Abstract
The COVID-19 pandemic has harmed the global tourism and hospitality industry, crippling foreign currency earnings and employment in many countries, South Africa (SA) included. This study aims to evaluate the impact of the COVID-19 pandemic on overseas tourist arrivals to SA, and to make an inference on the country’s foreign currency earnings on economic development. The Box–Jenkins methodology is used in fitting non-seasonal integrated autoregressive moving average (ARIMA) and seasonal ARIMA (SARIMA) models to quantify and characterise the number of overseas tourists to SA. The ARIMA model is the best fitting model for the overseas tourist arrivals data to SA, as confirmed by the Akaike Information Criterion (AIC). The model shows good forecasting power in the absence of the COVID-19 pandemic, as evidenced by the validation results. The difference between forecasts and actual values after the validation phase shows the negative impact of the COVID-19 pandemic on overseas tourist arrivals to SA and the challenges it poses to the statistical modelling of tourist arrivals to SA, considering the pandemic was the first of its kind. The COVID-19 pandemic exposed the tourism industry’s vulnerability to economic shocks, showing the need for aggressive marketing strategies that may revamp the tourism sectors to levels previously expected before and or after COVID-19 for sustainable development.
1. Introduction
The COVID-19 pandemic had a devastating impact on the tourism and hospitality industry worldwide, bringing international tourism to a standstill, and severely impacting a vital source of foreign currency earnings for many developed and developing countries. According to [1], the number of overnight foreign visitors worldwide plunged from 1464 million to 407 million in 2020 compared to 2019, which is a 72% drop in one year due to global lockdowns, widespread travel restrictions, and the slump in visitor demand. Prior to the pandemic, in 2019, the Travel and Tourism sector accounted for 10.5% of all jobs, that is, 334 million, and this included direct, indirect, and induced jobs, as well as 10.4% of global GDP (USD 10.3 trillion) as highlighted by [2]. In 2021, ref. [1] states that arrivals increased slightly but remained at 69% below the 2019 levels as the world was still fighting to contain the pandemic, with many countries still employing restrictions. In 2022, tourist arrivals more than doubled all around the globe, fuelled by strong demand and the easing of restrictions, compared to 2021 statistics, but still at 34% below the 2019 levels. Ref. [3] highlighted that in 2023, the Travel and Tourism sector contributed 9.1% to the global GDP, an increase of 23.2% from 2022 and only 4.1% below the 2019 level. These statistics are indeed an indication of the impact of COVID-19 towards the tourism sector all around the globe.
According to [4], the total number of tourist arrivals to South Africa between January and July 2023 reached 4.8 million, representing a remarkable 70.6% increase compared to the same period in 2022. However, while recovery towards pre-COVID numbers is promising, this is 19.0% lower than in the same period in 2019, thus highlighting the effects of the pandemic on the tourism sector. The statistics also indicate how important the sector is in income generation and contribution to economic development. In response to the crisis, the tourism industry subsequently shifted its focus to domestic tourism to facilitate a gradual recovery. Many countries, including South Africa (SA), encouraged their citizens to explore their own countries and support local businesses. However, domestic tourism does not bring forth the much-needed forex in these developing countries, and even with this shift, the COVID-19 pandemic has other far-reaching consequences on travel freedom and visitor trust, leading to further significant drops in foreign currency generated by international tourism in numerous nations.
With the rapid global expansion of international tourism, travel exports have become a fundamental driver of socio-economic progress in many countries. Ref. [5] indicated that tourism is a principal export for developing countries and the most significant source of foreign exchange after petroleum. This is, therefore, evidence that the tourism sector is a crucial contributor to foreign exchange earnings, income and employment generation, infrastructure, and technological development in the host country. Ref. [6] highlighted the significant contribution of international tourism, citing 1407 million international tourist arrivals recorded in 2018, taking into consideration the SARS outbreak and the Iraq war of 2003, as well as the 2008/9 global financial crisis, which saw a massive decline in international tourism. According to [7], tourism development is not only a catalyst for economic growth but also an effective driver for alleviating poverty. Therefore, analysing tourist flows plays a pivotal role in planning and, hence, forecasting and implementing appropriate policies to ensure the sustainable growth of tourism activities and, hence, the country’s economy. Due to tourism’s contribution to overall economic and human capital development, tourism flows from the overseas market play a crucial role in the host country. Overseas tourists in South Africa are those tourists from Europe, North America, Central and South America, Australasia, the Middle East, and Asia. Overseas tourists bring with them stronger currencies, which are used to purchase various overseas products and services needed in South Africa, thereby boosting the local economy.
The contribution of tourism to economic growth has garnered significant attention from researchers and policy makers who seek to enhance the tourism industry for improved service delivery and overall economic development in African countries. Ref. [8] emphasised that tourism has become a global phenomenon, playing a vital role in economic development and shaping the image of countries worldwide. Consequently, it is crucial to explore alternative approaches that ensure the tourism sector remains resilient, even during pandemics. Alternatives include digital tourism coming from the increase in various online activities that have since been introduced as a result of the COVID-19 pandemic. Traditionally, international tourist arrivals and tourism receipts have been regarded as important indicators for assessing the significance of tourism worldwide and in specific countries [9]. Ref. [10] supports the claim that tourism contributes positively to the economy and emphasises the significant contribution of tourism receipts to the GDP and economic growth of sub-Saharan African countries. According to [11], international tourist arrivals in Africa increased slightly to 62.9 million in 2016 compared to 62.5 million in 2015, representing a 0.64% increase. Of the slight increase in tourist arrivals to Africa in 2016, the sub-Saharan region recorded an 8.9% increase, with SA even surpassing the 10 million tourist arrivals for the first time, which was a 12.8% increase from tourist arrivals they received in 2015.
The peaceful elections of 1994 in SA marked the end of the apartheid era and had a profound effect on tourist arrivals in the country [12]. The peaceful elections improved security, making SA a safe tourist attraction destination. According to [13], SA experienced substantial growth in overseas tourist arrivals between 1995 and 2008. SA recorded an average annual increase in tourist arrivals of 9.7%, while countries such as Nigeria, Ghana, Angola, and Ethiopia recorded even higher annual increases of 21.42%, 21.03%, 20.13%, and 15.74%, respectively. Ref. [14] acknowledged the remarkable growth of SA’s tourism industry. They noted that tourist arrivals in SA increased from less than 1 million foreign tourists in 1990 to almost 10 million by 2007. SA is now ranked among the most popular countries for tourists in Africa, which made it realise close to 3.8 million international tourists in 2020 according to Tourism SA [13].
Ref. [15] highlighted the contribution tourism was making towards GDP and the creation of employment. This report postulated that about 9.6 million foreign tourists visited SA in 2008, which is a 5.5% increase considering the 9.1 million foreign tourists who had visited SA in 2007. This report also highlighted an increase to GDP due to tourism from R162.9 billion in 2007 to R194.5 billion in 2008, thus implying the importance of the tourism sector in economic development. Direct and indirect jobs created by the tourism sector between 2007 and 2008 indicate a 10% increase, that is, from 946,300 jobs in 2007 to 1,041,700 in 2008, thus highlighting the potential for a greater contribution to the SA economy during the 2010 World Cup that was to be in SA. The authors of [16] pointed out that SA experienced an increase in trade balance as it recorded USD 10,484 billion in 2014 when compared to USD 8,684 billion in 2009. The increase in trade balance is to a greater extent an indication of economic growth, competitiveness on the international arena, and industry performance as examples.
A total of 8,903,773 international tourists visited SA in 2015 according to [17]. The contribution of the tourism sector to the economy was projected to be R124.4 billion in 2020, from R91.2 billion in 2015 according to the South African Tourism’s strategic plan and Annual Performance Plan of 2015. In this plan, a strong growth in tourist arrivals of 15.4% was realised in the first 6 months of 2016. According to [18], the travel and tourism sector contributed 6.4 percent of the GDP of SA in 2019, and this share declined to 3.2% in 2021 due to the COVID-19 pandemic.
SA’s tourism platform encompasses, among others, the rich cultural diversity and natural beauty. This has made local and foreign tourism more attractive and eye-catching. The destinations are complex areas of interest that saw many tourists frequenting the Kruger and Kalahari national parks, Table Mountain in Cape Town, Victoria and Alfred Waterfront in Cape Town, False Bay in Cape Town, Chapman’s Peak Drive in Cape Town, and Two Ocean’s Aquarium and Kirstenbosch Botanical Gardens in Cape Town, among other areas. Apart from its natural beauty and rich cultural diversity, SA boasts of having hosted many regional and international events since its first elections in 1994. It hosted the 1995 Rugby World Cup, the African Cup of Nations and the World Cup of Golf in 1996, the 1998 World Cup of Athletics, and the 2003 Cricket World Cup, leading up to the largest of them all, the 2010 FIFA World Cup. These events attracted international tourists, marketed the SA tourism industry, and consequently fuelled the growth of various economic sectors such as transport, food, and accommodation.
Sustainability is vital in almost every facet of life, including the tourism industry, as it ensures continuity. Ref. [19] highlighted that sustainable tourism ensures a constant stream of income for economic development, especially for economies that depend substantially on the tourism industry for their prosperity. Therefore, despite having a constant stream of income, proper ways need to be tabled and maintained for the sustainability of tourism products. Refs. [20,21] highlighted the importance of community engagement in the tourism industry when they pointed out that tourism may lead to cultural degradation and the disruption of communities in the destination country. This is, therefore, a cause for concern, considering we are now in the 21st century, where digitalisation is also contributing towards cultural and moral decadence. Therefore, the interconnectivity among the various sectors of the economy indicates how delicate and volatile the tourism sector is. The tourism industry in SA can best be described using a graph in Figure 1 regarding the industry’s contribution to other sectors.
Figure 1.
SA’s sustainable tourism model. Source: author’s own work.
The arrival of tourists in a host country is governed by many factors, such as the purchasing power of money, a sound legal environment that facilitates good and balanced policing, access to good roads, and community engagement, as this may affect the tourists’ security and acceptance as well as a stable political environment for the safety of both tourists and the local communities. The ecosystem (natural and man-made) such as the Kruger National Park, botanical gardens, and places like Table Mountain, among other places, have played a great role in SA’s tourism industry due to the number of tourists they attract from overseas markets, hence the need for proper management and preservation techniques that will help avoid disturbance to the natural environment. This ensures that there are no issues of having more tourists than a resort can adequately accommodate and/or manage that may end up tarnishing the image of the resort and or having more tourists than needed at one go at a certain safari, which may end up leading to the insecurity of tourists during a game drive or having many tourists at a botanical garden that may disturb the garden’s ecological system.
Culture also plays a vital role in the tourism industry; hence, its preservation from decadence is crucial as other tourists may visit SA just for its rich cultural diversity. Ref. [22] highlighted the potential SA has in increasing tourist arrivals for cultural tourism-based products, considering the rich, diverse cultures SA prides itself on. Pandemics such as COVID-19 have shown how critical they are in disrupting the tourism industry as it saw movement from the overseas market being crippled, thus hindering economic growth, jobs, air and road travel, and hotel business as examples. Tourism is a driver of prosperity and a reducer of poverty in rural South African towns, with stronger tourism and hospitality sectors leading to overall wealthier communities, according to [23]. This validates tourism’s vital contribution to achieving Sustainable Development Goals (SDGs) by the SA government, contributing to why many researchers have shown more interest in modelling tourist arrivals.
In 2011, the Department of Tourism (DoT) crafted the National Tourism Sector Strategy (NTSS) to inspire and accelerate the sustainable development and growth of the tourism industry from 2010 to 2020. Other strategies adopted include the Domestic Tourism Growth Strategy (DTGS) 2012–2020 to improve the local awareness of tourism activities. Despite the different strategies that were formulated, their main thrust is to make the SA tourism sector more visible than before in the different areas of influence. Ref. [24] highlighted the issues that have made the SA tourism industry competitive since its democratic elections from apartheid in 1994. Therefore, considering the different growth strategies of the tourism sector for economic development also helps achieve the various SDGs the tourism sector contributes to directly or indirectly. The interconnectivity of the tourism sector ensures that the sector contributes towards the SDGs such as SDGs 1, 8, 9, 11, and 15. For instance, locals’ income through sales to tourists may help reduce household poverty and the government’s building of airports and roads, thus contributing towards SDG 9. Community buy-in on tourism initiatives is another example, and it ensures advocacy for sustainable, clean cities and communities. As they lure in tourists, employment creation by the tourism sector also addresses SDG 8 on decent work and economic growth. The proper managements of locals, botanical gardens, and safaris are examples, and they also ensure contributions towards SDG 15 on life on land, among other examples.
The statistical information on the nature, progress, and consequences of tourism in SA is mainly based on arrivals and overnight stay statistics, balance of payments (BoP) information, and South African Tourism (SAT) surveys [25]. According to [11], SA was recorded among the top ten countries with tourism contributing highly to employment (direct, indirect, and induced) in 2017, thus indicating how the tourism sector thrived in SA before the pandemic. With the COVID-19 pandemic disabling the tourism and hospitality sector worldwide, SA’s tourism sector was not spared. This, therefore, necessitates determining the impact of the COVID-19 pandemic on overseas tourist arrivals and, hence, finding ways of dealing with future pandemics. In SA, a drop in foreign tourist arrivals of 71% from just over 15.8 million in 2019 to less than 5 million in 2020 was recorded, according to [26]. This report also states that the overall number of travellers decreased by 50.7% over 15 years, from 24.6 million recorded in 2006 to 12.1 million travellers recorded in 2020. It is further stated in this report that the volume of tourists decreased from 10.2 million in 2019 to 2.8 million in 2020, with only 23.6% of overseas tourists. This is some of the evidence on the effect that the COVID-19 pandemic had on the tourism sector in SA.
Forecasting models such as time series models are critical in forecasting future trends in tourist arrivals. The number of tourists visiting a particular country or its destination can always be inferred as roughly a historical proportion of past total arrivals. This can, therefore, imply that good forecasting is necessary to increase tourism growth in a manner that can benefit local communities and the host government. Forecasting in the tourism industry helps with the optimal utilisation of tourism products by tourism-related businesses for maximised returns. Forecasting can also necessitate community buy-in, allowing policy makers to engage with communities before embarking on major groundbreaking tourism projects. Community engagement also strengthens family income as communities embark on projects that can help them earn money from tourists through weaving baskets, bangles, and necklaces which are examples of income-generating projects for income sustainability at lower local levels.
This study aims to apply univariate time series models on overseas tourist arrivals to SA, to forecast overseas tourist arrivals assuming the COVID-19 pandemic did not occur and comparing these forecasts with observed arrivals, and hence to evaluate the impact of the pandemic on SA’s tourism sector. Modelling and forecasting SA’s overseas tourist arrivals are crucial as they allow for the planning and development of commercially sustainable tourism activities in the country. Forecasting is important for practical tourism policy development, description, planning, and investment decision making in both the private and public sectors. Thus, if the tourism industry is not properly managed and without government and community engagement strategies, it poses greater risks to the host country’s human lives, culture, and ecosystem. Some resort areas may end up being ghost towns, and others may be overused, thus affecting the sustainability of the tourism products. This is also supported by [27], who highlighted that though it is good to increase revenue collected from tourism-related businesses, it is more prudent not to do so at the expense of sustainable tourism development. Therefore, it is critical to consider the proper description, planning, and budgetary control measures in the tourism sector, which will ensure proper management of the tourism sector for increased market share, visibility, and sustainability, which will be facilitated through statistical forecasting models.
The Box–Jenkins-based quantitative approach, in the form of SARIMA models, will be adopted because of its ability to generate good forecasts. Modelling tourist arrivals is important as it helps address issues such as which tourism products to offer, scheduling and staffing, planning and designing tour operator brochures, and making various investments in aircraft, hotels, and other infrastructure. The industry must be resilient and withstand economic shocks, such as pandemics.
The following parts of this study are organised: The second section introduces the relevant literature. The third section explains the details of the proposed research methodology. The fourth section presents this study’s results and its practical implications. The fifth section discusses the results. The sixth section is on the conclusions of this study. The seventh section provides recommendations for future research.
2. Literature Review
Ref. [28] highlighted the use of historical data to forecast tourism demand by various researchers as generally falling into three categories: time series models, econometric models, and artificial intelligence-based models. Ref. [29] recently provided a review of the tourism demand forecast. The authors concluded that no single method worked well for all situations after reviewing 211 key papers published between 1968 and 2018. The authors also called for the evolution of forecasting methods, though the usage of existing methods still proves to be good in modelling tourist demand. The focus of this study is on time series models which only require historical data, such as this study only requiring the arrivals of tourists from the overseas market to SA. Ref. [30] justified the need for using time series models when he postulated that pure time series-based approaches are better than the models with explanatory variables, after comparing univariate and multivariate time series approaches, and econometric models. The authors used data from 66 monthly series, 427 quarterly series, and 518 yearly series in their analysis.
Ref. [31] developed a seasonal integrated autoregressive moving average (SARIMA) model for forecasting tourist arrivals to SA, marking it as one of the pioneers in forecasting SA tourist arrivals. Since 2010 to date, there has been a positive development in research conducted on tourism forecasting in SA, including research by [14,32]. The research on forecasting tourism demand in SA is still very limited, hence the need for more contributors in this area for improved forecasting results. Increasing the number of international visitors is a crucial objective for the SA government. Forecasting is one strategy to inform and plan and hence promote a rise in the number of international visitors.
Ref. [31] considered forecasting tourist arrivals for the overseas market only (Great Britain, Germany, the USA, the Netherlands, and France). The aim was to model and forecast tourism demand in SA from the country’s main intercontinental tourism markets. The objective was to come up with accurate forecasts of tourism demand, considering the increasing number of tourists yearly from 1994 and tourism’s resilience despite the various emerging markets crises. The authors adopted the naive model, Holt–Winters exponential smoothing, the standard ARIMA model, and the seasonal ARIMA models. Their results showed that the SARIMA model proved to model the data well over three time horizons, viz., three months, six months, and twelve months.
Numerous studies have been conducted on predicting tourism demand using time series models, including by authors: [33,34,35]. Ref. [36] analysed and predicted the demand for foreign tourism in Macedonia. The Box–Jenkins method was used, and an ARIMA (1,1,1) model was found to be the best model for the data based on the AIC and the Schwarz information criterion (SIC). The model’s predictions indicated a rise in the number of future foreign visitors. International Germain visitors were modelled by [37] in Croatia. The Box–Jenkins methodology was employed, and a SARIMA (0,0,0)(1,1,3)4 model was found to be adequate in modelling and analysing the tourist arrivals from Germany to Croatia.
Using a SARIMA model, ref. [38] modelled and projected monthly foreign tourists to Zanzibar. The SARIMA (1,1,1)(1,1,2)12 model was shown to be best, as suggested by the AIC goodness-of-fit measure. The mean absolute percentage error (MAPE) and root-mean-squared error (RMSE) were used to confirm the model’s forecasting accuracy. The model’s projections showed that international visitors to Zanzibar were anticipated to grow with a seasonal pattern, as depicted in the original data.
Ref. [39] used the ARIMA (2,1,0) model to predict international tourism demand in Zimbabwe. An increase in future international tourism demand was noted. Using the Box–Jenkins approach, ref. [40] modelled and projected the demand for foreign travel to the Puno region of Peru. The SARIMA (6,1,24)(1,0,1)12 model was shown to be effective at simulating and predicting the demand for foreign travel in the Puno region using the MAPE and AIC goodness-of-fit measures.
While modelling foreign tourist arrivals in Indonesia, ref. [41] acknowledged the seasonality in foreign tourists and adopted a SARIMA model for the data. The ARIMA (0,1,0)(1,1,0)12 model was considered the best model and future predictions were made, indicating an increase in Indonesia’s foreign tourists. Furthermore, the results show that the arrival of foreign tourists in Indonesia had increased in each period.
Though the overseas market contributes more than its counterparts in terms of tourism earnings, due to their powerful currencies, there is a need to consider all international tourism data as these will help feed into the different strategies the South African tourism body is crafting. This will ensure that the best linkages and strategies are ensured for improved relations that will see increased tourist arrivals and tourist spending from all international tourists. The impact of the COVID-19 pandemic on the global tourism and hospitality industry, especially in the context of economic contributions, remains an underexplored area in the context of SA. The scarcity of inclusive studies on this specific subject highlights the need for an investigation and analysis worldwide, SA included. SARIMA has proven its good performance in various situations, as highlighted in the review paper by [29]. This study will, therefore, consider univariate time series models for monthly data from all overseas countries that visit SA, making it one of the few studies of this kind for the South African tourism industry.
3. Methodology
The methodology in [42] involves three main steps: model specification or identification, parameter estimation or fitting, and checking the fit with goodness-of-fit diagnostics. Model parameters are estimated through the maximum likelihood estimator (MLE) method and diagnostic checking is performed through an examination of residuals for autocorrelation, normality, and stationarity. If the model is good, forecasting is performed.
3.1. Autoregressive Moving Average (ARMA) (p, q) Processes
The autoregressive moving average (ARMA) was developed by [43] and can be expressed as
where represent overseas tourist arrivals at time , and and are model parameters of the auto-regressive (AR) and moving average (MA) process components, respectively. is a drift parameter and is a white noise process.
3.2. ARIMA () and SARIMA Model
The ARIMA model is an extension of the ARMA model with an extra function for differencing the time series d times to make it stationary. Differencing is required to make the data stationary since most time series tourism data are not stationary. However, it is important not to difference the data more than twice as this would imply losing the essence of the original data series. On model specification, it is crucial to adhere to the principle of parsimony, which ensures that the model has the least unknown parameters. Adhering to the principle of parsimony helps ensure model quality and reliability due to the minimum number of unknown parameters that must be estimated and fitted. An ARIMA model can be expressed as
where p, d, and q represent the non-seasonal AR component, non-seasonal difference, and non-seasonal MA component, respectively. and are vector non-seasonal AR and MA model parameters, respectively; is a white noise process; and B is the backward shift operator (B =. A SARIMA model can be expressed as
where P, D, and Q represent seasonal AR, seasonal difference, and seasonal MA orders, respectively. and are vector seasonal AR and MA model parameters, respectively, with and
3.3. Data Transformation and Stationarity Test
The Box–Cox transformation plot is to be used to examine the need to adopt any possible data transformation techniques to make it stationary. The Kwiatkowski–Phillips–Schmidt–Shin (KPSS) test is used to examine the stationarity of overseas data.
3.4. Model Adequacy
The mean absolute percentage error (MAPE), mean absolute error (MAE), root-mean-squared error (RMSE), and mean absolute scaled error (MASE) were used to assess model adequacy. Measures such as MAPE and MASE are commonly used in evaluating the goodness-of-fit as highlighted by [14,31].
4. Results
All the data used in this analysis are obtained from Statistics SA’s Tourism and Migration P0531 reports, from January 2009 to December 2023. These reports are available on https://www.statssa.gov.za/ (accessed on 26 February 2024) under the Tourism and Migration publications. The training data span from January 2009 to February 2019 with the validation data spanning from March 2019 to February 2020. The R version 4.2.2 software package is used in this research.
4.1. Summary Statistics of the Dataset
Descriptive statistics for the data are determined and shown in Table 1.
Table 1.
Descriptive statistics.
On average, SA received 171,977 overseas tourists per month over the period from January 2009 to December 2023. Thus, a lot of foreign currency can be generated from these overseas tourists. The minimum number of overseas tourists received in SA was 315 in May 2020 with a maximum of 277,345 in June 2010 (period of the FIFA World Cup). The large difference between the maximum and minimum number of overseas tourists shows high variability, showing seasonality and other effects, including the impact of COVID-19 on the tourism sector. A plot of overseas tourists is shown in Figure 1.
The plot in Figure 2 indicates the data of overseas tourist arrivals from January 2009 to December 2023. The data from January 2009 to February 2019 are considered the training period, and data from March 2019 to February 2020 are the validation period. The data from March 2020 to December 2023 are the test dataset. The data in Figure 2 follow a seasonal pattern, with the highest figure recorded in June 2010 and the lowest figure obtained in May 2020. The June 2010 figure is attributed to the Soccer World Cup hosted in SA, while the reasons for the sharp decline in May 2020 are attributed to the COVID-19 pandemic and the measures taken to contain the virus. The Box–Cox method is used to find the best transformation to achieve normality in the dataset, and the results are shown in Figure 3.
Figure 2.
The time plot for overseas tourist arrivals to SA from January 2009 to December 2023.
Figure 3.
Box–Cox plot.
With the value of lambda close to one as shown in Figure 3, no transformation is needed. The decomposition of the data is carried out and shown in Figure 4.
Figure 4.
Decomposition of additive time series.
Figure 4 indicates the various components present in the overseas tourist arrivals training data. The graph in Figure 4 shows a fluctuating observed series in the top subplot, with the trend series showing a cyclical gradually increasing pattern in the second subplot. The graph also shows the presence of strong seasonality in the third subplot. The last subplot shows the random component. A large random component fluctuation was observed in 2010. Stationarity tests using the KPSS, under the null hypothesis that overseas tourist data are stationary, are performed on both the original and seasonally differenced overseas tourist arrivals to SA, and the results are shown in Table 2.
Table 2.
ADF test results of log-transformed data .
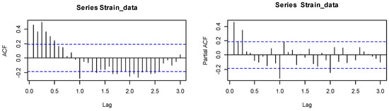
According to the KPSS test results, the first differenced series shows a p-value of 0.01 (<0.05), and the data are not stationary. The seasonal differenced data confirm stationarity (p-value of 0.1 > 0.05). The PACF and ACF plots were produced in determining a tentative model as shown in Figure 5.
Figure 5.
ACF and PACF plots of the seasonal differenced overseas series.
From Figure 5, the ACF plot decays at a very slow rate with the presence of some spurious lags, whilst the PACF cuts off at lag 3 with the presence of spurious lags as well. These plots in Figure 5 suggest an ARIMA (3,0,0)(2,1,0)12 model. The EACF in Table 3 is also used in confirming a tentative model.
Table 3.
The EACF plot of the seasonal differenced overseas tourist arrivals data.
Table 3 suggests candidate models such as ARIMA (3,0,0)(0,1,0)12. The tentative model and other potential models are fitted, and results are tabulated in Table 4.
Table 4.
Model selection and adequacy checking.
From Table 4, the model with the lowest values of AIC is the ARIMA model with drift and is considered the best model by the AIC. The AIC is a valuable tool for model selection as it facilitates the comparison of different models and promotes model parsimony, as well as striking a balance between goodness of fit and complexity, hence its importance in model section. The significance of model parameters is now determined, and the results are shown in Table 5.
Table 5.
Model parameters of the ARIMA model with drift5.
The p-values of the AR, MA, and SMA coefficients are all less than 0.05, thus highlighting the significance of the ARIMA model, as shown in Table 5. The p-value for drift is 0.0797, implying that it is statistically significant at the 10% significance level. The model captures the seasonality and trend in the tourist arrivals. The standardised residuals of the ARIMA model are shown in Figure 6.
Figure 6.
Residual plot of the ARIMA model.
The histogram plot in Figure 6 approximates a normal distribution from visual inspection, which is a good measure for model adequacy. The Box–Pierce test for residuals is performed in examining independence as a model adequacy prerequisite. A p-value of 0.8401 > 0.05 is obtained, thus indicating that there is no significant autocorrelation in the residuals, thus cementing the adequacy of the model for use. The ARIMA model can be written in full as
The model is used for forecasting, and the forecasts are presented in Figure 7.
Figure 7.
Plot of train, forecasts, and validation data on overseas tourist arrivals.
A plot of the training data, forecasts, validation, and actual data is carried out as shown in Figure 7. The period between March 2019 and February 2020 is the validation period (the period between the green lines in Figure 7). The period is evidence enough of the good forecasting power of the fitted SARIMA model. The blue lines are the forecasts, had the COVID-19 pandemic not occurred, and the black solid line represents the original observations before the onset of the pandemic. The red line represents the original observations after the onset of the pandemic.
Forecasts are then made until December 2025, making it an 82-month-ahead forecast. The forecasts are then used in assessing the impact of the COVID-19 pandemic on SA’s overseas tourist arrivals when comparing the forecasts to the observed actual after the onset of the pandemic. Figure 6 confirms that the ARIMA model is a good fit, especially in the absence of the rare event, the COVID-19 pandemic. The sharp decline in the number of overseas tourist arrivals to SA between March 2020 and May 2023 is evidence of the impact of the COVID-19 pandemic on the tourism and hospitality sector. This came about as a result of the containment measures, such as economic lockdowns by the government of South Africa in efforts to prevent the spread of the virus. The COVID-19 era shown in Figure 6 is the period that saw a series of strict measures taken in trying to contain the spread of the virus. The COVID-19 economic lockdown was declared on 26 March 2020 in South Africa. The large difference between ARIMA model forecasts and actual data (red line) is evidence of the negative impact of COVID-19 on overseas tourist arrivals to SA. The World Health Organisation declared that the COVID-19 pandemic was no longer a public health emergency on 5 May 2023. The period between the two dates in Figure 6 is the COVID-19 era. The period beyond 5 May 2023 is indicated in the plot as the post-COVID era.
The impact of the COVID-19 pandemic is seen through the difference between the forecasted (blue line) and the actual observations (red line). The figures/numbers for the plots are given in Annexure 1. The differences show the dynamics experienced in the tourism sector after the economic lockdown had been introduced, and when they were lifted. The tourism recovery started well within the COVID-19 era.
4.2. Practical Implications
In examining SA’s specific case, this study contributes to the wider understanding of the depth of the challenges faced by countries that rely on tourism as an economic driver due to the COVID-19 pandemic. The impact of the pandemic resulted in the loss of employment, reduced foreign currency earnings, and loss of life, among other losses. The model estimated in this paper gives a virtual picture of the dynamics of the overseas tourist arrivals to SA before, during, and after the COVID-19 pandemic. The model’s graphical presentations show how badly the tourism sector was hit by the COVID-19 pandemic. Therefore, it is recommended that diversification through partnering with different institutions in developing new tourism-based products and increasing online marketing programmes through different influential socialites may give the needed impetus to a quick recovery. This initiative could help ensure that the tourism sector does not succumb to the different shocks that may affect the tourism sector.
5. Discussion
The results of this study indicate that the ARIMA model plays a crucial role in forecasting tourist arrivals in SA, especially in the absence of pandemics such as the COVID-19 pandemic. This is justified by the difference between the forecasted and actual values recorded during the COVID-19 era (see Appendix A), adversely impacting other sectors that heavily depend on tourism, such as the food retail industry and hotel and accommodation business. The COVID-19 containment measures saw various governments employing travel restrictions, which adversely impacted the tourism accommodation sector, making them inoperative ([44,45]). Ref. [46] highlighted the decline in the food retail sales experienced during the COVID-19 era in SA’s food retail supply chains, as many had their sources of income crippled. Ref. [47] pointed out the economic effects of the COVID-19 pandemic on the accommodation sector, indicating that the accommodation sector was massively disrupted, leading to a serious decline in revenue and a major threat to business and job security in SA. Ref. [17] indicated that in SA, the volume of tourists dropped by 72.6% from 10,228,593 in 2019 to 2,802,320 in 2020 and declined by 19.5% between 2020 and 2021. The major threat to the accommodation sector caused by the COVID-19 pandemic was also highlighted by [48] as they cited hotels in the United States of America (US) that lost almost USD 446 billion in revenue as of 30 July 2020.
The SA tourism industry contributes significantly to the country’s GDP. This contribution was reduced at the onset of the COVID-19 pandemic. The time series forecasting of tourist arrivals effectively provides information for the description, planning, budgeting, re-organisation, growth, and resuscitation of the tourism industry, especially overseas tourist arrivals in SA in the aftermath of a pandemic. Therefore, the contributions of statistical analysis through exploratory data analysis and forecasting play a pivotal role in informing decisions to be made through various statistics towards relaunching tourism and other sectors such as the transportation, air, agriculture, and health sectors. Over and above, aggressive tourism marketing may be crucial in this post-pandemic era in trying to reach the forecasted tourist arrival levels projected before the onset of the COVID-19 pandemic to support Sustainable Development Goals (SDGs). This is justified by the continuing growth in the tourism sector in terms of tourism arrivals [49], though not yet to the levels before the COVID-19 pandemic.
The tourism sector can equip communities with self-reliant skills that help generate income and employment and improve tourism visibility. These initiatives help alleviate major economic shocks after a pandemic. This is done to the economy at large, through the tourism and hospitality sector when properly implemented. The need for subsidisation and offering low-interest-rate loans to the hard-hit tourism sector to improve the sector recovery rate can never be over-emphasised.
6. Conclusions
The modelling of overseas tourist arrivals plays a vital role in the description, planning, budgetary control, policy making, and decision making, as forecasts generated by the fitted model may significantly help in dealing with the optimal use of available data/information to inform on various products and services needed for tourism growth. The data and model used in this study show strong seasonal and regular fluctuations. The ARIMA model was considered the best model based on the AIC, and the model parameters were all statistically significant, thus suggesting that each model component contributes to the overall fit of the model. The model includes the seasonal and the non-seasonal components, which further suggests the need to consider the seasonality of the tourism products when planning for overseas tourists for maximum utilisation of the seasonal products. Given the ARIMA model performance and significance of the parameters, the model is deemed reliable in forecasting future tourist arrivals for SA. The forecasts obtained using pre-COVID-19 data indicate an increasing seasonal pattern that represents its past behaviour, thus highlighting the need for using forecasts in planning how best to improve tourist arrivals to SA. Modelling overseas tourist arrivals plays a vital role in decision making, as forecasts generated by the fitted model may significantly help deal with the optimal use of available data/information to inform about various products and services needed for tourism growth. The model showed good forecasting power in the absence of the COVID-19 pandemic, thus highlighting that the forecasting of tourist arrivals plays a major role in the tourism sector for describing, planning, and budgetary control.
Considering that the COVID-19 pandemic is a random event, their consequences are events that are not subject to any forecasts. This is necessitated by the fact that it is very difficult to predict their nature, size, and consequences. However, random events like COVID-19 do not invalidate the need for forecasting, due to the various benefits forecasting has in preparing for the future in an optimal allocation of resources through planning and budgetary control. Forecasts of tourist arrivals to a host country ensure tourism development as respective authorities prepare in advance all that is needed to accommodate the tourists with the least-cost method, providing and ensuring community buy-in. This also ensures that locals come up with ways of accommodating tourists that will help generate income for themselves and the country at large, as well as sustainable ways of managing tourists in the long run for the benefit of all locals and tourists. This is supported by [50], who postulated that tourism development contributes to poverty reduction in Sub-Saharan African countries, supporting the workability of a pro-poor tourism policy agenda.
With lessons learnt from the COVID-19 pandemic, forecasting allows regenerative tourism, which helps restore and improve our views on the environment, culture, marketing, and the economic growth of the SA economy in managing the number of tourists that can access a destination. Therefore, forecasting helps manage tourists at any given time. For instance, tourists at the Kruger National Park need to be managed for security due to the nature of the various wild animals in the park and at the Botanical gardens to avoid disturbing the natural environment. Hence, the proper management of tourists needs to be prioritised through forecasts as this helps ensure that there is no understaffing that may lead to tourists not recommending our tourism sites, which will, in turn, impact future employment and investor confidence.
7. Future Work
Though SARIMA models have proved to model tourism data well, there is a need to consider other models that accommodate interruptions in a dataset, such as the time series models with intervention effects as well as artificial intelligence (AI)-based models in comparison with SARIMA models and the inclusion of AI in the tourism industry.
Author Contributions
M.C., writing—original draft preparation; D.C., writing—review and editing, supervision; T.M., writing—review and editing, supervision. All authors have read and agreed to the published version of the manuscript.
Funding
This research received no external funding.
Institutional Review Board Statement
Not applicable.
Informed Consent Statement
Not applicable.
Data Availability Statement
The dataset is available at the following link: https://www.statssa.gov.za/, accessed on 26 February 2024.
Conflicts of Interest
The authors declare no conflicts of interest.
Appendix A
Table A1.
Overseas tourist forecasts.
Table A1.
Overseas tourist forecasts.
| Date | Predicted | Actual | Date | Predicted | Actual |
|---|---|---|---|---|---|
| 2019-03 | 250,522.9 | 236,647 | 2022-08 | 237,275.8 | 132,757 |
| 2019-04 | 203,311.3 | 217,131 | 2022-09 | 232,158.1 | 126,409 |
| 2019-05 | 172,101.8 | 166,227 | 2022-10 | 280,244.5 | 151,189 |
| 2019-06 | 156,865.6 | 154,361 | 2022-11 | 281,002.5 | 159,771 |
| 2019-07 | 209,280 | 192,277 | 2022-12 | 286,866.8 | 190,667 |
| 2019-08 | 217,020.7 | 213,074 | 2023-01 | 262,534.8 | 187,189 |
| 2019-09 | 212,121 | 200,571 | 2023-02 | 277,191.6 | 192,835 |
| 2019-10 | 260,402.4 | 248,673 | 2023-03 | 278,442.9 | 187,631 |
| 2019-11 | 261,334.5 | 247,136 | 2023-04 | 230,843.3 | 160,647 |
| 2019-12 | 267,354.3 | 256,796 | 2023-05 | 199,287 | 132,443 |
| 2020-01 | 243,161.3 | 242,550 | 2023-06 | 183,740.9 | 123,069 |
| 2020-02 | 257,942.3 | 248,037 | 2023-07 | 235,878.5 | 161,376 |
| 2020-03 | 259,304.6 | 110,241 | 2023-08 | 243,371.9 | |
| 2020-04 | 211,804.1 | 507 | 2023-09 | 238,251.3 | |
| 2020-05 | 180,336.4 | 315 | 2023-10 | 286,335.2 | |
| 2020-06 | 164,869.4 | 549 | 2023-11 | 287,090.8 | |
| 2020-07 | 217,077.7 | 873 | 2023-12 | 292,953.1 | |
| 2020-08 | 224,634.3 | 1950 | 2024-01 | 268,619.3 | |
| 2020-09 | 219,570.1 | 2084 | 2024-02 | 283,274.4 | |
| 2020-10 | 267,704.4 | 8325 | 2024-03 | 284,524.4 | |
| 2020-11 | 268,505.2 | 15,520 | 2024-04 | 236,923.4 | |
| 2020-12 | 274,407.7 | 36,357 | 2024-05 | 205,365.9 | |
| 2021-01 | 250,109.9 | 13,687 | 2024-06 | 189,818.8 | |
| 2021-02 | 264,797.2 | 10,745 | 2024-07 | 241,955.5 | |
| 2021-03 | 266,075.8 | 17,548 | 2024-08 | 249,448 | |
| 2021-04 | 218,500.5 | 19,915 | 2024-09 | 244,326.7 | |
| 2021-05 | 186,965.9 | 20,762 | 2024-10 | 292,409.9 | |
| 2021-06 | 171,439.3 | 24,548 | 2024-11 | 293,165 | |
| 2021-07 | 223,594.3 | 22,877 | 2024-12 | 299,026.8 | |
| 2021-08 | 231,103.2 | 28,157 | 2025-01 | 274,692.5 | |
| 2021-09 | 225,996.4 | 34,895 | 2025-02 | 289,347.2 | |
| 2021-10 | 274,092.7 | 59,475 | 2025-03 | 290,596.8 | |
| 2021-11 | 274,859.5 | 73,679 | 2025-04 | 242,995.5 | |
| 2021-12 | 280,731.6 | 51,516 | 2025-05 | 211,437.7 | |
| 2022-01 | 256,406.7 | 64,714 | 2025-06 | 195,890.3 | |
| 2022-02 | 271,069.7 | 93,899 | 2025-07 | 248,026.8 | |
| 2022-03 | 272,326.7 | 108,974 | 2025-08 | 255,519.1 | |
| 2022-04 | 224,732 | 119,518 | 2025-09 | 250,397.6 | |
| 2022-05 | 193,180.2 | 92,368 | 2025-10 | 298,480.6 | |
| 2022-06 | 177,638.1 | 87,685 | 2025-11 | 299,235.6 | |
| 2022-07 | 229,779.3 | 122,720 | 2025-12 | 305,097.2 |
References
- World Tourism Organization. International Tourism Highlights, 2023 Edition—The Impact of COVID-19 on Tourism (2020–2022); UNWTO: Madrid, Spain, 2023. [Google Scholar] [CrossRef]
- World Travel and Tourism Council (WTTC). 2020. Available online: www.wttc.org (accessed on 18 June 2024).
- World Travel and Tourism Council (WTTC). 2023. Available online: www.wttc.org (accessed on 18 June 2024).
- Statistics South Africa. 2023. Available online: https://www.statssa.gov.za/publications/SAStatistics/SAStatistics2023.pdf (accessed on 10 June 2024).
- World Tourism Organisation. Tourism and Poverty Alleviation; United Nations World Tourism Organization: Madrid, Spain, 2002. [Google Scholar]
- Durant, I. Tourism a Lifeline in Free Fall. 2020. Available online: https://unctad.org/en/pages/newsdetails.aspx?OriginalVersionID=2341 (accessed on 23 January 2024).
- Medina-Muñoz, D.R.; Medina-Muñoz, R.D.; Gutiérrez-Pérez, F.J. The impacts of tourism on poverty alleviation: An integrated research framework. J. Sustain. Tour. 2015, 24, 270–298. [Google Scholar] [CrossRef]
- Hall, C.M. Constructing sustainable tourism development: The 2030 agenda and the managerial ecology of sustainable tourism. J. Sustain. Tour. 2019, 27, 1044–1060. [Google Scholar] [CrossRef]
- Papatheodorou, A.; Pappas, N. Economic Recession, Job Vulnerability, and Tourism Decision Making: A Qualitative Comparative Analysis. J. Travel Res. 2017, 56, 663–677. [Google Scholar] [CrossRef]
- Fayissa, B.; Nsiah, C.; Tadasse, B. Impact of tourism on economic growth and development in Africa. Tour. Econ. 2008, 144, 807–818. [Google Scholar] [CrossRef]
- African Development Bank Group: African Tourism Monitor. 2018. Available online: https://www.afdb.org (accessed on 18 June 2024).
- Rogerson, C.M.; Visser, G. International Tourist Flows and Urban Tourism in South Africa. Urban Forum 2006, 17, 199–213. [Google Scholar] [CrossRef]
- Fourie, J.; Santana-Gallego, M. The impact of mega-events on tourist arrivals. Tour. Manag. 2011, 32, 1364–1370. [Google Scholar] [CrossRef]
- Saayman, A.; Botha, I. Evaluating Non-Linear Approaches in Forecasting Tourist Arrivals. ERSA Working Paper 492. 2015. Available online: https://citeseerx.ist.psu.edu/viewdoc/download?doi=10.1.1.667.741&rep=rep1&type=pdf (accessed on 5 November 2023).
- South Africa Government. 2023. Available online: https://www.gov.za/news/media-statements/tourism-rise-tourist-visits-south-africa-27-jul-2023 (accessed on 10 April 2024).
- South Africa Tourism—Strategic Research Unit, 2009 Annual Tourism Report. Available online: https://live.southafrica.net/media/26858/2009-annual-tourism-report-2010-08-19.pdf (accessed on 10 December 2023).
- Statistics South Africa. Annual Report. 2016. Available online: www.statssa.gov.za (accessed on 10 December 2023).
- South African Tourism Year Book (2015/16). Available online: https://www.gcis.gov.za/sites/default/files/docs/resourcecentre/yearbook/Tourism-SAYB1516.pdf (accessed on 11 December 2023).
- Statista Research Department. 2024. Available online: www.statista.com (accessed on 10 December 2023).
- United Nations Conference on Trade and Development “UNCTAD”. Sustainable Tourism: Contribution to Economic Growth and Sustainable Development. In Issues Note Presented at the Expert Meeting on Tourism’s Contribution to Sustainable Development; D/B/C.I/EM.5/2; United Nations: New York, NY, USA, 2013. [Google Scholar]
- United Nations Environment Programme “UNEP”. Towards a Green Economy: Pathways to Sustainable Development and Poverty Eradication—A Synthesis for Policy Makers; UNEP: Cambridge, UK, 2011. [Google Scholar]
- Ivanovic, M.; Saayman, M. South Africa calling cultural tourists. Afr. J. Phys. Health Educ. Recreat. Danc. 2023, 19 (Suppl. S2), 138–154. [Google Scholar]
- Toerien, D. Tourism and poverty in rural South Africa: A revisit. S. Afr. J. Sci. 2020, 116, 1–8. [Google Scholar] [CrossRef] [PubMed]
- Du Plessis, E.; Saayman, M.; Van De Merwe, A. What Makes South African Tourism Competitive. Afr. J. Hosp. Tour. Leis. 2015, 4, 1–14. [Google Scholar]
- Statistics, SA. 2012. Available online: https://www.statssa.gov.za/publications/SAStatistics/SAStatistics2012.pdf (accessed on 10 December 2023).
- Tourism Report. 2020. Available online: https://www.statssa.gov.za/publications/SAStatistics/SAStatistics2020.pdf (accessed on 10 December 2023).
- Papatheodorou, A.; Song, A. International Tourism Forecasts: Time Series Analysis of World and Regional Data. Tour. Econ. 2005, 11, 11–23. [Google Scholar] [CrossRef]
- Song, H.; Li, G. Tourism demand modelling and forecasting: A review of recent research. Tour. Manag. 2008, 29, 203–220. [Google Scholar] [CrossRef]
- Song, H.; Qiu, R.T.R.; Park, J. A review of research on tourism demand forecasting: Launching the Annals of Tourism Research Curated Collection on tourism demand forecasting. Ann. Tour. Res. 2019, 75, 338–362. [Google Scholar] [CrossRef]
- Athanasopoulos, G.; Hyndman, R.J.; Song, H.; Wu, D.C. The tourism forecasting competition. Int. J. Forecast. 2011, 27, 822–844. [Google Scholar] [CrossRef]
- Saayman, A.; Saayman, M. Forecasting Tourist Arrivals in South Africa. Acta Commer. 2010, 10, 281–293. [Google Scholar] [CrossRef][Green Version]
- Louw, R. Forecasting Tourism Demand for South Africa. Unpublished. Master’s Thesis, North-West University, Potchefstroom, South Africa, 2011. [Google Scholar]
- Nanthakumar, L.; Ibrahim, Y. Forecasting International Tourism Demand in Malaysia Using Box Jenkins Sarima Application. S. Asian J. Tour. Herit. 2010, 3, 50–60. [Google Scholar]
- Peiris, H. A Seasonal ARIMA Model of Tourism Forecasting: The Case of Sri Lanka. J. Tour. Hosp. Sports 2016, 22, 98–109. [Google Scholar]
- Makoni, T.; Chikobvu, D. Modelling international tourist arrivals volatility in Zimbabwe using a GARCH process. Afr. J. Hosp. Tour. Leis. 2021, 10, 639–653. [Google Scholar]
- Petrevska, B. Predicting tourism demand by A.R.I.M.A. models. Econ. Res. 2017, 30, 939–950. [Google Scholar] [CrossRef]
- Baldigara, T.; Mamula, M. International Tourism Demand Modelling—A Multivariate Approach. Int. J. Res. Commer. IT Manag. 2015, 5, 4–11. [Google Scholar]
- Msofe, Z.A.; Mbago, M.C. Forecasting international tourist arrivals in Zanzibar using Box-Jenkins SARIMA model. Gen. Lett. Math. 2019, 7, 100–107. [Google Scholar] [CrossRef]
- Nyoni, T. Modeling and Forecasting International Tourism in Zimbabwe: A Bright Future for Zimbabwe’s Tourism Industry. J. Appl. Econ. Sci. 2021, 16, 421–434. [Google Scholar] [CrossRef] [PubMed]
- Laurente, L.F.; Machaca, R.W. Modelling and forecasting international tourism demand in Puno-Peru. Rev. Bras. Pesqui. Em Tur. São Paulo 2020, 14, 34–55. [Google Scholar]
- Nurhasanah, D.; Salsabila, A.M.; Kartikasari, M.D. Forecasting International Tourist Arrivals in Indonesia Using SARIMA model. Enthusiastic Int. J. Stat. Data Sci. 2022, 2, 19–25. [Google Scholar] [CrossRef]
- Box, G.E.P.; Jenkins, G.M. Time Series Analysis: Forecasting and Control; Holden-Day Inc.: San Francisco, CA, USA, 1994. [Google Scholar]
- Wold, H. A Study in the Analysis of Stationary Time Series; Almgrist and Wiksell: Stockholm, Sweden, 1938. [Google Scholar]
- Alonso, A.D.; Kok, S.K.; Bressan, A.; O’Shea, M.; Sakellarios, N.; Koresis, A.; Solis, M.A.B.; Santoni, L.J. COVID-19, aftermath, impacts and hospitality firms: An international perspective. Int. J. Hosp. Manag. 2020, 91, 102654. [Google Scholar] [CrossRef] [PubMed]
- Hall, C.M.; Scott, D.; Gossling, S. Pandemics, transformations, and tourism: Be careful what you wish for. Tour. Geogr. 2020, 22, 577–598. [Google Scholar] [CrossRef]
- Omoruyi, O.; Dakora, E.A.; Oluwagbemi, O. Insights into the impacts of and responses to COVID-19 pandemic: The South African food retail supply chain perspective. J. Transp. Supply Chain. Manag. 2022, 16, a739. [Google Scholar] [CrossRef]
- Sucheran, R. The COVID-19 pandemic and guesthouses in South Africa: Economic impacts and recovery measures. Dev. S. Afr. 2022, 39, 35–50. [Google Scholar] [CrossRef]
- American Hotel and Lodging Association (AHLA). COVID-19’s Impact on the Hotel Industry. 2020. Available online: https://www.ahla.com/covid-19s-impact-hotel-industry (accessed on 23 January 2024).
- World Bank Group. Tourism Watch, Quarterly Report: Q2 2023; World Bank: Washington, DC, USA, 2024. [Google Scholar]
- Folarin, O.; Adeniyi, O. Does Tourism Reduce Poverty in Sub-Saharan African Countries? J. Travel Res. 2020, 59, 140–155. [Google Scholar] [CrossRef]
Disclaimer/Publisher’s Note: The statements, opinions and data contained in all publications are solely those of the individual author(s) and contributor(s) and not of MDPI and/or the editor(s). MDPI and/or the editor(s) disclaim responsibility for any injury to people or property resulting from any ideas, methods, instructions or products referred to in the content. |
© 2024 by the authors. Licensee MDPI, Basel, Switzerland. This article is an open access article distributed under the terms and conditions of the Creative Commons Attribution (CC BY) license (https://creativecommons.org/licenses/by/4.0/).






