Abstract
This paper discusses the historical use of natural stone for various purposes and highlights the substantial waste generated by quarries and stone processing plants in modern industrialized production. These waste materials are typically categorized into unused rock and sludges from processing. This accumulation of waste presents a global environmental challenge and a financial burden for the stone industry. In-depth investigation into the development of a binder incorporating carbonated sludge from marble and limestone industries, combined with polyester resin, for building stone composites was performed. This research involved chemical and microstructural characterization of the sludges, preparation of mixtures with polyester resin, stone composites manufacturing, and subsequent testing to determine and validate the optimal binder composition. Given the achieved results, and the demonstrated feasibility of using a binder composed of polyester resin and carbonated sludge for stone composite production, it was concluded that employing carbonated sludge as an economic resource is indeed viable.
1. Introduction
For centuries, natural stone has been used for several purposes, such as the following: building material, megaliths, ornamental objects, hunting, and working tools [1,2,3,4]. Upon the industrialization of natural stone production, both quarries and stone processing plants began to generate a high quantity of waste in large volumes. The accumulation of waste gives rise to considerable environmental repercussions that are inevitable, including the diminishing of plant coverage, a decline in agricultural pursuits, soil sealing, modification of watercourses with a substantial deterioration in their quality, transformation of ecosystems, deterioration in air purity, decrease in the photosynthetic process of plants, and visual impact. The latter is particularly noteworthy, as the stark white shade of the deposits sharply diverges from the predominantly rural surroundings [5].
Also, waste generated in the transformation units resulting from the production cycle, fundamentally from drilling, cutting, and dismantling operations, usually represent a high percentage compared to the exploited material (around 20–50%) [6]. These wastes or residues can be divided into four types depending on the phase: in quarries—(i) rock fragments that have an average contribution around 95% and (ii) carbonated sludge with an average amount of around 5%; in processing units—(iii) rock fragments that have an average contribution of 58% and (iv) carbonated sludge with an approximate contribution of 5%. All these wastes are usually accumulated in heaps or deposits in the surrounding areas around natural stone processing areas.
The low yield in this subsector, particularly in the marble area in Alentejo, located in the south of Portugal, is largely due to the geological characteristics of the massif, mainly the high degree of fracturing. However, waste accumulation constitutes a global and worldwide environmental problem and a liability of exploited and non-profitable stone material [7].
Carbonated sludge is considered waste because it has not yet been used industrially in a consistent way to give it an economic value. However, this raw material has high degrees of purity and relevant physical and chemical characteristics that make it a material with high potential for use in various industries, especially those that include calcium carbonate (CaCO3) in their production processes. The scientific and technological research of the characteristics of carbonated sludges give them the possibility, or ability, to be incorporated into other industrial processes, thus allowing their classification as byproducts of the extractive and processing industry of carbonated dimension stones. For some time now, studies have been conducted with the aim of studying and promoting sustainable development in the natural stone industry through the reduction or reuse of these materials as a byproduct, giving them economic value while minimizing the environmental impact resulting from their accumulation in heaps and deposits. The following section describes some of the findings already available from several international research teams.
1.1. Stone Waste Recovery Rates
In Turkey, a study in nineteen major natural stone processing plants, which account for almost 98% of marble production in the Bilecik province and 11% nationwide, assessed daily waste generation using current production capacity. The study aimed to measure industrial waste, analyze waste generation methods, and classify waste by size and quality. Results revealed that a single natural stone processing plant generates about 1044 tons of natural stone waste per day, comprising both solid waste and sludge [8].
Recent research revealed that around 51% of the material extracted from dimension stone quarries becomes waste during the extraction process. Additionally, roughly 41% of the material arriving at dimension stone processing plants transforms into waste during processing. This leads to an overall recovery rate of about 29% in the dimension stone production process, signifying significant resource loss and the generation of substantial waste. However, there is potential to repurpose stone waste and crushed slabs from processing plants to create fine-grained construction materials, small paving pieces, sand, and gravel. Similarly, the sawdust and sludge produced in this process can be utilized to manufacture ceramics, stone products, paints, and other products [9].
1.2. Stone Waste’s Potential Use as a Soil Stabilizer
The effectiveness of waste from calcitic marble, dolomitic marble, and granite powder as additives for stabilizing clayey soil was compared in a study conducted by Sivrikaya et al. [10]. Artificial soil samples were crafted in the laboratory using bentonite and kaolinite. The incorporation of natural stone waste powder at varying percentages was assessed, and the stabilized soil’s index and compaction parameters were analyzed. Results demonstrated that waste powders, similar to lime, could serve as soil stabilizers [10].
1.3. Stone Waste as a Raw Material for the Ceramic Industry
In Brazil, a study investigated the influence of adding ornamental stone waste to the production of red ceramics using clays and waste from the region of Espírito Santo. The waste was mixed into the ceramic pastes at varying weights. Specimens were then manufactured through extrusion and fired at temperatures of 1050 °C and 1100 °C. The results showed improved properties in the ceramics with the inclusion of waste at both temperatures [11].
Moreover, a study examined the effects of incorporating ornamental stone cutting residues, specifically marble and granite, into an existing industrial red-clay-based mixture used for floor tile production. Samples containing up to 30% residues were compressed and subjected to high temperatures in an electric furnace, ranging from 1100 to 1150 °C. The findings clarified how the inclusion of marble and granite positively influenced the behavior of the clay mixture, suggesting that the properties of the sintered red-clay products can be improved, potentially enabling the use of lower firing temperatures [12].
A Portuguese research group investigated the utilization of waste from the natural stone cutting and polishing industry for roof tile production. The sintered products, which included the sludge, were engineered to possess properties comparable to or even superior to those produced using a standard reference paste in the industry. Various formulations were assessed to understand their impact on paste characteristics, drying, firing processes, and the final tile properties. Ultimately, the most promising formulations were identified and subjected to analysis for sintered density, water absorption, and flexural bending strength. The results demonstrated the viability of manufacturing roof tiles incorporating 10% of granite waste with outstanding properties [13].
In a parallel effort, researchers utilized finely ground granite waste to craft environmentally friendly bricks. The objective was to substitute natural clay with granite powder, resulting in bricks with heightened physical and mechanical attributes. The micronized granite waste was processed into a fine powder. This powder was then incorporated into various batch compositions with differing ratios and fired at temperatures ranging from 900 to 1100 °C. The outcomes revealed the ability to manufacture bricks containing as much as 30% granite powder, displaying enhanced engineering properties especially when fired at 1100 °C [14].
1.4. Stone Waste as a Raw Material for Geopolymers
Research also delved into the use of stone cutting waste in formulating new geopolymers and understanding the interaction of their components. In addition to acting as a filler, the stone waste influenced the compositional system, resulting in different geopolymer gels. Samples with 50 and 75% stone waste achieved compressive strengths of approximately 28 and 14 MPa, respectively. This suggests that stone waste holds promise as a raw material for geopolymers with diverse potential applications [15].
1.5. Stone Waste as a Raw Material for Alkali-Activated Mixes Containing Fly Ash
Another study investigated how stone powder sludge, derived from a crushed aggregate factory, affected the microstructure and strength development of alkali-activated mixes containing fly ash and blast furnace slag. Stone powder sludge was employed as a replacement for fly ash and granulated blast furnace slag at different mass ratios. The test results demonstrated that the compressive strength of alkali-activated mixes with blast furnace slag and stone powder sludge was higher than the control mix using only blast furnace slag. However, the compressive strength of alkali-activated mixes with fly ash decreased as the ratio of stone powder sludge replacement increased [16].
1.6. Stone Waste as a Raw Material for Building Stone Composites
Previous and preliminary studies of limestone and marble waste reuse in the manufacture of building stone composites, in which the previously fragmented rock is mixed with polyester resins to produce a new construction material, have already been conducted by the authors [17,18]. Still, the present study is focused on the in-depth past research and proved the laboratorial feasibility of a binder to be used in the manufacture of building stone composites, which incorporates carbonated sludge, resulting from the industrial marble and limestone cutting industries in Portugal. To the authors’ knowledge, there is still a large margin for progress until the definition of a fully industrialized solution is achieved.
When defining the binder, the use of polyester resins was considered to make it possible to obtain a more economical final product, when compared to epoxy resins. Ideally, the binder and the composite should be produced with natural-based resins. However, its marketing is still minimal, and it would be unfeasible from a technical and economical point of view at a later stage of technology transfer. Thus, this study was based on two types of carbonated sludge (limestone and marble) and a polyester resin. In the first stage, limestone and marble sludges were characterized by conducting the following laboratory tests: granulometric analysis (by sieving and using the Sedigraph), determination of consistency limits, specific weight tests, chemical analysis using the ICP-OES, and analysis of the mineralogical composition using XRD.
Mixtures with different proportions of sludge and polyester resin were prepared and viscosity tests were conducted to assess the workability of the mixture, as well as uniaxial compression tests to determine its strength. In a final stage, the selected binder was mixed with aggregates to perform a preliminary validation of its workability and mechanical performance through uniaxial compression strength tests at different curing times.
Based on the achieved results, it was then possible to define the most suitable binder composition with the best performance, as well as to confirm the viability of its use in the manufacture of building stone composites.
1.7. Geological Background
Stone sludges were collected in two distinct regions in Portugal:
The Estremadura Calcareous Massif (Figure 1A) belongs to the Central sector of the Lusitanian Basin and represents one of the most important national limestone extraction centers for ornamental purposes [19].
Figure 1.
Geological stone sludge’s background: (A) Estremadura Calcareous Massif, adapted from Carvalho (2013) and (B) Estremoz Anticline, adapted from Moreira, J. & Vintém, C. (coords.) (1997) Geological Map of the Estremoz Anticline, Instituto Geológico e Mineiro, Lisboa [19,20].
The Anticline of Estremoz (Figure 1B) is among one of the world’s main marble extraction centers for ornamental purposes, located in Alentejo, Portugal. The Estremoz Anticline presents a symmetrical structure in anticlinal form, elliptical in shape with about 45 km in length [19,20].
2. Environmental, Economic, and Technical Sustainability Analysis of Building Stone Composites
In December 2015, the European Commission introduced the “Circular Economy Action Plan” to foster sustainable growth. Conversely, Portugal’s current national political framework for the circular economy, outlined in the “Plan of Action for the Circular Economy,” aims to establish a strategy focused on waste production and disposal, emphasizing concepts like reuse, repair, and material and energy renewal. The conventional linear development model, involving resource extraction, processing, product creation, and eventual disposal, contrasts with the circular economy’s approach, which prioritizes efficient resource use through dematerialization, reuse, recycling, and material recovery. Circular economy practices aim to extract economic value and utility from materials, equipment, and goods over extended cycles powered with renewable sources [18].
Achieving circularity requires a holistic perspective, involving designers, engineers, architects, as well as those involved in installation, repair, and transportation, such as mechanics and electricians. This collaborative effort holds the greatest potential for designing materials, reusable components, durable and repairable products, and production methods with minimal waste or environmental impact. Additionally, it emphasizes utilizing byproducts or waste for new products and exploring alternative, non-harmful materials [18].
Finding new employments for natural stone industrial waste materials and research initiatives like the Calcinata project, which originated this research work, will focuses on valorizing natural stone waste, aligned with the “Circular Economy” model. This approach aided in minimizing waste from the carbonated ornamental stones industry, providing economic value to these materials and reducing environmental liabilities.
The industrial production of stone composites currently use epoxy resins. When they are applied to exterior cladding slabs and exposed to UV radiation from sunlight, they experience chemical reactions that cause their properties to deteriorate [21]. One of the determining factors for overly high market prices for stone composites is typically linked to the commercial value of epoxy resins which, depending on the market, can cost between EUR 27 and EUR 35/kg. Still, in most markets, natural stone products still have a higher resale value than engineered stone, especially when we are considering renowned stones such as Carrara marble (Italy) or other exotic lithotypes such as Azul Bahia (Brazil). In this research, binders for natural stone composites were produced based on carbonated sludge and polyester resins, these resins are much more economical than epoxy and with suitable performances (EUR 7–10/kg).
It is also important to highlight that there are several different types of composites based on natural stone waste and it is always important to conduct a critical analysis specifically regarding its characteristics. However, it is critical to note that globally there are some relevant advantages in both the technical, environmental, and economic point of view:
- (i)
- Greater uniformity in technical and aesthetic properties between different lots. These products are produced with a recipe, and as long as the raw materials are controlled and followed the technical procedure is very unlikely to obtain the variations that exist in natural stone on an industrial scale (often up to 20% within the same lithology);
- (ii)
- Considerable energy savings may be obtained in external cladding with several engineered stones. Since some composites can have lower thermal conductivity than natural (typically between 2.5 and 3.5 W/m °C compared to approximately 5 W/m °C (depending on the stone type)) [22];
- (iii)
- Lower propensity to undergo decay phenomenon, such as efflorescence, decay due to salt crystallization or salt fog, an alteration that occurs in the presence of polluted environments [23];
- (iv)
- The manufacturing process enables the direct production of elements with specified dimensions (such as tiles, bricks, and panels), thereby minimizing costs linked to processing (such as cutting) or transportation [23].
There are also disadvantages in natural stone composites: (i) emission of volatile compounds (VOCs) which can give rise to unpleasant smelling composites; (ii) chemical stability of some resins and additives used in production; and (iii) dimensional stability of composites which might lead to nonsuitability in outdoor environment.
3. Materials and Methods
3.1. Materials
For the development of the binder, two types of carbonated sludge were used: sludge of a marbled nature and sludge of a calcareous nature. Four samples of sludge type were collected, and sampling took place in accordance with the EN 932-1 standard. The marble sludges have their origin in the marbles quarried from Texugo quarry located in Lagoa, Vila Viçosa and Boba Alentejo (Figure 1B), having been collected, respectively, at the sawmills António Galego & Filhos and Mármores S.A. and A.L.A. by Almeida Ltd. (Figure 2a). The limestones sludges have their origin in the limestones from Cabeça Veada quarry located in the region of Benedita (Leiria, Portugal) and were collected at the Solancis sawmills—Sociedade Exploradora de Pedreiras S.A. (Figure 2b) and MVC—Mármores de Alcobaça Lda.
Figure 2.
Marble sludge collecting process at the António Galego & Filhos factory (a) and limestone sludge collection process at Solancis SA factory (b) with a detail of the sampling process (c).
After sample collection, sludge samples were spread out for air drying after undergoing manual disaggregation to reduce the size of the particle agglomerates and thus facilitate the air-drying process, which took place for several days at room temperature. Subsequently, they were transferred to ovens at a temperature of 40 °C, where they remained until a constant weight was achieved. After drying, the samples were disaggregated using a Retsch jaw mill—BB200.
Once disaggregated, samples were then distributed so that they could be packaged and used later as subsamples, without losing representativeness of the initial sample. The distribution took place in accordance with the EN 932-2 standard.
To prepare the binder, a polyester resin commercialized by the company Castro Composites (Spain) was added to each carbonated slurry. The resin used is a preaccelerated Recapoli 2196 based on low reactivity orthophthalic acid with a very gradual cure. Containers consisting of 25 kg of resin and 0.5 kg of hardener; the resin were bought directly from the manufacturer. This product was selected because it has a low peak exotherm combined with low polymerization shrinkage and high post-polymerization gloss. This resin is UV light stabilized and has a flexural strength of 83 MPa (ISO 178).
After identifying the most effective binder formulation, composites were prepared utilizing marble aggregates provided by Marvisa, Mármores Alentejanos Lda. Binders and aggregates were blended and mixed and poured into molds measuring 55 cm × 15 cm × 15 cm to fabricate specimens for the initial physical–mechanical assessment and validation of the stone composites.
3.2. Methods
3.2.1. Particle Size Analysis
The granulometric analyses were conducted in two steps:
- The particle size distribution of the fraction composed of particles with equivalent spherical diameter (e.s.d.) greater than 74 μm was determined by sieving according to LNEC E234 specification on giller granulometric analysis. After drying the sample at 105 °C until a constant weight was achieved, the mass of the sample is taken and passed through a sieve with an opening of 0.074 mm. The retained material is then passed through a set of sieves in a successively wider aperture sequence. The weights of the fractions retained in each specimen are determined, as well as the corresponding value of the retained percentage. With these data, a curve representing the granulometric distribution of the particles is projected, in order of their size and corresponding percentage of material of smaller size.
- The particle size distribution of the e.s.d. less than 63 μm was performed using a Micromeritics Sedigraph 5100 Sedimentograph (GA, USA), with X-ray sources.
After determining the granulometric distribution of the two sample fractions, that is, the fraction composed of the e.s.d. greater than 0.074 mm and the fraction of e.s.d. less than 0.063 mm, the granulometric distribution curve of the total sample was calculated, resulting from the composition of the curves determined with the two methods previously described.
3.2.2. Consistency Limits (WL and WP)
To complement the characterization of the carbonated sludge, two consistency limits, or Atterberg, were determined. The liquid limit (LL or WL) and the plastic limit (LP or WP) were determined according to the Portuguese standard NP 143. Knowing the values of these parameters also allowed the calculation of the plastic index of the carbonated sludge.
The value of the liquid limit of a given sample corresponds to the water content that a specimen contains when, after being placed in a Casagrande shell, the inner edges of the groove opened in it unite in an extension of 1 cm, under the action of twenty-five blows of the Casagrande shell. This value was obtained with graphic interpolation on a curve that defines the relationship obtained from at least four specimens, for the water content of the specimens and the number of strokes of the Casagrande shell necessary to close the opened groove in an extension of 1 cm.
The plastic limit value corresponds to the average value of the water content of at least four specimens of the sample to be evaluated, when these, after having been transformed into a cylindrical filament by rolling between the operator’s hand and a glass plate, break with about 3 mm in diameter.
3.2.3. Specific Weight
This parameter was determined in accordance with the Portuguese standard EN 1097-7, given the granulometric similarity existing between the carbonated sludge and the filler, often consisting only of calcium carbonate. This method consists of using a pycnometer of known volume in which a quantity of liquid of known density is replaced (in this case it was distilled water at a temperature of 20 °C). Once the mass of the specimen is known, previously determined, its volume is calculated by subtracting the volume of liquid used to fill the pycnometer with the specimen from the volume of liquid in the filled pycnometer (without specimen). With these two types of data, the mass of the specimen and its volume, the value of the density or specific weight can then be assessed.
3.2.4. Chemical Composition—Major Elements
Optical emission spectroscopy with inductive plasma source (ICP-OES), Perkin-Elmer, (Waltham, MA, USA) OPTIMA 8300, was used to determine the chemical composition of the carbonated sludge under study. Following previous studies, conditions were as follows: plasma flow at 8 L/min, auxiliary gas flow at 0.4 L/min, nebulization flow at 0.50 L/min, sample flow at 1.50 L/min, pump speed at 0.9 mL/min, no flush, RF with a power of 1300 watts, GemCone high dissolved solids nebulizer Perkin-Elmer, (Waltham, MA, USA) from 1 to 3 mL/min, in a simultaneous radial and axial view mode, with reading time from 2 to 5 s and a delay of 60 s. Readings were performed in fractions below 63 μm, and the contents of major and minor elements were determined.
3.2.5. Mineralogical Composition
For the determination of the mineralogical composition of the carbonated sludge, the samples were disaggregated and subsequently subjected to sieving, until obtaining a fraction composed by the d.e.e. that was less than 63 µm.
In the analysis, a Bruker (Billerica, MA, USA) X-ray Diffractometer (DRX) AXS D8 Discovery equipped with a Cu Kα radiation source and a LYNXEYE 1D detector was used. For the DRX analysis, a voltage of 40 kV and current intensity of 40 mA were used. The diffractograms were collected from 3° to 75° 2θ, with increments of 0.05° and with a measurement time of 1 s at each point. For the interpretation of the mineralogical composition, the DIFFRACT-EVA software, and the Powder Diffraction File database (PDF-2, International Center for Diffraction Data—ICDD) were used.
3.2.6. Binder Qualitative Viscosity Assessment
For the determination of the viscosity of binder formulations, an experimental methodology was selected based on current available standard methods for the ceramic industry [24]. The test consisted of a glass plate placed at an inclination of 45°, in which a metallic ruler was incorporated to measure displacements. To perform a comparative assessment of the viscosity of each binder, a test piece is placed on the glass plate, next to the top of the ruler, so that its sliding along the glass plate can be measured. All specimens had the same volume and were placed on the glass plate following the same procedure. For each specimen, the distance covered by its runoff is then determined, as well as the time in which this occurred. Thus, specimens that are more fluid than others travel greater lengths at the same time, or the same length in less time. The experiment included three samples for each tested binder.
The qualitative determination of this parameter made it possible to compare the eight binders and assess the degree of workability that could be expected from each binder mixture when used in mixtures with aggregate for the formulation of composites.
3.2.7. Uniaxial Compression
The determination of compressive strength was conducted using a PEGASIL EL200 hydraulic press (São João da Madeira, Portugal), with a maximum cell capacity of 1200 kN, and a load was applied to the test specimens continuously, at a constant rate of 1 ± 0.5 MPa/s.
To carry out the tests, the EN 1926 [25] test standard was followed: twelve specimens with dimensions of 50 × 50 × 50 (mm) are dried at a temperature of 40 ± 5 °C until they reach a constant mass. After this process, they are placed in a desiccator for cooling. Subsequently, the specimens are measured so that the area of the contact surface between the specimen and the press plates is known. The specimen is then placed in the center of the lower plate of the press, so that it is aligned, thus ensuring uniform support, which is necessary for correct loading. The compressive strength of each mixture was obtained using the average of nine tested specimens.
3.2.8. Composite Formulations with Binders and Marble Aggregates
Through the creation of stone composites, the aim was to produce and authenticate the initial prototypes featuring diverse compositions of aggregate and binder in a ratio of 52/48 (Table 1). The marble aggregates, provided by Marvisa, Mármores Alentejanos Lda., comprised three variations, labeled as BA, B1, and B2, with the corresponding granulometric ranges as follows: BA (4 mm/6.3 mm), B1 (8 mm/14 mm), and B2 (14 mm/25 mm).
Table 1.
The eight studied stone composite formulations.
Utilizing a lightweight mechanical blender, the binder underwent blending (sludge/resin and catalyst), followed by the incorporation of the aggregates (Figure 3). Once the necessary duration for ensuring complete homogenization of the entire mixture had elapsed, it was dispensed into metallic molds measuring 15 cm × 15 cm × 15 cm and 55 cm × 15 cm × 15 cm. This process aimed to generate specimens for diverse characterization tests. Employing the same criteria as those utilized in the binder analysis, uniaxial compressive strength tests (EN 1926) were conducted on specimens subjected to a curing period of 28 days.
Figure 3.
Stone composite formulation: (a) mixing with aggregates and (b) vibration in the mold.
4. Results and Discussion
4.1. Particle Size Analysis
The granulometric analysis results showed a great similarity between the granulometric distributions of the particles that constitute the marble and limestone samples. Figure 3 shows two graphics with the total granulometric distribution (sieving and Sedigraph) of the four samples of carbonated sludge (two marble and two calcareous). Figure 4 depicts that the limestone carbonated sludge is mostly made up of smaller particles when compared to the marbled carbonated sludge.
Figure 4.
Particle size distributions of the studied marble and limestone sludge, in which it was detected that limestone carbonated sludge is mostly made up of smaller particles when compared to the marbled carbonated sludge.
4.2. Consistency Limits (WL and WP)
The tested samples were considered nonplastic, since consistency limits are unrealizable. Thus, for the determination of the liquid limit, it was observed that the groove defined in the sample placed in the Casagrande shell only closed with the application of several blows between 1 and 10, depending on the water content contained in it. To determine the plasticity limit, it was not possible to mold specimens in such a way that their rupture occurred with the geometry foreseen in the standard.
4.3. Specific Weight
The specific weight was determined with the pycnometer method, revealing the following values: marble (A)—2537 g/cm3; marble (AGF)—2559 g/cm3; limestone (S)—2490 g/cm3; and limestone (MVC)—2493 g/cm3. Results followed the same trend observed for natural stone apparent density in which marble is usually denser than limestone [26].
4.4. Chemical Composition—Major Elements
As previously mentioned, the ICP-OES test was carried out on all samples of carbonated sludge, and the levels of major and minor elements were determined. The major elements are expressed in the form of oxides and can be seen in Table 2. The marbled carbonated sludge has higher MgO (wt.%) values when compared to calcareous carbonated sludge. This result is linked to the fact that some of the marbles from which the marble sludge originated could be dolomitic as reported by several experts [27,28,29]. In fact, as this study was dedicated to researching the incorporation of carbonated sludge in binders for the subsequent development of composites, there was no specific need to guarantee any type of uniformity regarding the chemical composition. However, this characterization was essential to establish relationships with the binders and the composites physical–mechanical performance.
Table 2.
ICP-OES results (wt.% oxides) of the four carbonated sludges.
4.5. Mineralogical Composition
X-ray diffraction was performed on all carbonated sludges (Figure 5). As expected, the carbonated sludge is composed almost exclusively of calcite (CaCO3): (i) The marble samples, M(A) and M(AGF) had 82% and 73.4%, respectively. The marble samples showed a relatively small wt.% of MgO, being more expressive in the M(AGF) sludge, revealing a dolomitic component in its constitution. (ii) The limestone samples had a higher degree of purity, reaching 94.9% in the C(MVC) sample and 88.5% in the C(S) sample, which is slightly lower.
Figure 5.
X-ray diffraction spectrums of carbonated sludge. M(A) and M(AGF)—Marbles; C(S) and C(MVC)—Limestones.
4.6. Binder Qualitative Viscosity Assessement
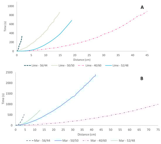
Viscosity is a fundamental characteristic that allows for the evaluation of the fluidity of the binder and its ability to enter the existing voids between the constituent aggregates of the formulation. Viscosity tests were decisive for determining the ideal binder formulation. Eight binder hypotheses were evaluated, four with the calcareous carbonated mud and four with the marbled carbonated mud. Achieved results clearly show that a higher percentage of resin is linked to a greater fluidity of the mixture (Figure 6). In a qualitative way, results also demonstrate that when the binders are made with limestone sludge (in which the particles have a smaller size compared to the marble ones) the speed/fluidity tend to be slightly higher than that showed by binders with marble sludge. Still, this analysis was only performed to compare the different ligands to each other.
Figure 6.
Graphic representation of the eight binder formulations: (A) Fourbinders with limestone sludge and (B) Four binders with marble sludge; tested to allow for qualitative viscosity assessment.
The effect of the influence of the amount of resin on the workability of the binder was within the expected results already obtained in previous studies [17,18]. However, the main interest of this study is the reduction in resin in the binder formulation. Thus, although the formulation of the binder with equal portions of carbonated slurry and resin (50/50) showed satisfactory results, efforts were also made to optimize the economic aspect, thus reaching the ideal proportion of 52% (carbonated slurry)/48% (resin).
4.7. Binders Uniaxial Compression Strength
The mechanical characterization of the binder was essential for validating its performance, since its behaviour will be, in a certain way, a conditioning part of the mechanical behaviour of the composites. Based on the results of the viscosity tests, the binder mixtures were adapted, with the percentages of carbonated slurry and resin being adjusted. Six binder mixtures were assessed, three with calcareous carbonated mud and three with marbled carbonated mud. As shown in Table 3, the uniaxial compression strength results in both mixtures (limestone and marble) are higher after 28 days of curing, when compared to those obtained after 14 days, which shows an increase in compressive strength with time as the resin that integrates the binder acquires its complete cure. This increase, which is observed in binders in which the percentage of carbonated slurry is greater than the percentage of resin, corroborates the results of the viscosity tests for choosing the ideal proportion of 52% (carbonated slurry)/48% (resin). Obtaining results greater than 100 MPa for binders after 28 days of curing proved to be very promising since they confirm the possibility of obtaining uniaxial compression results similar to the ones seen on natural-stone-based materials that integrate them in the composite, with strength values in the same order of magnitude of natural stone (between 70 MPa and 90 MPa) [26,27].
Table 3.
Mechanical resistance to uniaxial compression at 14 and 28 days of curing. Lime—Limestone; Mar—Marble.
Regarding the influence of composition (slurry/resin ration) in the ultimate compressive strength, results exhibited that the binder resin amount plays a fundamental part in the subsequent natural-stone-based composite leading to a significative change in both limestone and marble binders. This may be attributed to the competing effect of two factors: (i) at higher resin content, porosity can increase due to the evaporation of volatiles; (ii) higher content of resin promoted a shift from fragile to a more ductile behavior leading to lower maximum loads and higher strain.
Concerning the effect of grain size, results show that when the particle size is lower (limestone slurry) the mixture’s “grain size” is also lower, and the ultimate compression strength tends towards higher values. This may be attributed to the fact that increased grain boundaries result in reduced dislocation movement and enhanced strength. Allowing for greater grain growth leads to a “coarser” grain structure characterized by larger grains, fewer boundaries, and diminished strength.
4.8. Composite Formulations with Binder 52/48 and Marble Aggregates
Table 4 displays the outcomes of uniaxial compressive strength tests conducted on specimens after a curing period of 28 days. Upon scrutinizing the data, the composition comprising F(4), limestone sludge and 52% Aggregates (40% BA/40% B1/20% B2) + 48% Binder (52% limestone sludge + 48% resin), emerged as the most favorable, yielding results of 92.0 ± 4.0 MPa. Meanwhile, the optimal formulation incorporating marble sludge was identified as F8, attaining 88.2 ± 3.0 MPa.
Table 4.
Mechanical resistance to uniaxial compression at 28 days of curing. Lime—Limestone; Mar—Marble.
These results enabled the validation of the previously selected binder and demonstrate its suitability to be incorporated as a matrix in a composite material with aggregates of natural stone, working as reinforcement. In this previous validation, only the mechanical behavior was evaluated. However, future works will include other fundamental issues that should be part of the production quality control plan of the composite: mixing time, porosity, and aging, among other relevant tests. However, these preliminary results place this binder and composite in line with natural stone in terms of mechanical behavior to compression [22,30,31].
5. Conclusions
This study enabled the confirmation that the carbonated sludge resulting from rock cutting can be reused as a component in the manufacture of a binder to be incorporated in the production of stone composites.
Regarding the laboratory study conducted, it is possible to conclude the following:
- The binder formulation that obtaining optimized results was the one corresponding to the mixture of 52% sludge with 48% resin. This composition is quite different from some commercial products found in the literature which reported a resin amount (%) of approximately 10% [30]. Although this difference may seem relatively high, it is critical to highlight that we are facing two very distinct manufacturing methods: industrial manufacturing with the use of several technologies that aid on the mixture workability and manual manufacturing of an under-researched composite solution;
- Both binder formulations chosen, the composition with calcareous sludge and the composition with marbled sludge, guaranteed a reliable performance of the binder in the tests conducted, and uniaxial compression strength results were higher than the ones seen in natural stone products;
- The performance of the limestone-sludge-based binder is slightly higher than that obtained with the marble-sludge-based binder. This may be attributed to the fact that increased grain boundaries result in reduced dislocation movement and enhanced strength. Allowing for greater grain growth leads to a “coarser” grain structure characterized by larger grains, fewer boundaries, and diminished strength;
- The selected bind formulation (52% sludge with 48% resin) proved to perform suitably regarding uniaxial compression strength when it was mixed with natural stone aggregates in a natural stone composite solution. Although it is just an initial validation step, the authors consider that this represents a relevant innovation that might be soon adopted by the natural stone industry at an industrial level, bringing a relevant contribution to the reutilization and use of residues of natural stone building materials.
In view of the results obtained, given the evidence of the feasibility of using a binder composed of polyester resin and carbonated sludge to produce stone composites, it is concluded that the use of carbonated sludge as an economic resource is equally viable.
This possibility of changing its classification from waste to byproduct, which may eventually be considered as a resource, in addition to constituting an important economic change in the effective use of exploited rock, is also a major step towards the rehabilitation of the environmental liabilities incurred by the ornamental rock industry.
This research is the first study of the Portuguese carbonated sludge mixed with polyester resins to manufacturer a binder that can be incorporated in natural stone composites and, to the authors’ knowledge, is the first study in this lithologies. The results were the first approach to assess the binder behavior of this material combination and provides some clues on the potential use of these solutions for several indoor applications such as countertops, wall cladding, and floor slabs.
Author Contributions
Conceptualization, P.A., V.P. and P.F.; methodology, A.A., V.P., P.F., L.L. and R.M.; validation, P.A., V.P., P.F., L.L., P.M. and R.M.; formal analysis, P.A., V.P., P.F. and L.L.; investigation, P.A., V.P., P.F., A.A., L.L., P.M. and R.M.; resources, V.P., P.F. and R.M.; data curation, P.A., V.P., P.F. and A.A.; writing—original draft preparation, P.A., V.P. and P.F.; writing—review and editing, L.L., P.M. and R.M.; visualization, P.A., V.P., P.F., L.L., P.M. and R.M.; supervision, R.M.; project administration, R.M.; funding acquisition, R.M. All authors have read and agreed to the published version of the manuscript.
Funding
This research was funded by European Fund for Regional Development (FEDER) framed in ALENTEJO 2020 (Regional Operational Program of the Alentejo), grant number ALT20-03-0247-FEDER-072239.
Institutional Review Board Statement
Not applicable.
Informed Consent Statement
Not applicable.
Data Availability Statement
Data are contained within the article.
Acknowledgments
The authors would like to acknowledge Associação Cluster Portugal Mineral Resources, co-manager of the project and Project Support Office at the University of Évora. V. Pires acknowledges Fundaçȧo para a Ciência e Tecnologia (FCT) under the project UID/Multi/04449/2013 (POCI-01-0145-FEDER-007649); and Fundação para a Ciência e Tecnologia (FCT) under the project UIDB/04449/2020 and UIDP/04449/2020 with reference: DOI 10.54499/UIDB/04449/2020.
Conflicts of Interest
The authors declare no conflict of interest.
References
- Siegesmund, S.; Sousa, L.; López-Doncel, R. Editorial to the Topical Collection “Building Stones and Geomaterials through History and Environments: From Quarry to Heritage. Insights on the Conditioning Factors—The Rolf Snethlage-Volume”. Environ. Earth Sci. 2023, 82, 415. [Google Scholar] [CrossRef]
- Siegesmund, S.; Snethlage, R. (Eds.) Stone in Architecture; Springer: Berlin/Heidelberg, Germany, 2011; ISBN 978-3-642-14474-5. [Google Scholar]
- Sitzia, F.; Lisci, C.; Mirão, J. Building Pathology and Environment: Weathering and Decay of Stone Construction Materials Subjected to a Csa Mediterranean Climate Laboratory Simulation. Constr. Build. Mater. 2021, 300, 124311. [Google Scholar] [CrossRef]
- Columbu, S.C.; Palomba, M.P.; Sitzia, F.S.; Murgia, M.R. Geochemical, Mineral-Petrographic and Physical-Mechanical Characterization of Stones and Mortars from the Romanesque Saccargia Basilica (Sardinia, Italy) to Define Their Origin and Alteration. Ital. J. Geosci. 2018, 137, 369–695. [Google Scholar] [CrossRef]
- Ventura, A.; Martins, R.; Andrade, G.; Gomes, C.; Lopes, L. Incorporação de Lamas de Serragem e Polimento de Rochas Carbonatadas Em Pastas Para Produção de Cerâmica Monoporosa. Kéram. Rev. Ind. Cerâm. Port. 2009, 296, 6–15. [Google Scholar]
- Gupta, V.; Pathak, D.K.; Kumar, R.; Chaudhary, S. Application of Raman Spectroscopy for Characterization of Natural Stone Sludge Waste. Mater. Today Proc. 2020, 26, 681–684. [Google Scholar] [CrossRef]
- Talento, K.; Amada, M.P.; Kullberg, J.C. Eco-Friendly Reuse of Marble Wastes in Landscape and Architecture; WIT Press: Southampton, UK, 2019; pp. 665–677. [Google Scholar]
- Yurdakul, M. Natural Stone Waste Generation from the Perspective of Natural Stone Processing Plants: An Industrial-Scale Case Study in the Province of Bilecik, Turkey. J. Clean. Prod. 2020, 276, 123339. [Google Scholar] [CrossRef]
- Jalalian, M.H.; Bagherpour, R.; Khoshouei, M. Wastes Production in Dimension Stones Industry: Resources, Factors, and Solutions to Reduce Them. Environ. Earth Sci. 2021, 80, 560. [Google Scholar] [CrossRef]
- Sivrikaya, O.; Kıyıldı, K.R.; Karaca, Z. Recycling Waste from Natural Stone Processing Plants to Stabilise Clayey Soil. Environ. Earth Sci. 2014, 71, 4397–4407. [Google Scholar] [CrossRef]
- Gadioli, M.C.B.; de Aguiar, M.C.; Vidal, F.W.H.; Sant’Ana, M.A.K.; de Almeida, K.M.; Giori, A.J.N. Incorporation of Ornamental Stone Waste in the Manufacturing of Red Ceramics. Materials 2022, 15, 5635. [Google Scholar] [CrossRef] [PubMed]
- Segadães, A.M.; Carvalho, M.A.; Acchar, W. Using Marble and Granite Rejects to Enhance the Processing of Clay Products. Appl. Clay Sci. 2005, 30, 42–52. [Google Scholar] [CrossRef]
- Torres, P.; Fernandes, H.R.; Olhero, S.; Ferreira, J.M.F. Incorporation of Wastes from Granite Rock Cutting and Polishing Industries to Produce Roof Tiles. J. Eur. Ceram. Soc. 2009, 29, 23–30. [Google Scholar] [CrossRef]
- Ngayakamo, B.; Komadja, G.C.; Bello, A.; Onwualu, A.P. Valorization of Granite Micronized Stones Wastes for Eco-Friendly Production of Fired Clay Bricks. SN Appl. Sci. 2021, 3, 845. [Google Scholar] [CrossRef]
- Simão, L.; Hotza, D.; Ribeiro, M.J.; Novais, R.M.; Montedo, O.R.K.; Raupp-Pereira, F. Development of New Geopolymers Based on Stone Cutting Waste. Constr. Build. Mater. 2020, 257, 119525. [Google Scholar] [CrossRef]
- Choi, S.J.; Jun, S.S.; Oh, J.E.; Monteiro, P.J.M. Properties of Alkali-Activated Systems with Stone Powder Sludge. J. Mater. Cycles Waste Manag. 2010, 12, 275–282. [Google Scholar] [CrossRef]
- Afonso, P.; Azzalini, A.; Faria, P.; Lopes, L.; Martins, R.; Mourão, P.; Pires, V. Mortar Based on Sludge from Carbonate Dimension Stone Processing Industry—An Experimental and Feasibility Approach. In Proceedings of the Geo-Resilience 2023 Conference, Cardiff, UK, 28–29 March 2023; The British Geotechnical Association: London, UK, 2023. [Google Scholar]
- Afonso, P.; Azzalini, A.; Faria, P.; Lopes, L.; Martins, R.; Mourão, P.; Pires, V. Escombreiras e Depósitos de Lamas Provenientes Da Indústria de Rochas Ornamentais Carbonatadas—Um Caso de Estudo de Aplicação de “Natas” Na Produção de Ligantes à Base de Resina Para a Produção de Compósitos Pétreos. In Atas Do 18° Congresso Nacional de Geotecnia (18CNG) Geotecnia E Alterações Climáticas, éVora,14 a 17 de Maio de 2023; Sociedade Portuguesa de Geotecnia: Lisbon, Portugal, 2023; pp. 263–272. ISBN 978-989-54038-9-9. [Google Scholar]
- Carvalho, J.M.F. Tectónica e Caraterização Da Fracturação Do Maciço Calcário Estremenho Bacia Lusitaniana Contributo Para a Prospeção de Rochas Ornamentais e Ordenamento Da Atividade Extrativa; Laboratorio Nacional de Energia e Geologia: Lisbon, Portugal, 2013. [Google Scholar]
- Moreira, J.; Vintém, C. Carta Geológica Do Anticlinal de Estremoz, Escala 1:25.000; Department Prospecção de Rochas e Minerais Não Metálicos, Instituto Geológico e Mineiro: Lisboa, Portugal, 1997. [Google Scholar]
- Juvandes, L.F.P. Materiais Compósitos Reforçados Com Fibras; FRP: Porto, Portugal, 2002; pp. 8–11. [Google Scholar]
- Hamoush, S.; Abu-Lebdeh, T.; Picornell, M.; Amer, S. Development of Sustainable Engineered Stone Cladding for Toughness, Durability, and Energy Conservation. Constr. Build. Mater. 2011, 25, 4006–4016. [Google Scholar] [CrossRef]
- Zarzuela, R.; Almoraima Gil, M.L.; Carretero, J.; Carbú, M.; Cantoral, J.M.; Mosquera, M.J. Development of a Novel Engineered Stone Containing a CuO/SiO2 Nanocomposite Matrix with Biocidal Properties. Constr. Build. Mater. 2021, 303, 124459. [Google Scholar] [CrossRef]
- Almeida, C.A. Viscosidade e Reologia de Pasta Cerâmicas—CENCAL; Cencal: Santa Barbara, CA, USA, 2010; p. 8. [Google Scholar]
- EN 1926:2006; Natural Stone Test Methods—Determination of Uniaxial Compressive Strength. European Comittee for Standardization: Brussels, Belgium, 2006.
- Pinto, A.C.R. Manual Da Pedra Natural Para Arquitectura, 1st ed.; Cedintec, Ed.; DGGE: Lisbon, Portugal, 2006. [Google Scholar]
- Casal Moura, A.; Carvalho, C.; Almeida, I.; Saúde, J.G.; Farinha Ramos, J.; Augusto, J.; Rodrigues, J.D.; Carvalho, J.; Martins, L.; Matos, M.J.; et al. Mármores e Calcários Ornamentais de Portugal; Casal Moura, A., Ed.; INETI (National Institute of Engineering): Karnataka, India, 2007; ISBN 978-972-676-204-1. [Google Scholar]
- Chichorro, M.; Pereira, M.F.; Díaz-Azpiroz, M.; Williams, I.S.; Fernández, C.; Pin, C.; Silva, J.B. Cambrian Ensialic Rift-Related Magmatism in the Ossa-Morena Zone (Évora–Aracena Metamorphic Belt, SW Iberian Massif): Sm–Nd Isotopes and SHRIMP Zircon U–Th–Pb Geochronology. Tectonophysics 2008, 461, 91–113. [Google Scholar] [CrossRef]
- Moreira, N.; Pedro, J.C.; Santos, J.; Inês, N.; Araújo, A.; Dias, R.; Ribeiro, S.; Romão, J.; Mirão, J. Effects of Secondary Late Dolomitization on 87Sr/86Sr Isotopic Ratio; Examples from Ossa-Morena Zone Carbonates. In Proceedings of the XIX Sem. da Geoquímica, Livro Atas do XIV CGPLP, Vila Real, Portugal, 25–29 May 2018; pp. 223–226. [Google Scholar]
- Lam dos Santos, J.P.; Rosa, L.G.; Amaral, P.M. Temperature Effects on Mechanical Behaviour of Engineered Stones. Constr. Build. Mater. 2011, 25, 171–174. [Google Scholar] [CrossRef]
- dos Santos, J.P.L.; Amaral, P.M.; Diogo, A.C.; Rosa, L.G. Comparison of Young’s Moduli of Engineered Stones Using Different Test Methods. Key Eng. Mater. 2013, 548, 220–230. [Google Scholar] [CrossRef]
Disclaimer/Publisher’s Note: The statements, opinions and data contained in all publications are solely those of the individual author(s) and contributor(s) and not of MDPI and/or the editor(s). MDPI and/or the editor(s) disclaim responsibility for any injury to people or property resulting from any ideas, methods, instructions or products referred to in the content. |
© 2023 by the authors. Licensee MDPI, Basel, Switzerland. This article is an open access article distributed under the terms and conditions of the Creative Commons Attribution (CC BY) license (https://creativecommons.org/licenses/by/4.0/).





