Industry Network Structure Determines Regional Economic Resilience: An Empirical Study Using Stress Testing
Abstract
1. Introduction
2. Literature Review
2.1. Regional Economic Resilience
2.2. Correlation and Ability
2.3. Networks and Robustness
3. Data and Methods
3.1. Dependent Variables
3.2. Independent Variable: Network Robustness
3.3. Control Variables
4. Econometric Model
5. Results
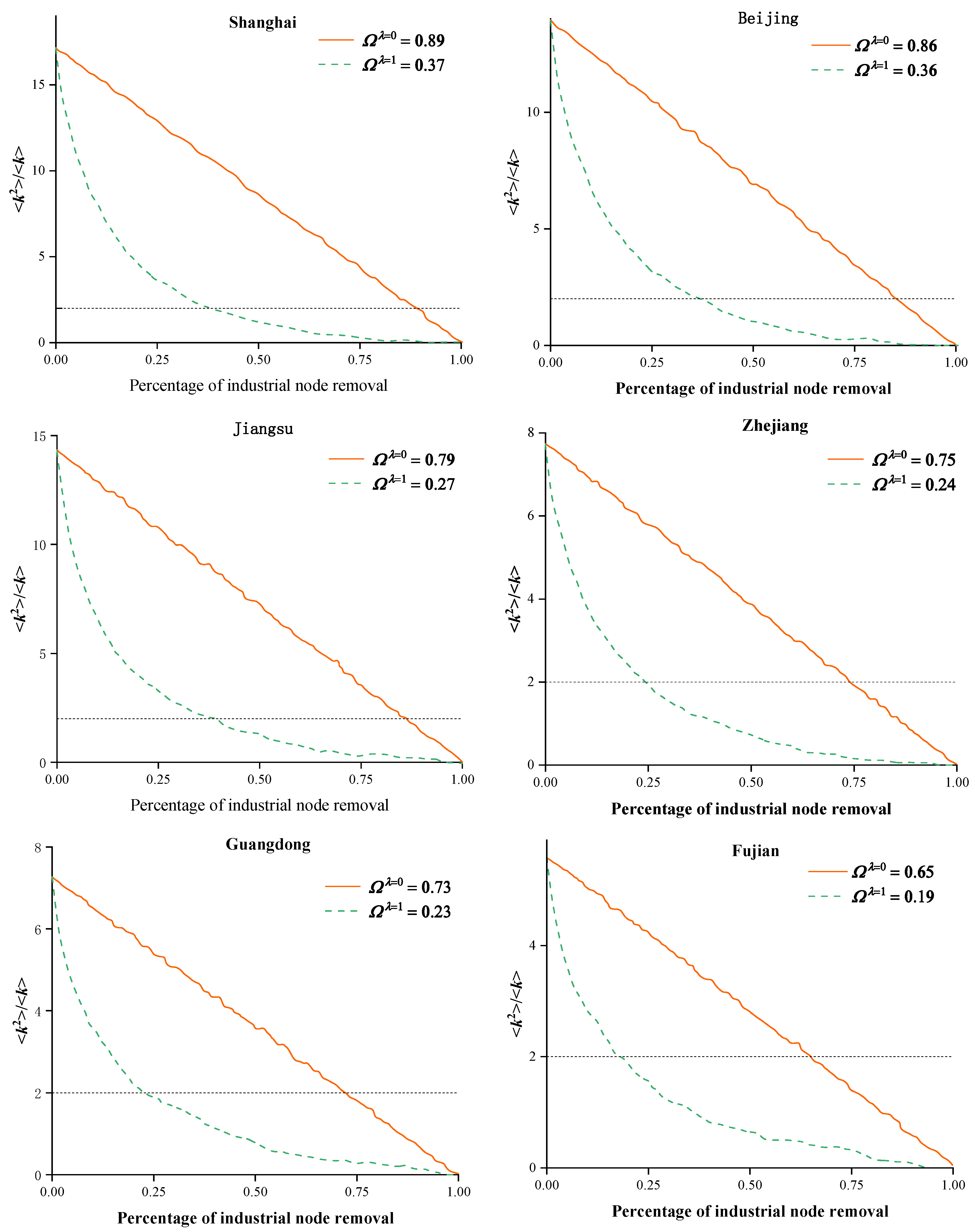
5.1. Provincial Industrial Network Robustness
5.2. The Role of Industrial Network Robustness in the 2008 Economic Crisis
5.3. Robustness Check
6. Conclusions
Author Contributions
Funding
Institutional Review Board Statement
Informed Consent Statement
Data Availability Statement
Conflicts of Interest
References
- Tan, J.; Hu, X.; Hassink, R.; Ni, J. Industrial structure or agency: What affects regional economic resilience? Evidence from resource-based cities in China. Cities 2020, 106, 102906. [Google Scholar] [CrossRef]
- OECD. OECD Regional Outlook 2019: Leveraging Megatrends for Cities and Rural Areas; OECD: Paris, France, 2019. [Google Scholar]
- Hynes, W.; Trump, B.D.; Kirman, A.; Haldane, A.; Linkov, I. Systemic resilience in economics. Nat. Phys. 2022, 18, 381–384. [Google Scholar] [CrossRef]
- Lemke, L.K.G.; Sakdapolrak, P.; Trippl, M. Unresolved issues in regional economic resilience: Conceptual ways forward. Prog. Hum. Geogr. 2023, 47, 699–717. [Google Scholar] [CrossRef]
- Webber, D.J.; Healy, A.; Bristow, G. Regional growth paths and resilience: A European analysis. Econ. Geogr. 2018, 94, 355–375. [Google Scholar] [CrossRef]
- Martin, R. Regional economic resilience, hysteresis and recessionary shocks. J. Econ. Geogr. 2012, 12, 1–32. [Google Scholar] [CrossRef]
- Simmie, J.; Martin, R. The economic resilience of regions: Towards an evolutionary approach. Camb. J. Reg. Econ. Soc. 2010, 3, 27–43. [Google Scholar] [CrossRef]
- Duan, W.; Madasi, J.D.; Khurshid, A.; Ma, D. Industrial structure conditions economic resilience. Technol. Forecast. Soc. Chang. 2022, 183, 121944. [Google Scholar] [CrossRef]
- Lee, S.; Wang, S. Impacts of political fragmentation on inclusive economic resilience: Examining American metropolitan areas after the Great Recession. Urban Stud. 2023, 60, 26–45. [Google Scholar] [CrossRef]
- Wang, P.; Li, H.; Huang, Z. Low-carbon economic resilience: The inequality embodied in inter-regional trade. Cities 2024, 144, 104646. [Google Scholar] [CrossRef]
- Zhou, Q.; Qi, Z. Urban economic resilience and human capital: An exploration of heterogeneity and mechanism in the context of spatial population mobility. Sustain. Cities Soc. 2023, 99, 104983. [Google Scholar] [CrossRef]
- Lee, Y.J.A.; Kim, J.; Jang, S.; Ash, K.; Yang, E. Tourism and economic resilience. Ann. Tour. Res. 2021, 87. [Google Scholar] [CrossRef]
- Christopherson, S.; Michie, J.; Tyler, P. Regional resilience: Theoretical and empirical perspectives. Camb. J. Reg. Econ. Soc. 2010, 3, 3–10. [Google Scholar] [CrossRef]
- Martin, R.; Sunley, P. Complexity thinking and evolutionary economic geography. J. Econ. Geogr. 2007, 7, 573–601. [Google Scholar] [CrossRef]
- Balland, P.A.; Rigby, D.; Boschma, R. The technological resilience of US cities. Camb. J. Reg. Econ. Soc. 2015, 8, 167–184. [Google Scholar] [CrossRef]
- Linkov, I.; Trump, B.; Trump, J.; Pescaroli, G.; Mavrodieva, A.; Panda, A. Stress-test the resilience of critical infrastructure. Nature 2022, 603, 578. [Google Scholar] [CrossRef] [PubMed]
- Neffke, F.; Henning, M.; Boschma, R. How do regions diversify over time? Industry relatedness and the development of new growth paths in regions. Econ. Geogr. 2011, 87, 237–265. [Google Scholar] [CrossRef]
- Rigby, D.L. Technological relatedness and knowledge space: Entry and exit of US cities from patent classes. Reg. Stud. 2015, 49, 1922–1937. [Google Scholar] [CrossRef]
- Kogler, D.F.; Essletzbichler, J.; Rigby, D.L. The evolution of specialization in the EU15 knowledge space. J. Econ. Geogr. 2017, 17, 345–373. [Google Scholar] [CrossRef]
- Moro, E.; Frank, M.R.; Pentland, A.; Rutherford, A.; Cebrian, M.; Rahwan, I. Universal resilience patterns in labor markets. Nat. Commun. 2021, 12, 1972. [Google Scholar] [CrossRef]
- Bristow, G.; Healy, A. Handbook of Regional Economic Resilience; Edward Elgar: Cheltenham, UK, 2020. [Google Scholar]
- Pendall, R.; Foster, K.A.; Cowell, M. Resilience and regions: Building understanding of the metaphor. Camb. J. Reg. Econ. Soc. 2010, 3, 71–84. [Google Scholar] [CrossRef]
- Boschma, R.; Balland, P.A.; Kogler, D.F. Relatedness and technological change in cities: The rise and fall of technological knowledge in US metropolitan areas from 1981 to 2010. Ind. Corp. Chang. 2015, 24, 223–250. [Google Scholar] [CrossRef]
- Kogler, D.F. Evolutionary economic geography–theoretical and empirical progress. Reg. Stud. 2015, 49, 705–711. [Google Scholar] [CrossRef]
- Pike, A.; Dawley, S.; Tomaney, J. Resilience, adaptation and adaptability. Camb. J. Reg. Econ. Soc. 2010, 3, 59–70. [Google Scholar] [CrossRef]
- Doran, J.; Fingleton, B. US metropolitan area resilience: Insights from dynamic spatial panel estimation. Environ. Plan. A Econ. Space 2018, 50, 111–132. [Google Scholar] [CrossRef]
- Xiao, J.; Boschma, R.; Andersson, M. Resilience in the European Union: The effect of the 2008 crisis on the ability of regions in Europe to develop new industrial specializations. Ind. Corp. Chang. 2018, 27, 15–47. [Google Scholar] [CrossRef]
- Cainelli, G.; Ganau, R.; Modica, M. Industrial relatedness and regional resilience in the European Union. Pap. Reg. Sci. 2019, 98, 755–779. [Google Scholar] [CrossRef]
- Eriksson, R.H.; Hane-Weijman, E.; Henning, M. Sectoral and geographical mobility of workers after large establishment cutbacks or closures. Environ. Plan. A Econ. Space. 2018, 50, 1071–1091. [Google Scholar] [CrossRef]
- Bristow, G.; Healy, A. Regional resilience: An agency perspective. Handb. Reg. Econ. Resil. Edw. Elgar Publ. 2020, 36–53. [Google Scholar]
- Cappelli, R.; Montobbio, F.; Morrison, A. Unemployment resistance across EU regions: The role of technological and human capital. J. Evol. Econ. 2021, 31, 147–178. [Google Scholar] [CrossRef]
- Brakman, S.; Garretsen, H.; van Marrewijk, C. Regional resilience across Europe: On urbanisation and the initial impact of the Great Recession. Camb. J. Reg. Econ. Soc. 2015, 8, 225–240. [Google Scholar] [CrossRef]
- Balland, P.A.; Jara-Figueroa, C.; Petralia, S.G. Complex economic activities concentrate in large cities. Nat. Hum. Behav. 2020, 4, 248–254. [Google Scholar] [CrossRef] [PubMed]
- Whittle, A.; Kogler, D.F. Related to what? Reviewing the literature on technological relatedness: Where we are now and where can we go? Pap. Reg. Sci. 2020, 99, 97–114. [Google Scholar] [CrossRef]
- Hausmann, R.; Hidalgo, C.A. The network structure of economic output. J. Econ. Growth 2011, 16, 309–342. [Google Scholar] [CrossRef]
- Neffke, F.; Hartog, M.; Boschma, R.; Henning, M. Agents of structural change: The role of firms and entrepreneurs in regional diversification. Econ. Geogr. 2018, 94, 23–48. [Google Scholar] [CrossRef]
- Bustos, S.; Yıldırım, M.A. Production ability and economic growth. Res. Policy 2022, 51, 104153. [Google Scholar] [CrossRef]
- Maskell, P.; Malmberg, A. Localised learning and industrial competitiveness. Camb. J. Econ. 1999, 23, 167–185. [Google Scholar] [CrossRef]
- Frenken, K.; Van Oort, F.; Verburg, T. Related variety, unrelated variety and regional economic growth. Reg. Stud. 2007, 41, 685–697. [Google Scholar] [CrossRef]
- Rocchetta, S.; Mina, A. Technological coherence and the adaptive resilience of regional economies. Reg. Stud. 2019, 53, 1421–1434. [Google Scholar] [CrossRef]
- Boschma, R. Proximity and innovation: A critical assessment. Reg. Stud. 2005, 39, 61–74. [Google Scholar] [CrossRef]
- Boschma, R.A.; Martin, R.L. (Eds.) The Handbook of Evolutionary Economic Geography; Edward Elgar Publishing: Northampton, MA, USA, 2010. [Google Scholar]
- Ducruet, C.; Beauguitte, L. Spatial science and network science: Review and outcomes of a complex relationship. Netw. Spat. Econ. 2014, 14, 297–316. [Google Scholar] [CrossRef]
- Broekel, T.; Balland, P.A.; Burger, M.; Van Oort, F. Modeling knowledge networks in economic geography: A discussion of four methods. Ann. Reg. Sci. 2014, 53, 423–452. [Google Scholar] [CrossRef]
- Ter Wal, A.L.J.; Boschma, R.A. Applying social network analysis in economic geography: Framing some key analytic issues. Ann. Reg. Sci. 2009, 43, 739–756. [Google Scholar] [CrossRef]
- Hermans, F. The contribution of statistical network models to the study of clusters and their evolution. Pap. Reg. Sci. 2021, 100, 379–404. [Google Scholar] [CrossRef]
- Hoekman, J.; Frenken, K.; Van Oort, F. The geography of collaborative knowledge production in Europe. Ann. Reg. Sci. 2009, 43, 721–738. [Google Scholar] [CrossRef]
- Hidalgo, C.A. Economic complexity theory and applications. Nat. Rev. Phys. 2021, 3, 92–113. [Google Scholar] [CrossRef]
- Shutters, S.T.; Lobo, J.; Muneepeerakul, R. Urban occupational structures as information networks: The effect on network density of increasing number of occupations. PLoS ONE 2018, 13, e0196915. [Google Scholar] [CrossRef] [PubMed]
- Strumsky, D.; Lobo, J.; Van der Leeuw, S. Using patent technology codes to study technological change. Econ. Innov. New Technol. 2012, 21, 267–286. [Google Scholar] [CrossRef]
- Kogler, D.F.; Rigby, D.L.; Tucker, I. Mapping knowledge space and technological relatedness in US cities. In Global and Regional Dynamics in Knowledge Flows and Innovation; Routledge: London, UK, 2015; pp. 58–75. [Google Scholar]
- Rocchetta, S.; Mina, A.; Lee, C.; Kogler, D.F. Technological knowledge spaces and the resilience of European regions. J. Econ. Geogr. 2022, 22, 27–51. [Google Scholar] [CrossRef]
- Albert, R.; Jeong, H.; Barabási, A.L. Error and attack tolerance of complex networks. Nature 2000, 406, 378–382. [Google Scholar] [CrossRef] [PubMed]
- Solé, R.V.; Rosas-Casals, M.; Corominas-Murtra, B.; Valverde, S. Robustness of the European power grids under intentional attack. Phys. Rev. E 2008, 77, 026102. [Google Scholar] [CrossRef] [PubMed]
- Barabási, A.L. Network Science; Cambridge University Press: Cambridge, UK, 2016. [Google Scholar]
- Zitnik, M.; Sosič, R.; Feldman, M.W.; Leskovec, J. Evolution of resilience in protein interactomes across the tree of life. Proc. Natl. Acad. Sci. USA 2019, 116, 4426–4433. [Google Scholar] [CrossRef] [PubMed]
- Cohen, R.; Havlin, S. Percolation in complex networks. In Encyclopedia of Complexity and Systems Science; Meyers, R.A., Ed.; Springer: New York, NY, USA, 2009; pp. 6495–6504. [Google Scholar]
- Albert, R.; Barabási, A.L. Statistical mechanics of complex networks. Rev. Mod. Phys. 2002, 74, 47. [Google Scholar] [CrossRef]
- Acemoglu, D.; Carvalho, V.M.; Ozdaglar, A.; Tahbaz-Salehi, A. The network origins of aggregate fluctuations. Econometrica 2012, 80, 1977–2016. [Google Scholar] [CrossRef]
- Lengyel, B.; Bokányi, E.; Di Clemente, R.; Kertész, J.; González, M.C. The role of geography in the complex diffusion of innovations. Sci. Rep. 2020, 10, 15065. [Google Scholar] [CrossRef] [PubMed]
- Dong, B.; Ma, X.; Zhang, Z.; Zhang, H.; Chen, R.; Song, Y.; Shen, M.; Xiang, R. Carbon emissions, the industrial structure and economic growth: Evidence from heterogeneous industries in China. Environ. Pollut. 2020, 262, 114322. [Google Scholar] [CrossRef] [PubMed]
- Chen, J.; Xie, L. Industrial policy, structural transformation and economic growth: Evidence from China. Front. Bus. Res. China 2019, 1, 18. [Google Scholar] [CrossRef]
- Zhao, Q.; Niu, M. Influence Analysis of FDI on China’s Industrial Structure Optimization. Procedia Comput. Sci. 2013, 17, 1015–1022. [Google Scholar]
- Molloy, M.; Reed, B. A critical point for random graphs with a given degree sequence. Random Struct. Algorithms 1995, 6, 2–3. [Google Scholar]
- Xie, S.; Zhang, J.; Li, X.; Xia, X.; Chen, Z. The effect of agricultural insurance participation on rural households’ economic resilience to natural disasters: Evidence from China. J. Clean. Prod. 2024, 434, 140123. [Google Scholar] [CrossRef]





| Input | Output | ||||
|---|---|---|---|---|---|
| Intermediate Input | End Use | ||||
| Sector 1 | Sector 2 | Sector 3 | |||
| Intermediate input | Sector 1 | d11 | d12 | d13 | Y1 |
| Sector 2 | d21 | d22 | d23 | Y2 | |
| Sector 3 | d31 | d32 | d33 | Y3 | |
| Value added | V1 | V2 | V3 | ||
| (i) | (ii) | (iii) | (iv) | (v) | (vi) | |
|---|---|---|---|---|---|---|
| All Industries | Single Industry | All Industries | Single Industry | All Industries | Single Industry | |
| 0.0559 (−0.0380) | 0.0984 *** (−0.0360) | |||||
| 0.1769 ** (−0.0759) | 0.2719 * (−0.0789) | |||||
| −0.0033 *** (−0.0010) | −0.0033 *** (−0.0020) | −0.0716 ** (−0.0340) | −0.0365 (−0.0480) | −0.0811 ** (−0.0340) | −0.0532 (−0.0519) | |
| log(GVA) | −0.0582 (−0.0280) | −0.0671 (−0.0405) | −0.0515 (−0.0290) | −0.0621 (−0.0425) | −0.0480 (−0.0290) | −0.0575 (−0.0436) |
| log(POP) | 0.0158 (−0.0498) | −0.0138 (−0.0342) | 0.0490 (−0.0581) | −0.0189 (−0.0363) | 0.0504 (−0.0570) | −0.0222 (−0.0363) |
| log(EMPRATE) | 0.0017 (−0.0395) | 0.0059 (−0.0166) | −0.0335 (−0.0478) | 0.0064 (−0.0177) | −0.0384 (−0.0447) | 0.0048 (−0.0177) |
| Constant | 1.3249 *** (−0.1333) | 1.4998 *** (−0.1748) | 1.2898 *** (−1529) | 1.4988 *** (−0.1900) | 1.2808 *** (−0.1518) | 1.4895 *** (−0.1922) |
| Clustered SE | Yes *** | Yes | Yes | Yes | Yes | Yes |
| Mean VIF | 3.60 | 3.60 | 3.47 | 3.47 | 3.20 | 3.20 |
| R2 | 0.184 | 0.158 | 0.200 | 0.183 | 0.207 | 0.187 |
| Adj. R2 | 0.166 | 0.140 | 0.177 | 0.159 | 0.184 | 0.163 |
| Observations | 272 | 272 | 272 | 272 | 272 | 272 |
| (i) | (ii) | (iii) | (iv) | (v) | (vi) | |
|---|---|---|---|---|---|---|
| All Industries | Single Industry | All Industries | Single Industry | All Industries | Single Industry | |
| 0.0813 (0.046) | 0.1136 ** (0.052) | |||||
| 0.1186 *** (0.082) | 0.3099 ** (0.093) | |||||
| −0.0053 *** (0.002) | −0.0046 ** (0.004) | −0.0682 *** (0.041) | −0.0316 (0.053) | −0.0933 ** (0.045) | −0.0532 (0.063) | |
| log(GVA) | −0.0682 ** (0.033) | −0.0760 (0.045) | −0.0511 * (0.031) | −0.0574 (0.032) | −0.0424 (0.031) | −0.0755 (0.053) |
| log(POP) | 0.0269 (0.063) | 0.0122 (0.045) | −0.0268 (0.065) | 0.023 (0.049) | −0.0264 (0.063) | −0.0362 (0.027) |
| log(EMPRATE) | −0.0153 (0.078) | 0.0134 (0.054) | 0.0548 (0.069) | −0.0047 (0.023) | 0.0393 (0.065) | 0.0125 (0.032) |
| Constant | 1.2146 *** (0.132) | 1.4474 *** (0.156) | 1.1670 ** (0.131) | 1.4614 *** (0.169) | 1.1736 *** (0.142) | 1.3393 *** (0.183) |
| Clustered SE | Yes | Yes | Yes | Yes | Yes | Yes |
| Mean VIF | 3.26 | 3.20 | 3.34 | 3.71 | 3.61 | 3.52 |
| R2 | 0.197 | 0.205 | 0.199 | 0.206 | 0.202 | 0.206 |
| Adj. R2 | 0.182 | 0.194 | 0.176 | 0.189 | 0.189 | 0.183 |
| Observations | 272 | 272 | 272 | 272 | 272 | 272 |
| (i) | (ii) | (iii) | (iv) | (v) | (vi) | (vii) | (viii) | (ix) | (x) | (xi) | (xii) | |
|---|---|---|---|---|---|---|---|---|---|---|---|---|
| 0.0799 *** (−0.03) | 0.1489 *** (−0.024) | 0.1089 *** (−0.019) | 0.1501 ** (−0.062) | |||||||||
| 0.2069 *** (−0.049) | 0.3150 *** (−0.059) | 0.2849 *** (−0.052) | 0.2929 ** (−0.139) | |||||||||
| −0.005 (−0.002) | 0.0119 (−0.06) | −0.0269 *** (−0.004) | −0.0188 (−0.01) | −0.0190 ** (−0.004) | −0.0030 (−0.046) | |||||||
| −0.0169 ** (−0.005) | −0.0299 *** (−0.01) | −0.0280 *** (−0.005) | −0.0101 (−0.019) | −0.0271 *** (−0.004) | −0.2440 (−0.030) | |||||||
| 0.0079 (0.028) | 0.0229 (−0.029) | 0.0129 (−0.029) | −0.0130 (0.040) | −0.0432 (−0.029) | −0.0242 (0.029) | −0.0542 (−0.032) | −0.036 (−0.050) | −0.0322 (−0.029) | −0.0079 (−0.029) | −0.0376 (−0.029) | −0.0339 (−0.039) | |
| Constant | 1.0011 *** (0.019) | 1.0723 *** (−0.059) | 1.1189 *** (−0.051) | 1.0676 *** (−0.07) | 0.9246 *** (−0.02) | 1.1712 *** (−0.061) | 1.0916 *** (−0.50) | 1.1732 *** (−0.0125) | 0.9456 *** (−0.030) | 1.1286 *** (−0.060) | 1.1046 *** (−0.050) | 1.1178 *** (−0.099) |
| Clustered SE | Yes | Yes | Yes | Yes | Yes | Yes | Yes | Yes | Yes | Yes | Yes | Yes |
| Mean VIF | - | 1.09 | 1.01 | 2.86 | 1.21 | 1.7 | 1.3 | 3.13 | 1.21 | 1.4 | 1.2 | 2.41 |
| R2 | 0.002 | 0.005 | 0.03 | 0.041 | 0.062 | 0.132 | 0.122 | 0.129 | 0.049 | 0.091 | 0.111 | 0.135 |
| Adj. R2 | 0.002 | 0.002 | 0.01 | 0.031 | 0.051 | 0.121 | 0.111 | 0.112 | 0.039 | 0.07 | 0.089 | 0.129 |
| Observations | 272 | 272 | 272 | 272 | 272 | 272 | 272 | 272 | 272 | 272 | 272 | 272 |
| (i) | (ii) | (iii) | (iv) | (v) | (vi) | (vii) | (viii) | (ix) | (x) | (xi) | (xii) | |
|---|---|---|---|---|---|---|---|---|---|---|---|---|
| 0.1101 *** (−0.029) | 0.2260 *** (−0.040) | 0.701 *** (−0.029) | 0.1599 ** (−0.060) | |||||||||
| 0.2611 *** (−0.090) | 0.4039 *** (−0.079) | 0.4219 *** (−0.079) | 0.3460 ** (−0.132) | |||||||||
| −0.0089 (−0.003) | 0.0401 (−0.06) | −0.0403 *** (−0.005) | −0.0209 (−0.031) | −0.0230 ** (−0.006) | −0.0295 (−0.032) | |||||||
| −0.0401 ** (−0.008) | −0.0820 *** (−0.011) | −0.0601 *** (−0.008) | −0.0569 (−0.029) | −0.0530 *** (−0.008) | −0.0750 (−0.029) | |||||||
| 0.0899 (0.039) | 0.1152 (−0.101) | 0.1029 (−0.052) | −0.0201 (0.049) | −0.0230 (−0.049) | −0.0021 (0.099) | −0.0501 (−0.049) | −0.0752 (−0.049) | −0.0322 (−0.029) | −0.0752 (−0.049) | −0.0288 (−0.052) | −0.0070 (−0.090) | |
| Constant | 0.9972 *** (−0.052) | 1.0653 *** (−0.023) | 1.1324 *** (−0.046) | 1.0132 *** (−0.063) | 0.9563 *** (−0.021) | 1.1856 *** (−0.059) | 1.0145 *** (−0.456) | 1.2120 *** (−0.0123) | 0.9541 *** (−0.012) | 1.1150 *** (−0.045) | 1.1046 *** (−0.050) | 1.1178 *** (−0.099) |
| Clustered SE | Yes | Yes | Yes | Yes | Yes | Yes | Yes | Yes | Yes | Yes | Yes | Yes |
| Mean VIF | - | 1.09 | 1.01 | 2.86 | 1.21 | 1.7 | 1.3 | 3.13 | 1.21 | 1.4 | 1.2 | 2.41 |
| R2 | 0.013 | 0.021 | 0.065 | 0.077 | 0.045 | 0.123 | 0.105 | 0.165 | 0.045 | 0.069 | 0.165 | 0.146 |
| Adj. R2 | 0.008 | 0.007 | 0.032 | 0.045 | 0.03 | 0.089 | 0.099 | 0.154 | 0.028 | 0.036 | 0.092 | 0.136 |
| Observations | 272 | 272 | 272 | 272 | 272 | 272 | 272 | 272 | 272 | 272 | 272 | 272 |
| (i) | (ii) | (iii) | (iv) | (v) | (vi) | |
|---|---|---|---|---|---|---|
| All Industries | Single Industry | All Industries | Single Industry | All Industries | Single Industry | |
| 0.051 *** (−0.025) | 0.0742 *** (−0.022) | |||||
| 0.133 *** (−0.0518) | 0.192 *** (−0.0473) | |||||
| −0.0774 ** (−0.0422) | −0.0425 (−0.0681) | −0.0662 ** (−0.0368) | −0.0255 (−0.0638) | −0.0758 * (−0.0389) | −0.0402 (−0.0638) | |
| 0.5033 (−0.3618) | −0.0863 (−0.7891) | 0.3788 (−0.3566) | 0.2746 (−0.5874) | 0.3672 (−0.3597) | −0.2827 (−0.6175) | |
| −0.0265 (−0.0251) | 0.0064 (−0.0460) | −0.0289 (−0.0251) | −0.0027 (−0.0460) | −0.0253 (−0.0293) | 0.0079 (−0.0460) | |
| −0.0071 (−0.0187) | −0.0510 (−0.0394) | −0.0061 (−0.0581) | −0.0497 (−0.0394) | −0.0098 (−0.0187) | −0.0549 (−0.0394) | |
| −0.0323 (−0.0229) | −0.0197 (−0.0597) | −0.0346 (−0.0249) | −0.0233 (−0.0617) | −0.0402 (−0.0219) | 0.0311 (−0.0617) | |
| Constant | 1.0898 *** (−0.1289) | 1.0655 *** (−0.1801) | 1.0928 *** (−0.1330) | 1.0701 *** (−0.1832) | 1.0848 *** (−0.1330) | 1.0584 *** (−0.1852) |
| Clustered SE | Yes | Yes | Yes | Yes | Yes | Yes |
| R2 | 0.240 | 0.171 | 0.251 | 0.180 | 0.258 | 0.184 |
| Adj. R2 | 0.222 | 0.151 | 0.232 | 0.158 | 0.238 | 0.162 |
| Observations | 272 | 272 | 272 | 272 | 272 | 272 |
| (i) | (ii) | (iii) | (iv) | (v) | (vi) | |
|---|---|---|---|---|---|---|
| All Industries | Single Industry | All Industries | Single Industry | All Industries | Single Industry | |
| 0.0611 (−0.0381) | 0.0946 (−0.0411) | |||||
| 0.1415 (0.0761) | 0.1804 (−0.0716) | |||||
| −0.0835 (−0.0353) | −0.0750 (−0.0614) | −0.0718 (−0.0298) | −0.0572 (−0.0549) | −0.0820 (−0.0325) | −0.0732 (−0.0586) | |
| 0.5728 (−0.3930) | −0.0660 (−0.8346) | 0.4454 (−0.3768) | 0.2606 (−0.8579) | 0.4519 (−0.3920) | −0.2209 (−0.8802) | |
| −0.0435 (−0.0280) | 0.0288 (−0.0504) | −0.0458 (−0.0289) | −0.0322 (−0.0504) | −0.0425 (−0.0280) | 0.0275 (−0.0513) | |
| −0.0134 (−0.0250) | −0.0183 (−0.0499) | −0.0143 (−0.0250) | −0.0170 (−0.0379) | 0.0110 (−0.0250) | −0.0214 (−0.0509) | |
| −0.0106 (−0.0388) | 0.0951 (−0.0554) | −0.0133 (−0.0388) | −0.0912 (−0.0573) | −0.0183 (−0.0370) | 0.0854 (−0.0739) | |
| Constant | 1.3502 (−0.1593) | 1.2277 (−0.1857) | 1.2125 (−0.1636) | 1.2254 (−0.2163) | 1.3448 (−0.1636) | 1.2241 (−0.2195) |
| Clustered SE | Yes | Yes | Yes | Yes | Yes | Yes |
| R2 | 0.178 | 0.150 | 0.190 | 0.158 | 0.193 | 0.157 |
| Adj. R2 | 0.150 | 0.122 | 0.158 | 0.128 | 0.161 | 0.126 |
| Observations | 272 | 272 | 272 | 272 | 272 | 272 |
Disclaimer/Publisher’s Note: The statements, opinions and data contained in all publications are solely those of the individual author(s) and contributor(s) and not of MDPI and/or the editor(s). MDPI and/or the editor(s) disclaim responsibility for any injury to people or property resulting from any ideas, methods, instructions or products referred to in the content. |
© 2024 by the authors. Licensee MDPI, Basel, Switzerland. This article is an open access article distributed under the terms and conditions of the Creative Commons Attribution (CC BY) license (https://creativecommons.org/licenses/by/4.0/).
Share and Cite
Qiao, N.; Ji, C. Industry Network Structure Determines Regional Economic Resilience: An Empirical Study Using Stress Testing. Sustainability 2024, 16, 5686. https://doi.org/10.3390/su16135686
Qiao N, Ji C. Industry Network Structure Determines Regional Economic Resilience: An Empirical Study Using Stress Testing. Sustainability. 2024; 16(13):5686. https://doi.org/10.3390/su16135686
Chicago/Turabian StyleQiao, Nan, and Chengjun Ji. 2024. "Industry Network Structure Determines Regional Economic Resilience: An Empirical Study Using Stress Testing" Sustainability 16, no. 13: 5686. https://doi.org/10.3390/su16135686
APA StyleQiao, N., & Ji, C. (2024). Industry Network Structure Determines Regional Economic Resilience: An Empirical Study Using Stress Testing. Sustainability, 16(13), 5686. https://doi.org/10.3390/su16135686
