The Impact of Digital Governance on Entrepreneurial Activity in Relatively Poor Areas: Evidence from Tibet, China
Abstract
1. Introduction
2. Theoretical Background and the Model
2.1. Theoretical Assumptions and Background
2.2. Impact of Digital Transformation on Entrepreneurial Activities
3. Methods
3.1. Empirical Models
3.2. Variable Declaration
3.3. Data Description
4. Results
4.1. Results of the Empirical Model
4.2. Identification Test
4.2.1. Parallel Trend Test
4.2.2. Placebo Test
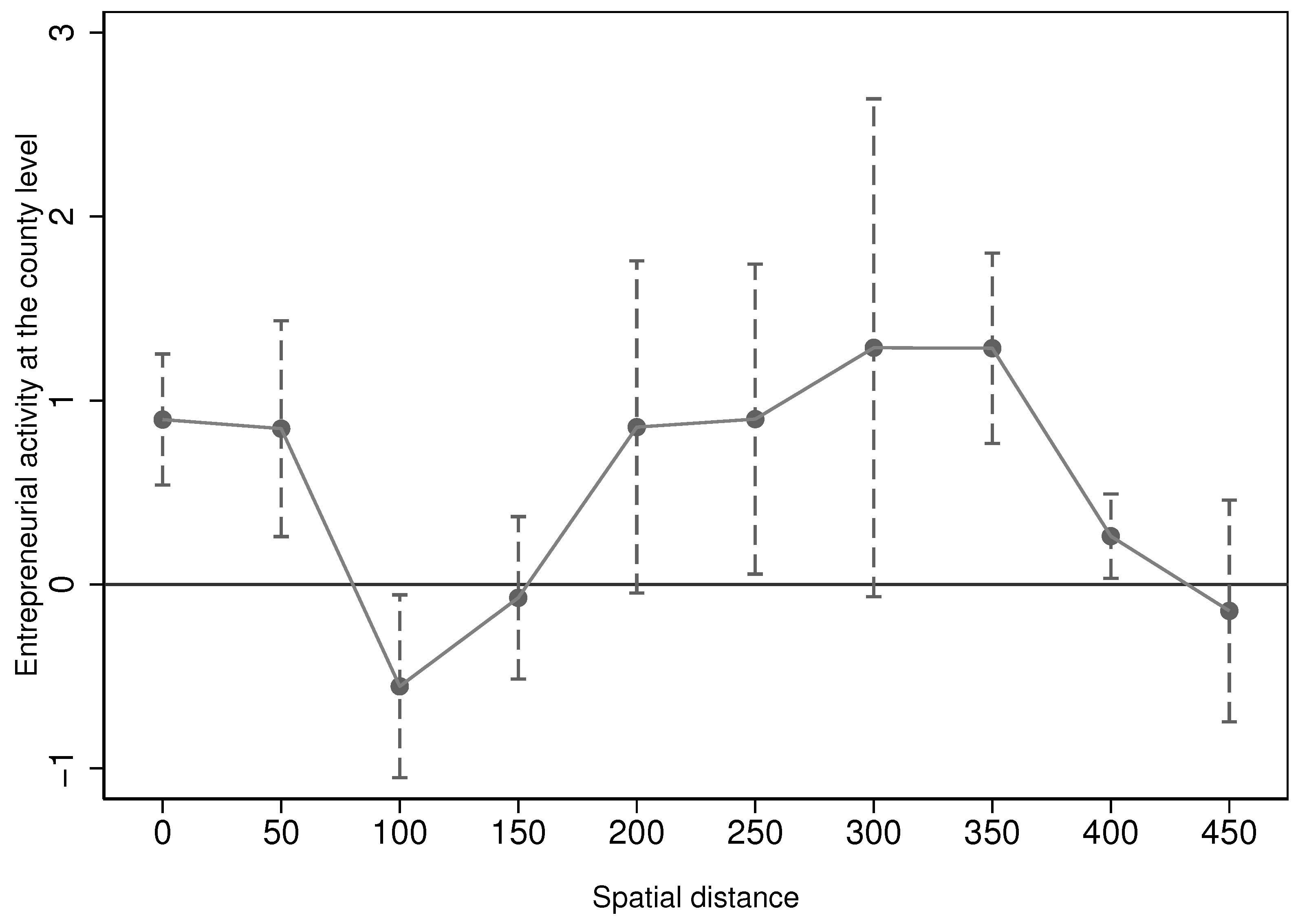
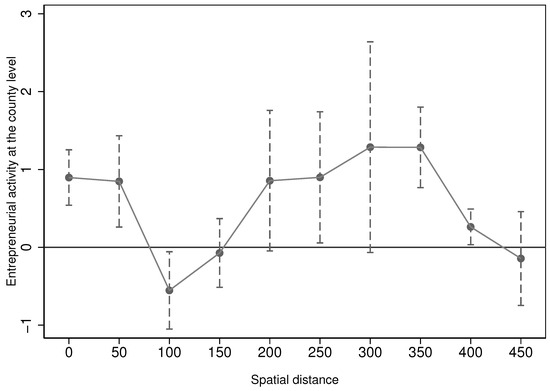
4.2.3. Analysis of Heterogeneity and Spatial Spillover Effects
4.2.4. Other Robustness Tests
5. Main Conclusions and Recommendations
5.1. Main Conclusions
5.2. Recommendations
Author Contributions
Funding
Institutional Review Board Statement
Informed Consent Statement
Data Availability Statement
Conflicts of Interest
References
- Mohammed, K.S.; Sallam, O.A.A.J.; Abdelkader, S.B.; Radulescu, M. Dynamic effects of digital governance and government interventions on natural resources management: Fresh findings from Chinese provinces. Resour. Policy 2024, 92, 105004. [Google Scholar] [CrossRef]
- Wu, Y.; Wang, J. Institutional Environment, Political Networks and Entrepreneurship:Evidence from Transitional Countries. Econ. Res. J. 2015, 50, 45–57. [Google Scholar]
- Blanka, C.; Krumay, B.; Rueckel, D. The interplay of digital transformation and employee competency: A design science approach. Technol. Forecast. Soc. Chang. 2022, 178, 15. [Google Scholar] [CrossRef]
- Chaudhuri, R.; Chatterjee, S.; Vrontis, D.; Vicentini, F. Effects of human capital on entrepreneurial ecosystems in the emerging economy: The mediating role of digital knowledge and innovative capability from India perspective. J. Intellect. Cap. 2023, 24, 283–305. [Google Scholar] [CrossRef]
- Jiang, Y.J.; Huang, Y.J. How mumpreneurs achieve high entrepreneurial opportunity recognition and development: Evidence from China. Womens Stud. Int. Forum 2023, 100, 10. [Google Scholar] [CrossRef]
- Zhao, X.; Li, H.; Rauch, A. The Differences among Countries (Regions) in Entrepreneurial Activity: The Interaction Effect between Culture and the Level of a Country (Regions)’s Economic Growth. J. Manag. World 2012, 8, 78–90. [Google Scholar]
- Karimi, J.; Walter, Z. The Role of Entrepreneurial Agility in Digital Entrepreneurship and Creating Value in Response to Digital Disruption in the Newspaper Industry. Sustainability 2021, 13, 2741. [Google Scholar] [CrossRef]
- Du, Y.; Liu, Q.; Cheng, J. What Kind of Ecosystem for doing Business Will Contribute to City-level High Entrepreneurial Activity? A Research Based on Institutional Configurations. J. Manag. World 2020, 36, 141–155. [Google Scholar]
- Kumar, V.; Kumar, S.; Chatterjee, S.; Mariani, M. Optimizing the Digital Transformation Capability for Enhancing Economic Sustainability of Entrepreneurial Venture: The Moderating Role of Entrepreneurial Orientation. IEEE Trans. Eng. Manag. 2024, 71, 8517–8530. [Google Scholar] [CrossRef]
- Li, J.; Xu, G.; Shi, D. Are Farmers with High Financial Literacy More Willing to Start Businesses?—From the Perspective of Heterogeneous Credit Constraints. J. Southwest Univ. (Nat. Sci. Ed.) 2024, 46, 103–114. [Google Scholar]
- Wang, H.; Ge, C. Does Digital Literacy Promote High-quality and Full Employment for Young People? J. Shanghai Univ. Financ. Econ. 2024, 26, 49–64. [Google Scholar]
- Guo, L.; Mei, Y.; Hu, B. A Study on the Effects of Family Background and Socialization Development Level on University Students Entrepreneurial Intentions. Univ. Educ. Sci. 2024, 3, 73–82. [Google Scholar]
- Mas, J.M.; Gómez, A. Social partners in the digital ecosystem: Will business organizations, trade unions and government organizations survive the digital revolution? Technol. Forecast. Soc. Chang. 2021, 162, 17. [Google Scholar] [CrossRef]
- Meng, H.; Zhao, H.; Zhang, S. Information Infrastructure and Digital Entrepreneurship. J. Zhongnan Univ. Econ. Law 2022, 4, 145–160. [Google Scholar]
- Liu, Y.; Jiang, G. Does Network Infrastructure Development Drive Urban Digital Economy?—A Quasi-Natural Experiment Based on Broadband China Strategy. Seek. Truth 2022, 49, 61–73. [Google Scholar]
- Aghazadeh, H.; Zandi, F.; Mahdiraji, H.A.; Sadraei, R. Digital transformation and SME internationalisation: Unravelling the moderated-mediation role of digital capabilities, digital resilience and digital maturity. J. Enterp. Inf. Manag. 2023, 2, 92. [Google Scholar] [CrossRef]
- Li, Q.; Wang, C.; Wang, H.; Huangfu, B. Research on the Influence of Digital Infrastructure Construction on Regional Entrepreneurial Activity. Chin. J. Manag. 2024, 66, 105649. [Google Scholar]
- Zhang, H.; Yi, J.; Xu, J. How does digital transformation affect urban innovation: Empirical evidence from the national big data pilot zone. Stud. Sci. Sci. 2023, 41, 1484–1494. [Google Scholar]
- Dean, R. Civic Participation in the Datafied Society|Participatory Governance in the Digital Age: From Input to Oversight. Int. J. Commun. 2023, 17, 3562–3581. [Google Scholar]
- Li, J.J.; Zhan, G.H.; Dai, X.; Qi, M.; Liu, B.F. Innovation and Optimization Logic of Grassroots Digital Governance in China under Digital Empowerment and Digital. Sustainability 2022, 14, 16470. [Google Scholar] [CrossRef]
- Janowski, T.; Estevez, E.; Baguma, R. Platform governance for sustainable development: Reshaping citizenadministration relationships in the digital age. Gov. Inf. Q. 2018, 35, S16. [Google Scholar] [CrossRef]
- Dellyana, D.; Arina, N.; Fauzan, T.R. Digital Innovative Governance of the Indonesian Creative Economy: A Governmental Perspective. Sustainability 2023, 15, 16234. [Google Scholar] [CrossRef]
- Li, J.; He, W.; Li, G.L. Natural resources, economic complexity and growth nexus: Role of digital governance in addressing the resource curse. Resour. Policy 2024, 92, 105003. [Google Scholar] [CrossRef]
- Estrada, M.S. Feminist struggles against criminalization of digital violence: Lessons for Internet governance from the global south. Policy Internet 2022, 14, 423. [Google Scholar]
- Dowling, M.E. Foreign interference and digital democracy: Is digital era governance putting Australia at risk? Aust. J. Political Sci. 2022, 57, 128. [Google Scholar] [CrossRef]
- Jiang, N.; Gao, X. How to Optimize the Business Environment? Perspectives on the Administrative Burden on Enterprises. J. Public Adm. 2024, 17, 159–174. [Google Scholar]
- He, Y.; Niu, G.; Lu, J.; Zhao, G. Digital Governance and Urban Entrepreneurial Vitality: Evidence from the “National Pilot Policy of Information Benefiting the People” in China. J. Quant. Technol. Econ. 2024, 41, 47–66. [Google Scholar]
- Liao, F. Research on the Mechanism of Digital Governance and Business Environment. J. Cap. Univ. Econ. Bus. 2022, 24, 3–15. [Google Scholar]
- Su, L. Rural Governance Effectiveness Driven by Digital Governance: Challenges, Theoretical Framework, and Policy Optimization. Issues Agric. Econ. 2024, 6, 58–75. [Google Scholar]
- Gao, M.; Zhang, L.; Zhu, H. Digital Governance, Clan Network and Agricultural Entrepreneurship: An Empirical Study Based on the Panel Data of 397 Counties in Eastern China. J. Nanjing Agric. Univ. (Soc. Sci. Ed.) 2024, 2, 273–284. [Google Scholar]
- Liu, Z.; Zou, W. Digital entrepreneurship ecosystems: Theoretical frameworks and policy considerations. Soc. Sci. Guangdong 2020, 4, 5–14. [Google Scholar]
- Zou, D.; Zhang, L.; Ren, W. Research on Integration and Sharing of Scientific and Technological Resources Based on Digital Governance. Sci. Manag. Res. 2023, 41, 89–97. [Google Scholar]
- Santos, F.J.; Guzman, C.; Ahumapada, P. Assessing the digital transformation in agri-food cooperatives and its determinants. J. Rural Stud. 2024, 105, 10. [Google Scholar] [CrossRef]
- Ouragini, I.; Lahal, L. The Effect of Entrepreneurial Marketing Education on the Determinants of Students’ Entrepreneurial Intention. Int. J. Manag. Educ. 2024, 22, 100903. [Google Scholar] [CrossRef]
- Krugman, P. The Increasing Returns Revolution in Trade and Geography. Am. Econ. Rev. 2009, 99, 561–571. [Google Scholar] [CrossRef]
- He, X.; Chun, D. Digital Transformation of Government Governance and Improvement of Urban Entrepreneurial Activity. Shanghai J. Econ. 2023, 9, 41–53. [Google Scholar]
- Bertrand, M.; Duflo, E.; Mullainathan, S. How much should we trust differences-in-differences estimates? Q. J. Econ. 2004, 119, 249–275. [Google Scholar] [CrossRef]
- Liu, R.; Zhao, R. Western Development: Growth Drive or Policy Trap—An Analysis Based on PSM-DID Method. China Ind. Econ. 2005, 6, 32–43. [Google Scholar]
- Zhang, J. High-speed Rail Construction and CountyEconomic Development: The Research ofSatellite Light Data. China Econ. Q. 2017, 16, 1533–1562. [Google Scholar]
- Guo, F.; Xiong, R. Local Financial Institutions and Regional Economic Growth: A Quasi-natural Experimentof City Commercial Banks in China. China Econ. Q. 2018, 17, 221–246. [Google Scholar]
- Xu, M.; Liu, J. How Interprovincial Oral Support Affects the Economic Performance of Recipient Regions–An Essay on the Multiple Mediating Effects of Economic Growth and Rural-Urban Income Convergence. Econ. Sci. 2018, 4, 75–88. [Google Scholar]
- Huang, Z. Does the Establishment of National Poverty-stricken Counties PromoteLocal Economic Development?An EmpiricalAnalysis Based on PSM-DID Methods. Chin. Rural. Econ. 2018, 5, 98–111. [Google Scholar]
- Zhang, G.; Tong, M.; Li, H.; Chen, F. Evaluation of Economic Growth Effect and Policy Effectiveness in Pilot PovertyAlleviation Reform Zone. China Ind. Econ. 2019, 8, 136–154. [Google Scholar]
- Cao, Q.-F. Driving Effects of National New Zone on Regional Economic Growth—Evidence from 70 Cities of China. China Ind. Econ. 2020, 7, 43–60. [Google Scholar]
- Ti, G.; Zhang, M.X.; Zhang, Z.Q. The impact of digital government policy on entrepreneurial activity in China. Econ. Anal. Policy 2023, 6, 479–496. [Google Scholar]



| Variable | Mean | SD | Min | Max | N |
|---|---|---|---|---|---|
| invwork cha | 4.0353 | 2.1675 | 0.0010 | 8.7773 | 1260 |
| did | 0.0444 | 0.2062 | 0 | 1 | 1260 |
| treatment | 0.1167 | 0.3212 | 0 | 1 | 1260 |
| post | 0.3810 | 0.4858 | 0 | 1 | 1260 |
| lnp gdp | 9.4015 | 0.8385 | 6.8255 | 13.4757 | 1260 |
| fin cha | 17.8869 | 15.3661 | 0.6491 | 156.8297 | 1260 |
| govspend cha | 0.7000 | 0.6612 | 0.0373 | 3.1678 | 1260 |
| sav cha | 0.2588 | 0.2652 | 0.0013 | 0.6352 | 1260 |
| industry cha | 7.1619 | 2.3114 | 0.0010 | 13.4455 | 1260 |
| VARIABLES | 1 | 2 | 3 | 4 |
|---|---|---|---|---|
| 0.712 *** | 0.922 *** | 0.248 * | −0.705 *** | |
| (0.255) | (0.215) | (0.149) | (0.174) | |
| 1.105 *** | ||||
| (0.111) | ||||
| Control | YES | YES | YES | YES |
| State FE | NO | YES | YES | YES |
| Year FE | NO | NO | YES | YES |
| Observations | 1260 | 1260 | 1260 | 1260 |
| R-squared | 0.595 | 0.727 | 0.856 | 0.768 |
| VARIABLES | 1 | 2 | 3 | 4 |
|---|---|---|---|---|
| 0.429 *** | 0.425 *** | 0.418 *** | 0.564 *** | |
| (0.160) | (0.153) | (0.156) | (0.131) | |
| Control | YES | YES | YES | YES |
| State FE | NO | YES | YES | YES |
| Year FE | NO | NO | YES | YES |
| Observations | 1022 | 1015 | 1100 | 1155 |
| R-squared | 0.881 | 0.856 | 0.856 | 0.864 |
Disclaimer/Publisher’s Note: The statements, opinions and data contained in all publications are solely those of the individual author(s) and contributor(s) and not of MDPI and/or the editor(s). MDPI and/or the editor(s) disclaim responsibility for any injury to people or property resulting from any ideas, methods, instructions or products referred to in the content. |
© 2024 by the authors. Licensee MDPI, Basel, Switzerland. This article is an open access article distributed under the terms and conditions of the Creative Commons Attribution (CC BY) license (https://creativecommons.org/licenses/by/4.0/).
Share and Cite
Xu, A.; Li, P.; Xin, X. The Impact of Digital Governance on Entrepreneurial Activity in Relatively Poor Areas: Evidence from Tibet, China. Sustainability 2024, 16, 7247. https://doi.org/10.3390/su16177247
Xu A, Li P, Xin X. The Impact of Digital Governance on Entrepreneurial Activity in Relatively Poor Areas: Evidence from Tibet, China. Sustainability. 2024; 16(17):7247. https://doi.org/10.3390/su16177247
Chicago/Turabian StyleXu, Aiyan, Pengji Li, and Xin Xin. 2024. "The Impact of Digital Governance on Entrepreneurial Activity in Relatively Poor Areas: Evidence from Tibet, China" Sustainability 16, no. 17: 7247. https://doi.org/10.3390/su16177247
APA StyleXu, A., Li, P., & Xin, X. (2024). The Impact of Digital Governance on Entrepreneurial Activity in Relatively Poor Areas: Evidence from Tibet, China. Sustainability, 16(17), 7247. https://doi.org/10.3390/su16177247
