Abstract
A future trend in agricultural development is to promote the green transformation of agriculture and realize the transformation from extensive consumption to environmentally friendly consumption. However, in the process of circulating green agricultural products, the output and demand are uncertain, and the cooperation of various entities in the supply chain is unstable, which leads to the risk of interruptions to the supply chain, and then leads to ineffective supply chain operations for green agricultural products. Therefore, under the background of double uncertainty of output and demand, combined with CVaR theory and considering the risk avoidance degree of farmers, a Stackelberg game model of a “firm + farmer” two-level green agricultural product supply chain was constructed, and the supply coordination mechanism was studied. The results show that a benefit-sharing contract can effectively coordinate the supply chain of green agricultural products under the double uncertainty of output and demand and obtain optimal greenness, agricultural input, order quantity, and optimal inventory factors under centralized decision making. The optimal production decisions of farmers and the optimal pricing decisions of companies are obtained under decentralized decision making. The benefit-sharing contract is used to coordinate the supply chain, and the overall incomes of farmers, companies, and the supply chain improved after the coordination. The research results can enrich the relevant research on coordinating green agricultural products supply chains under the uncertainty of output and demand and provide a reference for ensuring the effective and stable operation of supply chains.
1. Introduction
Sustainable agricultural development is an important topic, which first appeared in the text of Agenda 21 of the United Nations Conference on Environment and Development in 1992 [1,2]. In the past few decades, the world has faced the challenges of a growing population, food security, and environmental sustainability [3,4,5]. In order to increase agricultural output, traditional agriculture consumes agricultural resources excessively, and excessive use of fertilizers and pesticides leads to deterioration of the ecological environment and the continuous occurrence of food safety incidents. With the increasing attention of people to food safety, environmental protection, and sustainable development, the quality and safety of agricultural products have received more attention by consumers [6,7]. Green agricultural products have green, safety, nutritional, and other characteristics, so the market demand for green agricultural products is gradually growing [8,9]. And to a certain extent, this has driven the transformation of agricultural production methods [10,11].
In terms of output, green agricultural products have greater uncertainty risk and strong seasonality. Under the influence of natural factors such as weather, climate change leads to irregular changes in temperature, precipitation, and seasonality; natural disasters such as drought, flood, hail, and hurricanes; and problems of soil and water resources, which will all affect the growth of green agricultural products to varying degrees [12,13]. In terms of demand, there are differences in consumer demand and cognition in the market, and consumers in some regions may have higher demand for green agricultural products; meanwhile, in other regions, consumers’ cognition and acceptance of green agricultural products may be low [14,15]. Therefore, under the influence of various factors, the output and demand of green agricultural products are often accompanied by uncertainties, leading to the risk of interruptions to the supply chain for green agricultural products [16,17,18]. The management of the supply chain of green agricultural products involves many links from farmers to consumers, including production, processing, transportation, storage, and sales. Both output and demand are uncertain, and the main body of each link makes decisions based on the principle of maximizing their own interests, which has a negative impact on the operational efficiency of the supply chain. Supply chain coordination is the main way to achieve supply chain management [19]. Given the double uncertainty of output and demand, how can resources be allocated and inventory management be optimized to improve supply chain returns? How can effective strategies and methods be developed to improve the efficiency and flexibility of the supply chain and avoid the risk of supply chain disruption? These problems need to be further studied and analyzed, in order to ensure the sustainable operation of the green agricultural product supply chain.
By studying the uncertain characteristics of output and demand of green agricultural products and their impact on the supply chain, it was found that when the output and demand of green agricultural products face double uncertainty, this uncertainty often leads to mismatches between the output and demand ends in the circulation process of green agricultural products, thus restricting the overall operation efficiency of the supply chain of green agricultural products. Based on game theory, this paper discusses how to coordinate the “company + farmer” type green agricultural product supply chain. Considering the risk aversion attitude of decision makers, this paper analyzes how to make optimal decisions between centralized and decentralized companies and farmers based on the CVaR theory, and puts forward a coordination mechanism for revenue-sharing contracts to enhance the stability and operation efficiency of the supply chain, making the whole supply chain reach the Pareto optimal. In particular, we want to answer and analyze the following questions:
- How could a Stackelberg game model be used to analyze the optimal production decision of farmers and the optimal order decision of companies in the “company + farmer” green agricultural product supply chain under centralized and decentralized models?
- Can revenue-sharing contracts improve the overall profits of the supply chain? What is the impact of farmers’ risk aversion attitude on the supply chain?
- What are the effects of revenue-sharing contracts on the greenness of agricultural products and the expected profits of companies and farmers by numerical simulation?
The rest of this article is divided into several sections. We review the literature in Section 2. In Section 3, we describe the problem definition and the basic model. In Section 4, we examine how farmers and firms make optimal decisions in centralized and decentralized models. We study the use of revenue-sharing contract coordination in Section 5. Section 6 provides numerical analysis to verify the validity of the model. In Section 7, we summarize the article and suggest possible future research topics.
2. Literature Review
In today’s complex international environment, geopolitical conflicts, epidemics, inflation, and other uncertain factors increase the risk of supply chain disruption [20,21]. Under this uncertain environment, supply chain network design must be optimized, and optimal decisions must be made based on the risks faced by the supply chain [22]. Understanding agricultural product supply chain risk is based on the study of supply chain risk, and the research scope is limited to agricultural products. Scholars have defined the risk of agricultural product supply chain as shown in Table 1.
Table 1.
Definitions and types of agricultural product supply chain risk.
Chauhan A et al., based on an ISM structural equation model and a DEMATEL decision and evaluation model, concluded that the decisive factors that can improve the overall income of an agricultural product supply chain are output and demand [30]. Therefore, on the basis of understanding the supply chain of agricultural products, coordinating the supply chain of agricultural products under the uncertainty of output and demand is deeply studied. Shi Y and Wang F studied the impact of uncertain output and market demand on the expected profit of each subject of the supply chain and the overall return of the supply chain, and coordinated the supply chain by adjusting the revenue-sharing contract [31]. Giri B C et al. studied a three-tier agricultural supply chain consisting of two suppliers and one buyer. In the face of uncertain output and demand, fixed-price contracts and a new revenue-sharing contract were adopted to coordinate the supply chain and avoid the risk of supply chain disruption [32]. Chen T et al. studied the two-level agricultural product supply chain composed of a manufacturer and a retailer under the dual uncertainty of output and demand, adopted the mixed contract of “quantity discount + revenue sharing” to coordinate the supply chain, and verified the coordination effectiveness through numerical analysis [33]. Liu X et al. built a two-level agricultural supply chain composed of companies and farmers under the uncertainty of agricultural production and market demand. In order to coordinate the income distribution between the two sides of the supply chain, an income distribution coordination mechanism based on income-sharing coefficient and margin was proposed [34].
Research on the supply chain of green agricultural products mainly focuses on the decision making and coordination of the supply chain. Su studied the model of “connecting agriculture to supermarkets” and analyzed the optimal decision making of supermarkets under different conditions based on Stackelberg game theory, and adopted “wholesale price + order subsidy” to coordinate the supply chain and improve the profits of supply chain subjects [35]. Tan constructed a secondary agricultural supply chain considering the freshness and greenness of agricultural products, analyzed the optimal decision making of supply chain members via game theory, coordinated the supply chain through cost-sharing contracts, and narrated the profit gap between producers and retailers [36]. Considering consumer preferences, Hu Q et al. studied how farmers’ cooperatives, introducing online channels and green brand building, make decisions under the dual-channel supply chain and contractual cooperation model of green agricultural products [37]. Hu H et al. constructed a two-level green agricultural product supply chain of retailers and cooperatives, in which cooperatives provided green input and retailers provided fresh-keeping input. Based on a game analysis on whether fairness was considered, it was more beneficial to consider the fairness of agricultural cooperatives [38]. Cao Y et al. constructed a green agricultural product supply chain for cooperatives, enterprises, and environmentally sensitive consumers, and concluded that the degree of greenness is decided jointly by cooperatives and enterprises, and green efforts in the supply chain of cost-sharing contracts and buyback contracts are adopted for decision making [39]. Cui L et al. constructed a two-level green agricultural product supply chain composed of farmers and retailers, adopted a revenue-sharing contract for coordination, and found that its effectiveness was positively correlated with consumers’ green cognitive sensitivity [40].
Based on the application of conditional value-at-risk theory in agricultural supply chains, some scholars use CVaR to describe the degree of risk avoidance to coordinate agricultural supply chain. YE output and demand uncertainty set the wholesale price of agricultural supply chain based on CVaR, and is affected by the interaction between farmers’ risk aversion and yield uncertainty; meanwhile, the retail price is affected by the interaction between demand uncertainty and price elasticity. Agricultural supply chains with uncertain output and demand orders are coordinated under the mechanism of revenue sharing and cost sharing [41]. Peng (2023) constructed a second-order agricultural supply chain with risk-averse farmers and a risk-neutral company, used conditional value at risk (CVaR) to obtain the optimal output of agricultural products, and introduced option contracts to enable farmers to respond to the price fluctuation risks of agricultural products by exercising their rights, in order to achieve supply chain coordination [42]. Liao C studied a three-level agricultural supply chain composed of a risk-averse farmer, a risk-neutral supplier, and a risk-averse retailer, and adopted three options contracts, wholesale price contracts, and replenishment cost-sharing contracts under the CVaR criterion based on random demand [43]. C Liao et al. built a three-level fresh product supply chain composed of suppliers, distributors, and retailers, used CVaR to measure retailers’ decision making in risk avoidance and preference, and adopted option contracts to coordinate the supply chain. It was concluded that the aversion and preference towards retailers will not affect the option strike price, but only the option purchase price of distributors and retailers [44].
To sum up, the main research object of agricultural supply chain coordination research under the double uncertainty of output and demand is fresh agricultural products, and there are few systematic studies on the green agricultural product supply chain under the double uncertainty of output and demand; the risk avoidance degree of farmers is not considered in the coordination analysis for green agricultural product supply chains. Therefore, this paper takes green agricultural products as the research object, considers their greenness, environmental protection, and other characteristics, adds greenness into the Stackelberg game model, uses CVaR theory to consider the risk avoidance degree of farmers, and deeply studies how to coordinate the supply chain to help supply chain members make optimal decisions and improve the income of each subject in the supply chain to achieve Pareto optimization.
3. The Basic Model
3.1. Problem Description
Considering the characteristics of green agricultural products themselves, the production and sales of green agricultural products generally take leading processing enterprises as the core supply chain model. Therefore, under the double uncertainty of output and demand, this paper analyzes the “company + farmer” type green agricultural product supply chain, and establishes a basic model of a two-level green agricultural product supply chain composed of a risk-averse farmer and risk-neutral company. The input of farmers, the greenness of agricultural products, and the order quantity and price of the company can be obtained under the maximum profit. At the same time, the supply chain coordination decision-making model under the revenue-sharing contract is introduced to consider the fixed costs of farmers’ farm tools and daily consumption. The cost of inputs such as seeds, pesticides, fertilizers, and efforts to produce green agricultural products are all expressed as the product of agricultural input and the production cost per unit of agricultural input for farmers. Under the double uncertainty of output and demand, two variables of farmers’ shortage loss and unit salvage value are added to the model. Farmers and companies sign sales contracts; since the output is random, the actual output is = , where is the random output rate of farmers, ; represents the upper bound of the random variable; is the agricultural inputs of farmers; and and are the cumulative distribution and probability density function of green agricultural product output. Thus, we put forward the following assumptions:
Assumption 1.
The company is assumed to be risk-neutral and perfectly rational, with the ultimate goal of maximizing expected profits. Farmers are risk avoiders, and the ultimate goal is utility maximization.
Assumption 2.
The farmer and the company sign a mutually agreed order based on their expectations, which specifies the price of the purchased unit of green agricultural products at the end of production (the order price); and are the cumulative distribution and probability density function of .
In addition, the stock loss of farmers is greater than the unit salvage value, that is, ; the residual value of farmers’ unit surplus agricultural products is lower than the unit production cost, that is, , to ensure that farmers cannot obtain profits through excessive production.
Assumption 3.
The information of farmers and companies is symmetrical, and both farmers and companies know the cost, income, and sales strategy of each other.
Assumption 4.
Demand uncertainty is the biggest risk factor facing the company. In order to consider the impact of greenness on market demand, the relationship of the market demand parameter is ; and are the cumulative distribution of demand and the probability density function. Market demand is considered as follows:
Among them, represents the market variables and random demand, .
Consider the existence of the following inventory factors:
Therefore, the corresponding order quantity can be rewritten as follows:
Therefore, the decision variable can be converted into the selling price p and the inventory factor z.
Assumption 5.
Market demand will decrease as the sales price increases, but if the greenness of green agricultural products increases, the market demand will also increase.
3.2. Income Function of Farmers and Companies
Based on the above assumptions, if the company does not provide any income contract mechanism to coordinate farmers, the income function of farmers’ green agricultural products is as follows:
The revenue function of the company’s green agricultural products is as follows:
Therefore, when the company cooperates with farmers, the revenue function of the entire supply chain is the following:
Among them, represents the sales revenue of green agricultural products; represents the company’s residual income; is the company cost; represents the backorder cost; represents the input cost of farmers’ agricultural capital; and represents the production cost of green products, where k is the cost coefficient of greenness and g is the greenness.
4. Decision-Making Model
4.1. Centralized Decision Model
In the case of centralized decision making, the whole green agricultural product supply chain is taken as the research object, and the profit maximization of the whole supply chain is taken as the decision-making goal. At this time, with the farmer and the company as a whole, all the green agricultural products produced by the farmer are responsible for sales by the company. According to the above model’s assumptions, the profit function of the green agricultural product supply chain under the decision is described as follows:
The definition is as follows:
Since D represents the market size at p = 0, it conforms to the uniform distribution of [α, β]. Therefore, the following uniform distribution can be obtained:
Further, Formula (2) can be rewritten as follows:
Since the output factors of farmers conform to the uniform distribution of (0, 1), we have the following:
In the centralized decision-making mode, the expected return of the whole supply chain is the following:
Below, the optimal solution conditions are used to find the optimal input, the optimal retail price, the optimal order quantity, and the optimal greenness; thus, there are the following:
Then, we can obtain the following:
The ratio of the company’s order quantity to the producer’s agricultural inputs is as follows:
With respect to the partial derivative of q, the optimal order quantity under centralized decision making can be obtained as follows:
Therefore, we obtain the following:
Plug and into the following equation to obtain the following:
Using the equation above, we obtain . Therefore, when the distribution function of the stock factor z is an increasing generalized failure rate function, the optimal stock factor is , as follows:
4.2. Decentralized Decision Model
4.2.1. Farmer Production Optimal Decision
When there is no coordination, the decision of the green agricultural supply chain is a typical wholesale price contract decision. For realism, here we consider the Stackelberg game in which farmers act first, and the information of the two is symmetric, namely, the wholesale price of agricultural products. It is determined by the farmer according to the company’s sales price response function. Farmers can determine the agricultural inputs and greenness according to the market demand distribution function, and the company as a follower decides the sales price and order quantity.
The profit function of farmers is as follows:
The profit function of farmers’ sales expectation is the following:
According to the generalized definition of CVaR, the decision objective function for farmers with risk avoidance characteristics to select production yield q can be described as follows:
where v represents the value at risk at a given confidence level . represents the degree of risk avoidance of farmers.
We define a function as follows:
Therefore, we obtain the following:
The ratio of the company’s order quantity to the producer’s agricultural inputs is the following:
The optimal order quantity is the following:
The optimal inventory factor is as follows:
The optimal greenness is the following:
Substitute (1) into the above formula to obtain the following:
where represents the projection operator.
For fixed p, z, and g, can be discussed in three cases:
When , the = 1 > 0
When , the
Therefore, we have the following:
It is worth noting that in the following:
When , we obtain the following:
Therefore, we obtain the following:
Let be the optimal yield because is a concave function of v, which can be obtained according to the above three cases as follows:
By introducing , the optimal retail price and greenness distribution of farmers can be obtained, and the optimal agricultural input volume, greenness, and optimal wholesale order price of farmers, respectively, are the following:
The best order wholesale price is as follows:
4.2.2. Company Pricing Optimal Decision
The profit function of the firm is the following:
where represents the procurement cost.
The profit function of sales expectation is as follows:
Making use of the following:
The optimal order quantity of the company can be obtained as follows:
Plug and into the following equation:
Using the above equation, we obtain .
Therefore, the following results:
5. Revenue-Sharing Coordination Mechanism
First of all, the company determines the sales price from the perspective of maximizing the overall benefits of the supply chain. The advantage of this is that it can stimulate the consumer market and satisfy consumers with green agricultural products at a lower price. After negotiation, farmers also sell green agricultural products to the company at a lower wholesale price. Secondly, the company needs to share the income from the sale of the product to the market with the farmers according to a certain proportion. represents the share proportion retained by the company from its sales revenue. The share proportion of farmers is 1 − . Through the change in the profit-sharing coefficient, the agricultural input of farmers, the greenness of agricultural products, the order quantity of the company, and the retail price, agricultural products will change with the change in the profit-sharing coefficient, finally affecting changes in their respective expected profits.
The profit function of the firm after the introduction of the contract is the following:
The profit function of sales expectation is as follows:
Making use of the following:
The optimal order quantity of the company can be obtained as follows:
Plug and into the following equation to obtain the following:
Using the equation above, we obtain .
After introducing the contract, the profit function of farmers is the following:
The profit function of sales expectation is as follows:
Making use of the following:
The optimal agricultural investment amount and greenness of the company can be obtained as follows:
Under the circumstance that the output and demand of green agricultural products are uncertain, the purpose of introducing a benefit-sharing contract in the above model is to make farmers and companies no longer make decisions with the goal of maximizing their own interests, but instead tend to follow a centralized decision-making mode. While improving the overall interests of the supply chain, it also improves the interests of farmers and companies. We make use of the following:
Thus, when the share proportion is the following:
Order volume has reached coordination.
When we have the following:
Then, the share proportion becomes the following:
The amount of agricultural capital input of farmers has reached coordination.
When we have the following:
And then, the share proportion is as follows:
The greenness is in harmony.
6. Numerical Analysis
In order to analyze the role of the overall coordination mechanism, consider the parameter assignments as shown in Table 2.
Table 2.
Parameter assignments.
According to the parameter assignments in Table 2, they are substituted into the green agricultural product supply chain Jupiter under uncertain output and demand. Through calculation, it can be seen that the company’s selling price is 27.2 in the decentralized decision-making state. The order quantity from farmers is 6.9; the amount of agricultural input of farmers is 14.2; and the greenness of agricultural products is 2.7. In the centralized decision-making state, the selling price of sellers is 29.2, and the order quantity of farmers is 24.4. The agricultural input of farmers is 35.2, and the greenness of agricultural products is 2.9.
Under centralized decision making, the expected profit of the agricultural supply chain is 92.3. In decentralized decision making, the expected profits of farmers and sellers are 43.1 and 9.3, respectively, and the expected profit of the agricultural product supply chain is 52.4. According to the calculated numerical results, when the green agricultural product supply chain is under centralized decision making, the greenness of the product, the selling price, the order quantity, and the agricultural input quantity are all better than those under decentralized decision making, which is also in line with the theory because the centralized decision making is the result under ideal conditions and can be used as a reference for the decision making of farmers and companies. In decentralized decision making, on the one hand, farmers are reluctant to increase the input of agricultural materials due to the uncertainty of output and demand; on the other hand, sellers face the same problem and order smaller quantities to reduce their own risks. After the introduction of the revenue-sharing contract, within a reasonable revenue-sharing coefficient range, set the range as of and take 0.01 as the step to calculate the corresponding value of each decision variable and the profit of the supply chain.
6.1. The Influence of Income-Sharing Coefficient on the Profits of Farmers and Companies
Figure 1a,b show that with an increase in the income-sharing coefficient, the profits of both farmers and companies show an upward trend. We hypothesize that the wholesale price is determined by the farmer according to the company’s price response function. After introducing the revenue-sharing contract, the selling price also decreased to a certain extent. Although the wholesale price of farmers is lower than that of decentralized decision making, the company’s order quantity from farmers increased, and farmers were willing to increase their input of agricultural resources, so the profits of farmers and companies show an upward trend. This is also in line with the actual situation. Within a reasonable range of the income-sharing coefficient, the greenness of green agricultural products is higher than that of ordinary agricultural products, and the sales price is lower than before the introduction of the contract, which stimulates the consumption desire of consumers and promotes increases in the profits of farmers and companies.
Figure 1.
(a) The influence of income-sharing coefficient on farmers’ expected profit. (b) The effect of revenue-sharing coefficient on the firm’s expected profit.
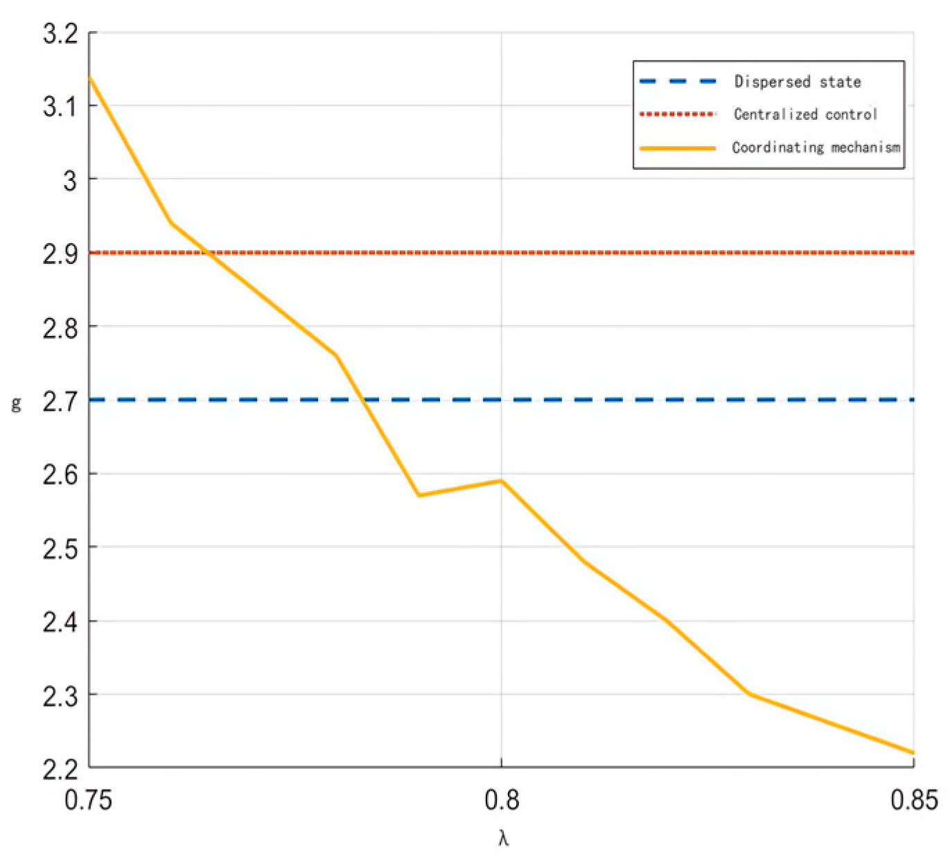
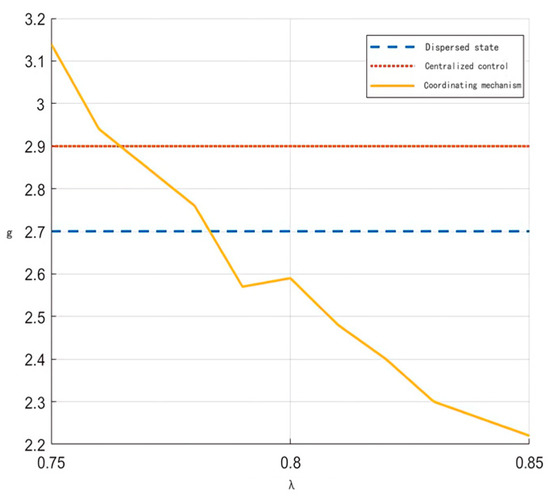
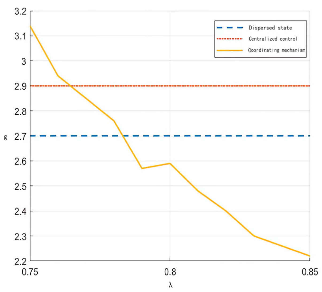
6.2. Effect of Income-Sharing Coefficient on Greenness of Agricultural Products
As can be seen from Figure 2, the greenness of agricultural products in centralized decision making is in a higher state than that in decentralized decision making. This is because decentralized decision making requires more green costs to improve the greenness of agricultural products, so farmers make decisions based on the principle of maximizing their own interests and are reluctant to increase green production costs. After the introduction of the revenue-sharing contract, when the income of farmers from the company decreases with the increase, the greenness of agricultural products will be further affected. This is also in line with the reality. For farmers, in order to maintain a profitable state, farmers will choose to reduce the greenness of agricultural products to reduce costs.
Figure 2.
Effect of income-sharing coefficient on greenness of agricultural products.
6.3. Effect of Income-Sharing Coefficient on Order Quantity and Agricultural Input Quantity
It can be seen from Figure 3a,b that when farmers and companies agree to introduce the revenue-sharing contract, both the input of agricultural capital and the ordered quantity of green agricultural products show a rising trend. This result not only meets the demand of market consumers for green agricultural products, but also meets the necessary conditions for the profit growth of farmers and sellers, forming a good trend of farmers increasing their agricultural input and companies increasing their orders. In real life, when the two reach a sales agreement, the company receives a lower wholesale price, and inevitably increases the quantity of green agricultural products ordered; Farmers will also increase their agricultural inputs to meet the company’s increased orders, forming a virtuous circle.
Figure 3.
(a) Effect of revenue-sharing coefficient on order quantity. (b) Effect of income-sharing coefficient on agricultural capital input.
7. Discussion and Conclusions
The internal and external environments of the supply chain for green agricultural products is complex, and its ability to resist natural risks and market risks is poor. In addition, the supply chain for green agricultural products contains a large number of subjects, and the chain is long. When signing and executing contracts, some subjects in the chain have opportunistic tendencies, and there are problems of low operational efficiency in the supply chain system. Under the double uncertainty of output and demand, the output end and demand end of the supply chain of green agricultural products face an imbalance phenomenon, which leads to the risk of interruptions to the supply chain of green agricultural products. On this basis, this paper constructed a Stackelberg game model of “firm + farmer” green agricultural product supply chain and introduced CVaR theory to study the coordination mechanism of a green agricultural product supply chain under the double uncertainty of output and demand, considering the risk avoidance degree of farmers. The benefit-sharing contract was used to coordinate the supply chain. After the coordination, the income of farmers, the income of companies, and the income of the whole supply chain improved to different degrees, so that the supply chain was able to reach the Pareto optimal. The effectiveness of the model was verified through numerical simulation.
In theory, this paper provides a new perspective for the study of green agricultural product supply chain coordination. Currently, the study of agricultural product supply chains mainly focuses on the supply chain of fresh agricultural products, with few studies on issues related to green agricultural product supply chains. Most research on supply chain coordination focuses on the coordination of multi-agent supply chains, price, and service competition under random demand. From the perspective of double uncertainty of output and demand, this paper combined theory with practice to analyze the sustainable operation mechanism of a green agricultural product supply chain under the uncertainty of production and demand, and to some extent filled gaps in terms of coordinating the green agricultural product supply chain under the uncertainty of production and demand.
The results show that the greenness, selling price, order quantity, and input quantity of green agricultural products are better than those parameters under decentralized decision making. In decentralized decision making, farmers are reluctant to increase their input of agricultural materials due to the double uncertainty of output and demand, and companies also order smaller quantities to reduce their own risks. After introducing a revenue-sharing contract, the selling price also decreases to a certain extent, and the company increases the quantity of its orders from farmers. Within a reasonable range of the revenue-sharing coefficient, the greenness of green agricultural products is higher than that of ordinary agricultural products, and the selling price is lower than before the introduction of the contract; this stimulates the consumption desire of consumers and can increase the profits of farmers and companies. The greenness of agricultural products in centralized decision making is higher than that in decentralized decision making. The introduction of revenue-sharing contracts can increase the agricultural capital input of farmers and the amount of green agricultural products ordered by companies. After coordination, farmers and companies no longer make decisions to maximize their own interests, but tend to follow a centralized decision-making mode. Through numerical simulation analysis, it was verified that the revenue-sharing contract improved the overall incomes of farmers, companies, and the supply chain, making the supply chain reach the Pareto optimal; thus, the overall operation efficiency and stability of the supply chain improved.
Under the double uncertainty of output and demand, there are still many problems in operating a green agricultural products supply chain, which lead to the risk of interruptions to the supply chain. This paper analyzed a supply chain of green agricultural products in the form of “company + farmer”, but there are some limitations. In future research, we can consider how to coordinate the dual-channel supply chain with the double uncertainty of output and demand. In addition, on the basis of the existing research on the “bullwhip effect” and the “robustness model”, the future focus will be on the study and measurement of supply chain stability and the stability of the supply chain of green agricultural products under the uncertainty of output and demand. In the future, we can further evaluate the performance of green agricultural products supply chains under the uncertainty of output and demand, in order to improve their overall efficiency.
Author Contributions
Conceptualization, Q.W. and Q.Z.; methodology, R.Q.; software, M.N.; validation, W.W., Q.W. and M.N.; formal analysis, Q.Z.; investigation, Q.W. and R.Q.; writing—original draft preparation, Q.W.; writing—review and editing, Q.W., W.W. and M.N.; supervision, Q.Z. All authors have read and agreed to the published version of the manuscript.
Funding
This research was supported by the Natural Science Foundation of Heilongjiang Province, China, under the project of “Research on Financial Risk warning, blocking and Recovery Mechanism of Online Farm product Supply chain”, grant number LH2023G016.
Institutional Review Board Statement
Not applicable.
Informed Consent Statement
Not applicable.
Data Availability Statement
The data presented in this study are available on request from the corresponding author. The data are not publicly available due to personal privacy and non-open access to the research program.
Conflicts of Interest
The authors declare no conflicts of interest.
References
- Thomas, C. The United Nations Conference on Environment and Development (UNCED) of 1992 in Context. Environ. Politics 1992, 1, 250–261. [Google Scholar] [CrossRef]
- Cars, M.; West, E.E. Education for sustainable society: Attainments and good practices in Sweden during the United Nations Decade for Education for Sustainable Development (UNDESD). Environ. Dev. Sustain. 2015, 17, 1–21. [Google Scholar] [CrossRef]
- Pachapur, P.K.; Pachapur, V.L.; Brar, S.K.; Galvez, R.; Le Bihan, Y.; Surampalli, R.Y. Food security and sustainability. Sustain. Fundam. Appl. 2020, 17, 357–374. [Google Scholar] [CrossRef]
- Roy, P.; Mohanty, A.K.; Dick, P.; Misra, M. A Review on the Challenges and Choices for Food Waste Valorization: Environmental and Economic Impacts. ACS Environ. Au 2023, 3, 58–75. [Google Scholar] [CrossRef] [PubMed]
- Tallard, G.; Adenuer, M.; Deconinck, K.; Gouarin, G. Potential impact of dietary changes on the triple challenge facing food systems: Three stylised scenarios. OECD Food Agric. Fish. Pap. 2022, 1–47. [Google Scholar] [CrossRef]
- Liu, R.; Gao, Z.; Snell, H.A.; Ma, H. Food safety concerns and consumer preferences for food safety attributes: Evidence from China. Food Control 2020, 112, 107157. [Google Scholar] [CrossRef]
- Yang, W.; Fang, L. Consumer Willingness to pay for food safety attributes in China: A meta-analysis. J. Int. Food Agribus. Mark. 2021, 33, 152–169. [Google Scholar] [CrossRef]
- Yu, X.; Guo, L.; Jiang, G.; Song, Y.; Muminov, M.A. Advances of organic products over conventional productions with respect to nutritional quality and food security. Acta Ecol. Sin. 2018, 38, 53–60. [Google Scholar] [CrossRef]
- Xu, J.; Zhong, J.; Zhang, B.; Li, X. Green Labelled Rice Shows a Higher Nutritional and Physiochemical Quality Than Conventional Rice in China. Foods 2021, 10, 915. [Google Scholar] [CrossRef] [PubMed]
- Ye, F.; Yang, Z.; Yu, M.; Watson, S.; Lovell, A. Can market-oriented reform of agricultural subsidies promote the growth of agricultural green total factor productivity? Empirical evidence from maize in China. Agriculture 2023, 13, 251. [Google Scholar] [CrossRef]
- Huang, X.; Feng, C.; Qin, J.; Wang, X.; Zhang, T. Measuring China’s agricultural green total factor productivity and its drivers during 1998–2019. Sci. Total Environ. 2022, 829, 154477. [Google Scholar] [CrossRef] [PubMed]
- Wubie, A.A. Review on the impact of climate change on crop production in Ethiopia. J. Biol. Agric. Healthc. 2015, 5, 103–111. [Google Scholar]
- Abubakar, A.; Ishak, M.Y.; Uddin, M.K.; Zangina, A.S.; Ahmad, M.H.; Danhassan, S.S. Impact of climate change and adaptations for cultivation of millets in Central Sahel. Environ. Sustain. 2023, 6, 441–454. [Google Scholar] [CrossRef]
- Sánchez-Bravo, P.; Chambers, E.; Noguera-Artiaga, L.; Sendra, E.; Chambers, I.V.E.; Carbonell-Barrachina, Á.A. Consumer understanding of sustainability concept in agricultural products. Food Qual. Prefer. 2021, 89, 104136. [Google Scholar] [CrossRef]
- Nguyen, H.; Le, H. The effect of agricultural product eco-labelling on green purchase intention. Manag. Sci. Lett. 2020, 10, 2813–2820. [Google Scholar] [CrossRef]
- Deschênes, O.; Greenstone, M. The economic impacts of climate change: Evidence from agricultural output and random fluctuations in weather: Reply. Am. Econ. Rev. 2012, 102, 3761–3773. [Google Scholar] [CrossRef]
- Cheng, S.; A López, M. Synergy analysis of agricultural economic cycle fluctuation based on ant colony algorithm. Open Phys. 2018, 16, 978–988. [Google Scholar] [CrossRef]
- Chen, W.; Li, J.; Jin, X. The replenishment policy of agri-products with stochastic demand in integrated agricultural supply chains. Expert Syst. Appl. 2016, 48, 55–66. [Google Scholar] [CrossRef]
- Zhao, Z.; Min, K.J. Blockchain Traceability Valuation for Perishable Agricultural Products Under Demand Uncertainty. Int. J. Oper. Res. Inf. Syst. 2020, 11, 1–32. [Google Scholar] [CrossRef]
- Tamasiga, P.; Onyeaka, H.; Bakwena, M.; Happonen, A.; Molala, M. Forecasting disruptions in global food value chains to tackle food insecurity: The role of AI and big data analytics—A bibliometric and scientometric analysis. J. Agric. Food Res. 2023, 14, 100819. [Google Scholar] [CrossRef]
- Maria, S.A.; Jesse, L. Global Supply Chain Disruptions and Inflation During the COVID-19 Pandemic. Review 2022, 104, 78–91. [Google Scholar]
- Ivanov, D. Two views of supply chain resilience. Int. J. Prod. Res. 2024, 62, 4031–4045. [Google Scholar] [CrossRef]
- Imbiri, S.; Rameezdeen, R.; Chileshe, N.; Statsenko, L. A nove1 taxonomy for risks in agribusiness supp1y chains a systematic literature review. Sustainability 2021, 13, 9217. [Google Scholar] [CrossRef]
- Eremenko, V.; Shumilin, P.; Shamkina, E.; Shumilina, V.; Makartsova, T.; Kravchenko, A.; Evsyukova, O.; Filippova, A.; Yatsuk, D. Adaptation of accounting in agribusiness risk management system. E3S Web Conf. 2020, 164, 10006. [Google Scholar] [CrossRef]
- Zhao, G.; Liu, S.; Lopez, C.; Chen, H.; Lu, H.; Mangla, S.K.; Elgueta, S. Risk analysis of the agri-food supply chain: A multi-method approach. Int. J. Prod. Res. 2020, 58, 4851–4876. [Google Scholar] [CrossRef]
- Sharma, R.; Shishodia, A.; Kamble, S.; Gunasekaran, A.; Belhadi, A. Agriculture supply chain risks and COVID-19: Mitigation strategies and implications for the practitioners. Int. J. Logist. Res. Appl. 2020, 1–27. [Google Scholar] [CrossRef]
- Bo, Y.; Han-Meng, S.U. A Review of Risk Identification of Multinational Agricultural Products Supply Chain. In Proceedings of the 2018 5th International Conference on Management Science and Management Innovation (MSMI 2018), Wuhan, China, 20–22 April 2018; Atlantis Press: Amsterdam, The Netherlands, 2018; pp. 234–238. [Google Scholar]
- He, X.; Zhang, C.; Jing, Y.; Ai, X. Risk Evaluation of Agricultural Product Supply Chain Based on BP Neural Network. In Proceedings of the 2019 16th International Conference on Service Systems and Service Management (ICSSSM), Shenzhen, China, 13 July 2019. [Google Scholar]
- Wang, W.; Cao, Q.; Liu, Y.; Zhou, C.; Jiao, Q.; Mangla, S.K. Risk management of green supply chains for agricultural products based on social network evaluation framework. Bus. Strategy Environ. 2024, 3, 1–22. [Google Scholar] [CrossRef]
- Chauhan, A.; Kaur, H.; Yadav, S.; Jakhar, S.K. A hybrid model for investigating and selecting a sustainable supply chain for agri-produce in India. Ann. Oper. Res. 2020, 290, 621–642. [Google Scholar] [CrossRef]
- Shi, Y.; Wang, F. Agricultural supply chain coordination under weather-related uncertain yield. Sustainability 2022, 14, 5271. [Google Scholar] [CrossRef]
- Giri, B.C.; Majhi, J.K.; Chaudhuri, K. Coordination mechanisms of a three-layer supply chain under demand and supply risk uncertainties. RAIRO-Oper. Res. 2021, 55, S2593–S2617. [Google Scholar] [CrossRef]
- Chen, T.; Liu, C.; Xu, X. Coordination of Perishable Product Supply Chains with a Joint Contract under Yield and Demand Uncertainty. Sustainability 2022, 14, 12658. [Google Scholar] [CrossRef]
- Liu, X.; Shen, X.; You, M. Study on coordination and optimization of contract farming supply chain based on uncertain conditions. Sci. Program. 2020, 2020, 8858812. [Google Scholar] [CrossRef]
- Su, H.; Cui, Y.; Liu, B. Research on the supply chain model based on the differentiation of green agricultural products. In MATEC Web of Conferences; EDP Sciences: Les Ulis, France, 2018; Volume 232, p. 02012. [Google Scholar]
- Tan, M.; Tu, M.; Wang, B.; Zou, T.; Cheng, H. A Two-Echelon Agricultural Product Supply Chain with Freshness and Greenness Concerns: A Cost-Sharing Contract Perspective. Complexity 2020, 1, 1–13. [Google Scholar] [CrossRef]
- Hu, Q.; Xu, Q.; Xu, B. Introducing of Online Channel and Management Strategy for Green Agri-food Supply Chain based on Pick-Your-Own Operations. Int. J. Environ. Res. Public Health 2019, 16, 1990. [Google Scholar] [CrossRef] [PubMed]
- Hu, H.; Li, Y.; Li, M.; Zhu, W.; Chan, F. Optimal decision-making of green agricultural product supply chain with fairness concerns. J. Ind. Manag. Optim. 2023, 19, 4926–4948. [Google Scholar] [CrossRef]
- Cao, Y.; Tao, L.; Wu, K.; Wan, G. Coordinating joint greening efforts in an agri-food supply chain with environmentally sensitive demand. J. Clean. Prod. 2020, 277, 123883. [Google Scholar] [CrossRef]
- Cui, L.; Guo, S.; Zhang, H. Coordinating a green agri-food supply chain with revenue-sharing contracts considering retailers’ green marketing efforts. Sustainability 2020, 12, 1289. [Google Scholar] [CrossRef]
- Ye, F.; Lin, Q.; Li, Y. Coordination for contract farming supply chain with stochastic yield and demand under CVaR criterion. Oper. Res. 2020, 20, 369–397. [Google Scholar] [CrossRef]
- Hongjun, P.; Meng, Y. Coordination of Order-agriculture Supply Chain Based on CVaR under Option Contract. Oper. Res. Manag. Sci. 2023, 32, 131. [Google Scholar]
- Liao, C.; Lu, Q.; Lin, L. Coordinating a three-level contract farming supply chain with option contracts considering risk-averse farmer and retailer. PLoS ONE 2023, 18, e0279115. [Google Scholar] [CrossRef]
- Nan, C.; Cai, J.; Han, W. Coordination of Supply Chain of a Three-level Fresh Products Based on Conditional Value at Risk. In Proceedings of the 2021 IEEE International Conference on Industrial Engineering and Engineering Management (IEEM), Singapore, 13–16 December 2021; pp. 153–157. [Google Scholar]
Disclaimer/Publisher’s Note: The statements, opinions and data contained in all publications are solely those of the individual author(s) and contributor(s) and not of MDPI and/or the editor(s). MDPI and/or the editor(s) disclaim responsibility for any injury to people or property resulting from any ideas, methods, instructions or products referred to in the content. |
© 2024 by the authors. Licensee MDPI, Basel, Switzerland. This article is an open access article distributed under the terms and conditions of the Creative Commons Attribution (CC BY) license (https://creativecommons.org/licenses/by/4.0/).


