Nitrification–Autotrophic Denitrification Using Elemental Sulfur as an Electron Donor in a Sequencing Batch Reactor (SBR): Performance and Kinetic Analysis
Abstract
1. Introduction
2. Materials and Methods
2.1. Inoculum, Synthetic Wastewater, and Experimental Setup
2.2. Experimental Design
2.3. Kinetic Assays
2.3.1. Aerobic Oxidation Tests of Elemental Sulfur
2.3.2. Nitrification Tests
2.3.3. Denitrification Tests
2.4. Kinetic Model Development
2.5. Chemical Analysis
3. Results and Discussion
3.1. Performance of Nitrification–Autotrophic Denitrification in an SBR Using S0 as an Electron Donor
3.2. Calibration of the Kinetic Model
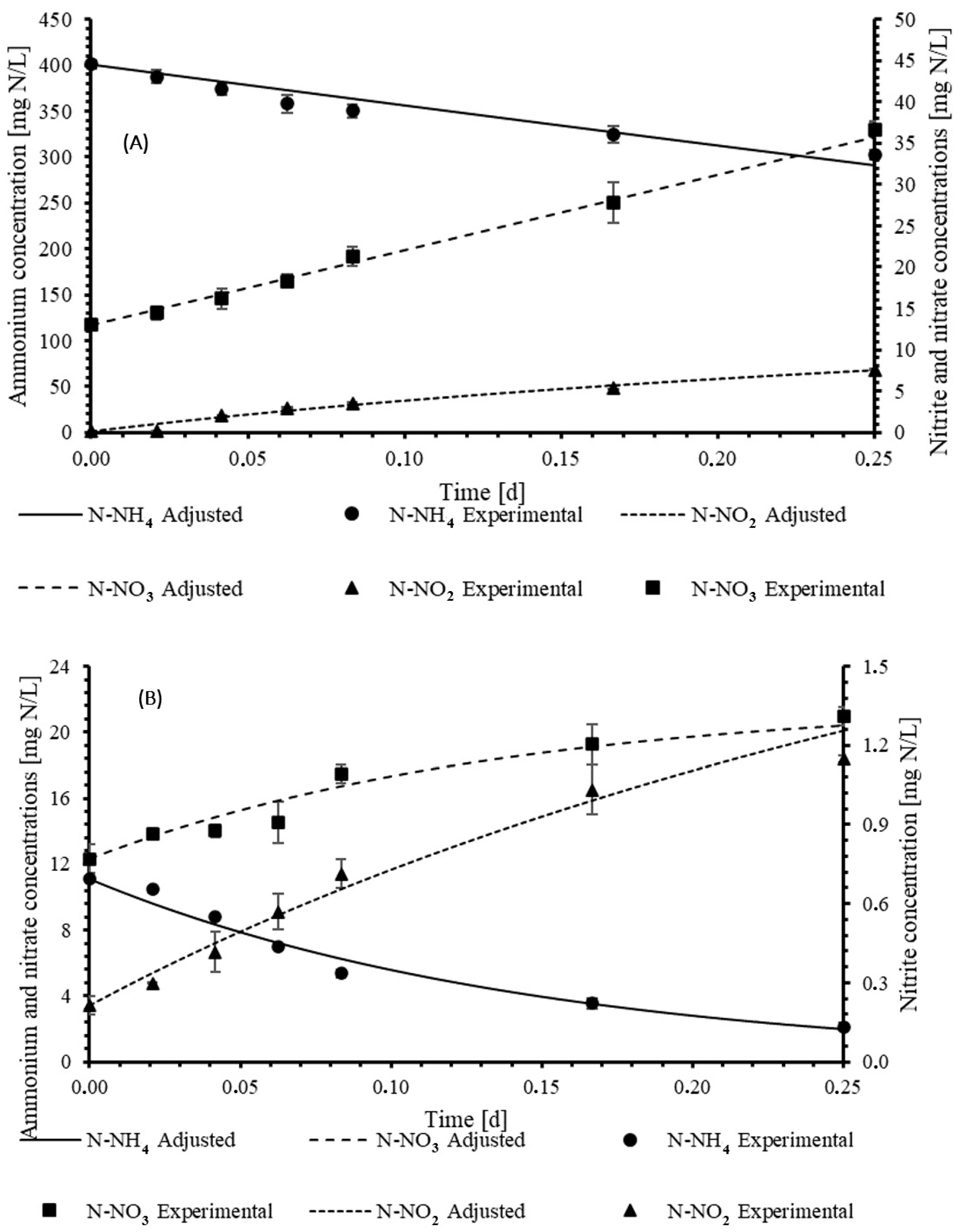
3.3. Validation of the Kinetic Model Proposed Using SBR Data
4. Conclusions
- Simultaneous nitrification–autotrophic denitrification using S0 as an electron donor was performed successfully, with total N-removal efficiency closer to 50% (average). Autotrophic denitrification controls the whole process. Elemental sulfur was only oxidized by the denitrifying biomass, without oxidation by chemical reaction with dissolved oxygen.
- A simple kinetic model was proposed, calibrated, and validated. Nitrification could be modeled by the Haldane kinetics, while autotrophic denitrification obeys the ½ order kinetics. The parameters obtained in both processes are within the range of values presented in the literature.
Supplementary Materials
Author Contributions
Funding
Institutional Review Board Statement
Informed Consent Statement
Data Availability Statement
Acknowledgments
Conflicts of Interest
References
- Wang, Y.; Li, B.; Xue, F.; Wang, W.; Huang, X.; Wang, Z. Partial nitrification coupled with denitrification and anammox to treat landfill leachate in a tower biofilter reactor (TBFR). J. Water Process Eng. 2021, 42, 102155. [Google Scholar] [CrossRef]
- Guo, J.; Zhang, L.; Chen, W.; Ma, F.; Liu, H.; Tian, Y. The regulation and control strategies of a sequencing batch reactor for simultaneous nitrification and denitrification at different temperatures. Bioresour. Technol. 2013, 133, 59–67. [Google Scholar] [CrossRef]
- Huiliñir, C.; Acosta, L.; Yanez, D.; Montalvo, S.; Esposito, G.; Retamales, G.; Levicán, G.; Guerrero, L. Elemental sulfur-based autotrophic denitrification in stoichiometric S0/N ratio: Calibration and validation of a kinetic model. Bioresour. Technol. 2020, 307, 123229. [Google Scholar] [CrossRef]
- Kostrytsia, A.; Papirio, S.; Frunzo, L.; Mattei, M.R.; Porca, E.; Collins, G.; Lens, P.N.; Esposito, G. Elemental sulfur-based autotrophic denitrification and denitritation: Microbially catalyzed sulfur hydrolysis and nitrogen conversions. J. Environ. Manag. 2018, 211, 313–322. [Google Scholar] [CrossRef]
- Barahona, A.; Rubio, J.; Gómez, R.; Huiliñir, C.; Borja, R.; Guerrero, L. Sequential Nitrification—Autotrophic Denitrification Using Sulfur as an Electron Donor and Chilean Zeolite as Microbial Support. Water 2023, 15, 95. [Google Scholar] [CrossRef]
- Cardoso, B.J.; Rodrigues, E.; Gaspar, A.R.; Gomes, Á. Energy performance factors in wastewater treatment plants: A review. J. Clean. Prod. 2021, 322, 129107. [Google Scholar] [CrossRef]
- Jaramillo, F.; Orchard, M.; Muñoz, C.; Zamorano, M.; Antileo, C. Advanced strategies to improve nitrification process in sequencing batch reactors—A review. J. Environ. Manag. 2018, 218, 154–164. [Google Scholar] [CrossRef] [PubMed]
- Omar, A.; Almomani, F.; Qiblawey, H.; Rasool, K. Advances in Nitrogen-Rich Wastewater Treatment: A Comprehensive Review of Modern Technologies. Sustainability 2024, 16, 2112. [Google Scholar] [CrossRef]
- Wiesmann, U. Biological nitrogen removal from wastewater. Adv. Biochem. Eng. Biotechnol. 1994, 51, 113–154. [Google Scholar]
- Darbi, A.; Viraraghavan, T. A kinetic model for autotrophic denitrification using sulphur: Limestone reactors. Water Qual. Res. J. Can. 2003, 38, 183–192. [Google Scholar] [CrossRef]
- Koenig, A.; Liu, L.H. Kinetic model of autotrophic denitrification in sulphur packed-bed reactors. Water Res. 2001, 35, 1969–1978. [Google Scholar] [CrossRef] [PubMed]
- Escobar, J.; Hernández, L.; González, J.L.; Salazar-González, R.; Calzadilla, W.; Guerrero, L.; Escalona, N.; Huiliñir, C. Removal of Ibuprofen and Diclofenac in Batch Nitrifying Reactors: Effect of Natural Zeolite on the Process. Water 2023, 15, 2665. [Google Scholar] [CrossRef]
- Guerrero, L.; Montalvo, S.; Huiliñir, C.; Barahona, A.; Borja, R.; Cortés, A. Simultaneous nitrification–denitrification of wastewater: Effect of zeolite as a support in sequential batch reactor with step-feed strategy. Int. J. Environ. Sci. Technol. 2016, 13, 2325–2338. [Google Scholar] [CrossRef]
- Narayanan, C.M.; Narayan, V. Biological wastewater treatment and bioreactor design: A review. Sustain. Environ. Res. 2019, 1, 33. [Google Scholar] [CrossRef]
- Beristain-Cardoso, R.; Gómez, J.; Méndez-Pampín, R. The behavior of nitrifying sludge in presence of sulfur compounds using a floating biofilm reactor. Bioresour. Technol. 2010, 101, 8593–8598. [Google Scholar] [CrossRef] [PubMed]
- Loh, Z.Z.; Zaidi, N.S.; Syafiuddin, A.; Yong, E.L.; Bahrodin, M.B.; Aris, A.; Boopathy, R. Current status and future prospects of simultaneous nitrification and denitrification in wastewater treatment: A bibliometric review. Bioresour. Technol. Rep. 2023, 23, 101505. [Google Scholar] [CrossRef]
- Hu, Y.; Wu, G.; Li, R.; Xiao, L.; Zhan, X. Iron sulphides mediated autotrophic denitrification: An emerging bioprocess for nitrate pollution mitigation and sustainable wastewater treatment. Water Res. 2020, 179, 115914. [Google Scholar] [CrossRef] [PubMed]
- Rice, E.W.; Bridgewater, L.; American Public Health Association (Eds.) Standard Methods for the Examination of Water and Wastewater. In Standard Methods for the Examination of Water and Wastewater; American Public Health Association: Washington, DC, USA, 2017. [Google Scholar]
- Layer, M.; Villodres, M.G.; Hernandez, A.; Reynaert, E.; Morgenroth, E.; Derlon, N. Limited simultaneous nitrification-denitrification (SND) in aerobic granular sludge systems treating municipal wastewater: Mechanisms and practical implications. Water Res. X 2020, 7, 100048. [Google Scholar] [CrossRef]
- Janka, E.; Pathak, S.; Rasti, A.; Gyawali, S.; Wang, S. Simultaneous Heterotrophic Nitrification and Aerobic Denitrification of Water after Sludge Dewatering in Two Sequential Moving Bed Biofilm Reactors (MBBR). Int. J. Environ. Res. Public Health 2022, 19, 1841. [Google Scholar] [CrossRef]
- Carboni, M.F.; Arriaga, S.; Lens, P.N.L. Simultaneous nitrification and autotrophic denitrification in fluidized bed reactors using pyrite and elemental sulfur as electron donors. Water Sci. Eng. 2023, 16, 143–153. [Google Scholar] [CrossRef]
- Di Capua, F.; Pirozzi, F.; Lens, P.N.L.; Esposito, G. Electron donors for autotrophic denitrification. Chem. Eng. J. 2019, 362, 922–937. [Google Scholar] [CrossRef]
- Cui, Y.X.; Biswal, B.K.; Guo, G.; Deng, Y.F.; Huang, H.; Chen, G.H.; Wu, D. Biological nitrogen removal from wastewater using sulphur-driven autotrophic denitrification. Appl. Microbiol. Biotechnol. 2019, 103, 6023–6039. [Google Scholar] [CrossRef] [PubMed]
- Shao, L.; Wang, D.; Chen, G.; Zhao, X.; Fan, L. Advance in the sulfur-based electron donor autotrophic denitrification for nitrate nitrogen removal from wastewater. World J. Microbiol. Biotechnol. 2024, 40, 7. [Google Scholar] [CrossRef] [PubMed]
- Seifi, M.; Fazaelipoor, M.H. Modeling simultaneous nitrification and denitrification (SND) in a fluidized bed biofilm reactor. Appl. Math. Model. 2012, 36, 5603–5613. [Google Scholar] [CrossRef]
- Ling, F.; Lu, Y.; Wang, C.; Yuan, Z.; Yu, R.; Zhu, G. Electron transfer pathways and kinetic analysis of cathodic simultaneous nitrification and denitrification process in microbial fuel cell system. Environ. Res. 2020, 186, 109505. [Google Scholar] [CrossRef]




| Phase | Start Time, h | End Time, h | Duration, h |
|---|---|---|---|
| Anoxic feed | 0 | 1 | 1 |
| Anoxic reaction | 1 | 9 | 8 |
| Aerobic reaction | 9 | 17 | 8 |
| Anoxic reaction | 17 | 23 | 6 |
| Aerobic reaction | 23 | 24 | 1 |
| Time, d | TAN, mg/L | NLR, mg/L d |
|---|---|---|
| 0–18 | 177.33 | 59.11 |
| 21–27 | 212.8 | 70.9333333 |
| 28–48 | 255.36 | 85.12 |
| 48–75 | 212.8 | 70.9333333 |
| 75–108 | 234.61 | 78.2033333 |
| 109–154 | 223.44 | 74.48 |
| Monod kinetic model | ||||
| Type of microorganism | μmax [d−1] | Ks [mg/L] | Ki [mg/L] | F0 |
| AOB | 0.791 | 74.18 | --- | 517.4 |
| NOB | 0.116 | 8.87 | --- | 0.274 |
| Haldane kinetic model | ||||
| Type of microorganism | μmax [d−1] | Ks [mg/L] | Ki [mg/L] | F0 |
| AOB | 0.807 | 76.27 | 18177.30 | 518.48 |
| NOB | 0.822 | 86.06 | 1.77 | 0.127 |
| Kinetic Model Order | Value of the Kinetic Constant | F0 | R2 Experiment 1 | R2 Experiment 2 |
|---|---|---|---|---|
| Order 1 | = 0.0112 h−1 | 1472.2 | 0.956 | 0.887 |
| Order 0 | = 3.5575 h−1 | 1125.6 | 0.934 | 0.896 |
| Order ½ | = 0.2054 mg1/2/L1/2/h | 478.6 | 0.957 | 0.979 |
| Cycle | Nitrogen Introduced in the Cycle [mg] | Nitrate Theoretically Removed [mg] | Cycle’s Theoretical Efficiency [%] | Cycle’s Experimental Efficiency [%] |
|---|---|---|---|---|
| 30 | 237.58 | 104.21 | 43.86 | 50.54 ± 7.54 |
| 34 | 239.57 | 105.23 | 43.92 | 42.69 ± 4.60 |
| 36 | 246.31 | 104.19 | 42.30 | 39.12 ± 6.62 |
| 40 | 262.50 | 108.03 | 41.15 | 39.23 ± 3.31 |
| 42 | 218.21 | 103.07 | 47.23 | 52.67 ± 9.73 |
| 45 | 233.63 | 72.28 | 30.94 | 31.90 ± 5.12 |
Disclaimer/Publisher’s Note: The statements, opinions and data contained in all publications are solely those of the individual author(s) and contributor(s) and not of MDPI and/or the editor(s). MDPI and/or the editor(s) disclaim responsibility for any injury to people or property resulting from any ideas, methods, instructions or products referred to in the content. |
© 2024 by the authors. Licensee MDPI, Basel, Switzerland. This article is an open access article distributed under the terms and conditions of the Creative Commons Attribution (CC BY) license (https://creativecommons.org/licenses/by/4.0/).
Share and Cite
Corbalán, M.; Da Silva, C.; Barahona, A.; Huiliñir, C.; Guerrero, L. Nitrification–Autotrophic Denitrification Using Elemental Sulfur as an Electron Donor in a Sequencing Batch Reactor (SBR): Performance and Kinetic Analysis. Sustainability 2024, 16, 4269. https://doi.org/10.3390/su16104269
Corbalán M, Da Silva C, Barahona A, Huiliñir C, Guerrero L. Nitrification–Autotrophic Denitrification Using Elemental Sulfur as an Electron Donor in a Sequencing Batch Reactor (SBR): Performance and Kinetic Analysis. Sustainability. 2024; 16(10):4269. https://doi.org/10.3390/su16104269
Chicago/Turabian StyleCorbalán, Mario, Cristopher Da Silva, Andrea Barahona, César Huiliñir, and Lorna Guerrero. 2024. "Nitrification–Autotrophic Denitrification Using Elemental Sulfur as an Electron Donor in a Sequencing Batch Reactor (SBR): Performance and Kinetic Analysis" Sustainability 16, no. 10: 4269. https://doi.org/10.3390/su16104269
APA StyleCorbalán, M., Da Silva, C., Barahona, A., Huiliñir, C., & Guerrero, L. (2024). Nitrification–Autotrophic Denitrification Using Elemental Sulfur as an Electron Donor in a Sequencing Batch Reactor (SBR): Performance and Kinetic Analysis. Sustainability, 16(10), 4269. https://doi.org/10.3390/su16104269

