Sustainable and Safe Treatment of Wastewater of Paint Industry Using Azadarachta indica Leaf Extract Combined with Silver Nitrate Solution
Abstract
1. Introduction
2. Materials and Methods
2.1. Materials Used
2.2. Azadirachta indica (A. indica) Plant for Natural Treatment and Extract Collection
2.3. Parameter and Post-Treatment Wastewater Analysis
2.4. Treatment of Wastewater through Case Studies
2.5. Statistical Analysis
3. Results
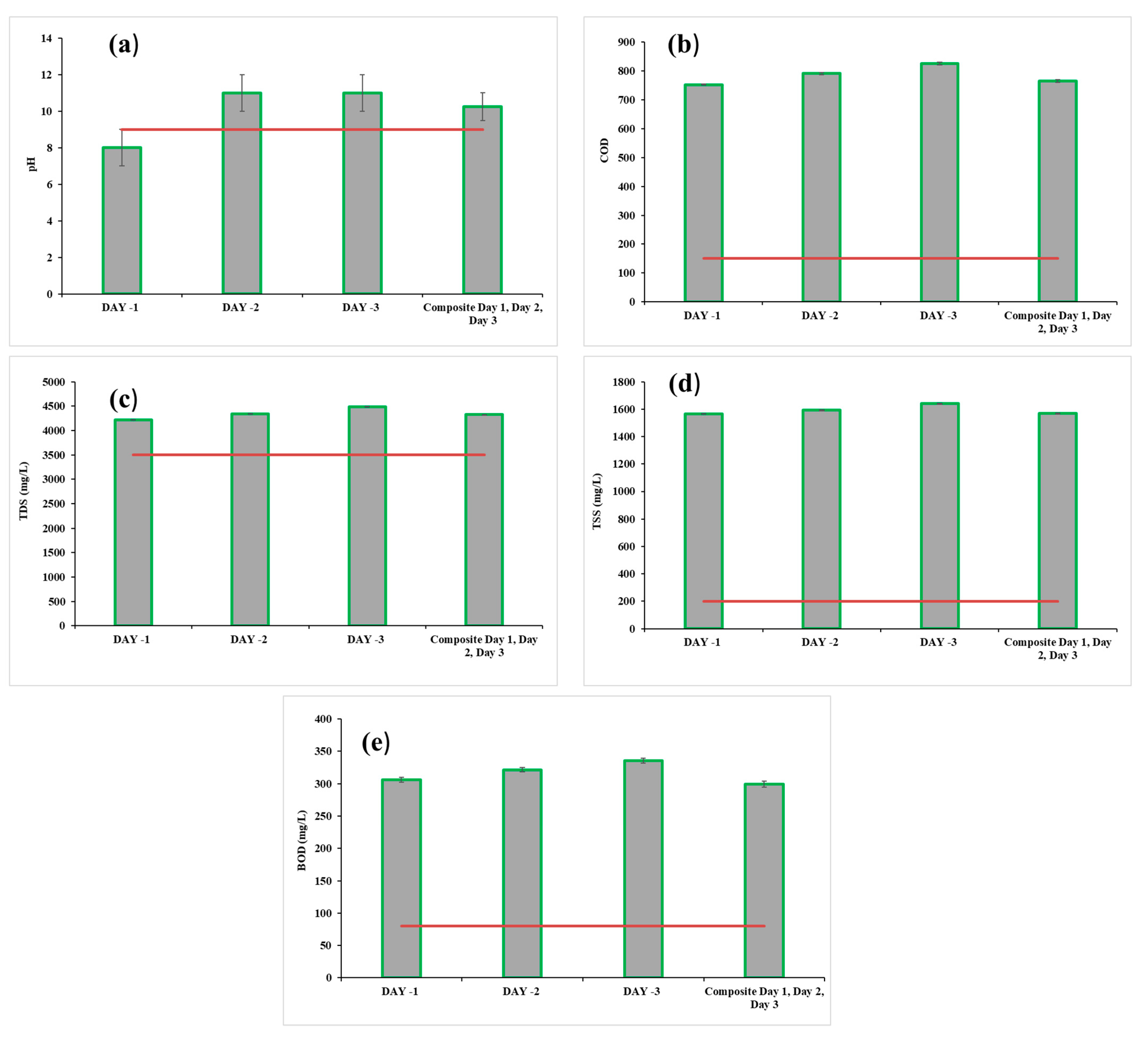
3.1. Case 1 (Control): Initial Pollution Level of Effluent from Paint Industry
3.1.1. pH
3.1.2. Chemical Oxygen Demand (COD)
3.1.3. Total Dissolved Solids (TDS)
3.1.4. Total Suspended Solids (TSS)
3.1.5. Biochemical Oxygen Demand (BOD)
3.2. Case-1: Reduction in Pollutant Parameters by the Addition of A. indica Solution to Contaminated Sample
3.2.1. Treatment of pH by the Addition of A. indica Solution to Contaminated Water
3.2.2. Treatment of COD by the Addition of A. indica Solution
3.2.3. Treatment of TDS by Addition of A. indica Solution to Contaminated Wastewater
3.2.4. Treatment of TSS by Addition of A. indica Solution
3.2.5. Treatment of BOD by Addition of A. indica Solution
3.3. Case-3: Post-Treatment Analysis by Addition of 0.05 M AgNO3 in A. indica Solution for Contaminated Sample
3.3.1. Treatment of COD by Addition of A. indica and 0.05 M AgNO3 Solution
3.3.2. Treatment of pH by Addition of A. indica and 0.05 M AgNO3
3.3.3. Treatment of TDS by Addition of A. indica and 0.05 M AgNO3 to Contaminated Samples
3.3.4. Treatment of TSS by the Addition of A. indica and 0.05 M AgNO3 to Contaminated Samples
3.3.5. Treatment of BOD by the Addition of A. indica and 0.05 M AgNO3 to Contaminated Samples
3.4. Other Biological Methods of Paint Industry Wastewater Treatment
4. Conclusions
Author Contributions
Funding
Institutional Review Board Statement
Informed Consent Statement
Data Availability Statement
Acknowledgments
Conflicts of Interest
References
- Akpor, O.B.; Muchie, M. Remediation of heavy metals in drinking water and wastewater treatment systems: Processes and applications. Int. J. Phys. Sci. 2010, 5, 1807–1817. [Google Scholar]
- Mason, S.A.; Garneau, D.; Sutton, R.; Chu, Y.; Ehmann, K.; Barnes, J.; Fink, P.; Papazissimos, D.; Rogers, D.L. Microplastic pollution is widely detected in US municipal wastewater treatment plant effluent. Environ. Pollut. 2016, 218, 1045–1054. [Google Scholar] [CrossRef]
- Irshad, M.A.; Nawaz, R.; Wojciechowska, E.; Mohsin, M.; Nawrot, N.; Nasim, I.; Hussain, F. Application of Nanomaterials for Cadmium Adsorption for Sustainable Treatment of Wastewater: A Review. Water Air Soil Pollut. 2023, 234, 54. [Google Scholar] [CrossRef]
- Irshad, M.A.; Shakoor, M.B.; Ali, S.; Nawaz, R.; Yasmeen, T.; Saleem, M.; Rizwan, M.; Rehman, M.Z.; Ahmad, S.R.; Latif, M.; et al. Green and eco-friendly synthesis of TiO2 nanoparticles and their application for removal of cadmium from wastewater: Reaction kinetics study. Z. Phys. Chem. 2022, 236, 637–657. [Google Scholar] [CrossRef]
- Irshad, M.A.; Humayoun, M.A.; Al-Hussain, S.A.; Nawaz, R.; Arshad, M.; Irfan, A.; Zaki, M.E. Green and Eco-Friendly Treatment of Textile Wastewater by Using Azadirachta indica Leaf Extract Combined with a Silver Nitrate Solution. Sustainability 2022, 15, 81. [Google Scholar] [CrossRef]
- Manjunatha, K.R.; Vagish, M. Study on adsorption efficiency of neem leaves powder in removal of reactive red dye color from aqueous solution. Int. Res. J. Eng. Technol. (IRJET) 2016, 3, 437–440. [Google Scholar]
- Ibrahim, M.B.; Sani, S. Neem (Azadirachta indica) leaves for removal of organic pollutants. Int. J. Geosci. Environ. Prot. 2015, 3, 55196. [Google Scholar] [CrossRef]
- Sulaiman, M.S. Azadiarchta indica (neem): An alternative biosorbent. Appl. Res. J. 2015, 1, 265–270. [Google Scholar]
- Kariuki, Z.; Kiptoo, J.; Onyancha, D. Biosorption of lead and copper using rogers mushroom biomass ‘Lepiota Hystrix’. S. Afr. J. Chem. Eng. 2017, 23, 62–70. [Google Scholar] [CrossRef]
- Smily, J.R.M.B.; Sumithra, P.A. Optimization of chromium biosorption by fungal adsorbent, Trichoderma sp. BSCR02 and its desorption studies. Hayati J. Biosci. 2017, 24, 65–71. [Google Scholar] [CrossRef]
- Deshpande, P.K.; Gothalwal, R.; Pathak, A.K. Phytochemical analysis and evaluation of antimalarial activity of Azadirachta indica. Pharma Innov. J. 2014, 3, 12–16. [Google Scholar]
- Khattri, S.D.; Singh, M.K. Removal of malachite green from dye wastewater using neem sawdust by adsorption. J. Hazard. Mater. 2009, 167, 1089–1094. [Google Scholar] [CrossRef] [PubMed]
- Kumar, A.; Singh, E.; Khapre, A.; Bordoloi, N.; Kumar, S. Sorption of volatile organic compounds on non-activated biochar. Bioresour. Technol. 2020, 297, 122469. [Google Scholar] [CrossRef] [PubMed]
- Adetoro, E.A.; Ojoawo, S.O. Optimization study of biosorption of toxic metals from mining wastewater using Azadirachta indica bark adsorbents. Water Sci. Technol. 2020, 82, 887–904. [Google Scholar] [CrossRef] [PubMed]
- EPD, 2016. Govt. of Punjab. Punjab Environmental Quality Standards (PEQS). Environmental Protection Department (EPD). Available online: https://epd.punjab.gov.pk/system/files/Punjab%20Environmental%20Quality%20Standards%20for%20Muncipal%20And%20Liquid%20Industrial%20Effluents%20final_0.pdf (accessed on 20 November 2022).
- Katsoyiannis, A.; Samara, C. The fate of dissolved organic carbon (DOC) in the wastewater treatment process and its importance in the removal of wastewater contaminants. Environ. Sci. Pollut. Res.—Int. 2007, 14, 284–292. [Google Scholar] [CrossRef]
- Rice, E.W.; Bridgewater, L. Standard methods for the examination of water and wastewater; American Public Health Association: Washington, DC, USA, 2012; Volume 10. [Google Scholar]
- Das, R.; Mukherjee, A.; Sinha, I.; Roy, K.; Dutta, B.K. Synthesis of potential bio-adsorbent from Indian Neem leaves (Azadirachta indica) and its optimization for malachite green dye removal from industrial wastes using response surface methodology: Kinetics, isotherms and thermodynamic studies. Appl. Water Sci. 2020, 10, 117. [Google Scholar] [CrossRef]
- Dutta, S.; Bhattacharjee, J. A comparative study between physicochemical and biological methods for effective removal of textile dye from wastewater. In Development in Wastewater Treatment Research and Processes; Elsevier: Amsterdam, The Netherlands, 2022; pp. 1–21. [Google Scholar]
- Akyol, A. Treatment of paint manufacturing wastewater by electrocoagulation. Desalination 2012, 285, 91–99. [Google Scholar] [CrossRef]
- Aniyikaiye, T.E.; Oluseyi, T.; Odiyo, J.O.; Edokpayi, J.N. Physico-chemical analysis of wastewater discharge from selected paint industries in Lagos, Nigeria. Int. J. Environ. Res. Public Health 2019, 16, 1235. [Google Scholar] [CrossRef]
- Viktoryová, N.; Szarka, A.; Hrouzková, S. Recent Developments and Emerging Trends in Paint Industry Wastewater Treatment Methods. Appl. Sci. 2022, 12, 10678. [Google Scholar] [CrossRef]
- Irfan, M.; Butt, T.; Imtiaz, N.; Abbas, N.; Khan, R.A.; Shafique, A. The removal of COD, TSS and colour of black liquor by coagulation–flocculation process at optimized pH, settling and dosing rate. Arab. J. Chem. 2017, 10, S2307–S2318. [Google Scholar] [CrossRef]
- Ahenda, S.; Wangeci, A.N.; Nyang’au, J.O. Physicochemical and heavy metal assessment of paint industry effluents in Nairobi County, Kenya. Glob. Sci. J. 2020, 8, 2573–2580. [Google Scholar]
- Lokhande, R.S.; Singare, P.U.; Pimple, D.S. Study on physico-chemical parameters of waste water effluents from Taloja industrial area of Mumbai, India. Int. J. Ecosyst. 2011, 1, 1–9. [Google Scholar] [CrossRef]
- Aboulhassan, M.A.; Souabi, S.; Yaacoubi, A.; Baudu, M. Treatment of paint manufacturing wastewater by the combination of chemical and biological processes. Int. J. Sci. Environ. Technol. 2014, 3, 1747–1758. [Google Scholar]
- Ahsan, A.M.; Satter, F.; Siddique, A.M.B.; Akbor, A.M.; Ahmed, S.; Shajahan, M.; Khan, R. Chemical and physicochemical characterization of effluents from the tanning and textile industries in Bangladesh with multivariate statistical approach. Environ. Monit. Assess. 2019, 191, 575. [Google Scholar] [CrossRef]
- Ejimofor, M.I.; Ezemagu, I.G.; Menkiti, M.C. Biogas production using coagulation sludge obtained from paint wastewater decontamination: Characterization and anaerobic digestion kinetics. Curr. Res. Green Sustain. Chem. 2020, 3, 100024. [Google Scholar] [CrossRef]
- Ighalo, J.O.; Adeniyi, A.G.; Oke, E.O.; Adewoye, L.T.; Motolani, F.O. Evaluation of Luffa cylindrica fibers in a biomass packed bed for the treatment of paint industry effluent before environmental release. Eur. J. Sustain. Dev. Res. 2020, 4, em0132. [Google Scholar] [CrossRef]
- Ejimofor, M.I.; Ezemagu, I.G.; Menkiti, M.C. Physiochemical, Instrumental and thermal characterization of the post coagulation sludge from paint industrial wastewater treatment. S. Afr. J. Chem. Eng. 2021, 37, 150–160. [Google Scholar] [CrossRef]
- Tesfalem, W.; Abdrie, H.S. Toxicity study of heavy metals pollutants and physicochemical characterization of effluents collected from different paint industries in Addis Ababa, Ethiopia. J. Forensic Sci. Crim. Investig. 2017, 5, 55568. [Google Scholar]
- Rana, A.; Haseeb, Z.; Baig, A.; Naseer, N.; Bilal, S. Monitoring of Environment and Human Health Impact Assessment of Paint Industry. SSRG Int. J. Agric. Environ. Sci. 2022, 9, 54–61. [Google Scholar]
- Nair, S.; Manu, B.; Azhoni, A. Sustainable treatment of paint industry wastewater: Current techniques and challenges. J. Environ. Manag. 2021, 296, 113105. [Google Scholar] [CrossRef]
- Ahmad, S.; Imran, M.; Natasha; Amin, M.; Al-Kahtani, A.A.; Arshad, M.; Nawaz, R.; Shah, N.S.; Schotting, R.J. Potential of magnetic quinoa biosorbent composite and HNO3 treated biosorbent for effective sequestration of chromium (VI) from contaminated water. Int. J. Phytoremediation 2022, 1–11. [Google Scholar] [CrossRef] [PubMed]
- Irshad, M.A.; Shakoor, M.B.; Ali, S.; Nawaz, R.; Rizwan, M. Synthesis and application of titanium dioxide nanoparticles for removal of cadmium from wastewater: Kinetic and equilibrium study. Water Air Soil Pollut. 2019, 230, 278. [Google Scholar] [CrossRef]
- Satyanarayan, S.; Kaul, S.N. Performance evaluation of a pure oxygen-based activated sludge system treating a combined paint industry wastewater and domestic sewage. Int. J. Environ. Stud. 2001, 58, 445–457. [Google Scholar] [CrossRef]
- Krithika, D.; Philip, L. Treatment of wastewater from water based paint industries using submerged attached growth reactor. Int. J. Biodeterior. Biodegrad. 2016, 107, 31–41. [Google Scholar] [CrossRef]
- Salihoglu, N.K.; Ucaroglu, S.; Salihoglu, G. Bioconversion of industrial wastes: Paint sludge from automotive manufacturing. J. Mater. Cycles Waste Manag. 2018, 20, 2100–2109. [Google Scholar] [CrossRef]
- Güven, D.; Hanhan, O.; Aksoy, E.C.; Insel, G.; Çokgor, E. Impact of paint shop decanter effluents on biological treatability of automotive industry wastewater. J. Hazard. Mater. 2017, 330, 61–67. [Google Scholar] [CrossRef]



| Sr. No | Parameter | PEQS |
|---|---|---|
| 1 | pH | 6–9 |
| 2 | COD | 150 mg/L |
| 3 | BOD | 80 mg/L |
| 4 | TDS | 3500 mg/L |
| 5 | TSS | 200 mg/L |
| S. No | Treatment Method | Results | Recommendations | References |
|---|---|---|---|---|
| 1 | Azadirachta leaf extract combined with AgNO3 solution | pH, COD, BOD, TDS, and TSS removal up to permissible limits recommended by PEQs | Combined chemical and biological method is sustainable for pollutant removal from textile industrial wastewater | [5] |
| 2 | Activated sludge system | 93% and 99% BOD removal | Treatment is difficult due to the presence of potentially harmful organic and inorganic micro pollutants as well as a high COD | [36] |
| 3 | Submerged attached bioreactor | 97% COD removal efficiency | Hazardous organic solvent decomposition is achievable and efficient | [37] |
| 4 | Composting and paint sludge | 85% biodried using corncob | Corn cob is a good source for bulking agent | [38] |
| 5 | Combination of a chemical coagulation/flocculation step with an aerobic biological process | 96% of COD, 97% of color, and 92.5% of BOD removals | Combined biological and chemical method is good for paint industrial wastewater | [24] |
| 6 | Sequencing batch reactor | Carbon and nitrogen removal of 89% and 58%, respectively | Efficient treatment method of paint industry wastewater | [39] |
Disclaimer/Publisher’s Note: The statements, opinions and data contained in all publications are solely those of the individual author(s) and contributor(s) and not of MDPI and/or the editor(s). MDPI and/or the editor(s) disclaim responsibility for any injury to people or property resulting from any ideas, methods, instructions or products referred to in the content. |
© 2023 by the authors. Licensee MDPI, Basel, Switzerland. This article is an open access article distributed under the terms and conditions of the Creative Commons Attribution (CC BY) license (https://creativecommons.org/licenses/by/4.0/).
Share and Cite
Irshad, M.A.; Ali, B.; Irfan, A.; Al-Hussain, S.A.; Nawaz, R.; Nasim, I.; Latif, M.; Zaki, M.E.A. Sustainable and Safe Treatment of Wastewater of Paint Industry Using Azadarachta indica Leaf Extract Combined with Silver Nitrate Solution. Sustainability 2023, 15, 3592. https://doi.org/10.3390/su15043592
Irshad MA, Ali B, Irfan A, Al-Hussain SA, Nawaz R, Nasim I, Latif M, Zaki MEA. Sustainable and Safe Treatment of Wastewater of Paint Industry Using Azadarachta indica Leaf Extract Combined with Silver Nitrate Solution. Sustainability. 2023; 15(4):3592. https://doi.org/10.3390/su15043592
Chicago/Turabian StyleIrshad, Muhammad Atif, Basharat Ali, Ali Irfan, Sami A. Al-Hussain, Rab Nawaz, Iqra Nasim, Maria Latif, and Magdi E. A. Zaki. 2023. "Sustainable and Safe Treatment of Wastewater of Paint Industry Using Azadarachta indica Leaf Extract Combined with Silver Nitrate Solution" Sustainability 15, no. 4: 3592. https://doi.org/10.3390/su15043592
APA StyleIrshad, M. A., Ali, B., Irfan, A., Al-Hussain, S. A., Nawaz, R., Nasim, I., Latif, M., & Zaki, M. E. A. (2023). Sustainable and Safe Treatment of Wastewater of Paint Industry Using Azadarachta indica Leaf Extract Combined with Silver Nitrate Solution. Sustainability, 15(4), 3592. https://doi.org/10.3390/su15043592

