Analysis of the Impact of Agricultural Mechanization on the Economic Efficiency of Maize Production
Abstract
1. Introduction
2. Research Methodology and Data Sources
3. Results and Discussions
3.1. Analysis of the Economic Benefits of Maize
3.1.1. Analysis of Maize Planting Area and Production
3.1.2. Characterization of the Cost Structure of Maize Cultivation
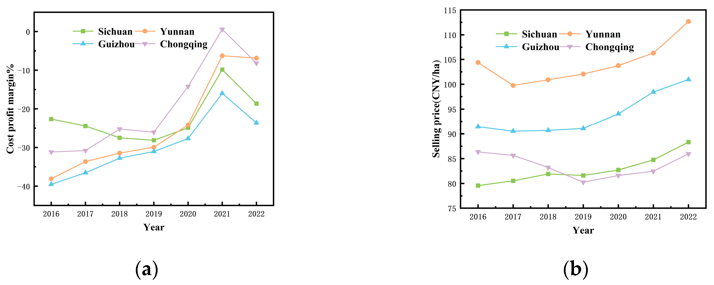
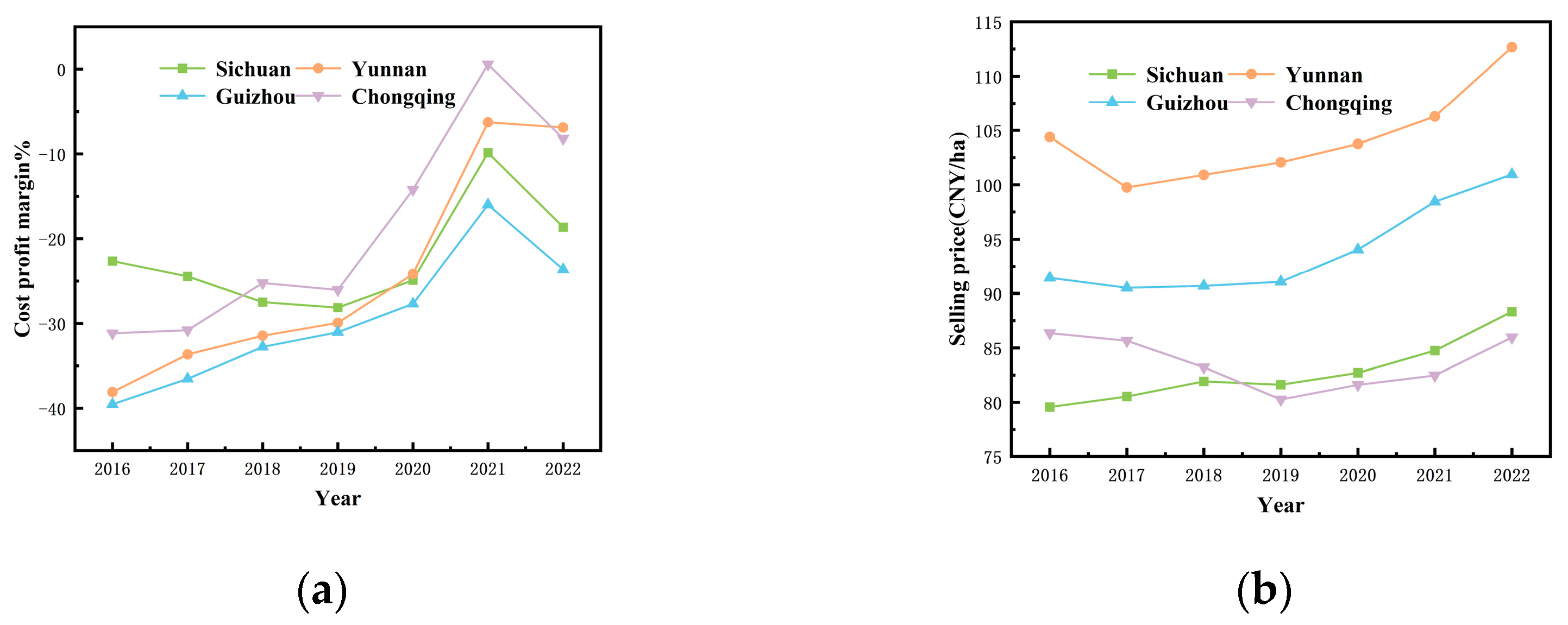
3.1.3. Analysis of Changes in Net Profit of Maize Production in the Southwest Hilly Area
3.2. Relationship between Maize Mechanization and Economics Efficiency
3.2.1. Analysis of the Degree of Mechanization of Maize Production
3.2.2. Impacts and Projections of Production Costs and Mechanization Levels in Southwest China
4. Conclusions
Author Contributions
Funding
Institutional Review Board Statement
Informed Consent Statement
Data Availability Statement
Acknowledgments
Conflicts of Interest
References
- Wang, H.J. Current situation and development trend of maize harvesting machinery. Agric. Mach. Use Maint. 2022, 10, 3. [Google Scholar]
- Zeng, Z.; Zhang, L.G.; Mi, F. How the reform of the storage system affects the efficiency of grain production. Rural. Econ. 2023, 7, 63–74. [Google Scholar]
- Shi, J.; Wang, S. An empirical study on the innovation integration of science, industry and education in pearl river delta urban agglomeration: Based on grey relational analysis. Sci. Technol. Manag. Res. 2022, 42, 64–69. [Google Scholar]
- Qiao, F. Increasing wage, mechanization, and agriculture production in China. China Econ. Rev. 2017, 46, 249–260. [Google Scholar] [CrossRef]
- Zhang, M.; Zhao, H.Y. Analysis of the influence of agricultural mechanization degree on grain yield in Jilin Province. Jilin Agric. 2014, 18, 19. [Google Scholar]
- Wu, Z.; Dang, J.; Pang, Y.; Xu, W. Threshold effect or spatial spillover? the impact of agricultural mechanization on grain production. J. Appl. Econ. 2021, 24, 478–503. [Google Scholar] [CrossRef]
- Zhang, H. Empirical analysis of the impact of agricultural mechanization factors on grain yield--Taking Henan Province as an example. Sci. Ind. 2017, 11, 127–132. [Google Scholar]
- Dedewanou, F.A.; Kpekou Tossou, R.C. Antoine and Roland Tossou. Remittances and agricultural productivity in Burkina Faso. Appl. Econ. Perspect. Policy 2021, 44, 1573–1590. [Google Scholar] [CrossRef]
- Pan, J.; Li, P.; Chen, C.; Bo, M.Q. Impact of agricultural mechanization services on maize production efficiency-an empirical analysis based on panel data of maize main production region from 2004 to 2017. Chin. J. Agric. Mech. Chem. 2020, 6, 210–215. [Google Scholar]
- Isaak, M.; Yahya, A.; Razif, M.; Mat, N. Mechanization status based on machinery utilization and workers’ workload in sweet maize cultivation in Malaysia. Comput. Electron. Agric. 2020, 169, 105208. [Google Scholar] [CrossRef]
- Yu, Q.; Ma, S.; Zhu, Y.; Huang, D. How Did Agricultural Mechanization lmprove the Corn Production in China?An Empirical Study Based on Main Corn-Producing Areas. J. Wuxi Vocat. Inst. Commer. 2022, 22, 12–21. [Google Scholar]
- Xiao, F. Characteristics of Farmers’ Economic Cooperation in the Central and Western Regions-Taking Guangxi as an Example. J. South China Agric. Univ. 2010, 1, 15–20. [Google Scholar]
- Li, P.; Jun, M. Application of chemical fertilizer on grain yield in China analysis of contribution proportion: Based on principal component regression c-d production function model and its empirical study. Chin. Agric. Sci. Bull. 2013, 29, 156–160. [Google Scholar]
- Fan, J.G.; Xie, B. Aanalysis on the Relation Between the Agricultural Factors and the Grain Production in Northwest China. Arid. Zone Resour. Environ. 2007, 8, 121–125. [Google Scholar]
- Xu, J.; Tang, S.; Li, P.; Zhang, H. Empirical Study on the Grain Output Based on Regression Analysis. J. Sens. 2022, 2567790. [Google Scholar] [CrossRef]
- Yang, L.X. Analysis of influencing factors of food production based on C-D function and ridge regression--Taking Zhejiang Province as an example. Geogr. Res. Dev. 2013, 1, 147–151. [Google Scholar]
- Wegi, B. Determinants of agricultural technology adoption in ethiopia: A meta-analysis determinants of agricultural technology adoption in ethiopia. Cogent Food Agric. 2020, 6, 1. [Google Scholar]
- Jia, J.Y.; Han, L.Y.; Liu, Y.F.; He, N.; Zhang, Q.; Wan, X.; Zhang, Y.F.; Hu, J.M. Drought risk analysis of maize under climate change based on natural disaster system theory in Southwest China. Acta Ecol. Sin. 2016, 36, 340–349. [Google Scholar] [CrossRef]
- Sandhu, H.; Scialabba, E.H.; Warner, C.; Behzadne, J. Evaluating the holistic costs and benefits of maize production systems in minnesota. Sci. Rep. 2020, 10, 3922. [Google Scholar] [CrossRef]
- Bourlion, N.; Janssen, L.; Miller, M. Economic analysis of private and public benefits of maize., switchgrass and mixed grass systems in Eastern South Dakota. Renew. Agric. Food Syst. 2014, 29, 355–365. [Google Scholar] [CrossRef]
- Guo, Z. Inter-evolutionary dynamics of fertilizer application and yield growth of grain crops in China and its regional difference analysis. J. Hunan Univ. Sci. Technol. 2020, 4, 80–85. [Google Scholar]
- Xue, J.; Chen, J. Analysis of changes in net profit of maize cultivation in Xinjiang under the cost perspective. J. Hotan Norm. Coll. 2021, 40, 9. [Google Scholar]
- Chen, Y.; Wang, Q.; Xiang, Y. Analysis of maize production status, advantages and self-sufficiency in China. China Agric. Resour. Zoning 2019, 1, 7–16. [Google Scholar]
- Wang, D.; Liu, C.; Zhou, Y. Impact of agricultural mechanization on the technical efficiency of food production-A perspective of spatial effect based on inter-regional service of agricultural machinery. Chin. J. Agric. Mech. Chem. 2021, 4, 223–229. [Google Scholar]
- Zhang, M.; Chen, Y.; Tan, C.; Li, T.; Qiu, Y. Analysis of factors influencing maize sowing area decisions of Chinese farmers. J. Nanjing Agric. Univ. 2014, 3, 37–43. [Google Scholar]
- Wang, T.; Lv, C.; Yu, B. Spatio-temporal variation of summer maize production potential in Beijing Tianjin Hebei regionand its comparative analysis with the realistic yield. J. Geogr. Sci. 2013, 4, 677–688. [Google Scholar]
- Zheng, J.; Gao, M. Research on the impact of agricultural mechanization and rural labor force transfer on agricultural total factor productivity—An empirical test based on panel data from 31 provinces (municipalities and autonomous regions) in mainland China. Fujian Forum 2021, 8, 59–71. [Google Scholar]
- Dong, W.; Cheng, L.; Sun, Z.; Zhang, L.; Hu, Q.; Li, S.; Pan, X. Temporal and spatial variations of summer maize yield and analysis of climatic annual patterns. Maize Sci. 2020, 5, 110–118. [Google Scholar]
- Zhu, Y.; Fan, X.; Ji, W.; Bao, C.; Xu, C.; Zhu, H. Comprehensive Evaluation of Northwest Spring Maize Varieties in Regional Trials Based on AMI Model and GGE Dual Scale Map. J. China Agric. Univ. 2023, 12, 15–24. [Google Scholar]
- Zhang, C.; Li, M.; Sun, X.; Guo, P. Does “one household one field” affect grain yield?-An empirical analysis based on 506 farmers in Shandong Province. J. China Agric. Univ. 2023, 4, 274–288. [Google Scholar]
- Yan, P.; Chen, Y.; Zhang, X.; Tao, C.; Yang, X.; Sui, P. Water ecology and food security analysis of spring maize one-maturing alternative to wheat and jade two-maturing system in the low plain area of Hebei. Chin. J. Ecol. Agric. 2016, 11, 1491–1499. [Google Scholar]
- Qin, S.; Xu, Y.; Liu, H.; Li, C.; Yang, Y.; Zhao, P. Effect of different boron levels on yield and nutrient content of wheat based on grey relational degree analysis. Acta Physiol. Plant. 2021, 43, 9. [Google Scholar] [CrossRef]
- Wu, L.F.; Liu, S.F.; Yao, G.; Yan, S.L. Grey convex relational degree and its application to evaluate regional economic sustainability. Sci. Iran. 2013, 20, 44–49. [Google Scholar] [CrossRef]
- Guo, Y.Q.; Xu, W.J.; Wang, K.R.; Chai, Z.W.; Xie, R.Z.; Hou, P.; Ming, B.; Li, S.K. Actuality and factors influencing farmer adoption of mechanized harvesting in typical maize ecoregions. Chin. J. Eco-Agric. 2021, 29, 1964–1972. [Google Scholar]
- Wang, Q.; Hu, J. Research on the impact of agricultural machinery service on the technical efficiency of maize production in Northeast China. Agric. Econ. 2023, 7, 21–23. [Google Scholar]
- Li, M. Ridge regression analysis of the contribution of land elements to economic growth in Guangdong Province. Econ. Issues 2010, 10, 118–121. [Google Scholar]
- Yu, C.; Song, W.; Wu, Z.; Fan, H. Forecast of Construction Land Scale Based on Ridge-gray Coupling Model: A Case of Jiaozuo City, Henan Province. Geogr. Res. Dev. 2015, 1, 155–159. [Google Scholar]
- Zhen, H. Analysis of factors affecting China’s grain production-Ridge regression analysis based on C-D production function. Tax. Econ. 2014, 5, 50–54. [Google Scholar]
- Pregibon, D. Logistic regression diagnostics. Ann. Stat. 1981, 9, 705–724. [Google Scholar] [CrossRef]
- Devi, M.; Malik, D.P.; Mehala, V. Measuring Variability and Factors Affecting the Agricultural Production: A Ridge Regression Approach. Ann. Data Sci. 2023, 10, 513–526. [Google Scholar] [CrossRef]
- Strub, L.; Kurth, A.; Loose, S.M. The effects of viticultural mechanization on working time requirements and production costs. Am. J. Enol. Vitic. 2020, 1, 72. [Google Scholar] [CrossRef]
- Hamilton, S.F.; Richards, T.J.; Shafran, A.P.; Vasilaky, K.N. Farm labor productivity and the impact of mechanization. Am. J. Agric. Econ. 2023, 104, 1435–1459. [Google Scholar] [CrossRef]
- Mohammed, K.; Batung, E.; Saaka, S.A.; Kansanga, M.M.; Luginaah, I. Determinants of mechanized technology adoption in smallholder agriculture: Implications for agricultural policy. Land Use Policy 2023, 129, 106666. [Google Scholar] [CrossRef]
- Appiah-Twumasi, M.; Donkoh, S.A.; Ansah, I.G.K. Innovations in smallholder agricultural financing and economic efficiency of corn production in Ghana’s northern region. Heliyon 2022, 8, 12087. [Google Scholar] [CrossRef] [PubMed]
- Rifin, A.; Tinaprilla, N. Does mechanization have an impact on increasing productivity and income of narrow land corn farmers in Indonesia. In IOP Conference Series: Earth and Environmental Science; IOP Publishing: Bristol, UK, 2022; Volume 1107, p. 012054. [Google Scholar]
- Wang, Z.; Zhu, J.; Liu, X.; Ge, D.; Liu, B. Research on Spatial-Temporal Characteristics and Affecting Factors of Agricultural Green Total Factor Productivity in Jiangxi Province. Sustainability 2023, 15, 9073. [Google Scholar] [CrossRef]
- Trinh Thi, V.H.; Zhou, W. A Systematic Analysis of the Development of Agricultural Modernization and Its Effect on Crop Production in Northeastern China. Sustainability 2024, 16, 5055. [Google Scholar] [CrossRef]










| Year | Nationwide | Southwest Hilly Area | ||||||
|---|---|---|---|---|---|---|---|---|
| Comprehensive Mechanization Rate (%) | Mechanized Cultivation Rate (%) | Mechanized Seeding Rate (%) | Mechanized HarvestingRate (%) | Comprehensive Mechanization Rate (%) | Mechanized Cultivation rate (%) | Mechanized Seeding Rate (%) | Mechanized Harvesting Rate (%) | |
| 2016 | 69 | 74 | 70 | 62 | 18 | 44 | 1 | 1 |
| 2017 | 86 | 97 | 85 | 71 | 21 | 51 | 2 | 2 |
| 2018 | 88 | 97 | 89 | 76 | 24 | 57 | 3 | 3 |
| 2019 | 89 | 98 | 89 | 77 | 30 | 68 | 4 | 4 |
| 2020 | 90 | 98 | 90 | 79 | 31 | 70 | 5 | 5 |
| 2021 | 90 | 98 | 90 | 79 | 34 | 76 | 6 | 7 |
| Evaluation Unit | Relatedness | Rankings |
|---|---|---|
| Mechanized harvesting rate | 0.845 | 1 |
| Mechanized seeding rate | 0.809 | 2 |
| Seed pesticide and fertilizer costs | 0.798 | 3 |
| Mechanized cultivation rate | 0.782 | 4 |
| Land costs | 0.731 | 5 |
| Labor costs | 0.608 | 6 |
| Agricultural machinery costs | 0.46 | 7 |
Disclaimer/Publisher’s Note: The statements, opinions and data contained in all publications are solely those of the individual author(s) and contributor(s) and not of MDPI and/or the editor(s). MDPI and/or the editor(s) disclaim responsibility for any injury to people or property resulting from any ideas, methods, instructions or products referred to in the content. |
© 2024 by the authors. Licensee MDPI, Basel, Switzerland. This article is an open access article distributed under the terms and conditions of the Creative Commons Attribution (CC BY) license (https://creativecommons.org/licenses/by/4.0/).
Share and Cite
Sun, M.; Wan, Y.; Wang, S.; Liang, J.; Hu, H.; Cheng, L. Analysis of the Impact of Agricultural Mechanization on the Economic Efficiency of Maize Production. Sustainability 2024, 16, 5522. https://doi.org/10.3390/su16135522
Sun M, Wan Y, Wang S, Liang J, Hu H, Cheng L. Analysis of the Impact of Agricultural Mechanization on the Economic Efficiency of Maize Production. Sustainability. 2024; 16(13):5522. https://doi.org/10.3390/su16135522
Chicago/Turabian StyleSun, Manxi, Yuan Wan, Shuang Wang, Jian Liang, Hong Hu, and Li Cheng. 2024. "Analysis of the Impact of Agricultural Mechanization on the Economic Efficiency of Maize Production" Sustainability 16, no. 13: 5522. https://doi.org/10.3390/su16135522
APA StyleSun, M., Wan, Y., Wang, S., Liang, J., Hu, H., & Cheng, L. (2024). Analysis of the Impact of Agricultural Mechanization on the Economic Efficiency of Maize Production. Sustainability, 16(13), 5522. https://doi.org/10.3390/su16135522

