Abstract
This paper develops a distributed cooperative optimization model for multiple virtual power plant (VPP) operations based on multi-stage robust optimization and proposes a distributed solution methodology based on the combination of the alternating direction method of multipliers (ADMMs) and column-and-constraint generation (CCG) algorithm to solve the corresponding optimization problem. Firstly, considering the peer-to-peer (P2P) electricity transactions among multiple VPPs, a deterministic cooperative optimal operation model of multiple VPPs based on Nash bargaining is constructed. Secondly, considering the uncertainties of photovoltaic generation and load demand, as well as the non-anticipativity of real-time scheduling of VPPs in engineering, a cooperative optimal operation model of multiple VPPs based on multi-stage robust optimization is then constructed. Thirdly, the constructed model is solved using a distributed solution methodology based on the combination of the ADMM and CCG algorithms. Finally, a case study is solved. The case study results show that the proposed method can realize the optimal scheduling of renewable energy in a more extensive range, which contributes to the promotion of the local consumption of renewable energy and the improvement of the renewable energy utilization efficiency of VPPs. Compared with the traditional deterministic cooperative optimal operation method of multiple VPPs, the proposed method is more resistant to the risk of the uncertainties of renewable energy and load demand and conforms to the non-anticipativity of real-time scheduling of VPPs in engineering. In summary, the presented works strike a balance between the operational robustness and operational economy of VPPs. In addition, under the presented works, there is no need for each VPP to divulge personal private data such as photovoltaic generation and load demand to other VPPs, so the security privacy protection of each VPP can be achieved.
1. Introduction
In recent years, the demand for energy has globally been increasing while the reserves of traditional energy resources are diminishing, leading to an increasing energy shortage. Moreover, fossil fuels, including coal, oil, and natural gas, to name but a few, release sulfur dioxide, carbon monoxide, and a large amount of carbon dioxides in the combustion process of power generation, causing atmospheric pollution and exacerbating the greenhouse effect, thereby giving rise to an increasingly severe environmental problem. As a result, renewable energy or sustainable energy is being developed rapidly. However, renewable energy such as wind and photovoltaic power is significantly different from a traditional one because of strong uncertainties; consequently, the integration of large-scale distributed renewable energy into the grid will incur a significant impact on the operation and scheduling of the power system.
The virtual power plant (VPP) is a technical approach proposed in recent years to coordinate the contradiction between the smart grid and distributed power generation and to fully exploit the benefits brought by distributed energy resources to the grid and consumers [1,2,3]. It provides a new solution for realizing the participation of large-scale distributed power generation in the operation and scheduling of the power system. Via the utilization of advanced communication and control technologies, VPPs aggregate multi-regional, large-scale distributed energy resources such as distributed power generation, energy storage, and controllable loads into a unified whole, and participate in the operation and scheduling of the grid as a special type of power plant to achieve more benefits [4,5,6,7,8]. Through the coordinated scheduling of the power generation of each internal unit, the applications of VPPs can improve the quality of wind power and photovoltaic grid integration and increase the reliability of grid operation [9,10,11]. Nevertheless, a single VPP lacks diversities and quantities of distributed energy resources. Consequently, it is difficult for the separate operation of VPPs to satisfy changes in load demand and it is averse to their economic benefits [12,13,14]. Considering the complementarity among distributed energy resources of different VPPs, the joint operation of multiple VPPs can be utilized to achieve resource mutualization to adapt to the changes in load demand and to improve the economic revenue of all VPPs.
Game theory is mainly used to solve the decision-making and equilibrium problems among various decision-making entities with conflicting interests [15] and has been used in several studies on the joint operation optimization of multiple VPPs. In [16], a multi-agent game model among multiple VPPs considering carbon trading was proposed to improve both the economic and environmental benefits of each VPP. In [17], through the utilization of potential game theory, a multiple-agent game strategy among multiple VPPs was presented, which effectively improved the economic benefits of all parties involved in the game. In [18], a dynamic game model based on different transaction objectives of multiple VPPs was developed to maximize the economic benefits under the premise of bounded rationality. In [19], considering the electricity transactions between multiple VPPs and the shared energy storage system, the optimal operation strategies of multiple VPPs with shared energy storage were investigated. In [20], based on the Bayesian decision theory, a master–slave game model in which the system operator was the leader and multiple VPPs were the followers was proposed not only to improve the economic benefits of each VPP entity but also to ensure the safe and stable operation of the power system. In [21], a multi-level game model among multiple VPPs considering carbon trading and carbon emission streams was developed to improve the economic benefits and reduce the carbon emissions of VPPs, which realized the low-carbon economic operation of VPPs. In [22], based on the partially observable Markov game theory, a multi-agent game strategy considering the network operation security for multiple VPPs was proposed to simultaneously guarantee the economy and security stability of the operation for VPPs.
However, in the existing studies in [16,17,18,19,20,21,22], all the cooperative optimal operation methods for multiple VPPs are deterministic, and the influence of the uncertainties of renewable energy on the optimal strategies for the joint operation of multiple VPPs is not considered. These studies only focus on the operational economy of VPPs but neglect the operational robustness, thus leading to the disadvantage that the multi-agent cooperative optimal operating strategies of VPPs perform poorly in withstanding the risk of the uncertainties of renewable energy and load demand. In addition, given that the VPP is a special power plant with a high proportion of DERs, it is of utmost necessity to take into account the influence of the uncertainties of renewable power on the benefits of each game entity when utilizing the game theory to solve the joint operation optimization problem for multiple VPPs.
There have been numerous studies devoted to the operation optimization of the independently and isolatedly operating VPP under uncertainties. In [23], a two-stage stochastic optimization (SO) method with risk aversion was proposed to address the uncertainties of renewable energy for the VPP. In [24], a two-stage robust optimization (TSRO) model considering the uncertainties of electric vehicles and renewable energy for the VPP was established. In [25], a two-stage distributed robust optimization (DRO) method was investigated to solve the uncertainties of wind power for the VPP. In [26], an operational optimization model considering the correlation of random variables for the VPP was developed, and an SO method was combined with the sample average approximation method to address the uncertainties of distributed power. In [27], a two-stage DRO approach was presented considering multiple uncertainties of electricity price and wind power for the VPP. In [28], an optimal economic scheduling strategy considering the participation in electricity and reserve markets for the VPP was proposed, and a TSRO method was adopted to address the uncertainties of distributed energy resources. In [29], considering the uncertainties of distributed energy resources, a multi-market two-stage SO model for the VPP was established. In [30], based on Wasserstein distance, a DRO model considering participation in both electricity and carbon market trading for the VPP was developed. In [31], considering the uncertainties of renewable energy and load demand, a TSRO model with the participation of carbon trading for the VPP was proposed to balance both the economic and environmental benefits. In [32], a two-stage SO approach based on conditional value at risk was presented to deal with the uncertainties of distributed energy resources for the VPP.
Nevertheless, in these existing methods, the SO method requires accurate information about the probability distribution of uncertain variables; the DRO method has high computational complexity and requires large computational resources; and the TSRO method is inconsistent with the non-anticipativity of the real-time scheduling for VPPs. The non-anticipativity of the real-time scheduling for VPPs refers to the fact that the optimized decision variables of the current scheduling period are only dependent on the observed uncertainties of random variables in the current and previous scheduling periods and the uncertainty sets of random variables in the subsequent scheduling periods, but not on the random variables in the subsequent scheduling periods [33]. The multi-stage robust optimization (MSRO) method is inherently consistent with the non-anticipativity of the real-time scheduling for VPPs, and there is no need to obtain any probability distribution information of uncertain variables. Moreover, it can have a high solution efficiency when using an affine decision rule (ADR) and the column-and-constraint generation (CCG) algorithm to deal with the MSRO problem. As a result, it is demanding to explore the MSRO method to deal with the uncertainties of renewable power when utilizing the game theory to solve the cooperative operation optimization for multiple VPPs.
Therefore, on the basis of the existing studies on the cooperative optimal operation method for VPPs, this paper considers the influence of the uncertainties of renewable energy and load demand and explores the MSRO method to deal with the uncertainties. More specially, it develops a cooperative optimal operation model of multiple VPPs based on the MSRO method and proposes a distributed solution methodology based on the combination of the alternating direction method of multipliers (ADMMs) and CCG algorithm to solve the corresponding optimization model. Finally, the distributed cooperative optimal operation strategy for VPPs considering uncertainties of renewable energy and load demand on a case study is presented. The main contributions of this paper are as follows:
- A deterministic cooperative optimal operation model of multiple VPPs is established to effectively coordinate the interests of each VPP;
- The MSRO method is explored to deal with the source-load uncertainties of VPPs, and a cooperative optimal operation model of multiple VPPs based on multi-stage robust optimization is developed;
- A distributed solution methodology based on the combination of the ADMM and CCG algorithm is proposed, which has fast solution efficiency and can realize the private information protection of each entity.
The remainder of this paper is organized as follows: In Section 2, the deterministic cooperative optimal operation model of multiple VPPs based on Nash bargaining is established. In Section 3, the cooperative optimal operation model of multiple VPPs based on multi-stage robust optimization is then constructed. In Section 4, the distributed solution methodology based on the combination of the ADMM and CCG algorithm is proposed to solve the constructed model in Section 3. In Section 5, a case study is given; and the analysis, comparison, and discussion of the cooperative operation optimization results for VPPs are detailed. In Section 6, the conclusions are drawn.
2. A Deterministic Cooperative Optimal Operation Model of Multiple VPPs
To illustrate how the proposed optimization model is established and solved to obtain the cooperative optimal operation strategy for VPPs, the simplified block diagram of the relationship among the models constructed in this paper is shown in Figure 1.
Figure 1.
The simplified block diagram of the relationship among the constructed models.
Through the aggregation of multiple flexible resources and the utilization of their complementary characteristics to realize coordinated scheduling, the application of VPPs facilitates the efficient management of flexible resources. Considering the direct peer-to-peer (P2P) electricity transactions among VPPs aggregated by photovoltaic, energy storage, and fixed load, this paper develops a deterministic cooperative optimal operation model of multiple VPPs. And the proposed optimization model is equated to the cooperative operation sub-model of the overall economic cost minimization and the electricity transaction price negotiation sub-model of multiple VPPs based on Nash bargaining theory.
2.1. A Cooperative Operation Sub-Model for Minimizing the Overall Economic Cost of Multiple VPPs
To minimize the overall economic cost of VPPs in the day-ahead stage, a cooperative operation sub-model is developed.
2.1.1. Objective Function
To begin with, aiming at minimizing the overall economic cost, VPPs perform collaborative decision-making through cooperation, in order to obtain the final energy management and centralized electricity transaction strategies. The cooperative operation sub-model for minimizing the overall economic cost of multiple VPPs constructed in this paper aims to minimize the overall cooperative operation cost in the day-ahead stage. Accordingly, the objective function is as follows:
where N is the number of total VPPs; T is the number of total scheduling periods; is the P2P electricity transaction cost between VPP i and the rest of VPPs at time t; is the centralized electricity transaction cost of VPP i for participation in the electricity market at time t; and is the charging and discharging cost of power energy storage in VPP i at time t; Ωi is the set of the remaining VPPs which engage in P2P electricity transactions with VPP i; is the P2P interactive electrical power between VPP i and VPP j at time t, with a positive value indicating that VPP i purchases electricity from VPP j, and a negative value indicating that VPP i sells electricity to VPP j; is the P2P interactive electricity price between VPP i and VPP j at time t; and are the purchased and sold electricity quantities of VPP i at time t, respectively; and are the purchased and sold electricity prices in the electricity market at time t, respectively; is the charging and discharging cost coefficient of energy storage in VPP i; and are the charged and discharged power of energy storage at time t, respectively. Considering the fact that the sum of the P2P electricity transaction cost of VPPs is zero, the P2P electricity transaction cost of VPPs can be removed from the objective function (1).
2.1.2. Constraints
The following constraints are enforced in the proposed model:
where (5) is the constraint on the power balance; (6)–(7) are the constraints on the P2P interactive electrical powers among VPPs; (8)–(10) are the constraints on the power purchasing and selling; (11)–(17) are the constraints on the power charging and discharging and stored electricity quantity of energy storage; and are the photovoltaic generation and load demand of VPP i at time t, respectively; is the upper limit of the P2P interactive electrical power among VPPs; and are the upper limits of the purchased and sold power of VPP i, respectively; and are 0-1 variables denoting whether VPP i purchases and sells power at time t, respectively, with a value of 1 for yes and 0 for no; and are the upper limits of the charged and discharged power of energy storage in VPP i, respectively; and are 0-1 variables denoting whether the energy storage is charged and discharged at time t, respectively, with a value of 1 for yes and 0 for no; SOCi,t is the stored power quantity of energy storage in VPP i at time t; SOCi,init is the initial stored power quantity of energy storage in VPP i; ƞi,Ec and ƞi,Ed are the efficiencies of the power charging and discharging of energy storage, respectively; SOCi,max and SOCi,min are the upper and lower limits of the stored power quantity of energy storage, respectively.
2.2. An Electricity Transaction Price Negotiation Sub-Model of Multiple VPPs
The electricity transaction price negotiation sub-model is developed to maximize the increased economic benefit of VPPs in the day-ahead stage after performing P2P electricity transactions.
2.2.1. Objective Function
To minimize the overall economic cost of VPPs, the Nash negotiation of electricity transaction prices among VPPs is implemented to obtain the final P2P electricity transaction strategies among VPPs. The electricity transaction price negotiation sub-model of multiple VPPs constructed in this paper is to maximize the increased economic benefit of VPPs when performing P2P electricity transactions as compared to that without performing P2P electricity transactions. Consequently, the objective function is as follows:
where , , and are the optimal solutions for solving the cooperative operation sub-model to minimize the overall economic cost of multiple VPPs; is the Nash negotiation breakdown point, the economic benefit obtained by solving the optimization model of VPP i without engagements in P2P electricity transactions. It is worth mentioning that since there is a need to obtain the P2P electricity transaction strategies of VPPs, the P2P electricity transaction cost of VPPs cannot be disregarded from the objective function (18).
2.2.2. Constraints
The following constraints are applied in the proposed model:
where (20)–(21) are the constraints on the P2P interactive electricity price among VPPs; (22) is the constraint on the Nash negotiation breakdown point; that is, in order to ensure the enthusiasm of VPP i to participate in the multi-agent cooperation, the economic benefit of VPP i should be more than the Nash negotiation breakdown point after conducting the P2P electricity transaction among VPPs.
3. A Cooperative Optimal Operation Model of Multiple VPPs Based on Multi-Stage Robust Optimization
Considering the fact that the photovoltaic power and the load demand of the VPP have strong uncertainties, and the real-time scheduling of VPP has non-anticipativity, a cooperative optimal operation model of multiple VPPs based on multi-stage robust optimization is then developed based on the established deterministic cooperative optimal operation model of multiple VPPs.
To begin with, box uncertainty sets are used in this paper to model the uncertainties of photovoltaic power and load demand in the VPP. Since the real-time scheduling of VPP is actually a multi-stage sequential decision-making process, the day-ahead and real-time decision-making of VPP is then formulated as a multi-stage robust optimal operation problem in this paper. The interactive electrical power and the interactive electricity price of the P2P transactions among VPPs are optimized in the day-ahead stage. The transacted electrical power between VPP and the external electricity market and the scheduling strategy of energy storage under the worst-case scenarios of source-load uncertainties are optimized in the real-time stage. Similarly, under the consideration of P2P electricity transactions among multiple VPPs, the constructed cooperative optimal operation model of multiple VPPs based on multi-stage robust optimization is directly equated to the multi-agent and multi-stage overall economic cost minimization sub-model, and the multi-agent and single-stage electricity transaction price negotiation sub-model based on Nash bargaining theory.
3.1. Source-Load Uncertainty Sets
The source-load uncertainties of the VPP are characterized in the form of box uncertainty sets in this paper, which are formulated as follows:
where and are the uncertainty sets of photovoltaic power and load demand of VPP i, respectively; and are the predicted data of photovoltaic power and load demand at time t, respectively; , , , and are all 0–1 auxiliary variables, with and respectively indicating whether the fluctuation range of photovoltaic power is the allowable lower and upper bounds at time t, while , and respectively indicating whether the fluctuation range of load demand is the allowable lower and upper bounds at time t; Г is the robust parameter, which is used for adjustment of the conservatism of the optimal cooperation strategy.
3.2. A Multi-Agent and Multi-Stage Overall Economic Cost Minimization Sub-Model
To minimize the overall cooperative operation cost of VPPs in the day-ahead and real-time stages, a multi-agent and multi-stage overall economic cost minimization sub-model is proposed.
3.2.1. Objective Function
The multi-agent and multi-stage overall economic cost minimization sub-model proposed in this paper is used to minimize the overall cooperative operation cost of VPPs in the day-ahead and real-time stages. Considering the real-time nature and computing complexity, the P2P electricity transaction strategies for VPPs that have been determined in the day-ahead stage will not be adjusted in the real-time stage [34]. Therefore, the objective function is as follows:
where , , = [, , , , ]T, is the vector form of the decision variables in the day-ahead stage; , = [, , , , SOCi,t]T, is the vector form of the decision variables in the real-time stage; , = [, ]T, is the vector form of the uncertain variables; is the worst-case value function, which represents the total economic cost of all future stages under the worst case scenarios while making the decision of in the current stage, and the worst-case scenarios refer to the worst values of uncertain variables which cause the maximal total economic cost of all future stages. Similarly, the P2P electricity transaction cost of VPPs can be disregarded from the objective function (25).
3.2.2. Constraints
The constraints included in the sub-model are (3)–(17) and (23)–(24).
3.3. A Multi-Agent and Single-Stage Electricity Transaction Price Negotiation Sub-Model
To maximize the increased economic benefit of VPPs in the day-ahead and real-time stages after performing P2P electricity transactions, a multi-agent and single-stage electricity transaction price negotiation sub-model is proposed.
3.3.1. Objective Function
The proposed multi-agent and single-stage electricity transaction price negotiation sub-model is applied to maximize the increased economic benefit of VPPs in the day-ahead and real-time stages when performing P2P electricity transactions as compared to that without performing P2P electricity transactions. Accordingly, the objective function is as follows:
where; , , = []T, is the vector form of the decision variables in the day-ahead stage; , , and are the optimal solutions from solving the multi-agent and multi-stage overall economic cost minimization sub-model; is the Nash negotiation breakdown point. Similarly, the P2P electricity transaction cost of VPPs cannot be disregarded from the objective function.
3.3.2. Constraints
The following constraints are used.
where (30) is the constraint on the Nash negotiation breakdown point.
The constraints of this sub-model are (2), (20)–(21), and (30).
4. A Distributed Solution Methodology Based on the Combination of the ADMM and CCG Algorithm
In this paper, the proposed cooperative optimal operation model of multiple VPPs based on multi-stage robust optimization has been equated into the multi-agent and multi-stage overall economic cost minimization sub-model and the multi-agent and single-stage electricity transaction price negotiation sub-model. To solve the aforementioned two sub-models, a distributed solution methodology based on the combination of the ADMM and CCG algorithms is proposed. Firstly, the ADMM algorithm is used to decompose the multi-agent cooperative optimal operation sub-models into single-agent distributed optimal operation sub-models, and the outer-level iterative solution is conducted. Secondly, the ADR and the CCG algorithm are used to decouple the single-agent and multi-stage distributed optimal operation sub-model into a single-agent and single-stage distributed optimal operation sub-model, and the inner level iterative solution is conducted.
4.1. Sub-Model Decomposition Based on the ADMM Algorithm
For the two multi-agent cooperative optimal operation sub-models, the ADMM algorithm is used to decompose them into a single-agent distributed optimal operation sub-models. Through the introduction of Lagrange multipliers and penalty factors, the coupled constraints are transformed into penalty terms of the objective function. The two decomposed sub-models are explained in the following paragraphs.
4.1.1. Single-Agent and Multi-Stage Economic Cost Minimization Sub-Model
The single-agent and multi-stage economic cost minimization sub-model is proposed to minimize the operation cost of each VPP in the day-ahead and real-time stages.
where is the Lagrange multiplier and is the penalty factor.
The Lagrange multiplier needs to be updated in the iteration process using the following:
where ko1 is the number of the outer-level iteration.
The convergence criteria of the outer-level iteration are as follows:
where is the original residual and is the dual residual.
4.1.2. Single-Agent and Single-Stage Electricity Transaction Price Negotiation Sub-Model
The single-agent and single-stage electricity transaction price negotiation sub-model is proposed to maximize the increased economic benefit of each VPP in the day-ahead and real-time stages after performing P2P electricity transactions.
where is the Lagrange multiplier and is the penalty factor.
The Lagrange multiplier is updated using the following:
where ko2 is the number of the outer-level iteration.
The convergence criteria are as follows:
where is the original residual and is the dual residual.
4.2. Sub-Model Decoupling Based on the ADR and the CCG Algorithms
For the single-agent and multi-stage economic cost minimization sub-model, the ADR and the CCG algorithms are used to decouple it into the single-stage optimal operation sub-model. For a simplified illustration, the compact matrix form of the single-agent and multi-stage economic cost minimization sub-model is presented as follows:
where Ai and Bi,t are the matrices formed by the variable coefficients of and in the objective function, respectively; di and Ci are the matrices formed by the constant terms and the variable coefficients of in all constraints containing only day-ahead stage variables, respectively; hi,t is the matrix formed by the constant terms in the remaining constraints; Ei,t, Fi,t, Gi,t, and Ri,t are the matrices formed by the variable coefficients of , , , and in the remaining constraints, respectively.
ADR is one of the solution methods for the MSRO problem, which approximates the decision variable as an affine function associated with the uncertain variable [35]. The ADR is adopted in this paper for the transformation of the single-agent and multi-stage economic cost minimization sub-model. Considering that there are some independent decision variables in , of which the decision in the current period will not be affected by the decisions in any previous periods, they can be excluded from the affine transformation. The vector form of these independent decision variables is denoted as , = [, , , ]T, and the vector form of the remaining non-independent decision variables is denoted as , = [SOCi,t]T. Therefore, the affine function of the non-independent decision variable and the uncertain variable is presented as follows:
where and are the coefficients of the affine function, of which the decisions are prioritized over the revelation of the uncertain variable .
Based on the ADR, the multi-stage sub-model is transformed into the following:
where Bi,t = [BIi,t, BJi,t].
Considering that the optimization of and the optimization of are uncorrelated, as well as that the optimization of and the optimization of are independent of each other, can be transformed into the following:
By analogy and recursion, the MSRO problem ) can be transformed as follows:
Then, the multi-stage sub-model (39) is transformed into a two-stage one as follows:
The CCG algorithm is used to solve the TSRO problem by decomposing the optimization problem into a master problem (MP) and a subproblem (SP) which are solved iteratively [36].
The MP to be solved to obtain the optimal solution of the first stage is formulated as follows:
where ki is the number of the inner level iteration and ƞ is an auxiliary decision variable.
The SP to be solved to obtain the optimal solution of the second stage is as follows:
where , , and are the optimal solutions for solving the MP.
The convergence criteria of the inner-level iteration are as follows:
where LB and UB are the lower and upper bounds of the objective value of the two-stage sub-model (44), respectively; ɛi is the error tolerance.
4.3. The Overall Iteration Solution Process Based on the Combination of the ADMM and CCG Algorithms
To facilitate the application of the proposed solution methodology, its iterative procedures are shown step by step in Figure 2.
Figure 2.
The iteration procedure of the proposed solution methodology.
5. Case Study
In this paper, three VPPs aggregated by photovoltaic, energy storage, and fixed load are chosen in the case study. The data used in the case study are from the virtual power plant demonstration project in Lishui city, Zhejiang Province, China. The parameters of the energy storage are presented in Table 1. The purchased and sold electricity prices are shown in Figure 3 [37]. The predicted data and fluctuation range of photovoltaic power and load demand for three VPPs are shown in Figure 4. The robust parameter is set to 12.
Table 1.
Parameters of the energy storage.
Figure 3.
Purchased and sold electricity prices.

Figure 4.
Predicted data and fluctuation range of photovoltaic power and load demand of three VPPs: (a) VPP1; (b) VPP2; (c) VPP3.
5.1. The Optimal Scheduling Results of VPPs
The optimized scheduling results of electrical power for three VPPs obtained using the proposed models and solution methodologies are shown in Figure 5, where the positive and negative values indicate the absorbed and consumed electrical power of the VPP, respectively.

Figure 5.
Optimized scheduling results of the electrical power of the three VPPs: (a) VPP1; (b) VPP2; (c) VPP3.
As can be seen from Figure 5, all VPPs have achieved an electricity supply–demand balance. For the three VPPs, in the night-time period (20:00–6:00 of the following day), the photovoltaic generation is zero because there is no light, coupled with that the electricity price is comparatively lower in this period, the VPPs satisfy their load demand mainly by purchasing electricity from the electricity market, and they respond to the electricity price to charge the energy storage for the conservation at 24:00, 4:00, and 5:00. In the day-time period (6:00–20:00), the photovoltaic system begins to generate power, coupled with that the electricity price is comparatively higher in this period, the VPPs satisfy their load demand mainly via photovoltaic generation, P2P power transactions, and energy storage discharging, and then VPPs sell the surplus electricity in the electricity market. At 13:00, when photovoltaic generation is in surplus, VPPs charge energy storage to save electricity, and at 7:00, 8:00, 19:00, and 20:00, VPPs discharge the energy storage in response to the electricity price, supplying the load by releasing the stored electricity.
By reasonable scheduling, VPPs charge the energy storage to consume electricity when the photovoltaic generation is in surplus, charge the energy storage to store electricity when the electricity price is at its valley period, and discharge the energy storage when the electricity price is at its peak period and the photovoltaic generation fails to satisfy the load demand, so as to ensure a supply–demand balance, which is conducive to improving the local consumption capability of renewable energy and promoting the high-efficient utilization of renewable energy.
5.2. Electricity Transactions among VPPs under Cooperative Operation
The optimized results of the interactive electrical power among VPPs are shown in Figure 6, where the positive and negative values indicate the sale and purchase of electricity from one VPP to another, respectively. The optimized results of the interactive electricity price among VPPs are shown in Figure 7.
Figure 6.
Interactive electrical power among VPPs.
Figure 7.
Interactive electricity price among VPPs.
The energy complementarity relationship among three VPPs in each period can be seen in Figure 6. In the period 8:00–12:00, VPP1 delivers a large amount of electricity to both VPP2 and VPP3. Meanwhile, VPP3 also delivers some electricity to VPP2. It indicates that the photovoltaic power of VPP1 is comparatively the highest and that of VPP2 is the lowest. In the period 16:00–20:00, the electricity delivered to VPP3 is mainly from VPP1 and VPP2, and the electricity delivered to VPP1 is also from VPP2. It indicates that the load demand of VPP3 is comparatively the highest and that of VPP2 is the lowest. It can be seen from Figure 4 that in the period 8:00–12:00, the photovoltaic power of VPP1, VPP3, and VPP2 are continuously at its peak, gradually approaching its peak, and low on the whole, respectively. The load demand in descending order is VPP2, VPP3, and VPP1. In the period 16:00–20:00, the photovoltaic generation of three VPPs is all low on the whole. The load demand of VPP3 is continuously at its peak, and that of VPP2 is comparatively the lowest gradually approaching its valley. In addition, it can be seen from Figure 6 that the transactions of electricity among VPPs are kept in almost every period to balance the whole and individual benefits of VPPs.
It can be seen from the comparison of Figure 3 and Figure 7 that the interactive electricity prices among VPPs are all lower than the price of the electricity purchased by a single VPP in the electricity market and are higher than the price of the electricity sold by a single VPP in the electricity market. Therefore, when VPPs are used to conduct P2P electricity transactions, it can purchase electricity at a price lower than the purchased electricity price in the electricity market and sell electricity at a price higher than the sold electricity price in the electricity market. It is conducive to promoting cooperative operation among VPPs, improving the enthusiasm for conducting electricity transactions of VPPs and realizing optimal scheduling of renewable energy resources on a wider scale.
As a result, through implementing electricity transactions under the cooperative operation mode, the coordination of VPPs can alleviate the contradiction between power supply and demand to a large extent when the load demand is at its peak period, as well as solve the problem of power consumption when the photovoltaic power is at its peak period, which can improve the utilization efficiency of renewable energy resources. In addition, conducting P2P electricity transactions among VPPs can realize the optimal scheduling of renewable energy resources in a more extensive range, which contributes to the improvement of the operation flexibility and energy self-sufficiency rate of multiple VPPs.
5.3. Operation Costs of VPPs under Different Operation Scenarios
In this paper, the following five operation scenarios are defined for a comparative analysis of the operation costs of VPPs with and without the considerations of the P2P electricity transactions and source-load uncertainties:
- Operation scenario 1: P2P electricity transactions among VPPs are not conducted and source-load uncertainties are not considered;
- Operation scenario 2: P2P electricity transactions among VPPs are conducted but source-load uncertainties are not considered;
- Operation scenario 3: P2P electricity transactions among VPPs are not conducted but source-load uncertainties are addressed by the MSRO method;
- Operation scenario 4: P2P electricity transactions among VPPs are conducted and source-load uncertainties are addressed by the MSRO method;
- Operation scenario 5: P2P electricity transactions among VPPs are conducted and source-load uncertainties are addressed by the TSRO method.
The operation costs of VPPs under the above five operation scenarios are presented in Table 2. The final operation costs of VPP1, VPP2, and VPP3 under the proposed strategy in this paper are Chinese Dollars (CNY) 32,960.067, CNY 42,697.333, and CNY 29,818.899, respectively. And the total operation cost is CNY 105,476.299.
Table 2.
Operation costs under different operation scenarios.
The Nash negotiation breakdown point of Operation scenario 2 is the economic benefit of Operation scenario 1. As can be seen from the comparison between the data of Operation scenario 1 and Operation scenario 2 in Table 2, the operation cost of every VPP is reduced after participating in the cooperative operation. It indicates that conducting cooperative operations can achieve a win-win situation for multiple entities.
Similarly, the Nash negotiation breakdown point of Operation scenario 4 is the economic benefit of Operation scenario 3. As can be seen from the comparison between the data of Operation scenario 3 and Operation scenario 4 in Table 2, compared with the situation where VPPs do not conduct cooperative operation, the total operation cost is reduced by CNY 2717.078 after engaging in P2P electricity transactions, and the operation costs of VPP1, VPP2, and VPP3 are reduced by CNY 933.658, CNY 856.935, and CNY 926.485, respectively. In addition, the cost reduction in each VPP is almost the same, which is about 1/3 of the total cost reduction. It indicates that through conducting cooperative operations, the economic benefits of every VPP can be improved and a win-win cooperation can be realized. In addition, the additional economic benefits obtained from a cooperative operation are equally divided by each entity, which reflects the fairness of the game strategy.
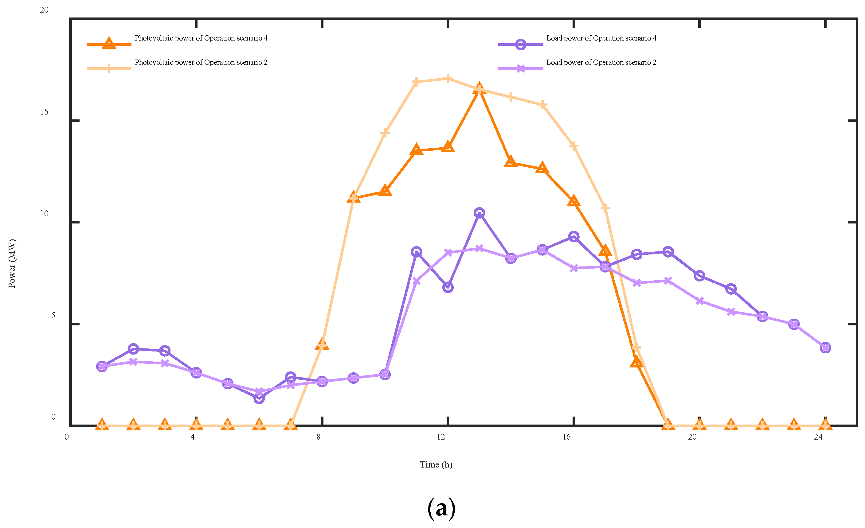
As can be seen from the comparison between the data of Operation scenario 2 and Operation scenario 4 in Table 2, compared with the situation where the source-load uncertainties are not considered, the operation cost of each VPP is increased when considering the source-load uncertainties, and the operation costs of VPP1, VPP2, and VPP3 are increased by CNY 17,334.279, CNY 13,882.988, and CNY 12,189.471, respectively. It indicates that VPPs need to compromise some economic costs to deal with the uncertainties of renewable energy and load demand. This is because the source-load uncertainties are not considered in Operation scenario 2, which assumes that the photovoltaic generation and load demand can be accurately predicted with no prediction errors. Therefore, the optimal scheduling strategies for VPPs of Operation scenario 2 are obtained under the prediction case of photovoltaic and load power, while those of Operation scenario 4 are obtained under the worst case of photovoltaic and load power. Compared with Operation scenario 2, the actual photovoltaic generation of Operation scenario 4 is smaller and the actual load demand is larger on the whole, as shown in Figure A1 in Appendix A. Since renewable energy generation decreases while the load demand increases, VPPs need to purchase more electricity to satisfy the supply–demand balance. As a result, VPPs need to pay more economic costs under Operation scenario 4. Although they reduce part of the economic benefits, the capability of VPPs to resist the risk of source-load uncertainties is improved.
As can be seen from the comparison between the data of Operation scenario 4 and Operation scenario 5 in Table 2, the operation costs of VPP1, VPP2, and VPP3 under Operation scenario 4 are higher than those under Operation scenario 5 by CNY 112.421, CNY 148.321, and CNY 105.421, respectively. In comparison with the traditional TSRO method, the operation cost of each VPP increases when the MSRO method is explored to address the source-load uncertainties. It is because the optimal scheduling plan of the current period in the real-time stage is robust to any possible case of source-load uncertainties in all subsequent periods under the proposed model. Therefore, the operation costs of VPPs will be relatively higher. Under the TSRO model, the optimization results of the real-time stage are obtained after the source-load uncertainties of all periods have been observed. On the other hand, under the proposed model, the optimization results of the current period in the real-time stage are obtained after the source-load uncertainties of all previous periods have been observed, and will not be affected by the observation of those in any subsequent period, so it is more compatible with the actual situation in engineering.
As a result, the superiority of the proposed distributed cooperative optimal operation strategy is demonstrated. The strategy proposed in this paper can balance the whole and individual benefits, allow the economic benefits of every entity in question to be improved, and realize the win-win cooperation of multiple entities, as well as enable the capability of VPPs in resisting the risk of source-load uncertainties to be enhanced. The proposed strategy can balance the operational economy and operational robustness of VPPs.
5.4. Performance Analysis of the Proposed Solution Methodology
The simulation experiments are run on a personal computer with an Intel Core i5-12,500H CPU @ 2.50 GHz CPU and 16.0 GB RAM. The convergence behavior of the proposed solution methodology is shown in Table 3.
Table 3.
Convergence Behavior of the Proposed Solution Methodology.
As can be seen from Table 3, under the corresponding convergence accuracy, sub-model (31) needs 216 iterations to converge, and sub-model (35) needs 44 iterations to converge. It indicates that the proposed solution methodology can converge to high accuracy with only a small number of iterations. The total computing time is only 725.84 s. It should be noted that the proposed solution methodology is distributed, and each VPP only needs to conduct the parallel computation of its own optimization model, so the actual computing time is less than 725.84 s. Therefore, the proposed solution methodology has high solution efficiency.
To illustrate the superiority of the proposed distributed solution methodology, the traditional centralized solution methodology is used to solve the proposed model for comparative analysis. The convergence behavior of the traditional centralized solution methodology is shown in Table 4.
Table 4.
Convergence behavior of the traditional centralized solution methodology.
As can be seen from the comparison between Table 3 and Table 4, the total computing time of the traditional centralized solution methodology is 15.71 s, which is less than that of the proposed distributed solution methodology by 710.13 s. However, with the increase in the types of aggregated flexibility resources and the number of VPPs participating in cooperative operation, the computing efficiency of the traditional centralized solution methodology will significantly decrease, resulting in an excessive computation burden. On the other hand, under the proposed distributed solution methodology, the computation of the optimization model for each VPP is parallel, so the computation burden caused by the increasing number of VPPs participating in cooperative operation can be solved effectively.
In addition, the proposed solution methodology contributes to the private information protection of VPPs. Under the traditional centralized solution methodology, all data of each VPP, including photovoltaic generation and load demand, need to be submitted to the computing platform. And then the optimization model is unitedly solved by the computing platform. On the other hand, under the proposed distributed solution methodology, VPPs solve their local optimization models separately. Each VPP can perform its own optimization as long as it knows the expected P2P interactive electrical power and electricity price of other VPPs. After that, each VPP transmits its simple information of the expected P2P interaction power and electricity price to other VPPs, without any need to disclose its private data such as photovoltaic power generation and load demand. Therefore, the privacy security of each VPP can be guaranteed by simply performing the transmission of non-private information with each other.
6. Conclusions
This paper first proposes a distributed cooperative optimal operation model of multiple VPPs based on multi-stage robust optimization. To solve the corresponding optimization problem, a distributed solution methodology based on the combination of the ADMM and CCG algorithms is then proposed. A case study is finally given to demonstrate the superiority of the proposed model and methodology. The numerical results indicate that the proposed model and methodology can achieve optimal scheduling of renewable energy resources of VPPs in a more extensive range, which can promote the local consumption of renewable energy and improve the efficiency of renewable energy utilization. In addition, the proposed method can maximize the economic benefits of every VPP participating in cooperation and achieve a win-win cooperation of multiple VPPs. Moreover, the proposed method is more resistant to the risk of source-load uncertainties and conforms to the non-anticipativity of real-time scheduling of VPPs in engineering. In general, the proposed method achieves a balance of the operational robustness, operational economy, and security privacy of multiple VPPs.
Author Contributions
Methodology, L.C.; validation, L.C. and Y.L.; formal analysis, L.C. and Y.L.; investigation, Y.L. and S.Y.; software, L.C; funding acquisition, S.Y. All authors have read and agreed to the published version of the manuscript.
Funding
This research received no external funding.
Institutional Review Board Statement
Not applicable.
Informed Consent Statement
Not applicable.
Data Availability Statement
The data can be requested from the corresponding author by email.
Conflicts of Interest
The authors declare no conflicts of interest.
Appendix A

Figure A1.
Photovoltaic and load power under different operation scenarios of the three VPPs: (a) VPP1; (b) VPP2; (c) VPP3.
References
- Yang, Y.D.; Wei, B.R.; Qin, Z.J. Sequence-based differential evolution for solving economic dispatch considering virtual power plant. IET Gener. Transm. Distrib. 2019, 13, 3202–3215. [Google Scholar] [CrossRef]
- Rosato, A.; Panella, M.; Araneo, R.; Andreotti, A. A neural network based prediction system of distributed generation for the management of microgrids. IEEE Trans. Ind. Appl. 2019, 55, 7092–7102. [Google Scholar] [CrossRef]
- Sreenivasulu, G.; Balakrishna, P. Optimal dispatch of renewable and virtual power plants in smart grid environment through bilateral transactions. Electr. Power Compon. Syst. 2021, 49, 488–503. [Google Scholar] [CrossRef]
- Luo, F.J.; Dorri, A.; Ranzi, G.; Zhao, J.; Jurdak, R. Aggregating buildings as a virtual power plant: Architectural design, supporting technologies, and case studies. IET Energy Syst. Integr. 2022, 4, 423–435. [Google Scholar] [CrossRef]
- Chen, J.R.; Liu, M.Y.; Milano, F. Aggregated model of virtual power plants for transient frequency and voltage stability analysis. IEEE Trans. Power Syst. 2021, 36, 4366–4375. [Google Scholar] [CrossRef]
- Wang, H.; Riaz, S.; Mancarella, P. Integrated techno-economic modeling, flexibility analysis, and business case assessment of an urban virtual power plant with multi-market co-optimization. Appl. Energy 2020, 259, 114142. [Google Scholar] [CrossRef]
- Tan, Z.F.; Wang, S.Y.; Zhong, H.W.; Xia, Q.; Kang, C.Q. Enlarging flexibility region of virtual power plant via dynamic line rating. IET Renew. Power Gener. 2022, 16, 751–760. [Google Scholar] [CrossRef]
- Kuang, Y.; Wang, X.L.; Zhao, H.Y.; Qian, T.; Li, N.L.; Wang, J.X.; Wang, X.F. Model-free demand response scheduling strategy for virtual power plants considering risk attitude of consumers. CSEE J. Power Energy Syst. 2023, 9, 516–528. [Google Scholar] [CrossRef]
- Gough, M.; Santos, S.F.; Lotfi, M.; Javadi, M.S.; Osorio, G.J.; Ashraf, P.; Castro, R.; Catalao, J.P.S. Operation of a technical virtual power plant considering diverse distributed energy resources. IEEE Trans. Ind. Appl. 2022, 58, 2547–2558. [Google Scholar] [CrossRef]
- Wang, N.; Kong, X.Y.; Li, G.Q.; Li, X.F.; Li, X.F.; Li, Z.H. Dynamic aggregation response strategy of adjustable resources of virtual power plants in power grid balance adjustment scenario. In Proceedings of the 25th International Conference on Electrical Machines and Systems (ICEMS), Rajamangala Univ Technol Lanna, Chiang Mai, Thailand, 29 November–2 December 2022; IEEE: New York, NY, USA. [Google Scholar] [CrossRef]
- Panda, S.; Mohanty, S.; Rout, P.K.; Sahu, B.K. A conceptual review on transformation of micro-grid to virtual power plant: Issues, modeling, solutions, and future prospects. Int. J. Energy Res. 2022, 46, 7021–7054. [Google Scholar] [CrossRef]
- Naughton, J.; Wang, H.; Riaz, S.; Cantoni, M.; Mancarella, P. Optimization of multi-energy virtual power plants for providing multiple market and local network services. Electr. Power Syst. Res. 2020, 189, 106775. [Google Scholar] [CrossRef]
- Liu, X.O. Research on the evaluation method and system development of emergency regulation capacity for multiple virtual power plants. Int. J. Electr. Power Energy Syst. 2023, 153, 109318. [Google Scholar] [CrossRef]
- Chang, W.G.; Yang, Q. Low carbon oriented collaborative energy management framework for multi-microgrid aggregated virtual power plant considering electricity trading. Appl. Energy 2023, 351, 121906. [Google Scholar] [CrossRef]
- Gougheri, S.S.; Dehghani, M.; Nikoofard, A.; Jahangir, H.; Golkar, M.A. Economic assessment of multi-operator virtual power plants in electricity market: A game theory-based approach. Sustain. Energy Technol. Assess. 2022, 53, 102733. [Google Scholar] [CrossRef]
- Chu, T.F.; An, X.C.; Zhu, Y.; Wang, X.Y.; Deng, L.M. Multiple game trading strategy of multiple virtual power plants considering carbon trading. Front. Energy Res. 2023, 11, 1152032. [Google Scholar] [CrossRef]
- Liu, W.; Xu, H.; Wang, X.C.; Zhang, S.C.; Hu, T.H. Optimal dispatch strategy of virtual power plants using potential game theory. Energy Rep. 2022, 8, 1069–1079. [Google Scholar] [CrossRef]
- Gao, H.J.; Zhang, F.; Xiang, Y.M.; Ye, S.Y.; Liu, X.A.; Liu, J.Y. Bounded rationality based multi-vpp trading in local energy markets: A dynamic game approach with different trading targets. CSEE J. Power Energy Syst. 2023, 9, 221–234. [Google Scholar] [CrossRef]
- Chen, W.X.L.; Xiang, Y.; Liu, J.Y. Optimal operation of virtual power plants with shared energy storage. IET Smart Grid 2023, 6, 147–157. [Google Scholar] [CrossRef]
- Wan, X.M.; Wen, X.; Tang, B.H.; Sun, Q.F. Trading strategy for virtual power plant clusters based on a multi-subject game model. J. Comput. Methods Sci. Eng. 2023, 23, 2261–2274. [Google Scholar] [CrossRef]
- Pan, J.; Liu, X.O.; Huang, J.J. Multi-level games optimal scheduling strategy of multiple virtual power plants considering carbon emission flow and carbon trade. Electr. Power Syst. Res. 2023, 223, 109669. [Google Scholar] [CrossRef]
- Liu, X.; Li, S.A.; Zhu, J.G. Optimal coordination for multiple network-constrained vpps via multi-agent deep reinforcement learning. IEEE Trans. Smart Grid 2023, 14, 3016–3031. [Google Scholar] [CrossRef]
- Castillo, A.; Flicker, J.; Hansen, C.W.; Watson, J.P.; Johnson, J. Stochastic optimisation with risk aversion for virtual power plant operations: A rolling horizon control. IET Gener. Transm. Distrib. 2019, 13, 2063–2076. [Google Scholar] [CrossRef]
- Song, J.Q.; Yang, Y.B.; Xu, Q.S. Two-stage robust optimal scheduling method for virtual power plants considering the controllability of electric vehicles. Electr. Power Syst. Res. 2023, 225, 109785. [Google Scholar] [CrossRef]
- Yuanyuan, Z.; Huiru, Z.; Bingkang, L. Distributionally robust comprehensive declaration strategy of virtual power plant participating in the power market considering flexible ramping product and uncertainties. Appl. Energy 2023, 343, 121133. [Google Scholar] [CrossRef]
- Yu, J.; Feng, Q.Z.; Li, Y.; Cao, J.D. Stochastic optimal dispatch of virtual power plant considering correlation of distributed generations. Math. Probl. Eng. 2015, 2015, 135673. [Google Scholar] [CrossRef]
- Song, C.N.; Jing, X.P. Bidding strategy for virtual power plants with the day-ahead and balancing markets using distributionally robust optimization approach. Energy Rep. 2023, 9, 637–644. [Google Scholar] [CrossRef]
- Huy, N.D.; Nhung, N.H. A study on the bidding strategy of the virtual power plant in energy and reserve market. Energy Rep. 2020, 6, 622–626. [Google Scholar] [CrossRef]
- Sowa, T.; Vasconcelos, M.; Schnettler, A.; Metzger, M.; Hammer, A.; Reischboek, M.; Köberle, R. Method for the operation planning of virtual power plants considering forecasting errors of distributed energy resources. Electr. Eng. 2016, 98, 347–354. [Google Scholar] [CrossRef]
- Fan, Q.; Liu, D. A wasserstein-distance-based distributionally robust chance constrained bidding model for virtual power plant considering electricity-carbon trading. IET Renew. Power Gener. 2023, 283, 116285. [Google Scholar] [CrossRef]
- Chen, Y.; Niu, Y.G.; Du, M.; Wang, J.H. A two-stage robust optimization model for a virtual power plant considering responsiveness-based electric vehicle aggregation. J. Clean Prod. 2023, 405, 136690. [Google Scholar] [CrossRef]
- Emarati, M.; Keynia, F.; Rashidinejad, M. A two-stage stochastic programming framework for risk-based day-ahead operation of a virtual power plant. Int. Trans. Electr. Energy Syst. 2020, 30, 12255. [Google Scholar] [CrossRef]
- Zhao, C.Y.; Wang, J.H.; Watson, J.P.; Guan, Y.P. Multi-stage robust unit commitment considering wind and demand response uncertainties. IEEE Trans. Power Syst. 2013, 28, 2708–2717. [Google Scholar] [CrossRef]
- Cui, S.C.; Wang, Y.W.; Xiao, J.W. Peer-to-peer energy sharing among smart energy buildings by distributed transaction. IEEE Trans. Smart Grid 2019, 10, 6491–6501. [Google Scholar] [CrossRef]
- Han, B.; Shang, C.; Huang, D.X. Multiple kernel learning-aided robust optimization: Learning algorithm, computational tractability, and usage in multi-stage decision-making. Eur. J. Oper. Res. 2021, 292, 1004–1018. [Google Scholar] [CrossRef]
- Zeng, B.; Zhao, L. Solving two-stage robust optimization problems using a column-and-constraint generation method. Oper. Res. Lett. 2013, 41, 457–461. [Google Scholar] [CrossRef]
- Zhou, Q.; Zhang, J.M.; Gao, P.F.; Zhang, R.X.; Liu, L.J.; Wang, S.; Cheng, L.; Wang, W.; Yang, S.Y. Two-stage robust optimization for prosumers considering uncertainties from sustainable energy of wind power generation and load demand based on nested c&cg algorithm. Sustainability 2023, 15, 9769. [Google Scholar] [CrossRef]
Disclaimer/Publisher’s Note: The statements, opinions and data contained in all publications are solely those of the individual author(s) and contributor(s) and not of MDPI and/or the editor(s). MDPI and/or the editor(s) disclaim responsibility for any injury to people or property resulting from any ideas, methods, instructions or products referred to in the content. |
© 2024 by the authors. Licensee MDPI, Basel, Switzerland. This article is an open access article distributed under the terms and conditions of the Creative Commons Attribution (CC BY) license (https://creativecommons.org/licenses/by/4.0/).