Consumer Satisfaction with the Online Dispute Resolution on a Second-Hand Goods-Trading Platform
Abstract
1. Introduction
2. Literature Review
3. Research Methods
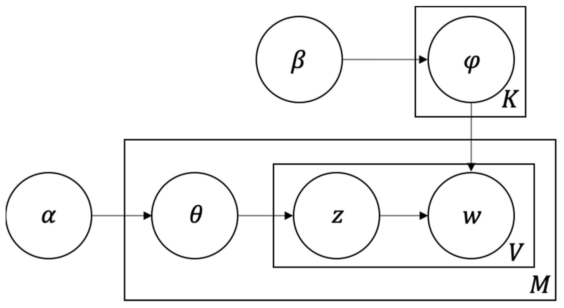
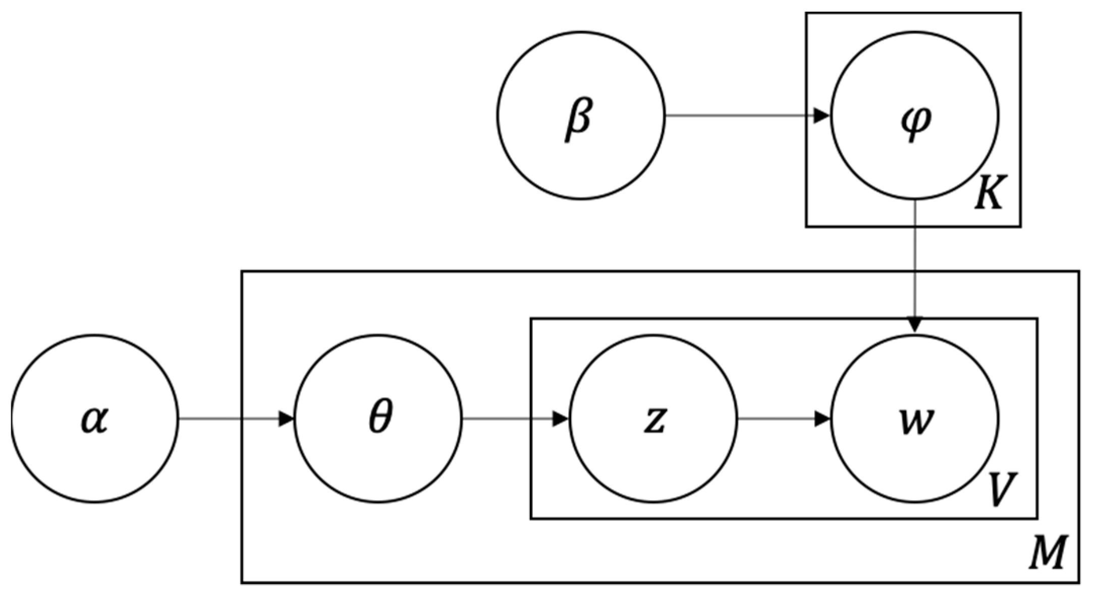
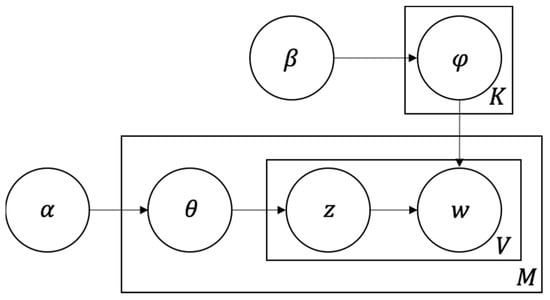
3.1. LDA Topic Clustering Model
3.2. Sentiment Analysis
3.3. TF–IDF Weights
4. Research Process and Result Analysis
4.1. Data Acquisition and Preprocessing
4.2. Text-Feature Extraction
4.3. Feature Visualization Analysis Based on Word Cloud
4.4. LDA Topic Clustering
4.5. Sentiment Analysis
4.6. Comparative Analysis
5. Discussion and Conclusions
5.1. Discussion
5.2. Suggestions
5.3. Conclusions
5.4. Limitations and Future Work
Author Contributions
Funding
Institutional Review Board Statement
Informed Consent Statement
Acknowledgments
Conflicts of Interest
References
- Ferraro, C.; Sands, S.; Brace-Govan, J. The Role of Fashionability in Second-Hand Shopping Motivations. J. Retail. Consum. Serv. 2016, 32, 262–268. [Google Scholar] [CrossRef]
- Borusiak, B.; Szymkowiak, A.; Horska, E.; Raszka, N.; Zelichowska, E. Towards Building Sustainable Consumption: A Study of Second-Hand Buying Intentions. Sustainability 2020, 12, 875. [Google Scholar] [CrossRef]
- Evans, F.; Grimmer, L.; Grimmer, M. Consumer Orientations of Secondhand Fashion Shoppers: The Role of Shopping Frequency and Store Type. J. Retail. Consum. Serv. 2022, 67, 102991. [Google Scholar] [CrossRef]
- Parguel, B.; Lunardo, R.; Benoit-Moreau, F. Sustainability of the Sharing Economy in Question: When Second-Hand Peer-to-Peer Platforms Stimulate Indulgent Consumption. Technol. Forecast. Soc. Change 2017, 125, 48–57. [Google Scholar] [CrossRef]
- Wang, B.; Fu, Y.; Li, Y. Young Consumers’ Motivations and Barriers to the Purchase of Second-Hand Clothes: An Empirical Study of China. Waste Manag. 2022, 143, 157–167. [Google Scholar] [CrossRef]
- Arrigo, E. Collaborative Consumption in the Fashion Industry: A Systematic Literature Review and Conceptual Framework. J. Clean. Prod. 2021, 325, 129261. [Google Scholar] [CrossRef]
- Zhao, G.; Geng, Y.; Sun, H.; Tian, X.; Chen, W.; Wu, D. Mapping the Knowledge of Green Consumption: A Meta-Analysis. Environ. Sci. Pollut. Res. 2020, 27, 44937–44950. [Google Scholar] [CrossRef]
- Dimoka, A.; Hong, Y.; Pavlou, P.A. On Product Uncertainty in Online Markets: Theory and Evidence. MIS Q. 2012, 36, 395–426. [Google Scholar] [CrossRef]
- Cortés, P. Developing Online Dispute Resolution for Consumers in the EU: A Proposal for the Regulation of Accredited Providers. Int. J. Law Info. Tech. 2011, 19, 1–28. [Google Scholar] [CrossRef]
- Katsh, E. Online Dispute Resolution: Resolving Conflicts in Cyberspace, 1st ed.; Jossey-Bass: San Francisco, CA, USA, 2001; ISBN 978-0-7879-5676-9. [Google Scholar]
- eBay Inc. General Announcement; eBay Inc.: San Jose, CA, USA, 2008. [Google Scholar]
- Buying | EBay. Available online: https://www.ebay.co.uk/help/buying (accessed on 11 January 2023).
- Zhou, X. Description and Explanation: Dispute Resolution Mechanism of Taobao China’s Experience and Observation of ODR. J. Shanghai Jiaotong Univ. Soc. Sci. 2021, 29, 97–108. [Google Scholar] [CrossRef]
- Han, X. Application and improvement of non -judicial ODR in China: Taking Xianyu court as example. J. Beijing Technol. Bus. Univ. Soc. Sci. 2020, 35, 117–126. [Google Scholar] [CrossRef]
- Rule, C.; Nagarajan, C. Crowdsourcing Dispute Resolution over Mobile Devices. Springer Neth. 2011, 93–106. [Google Scholar] [CrossRef]
- Sela, A. The effect of online technologies on dispute resolution system design: Antecedents, current trends, and future directions. Lewis Clark Law Rev. 2017, 21, 633. [Google Scholar]
- Wahab, M. The Global Information Society and Online Dispute Resolution: A New Dawn for Dispute Resolution. J. Int. Arbitr. 2004. [Google Scholar] [CrossRef]
- Katsh, E. Bringing Online Dispute Resolution to Virtual Worlds: Creating Processes Through Code. NYLS Law Rev. 2004, 49, 12. [Google Scholar]
- Rule, C. Online Dispute Resolution For Business: B2B, ECommerce, Consumer, Employment, Insurance, and Other Commercial Conflicts, 1st ed.; Jossey-Bass: San Francisco, CA, USA, 2002; ISBN 978-0-7879-5731-5. [Google Scholar]
- Goodman, J. The Pros and Cons of Online Dispute Resolution: An Assessment of Cyber-Mediation Websites. Duke Law Technol. Rev. 2003. [Google Scholar]
- Kaufmann-Kohler, G.; Schultz, T. Online Dispute Resolution: Challenges for Contemporary Justice; Kluwer Law International BV: Zürich, Switzerland, 2004; ISBN 978-90-411-2318-3. [Google Scholar]
- Xiao, X. Research on the Online Resolution of Online Shopping Disputes in China. J. North Univ. ChinaSocial Sci. Ed. 2022, 38, 63–70. [Google Scholar] [CrossRef]
- Herik, J.; Dimov, D. Towards Crowdsourced Online Dispute Resolution. J. Int. Commer. Law Technol. 2012, 7, 141–162. [Google Scholar]
- Clark, E.; Cho, G.; Hoyle, A. Online Dispute Resolution: Present Realities, Pressing Problems and Future Prospects. Int. Rev. Law Comput. Technol. 2003, 17, 7–25. [Google Scholar] [CrossRef]
- Loebl, Z. Identifying and Establishing Standard ODR Processes. Int. J. Online Disput. Resolut. 2016, 3, 125–134. [Google Scholar] [CrossRef]
- Gonçalves, A.; Vanenkova, I. From Practice to Profession: The ODR Community’s Next Vital Step. Int. J. Online Disput. Resolut. 2016, 3, 146–150. [Google Scholar] [CrossRef]
- Salter, S. Online dispute resolution and justice system integration: British columbia’s civil resolution tribunal. Windsor Yearb. Access Justice 2017, 34, 112. [Google Scholar] [CrossRef]
- Ong, C.E.; Teh, D. Redress Procedures Expected by Consumers during a Business-to-Consumer e-Commerce Dispute. Electron. Commer. Res. Appl. 2016, 17, 150–160. [Google Scholar] [CrossRef]
- Burtch, G.; Hong, Y.; Kumar, S. When Does Dispute Resolution Substitute for a Reputation System? Empirical Evidence from a Service Procurement Platform. Prod. Oper. Manag. 2021, 30, 1565–1582. [Google Scholar] [CrossRef]
- Kaufmann-Kohler, G. Online Dispute Resolution and Its Significance for International Commercial Arbitration; International Chamber of Commerce: Paris, France, 2023. [Google Scholar]
- Xu, H.; Zhang, F.; Wang, W. Implicit Feature Identification in Chinese Reviews Using Explicit Topic Mining Model. Knowl.-Based Syst. 2014, 76, 166–175. [Google Scholar] [CrossRef]
- Karmaker Santu, S.K.; Sondhi, P.; Zhai, C. Generative Feature Language Models for Mining Implicit Features from Customer Reviews. In Proceedings of the 25th ACM International on Conference on Information and Knowledge Management, Indianapolis, IA, USA, 24 October 2016; pp. 929–938. [Google Scholar]
- Zhang, L.; Liu, B. Aspect and Entity Extraction for Opinion Mining; Springer: Berlin/Heidelberg, Germany, 2014; Volume 1, pp. 1–40. ISBN 978-3-642-40836-6. [Google Scholar]
- Santosh, D.T.; Vardhan, B.V.; Ramesh, D. Extracting Product Features from Reviews Using Feature Ontology Tree Applied on LDA Topic Clusters. In Proceedings of the 6th International Conference on Advanced Computing (IACC 2016), Bhimavaram, India, 27–28 February 2016; pp. 163–168. [Google Scholar] [CrossRef]
- Blei, D.M.; Ng, A.; Jordan, M.I. Latent Dirichlet Allocation. J. Mach. Learn. Res. 2003, 933–1022. [Google Scholar] [CrossRef]
- Kang, D.; Park, Y. Review-Based Measurement of Customer Satisfaction in Mobile Service: Sentiment Analysis and VIKOR Approach. Expert Syst. Appl. 2014, 41, 1041–1050. [Google Scholar] [CrossRef]
- Liang, T.-P.; Li, X.; Yang, C.-T.; Wang, M. What in Consumer Reviews Affects the Sales of Mobile Apps: A Multifacet Sentiment Analysis Approach. Int. J. Electron. Commer. 2015, 20, 236–260. [Google Scholar] [CrossRef]
- Chen, L.-C.; Lee, C.-M.; Chen, M.-Y. Exploration of Social Media for Sentiment Analysis Using Deep Learning. Soft Comput. 2020, 24, 8187–8197. [Google Scholar] [CrossRef]
- Liu, B. Sentiment Analysis and Opinion Mining; Springer: Berlin/Heidelberg, Germany, 2012; Volume 5. [Google Scholar]
- Pang, B.; Lee, L.; Vaithyanathan, S. Thumbs up? Sentiment Classification Using Machine Learning Techniques; Association for Computational Linguistics: Toronto, ON, Canada, 2002. [Google Scholar]
- Yoshida, S.; Kitazono, J.; Ozawa, S.; Sugawara, T.; Haga, T.; Nakamura, S. Sentiment Analysis for Various SNS Media Using Naïve Bayes Classifier and Its Application to Flaming Detection. In Proceedings of the 2014 IEEE Symposium on Computational Intelligence in Big Data (CIBD, Orlando, FL, USA, 9–12 December 2014; pp. 1–6. [Google Scholar]
- Chen, T.; Xu, R.; He, Y.; Wang, X. Improving Sentiment Analysis via Sentence Type Classification Using BiLSTM-CRF and CNN. Expert Syst. Appl. 2017, 72, 221–230. [Google Scholar] [CrossRef]
- Xiao, K.; Zhang, Z.; Wu, J. Chinese Text Sentiment Analysis Based on Improved Convolutional Neural Networks. In Proceedings of the 2016 7th IEEE International Conference on Software Engineering and Service Science (ICSESS), Beijing, China, 26–28 August 2016; pp. 922–926. [Google Scholar]
- Turney, P.D. Thumbs Up or Thumbs Down? Semantic Orientation Applied to Unsupervised Classification of Reviews. Assoc. Comput. Linguist. 2002, 417–424. [Google Scholar] [CrossRef]
- Wu, Z.; Duan, C.; Cui, Y.; Qin, R. Consumers’ Attitudes toward Low-Carbon Consumption Based on a Computational Model: Evidence from China. Technol. Forecast. Soc. Change 2023, 186, 122119. [Google Scholar] [CrossRef]
- Huang, C.-H.; Yin, J.; Hou, F. A Text Similarity Measurement Combining Word Semantic Information with TF-IDF Method. Chin. J. Comput. 2011, 34, 856–864. [Google Scholar] [CrossRef]
- Shahid, N.; Ilyas, M.U.; Alowibdi, J.S.; Aljohani, N.R. Word Cloud Segmentation for Simplified Exploration of Trending Topics on Twitter. IET Softw. 2017, 11, 214–220. [Google Scholar] [CrossRef]
- Yan, Z.; Xing, M.; Zhang, D.; Ma, B. EXPRS: An Extended Pagerank Method for Product Feature Extraction from Online Consumer Reviews. Inf. Manage. 2015, 52, 850–858. [Google Scholar] [CrossRef]
- Wilson, T.; Wiebe, J.; Hoffmann, P. Recognizing Contextual Polarity: An Exploration of Features for Phrase-Level Sentiment Analysis. Comput. Linguist. 2009, 35, 399–433. [Google Scholar] [CrossRef]
- Lang, C.; Zhang, R. Second-Hand Clothing Acquisition: The Motivations and Barriers to Clothing Swaps for Chinese Consumers. Sustain. Prod. Consum. 2019, 18, 156–164. [Google Scholar] [CrossRef]
- Mencarelli, R.; Lunardo, R.; Lombart, C.; Blut, M.; Henon, E. Perceiving Control over the Exchange on Peer-to-Peer Platforms: Measurement and Effects in the Second-Hand Market. Mark. Lett. 2022, 1–19. [Google Scholar] [CrossRef]
- Pyo, J. The Impact of Jury Experience on Perception of the Criminal Prosecution System. Int. J. Law Crime Justice. 2018, 52, 176–184. [Google Scholar] [CrossRef]
- Conforti, O. ODR and Restorative Justice Online: Clarifying Concepts Due to Its Legal Implications. Int. J. Adv. Res. 2018, 6, 850–857. [Google Scholar] [CrossRef]







| Order | TF–IDF | Word Frequency | Order | TF–IDF | Word Frequency | Order | TF–IDF | Word Frequency |
|---|---|---|---|---|---|---|---|---|
| 1 | Seller | Seller | 11 | Delivery | Discovery | 21 | Clothes | Evidence |
| 2 | Xianyu | Buyer | 12 | Fraud | Platform | 22 | Unpack | Fakes |
| 3 | Buyer | Xianyu Small Court | 13 | Skirts | Videos | 23 | Transaction | Clothes |
| 4 | Small Court | Refund | 14 | Fakes | Defects | 24 | Chat Records | Transactions |
| 5 | Refund | Return Goods | 15 | Problems | Rejection | 25 | Pictures | Defend Rights |
| 6 | Return Goods | Problems | 16 | Defend Rights | Skirts | 26 | Goods | Freight Charge |
| 7 | Customer Service Staff | Receive Goods | 17 | Freight Charge | Fraud | 27 | Certified Products | The First Time |
| 8 | Video | Customer Service Staff | 18 | Platform | Requirements | 28 | Mobile Phone | See |
| 9 | Receive Goods | Goods | 19 | Evidence | Delivery | 29 | Reasons | Involved |
| 10 | Defects | Express Delivery | 20 | Involved | Confirmation | 30 | Address | New |
| Topic 1 | Topic 2 | Topic 3 | Topic 4 | Topic 5 | Topic 6 | Topic 7 | Topic 8 | ||||||||
|---|---|---|---|---|---|---|---|---|---|---|---|---|---|---|---|
| Feature Words | Weights | Feature Words | Weights | Feature Words | Weights | Feature Words | Weights | Feature Words | Weights | Feature Words | Weights | Feature Words | Weights | Feature Words | Weights |
| Mobile Phones | 0.080 | Seller | 0.284 | Seller | 0.176 | Refund | 0.081 | Buyer | 0.276 | Customer Service Staff | 0.120 | Defects | 0.104 | Review | 0.061 |
| Problems | 0.031 | Return Goods | 0.111 | Fakes | 0.098 | Receive Goods | 0.060 | Return Goods | 0.047 | Platform | 0.083 | Skirts | 0.103 | Vote | 0.046 |
| Credit | 0.028 | Refund | 0.061 | Defend Rights | 0.067 | Fraud | 0.045 | Refund | 0.041 | Seller | 0.046 | Status | 0.031 | Dispute | 0.039 |
| Products | 0.028 | Clothes | 0.055 | Evidence | 0.038 | Transaction | 0.037 | Videos | 0.040 | Problems | 0.027 | Videos | 0.027 | Juror | 0.027 |
| Platform | 0.027 | Problems | 0.050 | Certified Products | 0.037 | Evaluation | 0.029 | Problems | 0.033 | Fraud | 0.026 | Problems | 0.026 | Transaction | 0.021 |
| Screens | 0.020 | Freight Charge | 0.050 | Refund | 0.033 | Address | 0.028 | Evidence | 0.018 | Defend Rights | 0.025 | Photos | 0.024 | User | 0.020 |
| Markets | 0.017 | Goods | 0.028 | Pictures | 0.025 | Delivery | 0.023 | Delivery | 0.018 | Buyer | 0.022 | Sell Goods | 0.024 | Both Sides | 0.017 |
| Battery | 0.016 | Quality | 0.018 | After-sale Service | 0.023 | Time | 0.022 | Merchandise | 0.017 | Human Customer Service | 0.021 | Hanging Tags | 0.023 | Win | 0.017 |
| After-sale Service | 0.014 | Deliver Goods | 0.014 | Lucky Bag | 0.021 | Information | 0.021 | Customer Service Staff | 0.016 | Consumers | 0.019 | Page | 0.023 | Dispute | 0.015 |
| Individuals | 0.014 | Reason | 0.013 | Fraud | 0.017 | Contact | 0.020 | Reasons | 0.014 | Evidence | 0.018 | Delivery | 0.019 | Rubbish | 0.015 |
| Pictures | 0.014 | Victory | 0.012 | Proof | 0.015 | Record | 0.015 | Photos | 0.013 | Official | 0.018 | Pictures | 0.016 | Evidence | 0.015 |
| Price | 0.013 | Speechless | 0.009 | Feeling | 0.013 | Return Goods | 0.014 | Shoes | 0.011 | Phone | 0.018 | Unboxing video | 0.015 | Eyes | 0.015 |
| Quality Detection | 0.013 | Method | 0.008 | Real and Fake | 0.012 | Message | 0.014 | Vouchers | 0.011 | Merchants | 0.013 | Reviews | 0.015 | mood | 0.014 |
| Content | 0.013 | Attitude | 0.007 | Record | 0.012 | Links | 0.011 | Dolls | 0.011 | Message | 0.013 | Check | 0.013 | Judging | 0.013 |
| Links | 0.012 | Time | 0.007 | flood the screen | 0.011 | Order | 0.011 | Goods | 0.010 | Return Goods | 0.011 | Home Page | 0.013 | Law | 0.013 |
| Order | TF–IDF on Crowdsourcing Online Dispute Resolution | TF–IDF on Customer Service Staff Adjudication Process |
|---|---|---|
| 1 | Review | Return goods |
| 2 | Invitations | Complaints |
| 3 | Handle | Refund |
| 4 | Receive | Receive |
| 5 | Win | Express delivery |
| 6 | Like | Appeal |
| 7 | Requirements | Discovery |
| 8 | Support | Process |
| 9 | Refund | Provision |
| 10 | Juror | Intervention |
| 11 | Verdict | Support |
| 12 | Case | Requirements |
| 13 | Happy | Buy |
| 14 | Screenshots | Hope |
| 15 | Serious | Judgment |
| 16 | Resolve | Confirmation |
| 17 | Return goods | Rejection |
| 18 | Evidence | Time |
| 19 | Randomly | Report |
| 20 | Satisfied | Surprisingly |
Disclaimer/Publisher’s Note: The statements, opinions and data contained in all publications are solely those of the individual author(s) and contributor(s) and not of MDPI and/or the editor(s). MDPI and/or the editor(s) disclaim responsibility for any injury to people or property resulting from any ideas, methods, instructions or products referred to in the content. |
© 2023 by the authors. Licensee MDPI, Basel, Switzerland. This article is an open access article distributed under the terms and conditions of the Creative Commons Attribution (CC BY) license (https://creativecommons.org/licenses/by/4.0/).
Share and Cite
Liu, Y.; Wan, Y. Consumer Satisfaction with the Online Dispute Resolution on a Second-Hand Goods-Trading Platform. Sustainability 2023, 15, 3182. https://doi.org/10.3390/su15043182
Liu Y, Wan Y. Consumer Satisfaction with the Online Dispute Resolution on a Second-Hand Goods-Trading Platform. Sustainability. 2023; 15(4):3182. https://doi.org/10.3390/su15043182
Chicago/Turabian StyleLiu, Yuru, and Yan Wan. 2023. "Consumer Satisfaction with the Online Dispute Resolution on a Second-Hand Goods-Trading Platform" Sustainability 15, no. 4: 3182. https://doi.org/10.3390/su15043182
APA StyleLiu, Y., & Wan, Y. (2023). Consumer Satisfaction with the Online Dispute Resolution on a Second-Hand Goods-Trading Platform. Sustainability, 15(4), 3182. https://doi.org/10.3390/su15043182
