Abstract
It is crucial to conduct a comprehensive evaluation of the effectiveness of targeted poverty alleviation (TPA) policies in promoting sustainable livelihoods among impoverished populations, particularly in light of the COVID-19 pandemic. The existing literature, however, predominantly focuses on assessing the policies’ effectiveness in terms of income, while neglecting other critical dimensions of sustainable livelihoods. In line with sustainable livelihood theory, we utilized data from the Chinese Household Financial Survey Database from 2017 and 2019 and employed a fuzzy regression discontinuity (FRD) method to systematically examine the implementation outcomes of TPA policies through the lens of “capability-strategy-results”. Our analysis revealed that the implementation of TPA policies had a positive impact on the ability of poor households to cope with unexpected shocks, as evidenced by an increase in the accumulation rates of material, social, and financial capital. Furthermore, we observed an optimization of livelihood strategies among poor households, with a significant increase in the proportion of wage income. These policies also had a positive impact on their livelihood outcomes, such as a reduced likelihood of falling back into poverty and an increased possibility of escaping from marginal poverty without relying on government subsidies; however, some limitations require attention. Notably, our analysis revealed that the policies did not effectively improve the human capital of poor households. To further explore the heterogeneity of policy effects, we categorized poor households into three groups based on their farmer’s market participation ability and willingness. Our findings indicate that TPA policies effectively reduced poverty among households lacking labor force through government subsidies and saw an increase in the proportion of medical insurance reimbursement; however, households lacking motivation or capability did not experience positive outcomes in the short term. Therefore, future support policies should prioritize these vulnerable groups and monitor their progress closely. Moreover, our analysis revealed that migrant work is the primary livelihood strategy among the poor, and stabilizing their employment faces significant challenges amid the COVID-19 pandemic. Consequently, additional policies and interventions are needed to address the adverse impact of the pandemic on the employment and livelihoods of low-income households.
1. Introduction
Poverty is a pervasive issue that poses a significant challenge to the world, and its eradication has become a crucial objective for developing nations striving to attain sustainable development [1]. The sudden emergence of the COVID-19 pandemic, however, has impeded the global poverty reduction process. Research suggests that the pandemic has had a profound impact on various aspects of human life, including economies, healthcare, education, and social interactions [2,3,4]. The resulting exacerbation of poverty and inequality has led to significant setbacks in poverty reduction progress in many countries, and some gains achieved in the past have even been reversed [5,6,7,8]. Therefore, effective poverty alleviation policies need to take into account the impact of the pandemic and be adapted accordingly to provide targeted support to individuals and families affected by the crisis.
In 2020, China successfully achieved its goal of eradicating extreme poverty through targeted poverty alleviation (TPA) policies, and a complete eradication of extreme poverty—the first target of the UN 2030 Agenda for Sustainable Development—10 years ahead of schedule, making significant contributions to global poverty reduction [9]. However, due to frequent natural disasters, strong constraints on water and soil resources, and poor location conditions [10], farmers in these areas are still facing multiple risk shocks. The COVID-19 pandemic may also worsen the return to poverty for some individuals. This means that those affected must restart the process of poverty reduction from the beginning, making it crucial to consolidate the hard-won achievements in poverty reduction. As a result, new challenges have arisen for China’s poverty control efforts, as preventing the recurrence of poverty for disadvantaged households is necessary.
To prevent returning to poverty, it is essential to construct effective measures based on a comprehensive evaluation of the implementation effect of existing policies. The sustainable livelihood theory provides theoretical support for preventing a return to poverty. This theory suggests that a livelihood is considered sustainable if it can withstand shocks and maintain itself even in difficult circumstances [11]. To quantify sustainable livelihoods, various frameworks have been developed based on the connotation of sustainable livelihood and Sen’s theory of feasible capacity [12]. Among these frameworks, the sustainable development framework of the UK’s Department for International Development (DFID) [13] is the most widely used. Currently, the framework is widely used to analyze the livelihood of vulnerable groups [14] and to assess the effect of public policies on the livelihood of farmers, such as returning farmland to forests [15], relocation from other places [16], and so on. The DFID framework has three core attributes: livelihood capital, livelihood strategy, and livelihood outcome. Livelihood capital includes human capital, financial capital, social capital, physical capital, and natural capital, reflecting households’ abilities to achieve positive livelihood outcomes. Livelihood strategy reflects the specific livelihood activities undertaken by farmers to escape poverty and become prosperous. The process by which poor people transition from poverty to non-poverty is also the transmission process of livelihood capital, livelihood strategies, and livelihood outcomes. Therefore, a comprehensive evaluation of the implementation effect of the targeted poverty alleviation policy based on the sustainable theoretical framework is necessary to prevent a large-scale return to poverty.
The implementation of TPA projects is not random, which poses a challenge for empirical research as the endogeneity of the implementation effect remains a concern. Regression discontinuity design (RDD) offers a potential solution to this challenge by identifying appropriate assignment variables in the exogenous change environment of the system [17]. One notable feature of the TPA policy is that the assignment of poverty was based on an identifiable indicator, and specifically, whether the pre-program rural income per capita was below the poverty line. The causal impacts of the program, therefore, can be assessed by comparing rural households just below the dividing line with those just above it.
To analyze the impact of TPA policies on sustainable livelihoods, we used the China Household Finance Survey Database and constructed a quasi-natural experiment using fuzzy regression discontinuity (FRD) based on the TPA policies assistance standards. In contrast to previous studies that focused on a single outcome, we adopted a more holistic approach by analyzing the policies’ impacts on rural households’ sustainable livelihoods along with three main outcomes: (i) livelihood capital, (ii) livelihood strategy, and (iii) livelihood outcome. In addition, we examined the heterogeneity of policy effects from the perspective of market participation, which is an important factor to consider when exploring policy impacts. The TPA policies are designed as poverty alleviation policies with a development focus and this includes a range of measures aimed at reducing poverty. These measures include increasing investment in infrastructure to improve transportation and communication networks, providing microcredit for rural poor households to encourage entrepreneurship and job creation, and improving education and healthcare services to enhance human capital and productivity. These policies are designed to create an enabling environment that promotes market participation among disadvantaged groups, and it is crucial to focus on policy effects for groups that lack the ability and motivation to participate in the market. By examining the heterogeneity of policy effects from the perspective of market participation, we can gain a better understanding of how policies affect different groups and individuals in the market. Overall, the findings of this study contribute to the literature on sustainable livelihoods and poverty reduction policies. The study provides valuable insights into the effectiveness of TPA policies and emphasizes the importance of considering the multidimensional aspects of poverty when designing and implementing poverty alleviation policies.
The foremost contribution of this study is in being one of the first in the literature to causally estimate the impact of TPA policies on poor populations’ sustainable livelihoods. In doing so, this paper adds to an existing body of work. Many existing studies have examined the effectiveness of targeted poverty alleviation policies primarily from the perspective of income, while an increase in income does not necessarily mean an improvement in the ability of low-income families to withstand risks.
The remainder of this paper proceeds as follows: the next section describes the policy background of TPA policies, a literature review and research hypotheses. Section 3 presents our empirical approach based on the fuzzy regression discontinuity method, along with a description of our data sources and variables. Section 4 reports our estimation results and robustness tests. Section 5 presents our analysis of heterogeneity, and finally, Section 6 concludes with a discussion of our main findings and their policy implications.
2. Policy Background, Literature Review and Research Hypotheses
2.1. Policy Background
China, as the world’s largest rural poor population country, has been actively involved in global poverty reduction efforts for decades [18]. Although significant progress has been made in providing basic necessities such as food and clothing to rural poor households over the past seventy years, the country still faces challenges related to poverty reduction. Increasing income inequality has slowed the progress in reducing poverty, and the marginal effect of economic growth on poverty reduction has declined over time [19]. Additionally, the existing poverty alleviation policies have not been effectively targeted towards those most in need [20]. In response to these challenges, China has implemented targeted poverty alleviation policies since 2013, as part of its broader economic development strategy.
The success of targeted poverty alleviation (TPA) projects relies on the accurate identification of households in need. In China, households are primarily identified as poor based on their income levels, with those having a rural net income per capita below CNY 2300 (in constant 2010 prices) being designated as poor. Other factors such as housing, education, and health are also taken into consideration during the identification process. Household applications for poverty registration are discussed, reviewed, and disclosed for public supervision. Each level of administration then evaluates the applications to ensure that only those truly in need receive assistance.
China’s TPA policies can be divided into two stages. During the first stage, from the end of 2013 to 2015, the government adopted a strategy of “transfer payments” and “expenditure reduction” to help poor households. This involved providing poverty alleviation funds to poor households for agricultural breeding or allowing them to participate in dividends in private enterprises, increasing the reimbursement rate of rural medical insurance, and exempting insurance premiums. During the second stage, from 2016 to 2020, the government implemented five measures to eradicate poverty. These measures included boosting the economy to create more job opportunities, relocating poor people from inhospitable areas, compensating for economic losses associated with reducing ecological damage, improving education in impoverished areas, and providing subsistence allowances for those unable to shake off poverty through their own efforts.
2.2. Literature Review
The targeted poverty alleviation program in China has been extensively studied, with a growing body of literature on the topic. The existing literature shows that TPA policies have significantly increased the income of poor rural households, reduced the incidence of poverty [21,22,23], narrowed the urban–rural income gap [24,25], significantly improved the living conditions of rural residents [26], and improved the scholastic performance of girls [27].
The current research on the implementation effect of TPA policies primarily focuses on their impact on the income of poor households; however, income is not a comprehensive indicator as it can be influenced by several factors such as economic cycles, job opportunities, labor market demand, and skill levels. Unlike income, livelihoods take into account all factors related to a person’s capabilities and needs, and can provide a more holistic understanding of the challenges that poor people face [28,29]. In the context of the COVID-19 pandemic, promoting sustainable livelihoods is particularly important because it can help to build resilience and strengthen the social safety nets for vulnerable populations.
While less academic attention has been paid to the effect of TPA policies on poor households’ sustainable livelihoods, some recent studies have explored this issue. For example, YuanYuan Yang (2020) [30] analyzed the effect of poverty alleviation resettlement (PAR) policies, a key component of TPA policies that uses resettlement as a tool for addressing environmental and poverty-related concerns in a rapidly changing world in China. The study found that PAR policies can improve sustainable livelihood capital. Similarly, Yuanzhi Guo (2020) [31] employed the sustainable livelihoods framework to explore how labor transfer can help the poor fight against poverty based on document analysis. The study found that labor transfer not only increases the per capita livelihood capital of the remaining population but also helps improve sustainable livelihoods. Furthermore, Chao Yu (2022) [32] conducted a comprehensive comparison of households and villages in a poor county before and after the implementation of TPA policies. The study found that TPA policies implemented a comprehensive livelihood system for poor households, whereby multidimensional deprivation was eliminated by supplementing livelihood capitals.
The existing literature on the impact of targeted poverty alleviation policies on the sustainable livelihoods of poor groups has primarily relied on descriptive statistical analysis. While these studies have provided valuable insights, they cannot establish a causal relationship between poverty alleviation policies and sustainable livelihoods. To establish a causal relationship, more rigorous research designs such as randomized controlled trials or quasi-experimental designs are needed. Such studies would allow for the isolation of the effects of poverty alleviation policies on sustainable livelihoods from other factors that may also influence livelihood outcomes. Further research with rigorous research designs is necessary to establish a causal relationship between the two variables. Therefore, this article applies the fuzzy regression discontinuity (FRD) method to conduct a comprehensive examination of the implementation effects of targeted poverty alleviation (TPA) policies on the sustainable livelihoods of the poor. Additionally, the article analyzes the heterogeneity of the policy effects among different poor groups.
2.3. Research Hypotheses
China’s targeted poverty alleviation (TPA) strategy is a comprehensive approach that aims to reduce poverty and improve the livelihoods of the rural poor. To achieve this goal, multiple policies have been implemented, such as infrastructure development, vocational training, relocating poor people from inhospitable areas, and providing access to credit facilities. These policies have had positive effects, such as improving access to markets, increasing agricultural productivity, enhancing employability, and enabling the poor to invest in income-generating activities [33,34,35,36,37,38]. In theory, the overlapping implementation of multiple poverty alleviation policies will have a comprehensive effect on the gradual accumulation of livelihood capital by farmers and the improvement of their livelihood strategies.
However, for poverty alleviation resources to be effective, they must be accurately targeted to reach those who are most in need. Unfortunately, the effectiveness of poverty alleviation programs is often undermined by elite capture, where wealthy and powerful individuals or groups control or divert resources meant for the poor [39,40,41]. Research has shown that the elite capture of poverty alleviation resources is a widespread and persistent problem that undermines the effectiveness of poverty alleviation policies and programs.
To address the problem of elite capture, China’s TPA policies have taken steps to accurately identify and target the poorest households. This is often completed through the use of data-driven approaches and on-the-ground surveys. Additionally, the policies have sought to increase transparency and accountability in the distribution of poverty alleviation resources. For instance, digital payment systems and tracking mechanisms are used to monitor the distribution of resources. These targeted poverty alleviation policies have effectively reduced the risk of elite capture and increased the effectiveness of poverty alleviation efforts.
Based on the above analysis, this paper proposes the following hypotheses:
Hypothesis 1:
The implementation of TPA policies has promoted the enhancement of livelihood capital for impoverished households.
Hypothesis 2:
The implementation of TPA policies has a positive impact on their livelihood strategies.
Hypothesis 3:
The implementation of TPA policies has contributed to achieving positive livelihood outcomes.
3. Data and Methods
3.1. Data Source
The present study employed data from the China Household Financial Survey Project (CHFS), which is organized and managed by the China Household Financial Survey and Research Center at the Southwestern University of Finance and Economics. The dataset includes comprehensive information on household income, assets, expenditure, basic member information, and other relevant attributes, covering 29 provinces and autonomous regions in China [42]. The CHFS data are consistent with the National Bureau of Statistics in terms of age structure, urban and rural population structure, and gender structure, thus demonstrating a good representativeness. Moreover, in the publicly available large-scale micro database, the CHFS clearly identifies whether the surveyed household is poor, effectively addressing the issue of limited access to registered card information.
In China, the identification of poor households was completed by the end of 2014. The targeted poverty alleviation (TPA) policy was gradually improved through continuous exploration and began to be implemented on a larger scale in 2016. Accordingly, data from two rounds of surveys conducted in 2017 and 2019 were selected for analysis. Notably, the CHFS questionnaire primarily measures variables from the previous year. Therefore, the data collected in 2017 and 2019 reflect the relevant variable information from 2016 and 2018, respectively. To examine the changes in livelihood capital, livelihood strategies, and livelihood outcomes of poor households following the implementation of TPA policies, we identified and matched rural households that participated in both survey rounds and obtained a final sample of 6458 after data cleaning.
3.2. Empirical Methods
This text pertains to two research methodologies. The first is the CRITIC method, which measures sustainable livelihood capital. The second is the fuzzy regression discontinuity (FRD) method, which assesses the causal effects of precision poverty alleviation policies on rural household livelihoods.
3.2.1. CRITIC Weighting Method
The weighting method employed in this article is known as the CRITIC (Criteria Importance Through Intercriteria Correlation) method. It is based on two key concepts: comparative strength and intercriteria conflict, which help determine objective weights. Comparative strength is a measure of the difference in values between different evaluation methods within the same indicator. It is expressed as the standard deviation, which is greater when the difference in values is larger. Intercriteria conflict, on the other hand, is based on the correlation between different evaluation indicators. The stronger the positive correlation between two indicators, the smaller the conflict between them. Together, these two concepts are used to calculate objective weights, which makes the CRITIC method an effective way of measuring sustainable livelihood capital.
Suppose denotes the information quantity of th index:
where represents the standard deviation of the th index, and represents
the correlation coefficient between the th index and th index. The weight of th index can be calculated as:
3.2.2. Fuzzy Regression Discontinuity Method
Assessing the causal impacts of TPA policies is a challenging task due to the non-randomness of program placement [43]. To overcome this challenge, we leveraged an implementation rule that bases the poverty assignment on the pre-program net income per capita of rural households. This allowed us to estimate the causal impact of TPA policies using a regression discontinuity design (RDD) approach. RDD employs exogenous policy cutoffs to construct quasi-natural experiments, effectively addressing the endogenous problems caused by nonrandom project implementation [44]. However, in some cases, the observed selection criterion may not strictly follow the relationship, and administrators may rely on other factors to assign treatment. These additional variables may be unobserved by researchers, which can lead to an imperfect relationship. In such cases, a fuzzy degression design (FRD) method can be used.
Under the assumption of continuity of all other characteristics other than the program treatment at the treatment threshold, the FRD estimator calculates the local average treatment effect (LATE) of being poor households that are recognized by the state with the pre-program net income per capita of rural households equal to the threshold. Following Imbens and Lemieux [45], Gelman and Imbens [46], and Asher and Novosad [47], we used a local linear regression within the given window width of the processing threshold and controlled for the operating variables on both sides of the threshold. Furthermore, the CCT method proposed by Calonico, Cattaneo, and Titiunik [48] was used to estimate the window width, and the rectangular kernel was used for the estimation. The specific model is as follows:
Here, represents the outcome variables of the th family, including the change of livelihood capital change, livelihood strategy, and livelihood outcome. denotes the policy threshold, and denotes the assignment variable, while denotes the control variable of baseline household characteristics, including the dependency ratio, proportion of male population, proportion of education expenditure, proportion of medical expenditure, head’s gender, head’s education level, head’s health level and family size. denotes the instrumental variable of . The coefficient denotes the causal effect of the TPA on outcome variables.
RDD estimates can be interpreted causally if the baseline covariates and the density of the assignment variable are balanced across the treatment threshold. We used the RD specification to test for discontinuous changes at the threshold in Table 1, and we found no significant discontinuous changes at the threshold.
Table 1.
Covariate Balance Test.
Figure 1 shows no obvious jump in the per capita net income at the cutoff; the p-value of the McCrary test was 0.688 [49]; the p-value of the g-order statistics in the test was 0.671. These results indicate that the density of the rural households’ per capita net income distributions was also continuous across the treatment threshold.
Figure 1.
Marginal distribution of distribution variables.
Table 2 presents the first-stage regression results under different window widths, reflecting the effectiveness of cutoffs. When the per capita net income is lower than the threshold, the probability of filing and card filing will increase by 12%; F statistics are greater than 10, indicating no problem with weak instrumental variables.
Table 2.
First-stage Regression Results.
3.3. Description of Main Variables
Variables related to the growth rate of livelihood capital. To determine the growth rate of livelihood capital, it is crucial to first calculate the total amount of livelihood capital. The sustainable livelihood theory establishes five indexes, namely, natural, physical, social, financial, and human capitals, to define sustainable livelihood capital.
Natural capital refers to the natural resources that people depend on for survival and development, and in this study, the value of land assets was used to measure it. Physical capital, on the other hand, refers to the means of production and durable consumer goods that can be used as collateral during times of risk or crisis. The value of household durable goods was used to measure the physical capital. Social capital refers to the social network resources that offer mutual benefit, trust, and availability, and is generated by the social status of impoverished households. In this study, expenditure on family gifts was selected to measure the social capital. Financial capital pertains to the amount of money flow used for accumulative, productive, or investment activities, including various types of insurance. To measure the financial capital, bank deposits, education liabilities, and medical liabilities were selected. Moreover, since increasing the proportion of medical insurance for impoverished households is one of the primary measures of the TPA policy, the proportion of medical insurance reimbursement was used to measure financial capital. Human capital is mainly related to personal knowledge, skills, health, and labor potential. To measure human capital, labor poverty, education level, and labor health status were selected. The health status of the labor force was evaluated by examining the health status of family members. Given the correlation between these indexes, the Critic method was employed to compute a comprehensive index to reflect the sustainable livelihood capital. The specific weight results are presented in the last column of Table 3.
Table 3.
Livelihood Capital Index System.
We also computed the growth rate of livelihood capital and the growth rate of each capital type (i.e., natural, physical, social, financial, and human) to measure the change of household livelihood capital during the period spanning 2016–2018.
Variables related to changes in livelihood strategies. The concept of a livelihood strategy refers to the range of means by which impoverished families generate income. In China, most of the poor live in remote areas with a poor natural environment and a lack of resources. It has been found that rural households that earn income from wage employment tend to have higher levels of wealth than those who rely solely on agricultural production [50,51,52]. In addition, non-agricultural employment can have a positive effect on the educational aspirations of rural families for their children, leading to a greater emphasis on education and breaking the cycle of intergenerational poverty [53]. Increasing non-agricultural employment, therefore, is viewed as a means of optimizing the livelihood strategies of poor households. Seeking government assistance is also considered an important livelihood strategy for such families. To examine the changes in livelihood strategies during the period of 2016–2018, we calculated the growth rate of the wage income share and government transfer income share. These variables provided a measure of the extent to which households rely on wage income and government assistance as sources of livelihood, thereby reflecting changes in their livelihood strategies.
Variables related to changes in livelihood outcomes. The objective of targeted poverty alleviation policies is to enable impoverished households to permanently escape poverty and marginal poverty without relying on government subsidies. In line with this goal, livelihood outcomes are measured by four variables: the poverty recurrence rate, out-of-marginal poverty rate, poverty recurrence rate excluding government transfers, and out-of-marginal poverty rate excluding government transfers. These variables are binary indicators, or “dummies.” The re-poverty rate is assigned a value of 1 if a household was lifted out of poverty in 2016 but returned to poverty in 2018, and 0 otherwise. The out-of-marginal poverty rate is assigned a value of 1 if a household was lifted out of marginal poverty in 2016 and remained out of it in 2018, and 0 otherwise. To assess the extent of the poor’s reliance on government transfer income, we have excluded such income from the calculations of the re-poverty and out-of-marginal poverty rates. In specific calculations, the standards for poverty and marginal-poverty were consistent with the national regulations. The poverty line is a per capita net income of CNY 2300 (in constant 2010 prices), while the near-poverty line is 1.5 times the poverty line. Table 4 shows descriptive statistics of the outcome variables, assignment variables, and control variables.
Table 4.
Variable Description Statistics.
4. Empirical Results
This section presents treatment estimates of three outcome variables: changes in the livelihood capital, livelihood strategies, and livelihood outcomes, using a rectangular kernel with an optimal window width under the CCT. The analysis was conducted separately for each of these components to provide a detailed understanding of the effects of the intervention on each aspect of livelihood.
4.1. The Impact of TPA Policies on the Growth Rate of Livelihood Capitals
We first present treatment estimates of the changes in the livelihood capital. Table 5 displays the RD estimate and corresponding p-value. The first column indicates a positive effect on the growth rate of the total livelihood capital. To further analyze the policy effects of the TPA on the different types of livelihood capital, we examined the effects on the growth rate of the natural capital, physical capital, social capital, financial capital, and human capital, respectively, in columns (2) to (6). Our analysis revealed positive effects on the growth rate of the physical capital, social capital, and financial capital (columns 3 to 5), but no significant effects on the growth rate of the natural capital or human capital (columns 2 and 6). These results provide important insights into the effectiveness of the TPA policies on the different livelihood capital dimensions. The findings suggest that the policies have positively influenced the growth of the physical, social, and financial capital, but have not had a significant impact on the growth of the natural and human capital. Overall, these results contribute to our understanding of the impact of TPA policies on livelihood capital growth, and highlight the need for targeted interventions that can help improve the growth of natural and human capital in the context of TPA policy implementation.
Table 5.
Policy Effect of Livelihood Capital Growth Rate.
In addition, a scatter plot has been created to depict the relationship between the assignment variables and the growth rate of the livelihood capitals. This visualization, presented in Figure 2, serves to provide an intuitive display of the livelihood capital effect resulting from the TPA policies. The scatter plot findings corroborate the results presented in Table 5, indicating significant treatment effects for the growth rate of the physical capital, social capital, and financial capital; however, there appeared to be little impact on the growth rate of the natural capital and human capital.
Figure 2.
Livelihood capital policy effect of targeted poverty alleviation. Notes: the vertical line in the figure is the cutoff used for the FRD estimation. This study has standardized the cutoff, that is, the per capita income minus CNY 2300 (constant price in 2010).
In Table 6, we conducted an analysis to determine the effect of the TPA policies on the growth rate of six sub-indexes of livelihood capitals, namely, education liability, medical liability, bank deposits, medicare reimbursement rates, the average health level of the labor force, and the average education level of the labor force. We then reported the results in columns (1) to (4) regarding the growth rate of four financial capital sub-indexes. We found a significant positive impact on the growth rate of the medicare reimbursement rates (column (4), p = 0.049), indicating that the TPA policies have increased the financial capital by improving the medicare reimbursement rates; however, we did not observe any significant changes in the other financial capital sub-indexes, such as bank deposits, education liability, and medical liability. Based on Table 6, we have analyzed the impact of the TPA policies on the growth rate of six sub-indexes of livelihood capitals. The sub-indexes included education liability, medical liability, bank deposits, medicare reimbursement rates, the average health level of the labor force, and the average education level of the labor force. Columns (5) and (6) reported estimates on the growth rate of two human capital sub-indexes; however, we did not find any significant changes in these measures, suggesting that the TPA policies have not significantly impacted the health and education levels of workers from poor families in the short term. In summary, our analysis indicates that the TPA policies have had a positive effect on the growth rate of financial capital through improved medicare reimbursement rates; however, we did not observe any significant changes in the other financial capital sub-indexes or human capital sub-indexes. These results suggest that more effort may be required to enhance the overall livelihood capital of poor families through TPA policies.
Table 6.
The impact of TPA policies on the growth rate of sub-indexes of livelihood capitals.
4.2. The Impact of TPA Policies on the Change of Livelihood Strategies
Table 7 presents the effects of the TPA policies on the change of livelihood strategies of poor households. Our analysis shows that the TPA policies have caused a 67.7 percentage point increase in the growth rate of the wage income share and a 47.2 percentage point increase in the growth rate of the government transfer income share. It is important to note that in rural China, the primary source of income for poor households is typically cultivation; therefore, these results suggest that the TPA policies have had a significant impact on changing the livelihood strategy of poor households from simplicity to diversity. The coefficient of the growth rate of the wage income share is higher than the growth rate of the government transfer income share, suggesting that the TPA policies are development-oriented poverty alleviation policies. This implies that the policies are designed to encourage the poor to escape poverty through their own labor, rather than relying solely on policy subsidies.
Table 7.
Effect of the TPA policies on indices of the change of livelihood strategies.
Figure 3 presents graphical representations of each regression discontinuity estimate. The result variables included the “wage income growth rate” and “government subsidy income percentage growth rate”. The graphs show significant treatment effects on the growth rate of the proportion of the wage income of poor households and the proportion of government transfer.
Figure 3.
Effect of the TPA policies on indices of the change of livelihood strategies. Notes: the vertical line in the figure is the cutoff used for the FRD estimation. This study has standardized the cutoff, that is, the per capita income minus CNY 2300 (constant price in 2010).
4.3. The Impact of TPA Policies on the Change of Livelihood Outcome
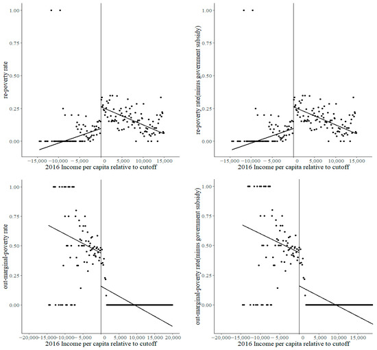
Finally, in Table 8, we examine the impact of the TPA policies on livelihood outcomes. Columns (1) and (2) report estimates of the re-poverty rate and the re-poverty rate excluding government transfers, respectively. The results indicate that the TPA policies significantly reduced the probability of poor families returning to poverty, and this positive change was not dependent on government subsidies. The difference between the two estimates is not significant, indicating that the positive impact of the TPA policies on reducing re-poverty rates was not due to government transfers.
Table 8.
Policy Effects of Livelihood Results.
Columns (3) and (4) report estimates of the out-of-marginal poverty rate and out-of-marginal poverty rate excluding government transfers, respectively. The results show that the poor families assisted by the TPA policies could not only escape poverty but also become more financially secure. The difference between the two estimates is not significant, indicating that the positive impact of the TPA policies on improving livelihood outcomes was not due to government transfers.
Figure 4 presents a plot of a change in livelihood outcome, including the “out-of-marginal poverty rate”, “out-of-marginal poverty rate (excluding government transfers)”, “re-poverty rate” and “re-poverty rate (excluding government transfer)”, against its net income per capita (relative to the eligibility cutoff in 2016). The figures corroborate the results shown in Table 8, showing positive treatment effects for the livelihood outcomes.
Figure 4.
Livelihood outcomes of TPA policies. Notes: the vertical line in the figure is the cutoff used for the FRD estimation. This study has standardized the cutoff, that is, the per capita income minus CNY 2300 (constant price in 2010).
The results presented above demonstrate that the TPA policies have had a positive impact on the livelihoods of poor families. Specifically, these policies have led to an increase in the accumulation speed of livelihood capital and a shift in the livelihood strategy of poor households from traditional farming to off-farm employment. These changes have resulted in positive livelihood outcomes.
However, the study also revealed that the health and education levels of the labor force in poor families were not significantly improved by the TPA policies in the short term. Given that human capital plays a crucial role in enabling poor households to effectively utilize other forms of capital, it is important for subsequent policies to prioritize initiatives aimed at improving the human capital of poor households.
Furthermore, while promoting off-farm employment is a better livelihood strategy, it should be noted that a significant portion of the rural labor force remains informally employed. The outbreak of the COVID-19 pandemic has had a severe impact on small and medium-sized enterprises, leading to numerous closures that pose significant challenges in stabilizing employment for the poor during the pandemic.
4.4. Robustness Test
This section assesses the robustness of the study’s findings by examining alternative specifications and explanations. To accomplish this, we present the outcome variables for various bandwidths, including 0.75 CCT, 1.25 CCT, 1.5 CCT, and 2 CCT, in Table 9. Our results show consistency with those obtained in the main specification, providing evidence in support of the robustness of the model’s findings.
Table 9.
Inspection of Cutoffs at Different Window Widths.
Finally, we conducted a placebo exercise by setting virtual cutoffs. Specifically, we divided the official standard yuan into CNY 1000 and CNY 2000 to evaluate the “placebo” effect of the TPA policies. If households above the TPA policies’ thresholds were experiencing sustainable livelihood changes, we would expect to observe similar reduced-form effects in these placebo households. Table 10 presents the results of our robustness test, which indicate that the targeted poverty reduction policy under the “placebo” poverty reduction standard does not affect the sustainable livelihood variables. This outcome aligns with our anticipated results and further strengthens the robustness of the FRD estimation findings.
Table 10.
Placebo Test.
5. Heterogeneity Analysis
5.1. Classification of Rural Poverty Types
The present study builds on prior research examining the average impact of the TPA policies on the sustainable livelihoods of poor households; however, given the complexity of rural poverty in China, it is possible that the policy effects may differ across the various subgroups of the poor.
In rural China, the reduction in poverty has been a significant accomplishment since the introduction of the reform and opening-up policy; however, poverty remains a persistent challenge, especially in the absence of farmers’ active participation in the market. Farmers’ abilities and willingness to participate in the market are essential determinants of their living conditions, and thus, the success of the development-oriented poverty alleviation policy in China hinges on their engagement.
To account for potential heterogeneity in the policy effects, we categorized the poor households into three subgroups based on their market participation: motivation shortage, capacity shortage, and labor shortage. While the development-oriented poverty alleviation policy in China emphasizes the importance of encouraging and supporting poor households to participate in the market and work their way out of poverty, it is crucial to consider the policy effects on households that face barriers to market participation due to a lack of ability or motivation.
Therefore, to examine the heterogeneity of the policy effects from the perspective of market participation, we present the three categories of rural poverty based on farmers’ abilities and willingness to participate in the market in Table 11. This classification allows for a more nuanced analysis of the policy effects on the different subgroups of poor households. By taking a granular approach to examine the impact of the TPA policies on sustainable livelihoods in rural China, we can gain a comprehensive understanding of the policies’ effectiveness and identify areas for improvement.
Table 11.
Classification of Poverty Types and Measurement Indicators.
5.2. Differences in Policy Effects on Different Poor Groups
Table 12 provides a comprehensive analysis of the heterogeneous effects of the TPA policies on the change of livelihoods of poor households, specifically examining their impact on the change of livelihood capital, livelihood strategies, and livelihood outcomes. The results demonstrate the complex nature of these policies and the significant variation in their effects on low-income households, highlighting the need for targeted interventions that take into account the unique circumstances and challenges faced by different groups of people.
Table 12.
Grouping Heterogeneity Analysis.
The group of labor shortage, with the lowest endowment, contains the poorest households in rural China. For this group, the TPA policies’ assistance measures mainly included increasing the proportion of medical insurance reimbursement, and providing for subsistence allowances. Columns (1) and (2) present the policy heterogeneity of households with a labor shortage and households without a labor shortage. Clearly, the total amount of the livelihood capital was significantly positive in the group without power. This suggests that the TPA policies have greatly improved the livelihood capital. The growth rate of the financial capital and the proportion of government transfer income were significantly positive in the sub-sample of labor shortage. This indicates that the groups lacking a labor force have an increased proportion of medical insurance reimbursement and that the government has guaranteed their freedom from poverty, thereby reflecting the accuracy of the expenditure reduction and transfer payment.
Columns (3) and (4) in Table 12 present the heterogeneous effects of the TPA policies on poor households with a capacity shortage and those with a high capacity, respectively. Our analysis shows that in the sub-sample of households with capacity shortage, the growth rates of the wage income, livelihood capital, and livelihood outcomes were not statistically significant. In contrast, the households without a capacity shortage experienced significantly positive policy effects on wage income growth, livelihood capital, and livelihood outcomes. These findings highlight the importance of targeting policy interventions to those households with specific needs and capacities. For instance, the TPA policy focused on supporting children from poor families with a limited capacity through student subsidies, skills training, and infrastructure improvement; however, our results indicate that those policies have not had an immediate short-term impact on households with a limited capacity.
Columns (5) and (6) in Table 12 present the heterogeneous effects of the TPA policies on poor households with little motivation and those with high motivation, respectively. Our results indicate an insignificant effect of the TPA policies on the change of livelihood capital, livelihood strategy, and livelihood outcome for households with little motivation; however, households with high motivation experienced significant improvements in these areas due to the TPA policies. The supporting measures of the TPA policies for poor families lacking motivation mainly included night schools and skills training for farmers. These findings suggest that the TPA policies have not completely stimulated the endogenous motivation of poor families to participate in the market. Further research is needed to identify the factors underlying the lack of motivation and to develop more effective policy interventions to address this issue.
In summary, our study provides important insights into the heterogeneous effects of TPA policies on poor households in rural China. The aforementioned results indicate that poor groups with a strong self-development capacity and market participation motivation have the advantage of factor endowment. Through the TPA policies, the speed of livelihood capital accumulation has significantly improved, the livelihood strategy has been optimized, and a livelihood result, that reflects that it is not easy to return to poverty and to escape from vulnerability without relying on government transfer payments, has been formed. Poor families lack the labor force, have poor endowments, and cannot rely on their ability to escape poverty. The TPA policies enable such groups to escape from poverty through providing comprehensive security and increasing the reimbursement rate of medical insurance. For the groups with a weak development ability and an insufficient market participation motivation, the TPA policy has not completely removed the “poor root” of such groups. In addition, the TPA policies have not been able to improve the quality of nonagricultural employment for poor families with a sufficient labor force, a relatively high market participation ability, and sufficient development motivation.
6. Discussion and Conclusions
In recent years, significant efforts have been made to investigate the effectiveness of targeted poverty alleviation (TPA) policies; however, there has been a limited amount of research exploring the impact of TPA policies on poor households’ sustainable livelihoods. To address this gap in the literature, this study draws on the theoretical framework of sustainable livelihoods and uses data from the China Household Finance Survey (CHFS) from 2017 and 2019. The study employs the FRD method to deeply investigate the implementation effect of the TPA policies.
The findings of the study indicate that the TPA policies have significantly improved poor households’ sustainable livelihood capitals. In particular, there has been a significant increase in the accumulation rate of livelihood capital, with the highest improvement observed in social capital, followed by financial capital and material capital. These results are consistent with previous experimental findings, such as those by Chao Yu (2022) [32].
Furthermore, the study highlights that the TPA policies have significantly increased the proportion of wage income of poor households and have optimized their livelihood strategies; however, the study also identifies the low stock of human capital in poor households as a weakness of the TPA policies. In addition, the study emphasizes that poor families who lack the impetus for development and the ability to participate in the market require continued assistance.
The study found that while it did not directly examine the impact of COVID-19 on poor households’ sustainable livelihoods, it could still provide policy recommendations for preventing a mass return to poverty during the pandemic. The findings indicated that targeted poverty alleviation (TPA) policies have significantly improved poor households’ sustainable livelihood capitals, which suggests that these policies have the potential to help address the current crisis.
However, the study also revealed that migrant work is the primary livelihood strategy among the poor, and the COVID-19 pandemic has disrupted economic activities, and labor markets, resulting in job losses [53]. These impacts have been particularly severe in high-poverty countries [54], where the majority of the population relies on informal employment and lack social safety nets [55]. As a result, stabilizing their employment faces significant challenges amid the COVID-19 pandemic.
To address these challenges, the study recommends strengthening the skills training of the labor force of poor families and helping them improve their employment quality as a follow-up force of the policy. Moreover, the study suggests that the follow-up policy should include these two groups in the main monitoring scope to prevent them from returning to poverty.
This analysis has some limitations, which should be addressed in future research. Due to data limitations, we could only analyze the short-term effects of the TPA policies. The concept of change of the poor and the accumulation of human capital is a long-term process. The long-term effects of the TPA policies after 2020 should be further investigated.
Author Contributions
Conceptualization, X.L. and H.W.; methodology, X.L.; software, X.L.; validation, X.L., H.W. and Y.L.; formal analysis, X.L.; investigation, H.W.; resources, H.W.; data curation, H.W.; writing—original draft preparation, X.L.; writing—review and editing, H.W. and Y.L.; visualization, X.L.; supervision, H.W.; project administration, H.W.; funding acquisition, H.W. All authors have read and agreed to the published version of the manuscript.
Funding
This research is funded by the disciplinary funding of Central University of Finance and Economics; funded by the Program for Innovation Research in Central University of Finance and Economics.
Institutional Review Board Statement
Not applicable.
Informed Consent Statement
Not applicable.
Data Availability Statement
The data used in this study is from the China Household Financial Survey Project (CHFS) organized and managed by China Household Financial Survey and Research Center, Southwestern University of Finance and Economics. https://chfs.swufe.edu.cn, accessed on 26 August 2021.
Conflicts of Interest
The authors declare no conflict of interest.
References
- Department of Public Information, United Nations. The Millennium Development Goals Report 2005; United Nations Publications: New York, NY, USA, 2005. [Google Scholar]
- Brodeur, A.; Gray, D.; Islam, A.; Bhuiyan, S. A literature review of the economics of COVID-19. J. Econ. Surv. 2021, 35, 1007–1044. [Google Scholar] [CrossRef] [PubMed]
- World Bank. Global Economic Prospects; World Bank: Washington, DC, USA, 2020. [Google Scholar]
- OECD. OECD Economic Outlook, Volume 2020 Issue 1: Preliminary Version; OECD iLibrary: Paris, France, 2020. [Google Scholar]
- Alkire, S.; Jahan, S. The COVID-19 Pandemic and Global Multidimensional Poverty; OPHI Briefing 55; Oxford Poverty and Human Development Initiative: Oxford, UK, 2020. [Google Scholar]
- Chen, Z.; Zhang, Q. Impact of COVID-19 on poverty: A study on ten African countries. J. Public Health Afr. 2020, 11, 1257–1265. [Google Scholar]
- Ferreira, F.H.; Schady, N. Poverty in Latin America during the pandemic. Covid Econ. 2020, 23, 20–37. [Google Scholar]
- The World Bank. Poverty and Shared Prosperity 2020: Reversals of Fortune; The World Bank Publications: Washington, DC, USA, 2021. [Google Scholar]
- Liu, M.; Feng, X.; Wang, S.; Qiu, H. China’s poverty alleviation over the last 40 years: Successes and challenges. Aust. J. Agric. Resour. Econ. 2020, 64, 209–228. [Google Scholar] [CrossRef]
- Liu, Y.S.; Cao, Z. Supply-side Structural Reform and Its Strategy for Targeted Poverty Alleviation in China. Bull. Chin. Acad. Sci. 2017, 32, 1066–1073. [Google Scholar]
- Lan, X.; Zhang, Q.; Xue, H.; Liang, H.; Wang, B.; Wang, W. Linking sustainable livelihoods with sustainable grassland use and conservation: A case study from rural households in a semi-arid grassland area, China. Land Use Policy 2021, 101, 105186. [Google Scholar] [CrossRef]
- Bebbington, A. Capitals and capabilities: A framework for analyzing peasant viability, rural livelihoods and poverty. World Dev. 1999, 27, 2021–2044. [Google Scholar] [CrossRef]
- Department for International Development. Sustainable Livelihoods Guidance Sheets; Department for International Development: London, UK, 1999; Volume 445.
- Zinda, J.A.; Zhang, Z. Explaining heterogeneous afforestation outcomes: How community officials and households mediate tree cover change in China. World Dev. 2019, 122, 385–398. [Google Scholar] [CrossRef]
- Cheo, R.; Han, T.; Huang, K.; Li, J. Prosocial village leaders and the resettlement outcomes of land-lost farmers: Evidence from Qingdao, China. Appl. Econ. 2022, 54, 3353–3372. [Google Scholar] [CrossRef]
- Li, Y.; Su, B.; Liu, Y. Realizing targeted poverty alleviation in China: People’s voices, implementation challenges and policy implications. China Agric. Econ. Rev. 2016, 8, 443–454. [Google Scholar] [CrossRef]
- Meng, L. Evaluating China’s poverty alleviation program: A regression discontinuity approach. J. Public Econ. 2013, 101, 1–11. [Google Scholar] [CrossRef]
- Guo, Y.; Zhou, Y.; Liu, Y. Targeted poverty alleviation and its practices in rural China: A case study of Fuping county, Hebei Province. J. Rural Stud. 2019, 93, 430–440. [Google Scholar] [CrossRef]
- Spadaro, A.; Mangiavacchi, L.; Moral-Arce, I.; Adiego-Estella, M.; Blanco-Moreno, A. Evaluating the Redistributive Impact of Public Health Expenditure Using an Insurance Value Approach. Eur. J. Health Econ. 2013, 14, 775–787. [Google Scholar] [CrossRef] [PubMed]
- Park, A.; Wang, S.G. Community-based Development and Poverty Alleviation: An Evaluation of China’s Poor Village Investment Program. J. Public Econ. 2010, 94, 790–799. [Google Scholar] [CrossRef]
- Li, X.; Li, L. Evaluation of China’s targeted poverty alleviation policies: A decomposition analysis based on the poverty reduction effects. Sustainability 2021, 13, 11691. [Google Scholar] [CrossRef]
- Chang, Q.; Ma, W.; Vatsa, P.; Li, J. Has the Targeted Poverty Alleviation program improved household welfare in rural China? J. Policy Model. 2022, 44, 1041–1056. [Google Scholar] [CrossRef]
- Liu, M.; Feng, X.; Zhao, Y.; Qiu, H. Impact of poverty alleviation through relocation: From the perspectives of income and multidimensional poverty. J. Rural Stud. 2023, 99, 35–44. [Google Scholar] [CrossRef]
- Tang, J.; Gong, J.; Ma, W. Narrowing urban–rural income gap in China: The role of the targeted poverty alleviation program. Econ. Anal. Policy 2022, 75, 74–90. [Google Scholar] [CrossRef]
- Yang, R.; Zhong, C.; Yang, Z.; Wu, Q. Analysis on the effect of the targeted poverty alleviation policy on narrowing the urban-rural income gap: An empirical test based on 124 counties in Yunnan province. Sustainability 2022, 14, 12560. [Google Scholar] [CrossRef]
- Wang, M.; Yang, Y.; Zhang, B.; Liu, M.; Liu, Q. How does targeted poverty alleviation policy influence residents’ perceptions of rural living conditions? A study of 16 villages in Gansu Province, Northwest China. Sustainability 2019, 11, 6944. [Google Scholar] [CrossRef]
- Nong, H.; Zhang, Q.; Zhu, H.; Zhu, R. Targeted poverty alleviation and children’s academic performance in China. Rev. Income Wealth 2022, 68, 951–969. [Google Scholar] [CrossRef]
- Chambers, R.; Conway, G. Sustainable Rural Livelihoods: Practical Concepts for the 21st Century; Institute of Development Studies: Sussex, UK, 1992. [Google Scholar]
- Gyawali, S.; Tiwari, S.R.; Bajracharya, S.B.; Skotte, H.N. Promoting sustainable livelihoods: An approach to postdisaster reconstruction. Sustain. Dev. 2020, 28, 626–633. [Google Scholar] [CrossRef]
- Yang, Y.; de Sherbinin, A.; Liu, Y. China’s poverty alleviation resettlement: Progress, problems and solutions. Habitat Int. 2020, 98, 102135. [Google Scholar] [CrossRef]
- Guo, Y.; Wang, J. Poverty alleviation through labor transfer in rural China: Evidence from Hualong County. Habitat Int. 2021, 116, 102402. [Google Scholar] [CrossRef]
- Yu, C.; Gao, J.; Han, Y.; Wang, Y.; Sun, J. Eliminating deprivation and breaking through dependence: A mechanism to help poor households achieve sustainable livelihoods by targeted poverty alleviation strategy. Growth Change 2022, 53, 1436–1456. [Google Scholar] [CrossRef]
- Aggarwal, S. Do rural roads create pathways out of poverty? Evidence from India. J. Dev. Econ. 2018, 133, 375–395. [Google Scholar] [CrossRef]
- Akbar, M.; Naveed, A.; Syed, S.H. Does an Improvement in Rural Infrastructure Contribute to Alleviate Poverty in Pakistan? A Spatial Econometric Analysis. Soc. Ind. Res. 2022, 162, 475–499. [Google Scholar] [CrossRef]
- Khan, S.U.; Javed, S.; Nazir, R. Role of infrastructure development in poverty reduction: Evidence from Pakistan. J. Asian Afr. Stud. 2021, 56, 425–441. [Google Scholar]
- Rabren, K.; Carpenter, J.; Dunn, C.; Carney, J.S. Actions against poverty: The impact of career technical education. Career Dev. Transit. Except. Individ. 2014, 37, 29–39. [Google Scholar] [CrossRef]
- Sabri, M.F.B.; Yusof, N.M.; Hanafi, Z. Technical and vocational education and training (TVET) and poverty reduction in Malaysia. J. Asian Afr. Stud. 2021, 56, 368–382. [Google Scholar]
- Bukari, C.; Peprah, J.A.; Ayifah, R.N.Y.; Annim, S.K. Effects of credit ‘plus’ on poverty reduction in Ghana. J. Dev. Stud. 2021, 57, 343–360. [Google Scholar] [CrossRef]
- Cheng, X.Y.; Wang, J.Y. Elite capture, the “follow-up checks” policy, and the targeted poverty alleviation program: Evidence from rural western China. J. Integr. Agric. 2021, 20, 880–890. [Google Scholar] [CrossRef]
- Andersen, J.J.; Johannesen, N.; Rijkers, B. Elite capture of foreign aid: Evidence from offshore bank accounts. J. Political Econ. 2022, 130, 388–425. [Google Scholar] [CrossRef]
- Panda, S. Political connections and elite capture in a poverty alleviation programme in India. J. Dev. Stud. 2015, 51, 50–65. [Google Scholar] [CrossRef]
- Gan, L.; Yin, Z.; Jia, N.; Xu, S.; Ma, S.; Zheng, L. Data You Need to Know about China; Springer: Berlin/Heidelberg, Germany, 2014. [Google Scholar]
- Ravallion, M. Evaluating anti-poverty programs. In Handbook of Development Economics; Schultz, T.P., Strauss, J.A., Eds.; Elsevier: Amsterdam, The Netherlands, 2008; pp. 3049–4036. [Google Scholar]
- Lee, D.S.; Lemieux, T. Regression discontinuity designs in economics. J. Econ. Lit. 2010, 48, 281–355. [Google Scholar] [CrossRef]
- Imbens, G.W.; Lemieux, T. Regression discontinuity designs: A guide to practice. J. Econom. 2008, 142, 615–635. [Google Scholar] [CrossRef]
- Gelman, A.; Imbens, G. Why high-order polynomials should not be used in regression discontinuity designs. J. Bus. Econ. Stat. 2019, 37, 447–456. [Google Scholar] [CrossRef]
- Asher, S.; Novosad, P. Rural roads and local economic development. Am. Econ. Rev. 2020, 110, 797–823. [Google Scholar] [CrossRef]
- Calonico, S.; Cattaneo, M.D.; Farrell, M.H.; Titiunik, R. Regression discontinuity designs using covariates. Rev. Econ. Stat. 2019, 101, 442–451. [Google Scholar] [CrossRef]
- McCrary, J. Manipulation of the running Variable in the Regression Discontinuity Design: A Density Test. J. Econom. 2008, 42, 698–714. [Google Scholar] [CrossRef]
- Chen, S.; Ravallion, M. More relatively-poor people in a less absolutely-poor world. Rev. Income Wealth 2013, 59, 1–28. [Google Scholar] [CrossRef]
- World Bank. The Role of Non-Farm Household Enterprises in Poverty Reduction; World Bank: Washington, DC, USA, 2018. [Google Scholar]
- Beegle, K.; De Weerdt, J.; Dercon, S. Migration and economic mobility in Tanzania: Evidence from a tracking survey. Rev. Econ. Stat. 2011, 93, 1010–1033. [Google Scholar] [CrossRef]
- Beccaria, L.; Bertranou, F.; Maurizio, R. COVID-19 in Latin America: The effects of an unprecedented crisis on employment and income. Int. Labour Rev. 2022, 161, 83–105. [Google Scholar] [CrossRef] [PubMed]
- Bezu, S.; Barrett, C. Employment dynamics in the rural nonfarm sector in Ethiopia: Do the poor have time on their side? J. Dev. Stud. 2012, 48, 1223–1240. [Google Scholar] [CrossRef]
- Alon, T.; Kim, M.; Lagakos, D.; VanVuren, M. How Should Policy Responses to the COVID-19 Pandemic Differ in the Developing World? No. w27273; National Bureau of Economic Research: Cambridge, MA, USA, 2020. [Google Scholar]
Disclaimer/Publisher’s Note: The statements, opinions and data contained in all publications are solely those of the individual author(s) and contributor(s) and not of MDPI and/or the editor(s). MDPI and/or the editor(s) disclaim responsibility for any injury to people or property resulting from any ideas, methods, instructions or products referred to in the content. |
© 2023 by the authors. Licensee MDPI, Basel, Switzerland. This article is an open access article distributed under the terms and conditions of the Creative Commons Attribution (CC BY) license (https://creativecommons.org/licenses/by/4.0/).



