials through online channels (yes = 1, no = 0) | 0.344 | 0.475 | 0 | 1 | |
| Enhance financial support | An indicator of whether the rural household has access to credit from financial institutions (yes = 1, no = 0) | 0.509 | 0.500 | 0 | 1 | |
| Control variables | Gender | The sex of the head of the household (male = 1, female = 0) | 0.955 | 0.206 | 0 | 1 |
| Age | The age of the head of the household (years) | 55.058 | 11.470 | 18 | 102 | |
| Square term of age | The square of the age of the head of the household divided by 100 | 31.629 | 12.495 | 0.640 | 104.04 | |
| Marital status | Whether the head of the household is married (yes = 1, no = 0) | 0.986 | 0.119 | 0 | 1 | |
| Political affiliations | Whether the head of the household is a member of the CPC (yes = 1, no = 0) | 0.244 | 0.430 | 0 | 1 | |
| Health status | The health status of the head of the household (very poor = 1, poor = 2, fair = 3, good = 4, very good = 5) | 3.606 | 1.012 | 1 | 5 | |
| Educational attainment | Educational attainment of the head of the household (elementary school and below = 1, junior high school = 2, middle school, high school, vocational high school and technical school = 3, university college = 4, university undergraduate = 5) | 1.853 | 0.759 | 1 | 5 | |
| E-commerce training | Whether the household head has received training in e-commerce (yes = 1, no = 0) | 0.074 | 0.261 | 0 | 1 | |
| Number of families | Number of household personnel (number) | 4.184 | 1.476 | 1 | 10 | |
| Number of family village cadres | The number of village cadres among household members (number) | 0.113 | 0.326 | 0 | 3 | |
| Family cooperative participation | Whether any member of the household participates in a cooperative (yes = 1, no = 0) | 0.258 | 0.437 | 0 | 1 | |
| Village topography | Plains = 1, hills = 2, semi-mountainous = 3, mountainous = 4 | 2.225 | 1.315 | 1 | 4 | |
| Geographic location of the village | Whether the village is part of an urban suburb (yes = 1, no = 0) | 0.208 | 0.406 | 0 | 1 | |
| Distance of the village from the county government | The distance from the village council to the county government (kilometers) | 23.221 | 16.918 | 1 | 125 |
| Variable Name | Total Household Income | Household per Capita Income | ||||
|---|---|---|---|---|---|---|
| (1) | (2) | (3) | (1) | (2) | (3) | |
| E-commerce operation | 0.518 *** | 0.479 *** | 0.477 *** | 0.477 *** | 0.478 *** | 0.476 *** |
| (0.079) | (0.077) | (0.076) | (0.077) | (0.076) | (0.762) | |
| Gender | −0.225 ** | −0.266 *** | −0.260 *** | −0.321 *** | −0.296 *** | −0.291 *** |
| (0.096) | (0.093) | (0.093) | (0.094) | (0.093) | (0.093) | |
| Age | 0.036 *** | 0.033 *** | 0.033 *** | 0.034 *** | 0.031 *** | 0.031 *** |
| (0.010) | (0.010) | (0.010) | (0.010) | (0.010) | (0.010) | |
| Square term of age | −0.048 *** | −0.044 *** | −0.044 *** | −0.042 *** | −0.040 *** | −0.040 *** |
| (0.009) | (0.009) | (0.009) | (0.009) | (0.009) | (0.009) | |
| Marital status | 0.344 ** | 0.058 | 0.008 | −0.243 | −0.090 | −0.141 |
| (0.168) | (0.164) | (0.164) | (0.164) | (0.164) | (0.164) | |
| Political affiliations | 0.131 *** | 0.117 ** | 0.123** | 0.181 *** | 0.116 ** | 0.124 ** |
| (0.049) | (0.049) | (0.049) | (0.048) | (0.049) | (0.049) | |
| Health status | 0.103 *** | 0.100 *** | 0.097 *** | 0.102 *** | 0.100 *** | 0.097 *** |
| (0.198) | (0.019) | (0.019) | (0.019) | (0.019) | (0.019) | |
| Educational attainment | 0.131 *** | 0.123 *** | 0.103 *** | 0.123 *** | 0.117 *** | 0.098 *** |
| (0.028) | (0.027) | (0.027) | (0.027) | (0.027) | (0.027) | |
| E-commerce training | 0.291 *** | 0.206 *** | 0.216 *** | 0.249 *** | 0.205 *** | 0.215 *** |
| (0.079) | (0.077) | (0.077) | (0.077) | (0.007) | (0.077) | |
| Number of family members | 0.163 *** | 0.166 *** | −0.090 *** | 0.088 *** | ||
| (0.013) | (0.013) | (0.013) | (0.013) | |||
| Number of family village cadres | 0.151 ** | 0.169 *** | 0.156 ** | 0.175 *** | ||
| (0.062) | (0.062) | (0.062) | (0.062) | |||
| Family cooperative participation | 0.190 *** | 0.188 *** | 0.188 *** | 0.186 *** | ||
| (0.045) | (0.045) | (0.045) | (0.044) | |||
| Village topography | −0.053 *** | −0.056 *** | ||||
| (0.016) | (0.016) | |||||
| Geographic location of the village | 0.066 *** | 0.067 *** | ||||
| (0.050) | (0.049) | |||||
| Distance of the village from the county government | −0.001 | −0.001 | ||||
| (0.001) | (0.001) | |||||
| Constant term | 9.525 *** | 9.158 *** | 9.390 *** | 8.777 *** | 9.030 *** | 9.268 *** |
| (0.324) | (0.316) | (0.322) | (0.318) | (0.316) | (0.321) | |
| R2 | 0.107 | 0.162 | 0.168 | 0.088 | 0.111 | 0.117 |
| Sample size | 2783 | 2783 | 2783 | 2783 | 2783 | 2783 |
| Variable Name | Total Household Income | Household per Capita Income | ||||
|---|---|---|---|---|---|---|
| E-commerce operation | 0.468 *** | 0.439 *** | 0.455 *** | 0.427 *** | 0.421 *** | 0.440 *** |
| (0.097) | (0.942) | (0.094) | (0.095) | (0.095) | (0.095) | |
| Individual characteristic | control | control | control | control | control | control |
| Household characteristics | control | control | control | control | ||
| Village characteristics | control | control | ||||
| Constant term | 9.537 *** | 9.168 *** | 9.412 *** | 8.788 *** | 8.821 *** | 9.114 *** |
| (0.326) | (0.317) | (0.323) | (0.319) | (0.318) | (0.323) | |
| R2 | 0.101 | 0.157 | 0.163 | 0.082 | 0.090 | 0.099 |
| Sample size | 2783 | 2783 | 2783 | 2783 | 2783 | 2783 |
| Variable Name | Total Household Income | Household per Capita Income | ||||
|---|---|---|---|---|---|---|
| E-commerce operation | 0.490 *** | 0.475 *** | 0.473 *** | 0.449 *** | 0.437 *** | 0.436 *** |
| (0.075) | (0.075) | (0.075) | (0.074) | (0.073) | (0.073) | |
| Individual characteristic | control | control | control | control | control | control |
| Household characteristics | control | control | control | control | ||
| Village characteristics | control | control | ||||
| Constant term | 9.541 *** | 9.575 *** | 9.745 *** | 8.797 *** | 8.828 *** | 9.104 *** |
| (0.309) | (0.308) | (0.314) | (0.302) | (0.301) | (0.307) | |
| R2 | 0.111 | 0.121 | 0.162 | 0.090 | 0.099 | 0.106 |
| Sample size | 2783 | 2783 | 2783 | 2783 | 2783 | 2783 |
| Variable Name | Total Household Income | Household per Capita Income | ||
|---|---|---|---|---|
| First-Stage Regression | Second-Stage Regression | First-Stage Regression | Second-Stage Regression | |
| E-commerce operation | 1.767 *** | 1.752 *** | ||
| (0.334) | (0.333) | |||
| Proportion of e-commerce operations by other farmers in the village | 0.591 *** | 0.591 *** | ||
| (0.046) | (0.046) | |||
| Control variable | control | control | control | control |
| F-statistic | 21.63 | 23.05 | ||
| R2 | 0.111 | 0.086 | 0.111 | 0.028 |
| Hausman test p-value | 0.000 *** | 0.000 *** | ||
| Sample size | 2783 | 2783 | ||
| Matching Method | Total Household Income | Household per Capita Income | ||||
|---|---|---|---|---|---|---|
| Experimental Group | Control Group | ATT | Experimental Group | Control Group | ATT | |
| One-to-one near neighbor matching | 11.464 | 11.049 | 0.415 *** | 10.044 | 9.667 | 0.378 *** |
| K-nearest neighbor matching | 11.464 | 11.064 | 0.400 *** | 10.044 | 9.646 | 0.399 *** |
| Radius matching | 11.464 | 10.762 | 0.702 *** | 10.044 | 9.406 | 0.638 *** |
| One-to-four matching in caliper | 11.456 | 11.051 | 0.405 *** | 10.038 | 9.635 | 0.403 *** |
| Kernel matching | 11.464 | 10.942 | 0.522 *** | 10.044 | 9.545 | 0.499 *** |
| Local linear regression matching | 11.464 | 10.986 | 0.478 *** | 10.044 | 9.572 | 0.472 *** |
| Marginal matching | 11.464 | 11.055 | 0.409 *** | 10.044 | 9.673 | 0.371 *** |
| Control Variable | Pre-Match Average | Average Value after Matching | Deviation Rate (%) | Post-Matching t-Test | ||||
|---|---|---|---|---|---|---|---|---|
| Experimental Group | Control Group | Experimental Group | Control Group | Before Matching | After Matching | t-Value | p > t | |
| Gender | 0.955 | 0.956 | 0.955 | 0.950 | −0.5 | 2.4 | 0.23 | 0.815 |
| Age | 52.146 | 55.281 | 55.146 | 52.263 | −28.8 | −1.1 | −0.11 | 0.911 |
| Square term of age | 28.224 | 31.890 | 28.224 | 28.389 | −31.2 | −1.4 | −0.15 | 0.882 |
| Marital status | 0.985 | 0.986 | 0.985 | 0.980 | −0.7 | 4.2 | 0.38 | 0.704 |
| Educational attainment | 2.101 | 1.834 | 2.101 | 2.157 | 33.8 | −7.0 | −0.65 | 0.515 |
| Political affiliations | 0.328 | 0.238 | 0.328 | 0.338 | 20.0 | −2.3 | −0.21 | 0.832 |
| Health status | 3.687 | 3.600 | 3.687 | 3.732 | 9.6 | −4.5 | −0.46 | 0.646 |
| E-commerce training | 0.278 | 0.058 | 0.278 | 0.268 | 61.4 | 2.8 | 0.23 | 0.822 |
| Number of families | 4.379 | 4.169 | 4.379 | 4.253 | 14.6 | 8.8 | 0.89 | 0.375 |
| Number of family village cadres | 0.172 | 0.109 | 0.172 | 0.157 | 18.0 | 4.3 | 0.41 | 0.685 |
| Family cooperative participation | 0.374 | 0.249 | 0.374 | 0.404 | 27.2 | −6.6 | −0.62 | 0.537 |
| Village topography | 2.222 | 2.225 | 2.222 | 2.152 | −0.2 | 5.4 | 0.54 | 0.591 |
| Geographic location of the village | 0.237 | 0.206 | 0.237 | 0.273 | 7.6 | −8.5 | −0.81 | 0.421 |
| Distance of the village from the county government | 24.201 | 23.146 | 24.201 | 23.3 | 6.1 | 5.2 | 0.50 | 0.617 |
| Variable Name | Total Household Income | ||||||
|---|---|---|---|---|---|---|---|
| (1) | (2) | (3) | (4) | (5) | (6) | (7) | |
| Total Household Income | Enhanced Information Acquisition | Total Household Income | Reduced Operating Costs | Total Household Income | Enhanced Financial Support | Total Household Income | |
| E-commerce operation | 0.477 *** | 0.214 *** | 0.652 *** | 0.261 *** | 0.575 *** | 0.154 *** | 0.581 *** |
| (0.076) | (0.077) | (0.078) | (0.035) | (0.080) | (0.040) | (0.083) | |
| Enhanced information acquisition | 0.233 *** | ||||||
| (0.019) | |||||||
| Reduced operating costs | 0.514 *** | ||||||
| (0.043) | |||||||
| Enhanced financial support | 0.407 *** | ||||||
| (0.045) | |||||||
| Control variable | control | control | control | control | control | control | control |
| Constant term | 9.390 *** | 3.983 *** | 9.832 *** | 0.325 *** | 10.590 *** | 0.497 *** | 10.636 *** |
| (0.322) | (0.020) | (0.080) | (0.010) | (0.025) | (0.011) | (0.033) | |
| R2 | 0.168 | 0.002 | 0.076 | 0.020 | 0.076 | 0.007 | 0.062 |
| Sample size | 2783 | 2783 | 2783 | 2783 | 2783 | 2783 | 2783 |
| Household per Capita Income | |||||||
| Variable Name | (1) | (2) | (3) | (4) | (5) | (6) | (7) |
| Household per Capita Income | Enhanced Information Acquisition | Household per Capita Income | Reduced Operating Costs | Household per Capita Income | Enhanced Financial Support | Household per Capita Income | |
| E-commerce operation | 0.476 *** | 0.214 *** | 0.597 *** | 0.261 *** | 0.517 *** | 0.154 *** | 0.525 *** |
| (0.762) | (0.077) | (0.076) | (0.035) | (0.077) | (0.040) | (0.081) | |
| Enhanced information acquisition | 0.193 *** | ||||||
| (0.019) | |||||||
| Reduced operating costs | 0.464 *** | ||||||
| (0.042) | |||||||
| Enhanced financial support | 0.371 *** | ||||||
| (0.044) | |||||||
| Control variable | control | control | control | control | control | control | control |
| Constant term | 9.268 *** | 3.983 *** | 8.639 *** | 0.325 *** | 9.247 *** | 0.497 *** | 9.289 *** |
| (0.321) | (0.020) | (0.078) | (0.010) | (0.024) | (0.011) | (0.031) | |
| R2 | 0.117 | 0.002 | 0.059 | 0.020 | 0.067 | 0.007 | 0.055 |
| Sample size | 2783 | 2783 | 2783 | 2783 | 2783 | 2783 | 2783 |
| Variable Name | Total Household Income | ||||
|---|---|---|---|---|---|
| Agricultural Business Income | Non-Farm Business Income | Wage Income | Property Income | Transfer Income | |
| E-commerce operation | 0.878 *** | 1.668 *** | −0.261 * | 0.0223 | 02152 ** |
| (0.150) | (0.248) | (0.143) | (0.022) | (0.109) | |
| Control variable | control | control | control | control | control |
| Constant term | 6.261 *** | 2.270 *** | 7.186 *** | 4.789 *** | 9.005 *** |
| (0.628) | (1.042) | (0.601) | (0.853) | (0.458) | |
| R2 | 0.089 | 0.065 | 0.106 | 0.060 | 0.070 |
| Sample size | 2783 | 2783 | 2783 | 2783 | 2783 |
| Variable Name | Household per Capita Income | ||||
| Agricultural Business Income | Non-Farm Business Income | Wage Income | Property Income | Transfer Income | |
| E-commerce operation | 0.878 *** | 1.667 *** | −0.262 * | 0.021 | 0.214 * |
| (0.149) | (0.248) | (0.142) | (0.202) | (0.109) | |
| Control variable | control | control | control | control | control |
| Constant term | 6.139 *** | 2.148 *** | 7.063 *** | 4.666 *** | 8.882 *** |
| (0.627) | (1.043) | (0.599) | (0.852) | (0.460) | |
| R2 | 0.094 | 0.060 | 0.052 | 0.091 | 0.137 |
| Sample size | 2783 | 2783 | 2783 | 2783 | 2783 |
| Variable Name | Total Household Income | Household per Capita Income | ||
|---|---|---|---|---|
| Low Educational Attainment | High Educational Attainment | Low Educational Attainment | High Educational Attainment | |
| E-commerce operation | 0.417 *** | 0.628 *** | 0.418 *** | 0.636 *** |
| (0.088) | (0.160) | (0.088) | (0.159) | |
| Control variable | control | control | control | control |
| Constant term | 9.312 *** | 9.067 *** | 9.201 *** | 8.855 *** |
| (0.357) | (0.972) | (0.356) | (0.976) | |
| R2 | 0.162 | 0.180 | 0.098 | 0.184 |
| Sample size | 2315 | 468 | 2315 | 468 |
| Variable Name | Total Household Income | Household per Capita Income | ||
|---|---|---|---|---|
| Eastern Part | Central and Western Region | Eastern Part | Central and Western Region | |
| E-commerce operation | 0.298 ** | 0.486 *** | 0.306 ** | 0.476 *** |
| (0.152) | (0.089) | (0.152) | (0.088) | |
| Control variable | control | control | control | control |
| Constant term | 9.018 *** | 9.430 *** | 9.037 *** | 9.242 *** |
| (0.610) | (0.381) | (0.606) | (0.381) | |
| R2 | 0.226 | 0.157 | 0.182 | 0.100 |
| Sample size | 740 | 2043 | 740 | 2043 |
Disclaimer/Publisher’s Note: The statements, opinions and data contained in all publications are solely those of the individual author(s) and contributor(s) and not of MDPI and/or the editor(s). MDPI and/or the editor(s) disclaim responsibility for any injury to people or property resulting from any ideas, methods, instructions or products referred to in the content. |
© 2024 by the authors. Licensee MDPI, Basel, Switzerland. This article is an open access article distributed under the terms and conditions of the Creative Commons Attribution (CC BY) license (https://creativecommons.org/licenses/by/4.0/).
Share and Cite
Qiu, H.; Zhang, X.; Feng, M.; Zhang, Z.; Wang, J.; Wang, Z. Exploring the Income-Increasing Benefits of Rural E-Commerce in China: Implications for the Sustainable Development of Farmers. Sustainability 2024, 16, 7437. https://doi.org/10.3390/su16177437
Qiu H, Zhang X, Feng M, Zhang Z, Wang J, Wang Z. Exploring the Income-Increasing Benefits of Rural E-Commerce in China: Implications for the Sustainable Development of Farmers. Sustainability. 2024; 16(17):7437. https://doi.org/10.3390/su16177437
Chicago/Turabian StyleQiu, Hailan, Xueyi Zhang, Mingrui Feng, Zhenquan Zhang, Jiawei Wang, and Zhipeng Wang. 2024. "Exploring the Income-Increasing Benefits of Rural E-Commerce in China: Implications for the Sustainable Development of Farmers" Sustainability 16, no. 17: 7437. https://doi.org/10.3390/su16177437
APA StyleQiu, H., Zhang, X., Feng, M., Zhang, Z., Wang, J., & Wang, Z. (2024). Exploring the Income-Increasing Benefits of Rural E-Commerce in China: Implications for the Sustainable Development of Farmers. Sustainability, 16(17), 7437. https://doi.org/10.3390/su16177437

