Abstract
To enhance the health and stability of livestock product supply chains, it is imperative to augment product sustainability and satisfy food safety requirements through collaborative green innovation. Digital traceability technology amalgamates information and resources from stakeholders in the supply chain, facilitating knowledge sharing and product tracking throughout the entire process to purify the supply chain environment. Augmenting communication and trust among supply chains paves the way for green innovation, thereby yielding value-added benefits. Consequently, this paper formulates a simulation model for manufacturers, retailers, and consumers—three pivotal stakeholders in the traceability process of livestock products—from a value co-creation standpoint. It also incorporates a contract penalty mechanism to probe the collaborative green innovation process among various entities involved in the livestock product supply chain. System simulation is employed to emulate the evolution path of collaborative green innovation in the livestock product supply chain under the value co-creation perspective. Subsequently, a stepwise penalty mechanism, green incentive mechanism, and fair distribution mechanism are proposed for stakeholders to actualize collaborative green innovation and value creation. The findings reveal that: (1) the collaborative green behavior between suppliers, retailers, and consumers is influenced by factors such as value co-creation excess returns, innovative technology costs like traceability, cost sharing among stakeholders, and a certain threshold of government penalties. (2) A balanced distribution of excess returns and cost-sharing among stakeholders fosters the evolution of a green collaborative state in the supply chain, thereby achieving sustainable development with value chain enhancement and ecological optimization.
1. Introduction
In recent years, the enhancement of the economy and improvement in living standards have elevated livestock products to a primary food source and essential nutritional component for inhabitants. However, various factors, such as enterprise scale within the livestock product supply chain, qualifications, and breeding environment, can influence the quality of these products. Irregular conditions in breeding, feed, and medication production can result in the presence of prohibited additives, hormones, antibiotics, and other chemicals in livestock items. Furthermore, meat production companies often prioritize economic gain, leading to the creation and sale of counterfeit and substandard products that pose significant risks to consumer health and safety, as well as environmental degradation. Incidents like “melamine milk”, “lean meat powder pork”, “Sudan red duck eggs”, and “egg antibiotic” have caused irreversible health effects on consumers, while breeding pollution has led to environmental hazards such as water and soil contamination. Therefore, strategies to streamline the livestock product supply chain, stimulate corporate innovation, enhance product sustainability, and improve market conditions are imperative.
The advent of digital empowerment presents opportunities for advancement within the livestock product supply chain. Utilizing digital traceability technologies can enable the tracking of products and supervision of the entire livestock product production–distribution process, such as blockchain technology. This allows for collaborative oversight, data sharing, process reengineering, and other long-term mechanisms to expedite the supply chain’s sustainable green innovation [1]. Digital traceability technology enables comprehensive oversight of livestock product development, from breeding to production and distribution. For instance, blockchain technology can label and record each livestock product on the blockchain, while IoT sensor technology can gather real-time data on livestock product breeding, growth, vaccine usage, feed ingredients, and disease prevention. This information is then stored in a distributed blockchain ledger. Consumers can scan QR codes on livestock products with mobile devices, allowing for real-time tracking and feedback on product information. This facilitates precise production planning, controlling the production environment, monitoring the quality, and detecting epidemics within the supply chain [2]. The efficient and transparent traceability information purifies the environment of the livestock product supply chain, strengthening communication and trust among supply chains [3]. This provides an opportunity for collaborative green, which, in turn, optimizes the management of the livestock product supply chain, improves the greenness of the products, promotes efficient use of resources, realizes the quality, functionality, branding, and standardization of livestock products, and ultimately leads to strong market competitiveness.
The livestock product supply chain includes important links such as breeding, processing, and sales. The main stakeholders are livestock product manufacturers, sellers, and consumers [4]. To achieve the maximization of interests from all parties, it is necessary to cooperate to realize the value addition in the supply chain. However, existing research on livestock products predominantly concentrates on the quality control of product traceability and green innovation, such as breeding, processing, and marketing of individual subjects. There is a dearth of literature on multi-subject collaborative green initiatives within the supply chain of livestock products. Furthermore, few studies delve into the evolutionary process of green value co-creation from the standpoint of stakeholders. It remains unclear what factors influence green collaboration within the livestock product supply chain, how the decision-making process among stakeholders functions, and how to foster the generation of green co-created value to achieve both economic and environmental benefits. These questions warrant further investigation.
Based on the above background analysis, the research content of this paper mainly includes: (1) to scrutinize and analyze the decision-making behavior of key participants, namely manufacturers, sellers, and consumers, in green innovation through value co-creation(GITVCC) of livestock products with traceability; (2) to identify the primary factors influencing the co-creation of green innovative values within the livestock product supply chain traceability system and determine an evolutionary stable strategy (ESS) under various decision-making scenarios; (3) to use simulation results to find solutions for value co-creation within the livestock product supply chain and provide a theoretical basis for practical applications and research.
2. Related Research
2.1. Livestock Product Supply Chain Traceability
The supply chain traceability of livestock products refers to the entire process from production to circulation, which includes tracking the journey of livestock products from breeding, acquisition, slaughtering, processing, warehousing, cold chain transportation, and market circulation to sales. Supply chain traceability plays a pivotal role in enhancing quality control, facilitating information sharing, and fostering cooperation. The traceability process is based on the dissemination of supply chain information. Data are processed in a structured manner through cleaning, transformation, association, aggregation, and analysis. The products are traced using a unique structured coding system to share data dissemination processes. Multiple entities within the supply chain accurately collect transactional information, entity information, quality safety, and other full-process information in various scenarios and links. Feedback from interactions between upstream and downstream entities identifies key problem points, shares data, and collaborates for production to achieve innovation. Contemporary supply chains are inherently intricate, encompassing entities that are multi-leveled and geographically dispersed. In the context of traceability within fresh produce supply chains, both internal and external entities play pivotal roles. The “internal” entities encompass enterprises involved in production, processing, cold chain logistics, and sales operations. Conversely, the “external” entities comprise consumers and regulatory bodies [5].
The existing research on the traceability of livestock product supply chains has made some progress. In 2002, the European Union enacted relevant regulations such as the “Food Chain Traceability and Food Trademark Certification System”. These regulations require that product origins and quality control information be marked on food packaging. Developed countries, such as the United States, Australia, and Canada, have also conducted a lot of research and practice in the field of livestock product supply chain traceability. Research focuses on product quality control and consumer behavior. Zhu and Lee [6] introduced decision–response and incentive mechanisms to synchronize the supply chain system. They employed RFID technology to monitor data on food quality and safety parameters for perishable food chains, enabling real-time understanding of the food’s quality status and facilitating dynamic pricing adjustments. Folinas et al. [7] emphasized that product quality, origin, ingredients, and other safety information would affect consumers’ food safety confidence. Walaszczyk [8] evaluated changes in consumer purchasing behavior in the context of food traceability before and during the COVID pandemic, as well as the impact of sociodemographic factors on these changes, and found that sociodemographic factors partially positively affected Polish consumers’ attitudes towards food shopping during the COVID pandemic. Nguyen [9] focused on consumers’ willingness to adopt traceability systems, which can improve consumers’ food safety trust and loyalty, reduce consumers’ perceived risk and purchase costs, and then reduce information asymmetry to improve supply chain relations.
Chinese livestock enterprises and scholars have also carried out traceability projects. China’s livestock product enterprises and scholars have undertaken traceability initiatives, with 90 cities now implementing a system for the traceability of meat and vegetables. With assistance from relevant governmental bodies, effective management of product traceability has been achieved. Heet al. [10] leveraged the decentralized, tamper-resistant, and traceable attributes of blockchain technology to incorporate it into the development of green food traceability systems. By utilizing the side chain expansion feature of the primary blockchain and integrating an enhanced Bloom filter with the Bmerkle tree, they established a reliable, high-query-efficiency, and privacy-centric main-side multi-chain platform for green food traceability. Wang et al. [11] explored consumers’ choice behavior for traceable pork from situational participation in pork trading processes. Globally, blockchain technology is supported in supply chain traceability. Blockchain technology can be employed to verify the environmental sustainability of green products, thereby facilitating a more accurate tracking of their carbon footprint. Conversely, traceability technology can assist in determining the amount of carbon tax a company incurs. Given that consumers may opt for high-priced, low-carbon footprint products when faced with such information and market pressure, companies are compelled to reassess and restructure their supply chains to minimize carbon emissions and meet consumer demands [12]. Mazzu et al. [13] discovered that product packaging containing information verified by blockchain influences consumers’ perceptions of health and preferences. The credibility offered by this traceability attribute encourages consumers to engage in purchasing and effectively utilizing such knowledge, thereby enhancing the perceived value of consumer food safety confidence. Consumers’ trust in product characteristics increases their purchase intention [14]. At the same time, the traceability system can improve enterprise work efficiency, reduce errors, reduce accidents and consumer deception incidents, and protect and enhance the reputation of livestock product quality attributes [15], thereby improving the market advantage of products. Moreover, both customers and governmental entities are increasingly calling for greater transparency in supply chains. Additionally, leading firms have come to understand that the competitive edge afforded by such transparency can yield significant financial benefits. Hobbs et al. [16] delineate the capabilities, reliability, and motivations associated with product or raw material traceability in livestock product supply chains. Saberi used blockchain traceability technology to solve the sustainability management of supply chains [17].
The existing scholarly literature predominantly investigates the influence of livestock product traceability processes and technologies on supply chain subjects and management. It is posited that traceability significantly impacts consumer psychology and behavior, augmenting the traceability and transparency of products through enterprise digital empowerment. However, during the process of enterprise digital transformation, the collaboration among stakeholders in the supply chain may be challenged and limited by unresponsive parties. Concurrently, while traceability technology is environmentally friendly, its implementation proves challenging. For instance, livestock product supply chain traceability is constrained by internal costs due to technology introduction, personnel training, process improvement, etc., as well as external environmental influences such as adoption by enterprises in the chain, policy environment, and consumer acceptance [18]. Nevertheless, employing supply chain traceability can foster sustainable relationships with other stakeholders and enhance collaborative interaction among relevant subjects in the chain. Despite existing research proposing a sustainability relationship between traceability and supply chain management, green innovation research on livestock product supply chain traceability remains a gap. There are scant studies on green research from the interactive synergy between supply chain subjects, which provides insights for this paper’s research.
2.2. Green Innovation in Livestock Supply Chain
Green innovation within the livestock refers to the application of environmentally friendly, sustainable, and low-carbon innovative methods. The objective is to reduce resource consumption, mitigate environmental impacts, and enhance animal welfare practices. Green innovation in the livestock product supply chain encompasses all stages of the chain, from feed production and livestock breeding to processing and sales. This includes innovations in breeding management, breeding technology, processing procedures, as well as marketing and service operations. Kailun [19] constructed a three-level evaluation index system for green suppliers from four aspects: pig supply chain management, quality and safety, green breeding, and ecological environment. He also provided a practical method for evaluating green suppliers using discrete Hopfield neural networks. Du et al. [20] introduced supply-side and demand-side management strategies aimed at mitigating the environmental consequences of ruminant products, underscoring the potential of integrating livestock production with cropping and renewable energy. While prior research has predominantly centered on distinct innovation types, there is a notable gap in studies examining the collaborative greening of the livestock product supply chain. Green innovation within the supply chain is typically a collaborative endeavor rather than an individual one, necessitating the collective contributions of stakeholders [21]. Collaboration is recognized as a significant catalyst for green products. Consequently, to capitalize on cooperative efforts and achieve success in green product innovation, enterprises must transition from an internal focus to an external orientation to fulfill environmental objectives. The accumulation and expansion of enterprise knowledge are pivotal factors in fostering collaborative green products. Constructing dynamic capabilities such as resource complementarity, knowledge sharing, and co-creation value allows enterprises to reconfigure resources and apply them to further innovation, thereby yielding higher profits [22]. As discovered by Zhu et al., supplier and customer participation in contributing green technology knowledge and green demand knowledge can yield economic benefits for enterprises [23]. Wei Lisi [24] examined the influence of two dimensions of green supplier and customer learning on two types of green innovation: green products and processes. He found that both green supplier learning and customer learning positively impact green product innovation and green process innovation. Anass highlighted the synergistic effect between process innovation, green practices, and lean practices, which plays a vital role in enhancing supply chain performance. By closely collaborating with customers, enterprises can comprehend changes in green products and services [25]. Soosay et al. [26] identified a series of innovative outcomes resulting from cooperation, including maintaining standardized operations, joint planning, knowledge sharing, shared processes, joint investment, synchronization, and interaction with customers and suppliers. Agarwal and Selen [27] discovered that supply chain members with higher levels of cooperation can attain superior operational performance and practices through dynamic collaboration. Bar [28] posits that the commitment and trust established between producers and customers through cooperative efforts are instrumental in stimulating green innovation and management initiatives. In a parallel vein, Pan et al. [29] discovered that social trust bolsters corporate green innovation by fostering knowledge sharing, mitigating financing constraints, and fulfilling an increased degree of corporate social responsibility (CSR). Pietro [30] observed that enterprises deploying process innovation strategies via Industry 4.0 technologies positively influence lean practices and the operational performance of green supply chains, thereby exerting a positive second-order effect on economic performance. The integration of advanced technologies facilitates effective communication and reliable information sharing. Furthermore, concerning the cooperative diffusion of green technological innovations, Koebel et al. [31] contend that tax policies adversely affect the diffusion of energy-saving products. Halila et al. [32] posit that the elevated transaction costs associated with green innovation primarily contribute to its slow diffusion. Innovation inputs exert an indirect influence on innovation performance. Both incentive mechanisms and revenue-sharing contracts play pivotal roles in promoting innovation diffusion. Yu et al. [33] implemented incentive mechanisms within green supply chains and discovered that these mechanisms can enhance strategic choices made by participating entities in the supply chain. Additionally, revenue-sharing contracts can elevate overall performance by coordinating the distribution of benefits among upstream and downstream members of the green supply chain [34]. The collaborative process among core enterprises and other member enterprises amalgamates dispersed capabilities and resources to augment innovation performance. Vertical alliances between upstream and downstream enterprises within the supply chain facilitate product or technology cooperation. This collaboration is advantageous as it allows for the integration of both internal and external resources, bolstering risk resistance and enhancing the likelihood of successful innovation in products or technologies. The benefits of digital capabilities extend beyond merely positively impacting the green supply chain; they also stimulate learning among supply chain enterprises, indirectly enhancing the quality of innovative implementation [35]. Consequently, consumers exhibit a greater willingness to purchase products with high degrees of environmental sustainability, thereby promoting sustainable development across the entire supply chain.
The previous literature indicates that research on supply chain collaborative green innovation is predominantly conducted through empirical and game methods. For instance, Mohsin et al. [36] focused on a two-level green supply chain comprising a single manufacturer and retailer, establishing a differential game model for green technology R&D. Similarly, Kong et al. [37] employed an empirical survey to investigate the relationship between knowledge exchange as a mediating variable and green innovation. This content primarily centers on various forms of green research, including green technology, products, services, and processing. The most common form of cooperation research among stakeholders in the supply chain involves exploring sustainable supply chain development. However, there is a scarcity of studies on collaborative green research within livestock product supply chains. This gap in the literature provides direction for the research presented in this paper.
2.3. Value Co-Creation
Prahalad and Ramaswamy [38] contend that conventional business models overly emphasize the creation of products and services by corporations, neglecting the pivotal role of consumer involvement in co-creation value. As information technology and the Internet have advanced, consumers have emerged as significant market participants who prioritize informatization and individualized needs. Traditional business models fall short of addressing the growing diversification and personalized demands of these consumers. Consequently, they advocate for the “value co-creation” principle, asserting that businesses must collaborate closely with consumers to generate and deliver value. Through such collaboration, enterprises gain a deeper understanding of consumer preferences and needs, leading to innovation and enhancement based on feedback and participation. This partnership facilitates the delivery of more tailored products and services, enhancing customer satisfaction and bolstering the competitive edge and market share of businesses. The experiential value derived from consumer collaboration is a crucial driver of value co-creation. Kohler [39] identified the significance of customers’ utility, sociability, and hedonic experience in value co-creation through behavioral research. Heinonen [40] introduced the concept of customer-led logic, shifting the emphasis to consumers’ daily life practices. The value co-created was either a life value or situational value, with enterprises focusing on key areas such as consumer consumption activities, practices, experiences, and situations. Vargo and Lusch [41] proposed that consumers are co-creators of value based on service-led logic, and value creation is an interactive process between enterprises and consumers, which is determined by stakeholders.
Quyen [42] constructed a process model for brand value co-creation through research on enterprise brand creation, and the model explained that enterprises were affected by internal and external factors when creating brands. The factors that affect the main body’s participation in value co-creation in the supply chain are mainly perception, cost, benefit, trust, attitude, degree of management, etc. Xu et al. [43] found that customer self-enhancement perception and satisfaction positively affect value co-creation behavior. Ziyu et al. [44] pointed out that the key factors affecting online community supply chain value co-creation are the benefits proportion of both parties involved, costs, and generated consumer purchasing power. The spillover effect is the basic reason affecting stakeholders’ strategic decisions, and the ratio of marginal cost to income is a key factor affecting value co-creation [45]. Casper et al. [46] conducted research on U.S. retail banks and found that trust, customer participation, and participatory attitude affect co-creation, while the use of social media is a consumer characteristic. In addition, the intensity of social media usage will affect co-creation behavior. Zhang et al. [47] found that increasing the proportion of cross-shareholding will increase the value of closed-loop supply chains and promote consumer participation in value co-creation.
Gronroos [48] referred to the operation process of the supply chain and established a three-stage process model for co-creation value based on the timing of enterprise–consumer interactions. Bordie et al. [49] found that consumer participation in value co-creation presents multi-dimensional and dynamic characteristics at different time dimensions, with varying intensities of expression. Carison et al. [50] verified through the collection of Facebook user data that consumer participation in value co-creation can be transformed into brand relationship performance. The full coordination of the value co-creation behavior of participating entities is the key to ensuring its stable operation. Hua et al. [51] and others believe that there will inevitably be conflicts between the behavior strategy of participating entities and the overall interest of the system. To ensure perfect coordination among multiple entities in the service supply chain system, a scientific and effective coordination mechanism is indispensable. Corsaro et al. [52] believe that value co-creation by participating entities needs to ensure that all participating entities under this system can benefit from the process of value co-creation. Therefore, a reasonable profit distribution contract is key to enhancing the collaborative ability of each entity and improving the efficiency of value creation. Contracts not only improve the integration efficiency of manufacturing enterprises’ products and services but also ensure the stability of cooperation among system members. Li et al. [53] constructed value functions for three types of co-creation strategies and demonstrated the concavity of these functions, indicating that different co-creation strategies can indeed enhance an enterprise’s profit within a certain range, achieving varying maximum values at specific green investment sharing points. Zhang et al. [54] developed an enhanced quality risk transmission model for new retail service supply chains based on infectious disease models. They introduced the concept of value co-creation rate and control factor from the perspective of value co-creation and resolved the threshold and equilibrium point issues of service chain nodes.
Visible value co-creation has been extensively examined within the realm of supply chains. The specific applications in agricultural product supply chain systems are summarized below in Table 1.
Table 1.
The application of value co-creation in the agricultural product.
As can be seen from Table 1, existing research on the value co-creation of agricultural product supply chains mainly focuses on the participation of consumers. For example, David conducted a study on the satisfaction of consumers participating in co-production and found that the process of community interaction is the source of value for co-production, and product satisfaction is the result of consumer value co-creation. Handayati believes that value co-creation can occur in a set of business relationships. As a special agricultural product, the relationship between stakeholders in its supply chain system is intertwined throughout the entire process of livestock products, and the main relationship subjects involve manufacturers, sellers, and consumers of livestock products. At the same time, because sellers are closer to end-users than manufacturers, they have more information about consumer demand and can promote the interaction between manufacturers and consumers through aggregation of demand, dissemination of products, and other measures. Therefore, realizing the value co-creation of livestock product manufacturers, sellers, and consumers is a more worthy issue for further study.
Concurrently, existing research has found that product traceability plays a role in promoting GITVCC. It can enhance interactions and trust among stakeholders. During the traceability process of livestock product supply chains, stakeholders in the chain share information about product farming, processing, sales, etc., in real time and transparently. This information is complete, truthful, and tamper-proof, reducing information asymmetry. By using reverse tracking to identify problem product nodes, it determines responsibilities and traceability chains, allowing for rapid response to solve problems, avoiding responsibility shirk. Based on traceability, improvements are made to livestock product supply chain farming, processing, service, and marketing to meet consumers’ needs for green food safety. In the collaborative green interaction process, economic satisfaction and social satisfaction are achieved through VCC.
Based on the above-mentioned relevant research analysis, this paper delineates the collaborative green co-creation process pertaining to the traceability of livestock product supply chains, as illustrated in Figure 1.
Figure 1.
Process of livestock product supply chain traceability.
The green innovation of livestock product supply chain traceability is a process of co-creation value by relevant stakeholders, and there are fewer studies on the coordinated green innovation research of livestock product supply chain from the perspective of VCC. How to promote the coordinated green innovation and co-creation value of livestock product supply chain traceability needs further study.
The main stakeholders in the livestock product supply chain, from breeding to distribution terminals, are livestock product manufacturers, sellers, and consumers. Whether stakeholders choose VCC decisions is a dynamic evolutionary process. The decision choices of these stakeholders are influenced by the behavior of other actors. Evolutionary game quantitative methods can describe the interactions and influence relationships between different actors in different scenarios, simulate the competition and selection mechanisms between different strategies, and visually reveal the dynamic evolutionary processes and behavioral paths [36]. And evolutionary game method has an application example in the research of green innovation. Therefore, this paper adopts the evolutionary game method to examine collaborative GITVCC within the livestock product supply chain. We construct an evolutionary game model centered on manufacturers, sellers, and consumers, simulating their collaborative behaviors. This model aids in analyzing the implementation pathways and effective promotional mechanisms for collaborative GITVCC. Our findings provide a theoretical foundation for enhancing value within the livestock product supply chain.
The specific process of the development of this study was designed according to the research ideas of the evolutionary game method, as shown below in Figure 2.
Figure 2.
Research framework.
3. Construction of the Three-Party Evolutionary Game Model
3.1. Model Assumptions
Hypothesis 1:
Participants. Livestock product supply chains primarily encompass breeding, slaughtering and processing, storage, transportation, circulation, and sales of livestock products. The primary stakeholders in this supply chain include livestock breeding enterprises, processing enterprises, sales enterprises, governments imposing international and national regulations, society in general, competitors, and consumers [60], with sales enterprises directly interacting with consumers. Breeding enterprises are tasked with the cultivation of livestock and poultry, supplying raw materials for their products. These enterprises can refine breeding methods to mitigate environmental pollution, thereby enhancing the quality and safety of livestock and poultry products. Processing enterprises, on the other hand, handle the transformation of these products into various meat items. They focus on refining processing technology to minimize wastewater, gaseous waste, and other forms of waste, while also ensuring product safety and traceability. Sales enterprises engage directly with consumers, advocating for and directing them towards environmentally friendly livestock and poultry products. This not only raises consumer awareness about green products but also influences their purchasing intentions. The interaction between manufacturing enterprises and consumers pre-production, during production, and post-production is pivotal in securing long-term profits for manufacturers and deepening consumers’ perception of service value and consumption demand [61]. Through information feedback, consumers can influence product design by gradually incorporating their preferences, thus meeting final product expectations and improving product usability [62]. Producers can leverage this to enhance product quality and identify innovative opportunities. Supply chain partners leverage each other’s resources, capitalizing on learning and knowledge-sharing opportunities to bolster environmental sustainability [63]. Therefore, within the context of the GITVCC of the livestock product traceability supply chain system, the participating entities consist of manufacturers, sellers, and consumers involved in livestock breeding and processing. And this paper posits that the supply chain comprises a single manufacturer and seller, with consumers collectively considered. The three-party game subjects are influenced by both internal and external factors under supply chain green innovation. Internally, they are impacted by individual or organizational participation costs, such as the cost of enterprise green process technology, traceability technology cost, time and effort invested by consumers in collaborative green innovation, and the cost of participation in production creation efforts. It is generally accepted that costs negatively affect green innovation. The higher the readiness of enterprises and consumers, the more conducive it is to achieve collaborative innovation. Externally, they are influenced by factors such as cooperation sharing, trust, policy, and industry standards among stakeholders. The interaction of internal and external technical, organizational, and environmental factors affects whether stakeholders choose to make decisions for collaborative green innovation. In the decision-making process, it is assumed that all participating entities have limited rationality.
Hypothesis 2:
Strategy Space. The strategy choices of the participants can be categorized as either “cooperation” or “non-cooperation”. In the context of this study, the “cooperation” strategy refers to game players who engage in green innovation cooperation, with an emphasis on VCC. The main objective of this approach is to maximize the overall interests of the supply chain. In this cooperation strategy, livestock product manufacturers share knowledge and technology related to green breeding and production processes (e.g., scientific medication, pollutant treatment, epidemic prevention) by utilizing traceability technology. This allows them to provide sellers with green product sources. Sellers, in turn, engage in green marketing, promoting, and selecting green organic livestock products, as well as purchasing hormone-free and sustainable livestock products. They make use of traceability technology to select environmentally friendly supply sources and package products using eco-friendly materials, reducing environmental pollution in the process. Consumers actively participate in the green production and processing of products through feedback mechanisms. They provide effective feedback on green demand and improvement suggestions, thereby contributing to the enhancement of the sustainability of livestock products.
On the other hand, the “non-cooperation” strategy refers to game players who prioritize the maximization of their own interests. In this strategy, participants may not exert their full effort for their own interests or fail to acknowledge the contributions of others. This behavior can ultimately lead to decisions that sacrifice the overall interests of the supply chain [64]. For instance, livestock product manufacturers may choose not to share traceability information during breeding and processing (e.g., indiscriminate discharge of pollutants, use of contaminated feed). Sellers may sell polluted livestock products and non-degradable packaging for personal profit. Consumers, in some cases, may ignore or provide false negative feedback suggestions.
When all participants, including livestock product manufacturers, sellers, and consumers, adopt a “cooperation” strategy, a collaborative state of VCC is achieved. Through the utilization of their own resources, they engage in green innovation. However, when any one or more of them choose a “non-cooperation” strategy, VCC fails, and a state of non-collaboration ensues. This results in the disintegration of supply chain collaborative green innovation. The specific game process is shown below in Figure 3. In the game process, the probability of the manufacturer choosing the “cooperation” strategy is , and the probability of choosing the “non-cooperation” strategy is ; the probability of the seller choosing the “cooperation” strategy is , and the probability of choosing the “uncooperative” strategy is ; the probability of the consumer choosing the “cooperation” strategy is , and the probability of choosing the “uncooperative” strategy is .
Figure 3.
Participating subject game logic.
Hypothesis 3:
Profit. When collaboration among livestock product manufacturers, sellers, and consumers does not occur, all three entities choose not to collaborate on GITVCC, and their focus is solely on maximizing their individual interests. Consequently, their profits are maximized and can be represented as R1,R2,R3, respectively. Conversely, when these entities decide to participate in collaborative GITVCC, they retrospectively share information and resources. This sharing reduces innovation costs and enhances the greenness of livestock products, aligning more closely with consumer health and safety requirements. Consequently, this results in increased sales, leading to higher profits and additional economic benefits, as well as enhanced brand social reputation [65]. Consumer participation in supply chain innovation significantly enhances the efficiency of product innovation for manufacturers. The more a manufacturer prioritizes consumer needs and preferences during collaboration, the better it can understand these requirements. Furthermore, increased consumer involvement in innovation is conducive to improving enterprise R&D efficiency and boosting product sales, thereby enhancing supply chain value [65]. Sobaih et al. [66] employed ROA, ROE, and Tobin’s Q as financial performance indicators and discovered a positive correlation between environmental performance and financial performance. A similar conclusion was drawn by Sahoo et al. who used ROE, ROI, and ROS as financial performance indicators [67]. The exchange of consumer feedback knowledge during co-creation value provides valuable insights for participating in the production and design innovation of livestock products. This not only adds hedonic value but also satisfies social values. Additionally, it ensures safe food consumption, saving consumers’ time in product selection while providing health and economic benefits [53]. At this time, the additional total profits obtained by the collaborative GITVCC of the three parties are denoted as (), while other participants distribute the additional profits. The distribution coefficient for the manufacturer’s additional profit is denoted as ; the seller’s additional profit is denoted as ; the consumer’s additional profit is denoted as ; and .
Hypothesis 4:
Cost. The input to improve the level of green technological innovation of enterprises will increase enterprises’ cost burden, which hinders the green development of the industry to a certain extent, so it requires green effort cost-sharing among supply chain enterprises [68]. In the study of green supply chain coordinated innovation and cooperation strategy, Sun and Zhang [69] found that the cost-sharing contract, as an incentive mechanism, can increase the green innovation inputs of supporting enterprises, optimal returns of both parties, and overall returns. Song et al. [70] showed that the cost-sharing mechanism can coordinate the supply chain participants and make the supply chain members gain higher profits. In the livestock product traceability system, when manufacturers, sellers, and consumers participate in the GITVCC of the supply chain, manufacturers and sellers need to invest in coordination costs such as green innovation technology and information sharing, while consumers need to pay for time and energy costs such as effort expectation, feedback recommendation, and participation in manufacturing. The total cost of the three parties involved in green innovation cooperation is denoted as , where the cost-sharing coefficient of the manufacturer is denoted as , the cost-sharing coefficient of the seller is denoted as , and the cost-sharing coefficient of the consumer is denoted as , and .
Hypothesis 5:
Loss. The credit disclosure mechanism and punishment measures can effectively motivate the cooperative subjects to co-innovate and avoid speculative behavior [71]. In the process of the game, if at least one of the three participants chooses the “non-cooperation” strategy, the collaborative innovation value co-creation fails. At this time, other participants who choose the “cooperation” strategy cannot obtain additional benefits and lose their investment costs. Since opportunistic behaviors will appear among all participants, it is particularly necessary to introduce a punishment mechanism to avoid speculation. When cooperation occurs, if any party terminates its cooperative behavior and chooses the “non-cooperation” strategy, the non-cooperation party will be fined (Penalty is denoted a s ). The termination of cooperation by either the manufacturer or seller may incur contract penalties. Conversely, if consumers terminate cooperation or engage in fraudulent practices such as providing negative feedback (either false or malicious), it can lead to reputational damage in instances where enterprises pursue consumers and consumers respond with government penalties or breach of contract penalties. When the cooperation terminates, other cooperators receive or split the penalty from the non-cooperator. Meanwhile, the credit, innovative performance and value output of the discredited party decrease, and the loss is denoted as .
In summary, the specific parameters of the model are shown below in Table 2.
Table 2.
Model parameters.
3.2. Payoff Matrix
According to the above assumptions, the payoff matrix of the manufacturer, the seller, and the consumer is obtained, as shown below in Table 3.
Table 3.
Payoff matrix.
4. Evolutionary Game Equilibrium Analysis
4.1. Analyzing the Participant’s Replication Dynamic Equation
4.1.1. The Replication Dynamic Equation of Manufacturer
The expected profit obtained when the manufacturer chooses “cooperation” is set to be , the expected profit obtained when the manufacturer chooses “non-cooperation” is set to be , and the average expected profit is set to be , then:
The calculated results are as follows,
Then, the replication dynamic equation of the manufacturer’s strategy selection is:
4.1.2. The Replication Dynamic Equation of Seller
The expected profit obtained when the seller chooses “cooperation” is set to be , the expected profit obtained when the seller chooses “non-cooperation” is set to be , and the average expected profit is set to be , then:
The calculated results are as follows,
Then, the replication dynamic equation of the seller’s strategy selection is:
4.1.3. The Replication Dynamic Equation of Consumer
The expected profit obtained when the consumer chooses “cooperation” is set to be , the expected profit obtained when the consumer chooses “non-cooperation” is set to be , and the average expected profit is set to be , then:
The calculated results are as follows,
Then, the replication dynamic equation of the consumer’s strategy selection is:
4.2. Evolutionary Game Equilibrium and Stability Analysis of Participating Subjects
According to the above analysis, a three-dimensional dynamical system can be obtained from , and as follows.
By constructing the Jacobian matrix and solving the eigenvalue to judge the equilibrium point of the system. The Jacobian matrix is obtained by derivation of the replication dynamic equation as follows:
Let solve the equilibrium point of this dynamical system. Because the evolutionary stable strategy in the asymmetric game caused by asymmetric information is pure strategy, only eight pure strategy Nash equilibrium points need to be discussed, which are E1(0,0,0), E2(1,0,0), E3(0,1,0), E4(0,0,1), E5(1,1,0), E6(1,0,1), E7(0,1,1), and E8(1,1,1). The equilibrium points of pure strategy are put into the Jacobian matrix, and the corresponding eigenvalues of each point are obtained. When the eigenvalues are all negative, the equilibrium points are stable points. When the eigenvalues are all positive, the equilibrium points are unstable points. Saddle points are characterized by positive and negative eigenvalues. The eigenvalues and stability analysis of each point are shown in Table 4.
Table 4.
Stability analysis of equilibrium points.
It can be seen from Table 4 that the stability of E1 and E3 is uncertain, so they are excluded. Now, the evolution stable strategies for E2, E4, E5, E6, E7, and E8 are discussed.
Case 1: In the process of a three-party evolutionary game, when and , the stable strategy of the three parties is (cooperation, non-cooperation, non-cooperation); that is, the manufacturer of the livestock product supply chain chooses the cooperative VCC strategy, while both the seller and consumer choose the non-cooperation strategy. In the process of green collaborative innovation, the significance of penalty gold is paramount. The intensity of this penalty directly influences the degree of coordination in VCC. If the risk associated with participating in cost sharing for VCC is not adequately mitigated, both sellers and consumers may choose not to share or provide false livestock product traceability information, disregard feedback and contract mechanisms, and make decisions based on their own opportunistic preferences. When a manufacturer receives a penalty payment that exceeds the cost share for its green innovation behavior, after multiple games, the manufacturer will choose to engage in supply chain green collaborative innovation. This means adopting green production practices and offering green livestock products. At this juncture, the system exhibits a state of suboptimal coordination in VCC.
Case 2: In the process of a three-party evolutionary game, when and , the stable strategy of the three parties is (non-cooperation, non-cooperation, cooperation); that is, the manufacturer and seller choose not to participate in the green collaborative innovation behavior strategy, while the consumer chooses the green collaborative innovation VCC behavior strategy. Currently, when consumers engage in the VCC of green innovation, manufacturers and sellers often breach contract mechanisms. The penalties for consumers exceed their costs, leading to a stable cooperative strategy. However, manufacturers and sellers often prioritize their own interest maximization, abandoning the practice of green cooperative innovation co-creation. This results in a state where VCC is not fully coordinated.
Case 3: In the process of a three-party evolutionary game, when and , the stable strategy of the three parties is (cooperation, cooperation, non-cooperation); that is, the manufacturer and the seller choose to participate in green collaborative innovation co-creation behavior, while the consumer chooses not to participate in green collaborative innovation behavior strategy. Currently, the penalty payments obtained by manufacturers and sellers can offset their cost sharing. Both parties engage in GITVCC behavior through multiple game choices collaboratively. However, the compensation received by consumers cannot compensate for the difference between the additional benefits gained from participating in VCC and the cost sharing they undertake. Consequently, this situation evolves into a non-cooperation strategy state, leading to an incomplete coordination of value co-creation in the system.
Case 4: In the process of a three-party evolutionary game, when and , the stable strategy of the three parties is (cooperation, non-cooperation, cooperation); that is, the manufacturer and consumer choose to participate in green collaborative innovation co-creation behavior strategy, while the seller chooses not to participate in green collaborative innovation co-creation behavior strategy. Currently, the penalty payments received by both manufacturers and consumers can offset their cost sharing. This is achieved through a series of game choices that allow them to jointly engage in GITVCC behavior. However, the compensation received by the seller does not sufficient to offset the difference between the additional benefits gained from participating in VCC and the costs associated with green marketing. Consequently, this situation evolves into a state of non-cooperation strategy, leading to an incomplete coordination of VCC within the system.
Case 5: In the process of a three-party evolutionary game, when and , the stable strategy of the three parties is (non-cooperation, cooperation, cooperation); that is, the seller and consumer choose to participate in green collaborative innovation co-creation behavior strategy, while the manufacturer chooses not to participate in green collaborative innovation co-creation behavior strategy. Currently, the penalty payments received by both the seller and consumer can offset their cost sharing. Through various game choices, they jointly engage in GITVCC behavior. However, the compensation received by the manufacturer cannot offset the difference between the additional benefits gained from participating in VCC and the green production cost sharing. Based on self-interest maximization, manufacturers will choose non-green production behaviors such as hormone feed breeding and process pollution. Consequently, this evolves into a state of non-cooperation strategy, leading to an incompletely coordinated state of VCC in the system.
Case 6: In the process of a three-party evolutionary game, when and , the stable strategy of the three parties is (cooperation, cooperation, cooperation); that is, the manufacturer, the seller, and the consumer all participate in the green innovation strategy behavior of livestock products. Currently, three participants collaboratively generate value and compensation that surpasses the cost-sharing associated with their VCC. Manufacturers implement green production practices, energy-saving measures, and emission reduction strategies across various stages of livestock product production and processing to ensure product quality and safety. They collectively promote the concept of green manufacturing. The seller adopts green marketing to improve the environmental friendliness of the product. Consumers utilize sharing, recommendation, and feedback mechanisms to propose green innovation ideas for the products to manufacturers and sales personnel and actively participate in green production creation. The system achieves a fully coordinated state of VCC.
5. Numerical Simulation Analysis
5.1. Basic Simulation Analysis
To validate the accuracy of the analysis from the aforementioned model and provide a more intuitive representation of how varying parameter values influence the evolution path and sensitive factors of the stable state in collaborative green innovation within the livestock supply chain, this study uses MATLAB R2016a for numerical simulation. This simulation assesses the stability of the system equilibrium strategy when subjected to predetermined strategy probability values [36]. Based on the realistic implications of the model parameters and the experience of former research, the parameters are assigned, as shown below in Table 5. The evolutionary simulation results of different cases are as follows (Figure 4):
Table 5.
Values of numerical simulation parameters.
Figure 4.
Evolving paths of different cases, i.e., (a) case1, (b) case2, (c) case3, (d) case4, (e) case5, (f) case6.
5.2. Sensitivity Simulation of Strategy Selection
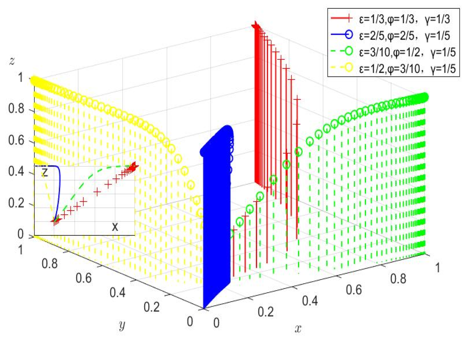
In order to analyze the influence of the strategy choice intensity of manufacturers, sellers, and consumers on the green innovation path, different values are assigned to the strategy choice probability of each participant according to different situations, and the simulation results are obtained, as shown in Figure 5.
Figure 5.
Strategy selection sensitivity of each participant, i.e., (a) case1, (b) case2, (c) case3, (d) case4, (e) case5, (f) case6.
5.3. Simulation of the Influence of the Degree of Penalty
In order to analyze the influence of the degree of penalty on the participants’ strategy selection, with other parameters unchanged, the penalty fee is set to different values, and the impact of penalty on manufacturers is shown in Figure 6, the impact of penalty on sellers is shown in Figure 7, and the impact of penalty on consumers is shown in Figure 8. The critical point of the impact of penalty on the manufacturer calculated through simulation is 38.4, as shown in Figure 6. When penalty is less than the critical value, converges to 0, and the increase of makes the convergence rate of slow. At this time, the manufacturer tends to adopt the “non-cooperation” strategy, and the rate at which they choose not to cooperate is inversely proportional to the fine; when is greater than the critical value, converges to 1, and the convergence rate of accelerates with the increase in . Currently, the manufacturer tends to choose the “cooperation” strategy, and the rate of cooperation chosen by manufacturers is positively related to the fine. The simulation results show that under the economic penalty mechanism, the greater the penalty, the smaller the chance for manufacturers to choose opportunism; that is, higher penalty can increase manufacturers’ willingness to co-create the value of green innovation. Therefore, government regulation can play a positive role by increasing the penalty amount to promote VCC and implementing the political implementation effect. By increasing the violation losses of manufacturers, restraining their “non-cooperation” choice tendency, then maintaining the standard of green innovation mechanism of livestock product supply chain, this creates a good innovation atmosphere, realizing VCC. This is consistent with the real-world situation that profit-seeking will force manufacturers to choose a synergistic strategy. The analysis of the impact of penalty A on sellers and consumers is similar, which will not be detailed here.
Figure 6.
Penalty impact on the manufacturer.
Figure 7.
Penalty impact on the seller.
Figure 8.
Penalty impact on the consumer.
5.4. Simulation of the Impact of Cost-Sharing Coefficient on the Evolutionary Path
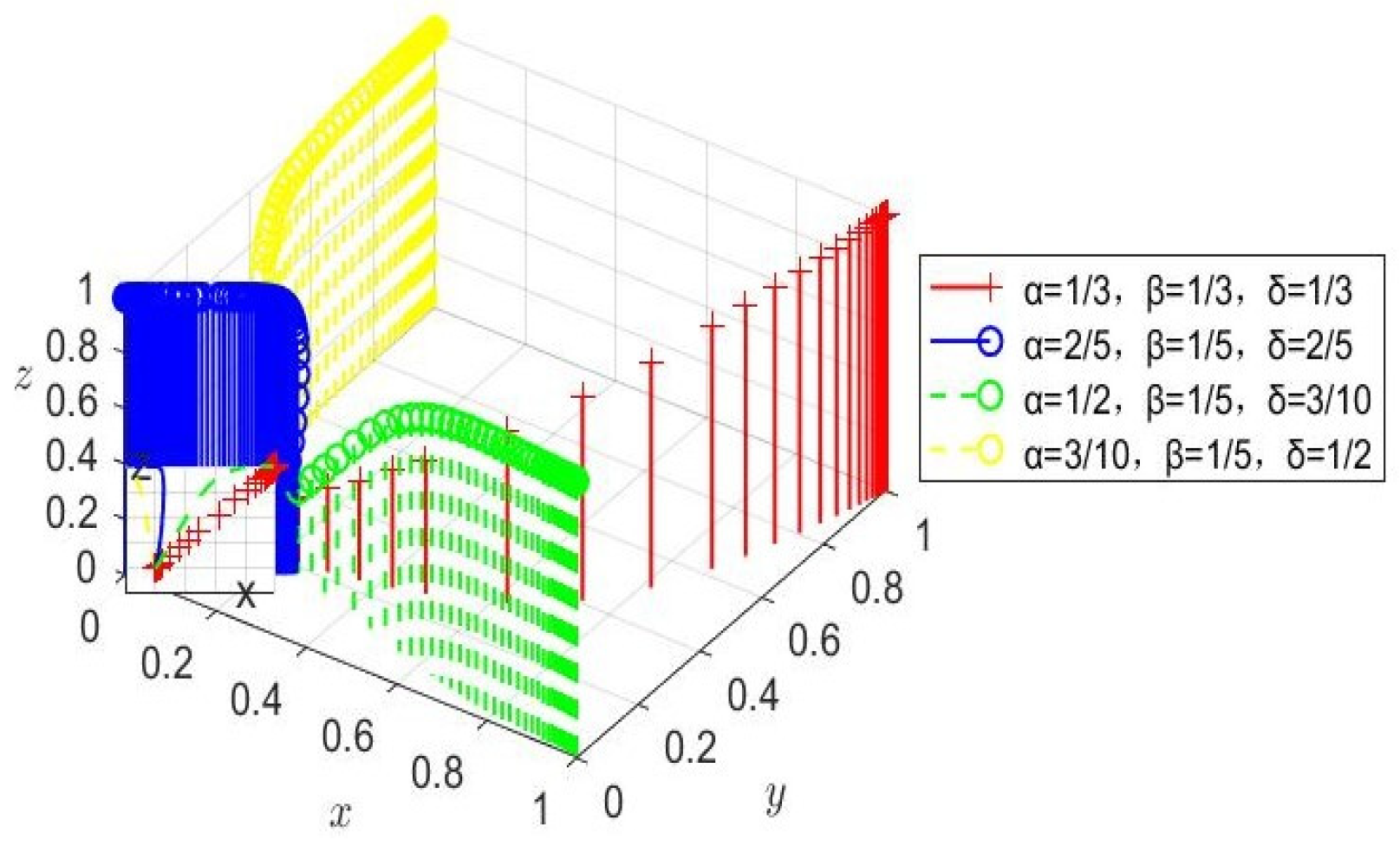
To analyze the effect of the cost-sharing coefficient on the system’s evolution path, when other parameters remain unchanged, adjust cost-sharing parameters , and , set , , , . The specific evolutionary path is shown in Figure 9.
Figure 9.
The impact of the cost-sharing coefficient on the evolutionary path.
As shown in Figure 9, the cost-sharing coefficient of green innovation collaboration among livestock product manufacturers, sellers, and consumers directly affects the strategy selection of the three parties. When the value of the cost-sharing coefficient is evenly distributed, that is , the system achieves a state of GITVCC and complete synergy. This means that all participants (manufacturer, seller, and consumer) are inclined to adopt a “cooperation” strategy. However, when the distribution of the cost-sharing coefficient is uneven, the system’s evolution gravitates towards an incomplete coordination state. In other words, at least one party among the participating entities is more likely to choose the “uncooperative” strategy. The tendency to choose the “cooperation” participant will squeeze other resources, forcing other participants to choose a “non-cooperation” strategy, resulting in sharing of false information and free-rider behavior in the trace process, and green innovation has not been diffused. When , the system experiences an imbalanced state wherein the entity with the most significant cost share tends to adopt a “cooperation” strategy. Conversely, other participants in the system are inclined to select a “non-cooperation” strategy. Simulations indicate that equitable cost distribution will facilitate the system’s evolution towards a fully coordinated state, fostering collaborative green innovation and VCC. In the realm of collaborative green innovation, manufacturers bear the responsibility for green production, sellers are tasked with green marketing, and consumers contribute both knowledge and drive green consumption. This process involves costs associated with green technology, production, marketing, knowledge acquisition, and participation in production. Cost sharing is a shared responsibility among all parties, fostering cooperation. Furthermore, a balanced distribution promotes value co-creation through collaborative green.
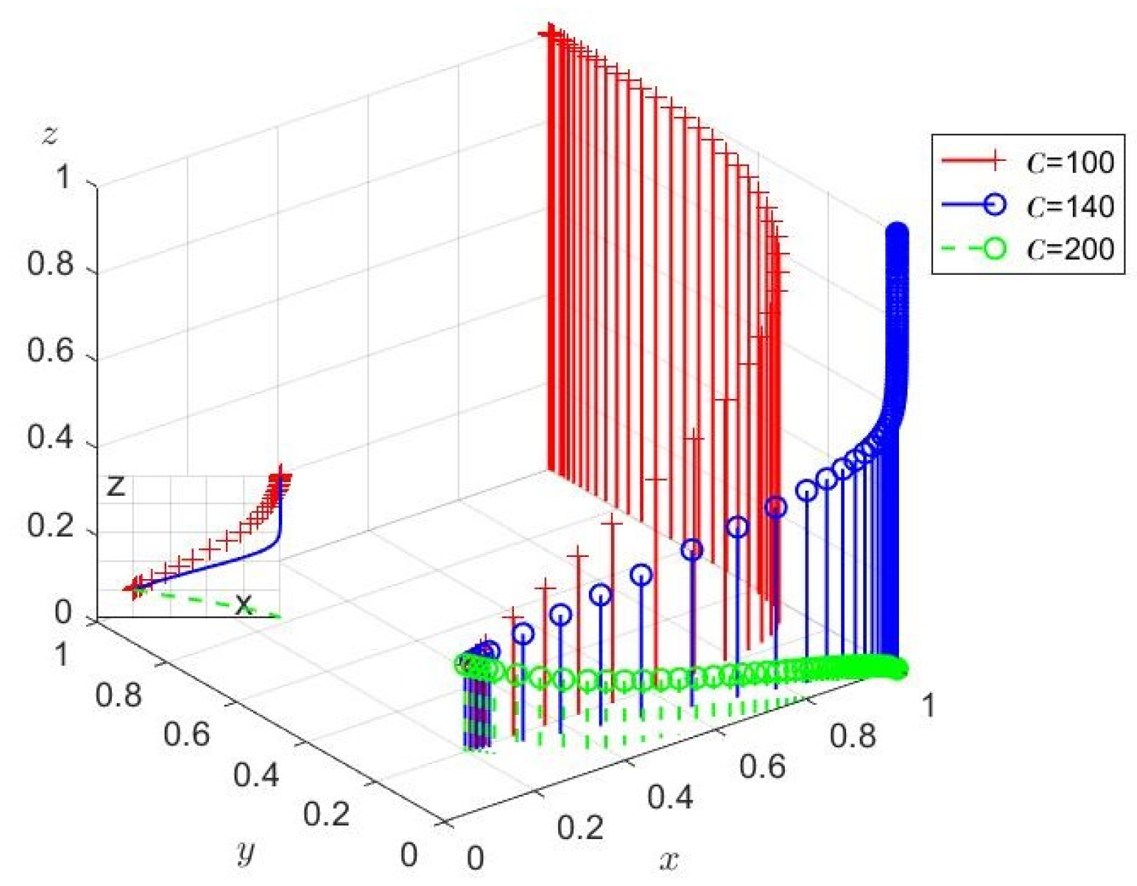
5.5. Simulation of the Impact of Cost on the Evolutionary Path
In order to explore the extent of the impact of the green innovation cost on the evolution path of the system, we increase the value of C for sensitivity analysis under the condition that other parameters remain unchanged. The specific evolutionary path is shown in Figure 10. As shown in Figure 10, when the cost values of green innovation are 140 and 200, the system is in a state of disharmony, and both sellers and consumers finally choose the “non-cooperation” strategy. However, when the cost of green innovation drops to 100, manufacturers, sellers, and consumers all choose the “cooperation” strategy, then the system appears in a fully coordinated state. At this time, the value co-creation of green collaborative innovation in the livestock product supply chain is realized. The lower the cost of green innovation, the shorter the time required for each subject to evolve to a stable state. The simulation results show that at the initial stage of cooperation, the cost of introducing green technology, green marketing, and information traceability is high, and participants tend to choose the “non-cooperation” strategy, but with the evolution of time, there is an increase in consumer intention towards environmentally friendly consumption. This trend has influenced the performance of competitors’ choice innovation within the market, prompting manufacturers and sellers to increasingly adopt a “cooperation” strategy. This strategy operates under a specific cost threshold within the acceptable range of costs. Green consumers, with their heightened product requirements, are more inclined towards transparent green consumption. They are willing to engage in the development and production process of green products, such as livestock product adoption projects, within an economic framework. This involvement allows them to understand product trends and animal statuses in real time, thereby joining the ranks of innovation. Consequently, the system evolves towards a state of fully coordinated VCC. Therefore, a decrease in innovation costs will further encourage full coordination of VCC.
Figure 10.
The impact of cost on the evolutionary path.
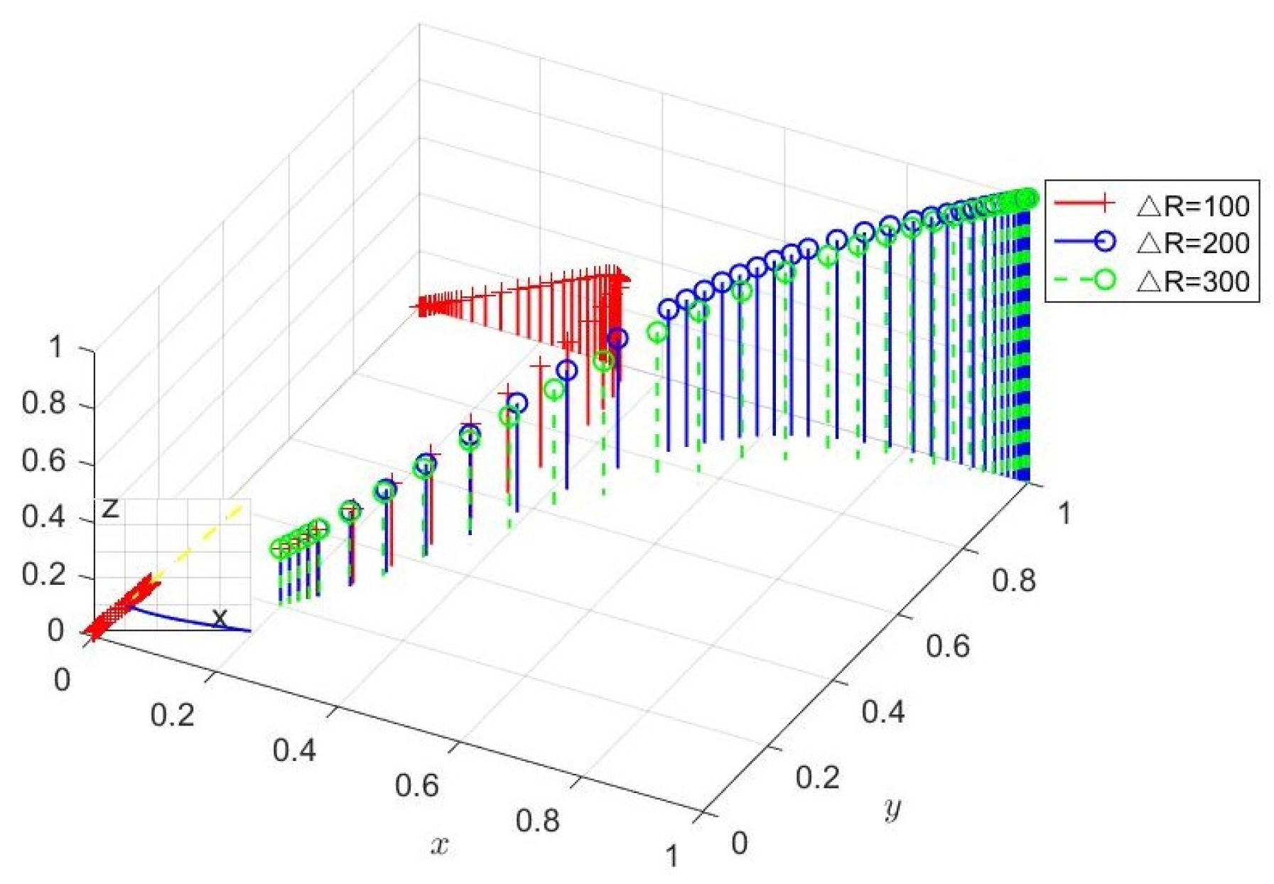
5.6. The Impact of Additional Benefits on the Evolution Path
In order to explore the impact of additional benefits of VCC on the evolution path of the system, we increase the value of for sensitivity analysis under the condition that other parameters remain unchanged. The specific evolutionary path is shown in Figure 11. As shown in Figure 11, affects system evolution in a certain threshold range. When the value of is 100, the stable state of manufacturers and consumers choose the “non-cooperation” strategy, while the stable state of sellers is “cooperation”, then the system is operating in a state of incomplete coordination. When the value of is 200 or 300, the stable state of the system is that the manufacturer, seller, and consumer all choose the “cooperation” strategy, then the complete coordination state occurs. The simulation results show that the additional economic benefits beyond a certain range will stimulate the collaborative innovation of the system to achieve VCC, and on the contrary, restrain the system from a fully coordinated and stable state. Subjects in the supply chain will only be inclined to engage in environmentally friendly practices if the economic benefits they derive from doing so are deemed satisfactory.
Figure 11.
The impact of additional benefits on the evolution path.
5.7. The Impact of the Distribution of Additional Benefits on the Evolution Path
The additional benefit promotes the system to a fully coordinated state to some extent, but in order to analyze the impact of benefit distribution on the stable state of the system, it is necessary to keep other parameters unchanged and change the benefit distribution coefficients ; set ; ; and , respectively. The evolution path is shown in Figure 12. As shown in Figure 12, the distribution coefficient of additional benefit obtained by VCC of livestock products directly affects the strategy selection of the three parties. When the distribution coefficient of additional benefit is evenly distributed as , the system appears to be in a complete cooperative equilibrium state of GITVCC; that is, manufacturers, sellers, and consumers all tend to choose the “cooperation” strategy. However, when the distribution coefficient of additional benefits is unbalanced, the system evolution tends to be in an incomplete coordination state; that is, at least one of the participants tends to choose the “non-cooperation” strategy, and the “cooperation” subject tends to occupy the interests of other subjects, forcing other subjects to choose the “non-cooperation” green innovation, sharing false information and free-riding behavior in the traceability process. Green innovation fails to spread. The simulation results indicate that agents participating in the cooperative green process reap additional benefits. However, only a fair distribution of these extra payoffs can ensure the stability of cooperation; any imbalance in this distribution could potentially disrupt the cooperative dynamic.
Figure 12.
The impact of the distribution of additional benefits on the evolution path.
6. Conclusions and Implications
6.1. Conclusions
Based on the evolutionary game theory and with the premise of limited rationality of players in the game, this paper constructs a green innovation game model for manufacturers, sellers, and consumers in the traceability of livestock products supply chains. It analyzes the evolution process and influencing factors of green innovation from the perspective of VCC and visualizes the evolution process through system simulation. It is found that the green cooperative innovation evolution process of participants in the traceability of livestock products supply chains is affected by factors such as cost, cost sharing, additional benefits, benefits distribution, and penalty. They promote the evolution of the system to a fully coordinated state under certain thresholds, while cost sharing and additional benefits need to be balanced among participants, otherwise resource rationing, free-rider behavior, and opportunistic behavior among participants will inhibit the full coordination evolution of the system. To promote the collaborative green innovation and VCC of livestock product supply chains, it is necessary to fairly allocate the interests of all parties, introduce appropriate government penalty mechanisms to constrain player behavior, adopt incentive and subsidy mechanisms to reduce costs such as VCC interaction and traceability technology, guide participants to participate in green innovation, and achieve sustainable development of livestock product supply chains.
6.2. Management Implications
According to the above evolution path of green innovation, the following management implications are obtained:
- (1)
- Stepped penalty mechanism. The contract outlines a specific range of incremental fines for varying degrees of breaching behaviors, such as the dissemination of false information and non-compliance with the cooperation contract during the traceability process of collaborative green innovation. This approach not only penalizes these breaches but also regulates the behavior of all stakeholders involved. Furthermore, the tiered fines system categorizes subjects based on their degree of breaching, facilitating the identification of trust between enterprises within the traceability process. This promotes effective collaboration in green innovation among all parties involved, ultimately realizing the full potential of coordinated value co-creation within the livestock product supply chain system.
- (2)
- Green incentive mechanisms. The government should formulate green incentive mechanisms for the livestock product supply chain, including green consumption and production mechanisms. The government should identify subdivided green processing and production enterprises based on livestock product traceability information, promote green products to consumers and incentivize them to engage in green consumption, encourage consumers to participate in the green production and packaging process of livestock products according to actual needs, provide feedback on product quality and environmental protection issues, and collaboratively improve livestock production processes. At the same time, encourage and support green technological innovation and collaborative diffusion among enterprises in the livestock product supply chain, increase corporate profits and VCC additional income, reduce costs, and promote the evolution of the system towards a fully coordinated state.
- (3)
- Fair allocation mechanism. The fair allocation of benefits is a crucial aspect of VCC. To ensure that all stakeholders have an equal opportunity to participate, it is essential to establish a system that minimizes resource rationing and free-riders. A third party can help in formulating a fair and reasonable allocation contract that considers the interests of all parties involved. This contract should dictate how benefits and costs are distributed among livestock product manufacturers, sellers, and consumers in a manner that is equitable and justifiable. By creating an open and transparent channel for interaction through traceability, we can enhance communication and feedback among stakeholders in the livestock product supply chain. This approach fosters stable partnerships and ensures effective communication and reasonable allocation for all interested entities.
6.3. Limitations
The study has some shortcomings, specifically as follows: This paper constructs an evolutionary simulation model among manufacturers, sellers, and consumers in the livestock product supply chain, exploring the research on the VCC of green innovation based on livestock product traceability by upstream and downstream stakeholders. Product traceability promotes green innovation, and collaborative green innovation generates a balanced sustainable development state with value addition and ecological optimization for all parties involved. However, the model developed in this study is an idealized representation of reality, which may exhibit deviations and inadequate alignment with real-world scenarios during implementation. Furthermore, while stakeholders in the livestock product supply chain, including farmers and processing enterprises, are categorized as livestock product manufacturers in this research, the refinement of parameter assumptions remains insufficient. Additionally, the impact of incentives such as government green policies on strategic decision-making within the game has not been addressed, presenting certain limitations. Future iterations of the model will aim to address these shortcomings by refining the model and conducting related research to assess the influence of factors like government policy on collaborative green innovation, integrating them into the framework.
Author Contributions
Y.D. is mainly responsible for writing manuscripts, designing and optimizing models, and drawing conclusions through simulations. D.Z. is mainly responsible for the target design and outline design of the manuscript and the writing guidance of the manuscript. X.N. is mainly responsible for the improvement of the language and grammar. All authors have read and agreed to the published version of the manuscript.
Funding
This work was supported by The Natural Science Foundation of Heilongjiang Province of China, grant number LH2022F037.
Institutional Review Board Statement
Not applicable.
Informed Consent Statement
Not applicable.
Data Availability Statement
Data are contained within the article.
Conflicts of Interest
The authors declare no conflict of interest.
References
- Vinogradova, A.; Kotomenkova, O.; Kotomenkov, D.; Bagryantseva, E.; Snytkova, N. Product Traceability as a Mechanism for Ensuring Quality and Safety in Digital Economy. In Proceedings of the International Scientific Conference Digital Transformation on Manufacturing, Infrastructure and Service, St. Petersburg, Russian, 21–22 November 2019; IoP Publishing Ltd.: Bristol, UK, 2020; Volume 940, p. 012079. [Google Scholar]
- Du, Z.; Wu, Z.; Wen, B.; Xiao, K.; Su, R. Traceability of Animal Products Based on a Blockchain Consensus Mechanism. In Proceedings of the 2019 the 3rd International Conference on Agricultural and Food Science, Kuala Lumpur, Malaysia, 8–11 December 2019; IoP Publishing Ltd.: Bristol, UK, 2020; Volume 559, p. 012032. [Google Scholar]
- Rashid, A.; Baber Ali, S.; Rasheed, R.; Amirah, N.A.; Ngah, A.H. A Paradigm of Blockchain and Supply Chain Performance: A Mediated Model Using Structural Equation Modeling. Kybernetes 2023, 52, 6163–6178. [Google Scholar] [CrossRef]
- Chang, R.; Zhang, Y.; Chen, Y. The Implementation of Green Supply Chain Management in Chinese Food Industry: A Multi-Case Study. In Proceedings of 2012 3rd International Asia Conference on Industrial Engineering and Management Innovation (IEMI2012); Dou, R., Ed.; Springer: Berlin/Heidelberg, Germany, 2013; pp. 379–387. [Google Scholar]
- Casino, F.; Kanakaris, V.; Dasaklis, T.K.; Moschuris, S.; Rachaniotis, N.P. Modeling Food Supply Chain Traceability Based on Blockchain Technology. IFAC-Pap. 2019, 52, 2728–2733. [Google Scholar] [CrossRef]
- Zhu, L.; Lee, C. Rfid-Enabled Traceability System for Perishable Food Supply Chains. Int. J. Ind. Eng.-Theory Appl. Pract. 2018, 25, 54–66. [Google Scholar]
- Folinas, D.; Manikas, I.; Manos, B. Traceability Data Management for Food Chains. Br. Food J. 2006, 108, 622–633. [Google Scholar] [CrossRef]
- Walaszczyk, A.; Koszewska, M.; Staniec, I. Food Traceability as an Element of Sustainable Consumption-Pandemic-Driven Changes in Consumer Attitudes. Int. J. Environ. Res. Public. Health 2022, 19, 5259. [Google Scholar] [CrossRef] [PubMed]
- Nguyen, T.H.N.; Yeh, Q.-J.; Huang, C.-Y. Understanding Consumer’ Switching Intention toward Traceable Agricultural Products: Push-Pull-Mooring Perspective. Int. J. Consum. Stud. 2022, 46, 870–888. [Google Scholar] [CrossRef]
- He, J.; Chen, X. Research on the Construction of a Trustworthy Main-Side Multi-Chain Green Food Tracking Platform Based on Blockchain. Food Ind. Technol. 2023, 44, 411–418. [Google Scholar] [CrossRef]
- Wang, M.; Qiao, J.; Shen, X. A Study on Consumer’s Actual Selection Behavior of traceable pork from the perspective of real-world situations. J. Huazhong Agric. Univ. (Soc. Sci. Ed.) 2020, 4, 98–108+178–179. [Google Scholar] [CrossRef]
- Kampan, K.; Tsusaka, T.W.; Anal, A.K. Adoption of Blockchain Technology for Enhanced Traceability of Livestock-Based Products. Sustainability 2022, 14, 13148. [Google Scholar] [CrossRef]
- Mazzu, M.F.; Marozzo, V.; Baccelloni, A.; Pompeis, F.D. Measuring the Effect of Blockchain Extrinsic Cues on Consumers’ Perceived Flavor and Healthiness: A Cross-Country Analysis. Foods 2021, 10, 1413. [Google Scholar] [CrossRef]
- Zhang, C.; Bai, J.; Wahl, T.I. Consumers’ Willingness to Pay for Traceable Pork, Milk, and Cooking Oil in Nanjing, China. Food Control 2012, 27, 21–28. [Google Scholar] [CrossRef]
- Botilias, G.-P.; Margariti, S.V.; Besarat, J.; Salmas, D.; Pachoulas, G.; Stylios, C.; Skalkos, D. Designing and Developing a Meat Traceability System: A Case Study for the Greek Meat Industry. Sustainability 2023, 15, 12162. [Google Scholar] [CrossRef]
- Hobbs, J.E. Heterogeneous Consumers and Differentiated Food Markets: Implications for Quality Signaling in Food Supply Chains. Can. J. Agric. Econ.-Rev. Can. Agroecon. 2019, 67, 237–249. [Google Scholar] [CrossRef]
- Saberi, S.; Kouhizadeh, M.; Sarkis, J.; Shen, L. Blockchain Technology and Its Relationships to Sustainable Supply Chain Management. Int. J. Prod. Res. 2019, 57, 2117–2135. [Google Scholar] [CrossRef]
- Gazzola, P.; Pavione, E.; Barge, A.; Fassio, F. Using the Transparency of Supply Chain Powered by Blockchain to Improve Sustainability Relationships with Stakeholders in the Food Sector: The Case Study of Lavazza. Sustainability 2023, 15, 7884. [Google Scholar] [CrossRef]
- Kailun, H.; Hong, J.; Ying, H. The Evaluation and Choice Researches of Green Suppliers for Pig Industry. In Proceedings of the 2009 International Conference on Information Management, Innovation Management and Industrial Engineering, Xi’an, China, 26–27 December 2009; IEEE: Xi’an, China, 2009; pp. 187–191. [Google Scholar]
- Du, Y.; Ge, Y.; Chang, J. Global Strategies to Minimize Environmental Impacts of Ruminant Production. Annu. Rev. Anim. Biosci. 2022, 10, 227–240. [Google Scholar] [CrossRef] [PubMed]
- Bouncken, R.B. Supply Chain Contingencies: The Effects of Up-Stream Directives on Supplier’s Innovation Performance. Eng. Manag. J. 2011, 23, 36–46. [Google Scholar] [CrossRef]
- Gruchmann, T.; Seuring, S.; Petljak, K. Assessing the Role of Dynamic Capabilities in Local Food Distribution: A Theory-Elaboration Study. Supply Chain Manag. Int. J. 2019, 24, 767–783. [Google Scholar] [CrossRef]
- Zhu, Q.; Sarkis, J.; Lai, K. Examining the Effects of Green Supply Chain Management Practices and Their Mediations on Performance Improvements. Int. J. Prod. Res. 2012, 50, 1377–1394. [Google Scholar] [CrossRef]
- Wei, L.; Zhu, R.; Yuan, C. Embracing Green Innovation via Green Supply Chain Learning: The Moderating Role of Green Technology Turbulence. Sustain. Dev. 2020, 28, 155–168. [Google Scholar] [CrossRef]
- Cherrafi, A.; Garza-Reyes, J.A.; Kumar, V.; Mishra, N.; Ghobadian, A.; Elfezazi, S. Lean, Green Practices and Process Innovation: A Model for Green Supply Chain Performance. Int. J. Prod. Econ. 2018, 206, 79–92. [Google Scholar] [CrossRef]
- Soosay, C.A.; Hyland, P.W.; Ferrer, M. Supply Chain Collaboration: Capabilities for Continuous Innovation. Supply Chain Manag. Int. J. 2008, 13, 160–169. [Google Scholar] [CrossRef]
- Agarwal, R.; Selen, W. Dynamic Capability Building in Service Value Networks for Achieving Service Innovation. Decis. Sci. 2009, 40, 431–475. [Google Scholar] [CrossRef]
- Bar, E.S. A Case Study of Obstacles and Enablers for Green Innovation within the Fish Processing Equipment Industry. J. Clean. Prod. 2015, 90, 234–243. [Google Scholar] [CrossRef]
- Pan, Z.; Liu, L.; Bai, S.; Ma, Q. Can the Social Trust Promote Corporate Green Innovation? Evidence from China. Environ. Sci. Pollut. Res. 2021, 28, 52157–52173. [Google Scholar] [CrossRef] [PubMed]
- De Giovanni, P.; Cariola, A. Process Innovation through Industry 4.0 Technologies, Lean Practices and Green Supply Chains. Res. Transp. Econ. 2021, 90, 100869. [Google Scholar] [CrossRef]
- Koebel, C.T.; McCoy, A.P.; Sanderford, A.R.; Franck, C.T.; Keefe, M.J. Diffusion of Green Building Technologies in New Housing Construction. Energy Build. 2015, 97, 175–185. [Google Scholar] [CrossRef]
- Halila, F.; Tell, J.; Hoveskog, M.; Lu, Q. The Diffusion of Green Innovation Technology in the Construction Industry: European Passive House Knowledge Transfer to China. Prog. Ind. Ecol. Int. J. 2017, 11, 164. [Google Scholar] [CrossRef]
- Yu, F.; Zhang, C.; Yang, Y. An Incentive Mechanism-Based Negotiation Model for Green Supply Chain Networks. Trans. Inst. Meas. Control 2022, 44, 15–29. [Google Scholar] [CrossRef]
- Song, H.; Gao, X. Green Supply Chain Game Model and Analysis under Revenue-Sharing Contract. J. Clean. Prod. 2018, 170, 183–192. [Google Scholar] [CrossRef]
- Lai, K.; Feng, Y.; Zhu, Q. Digital Transformation for Green Supply Chain Innovation in Manufacturing Operations. Transp. Res. PART E-Logist. Transp. Rev. 2023, 175, 103145. [Google Scholar] [CrossRef]
- Mohsin, A.K.M.; Far Abid Hossain, S.; Tushar, H.; Iqbal, M.M.; Hossain, A. Differential Game Model and Coordination Model for Green Supply Chain Based on Green Technology Research and Development. Heliyon 2021, 7, e07811. [Google Scholar] [CrossRef] [PubMed]
- Kong, T.; Feng, T.; Huang, Y.; Cai, J. How to Convert Green Supply Chain Integration Efforts into Green Innovation: A Perspective of Knowledge-based View. Sustain. Dev. 2020, 28, 1106–1121. [Google Scholar] [CrossRef]
- Prahalad, C.K.; Ramaswamy, V. Co-Opting Customer Competence. Harv. Bus. Rev. 2000, 78, 79–90. [Google Scholar]
- Kohler, T. Crowdsourcing-Based Business Models: HOW TO CREATE AND CAPTURE VALUE. Calif. Manag. Rev. 2015, 57, 63–84. [Google Scholar] [CrossRef]
- Heinonen, K. Characterizing Ex Situ Value: A Customer-Dominant Perspective on Value. J. Travel Res. 2022, 62, 1707–1721. [Google Scholar] [CrossRef]
- Lusch, R.F.; Vargo, S.L. The Forum on Markets and Marketing (FMM): Advancing Service-Dominant Logic. Mark. Theory 2012, 12, 193–199. [Google Scholar] [CrossRef]
- My-Quyen, M.T.; Hau, L.N. Transforming Customer Brand Engagement to Co-Creation Value through Participation Energy and Effort. Serv. Bus. 2021, 15, 493–514. [Google Scholar] [CrossRef]
- Xu, H.; Tang, C.; Guo, L. Exploring Service Employees’ Involvement in Value Co-Creation: Dimensions, Antecedents and Consequences. J. Serv. Mark. 2023, 37, 650–670. [Google Scholar] [CrossRef]
- Ziyu, L.; Lixia, Z. Game Analysis on the Influence of Participants’ Psychology on Value Co-Creation in Community E-Commerce Platform Supply Chain. Comput. Intell. Neurosci. 2022, 2022, 4684068. [Google Scholar] [CrossRef]
- Wu, W.; Deng, L.; Tao, Y.; Wang, X. Research on Evolutionary Game of Value Co-Creation Behavior of Shared Private Charging Piles of Electric Vehicles. Discret. Dyn. Nat. Soc. 2022, 2022, 9884962. [Google Scholar] [CrossRef]
- Casper Ferm, L.-E.; Thaichon, P. Value Co-Creation and Social Media: Investigating Antecedents and Influencing Factors in the U.S. Retail Banking Industry. J. Retail. Consum. Serv. 2021, 61, 102548. [Google Scholar] [CrossRef]
- Zhang, S.; Meng, Q. Electronics Closed-Loop Supply Chain Value Co-Creation Considering Cross-Shareholding. J. Clean. Prod. 2021, 278, 123878. [Google Scholar] [CrossRef]
- Gronroos, C.; Voima, P. Critical Service Logic: Making Sense of Value Creation and Co-Creation. J. Acad. Mark. Sci. 2013, 41, 133–150. [Google Scholar] [CrossRef]
- Brodie, R.J.; Ilic, A.; Juric, B.; Hollebeek, L. Consumer Engagement in a Virtual Brand Community: An Exploratory Analysis. J. Bus. Res. 2013, 66, 105–114. [Google Scholar] [CrossRef]
- Carlson, J.; Wyllie, J.; Rahman, M.M.; Voola, R. Enhancing Brand Relationship Performance through Customer Participation and Value Creation in Social Media Brand Communities. J. Retail. Consum. Serv. 2019, 50, 333–341. [Google Scholar] [CrossRef]
- Hua, Z.S.; Chen, X.L. Supply Chain Game Analysis Considering Quality Defects and Late Delivery Issues. Oper. Res. Manag. 2003, 2, 11–14. [Google Scholar]
- Corsaro, D. Value Co-Destruction and Its Effects on Value Appropriation. J. Mark. Manag. 2020, 36, 100–127. [Google Scholar] [CrossRef]
- Li, G.; Shi, X.; Yang, Y.; Lee, P.K.C. Green Co-Creation Strategies among Supply Chain Partners: A Value Co-Creation Perspective. Sustainability 2020, 12, 4305. [Google Scholar] [CrossRef]
- Zhang, C.; Wang, X.; Li, B.; Su, C.; Sun, L. Analysis of Quality Risk Transmission in the New Retail Service Supply Chain System with Value Co-Creation. Systems 2022, 10, 221. [Google Scholar] [CrossRef]
- Hunt, D.M.; Geiger-Oneto, S.; Varca, P.E. Satisfaction in the Context of Customer Co-production: A Behavioral Involvement Perspective. J. Consum. Behav. 2012, 11, 347–356. [Google Scholar] [CrossRef]
- Sijtsema, S.J.; Fogliano, V.; Hageman, M. Tool to Support Citizen Participation and Multidisciplinarity in Food Innovation: Circular Food Design. Front. Sustain. Food Syst. 2020, 4, 582193. [Google Scholar] [CrossRef]
- Guo, H.; Sun, X.; Pan, C.; Xu, S.; Yan, N. The Sustainability of Fresh Agricultural Produce Live Broadcast Development: Influence on Consumer Purchase Intentions Based on Live Broadcast Characteristics. Sustainability 2022, 14, 7159. [Google Scholar] [CrossRef]
- Jayashankar, P.; Johnston, W.J.; Nilakanta, S.; Burres, R. Co-Creation of Value-in-Use through Big Data Technology—A B2B Agricultural Perspective. J. Bus. Ind. Mark. 2019, 35, 508–523. [Google Scholar] [CrossRef]
- Handayati, Y.; Simatupang, T.M.; Perdana, T. Value Co-Creation in Agri-Chains Network: An Agent-Based Simulation. Procedia Manuf. 2015, 4, 419–428. [Google Scholar] [CrossRef]
- Supply Chain Sustainability. Available online: https://www.open.edu/openlearn/money-business/leadership-management/supply-chain-sustainability/content-section-5.1 (accessed on 8 December 2023).
- Jiang, N.; Zhao, S.Z.; Wu, N. Service-Oriented Manufacturing Enterprises’ Service Delivery, Knowledge Co-creation and Service Innovation Performance. Sci. Res. Manag. 2016, 37, 57–64. [Google Scholar] [CrossRef]
- Gronroos, C.; Gummerus, J. The Service Revolution and Its Marketing Implications: Service Logic vs Service-Dominant Logic. Manag. Serv. Qual. 2014, 24, 206–229. [Google Scholar] [CrossRef]
- Grekova, K.; Calantone, R.J.; Bremmers, H.J.; Trienekens, J.H.; Omta, S.W.F. How Environmental Collaboration with Suppliers and Customers Influences Firm Performance: Evidence from Dutch Food and Beverage Processors. J. Clean. Prod. 2016, 112, 1861–1871. [Google Scholar] [CrossRef]
- Cai, Y.H.; Meng, Q.; Chen, G. The Study of Cooperative Innovation Evolutionary Game in Core Enterprise-led Co-creation Space from the Perspective of Value Co-creation. Chin. Manag. Sci. 2022, 30, 52–62. [Google Scholar] [CrossRef]
- Zhang, Z. Customer Participation in Value Creation of Supply Chains for Innovation. Ph.D Thesis, Shandong University, Jinan, China, 2019. [Google Scholar]
- Sobaih, A.E.E.; Hasanein, A.; Elshaer, I. Influences of Green Human Resources Management on Environmental Performance in Small Lodging Enterprises: The Role of Green Innovation. Sustainability 2020, 12, 10371. [Google Scholar] [CrossRef]
- Sahoo, S.; Kumar, A.; Upadhyay, A. How Do Green Knowledge Management and Green Technology Innovation Impact Corporate Environmental Performance? Understanding the Role of Green Knowledge Acquisition. Bus. Strategy Environ. 2023, 32, 551–569. [Google Scholar] [CrossRef]
- Ghosh, D.; Shah, J. Supply Chain Analysis under Green Sensitive Consumer Demand and Cost Sharing Contract. Int. J. Prod. Econ. 2015, 164, 319–329. [Google Scholar] [CrossRef]
- Sun, J.H.; Zhang, H.B. Research on the Cooperative Innovation Collaboration Strategy of Green Supply Chain. Ind. Eng. 2020, 23, 53–60+92. [Google Scholar] [CrossRef]
- Song, H.; Chu, H.; Yue, H.; Chen, Y. Green Supply Chain Coordination with Substitutable Products under Cost Sharing Contract. Procedia Comput. Sci. 2022, 199, 1112–1119. [Google Scholar] [CrossRef]
- Jia, C.; Zhang, R.; Wang, D. Evolutionary Game Analysis of Low-Carbon Technology Innovation Diffusion under PPP Mode in China. PLoS ONE 2022, 17, e0279493. [Google Scholar] [CrossRef]
Disclaimer/Publisher’s Note: The statements, opinions and data contained in all publications are solely those of the individual author(s) and contributor(s) and not of MDPI and/or the editor(s). MDPI and/or the editor(s) disclaim responsibility for any injury to people or property resulting from any ideas, methods, instructions or products referred to in the content. |
© 2023 by the authors. Licensee MDPI, Basel, Switzerland. This article is an open access article distributed under the terms and conditions of the Creative Commons Attribution (CC BY) license (https://creativecommons.org/licenses/by/4.0/).











