An Evaluation of Dryland Ulluco Cultivation Yields in the Face of Climate Change Scenarios in the Central Andes of Peru by Using the AquaCrop Model
Abstract
1. Introduction
2. Materials and Methods
2.1. Studied Area
2.2. Experimental Design
2.3. Experimental Plots Set-Up
2.4. Soil Characteristics
2.5. Crop Fertilization
2.6. Weather Data
2.7. Data Collection of Morpho-Physiological Variables for Model Calibration
2.8. Statistical Analysis
2.9. AquaCrop’s Crop Development Modeling
2.10. Climate Change Explorations
3. Results
3.1. Tuber Yields by Sowing Date and Type of Fertilization
3.2. Ullucus Tuberosus Cultivation Development Model under Dryland Conditions
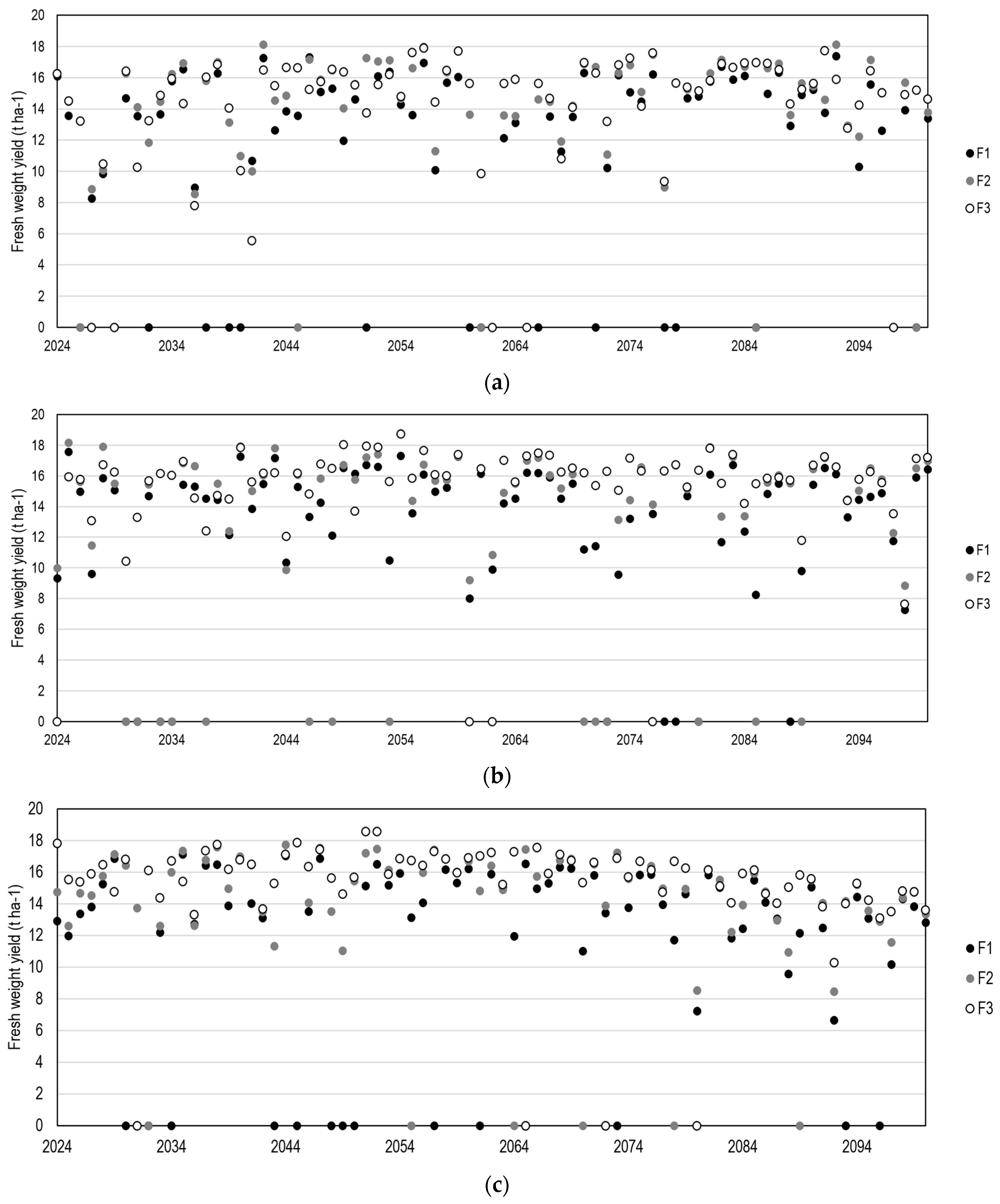
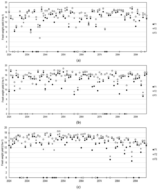
3.3. Climate Change Scenarios
3.4. Yield Projections under Climate Change Conditions
4. Discussion
5. Conclusions
Author Contributions
Funding
Institutional Review Board Statement
Informed Consent Statement
Data Availability Statement
Conflicts of Interest
References
- Sanchez-Portillo, S.; del Sánchez, M.R.S.; Solanilla-Duque, J.F.; Herrera, R.R. Andean Tubers, Morphological Diversity, and Agronomic Management: A Review. Plant Sci. Today 2023, 10, 98–105. [Google Scholar] [CrossRef]
- Manrique, I.; Arbizu, C.; Vivanco, F.; Gonzales, R.; Ramírez, C.; Chávez, O.; Tay, D.; Ellis, D. Ullucus Tuberosus Caldas: Colección de Germoplasma de ulluco Conservada en el Centro Internacional de la Papa (CIP), 1st ed.; International Potato Center: Lima, Peru, 2017; ISBN 978-92-9060-482-2. [Google Scholar] [CrossRef]
- Tapia Núñez, M.E.; Fries, A.M.; Mazar, I. Guía de Campo de los Cultivos Andinos, 1st ed.; Rosell, C., Ed.; Asociación Nacional de Productores Ecológicos del Perú: Lima, Roma; Organización de las Naciones Unidas para la Agricultura y la Alimentación: Lima, Roma, 2007; ISBN 978-92-5-305682-8. [Google Scholar]
- Busch, J.M.; Sangketkit, C.; Savage, G.P.; Martin, R.J.; Halloy, S.; Deo, B. Nutritional Analysis and Sensory Evaluation of Ulluco (Ullucus tuberosus Loz) Grown in New Zealand. J. Sci. Food Agric. 2000, 80, 2232–2240. [Google Scholar] [CrossRef]
- Campos, D.; Chirinos, R.; Gálvez Ranilla, L.; Pedreschi, R. Bioactive Potential of Andean Fruits, Seeds, and Tubers. In Advances in Food and Nutrition Research; Elsevier: Amsterdam, The Netherlands, 2018; Volume 84, pp. 287–343. ISBN 978-0-12-814990-4. [Google Scholar] [CrossRef]
- O’Hair, S.K.; Maynard, D.N. VEGETABLES OF TROPICAL CLIMATES | Root Crops of Uplands. In Encyclopedia of Food Sciences and Nutrition, 2nd ed.; Caballero, B., Ed.; Academic Press: Oxford, UK, 2003; pp. 5962–5965. Available online: https://www.sciencedirect.com/science/article/pii/B012227055X012438 (accessed on 10 March 2024)ISBN 978-0-12-227055-0.
- MIDAGRI Perfil Productivo y Competitivo de Los Principales Cultivos Del Sector. Available online: https://app.powerbi.com/view?r=eyJrIjoiYjYwYTk5MDgtM2M0MS00NDMyLTgzNDEtMjNhNjEzYWQyOTNlIiwidCI6IjdmMDg0NjI3LTdmNDAtNDg3OS04OTE3LTk0Yjg2ZmQzNWYzZiJ9 (accessed on 29 February 2024).
- INEI IV Censo Nacional Agropecuario 2012—Base de Datos REDATAM. Available online: http://censos1.inei.gob.pe/Cenagro/redatam/ (accessed on 21 May 2024).
- Condori, B.; Mamani, P.; Botello, R.; Patiño, F.; Devaux, A.; Ledent, J.F. Agrophysiological Characterisation and Parametrisation of Andean Tubers: Potato (Solanum Sp.), Oca (Oxalis tuberosa), Isaño (Tropaeolum tuberosum) and Papalisa (Ullucus tuberosus). Eur. J. Agron. 2008, 28, 526–540. [Google Scholar] [CrossRef]
- Muñoz, A.M.; Jimenez-Champi, D.; Contreras-López, E.; Fernández-Jerí, Y.; Best, I.; Aguilar, L.; Ramos-Escudero, F. Valorization of Extracts of Andean Roots and Tubers and Its Byproducts: Bioactive Components and Antioxidant Activity in Vitro. Food Res. 2023, 7, 55–63. [Google Scholar] [CrossRef]
- INEI Perú: Consumo Per Cápita de los Principales Alimentos 2008–2009. In Encuesta Nacional de Presupuestos Familiares (ENAPREF); Dirección Técnica de Demografía e Indicadores Sociales-INEI: Lima, Perú, 2012.
- Abbas, A.; Waseem, M.; Ahmad, R.; Khan, K.A.; Zhao, C.; Zhu, J. Sensitivity Analysis of Greenhouse Gas Emissions at Farm Level: Case Study of Grain and Cash Crops. Environ. Sci. Pollut. Res. 2022, 29, 82559–82573. [Google Scholar] [CrossRef]
- Elahi, E.; Li, G.; Han, X.; Zhu, W.; Liu, Y.; Cheng, A.; Yang, Y. Decoupling Livestock and Poultry Pollution Emissions from Industrial Development: A Step towards Reducing Environmental Emissions. J. Environ. Manag. 2024, 350, 119654. [Google Scholar] [CrossRef] [PubMed]
- IPCC. Climate Change 2021—The Physical Science Basis: Working Group I Contribution to the Sixth Assessment Report of the Intergovernmental Panel on Climate Change, 1st ed.; Cambridge University Press: Cambridge, UK, 2023; ISBN 978-1-00-915789-6. [Google Scholar] [CrossRef]
- O’Neill, B.C.; Tebaldi, C.; van Vuuren, D.P.; Eyring, V.; Friedlingstein, P.; Hurtt, G.; Knutti, R.; Kriegler, E.; Lamarque, J.-F.; Lowe, J.; et al. The Scenario Model Intercomparison Project (ScenarioMIP) for CMIP6. Geosci. Model Dev. 2016, 9, 3461–3482. [Google Scholar] [CrossRef]
- Ahmadi, S.H.; Reis Ghorra, M.R.; Sepaskhah, A.R. Parameterizing the AquaCrop Model for Potato Growth Modeling in a Semi-Arid Region. Field Crops Res. 2022, 288, 108680. [Google Scholar] [CrossRef]
- Wang, H.; Cheng, M.; Liao, Z.; Guo, J.; Zhang, F.; Fan, J.; Feng, H.; Yang, Q.; Wu, L.; Wang, X. Performance Evaluation of AquaCrop and DSSAT-SUBSTOR-Potato Models in Simulating Potato Growth, Yield and Water Productivity under Various Drip Fertigation Regimes. Agric. Water Manag. 2023, 276, 108076. [Google Scholar] [CrossRef]
- Wellens, J.; Raes, D.; Fereres, E.; Diels, J.; Coppye, C.; Adiele, J.G.; Ezui, K.S.G.; Becerra, L.-A.; Selvaraj, M.G.; Dercon, G.; et al. Calibration and Validation of the FAO AquaCrop Water Productivity Model for Cassava (Manihot esculenta Crantz). Agric. Water Manag. 2022, 263, 107491. [Google Scholar] [CrossRef]
- Rankine, D.R.; Cohen, J.E.; Taylor, M.A.; Coy, A.D.; Simpson, L.A.; Stephenson, T.; Lawrence, J.L. Parameterizing the FAO AquaCrop Model for Rainfed and Irrigated Field-Grown Sweet Potato. Agron. J. 2015, 107, 375–387. [Google Scholar] [CrossRef]
- Puma-Cahua, J.; Belizario, G.; Laqui, W.; Alfaro, R.; Huaquisto, E.; Calizaya, E. Evaluating the Yields of the Rainfed Potato Crop under Climate Change Scenarios Using the AquaCrop Model in the Peruvian Altiplano. Sustainability 2023, 16, 71. [Google Scholar] [CrossRef]
- Chumbe, R.; Silva, S.; Garcia, Y. Comparison of the Machine Learning and AquaCrop Models for Quinoa Crops. Res. Agric. Eng. 2023, 69, 65–75. [Google Scholar] [CrossRef]
- Geerts, S.; Raes, D.; Garcia, M.; Taboada, C.; Miranda, R.; Cusicanqui, J.; Mhizha, T.; Vacher, J. Modeling the Potential for Closing Quinoa Yield Gaps under Varying Water Availability in the Bolivian Altiplano. Agric. Water Manag. 2009, 96, 1652–1658. [Google Scholar] [CrossRef]
- Alavi, G.; Diels, J.; Willems, P.; García, M. Simulación de la producción de Quinua en el Altiplano Boliviano con el modelo de Aquacrop con escenarios futuros generados por LARS-WG y QMP. Rev. Investig. E Innov. Agropecu. Recur. Nat. 2015, 2, 7–13. [Google Scholar]
- Bwalya, A. Validation of the Aquacrop Model for Irrigated African Eggplant (Solanum macrocarpon) at the Unza Field Station. Ph.D. Thesis, University of Zambia, Lusaka, Zambia, 2012. Available online: https://library.adhl.africa/handle/123456789/12619 (accessed on 10 March 2024).
- Cobeña, O.; Pamela, C. Calibración, validación y utilización del modelo AquaCrop para el cultivo de la chufa (Cyperus esculentus L. var. sativus Boeck.) en Valencia. Master’s Thesis, Universitat Politècnica de Valencia, Valencia, Spain, 2020. Available online: https://riunet.upv.es/handle/10251/134097 (accessed on 10 March 2024).
- Mabhaudhi, T.; Modi, A.T.; Beletse, Y.G. Parameterization and Evaluation of the FAO-AquaCrop Model for a South African Taro (Colocasia esculenta L. Schott) Landrace. Agric. For. Meteorol. 2014, 192, 132–139. [Google Scholar] [CrossRef]
- Sharma, V.; Singh, P.K. Performance of AquaCrop Model for Predicting Yield and Biomass of Okra (Abelmoschus esculentus) Crop. Indian J. Agric. Sci. 2023, 93, 899–905. [Google Scholar] [CrossRef]
- Walker, S.; Bello, Z.A.; Mabhaudhi, T.; Modi, A.T.; Beletse, Y.G.; Zuma-Netshiukhwi, G. Calibration of AquaCrop Model to Predict Water Requirements of Traditional African Vegetables. Acta Hortic. 2013, 1007, 943–949. [Google Scholar] [CrossRef]
- Steduto, P.C.; Hsiao, T.; Fereres, E.; Raes, D. Land and Water Division. In Crop Yield Response to Water; FAO Irrigation and Drainage Paper; FAO: Rome, Italy, 2012; ISBN 978-92-5-107274-5. Available online: https://www.fao.org/documents/card/en/c/c355da16-217c-555b-acbc-505d87bade00 (accessed on 10 March 2024).
- Vanuytrecht, E.; Raes, D.; Steduto, P.; Hsiao, T.C.; Fereres, E.; Heng, L.K.; Garcia Vila, M.; Mejias Moreno, P. AquaCrop: FAO’s Crop Water Productivity and Yield Response Model. Environ. Model. Softw. 2014, 62, 351–360. [Google Scholar] [CrossRef]
- Dewedar, O.; Plauborg, F.; El-Shafie, A.; Marwa, A. Response of Potato Biomass and Tuber Yield under Future Climate Change Scenarios in Egypt. J. Water Land Dev. 2021, 49, 139–150. [Google Scholar] [CrossRef]
- Yaghoobzadeh, M.; Azarmi Atajan, F.; Arabi Ayask, M.; Ghadirian, A.H. Investigating the Effect of Drip and Furrow Irrigation Methods on the Simulation of Sugar Beet Yield by Using the AquaCrop Model. J. Water Res. Agric. 2023, 37, 323–335. [Google Scholar] [CrossRef]
- FAO Limitations|AquaCrop|Food and Agriculture Organization of the United Nations. Available online: https://www.fao.org/aquacrop/overview/limitations/en/ (accessed on 12 May 2024).
- IPCC. Climate Change 2022—Impacts, Adaptation and Vulnerability: Working Group II Contribution to the Sixth Assessment Report of the Intergovernmental Panel on Climate Change, 1st ed.; Cambridge University Press: Cambridge, UK, 2023; ISBN 978-1-00-932584-4. [Google Scholar]
- Tito, R.; Vasconcelos, H.L.; Feeley, K.J. Global Climate Change Increases Risk of Crop Yield Losses and Food Insecurity in the Tropical Andes. Glob. Chang. Biol. 2018, 24, e592–e602. [Google Scholar] [CrossRef]
- Yzarra, W.; Trebejo, I.; Kanamura, H.; Fujisawa, M.; Guerrero, J.; Bello, D.; Villanueva, J.; Soriano, V. Componente 1: Evaluación de Los Impactos del Cambio Climático Sobre el Rendimiento de Los Cultivos en el Perú; Servicio Nacional de Meteorologia e Hidrologia: Lima, Peru, 2015. [Google Scholar]
- Tarmizi, A.H.A. Climate Change and Its Impact on Rainfall. Int. J. Integr. Eng. 2019, 11, 170–177. [Google Scholar]
- Sanabria, J.; Calanca, P.; Alarcón, C.; Canchari, G. Potential Impacts of Early Twenty-First Century Changes in Temperature and Precipitation on Rainfed Annual Crops in the Central Andes of Peru. Reg. Environ. Chang. 2014, 14, 1533–1548. [Google Scholar] [CrossRef]
- Bisbis, M.B.; Gruda, N.; Blanke, M. Potential Impacts of Climate Change on Vegetable Production and Product Quality—A Review. J. Clean. Prod. 2018, 170, 1602–1620. [Google Scholar] [CrossRef]
- Kalliola, R.; Jokela, P.; Pietila, L.; Rousi, A.; Salo, J.; Yli-Rekola, M. Influencia del fotoperíodo en el crecimiento y formación de tubérculos de ulluco (Ullucus tuberosus, Basellaceae), Oca (Oxalis tuberosa, Oxalidaceae) y Añu (Tropaeolum tuberosum, Tropaeolaceae). In Turrialba; IICA: San José, Costa Rica, 1990; Available online: https://repositorio.catie.ac.cr/handle/11554/10460 (accessed on 10 March 2024).
- Markarov, A.M. Causes of Flowering of Long-Day Potato Species under Short-Day and Cold-Night Conditions. Russ. J. Plant Physiol. 2002, 49, 465–469. [Google Scholar] [CrossRef]
- Martin, R.J.; Scheffer, J.J.C.; Deo, B.; Halloy, S.R.P. Effect of Planting Date on Ulluco Yield. Acta Hortic. 2005, 670, 181–187. [Google Scholar] [CrossRef]
- Scheffer, J.J.C.; Douglas, J.A.; Martin, R.J.; Halloy, S.R.P.; Deo, B.; Triggs, C.M. Agronomic Requirements of Ulluco (Ullucus Tuberosus)—A South American Tuber. Agronomy 2002, 32, 41–47. [Google Scholar]
- Acurio, L.; Salazar, D.; Castillo, B.; Santiana, C.; Martínez-Monzó, J.; Igual, M. Characterization of Second-Generation Snacks Manufactured from Andean Tubers and Tuberous Root Flours. Foods 2024, 13, 51. [Google Scholar] [CrossRef] [PubMed]
- Mosquera, N.; Cejudo-Bastante, M.J.; Heredia, F.J.; Hurtado, N. Identification of New Betalains in Separated Betacyanin and Betaxanthin Fractions from Ulluco (Ullucus Tuberosus Caldas) by HPLC-DAD-ESI-MS. Plant Foods Hum. Nutr. Dordr. Neth. 2020, 75, 434–440. [Google Scholar] [CrossRef] [PubMed]
- Velasquez Barreto, F.F.; Bello-Pérez, L.A. Chemical, Structural, Technological Properties and Applications of Andean Tuber Starches: A Review. Food Rev. Int. 2023, 39, 1293–1308. [Google Scholar] [CrossRef]
- Keleman Saxena, A.; Cadima Fuentes, X.; Gonzales Herbas, R.; Humphries, D.L. Indigenous Food Systems and Climate Change: Impacts of Climatic Shifts on the Production and Processing of Native and Traditional Crops in the Bolivian Andes. Front. Public Health 2016, 4, 175055. [Google Scholar] [CrossRef] [PubMed]
- Ponce, N.L.C.; Martínez, M.E.P. Tubérculos andinos y conocimiento agrícola local en comunidades rurales de Ecuador y Colombia. Cuad. Desarro. Rural 2014, 11, 149–166. [Google Scholar] [CrossRef]
- López, G.; Yupanqui, A.T.; Fierro, R.E. Fenología y Agronomía del Cultivo. In El Cultivo del Ulluco en la Sierra Central del Perú; López, G., Hermann, M., Eds.; Conservación y uso de la biodiversidad de raíces y tubérculos andinos: Una década de investigación para el desarrollo (1993–2003); Centro Internacional de la Papa (CIP): Lima, Peru, 2004. [Google Scholar]
- SENAMHI. SENAMHI—Descarga de Datos. Available online: https://www.senamhi.gob.pe/site/descarga-datos/ (accessed on 29 February 2024).
- López, G. Tubérculos-Semilla. In El Cultivo del Ulluco en la Sierra Central del Perú; López, G., Hermann, M., Eds.; Conservación y uso de la biodiversidad de raíces y tubérculos andinos: Una década de investigación para el desarrollo (1993–2003); Centro Internacional de la Papa (CIP): Lima, Peru, 2004. [Google Scholar]
- ISO 11272:2017; Soil Quality—Determination of Dry Bulk Density. ISO (International Organization for Standardization): Geneva, Switzerland, 2017. Available online: https://www.iso.org/standard/68255.html (accessed on 25 March 2024).
- NOM-021-RECNAT-2000; Norma Oficial Mexicana Que Establece Las Especificaciones de Fertilidad, Salinidad y Clasificación de Suelos. Estudios, Muestreo y Análisis. 2002. Available online: https://faolex.fao.org/docs/pdf/mex50674.pdf (accessed on 10 March 2024).
- USEPA. METHOD 9045D. SOIL AND WASTE pH 2004; USEPA: Washington, DC, USA, 2004. Available online: https://www.epa.gov/sites/default/files/2015-12/documents/9045d.pdf (accessed on 25 March 2024).
- ISO 11265:1994; Soil Quality—Determination of the Specific Electrical Conductivity. ISO (International Organization for Standardization): Geneva, Switzerland, 1994. Available online: https://www.iso.org/standard/19243.html (accessed on 25 March 2024).
- ISO 11461:2001; Soil Quality—Determination of Soil Water Content as a Volume Fraction Using Coring Sleeves—Gravimetric Method. ISO (International Organization for Standardization): Geneva, Switzerland, 2001. Available online: https://www.iso.org/standard/33031.html (accessed on 25 March 2024).
- Horikoshi, M.; Tang, Y.; Dickey, A.; Grenié, M.; Thompson, R.; Selzer, L.; Strbenac, D.; Voronin, K.; Pulatov, D. Ggfortify: Data Visualization Tools for Statistical Analysis Results 2024. Available online: https://cran.r-project.org/web/packages/ggfortify/index.html (accessed on 26 January 2024).
- Mendiburu, F. de Agricolae: Statistical Procedures for Agricultural Research, version 1.3-7. 2023. Available online: https://cran.r-project.org/web/packages/agricolae/index.html (accessed on 26 January 2024).
- Paulhus, J.L.H.; Kohler, M.A. Interpolation of Missing Precipitation Records. Mon. Weather Rev. 1952, 80, 129–133. [Google Scholar] [CrossRef]
- Guijarro, J.A. Climatol: Climate Tools (Series Homogenization and Derived Products), version 4.1.0. 2023. Available online: https://cran.r-project.org/web/packages/climatol/index.html (accessed on 26 January 2024).
- Almazroui, M.; Ashfaq, M.; Islam, M.N.; Rashid, I.U.; Kamil, S.; Abid, M.A.; O’Brien, E.; Ismail, M.; Reboita, M.S.; Sörensson, A.A.; et al. Assessment of CMIP6 Performance and Projected Temperature and Precipitation Changes Over South America. Earth Syst. Environ. 2021, 5, 155–183. [Google Scholar] [CrossRef]
- Fernandez-Palomino, C.A.; Hattermann, F.F.; Krysanova, V.; Vega-Jácome, F.; Menz, C.; Gleixner, S.; Bronstert, A. High-Resolution Climate Projection Dataset Based on CMIP6 for Peru and Ecuador: BASD-CMIP6-PE. Sci. Data 2024, 11, 34. [Google Scholar] [CrossRef] [PubMed]
- Hijmans, R.J.; Bivand, R.; Pebesma, E.; Sumner, M.D. Terra: Spatial Data Analysis, version 1.7-71. 2023. Available online: https://cran.r-project.org/web/packages/terra/index.html (accessed on 26 January 2024).
- Gudmundsson, L. Qmap: Statistical Transformations for Post-Processing Climate Model Output, version 1.0-4. 2016. Available online: https://cran.r-project.org/web/packages/qmap/index.html (accessed on 26 January 2024).
- Boucher, O.; Denvil, S.; Levavasseur, G.; Cozic, A.; Caubel, A.; Foujols, M.-A.; Meurdesoif, Y.; Cadule, P.; Devilliers, M.; Ghattas, J.; et al. IPSL IPSL-CM6A-LR Model Output Prepared for CMIP6 CMIP Historical. 2018. [CrossRef]
- Voldoire, A. CMIP6 Simulations of the CNRM-CERFACS Based on CNRM-CM6-1 Model for CMIP Experiment Historical; Earth System Grid Federation: Greenbelt, MD, USA, 2018; Available online: http://cera-www.dkrz.de/WDCC/meta/CMIP6/CMIP6.CMIP.CNRM-CERFACS.CNRM-CM6-1.historical (accessed on 28 February 2024).
- Seferian, R. CNRM-CERFACS CNRM-ESM2-1 Model Output Prepared for CMIP6 CMIP Historical; Earth System Grid Federation: Greenbelt, MD, USA, 2018; Available online: http://cera-www.dkrz.de/WDCC/meta/CMIP6/CMIP6.CMIP.CNRM-CERFACS.CNRM-ESM2-1.historical (accessed on 28 February 2024).
- Tatebe, H.; Watanabe, M. MIROC MIROC6 Model Output Prepared for CMIP6 CMIP Historical; Earth System Grid Federation: Greenbelt, MD, USA, 2018; Available online: http://cera-www.dkrz.de/WDCC/meta/CMIP6/CMIP6.CMIP.MIROC.MIROC6.historical (accessed on 28 February 2024).
- Yukimoto, S.; Koshiro, T.; Kawai, H.; Oshima, N.; Yoshida, K.; Urakawa, S.; Tsujino, H.; Deushi, M.; Tanaka, T.; Hosaka, M.; et al. MRI MRI-ESM2.0 Model Output Prepared for CMIP6 CMIP Historical; WCRP: Geneva, Switzerland, 2019; Available online: http://cera-www.dkrz.de/WDCC/meta/CMIP6/CMIP6.CMIP.MRI.MRI-ESM2-0.historical (accessed on 28 February 2024).
- Jungclaus, J.; Bittner, M.; Wieners, K.-H.; Wachsmann, F.; Schupfner, M.; Legutke, S.; Giorgetta, M.; Reick, C.; Gayler, V.; Haak, H.; et al. MPI-M MPI-ESM1.2-HR Model Output Prepared for CMIP6 CMIP Historical; WCRP: Geneva, Switzerland, 2019. [Google Scholar]
- EC-Earth Consortium (EC-Earth). EC-Earth-Consortium EC-Earth3 Model Output Prepared for CMIP6 CMIP Historical; Earth System Grid Federation: Greenbelt, MD, USA, 2019. [Google Scholar] [CrossRef]
- EFSA Panel on Plant Health (PLH); Bragard, C.; Dehnen-Schmutz, K.; Di Serio, F.; Gonthier, P.; Jacques, M.; Jaques Miret, J.A.; Justesen, A.F.; MacLeod, A.; Magnusson, C.S.; et al. Commodity Risk Assessment of Ullucus Tuberosus Tubers from Peru. EFSA J. 2021, 19, e06428. [Google Scholar] [CrossRef] [PubMed]
- EC-Earth Consortium (EC-Earth). EC-Earth-Consortium EC-Earth3 model output prepared for CMIP6 ScenarioMIP ssp126; Earth System Grid Federation: Greenbelt, MD, USA, 2019. [Google Scholar] [CrossRef]
- EC-Earth Consortium (EC-Earth). EC-Earth-Consortium EC-Earth3 model output prepared for CMIP6 ScenarioMIP ssp370; Earth System Grid Federation: Greenbelt, MD, USA, 2019. [Google Scholar] [CrossRef]
- EC-Earth Consortium (EC-Earth). EC-Earth-Consortium EC-Earth3 model output prepared for CMIP6 ScenarioMIP ssp585; Earth System Grid Federation: Greenbelt, MD, USA, 2019. [Google Scholar] [CrossRef]
- Castro, A.; Davila, C.; Laura, W.; Cubas, F.; Avalos, G.; López-Ocaña, C.; Villena, D.; Valdez, M.; Urbiola, J.; Trebejo, I.; et al. CLIMAS DEL PERÚ—Mapa de Clasificación Climática Nacional, 1st ed. 2021. Available online: https://www.senamhi.gob.pe/load/file/01404SENA-4.pdf (accessed on 22 May 2024).
- Wongchuig, S.C.; Mello, C.R.; Chou, S.C. Projections of the Impacts of Climate Change on the Water Deficit and on the Precipitation Erosive Indexes in Mantaro River Basin, Peru. J. Mt. Sci. 2018, 15, 264–279. [Google Scholar] [CrossRef]
- Arana Ruedas, D.P.R.; Soto Guerra, L.; Popli, K.; Madaki, S.G.; Arana Ruedas, D.P.R.; Soto Guerra, L.; Popli, K.; Madaki, S.G. Evaluación Espacio-Temporal de Sequías Usando El Índice Estandarizado de Precipitación y Evapotranspiración (SPEI) En El Valle Del Mantaro, Perú. Rev. Investig. Altoandinas 2023, 25, 159–170. [Google Scholar] [CrossRef]
- Saavedra, M.; Junquas, C.; Espinoza, J.-C.; Silva, Y. Impacts of Topography and Land Use Changes on the Air Surface Temperature and Precipitation over the Central Peruvian Andes. Atmos. Res. 2020, 234, 104711. [Google Scholar] [CrossRef]
- Yin, Y.; Deng, H.; Wu, S. Spatial-Temporal Variations in the Thermal Growing Degree-Days and Season under Climate Warming in China during 1960–2011. Int. J. Biometeorol. 2019, 63, 649–658. [Google Scholar] [CrossRef]
- Wahid, A.; Gelani, S.; Ashraf, M.; Foolad, M.R. Heat Tolerance in Plants: An Overview. Environ. Exp. Bot. 2007, 61, 199–223. [Google Scholar] [CrossRef]
- Sage, T.L.; Bagha, S.; Lundsgaard-Nielsen, V.; Branch, H.A.; Sultmanis, S.; Sage, R.F. The Effect of High Temperature Stress on Male and Female Reproduction in Plants. Field Crops Res. 2015, 182, 30–42. [Google Scholar] [CrossRef]
- Chaves-Barrantes, N.F.; Gutiérrez-Soto, M.V. Respuestas al estrés por calor en los cultivos. I. aspectos moleculares, bioquímicos y fisiológicos. Agron. Mesoam. 2017, 28, 237–253. [Google Scholar] [CrossRef]
- Sita, K.; Sehgal, A.; HanumanthaRao, B.; Nair, R.M.; Vara Prasad, P.V.; Kumar, S.; Gaur, P.M.; Farooq, M.; Siddique, K.H.M.; Varshney, R.K.; et al. Food Legumes and Rising Temperatures: Effects, Adaptive Functional Mechanisms Specific to Reproductive Growth Stage and Strategies to Improve Heat Tolerance. Front. Plant Sci. 2017, 8, 298433. [Google Scholar] [CrossRef] [PubMed]
- Nieto-Cabrera, C.; Francis, C.; Caicedo, C.; Gutierrez, P.F.; Rivera, M. Response of Four Andean Crops to Rotation and Fertilization. Mt. Res. Dev. 1997, 17, 273. [Google Scholar] [CrossRef]
- Meldrum, G.; Mijatović, D.; Rojas, W.; Flores, J.; Pinto, M.; Mamani, G.; Condori, E.; Hilaquita, D.; Gruberg, H.; Padulosi, S. Climate Change and Crop Diversity: Farmers’ Perceptions and Adaptation on the Bolivian Altiplano. Environ. Dev. Sustain. 2018, 20, 703–730. [Google Scholar] [CrossRef]
- FAO. Climate Change and Food Security: Risks and Responses; FAO: Rome, Italy, 2015; ISBN 978-92-5-108998-9. Available online: https://openknowledge.fao.org/server/api/core/bitstreams/a4fd8ac5-4582-4a66-91b0-55abf642a400/content (accessed on 22 May 2024).
- MINAM. Plan Nacional de Adaptación al Cambio Climático Del Perú: Un Insumo Para La Actualización de La Estrategia Nacional Ante El Cambio Climático—Resumen Ejecutivo, 1st ed.; Ministerio del Ambiente (MINAM): Lima, Peru, 2022. Available online: https://cdn.www.gob.pe/uploads/document/file/2827898/220214_Resumen%20Ejecutivo%20del%20Plan%20Nacional%20de%20Adaptaci%C3%B3n_compressed.pdf.pdf?v=1664915422 (accessed on 22 May 2024).
- Calderón, R.R. Estadisticas de las Tecnologías de Información y Comunicación en los Hogares; Instituto Nacional de Estadística e Informática (INEI): Lima, Peru, 2021; Available online: https://cdn.www.gob.pe/uploads/document/file/3093592/Las%20Tecnologías%20de%20Información%20y%20Comunicación%20en%20los%20Hogares%3A%20Abr-May-Jun%202021.pdf?v=1652377629 (accessed on 5 June 2024).
- SENAMHI. Pronóstico de Riego Agroclimático Nacional. Available online: https://www.senamhi.gob.pe/?&p=impacto-en-la-agricultura (accessed on 5 June 2024).













| Factor | Levels |
|---|---|
| Sowing date (F) | F1: 13 October 2022 |
| F2: 28 October 2022 | |
| F3: 12 November 2022 | |
| Fertilization management (M) | M1: Traditional (sub-dose) * |
| M2: Recommended (optimal dose) * |
| Cod | Depth | pH | EC | OM | P | K | Al | N | Txt | BD |
|---|---|---|---|---|---|---|---|---|---|---|
| m | d∙Sm−1 | % | mg·kg−1 | mg·kg−1 | meq·(100 gr)−1 | % | g·(cm3)−1 | |||
| AP | 0.4 | 5.00 | 0.11 | 9.30 | 24.37 | 358.05 | 18.21 | 0.47 | Loam | 1.10 |
| C1 | 0.65 | 4.92 | 0.07 | 1.15 | 2.24 | 54.61 | 19.50 | 0.06 | Loam | 1.38 |
| C2 | 1.3 | 4.78 | 0.07 | 0.76 | 4.19 | 36.31 | 7.29 | 0.04 | Sandy loam | 1.80 |
| Management | Sheep Manure | Urea | DAF | ClK | Sulpomag | Agr Lime | Ammonium Nitrate |
|---|---|---|---|---|---|---|---|
| t·ha−1 | kg·ha−1 | kg·ha−1 | kg·ha−1 | kg·ha−1 | kg·ha−1 | kg·ha−1 | |
| M1: Traditional | 5.00 | 0 | 0 | 0 | 0 | 0 | 0 |
| M2: Recommended | 5.00 | 91.36 | 222.67 | 138.10 | 55.55 | 807.14 | 91.36 |
| Model | Member | Historical (rf, Mintemp, Maxtemp) |
|---|---|---|
| IPSL-CM6A-LR | r14i1p1f1 | [65] |
| CNRM-CM6-1 | r1i1p1f2 | [66] |
| CNRM-ESM2-1 | r1i1p1f2 | [67] |
| MIROC6 | r50i1p1f1 | [68] |
| MRI-ESM2-0 | r5i1p1f1 | [69] |
| MPI-ESM1-2-HR | r2i1p1f1 | [70] |
| EC-Earth3 | r150i1p1f1 | [71] |
| Treatment | Fresh Weight Yield (Mg·ha−1) | Dry Weight Yield (Mg·ha−1) | Number of Tubers per kg | |
|---|---|---|---|---|
| F | ns | ns | ns | |
| M | *** | ** | *** | |
| F × M | * | ns | ns | |
| Sowing Date (F) | ||||
| F1 | 10.50 ± 5.0 | 1.28 ± 0.6 | 117.7 ± 24 | |
| F2 | 9.53 ± 6.8 | 1.10 ± 0.8 | 102.6 ± 27 | |
| F3 | 8.41 ± 1.6 | 1.16 ± 0.3 | 108.2 ± 17 | |
| Fertilization Method (M) | ||||
| Traditional (M1) | 6.4 ± 2.3 b | 0.77 ± 0.3 b | 123.0 ± 22 a | |
| Recommended (M2) | 12.56 ± 4.7 a | 1.59 ± 0.5 a | 96.0 ± 15 b | |
| F × M | ||||
| F1 | M1 | 6.8 ± 2.8 c | 0.79 ± 0.3 | 135.38 ± 20.9 |
| M2 | 14.2 ± 3.7 a | 1.77 ± 0.5 | 100.06 ± 5.7 | |
| F2 | M1 | 5.0 ± 2.7 c | 0.57 ± 0.3 | 111.96 ± 30.1 |
| M2 | 14.1 ± 6.8 ab | 1.64 ± 0.8 | 93.14 ± 24.2 | |
| F3 | M1 | 7.4 ± 0.5 bc | 0.96 ± 0.1 | 121.7 ± 7 |
| M2 | 9.4 ± 1.9 abc | 1.36 ± 0.3 | 94.7 ± 12 | |
| Parameter | Initials | Value | Unit | Method of Determination | Base Literature |
|---|---|---|---|---|---|
| Development | |||||
| Plant density | 41,667 | plant ha−1 | M | [1] | |
| Canopy development | |||||
| Canopy growth coefficient | CGC | 0.677 | % GDD−1 | C | [9] |
| Canopy decline coefficient | CDC | 1.337 | % GDD−1 | C | [9] |
| Root deepening | |||||
| Max effective rooting depth | 0.25 | m | M | ||
| Average root zone expansion | 0.1 | cm day−1 | D | ||
| Minimum effective rooting depth | 0.2 | m | E | ||
| Shape factor of root deepening | 1.5 | D | |||
| Evapotranspiration | |||||
| Soil evaporation | |||||
| Effect of canopy shelter in late season | 60 | % | D | ||
| Crop transpiration | Kc tr,x | 1.15 | D | ||
| Aging | 0.15 | % day−1 | D | ||
| Water extraction pattern | 40–30–20–10 | % | D | ||
| Production | |||||
| Normalized Water Productivity | (WP*) | 13 | g m−2 | L | [16] |
| Adjustment for yield formation | 77 | % of (WP*) | L | [16] | |
| Performance under elevated CO2 | |||||
| Sink strength | 50 | % | D | ||
| Reference Harvest Index | HIo | 60 | % | C | [9] |
| Composition of fresh yield | |||||
| %water | 85 | % | C | [2,9] | |
| % dry matter | 15 | % | C | [2,9] | |
| Water stress | |||||
| Canopy expansion | |||||
| p (upper) | 0.3 | E | [1,72] | ||
| p (lower) | 0.65 | E | [1,72] | ||
| shape factor | 3 | D | |||
| Stomatal closure | |||||
| p (upper) | 0.6 | D | |||
| shape factor | 3 | D | |||
| Early canopy senescence | |||||
| p (upper) | 0.7 | D | |||
| shape factor | 3 | D | |||
| Temperature stress | |||||
| Base temperature | 2 | °C | E | [1,43] | |
| Upper temperature | 26 | °C | E | [1,43] | |
| Crop transpiration affected by cold stress | |||||
| Full stress | 0 | °C | |||
| No stress | 7 | °C | D | [1,43] | |
| Fertility stress | |||||
| CCx reduction | 47 | % | C | ||
| CGC reduction | 16 | % | C | ||
| Average decline canopy cover | 0.2 | % day−1 | C | ||
| WP* reduction | 25 | % | C | ||
| Salinity stress | NA |
Disclaimer/Publisher’s Note: The statements, opinions and data contained in all publications are solely those of the individual author(s) and contributor(s) and not of MDPI and/or the editor(s). MDPI and/or the editor(s) disclaim responsibility for any injury to people or property resulting from any ideas, methods, instructions or products referred to in the content. |
© 2024 by the authors. Licensee MDPI, Basel, Switzerland. This article is an open access article distributed under the terms and conditions of the Creative Commons Attribution (CC BY) license (https://creativecommons.org/licenses/by/4.0/).
Share and Cite
Flores-Marquez, R.; Vera-Vílchez, J.; Verástegui-Martínez, P.; Lastra, S.; Solórzano-Acosta, R. An Evaluation of Dryland Ulluco Cultivation Yields in the Face of Climate Change Scenarios in the Central Andes of Peru by Using the AquaCrop Model. Sustainability 2024, 16, 5428. https://doi.org/10.3390/su16135428
Flores-Marquez R, Vera-Vílchez J, Verástegui-Martínez P, Lastra S, Solórzano-Acosta R. An Evaluation of Dryland Ulluco Cultivation Yields in the Face of Climate Change Scenarios in the Central Andes of Peru by Using the AquaCrop Model. Sustainability. 2024; 16(13):5428. https://doi.org/10.3390/su16135428
Chicago/Turabian StyleFlores-Marquez, Ricardo, Jesús Vera-Vílchez, Patricia Verástegui-Martínez, Sphyros Lastra, and Richard Solórzano-Acosta. 2024. "An Evaluation of Dryland Ulluco Cultivation Yields in the Face of Climate Change Scenarios in the Central Andes of Peru by Using the AquaCrop Model" Sustainability 16, no. 13: 5428. https://doi.org/10.3390/su16135428
APA StyleFlores-Marquez, R., Vera-Vílchez, J., Verástegui-Martínez, P., Lastra, S., & Solórzano-Acosta, R. (2024). An Evaluation of Dryland Ulluco Cultivation Yields in the Face of Climate Change Scenarios in the Central Andes of Peru by Using the AquaCrop Model. Sustainability, 16(13), 5428. https://doi.org/10.3390/su16135428

