Partial Replacement of Cationic Starch by Cationic Hardwood Kraft Lignin Does Not Compromise Key Paper Properties
Abstract
1. Introduction
2. Materials and Methods
2.1. Materials
2.2. Preparation and Characterization of Cationic Lignins
2.3. Preparation and Characterization of Handsheets
2.4. Mechanical Properties
2.5. Structural Properties
2.6. Optical Properties
2.7. Light Transmittance
3. Results and Discussion
3.1. Preparation and Characterization of Cationic Lignins
3.2. Preparation of Handsheets under Replacement of Cationic Starch by Cationic Lignins
3.2.1. Mechanical Properties
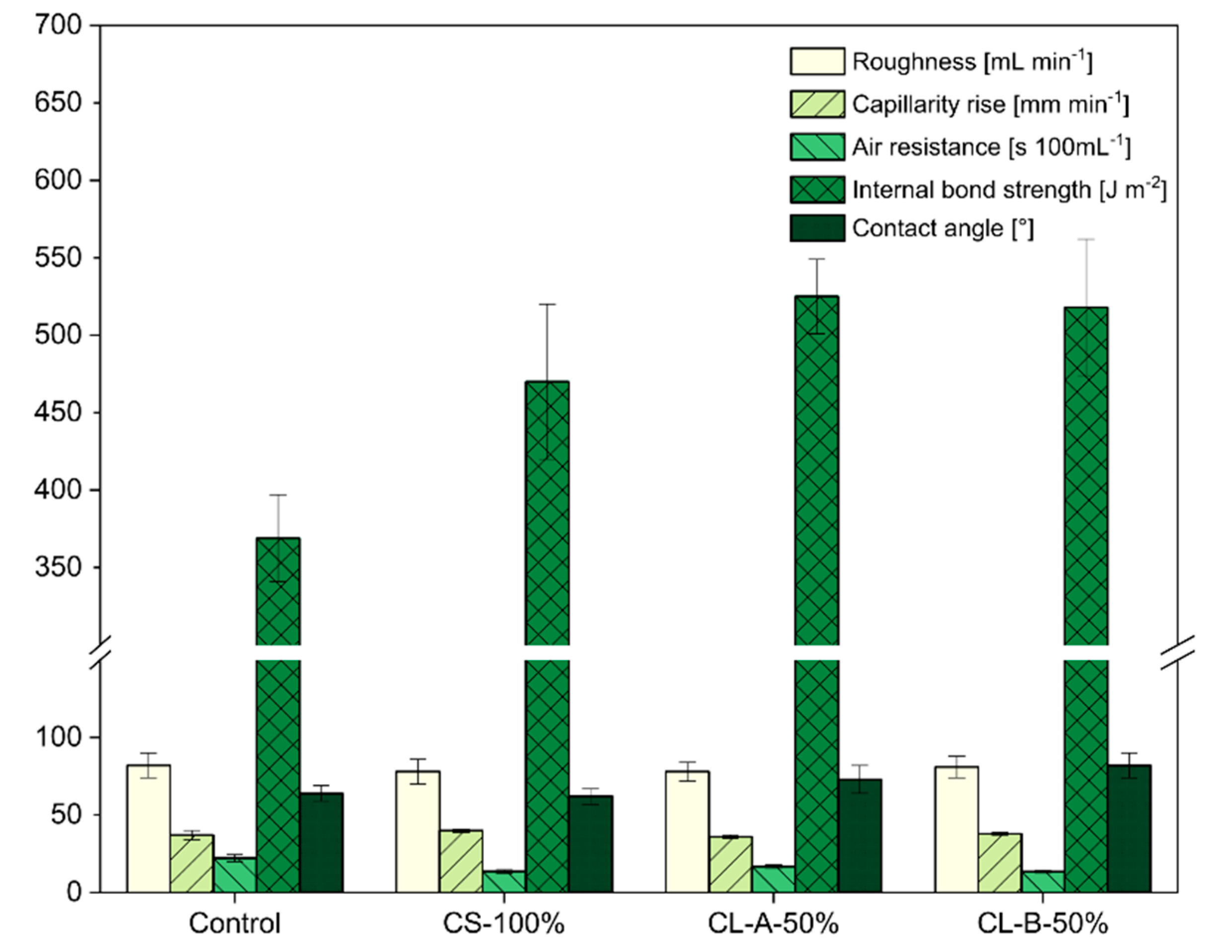
3.2.2. Structural Properties
3.2.3. Optical Properties
4. Conclusions
5. Patents
Author Contributions
Funding
Institutional Review Board Statement
Informed Consent Statement
Data Availability Statement
Conflicts of Interest
References
- Schwartz, D.; Whistler, R.L. History and future of starch. In Starch: Chemistry and Technology, 3rd ed.; BeMiller, J., Whistler, R., Eds.; Elsevier Inc.: San Diego, CA, USA, 2009; pp. 1–10. [Google Scholar] [CrossRef]
- Zhao, C.K.; Zhang, H.J.; Zeng, X.; Li, H.L.; Sun, D.Y. Enhancing the inter-fiber bonding properties of cellulosic fibers by increasing different fiber charges. Cellulose 2016, 23, 1617–1628. [Google Scholar] [CrossRef]
- Hamzeh, Y.; Sabbaghi, S.; Ashori, A.; Abdulkhani, A.; Soltani, F. Improving wet and dry strength properties of recycled old corrugated carton (OCC) pulp using various polymers. Carbohydr. Polym. 2013, 94, 577–583. [Google Scholar] [CrossRef]
- Gulsoy, S.K. Effects of cationic starch addition and pulp beating on strength properties of softwood kraft pulp. Starch 2014, 66, 655–659. [Google Scholar] [CrossRef]
- Hubbe, M.A. Bonding between cellulosic fibers in the absence and presence of dry-strength agents-A review. Bioresources 2006, 1, 281–318. [Google Scholar] [CrossRef]
- Hubbe, M.A. Paper’s resistance to wetting-A review of internal sizing chemicals and their effects. Bioresources 2006, 2, 106–145. [Google Scholar] [CrossRef]
- Nachtergaele, W. The benefits of cationic starches for the paper industry. Starch 1989, 41, 27–31. [Google Scholar] [CrossRef]
- Ghasemian, A.; Ghaffari, M.; Ashori, A. Strength-enhancing effect of cationic starch on mixed recycled and virgin pulps. Carbohydr. Polym. 2012, 87, 1269–1274. [Google Scholar] [CrossRef]
- Pinto, P.I.F.; Magina, S.; Budjav, E.; Pinto, P.C.R.; Liebner, F.; Evtuguin, D. Cationization of eucalyptus kraft LignoBoost lignin: Preparation, properties, and potential applications. Ind. Eng. Chem. Res. 2022, 61, 3503–3515. [Google Scholar] [CrossRef] [PubMed]
- Ortner, A.; Hofer, K.; Bauer, W.; Nyanhongo, G.S.; Guebitz, G.M. Laccase modified lignosulfonates as novel binder in pigment based paper coating formulations. React. Funct. Polym. 2018, 123, 20–25. [Google Scholar] [CrossRef]
- Biswas, S.; Huang, X.; Badger, W.R.; Nantz, M.H. Nucleophilic cationization reagents. Tetrahedron Lett. 2010, 51, 1727–1729. [Google Scholar] [CrossRef]
- Prado, H.J.; Matulewicz, M.C. Cationization of polysaccharides: A path to greener derivatives with many industrial applications. Eur. Polym. J. 2014, 52, 53–75. [Google Scholar] [CrossRef]
- Yang, J.; Zhang, Y.; Jian, X. Process for Synthesizing 3-Chloro-2-Hydroxypropyl-Trimethyl Ammonium Chloride. CN1187484A, 7 January 1997. [Google Scholar]
- Stober, R.; Fischer, W.; Huss, M.; Pieter, R. Verfahren zur Trockenkationisierung von Stärke II. DE3726427A1, 16 February 1989. [Google Scholar]
- Agrawal, R.; Kumar, A.; Singh, S.; Sharma, K. Recent advances and future perspectives of lignin biopolymers. J. Polym. Res. 2022, 29, 222–246. [Google Scholar] [CrossRef]
- Pinto, P.I.F.; Magina, S.; Fateixa, S.; Pinto, P.C.R.; Liebner, F.; Evtuguin, D.V. Modification of paper surface by all-lignin coating formulations. Materials 2022, 15, 7869. [Google Scholar] [CrossRef]
- Pinto, P.I.F.; Pinto, P.C.R.; Liebner, F.; Evtuguin, D. Cationization of Eucalyptus Kraft Lignin. EP22020453, 22 September 2022. [Google Scholar]
- Pinto, P.I.F.; Pinto, P.C.R.; Liebner, F.; Evtuguin, D. Processo Químico de Introdução de Grupos Carregados Positivamente em Lenhinas Kraft Para Produção de Lenhinas Solúveis em Água, em Toda a Escala de pH, Lenhinas Kraft Obtidas e Seus Usos. PT117481, 24 September 2021. [Google Scholar]
- Kavaliauskaite, R.; Klimaviciute, R.; Zemaitaitis, A. Factors influencing production of cationic starches. Carbohydr. Polym. 2008, 73, 665–675. [Google Scholar] [CrossRef] [PubMed]
- Vieira, F.R.; Barros-Timmons, A.; Evtuguin, D.V.; Pinto, P.C.R. Effect of different catalysts on the oxyalkylation of eucalyptus Lignoboost® kraft lignin. Holzforschung 2020, 74, 567–576. [Google Scholar] [CrossRef]
- ISO 5269-1; Pulps-Preparation of Laboratory Sheets for Physical Testing-Part 1: Conventional Sheet-Former Method. International Organization for Standardization: London, UK, 2005.
- TAPPI T 402; Standard Conditioning and Testing Atmospheres for Paper, Board, Pulp Handsheets, and Related Products. Technical Association of the Pulp and Paper Industry: Atlanta, GA, USA, 1998.
- ISO 536; Paper and Board-Determination of Grammage. International Organization for Standardization: London, UK, 2019.
- ISO 534; Paper and Board-Determination of Thickness, Density and Specific Volume. International Organization for Standardization: London, UK, 2011.
- ISO 1924-2; Paper and Board-Determination of Tensile Properties-Part 2: Constant Rate of Elongation Method (20 mm/min). International Organization for Standardization: London, UK, 2008.
- ISO 2758; Paper-Determination of Bursting Strength. International Organization for Standardization: London, UK, 2014.
- TAPPI T 403; Bursting Strength of Paper. Technical Association of the Pulp and Paper Industry: Atlanta, GA, USA, 2015.
- TAPPI T 414; Internal Tearing Resistance of Paper (Elmendorf-Type Method). Technical Association of the Pulp and Paper Industry: Atlanta, GA, USA, 1998.
- ISO 1974; Paper-Determination of Tearing Resistance—Elmendorf Method. International Organization for Standardization: London, UK, 2012.
- ISO 5636-5; Paper and Board-Determination of Air Permeance (Medium Range)-Part 5: Gurley Method. International Organization for Standardization: London, UK, 2013.
- ISO 8791-2; Paper and Board-Determination of Roughness/Smoothness (Air Leak Methods)-Part 2: Bendtsen Method. International Organization for Standardization: London, UK, 2013.
- ISO 8787; Paper and Board—Determination of Capillary Rise-Klemm Method. International Organization for Standardization: London, UK, 1986.
- Qi, H.; Chang, C.; Zhang, L. Properties and applications of biodegradable transparent and photoluminescent cellulose films prepared via a green process. Green Chem. 2009, 11, 177–184. [Google Scholar] [CrossRef]
- ISO 2471; Paper and Board—Determination of Opacity (Paper Backing)—Diffuse Reflectance Method. International Organization for Standardization: London, UK, 2008.
- ISO 2470-1; Paper, Board and Pulps—Measurement of Diffuse Blue Reflectance Factor—Part 1: Indoor Daylight Conditions (ISO Brightness). International Organization for Standardization: London, UK, 2016.
- ISO 2470-2; Paper, Board and Pulps—Measurement of Diffuse Blue Reflectance Factor—Part 2: Outdoor Daylight Conditions (D65 Brightness). International Organization for Standardization: London, UK, 2008.
- ISO/CIE 11664; Colorimetry Annals of the New York Academy of Sciences—Part 4: CIE 1976 L*a*b* Colour Space. International Organization for Standardization: London, UK, 2019.
- TAPPI T 494; Tensile Properties of Paper and Paperboard (Using Constant Rate of Elongation Apparatus). Technical Association of the Pulp and Paper Industry: Atlanta, GA, USA, 2006.
- Zhang, S.-Y.; Fei, B.-H.; Yu, Y.; Cheng, H.-T.; Wang, C.-G. Effect of the amount of lignin on tensile properties of single wood fibers. For. Sci. 2013, 15, 56–60. [Google Scholar] [CrossRef]
- Caulfield, D.F.; Gunderson, D.E. Paper testing and strength characteristics. In TAPPI, Proceedings of the 1988 Paper Preservation Symposium, Washington, DC, USA, 19–21 October 1988; TAPPI Press: Atlanta, GA, USA, 1988; pp. 31–40. [Google Scholar]
- Ulbrich, M.; Radosta, S.; Kiessler, B.; Vorwerg, W. Interaction of cationic starch derivatives and cellulose fibres in the wet end and its correlation to paper strength with a statistical evaluation. Starch 2012, 64, 972–983. [Google Scholar] [CrossRef]
- Ashori, A. Pulp and paper from kenaf bast fibers. Fiber. Polym. 2006, 7, 26–29. [Google Scholar] [CrossRef]
- Ashori, A.; Cordeiro, N.; Faria, M.; Hamzeh, Y. Effect of chitosan and cationic starch on the surface chemistry properties of bagasse paper. Int. J. Biol. Macromol. 2013, 58, 343–348. [Google Scholar] [CrossRef]
- Hedborg, F.; Lindstrom, T. Adsorption of cationic starch on bleached softwood cellulosic fibres. Nord. Pulp Pap. Res. J. 1993, 8, 258–263. [Google Scholar] [CrossRef]
- Zhang, J.; Pelton, R. The effect of charge density and hydrophobic modification on dextran-based paper strength enhancing polymers. Nord. Pulp Pap. Res. J. 2000, 15, 440–445. [Google Scholar] [CrossRef]
- Pillai, K.V.; Renneckar, S. Cation−π interactions as a mechanism in technical lignin adsorption to cationic surfaces. Biomacromolecules 2009, 10, 798–804. [Google Scholar] [CrossRef] [PubMed]
- Deng, Y.; Feng, X.; Zhou, M.; Qian, Y.; Yu, H.; Qiu, X. Investigation of aggregation and assembly of alkali lignin using iodine as a probe. Biomacromolecules 2011, 12, 1116–1125. [Google Scholar] [CrossRef]
- Radotić, K.; Micić, M.; Jeremić, M. New insights into the structural organization of the plant polymer lignin. Ann. N. Y. Acad. Sci. 2005, 1048, 215–229. [Google Scholar] [CrossRef] [PubMed]
- Pino, A.; Pladellorens, J. Measure of roughness of paper using speckle. Proc. SPIE Int. Soc. Opt. Eng. 2009, 7432, 1–9. [Google Scholar] [CrossRef]
- Mayr, M.; Odabas, N.; Eckhart, R.; Henniges, U.; Bauer, W. Cationization of lignocellulose as a means to enhance paper strength properties. Bioresources 2017, 12, 9338–9347. [Google Scholar] [CrossRef]
- Montplaisir, D.; Daneault, C.; Chabot, B. Cationisation of thermomechanical pulp fibres. Part 2: Influence on strength and retention. Pulp Pap. Can. 2005, 107, 165–169. [Google Scholar]
- Vikele, L.; Treimanis, A.; Laka, M. Baltic Polymer Symposium; Trans Tech Publications Ltd.: Zurich, Switzerland, 2013; pp. 111–114. [Google Scholar]
- Falkehag, S.I.; Marton, J.; Adler, E. Chromophores in kraft lignin. In Lignin Structure and Reactions; Advances in Chemistry; Gould, R.F., Ed.; American Chemical Society: Washington, DC, USA, 1966; Volume 59, pp. 75–89. [Google Scholar] [CrossRef]
- Irmsgard, F.; Falkehag, S.I.; Kringstad, K.P. On possible chromophoric structures in spruce wood. Tappi 1971, 54, 1680–1684. [Google Scholar]
- Musso, H.; Döpp, H. Autoxydationsgeschwindigkeit und Redoxpotential bei Hydrochinon-, Brenzcatechin- und Resorcinderivaten. Chem. Ber. 1967, 100, 3627–3643. [Google Scholar] [CrossRef]
- Ajao, O.; Jeaidi, J.; Benali, M.; Restrepo, A.M.; El Mehdi, N.; Boumghar, Y. Quantification and variability analysis of lignin optical properties for colour-dependent industrial applications. Molecules 2018, 23, 377. [Google Scholar] [CrossRef] [PubMed]
- Falkehag, S.I. Modified Lignin Surfactants. U.S.3865803A, 27 September 1973. [Google Scholar]
- Kumpf, R.A.; Dougherty, D.A. A mechanism for ion selectivity in potassium channels: Computational studies of cation-π interactions. Science 1993, 261, 1708–1710. [Google Scholar] [CrossRef] [PubMed]






| Formulation Code | Formulation Composition [kg ton−1] | ||
|---|---|---|---|
| Cationic Starch | Type of Cationic Lignin | ||
| CL-A | CL-B | ||
| CS-100% | 10 | - | - |
| CL-A-10% | 9 | 1 | - |
| CL-A-30% | 7 | 3 | - |
| CL-A-50% | 5 | 5 | - |
| CL-A-100% | - | 10 | - |
| CL-B-10% | 9 | - | 1 |
| CL-B-30% | 7 | - | 3 |
| CL-B-50% | 5 | - | 5 |
| CL-B-100% | - | - | 10 |
| Cationic Lignin | CHPTAC-To-Kraft Lignin Molar Ratio | Nitrogen Content | Degree of Substitution | Charge Concentration | Zeta Potential |
|---|---|---|---|---|---|
| [wt.%] | [mol mol−1] | [µeq L−1] | [mV] | ||
| CL-A | 0.6 | 3.2 | 0.7 | 202 ± 2 | +12.9 ± 0.5 |
| CL-B | 1.3 | 4.2 | 1.2 | 494 ± 5 | +22.4 ± 1.5 |
| Sample Code | Grammage [g m−2] | Thickness [µm] | Density [g cm−3] | Specific Volume [cm3 g−1] |
|---|---|---|---|---|
| Control | 85.9 ± 0.01 | 114 ± 1 | 0.75 | 1.33 |
| CS-100% | 86.1 ± 0.02 | 118 ± 1 | 0.73 | 1.37 |
| CL-A-10% | 85.5 ± 0.02 | 115 ± 1 | 0.74 | 1.34 |
| CL-A-30% | 87.0 ± 0.02 | 121 ± 1 | 0.72 | 1.39 |
| CL-A-50% | 83.4 ± 0.02 | 112 ± 1 | 0.74 | 1.34 |
| CL-A-100% | 87.1 ± 0.03 | 118 ± 1 | 0.74 | 1.35 |
| CL-B-10% | 84.0 ± 0.01 | 113 ± 1 | 0.74 | 1.35 |
| CL-B-30% | 86.3 ± 0.01 | 119 ± 1 | 0.73 | 1.38 |
| CL-B-50% | 86.6 ± 0.03 | 117 ± 1 | 0.74 | 1.35 |
| CL-B-100% | 87.0 ± 0.05 | 115 ± 1 | 0.75 | 1.33 |
| Sample Code | Tensile Index [kN m kg−1] | TEA Index [J g−1] | Tensile Stiffness [kN m−1] | Strain [%] | Burst Index [kPa m2 g−1] | Tear Index [mN m2 g−1] | Breaking Length [km] |
|---|---|---|---|---|---|---|---|
| Control | 77.9 ± 2.3 | 2.2 ± 0.1 | 724 ± 27 | 4.3 ± 0.1 | 5.6 ± 0.4 | 9.6 ± 0.8 | 10.5 ± 0.3 |
| CS-100% | 78.9 ± 2.4 | 2.5 ± 0.1 | 690 ± 19 | 4.7 ± 0.2 | 6.5 ± 0.2 | 9.6 ± 0.5 | 10.7 ± 0.3 |
| CL-A-10% | 79.6 ± 4.7 | 2.5 ± 0.1 | 706 ± 33 | 4.6 ± 0.2 | 6.6 ± 0.2 | 10.1 ± 0.5 | 10.7 ± 0.6 |
| CL-A-30% | 76.6 ± 3.0 | 2.3 ± 0.1 | 712 ± 27 | 4.5 ± 0.2 | 6.1 ± 0.3 | 10.2 ± 0.5 | 10.4 ± 0.4 |
| CL-A-50% | 79.6 ± 3.8 | 2.5 ± 0.1 | 701 ± 26 | 4.5 ± 0.2 | 6.3 ± 0.3 | 9.9 ± 0.4 | 10.4 ± 0.5 |
| CL-A-100% | 73.8 ± 2.6 | 2.0 ± 0.1 | 730 ± 24 | 4.0 ± 0.2 | 5.5 ± 0.3 | 9.7 ± 0.6 | 10.1 ± 0.4 |
| CL-B-10% | 80.6 ± 3.2 | 2.5 ± 0.1 | 698 ± 30 | 4.6 ± 0.2 | 6.4 ± 0.5 | 9.9 ± 0.4 | 10.6 ± 0.4 |
| CL-B-30% | 75.7 ± 4.4 | 2.3 ± 0.1 | 699 ± 22 | 4.6 ± 0.2 | 6.2 ± 0.3 | 10.0 ± 0.5 | 10.2 ± 0.6 |
| CL-B-50% | 73.4 ± 3.5 | 2.2 ± 0.1 | 686 ± 24 | 4.5 ± 0.2 | 6.3 ± 0.2 | 9.5 ± 0.2 | 10.0 ± 0.5 |
| CL-B-100% | 71.5 ± 3.3 | 2.0 ± 0.1 | 735 ± 26 | 4.0 ± 0.2 | 5.4 ± 0.3 | 9.4 ± 0.7 | 9.7 ± 0.4 |
| Sample Code | Roughness (Bendtsen) [mL min−1] | Capillarity Rise (Klemm) [mm 10 min−1] | Air Resistance (Gurley) [s 100 mL−1] | Internal Bond Strength (Scott) [J m−2] | Contact Angle [°] |
|---|---|---|---|---|---|
| Control | 82 ± 8 | 37 ± 3 | 22.2 ± 2.4 | 369 ± 28 | 64 ± 5 |
| CS-100% | 78 ± 8 | 40 ± 1 | 13.6 ± 1.1 | 470 ± 50 | 62 ± 5 |
| CL-A-10% | 85 ± 11 | 41 ± 1 | 15.1 ± 1.6 | 429 ± 18 | 68 ± 9 |
| CL-A-30% | 106 ± 8 | 41 ± 1 | 12.7 ± 1.0 | 393 ± 14 | 74 ± 4 |
| CL-A-50% | 78 ± 6 | 36 ± 1 | 16.7 ± 1.2 | 525 ± 24 | 73 ± 9 |
| CL-A-100% | 72 ± 10 | 35 ± 1 | 22.7 ± 2.3 | 418 ± 23 | 70 ± 7 |
| CL-B-10% | 72 ± 10 | 44 ± 1 | 15.4 ±1.8 | 427 ± 52 | 72 ± 7 |
| CL-B-30% | 91 ± 11 | 40 ± 1 | 15.8 ± 1.3 | 453 ± 41 | 76 ± 8 |
| CL-B-50% | 81 ± 7 | 38 ± 1 | 13.5 ± 0.9 | 518 ± 44 | 82 ± 8 |
| CL-B-100% | 57 ± 7 | 31 ± 2 | 25.6 ± 1.1 | 396 ± 30 | 73 ± 4 |
| Sample Code | Opacity | Brightness | L* | a* | b* | ΔE |
|---|---|---|---|---|---|---|
| [%] | R457 D65 | D65/10 | D65/10 | D65/10 | ||
| Control | 79.0 | 92.3 | 97.1 | 0.3 | 0.3 | - |
| CS-100% | 81.8 | 89.7 | 96.6 | 0.0 | 1.4 | 1.2 |
| CL-A-10% | 85.1 | 82.7 | 94.5 | 0.6 | 2.9 | 3.7 |
| CL-A-30% | 89.2 | 75.7 | 92.3 | 0.9 | 4.8 | 6.6 |
| CL-A-50% | 90.1 | 70.3 | 90.5 | 1.2 | 6.2 | 8.9 |
| CL-A-100% | 93.3 | 59.9 | 86.7 | 1.8 | 9.1 | 13.6 |
| CL-B-10% | 86.0 | 80.1 | 94.0 | 0.6 | 4.2 | 5.0 |
| CL-B-30% | 90.4 | 70.6 | 90.9 | 1.1 | 6.8 | 8.9 |
| CL-B-50% | 92.2 | 64.5 | 88.8 | 1.4 | 8.4 | 11.6 |
| CL-B-100% | 94.9 | 53.3 | 84.4 | 2.2 | 11.7 | 17.1 |
Disclaimer/Publisher’s Note: The statements, opinions and data contained in all publications are solely those of the individual author(s) and contributor(s) and not of MDPI and/or the editor(s). MDPI and/or the editor(s) disclaim responsibility for any injury to people or property resulting from any ideas, methods, instructions or products referred to in the content. |
© 2023 by the authors. Licensee MDPI, Basel, Switzerland. This article is an open access article distributed under the terms and conditions of the Creative Commons Attribution (CC BY) license (https://creativecommons.org/licenses/by/4.0/).
Share and Cite
Pinto, P.I.F.; Pinto, P.C.R.; Evtuguin, D.V.; Liebner, F. Partial Replacement of Cationic Starch by Cationic Hardwood Kraft Lignin Does Not Compromise Key Paper Properties. Sustainability 2023, 15, 5493. https://doi.org/10.3390/su15065493
Pinto PIF, Pinto PCR, Evtuguin DV, Liebner F. Partial Replacement of Cationic Starch by Cationic Hardwood Kraft Lignin Does Not Compromise Key Paper Properties. Sustainability. 2023; 15(6):5493. https://doi.org/10.3390/su15065493
Chicago/Turabian StylePinto, Patrícia I. F., Paula C. R. Pinto, Dmitry V. Evtuguin, and Falk Liebner. 2023. "Partial Replacement of Cationic Starch by Cationic Hardwood Kraft Lignin Does Not Compromise Key Paper Properties" Sustainability 15, no. 6: 5493. https://doi.org/10.3390/su15065493
APA StylePinto, P. I. F., Pinto, P. C. R., Evtuguin, D. V., & Liebner, F. (2023). Partial Replacement of Cationic Starch by Cationic Hardwood Kraft Lignin Does Not Compromise Key Paper Properties. Sustainability, 15(6), 5493. https://doi.org/10.3390/su15065493

