Study on Leaf Morphological and Stoichiometric Traits of Cunninghamia lanceolata Based on Different Provenances
Abstract
1. Introduction
2. Materials and Methods
2.1. Overview of the Study Area
2.2. Sampling and Measuring Techniques
2.2.1. Determination of Morphological Traits
2.2.2. Determination of Stoichiometric Traits
2.3. Data Processing
3. Results and Analysis
3.1. Correlation Studies on Leaf Functional Traits of Cunninghamia lanceolata
3.1.1. Correlation between Leaf Morphological Traits of Cunninghamia lanceolata
3.1.2. Correlations between Leaf Stoichiometric Traits of Cunninghamia lanceolata
3.1.3. Correlation between Leaf Morphological and Stoichiometric Traits of Cunninghamia lanceolata
3.2. Differences in Leaf Functional Traits of Cunninghamia lanceolata from Different Provenances
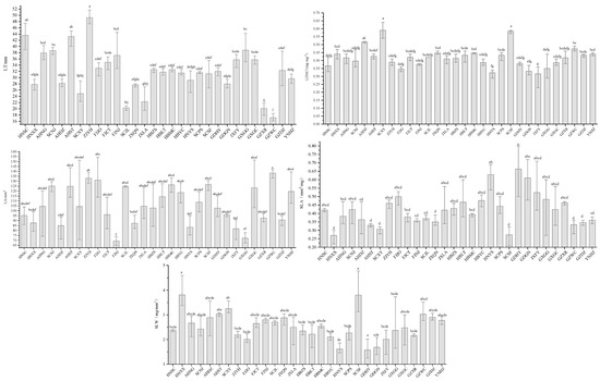
3.2.1. Differences in Leaf Morphological Traits of Cunninghamia lanceolata from Different Provenances
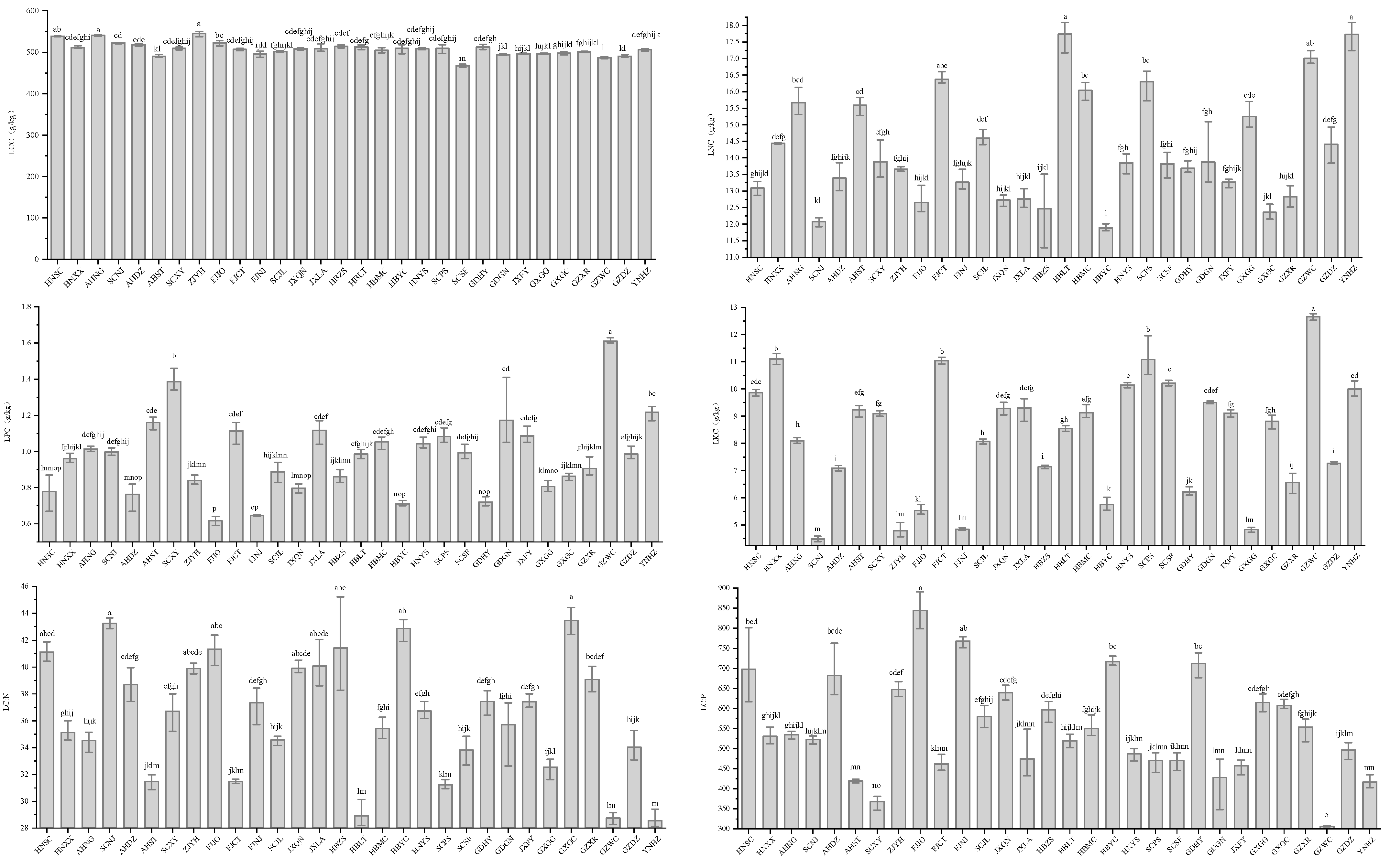
3.2.2. Differences in Leaf Stoichiometric Traits of Cunninghamia lanceolata from Different Provenances
3.3. Redundancy Analysis of Leaf Functional Traits with Environmental Factors of Provenances
4. Discussion
4.1. Correlations among Leaf Functional Traits
4.2. Variation in Leaf Functional Traits
4.3. Effects of Environmental Factors of Provenances on Leaf Functional Traits
5. Conclusions
Author Contributions
Funding
Institutional Review Board Statement
Informed Consent Statement
Data Availability Statement
Acknowledgments
Conflicts of Interest
References
- Xu, R.; Liu, J.; Wang, L.; Yan, Y.; Ma, X.; Li, M. Analysis of Root and leaf functional traits and C, N, P stoichiometry of Cunninghamia lanceolate from different provenances. Acta Ecol. Sin. 2022, 42, 6298–6310. [Google Scholar]
- Xia, L.; Yu, J.; Deng, L.; Li, X.; Zhou, C.; Xu, Y. Researches on Soil Decline of Chinese Fir Plantations. World For. Res. 2018, 31, 37–42. [Google Scholar]
- Fei, Y.; Wu, Q.; Zhang, X.; Lu, J.; Ji, C.; Lin, K.; Cao, S.; Lin, S.; Cao, G. Effects of different undergrowth vegetation management measures on soil characteristics and timber outturn of a large–diameter, timber plantation of Cunninghamia lanceolate. Acta Appl. Environ. Biol. 2020, 26, 626–634. [Google Scholar]
- Yan, Y.; Li, B.; He, Z.; Liu, Y.; Li, M.; Yu, X.; Ma, X. Comparative Study on Wood Characteristics of Cunninghamia lanceolata from Different Provenances. For. Res. 2021, 34, 49–57. [Google Scholar]
- Sheng, W. Chinese’s Artificial Forestry and Its Silvicultural System; China Forestry Press: Beijing, China, 2014. [Google Scholar]
- Luo, H.; Luo, J.; Feng, H.; Xiao, M.; Yang, S.; Li, Y.; Liu, J.; Li, X. Restoration dynamics of medicinal plant species diversity in Cunninghamia. Agric. Technol. 2024, 30, 35–45. [Google Scholar]
- Violle, C.; Navas, M.L.; Vile, D.; Kazakou, E.; Fortunel, C.; Hummel, I.; Garnier, E. Let the concept of trait be functional! Oikos 2007, 116, 882–892. [Google Scholar] [CrossRef]
- Diaz, S.; Cabido, M.; Casanoves, F. Plant functional traits and environmental filters at a regional scale. J. Veg. Sci. 1998, 9, 113–122. [Google Scholar] [CrossRef]
- McIntyre, S.; Lavorel, S.; Landsberg, J. Forbes TDA Disturbance response in vegetation−towards a global perspective on functional traits. J. Veg. Sci. 1999, 10, 621–630. [Google Scholar] [CrossRef]
- Weiher, E.; Van Der Werf, A.; Thompson, K.; Roderick, M.; Garnier, E.; Eriksson, O. Challenging Theophrastus: A common core list of plant traits for functional ecology. J. Veg. Sci. 1999, 10, 609–620. [Google Scholar] [CrossRef]
- He, N.; Liu, C.; Piao, S.; Sack, L.; Xu, L.; Luo, Y.; He, J.; Han, X.; Zhou, G.; Zhou, X.; et al. Ecosystem Traits Linking Functional Traits to Macroecology. Trends Ecol. Evol. 2019, 34, 200–210. [Google Scholar] [CrossRef]
- Yu, H.; Zhong, Q.; Cheng, D.; Zhang, Z.; Xu, C.; Zheng, W.; Pei, P. Leaf C, N, P stoichiometry of Machilus pauhoi understory seedlings of different provenances. Sci. Silvae Sin. 2018, 54, 22–32. [Google Scholar]
- Wang, K.; Li, Y.; Jiang, T.; Yao, H.; Zhan, S. Effects of drought stress on N and P stoichiometry and allocation of poplar seedlings. Chin. J. Ecol. 2017, 36, 3116–3122. [Google Scholar]
- Jin, Y.; Wang, C. Trade-offs between plant leaf hydraulic and economic traits. Chin. J. Plant Ecol. 2015, 39, 1021–1032. [Google Scholar]
- Sardans, J.; Alonso, R.; Carnicer, J.; Fernández-Martínez, M.; Vivanco, M.; Peñuelas, J. Factors influencing the foliar elemental composition and stoichiometry in forest trees in Spain. Perspect. Plant Ecol. Evol. Syst. 2016, 18, 52–69. [Google Scholar] [CrossRef]
- Zhang, P.; Shen, Y.; Zhang, X.; Nie, M.; Wen, H.; Ma, H. Study on Leaf Carbon, Nitrogen and Phosphorus Eco-stoichiometric Characteristics and Community Stability of Dominant Plants in Ningxia Desert Steppe. Chin. J. Grassl. 2022, 44, 18–26. [Google Scholar]
- Han, R.; Tian, Q.; Sun, Y.; Li, J.; Zhu, Z. Stoichiometric characteristics of carbon, nitrogen and phosphorus in the leaves of 42 woody landscape plants in Lanzhou City of northwestern China. J. Beijing For. Univ. 2023, 45, 110–119. [Google Scholar]
- Chen, Y.; Han, W.; Tang, L.; Tang, Z.; Fang, J. Leaf nitrogen and phosphorus concentrations of woody plants differ in responses to climate, soil and plant growth form. Ecography 2013, 36, 178–184. [Google Scholar] [CrossRef]
- Roa−Fuentes, L.; Templer, P.; Campo, J. Effects of precipitation regime and soil nitrogen on leaf traits in seasonally dry tropical forests of the Yucatan Peninsula, Mexico. Oecologia 2015, 179, 585–597. [Google Scholar] [CrossRef]
- Zhang, K.; Hou, J.; He, N. Leaf functional trait distribution and controlling factors of Pinus tabuliformis. Acta Ecol. Sin. 2017, 37, 736–749. [Google Scholar]
- Zhang, L.; Lv, G.; Jiang, L.; Li, Z.; Zhang, Y. Relationship between Primary Productivity, Carbon Storage and Functional Traits of Desert Plants in Arid Regions. J. Xinjiang Univ. (Nat. Sci. Ed. Chin. Engl.) 2020, 37, 63–74. [Google Scholar]
- Ke, M.; Wang, W.; Zhou, Q.; Wang, Y.; Liu, Y.; Yu, Y.; Chen, Y.; Peng, Z.; Mo, Q. Response of leaf functional traits to precipitation change: A case study from tropical woody tree. Glob. Ecol. Conserv. 2022, 37, e02152. [Google Scholar] [CrossRef]
- Xiong, L.; Long, C.; Liang, S.; Wu, T.; Liu, Q.; Liao, Q.; Xue, F. Response of Leaf Functional Traits of Woody Plants to Soil Characteristics in Karst Forests. J. Trop. Subtrop. Bot. 2023, 1–10. Available online: https://link.cnki.net/urlid/44.1374.Q.20230901.1427.002 (accessed on 1 February 2024).
- Cornelissen, J.; Lavorel, S.; Garnier, E.; Díaz, S.; Buchmann, N.; Gurvich, D.; Reich, P.; ter Steege, H.; Morgan, H.D.; van der Heijden, M.G.A.; et al. A handbook of protocols for standardised and easy measurement of plant functional traits worldwide. Aust. J. Bot. 2003, 51, 335–380. [Google Scholar] [CrossRef]
- Sun, M.; Tian, K.; Zhang, Y.; Wang, X.; Guan, D.; Yue, H. Research on leaf functional traits and their environmental adaptation. Plant Sci. J. 2017, 35, 940–949. [Google Scholar]
- Wu, P.; Tigabu, M.; Ma, X.; Odén, P.; He, Y.; Yu, X.; He, Z. Variations in biomass, nutrient contents and nutrient use efficiency among Chinese fir provenances. Silvae Genet. 2011, 60, 95–105. [Google Scholar] [CrossRef]
- Wu, H.; Duan, A.; Zhang, J. Growth Variation and Selection Effect of Cunninghamia lanceolata Provenances at Different Stand Ages. Sci. Silvae Sin. 2019, 55, 181–192. [Google Scholar]
- Huang, L.; Wu, P.; Ma, X.; Lin, K.; Liu, Y.; He, Z. Comparative Study on Growth of Fine Chinese fir (Cunninghamia lanceolata) Forest Plantations. J. Fujian For. Sci. Technol. 2021, 48, 8–11+17. [Google Scholar]
- Tang, Z.; Yin, H.; Hou, H.; Liu, X.; Zhou, X.; Yi, X. Comparison Analysis of Growth on Chinese Fir from Different Provenances. Cent. South For. Inventory Plan. 2023, 42, 47–51+55. [Google Scholar]
- Zhang, S.; Liu, J.; Lou, X.; Liu, Y.; Tong, Z.; Huang, H. Morphological characteristics of cells and main metabolic components in xylem of Cunninghamia lanceolata compression wood. J. Beijing For. Univ. 2015, 37, 126–133. [Google Scholar]
- Wu, X.; Li, B.; Yan, Y.; Li, M.; Wu, P.; Ma, X. Analysis of differences in fine root anatomical traits of Chinese fir from different provenances. J. For. Environ. 2023, 43, 232–239. [Google Scholar]
- Xu, R.; Cheng, S.; Zhou, J.; Tigabu, M.; Ma, X.; Li, M. Intraspecific variations in leaf functional traits of Cunninghamia lanceolata provenances. BMC Plant Biol. 2023, 23, 92. [Google Scholar] [CrossRef]
- Zhu, A.; Duan, A.; Zhang, J.; Zhang, X. Response to Annual Value of Temperature and Humidity for Tree Ring Width of Cunninghamia lanceolata Provenance Trial Stand in Liuzhou, Guangxi. For. Res. 2017, 30, 53–62. [Google Scholar]
- Li, B.; Yan, Y.; Zhang, H.; He, Z.; Liu, Y.; Ma, X. Comparison of fine root morphology and carbon and nitrogen content in Chinese fir from different provenances. J. For. Environ. 2019, 39, 561–567. [Google Scholar]
- Wu, X.; Li, B.; Yan, Y.; Wu, P.; Li, M.; Ma, X. Fine root morphology and ecological stoichiometric characteristics of Cunninghamia lanceolata from different provenances. J. For. Environ. 2023, 43, 113–122. [Google Scholar]
- Xu, T.; Niu, X.; Wang, B.; Qiu, X.; Shou, Y.; Luo, J.; Guo, Y. Variations in Leaf Functional Traits and Photosynthetic Parameters of Cunninghamia lanceolata Provenances. Forests 2023, 14, 1708. [Google Scholar] [CrossRef]
- Akalusi, M.; Bourque, C. Physiological and Morphological Variation in Balsam Fir Provenances Growing in New Brunswick, Canada. Forests 2021, 12, 186. [Google Scholar] [CrossRef]
- Zhu, A. Response of Tree Ring to Climate Change of Different Provenances of Cunninghamia lanceolata. Ph.D. Thesis, Chinese Academy of Forestry, Beijing, China, 2016. [Google Scholar]
- Liu, X.; Duan, A.; Zhang, J.; Zhang, X.; Zhu, A. Responses of δ13C Value of Cellulose in Tree Ring of Chinese Fir Provenances to Annual Climate Factors. For. Res. 2020, 33, 9–18. [Google Scholar]
- Song, L.; Tian, Q.; Li, G.; Li, Z.; Liu, X.; Gui, J.; Li, Y.; Cui, Q.; Zhao, Y. Variation in characteristics of leaf functional traits of alpine vegetation in the Three-River Headwaters Region, China. Ecol. Indic. 2022, 145, 109557. [Google Scholar]
- Dong, X.; Shi, L.; Bao, S.; Fu, H.; You, Y.; Ren, Y.; Wang, J.; Li, Q.; Chen, Z. Leaf traits of prickly ash and its correlation with ecological and geographical factors of origin. Sci. Rep. 2024, 14, 6276. [Google Scholar] [CrossRef]
- Gong, H.; Yang, M.; Wang, C.; Tian, C. Leaf phenotypic variation and its response to environmental factors in natural populations of Eucommia ulmoides. BMC Plant Biol. 2023, 23, 562. [Google Scholar] [CrossRef]
- Hu, H.; Bao, W.; Li, F. Differential vertical distribution of functional traits of fine roots of four cultivated tree species in the upper reaches of Minjiang River. Chin. J. Ecol. 2020, 39, 46–56. [Google Scholar]
- Liu, Y.; Guo, S. Leaf functional traits of 41 chestnut germplasms in Qianxi region. J. Northeast For. Univ. 2020, 48, 8–14+19. [Google Scholar]
- Wright, I.; Reich, P.; Westoby, M. Strategy shifts in leaf physiology, structure and nutrient content between species of high- and low- rainfall and high- and low-nutrient habitats. Funct. Ecol. 2001, 15, 423–434. [Google Scholar] [CrossRef]
- Wright, I.; Reich, P.B.; Westoby, M.; Ackerly, D.D.; Baruch, Z.; Bongers, F.; Cavender-Bares, J.; Chapin, T.; Cornelissen, J.H.; Diemer, M.; et al. The worldwide leaf economics spectrum. Nature 2004, 428, 821–827. [Google Scholar] [CrossRef]
- Reich, P.; Wright, I.; Cavender-Bares, J.; Craine, J.M.; Oleksyn, J.; Westoby, M.; Walters, M.B. The evolution of plant functional variation: Traits, spectra, and strategie. Int. J. Plant Sci. 2003, 164, S143–S164. [Google Scholar] [CrossRef]
- Candeias, M.; Fraterrigo, J. Trait coordination and environmental filters shape functional trait distributions of forest understory herbs. Ecol. Evol. 2020, 10, 14098–14112. [Google Scholar] [CrossRef]
- Ma, F.; Xu, T.; Liu, J.; Xiao, G.; Li, M.; Bi, J.; Na, X. Variations in Carbon, Nitrogen and Phosphorus Stoichiometry of Caragana liouana Originated from Nine Provenances in a Common Garden. Acta Bot. Boreali-Occident. Sin. 2017, 37, 1381–1389. [Google Scholar]
- He, J.; Wang, Z.; Wang, X.; Schmid, B.; Zuo, W.; Zhou, M.; Zheng, C.; Wang, M.; Fang, J. A test of the generality of leaf trait relationships on the Tibetan Plateau. New Phytol. 2006, 170, 835–848. [Google Scholar] [CrossRef]
- Freschet, G.T.; Cornelissen, J.H.; van Logtestijn, R.S.; Aerts, R. Substantial nutrient resorption from leaves, stems and roots in a subarctic flora: What is the link with other resource economics traits? New Phytol. 2010, 186, 879–889. [Google Scholar] [CrossRef]
- Zhou, Z. Response of Leaf Traits of Two Closely Related Caragana Species to Environmental Changes. Ph.D. Thesis, Ningxia University, Ningxia, China, 2020. [Google Scholar] [CrossRef]
- Sun, M.; Guan, J.; Yue, J. Carbon, nitrogen, and phosphorus stoichiometry in plant organs and soil of coniferous forests on the western loess plateau. J. Soil Water Conserv. 2017, 31, 202–208. [Google Scholar]
- Zeng, D.; Chen, G. Ecological stoichiometry: A science to explore the complexity of living systems. Acta Phytoecol. Sin. 2005, 29, 1007–1019. [Google Scholar]
- Yu, Q.; Elser, J.; He, N.; Wu, H.; Chen, Q.; Zhang, G.; Han, X. Stoichiometric homeostasis of vascular plants in the Inner Mongolia grassland. Oecologia 2011, 166, 1–10. [Google Scholar] [CrossRef]
- Fu, Y. Leaf Functional Traits of Main Plants and Their Relationships with Environmental Factors on the Western Slope of Wuyi Mountains. Master’s Thesis, Jiangxi Agricultural University, Nanchang, China, 2023. [Google Scholar]
- Niinemets, Ü. Global-scale climatic controls of leaf dry mass per area, density, and thickness in trees and shrubs. Ecology 2001, 82, 453–469. [Google Scholar] [CrossRef]
- Ji, Z.; Quan, X.; Wang, C. Variations in leaf anatomy of Larix gmelinii reflect adaptation of its photosynthetic capacity to climate changes. Acta Ecol. Sin. 2013, 33, 6967–6974. [Google Scholar]
- Liu, J.; Wang, X.; Li, Z.; Manda, B.; Zhao, H.; Zhou, G.; Pi, Z.; Chen, J. Differentiation of leaf functional traits in Swida wilsoniana from different provenances and their effects on seed characteristics. Nonwood For. Res. 2023, 41, 124–135. [Google Scholar]
- Ma, Y. Study on growth difference and copper resistance of different species of Cinnamomum camphora (L.) Presl. Ph.D. Thesis, Nanchang Institute of Technology, Jiangxi, China, 2019. [Google Scholar]
- Xue, M.; Fang, Y.; Dai, C.; Yin, Z. Differences in Leaf Characteristics and Water Use Efficiency of Quercus acutissima Seedlings from Different Provenances. North. Hortic. 2019, 13, 101–109. [Google Scholar] [CrossRef]
- Chen, C.; Liu, D.; Wu, K.; Hong, M.; Zhang, J.; Liu, Q.; Liang, Y. Leaf traits of Quercus wutaishanica and their relationship with topographic factors in Mount Dongling. Chin. J. Ecol. 2015, 34, 2131–2139. [Google Scholar]
- Wen, S.; Zhong, C.; Jiang, Q.; Chen, Y.; Zhang, Y.; Li, Q. Phenotypic Diversity Analysis of Seedling Leaf Traits of Manglietia conifera Dandy. Bull. Bot. Res. 2017, 37, 288–297. [Google Scholar]
- Sterner, R.; Elser, J. Ecological Stoichiometry: The Biology of Elements from Molecules to the Biosphere; Princeton University Press: Princeton, NJ, USA, 2002. [Google Scholar]
- Zhao, Y.; Cao, Y.; Chen, Y.; Peng, S. Ecological stoichiometry in a forest ecosystem in the hilly–gully area of the Loess Plateau. Acta Ecol. Sin. 2017, 37, 5451–5460. [Google Scholar]
- Hao, Y.; Zhou, L.; Wu, H.; Wang, S. Comparison of ecological stoichiometric characteristics of leaf–litter–soil in four types of Fraxinus mandshurica plantations. J. Nanjing For. Univ. (Nat. Sci. Ed.) 2019, 43, 101–108. [Google Scholar]
- Zhang, K.; He, M.; Li, X.; Tan, H.J.; Gao, Y.H.; Li, G.; Han, G.; Wu, Y. Foliar carbon, nitrogen and phosphorus stoichiometry of typical desert plants across the Alashan Desert. Acta Ecol. Sin. 2014, 34, 6538–6547. [Google Scholar]
- Liu, K.; Guo, C.; Zhang, Y.; Man, D.; Fu, G. Phenophase and growth differences of Lycium ruthenicum from different provenances and their correlation analysis with geographical−climatic factors. J. Plant Resour. Environ. 2019, 28, 41–48. [Google Scholar]
- Wang, J.; Shan, L.; Xie, T. Research on the Variation of Functional Characteristics in Leaves of Wild Nitraria Tangutorum Introduced to a Common Garden. Chin. J. Grassl. 2024, 46, 47–55. [Google Scholar]
- Cui, J.; Sun, M.; Cheng, H.; Xu, J.; Liu, Y.; Pan, J. Analysis of Leaf Functional Characteristics and C, N, P Stoichi–ometry of Ormosia hosiei from Different Provenances. J. Kaili Univ. 2023, 41, 40–50. [Google Scholar]
- Li, D.; Wu, M.; Yu, R.; He, T.; Rong, J.; Zheng, Y.; Chen, L. Phenotypic diversity of Dendrocalamus latiflorus from different provenances and its correlations with environmental factors. J. Plant Resour. Environ. 2023, 32, 39–50. [Google Scholar]
- Liu, K.; Wu, J.; Han, Y.; Li, L.; Wang, G.; Shen, Q.; Rong, J.; Zheng, Y.; Chen, L. Leaf Morphological Variation and Chlorophyll Fluorescence Characteristics of Fokienia hodginsii from Different Provenances. Mol. Plant Breed. 2021, 1–25. Available online: http://kns.cnki.net/kcms/detail/46.1068.S.20211015.1924.028.html (accessed on 1 February 2024).





| Provenances | Longitude | Latitude | Average Annual Temperature /°C | Average Annual Precipitation /mm | January Temperature /°C | July Temperature /°C | Precipitation during the Growing Season/mm | Average Temperature during the Growing Season/°C | 
|---|---|---|---|---|---|---|---|---|
| SCNJ | 100.83007 | 27.742553 | 15.91 | 1206.31 | 5.08 | 25.78 | 1114.3 | 20.11 | 
| SCSF | 104.20317 | 31.123987 | 16.01 | 859.29 | 5.38 | 25.24 | 861.4 | 20.31 | 
| SCPS | 104.34865 | 28.841363 | 17.54 | 918.8 | 7.45 | 26.12 | 866.7 | 21.33 | 
| SCYL | 104.50152 | 28.157245 | 17.51 | 1050.99 | 7.52 | 26.38 | 933.7 | 21.37 | 
| GZXR | 105.23561 | 25.457669 | 15.6 | 1287.58 | 6.55 | 22.29 | 1212.6 | 18.9 | 
| SCXY | 105.44801 | 28.162996 | 18.13 | 1141.36 | 8.07 | 27.35 | 965.6 | 22.01 | 
| GZWC | 107.45652 | 28.555493 | 15.92 | 1162.02 | 5.01 | 25.99 | 1057.1 | 20.21 | 
| GZDZ | 107.61747 | 28.865107 | 15.86 | 1028.97 | 5.13 | 25.9 | 939.3 | 20.11 | 
| YNHZ | 108.8523 | 27.705922 | 13.11 | 778.12 | 5.52 | 19.05 | 938.9 | 15.77 | 
| GXGG | 109.57907 | 23.121702 | 21.75 | 1455.13 | 12.25 | 28.7 | 1524.9 | 25.44 | 
| HNYS | 109.86704 | 28.993863 | 16.45 | 1356.65 | 4.94 | 26.97 | 1166.8 | 20.99 | 
| HBZS | 110.23615 | 32.234213 | 15.59 | 828.67 | 3.35 | 27.04 | 739.7 | 20.35 | 
| GXGC | 110.84663 | 24.829325 | 19.99 | 1480.65 | 9.25 | 28.61 | 1174.9 | 24.2 | 
| HBYC | 111.32475 | 30.737185 | 17.02 | 1143.92 | 4.94 | 27.74 | 1022.2 | 21.72 | 
| GDGN | 112.41925 | 23.57905 | 21.29 | 1745.79 | 12.37 | 28.33 | 1421.9 | 24.78 | 
| JXQN | 114.54118 | 24.743481 | 18.94 | 1658.25 | 8.76 | 27.33 | 1254.3 | 22.92 | 
| JXFY | 114.70939 | 27.811019 | 17.87 | 1623.48 | 5.73 | 29.13 | 1216.7 | 22.67 | 
| GDHY | 114.71837 | 23.75974 | 21.79 | 1958.98 | 12.89 | 28.58 | 1604.5 | 25.28 | 
| HNXX | 114.85275 | 31.670885 | 15.29 | 1265.98 | 2.32 | 27.23 | 1094.3 | 20.34 | 
| HBMC | 115.01253 | 31.169086 | 16.79 | 1272.99 | 3.77 | 28.71 | 1066.8 | 21.89 | 
| HBLT | 115.41188 | 30.779975 | 16.6 | 1360.29 | 3.93 | 28.29 | 1126.6 | 21.59 | 
| HNSC | 115.45088 | 31.963536 | 15.78 | 1220.66 | 2.64 | 27.65 | 1048.8 | 20.89 | 
| JXLA | 115.84267 | 27.42741 | 17.57 | 1737.43 | 5.3 | 28.92 | 1291.7 | 22.42 | 
| FJCT | 116.36127 | 25.836064 | 18.67 | 1729.65 | 8.34 | 27.35 | 1279.9 | 22.72 | 
| AHDZ | 117.03175 | 30.113535 | 16.65 | 1642.63 | 4.06 | 28.6 | 1229.5 | 21.62 | 
| FJNJ | 117.37897 | 24.518747 | 21.25 | 1771.62 | 13.22 | 28.44 | 1489.1 | 24.57 | 
| AHST | 117.49355 | 30.221025 | 16.46 | 1643.98 | 4.01 | 28.25 | 1137.6 | 21.37 | 
| FJJO | 118.31089 | 27.026379 | 19.12 | 1723.09 | 8.72 | 28.64 | 1224.8 | 23.27 | 
| AHNG | 118.98846 | 30.636369 | 15.96 | 1505.07 | 3.27 | 27.96 | 1140.5 | 20.99 | 
| ZJYH | 119.57788 | 28.111274 | 18.02 | 1637.87 | 6.7 | 28.54 | 1259.5 | 22.54 | 
| LT | LDMC | LA | SLA | SLW | |
|---|---|---|---|---|---|
| LT | 1 | ||||
| LDMC | −0.334 ** | 1 | |||
| LA | 0.032 | 0.206 * | 1 | ||
| SLA | 0.083 | −0.733 ** | −0.036 | 1 | |
| SLW | −0.081 | 0.737 ** | 0.035 | −0.999 ** | 1 | 
| LCC | LNC | LPC | LKC | LC:N | LC:P | LN:P | |
|---|---|---|---|---|---|---|---|
| LCC | 1 | ||||||
| LNC | −0.191 | 1 | |||||
| LPC | −0.321 ** | 0.517 ** | 1 | ||||
| LKC | −0.261 * | 0.447 ** | 0.644 ** | 1 | |||
| LC:N | 0.409 ** | −0.946 ** | −0.555 ** | −0.490 ** | 1 | ||
| LC:P | 0.439 ** | −0.491 ** | −0.967 ** | −0.646 ** | 0.590 ** | 1 | |
| LN:P | 0.319 ** | 0.029 | −0.802 ** | −0.464 ** | 0.056 | 0.818 ** | 1 | 
| Leaf Morphological Traits | Mean ± SD | Minimum | Maximum | CV (%) | 
|---|---|---|---|---|
| LT | 31.95 ± 7.13 | 40.04 | 49.23 | 22.31% | 
| LDMC | 0.42 ± 0.06 | 0.32 | 0.59 | 15.31% | 
| LA | 105.67 ± 19.04 | 69.75 | 138.25 | 18.02% | 
| SLA | 0.42 ± 0.10 | 0.27 | 0.66 | 22.86% | 
| SLW | 2.54 ± 0.54 | 1.57 | 3.81 | 21.42% | 
| Leaf Stoichiometric Traits | Mean ± SD | Minimum | Maximum | CV (%) | 
|---|---|---|---|---|
| LCC | 507.39 ± 16.16 | 467.13 | 544.89 | 3.19% | 
| LNC | 14.22 ± 1.66 | 11.88 | 17.74 | 11.70% | 
| LPC | 0.97 ± 0.22 | 0.62 | 1.61 | 22.20% | 
| LKC | 8.30 ± 2.16 | 4.39 | 12.77 | 26.05% | 
| LC:N | 36.43 ± 4.36 | 28.56 | 43.45 | 11.98% | 
| LC:P | 552.75 ± 123.41 | 306.33 | 844.24 | 22.33% | 
| LN:P | 15.16 ± 2.68 | 10.03 | 20.59 | 17.65% | 
| Disclaimer/Publisher’s Note: The statements, opinions and data contained in all publications are solely those of the individual author(s) and contributor(s) and not of MDPI and/or the editor(s). MDPI and/or the editor(s) disclaim responsibility for any injury to people or property resulting from any ideas, methods, instructions or products referred to in the content. | 
© 2024 by the authors. Licensee MDPI, Basel, Switzerland. This article is an open access article distributed under the terms and conditions of the Creative Commons Attribution (CC BY) license (https://creativecommons.org/licenses/by/4.0/).
Share and Cite
Wang, Y.; Niu, X.; Wang, B. Study on Leaf Morphological and Stoichiometric Traits of Cunninghamia lanceolata Based on Different Provenances. Sustainability 2024, 16, 4236. https://doi.org/10.3390/su16104236
Wang Y, Niu X, Wang B. Study on Leaf Morphological and Stoichiometric Traits of Cunninghamia lanceolata Based on Different Provenances. Sustainability. 2024; 16(10):4236. https://doi.org/10.3390/su16104236
Chicago/Turabian StyleWang, Yihui, Xiang Niu, and Bing Wang. 2024. "Study on Leaf Morphological and Stoichiometric Traits of Cunninghamia lanceolata Based on Different Provenances" Sustainability 16, no. 10: 4236. https://doi.org/10.3390/su16104236
APA StyleWang, Y., Niu, X., & Wang, B. (2024). Study on Leaf Morphological and Stoichiometric Traits of Cunninghamia lanceolata Based on Different Provenances. Sustainability, 16(10), 4236. https://doi.org/10.3390/su16104236
 
        

 
       