Infiltration of Outdoor PM2.5 Pollution into Homes with Evaporative Coolers in Utah County
Abstract
:1. Introduction
2. Materials and Methods
2.1. Study Design
2.2. Data Collection
2.2.1. Aerosol Photometer
2.2.2. Temperature and Humidity
2.2.3. Demographic Data
2.3. Quality Assurance
2.4. Data Analysis
- Cin i,j = Indoor SidePak PM2.5 concentration (µg/m3) for visit, i, and minute, j
- Cs = Intercept, PM2.5 contribution (µg/m3) from indoor sources for visit, i
- Cout i = Outdoor SidePak PM2.5 concentration (µg/m3) for visit, i, and minute, j
- Fin i = Slope (infiltration factor) for visit, i
- ei,j = Error in the linear model fit for visit, i, and minute, j
- Cin i = Average indoor SidePak PM2.5 concentration (µg/m3) for visit, i
- Cs = Intercept, average PM2.5 contribution (µg/m3) from indoor sources
- Cout i = Average outdoor SidePak PM2.5 concentration (µg/m3) for visit, i
- Fin = Slope, infiltration factor
- ein = Error in the linear model fit for visit, i
3. Results
3.1. Home Demographics
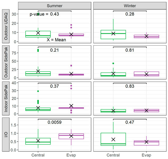
3.2. Average Concentrations and Indoor to Outdoor Ratios
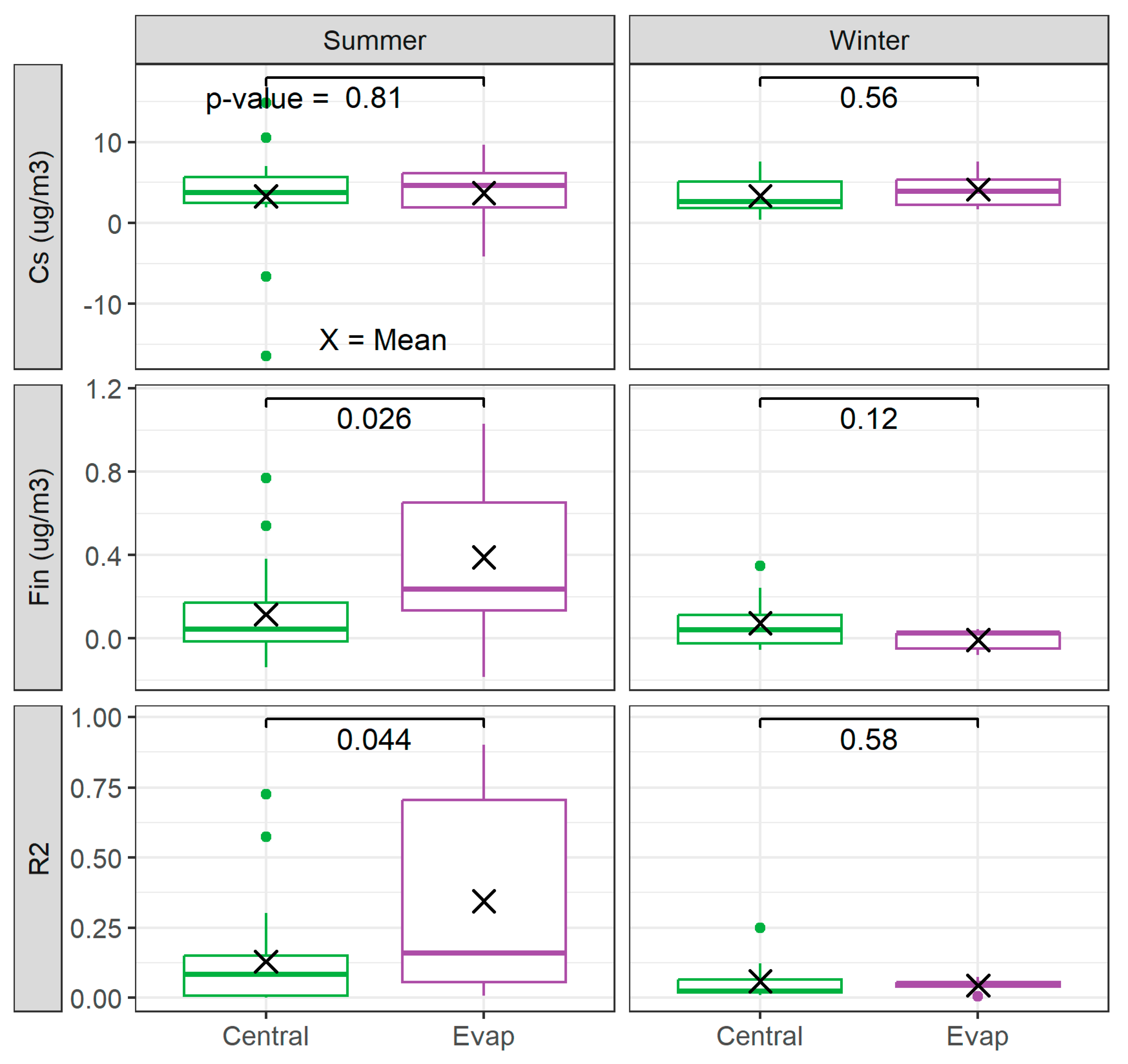
3.3. Infiltration Factor Using Method 1
3.4. Infiltration Factor Using Method 2
3.5. Comparison of Infiltration Factors between Method 1 and Method 2
- (1)
- As noted in Section 3.3, the Fin from Method 1 increases with outdoor PM2.5 concentrations. However, the wildfire smoke visits only account for seven of the thirty home visits conducted in the summer. Because we calculated the mean Fin treating each visit equally (Equation (S2)), the average Fin from Method 1 is substantially lower than the individual days with wildfire smoke.
- (2)
- The infiltration factors estimated for the summer from Method 2 are highly influenced by the seven visits that occurred on the wildfire smoke days. As shown in Figure 7, the wildfire smoke visits are outside the cloud of visits on other days, making the wildfire visits very influential on the estimate of Fin. The estimate of Fin including the days with wildfire smoke was 0.96 for EC visits, but only 0.57 when removing the wildfire smoke days.
4. Discussion
5. Conclusions
Supplementary Materials
Author Contributions
Funding
Institutional Review Board Statement
Informed Consent Statement
Data Availability Statement
Acknowledgments
Conflicts of Interest
References
- Davis, L.; Gertler, P.; Jarvis, S.; Wolfram, C. Air conditioning and global inequality. Glob. Environ. Chang. 2021, 69, 102299. [Google Scholar] [CrossRef]
- Akpinar-Ferrand, E.; Singh, A. Modeling increased demand of energy for air conditioners and consequent CO2 emissions to minimize health risks due to climate change in India. Environ. Sci. Policy 2010, 13, 702–712. [Google Scholar] [CrossRef]
- Vakiloroaya, V.; Samali, B.; Fakhar, A.; Pishghadam, K. A review of different strategies for HVAC energy saving. Energy Convers. Manag. 2014, 77, 738–754. [Google Scholar] [CrossRef]
- El-Dessouky, H.; Ettouney, H.; Al-Zeefari, A. Performance analysis of two-stage evaporative coolers. Chem. Eng. J. 2004, 102, 255–266. [Google Scholar] [CrossRef]
- Saidur, R.; Masjuki, H.H.; Jamaluddin, M. An application of energy and exergy analysis in residential sector of Malaysia. Energy Policy 2007, 35, 1050–1063. [Google Scholar] [CrossRef]
- Swan, L.G.; Ugursal, V.I. Modeling of end-use energy consumption in the residential sector: A review of modeling techniques. Renew. Sustain. Energy Rev. 2009, 13, 1819–1835. [Google Scholar] [CrossRef]
- Isaac, M.; Van Vuuren, D.P. Modeling global residential sector energy demand for heating and air conditioning in the context of climate change. Energy Policy 2009, 37, 507–521. [Google Scholar] [CrossRef]
- Davis, L.W.; Gertler, P.J. Contribution of air conditioning adoption to future energy use under global warming. Proc. Natl. Acad. Sci. USA 2015, 112, 5962–5967. [Google Scholar] [CrossRef]
- Watt, J.R.; Brown, W.K. Evaporative Air Conditioning Handbook, 3rd ed.; Fairmont Press: Upper Saddle River, NJ, USA, 1997. [Google Scholar]
- Bom, G.J. Evaporative Air-Conditioning: Applications for Environmentally Friendly Cooling; World Bank Publications: Washington, DC, USA, 1999; Volume 23. [Google Scholar]
- Yang, Y.; Cui, G.; Lan, C.Q. Developments in evaporative cooling and enhanced evaporative cooling—A review. Renew. Sustain. Energy Rev. 2019, 113, 109230. [Google Scholar] [CrossRef]
- McNeil, M.A.; Letschert, V.E. Future Air Conditioning Energy Consumption in Developing Countries and What Can Be Done About It: The Potential of Efficiency in the Residential Sector. 2008. Available online: https://escholarship.org/content/qt64f9r6wr/qt64f9r6wr.pdf (accessed on 21 December 2023).
- Nabokov, P.; Easton, R. Native American Architecture; Oxford University Press: Oxford, UK, 1990. [Google Scholar]
- Cunningham, B. The box that broke the barrier: The swamp cooler comes to Southern Arizona. J. Ariz. Hist. 1985, 26, 163–174. [Google Scholar]
- Speid, M.J.B. Our Last Years in India; Smith, Elder and Co.: London, UK, 1862. [Google Scholar]
- Bahadori, M.N. Passive Cooling Systems in Iranian Architecture; Scientific American: New York, NY, USA, 2018; Volume 238, pp. 144–155. [Google Scholar]
- Jomehzadeh, F.; Nejat, P.; Calautit, J.K.; Yusof, M.B.M.; Zaki, S.A.; Hughes, B.R.; Yazid, M.N.A.W.M. A review on windcatcher for passive cooling and natural ventilation in buildings, Part 1: Indoor air quality and thermal comfort assessment. Renew. Sustain. Energy Rev. 2017, 70, 736–756. [Google Scholar] [CrossRef]
- Malli, A.; Seyf, H.R.; Layeghi, M.; Sharifian, S.; Behravesh, H. Investigating the performance of cellulosic evaporative cooling pads. Energy Convers. Manag. 2011, 52, 2598–2603. [Google Scholar] [CrossRef]
- Nada, S.; Fouda, A.; Mahmoud, M.; Elattar, H. Experimental investigation of energy and exergy performance of a direct evaporative cooler using a new pad type. Energy Build. 2019, 203, 109449. [Google Scholar] [CrossRef]
- Fouda, A.; Melikyan, Z. A simplified model for analysis of heat and mass transfer in a direct evaporative cooler. Appl. Therm. Eng. 2011, 31, 932–936. [Google Scholar] [CrossRef]
- Chiesa, G.; Pearlmutter, D. Ventilative Cooling in Combination with Other Natural Cooling Solutions: Direct Evaporative Cooling—DEC. In Innovations in Ventilative Cooling; Springer: Berlin/Heidelberg, Germany, 2021; pp. 167–190. [Google Scholar]
- Macher, J.M.; Girman, J.R. Multiplication of microorganisms in an evaporative air cooler and possible indoor air contamination. Environ. Int. 1990, 16, 203–211. [Google Scholar] [CrossRef]
- Li, W.-W.; Paschold, H.; Morales, H.; Chianelli, J. Correlations between short-term indoor and outdoor PM concentrations at residences with evaporative coolers. Atmos. Environ. 2003, 37, 2691–2703. [Google Scholar] [CrossRef]
- Yamamoto, N.; Shendell, D.; Winer, A.; Zhang, J. Residential air exchange rates in three major US metropolitan areas: Results from the Relationship Among Indoor, Outdoor, and Personal Air Study 1999–2001. Indoor Air 2010, 20, 85–90. [Google Scholar] [CrossRef]
- Quackenboss, J.J.; Lebowitz, M.D.; Crutchfield, C.D. Indoor-outdoor relationships for particulate matter: Exposure classifications and health effects. Environ. Int. 1989, 15, 353–360. [Google Scholar] [CrossRef]
- Pope, C.A., III; Lefler, J.S.; Ezzati, M.; Higbee, J.D.; Marshall, J.D.; Kim, S.-Y.; Bechle, M.; Gilliat, K.S.; Vernon, S.E.; Robinson, A.L. Mortality risk and fine particulate air pollution in a large, representative cohort of US adults. Environ. Health Perspect. 2019, 127, 077007. [Google Scholar] [CrossRef]
- Pope, C.A., III; Dockery, D.W. Health effects of fine particulate air pollution: Lines that connect. J. Air Waste Manag. Assoc. 2006, 56, 709–742. [Google Scholar] [CrossRef]
- Paschold, H.; Li, W.-W.; Morales, H.; Walton, J. Laboratory study of the impact of evaporative coolers on indoor PM concentrations. Atmos. Environ. 2003, 37, 1075–1086. [Google Scholar] [CrossRef]
- Weber, K.T.; Yadav, R. Spatiotemporal trends in wildfires across the Western United States (1950–2019). Remote Sens. 2020, 12, 2959. [Google Scholar] [CrossRef]
- Dennison, P.E.; Brewer, S.C.; Arnold, J.D.; Moritz, M.A. Large wildfire trends in the western United States, 1984–2011. Geophys. Res. Lett. 2014, 41, 2928–2933. [Google Scholar] [CrossRef]
- McClure, C.D.; Jaffe, D.A. US particulate matter air quality improves except in wildfire-prone areas. Proc. Natl. Acad. Sci. USA 2018, 115, 7901–7906. [Google Scholar] [CrossRef] [PubMed]
- US Forest Service and US EPA, Fire and Smoke Map 3.1, Collaborative Effort between the U.S. Forest Service (USFS)-Led Interagency Wildland Fire Air Quality Response Program and the U.S. Environmental Protection Agency (EPA). Available online: https://fire.airnow.gov/ (accessed on 13 November 2023).
- ISO 12103-1:2016; Road Vehicles – Test Contaminants for Filter Evaluation – Part 1: Arizona Test Dust. International Organization for Standardization: Geneva, Switzerland, 2016.
- Sioutas, C.; Kim, S.; Chang, M.; Terrell, L.L.; Gong, H., Jr. Field evaluation of a modified DataRAM MIE scattering monitor for real-time PM2. 5 mass concentration measurements. Atmos. Environ. 2000, 34, 4829–4838. [Google Scholar] [CrossRef]
- Wang, Y.; Li, J.; Jing, H.; Zhang, Q.; Jiang, J.; Biswas, P. Laboratory evaluation and calibration of three low-cost particle sensors for particulate matter measurement. Aerosol Sci. Technol. 2015, 49, 1063–1077. [Google Scholar] [CrossRef]
- Yu, C.H.; Patton, A.P.; Zhang, A.; Fan, Z.-H.; Weisel, C.P.; Lioy, P.J. Evaluation of diesel exhaust continuous monitors in controlled environmental conditions. J. Occup. Environ. Hyg. 2015, 12, 577–587. [Google Scholar] [CrossRef]
- Jaffe, D.A.; Thompson, K.; Finley, B.; Nelson, M.; Ouimette, J.; Andrews, E. An evaluation of the US EPA’s correction equation for PurpleAir sensor data in smoke, dust, and wintertime urban pollution events. Atmos. Meas. Tech. 2023, 16, 1311–1322. [Google Scholar] [CrossRef]
- Wang, Z.; Wang, D.; Peng, Z.-R.; Cai, M.; Fu, Q.; Wang, D. Performance assessment of a portable nephelometer for outdoor particle mass measurement. Environ. Sci. Process. Impacts 2018, 20, 370–383. [Google Scholar] [CrossRef]
- Ramachandran, G.; Adgate, J.L.; Pratt, G.C.; Sexton, K. Characterizing indoor and outdoor 15 minute average PM 2.5 concentrations in urban neighborhoods. Aerosol Sci. Technol. 2003, 37, 33–45. [Google Scholar] [CrossRef]
- Soneja, S.; Chen, C.; Tielsch, J.M.; Katz, J.; Zeger, S.L.; Checkley, W.; Curriero, F.C.; Breysse, P.N. Humidity and gravimetric equivalency adjustments for nephelometer-based particulate matter measurements of emissions from solid biomass fuel use in cookstoves. Int. J. Environ. Res. Public Health 2014, 11, 6400–6416. [Google Scholar] [CrossRef] [PubMed]
- Chen, C.; Zhao, B. Review of relationship between indoor and outdoor particles: I/O ratio, infiltration factor and penetration factor. Atmos. Environ. 2011, 45, 275–288. [Google Scholar] [CrossRef]
- Wickham, H. ggplot2: Elegant Graphics for Data Analysis; Springer: New York, NY, USA, 2016; Available online: https://ggplot2.tidyverse.org/ (accessed on 2 November 2023).
- Goldstein, A.H.; Nazaroff, W.W.; Weschler, C.J.; Williams, J. How do indoor environments affect air pollution exposure? Environ. Sci. Technol. 2020, 55, 100–108. [Google Scholar] [CrossRef] [PubMed]
- Montrose, L.; Walker, E.S.; Toevs, S.; Noonan, C.W. Outdoor and indoor fine particulate matter at skilled nursing facilities in the western United States during wildfire and non-wildfire seasons. Indoor Air 2022, 32, e13060. [Google Scholar] [CrossRef] [PubMed]
- Liang, Y.; Sengupta, D.; Campmier, M.J.; Lunderberg, D.M.; Apte, J.S.; Goldstein, A.H. Wildfire smoke impacts on indoor air quality assessed using crowdsourced data in California. Proc. Natl. Acad. Sci. USA 2021, 118, e2106478118. [Google Scholar] [CrossRef] [PubMed]
- May, N.W.; Dixon, C.; Jaffe, D.A. Impact of wildfire smoke events on indoor air quality and evaluation of a low-cost filtration method. Aerosol Air Qual. Res. 2021, 21, 210046. [Google Scholar] [CrossRef]
- Flowerday, C.E.; Thalman, R.; Hansen, J.C. Twenty-Year Review of Outdoor Air Quality in Utah, USA. Atmosphere 2023, 14, 1496. [Google Scholar] [CrossRef]
- Lunden, M.M.; Revzan, K.L.; Fischer, M.L.; Thatcher, T.L.; Littlejohn, D.; Hering, S.V.; Brown, N.J. The transformation of outdoor ammonium nitrate aerosols in the indoor environment. Atmos. Environ. 2003, 37, 5633–5644. [Google Scholar] [CrossRef]
- Barn, P.; Larson, T.; Noullett, M.; Kennedy, S.; Copes, R.; Brauer, M. Infiltration of forest fire and residential wood smoke: An evaluation of air cleaner effectiveness. J. Expo. Sci. Environ. Epidemiol. 2008, 18, 503–511. [Google Scholar] [CrossRef]
- Sparks, T.L.; Wagner, J. Composition of particulate matter during a wildfire smoke episode in an urban area. Aerosol Sci. Technol. 2021, 55, 734–747. [Google Scholar] [CrossRef]
- Goodman, M.M.; Carling, G.T.; Fernandez, D.P.; Rey, K.A.; Hale, C.A.; Bickmore, B.R.; Nelson, S.T.; Munroe, J.S. Trace element chemistry of atmospheric deposition along the Wasatch Front (Utah, USA) reflects regional playa dust and local urban aerosols. Chem. Geol. 2019, 530, 119317. [Google Scholar] [CrossRef]
- Tejero-González, A.; Franco-Salas, A. Optimal operation of evaporative cooling pads: A review. Renew. Sustain. Energy Rev. 2021, 151, 111632. [Google Scholar] [CrossRef]
- Kapilan, N.; Isloor, A.M.; Karinka, S. A comprehensive review on evaporative cooling systems. Results Eng. 2023, 18, 101059. [Google Scholar] [CrossRef]
- Amer, O.; Boukhanouf, R.; Ibrahim, H.G. A review of evaporative cooling technologies. Int. J. Environ. Sci. Dev. 2015, 6, 111. [Google Scholar] [CrossRef]
- US EPA. Outdoor Air Quality Data; 2023. Available online: https://www.epa.gov/outdoor-air-quality-data/download-daily-data (accessed on 13 November 2023).
- US EPA. AirNow API; 2023. Available online: https://docs.airnowapi.org/ (accessed on 14 November 2023).
- UDAQ. Annual Monitoring Network Plan 2022; Utah Department of Environmental Quality, 2023. Available online: https://documents.deq.utah.gov/air-quality/planning/air-monitoring/DAQ-2022-007189.pdf (accessed on 19 July 2023).
- National Weather Service. NOWData-NOAA Online Weather Data. 2023. Available online: https://www.weather.gov/wrh/Climate?wfo=slc (accessed on 11 October 2023).








| Home Characteristics | Central Air Conditioning (n = 16) | Evaporative Cooler (n = 14) | ||||||||
|---|---|---|---|---|---|---|---|---|---|---|
| Mean | SD a | CV b | Min | Max | Mean | SD | CV | Min | Max | |
| Age of home (yrs) | 35.1 | 26.3 | 0.8 | 2 | 80 | 61 | 22.9 | 0.4 | 21 | 100 |
| Area (m2) | 203 | 35 | 0.2 | 144 | 278 | 184 | 84 | 0.5 | 81 | 386 |
| Number of residents | 4.4 | 1.7 | 0.4 | 2 | 8 | 3.1 | 1.9 | 0.6 | 1 | 7 |
| Occupant density c | 2.2 | 0.9 | 0.4 | 1.0 | 3.6 | 2.0 | 1.8 | 0.9 | 0.5 | 7.4 |
| Homeowner percentage | 88% | 57% | ||||||||
| Central Air (AC) | Evaporative (EC) | |||||
|---|---|---|---|---|---|---|
| Estimate | 95% Confidence Interval | Estimate | 95% Confidence Interval | |||
| Lower Bound | Upper Bound | Lower Bound | Upper Bound | |||
| Mean Fin from Method 1 | 0.12 | 0.01 | 0.22 | 0.39 | 0.17 | 0.61 |
| Fin from Method 2 | 0.23 | 0.15 | 0.32 | 0.96 | 0.85 | 1.07 |
Disclaimer/Publisher’s Note: The statements, opinions and data contained in all publications are solely those of the individual author(s) and contributor(s) and not of MDPI and/or the editor(s). MDPI and/or the editor(s) disclaim responsibility for any injury to people or property resulting from any ideas, methods, instructions or products referred to in the content. |
© 2023 by the authors. Licensee MDPI, Basel, Switzerland. This article is an open access article distributed under the terms and conditions of the Creative Commons Attribution (CC BY) license (https://creativecommons.org/licenses/by/4.0/).
Share and Cite
Sonntag, D.B.; Jung, H.; Harline, R.P.; Peterson, T.C.; Willis, S.E.; Christensen, T.R.; Johnston, J.D. Infiltration of Outdoor PM2.5 Pollution into Homes with Evaporative Coolers in Utah County. Sustainability 2024, 16, 177. https://doi.org/10.3390/su16010177
Sonntag DB, Jung H, Harline RP, Peterson TC, Willis SE, Christensen TR, Johnston JD. Infiltration of Outdoor PM2.5 Pollution into Homes with Evaporative Coolers in Utah County. Sustainability. 2024; 16(1):177. https://doi.org/10.3390/su16010177
Chicago/Turabian StyleSonntag, Darrell B., Hanyong Jung, Royce P. Harline, Tyler C. Peterson, Selah E. Willis, Taylor R. Christensen, and James D. Johnston. 2024. "Infiltration of Outdoor PM2.5 Pollution into Homes with Evaporative Coolers in Utah County" Sustainability 16, no. 1: 177. https://doi.org/10.3390/su16010177
APA StyleSonntag, D. B., Jung, H., Harline, R. P., Peterson, T. C., Willis, S. E., Christensen, T. R., & Johnston, J. D. (2024). Infiltration of Outdoor PM2.5 Pollution into Homes with Evaporative Coolers in Utah County. Sustainability, 16(1), 177. https://doi.org/10.3390/su16010177

