Research on Highway Self-Consistent Energy System Planning with Uncertain Wind and Photovoltaic Power Output
Abstract
:1. Introduction
2. Architecture of Highway Self-Consistent Energy System
2.1. System Architecture
2.2. Control Strategy for System Operation
- (1)
- Start the system’s energy flow at a certain time. Firstly, the unbalanced power of the system is calculated. If the wind and PV output are insufficient to satisfy the load requirements, the system will enter Operation Mode 1. Otherwise, it will switch to Operation Mode 3;
- (2)
- Operation Mode 1: If the remaining battery power can meet the remaining load, and the remaining load is within the maximum discharge power limit of the battery, the battery can meet the remaining load; if the remaining battery power can satisfy the remaining load, but the remaining load exceeds the maximum discharge power limit of the battery, then the battery will discharge at the maximum power; if the remaining battery power cannot satisfy the remaining load, the discharge power of the battery takes the minimum value of both the remaining battery power and the maximum discharge power of the battery, at this point, the system calculates the imbalanced power and switches to Operation Mode 2;
- (3)
- Operation Mode 2: If the remaining hydrogen storage capacity of the hydrogen storage tank can satisfy the remaining loads, and the remaining loads are within the maximum hydrogen fuel cell output limit, the hydrogen storage system can satisfy the remaining load requirements; if the remaining hydrogen storage capacity of the hydrogen storage tank can satisfy the remaining load, but the remaining load exceeds the maximum output limit of the hydrogen fuel cell, the hydrogen fuel cell will output at the maximum power; if the remaining hydrogen storage capacity of the hydrogen storage tank cannot satisfy the remaining load, the output power of the hydrogen fuel cell takes the maximum output of the remaining hydrogen storage capacity and the maximum output power of the hydrogen fuel cell, enter step (6);
- (4)
- Operation Mode 3: If the maximum rechargeable capacity of the battery can absorb the excess renewable energy and it does not exceed the battery’s maximum allowable rechargeable power, then the battery absorbs the excess renewable energy output; if the maximum charge capacity of the battery can absorb the excess renewable energy, but the excess renewable energy output exceeds the maximum charge power limit of the battery, then the battery maintains the maximum charge power; if the maximum rechargeable capacity of the battery is unable to absorb the extra renewable energy, the battery’s charging power is equal to the lesser of its maximum rechargeable capacity and its maximum charging power, enter Operation Mode 4;
- (5)
- Operation Mode 4: If the excess renewable energy can be absorbed by the hydrogen storage system and its output is within the maximum output power limit of the electrolysis cell, then the hydrogen storage system can absorb the excess wind and PV output; if the hydrogen storage system can meet the remaining load, but the excess renewable energy output exceeds the electrolysis cell output power limit, then the electrolysis cell will maintain the maximum power output; if the hydrogen storage system cannot absorb the excess renewable energy, the actual output power of the electrolysis cell is the minimum value of both the electrolysis cell power consumed when the maximum hydrogen storage capacity is reached and the electrolysis cell reaches the maximum output power, enter step (6);
- (6)
- End the system’s energy flow at that moment and move on to the next.
3. Source–Storage–Load Triple Model of the HSCES
3.1. Distributed Energy Model
3.1.1. Wind Turbine Output Model
3.1.2. PV Output Model
3.2. Energy Storage System Model
3.2.1. Battery Charge and Discharge Model
3.2.2. Hydrogen Power Generation System Model
- (1)
- Electrolytic hydrogen production equipment output model
- (2)
- Remaining capacity model of the hydrogen storage tank
- (3)
- Hydrogen to electricity equipment output model
3.3. Highway Transportation Load Model
3.3.1. Service Area Energy Consumption
3.3.2. Tunnel Energy Consumption
3.3.3. Bridge Energy Consumption
3.3.4. Toll Station Energy Consumption
3.3.5. The Energy Consumption of Equipment along the Highway
3.4. Multi-Scenario Uncertain Wind and Light Output Model
- (1)
- Equalize the probability distribution into probability intervals, during a typical day of each season, is 24.
- (2)
- Take the random number in each probability interval as the sampling point, and the equal probability independent sampling at each interval. The probability of each interval is expressed as:where: is the sampling probability of the interval of variable ; and where ; is the sample of the th interval of variable ; is the threshold value of the interval of variable .
- (3)
- Transform the probability distribution function inversely to obtain the sample value of the sampling point. The sample value corresponding to each subinterval is:where: is the sample value corresponding to each subinterval; is the inverse of the probability distribution function .
- (1)
- Calculate the closest scenario for each scenario .where: is the probability distance to the scenario ; is the probability of scenario ; is the Euclidean distance between scenarios and ; is the initial number of scenarios.
- (2)
- Identify the scenarios that need to be deleted.where: is the closest probability distance to the scenario .
- (3)
- Delete the above scenario, and add the probability of deleting the scenario to the probability of the scenario closest to it, so as to ensure the sum of the probabilities is 1. At this time, the probability is:
- (4)
- Repeat the above steps until the number of remaining scenarios reach the set value.
4. Optimal Planning Model for the HSCES
4.1. Objective Function
4.1.1. Equivalent Annual Cost
- (1)
- EAIC
- (2)
- EAOMCs
4.1.2. System Power Supply Reliability
4.1.3. Renewable Energy Utilization Rate
4.2. Constraints
4.2.1. Micro-Generator Constraints
- (1)
- Wind power output constraint:where is the power output of a wind turbine at the time (kW).
- (2)
- PV power output constraint:where is the power output of a PV panel at the time (kW).
4.2.2. Battery Charging and Discharging Constraints
- (1)
- Battery charge state constraint:where and are the lower and upper limits of the battery charge state, at 0.1 and 0.9, respectively.
- (2)
- Battery discharge power constraint:where is the maximum discharge power of a battery (kW).
- (3)
- Battery charging power constraint:where is the maximum charge power of a battery (kW).
4.2.3. Constraints Related to the Production–Storage–Use of the Hydrogen Energy Generation System
- (1)
- Electrolysis cell output constraintwhere is the maximum output of a single electrolysis cell (kW).
- (2)
- Hydrogen fuel cell output constraintwhere is the maximum power output of a single hydrogen fuel cell (kW).
- (3)
- Hydrogen storage tank capacity state constraintwhere and are the lower and upper limits of the hydrogen storage tank capacity state, respectively, which are set at 0.05 and 0.95.
- (4)
- Hydrogen storage tank capacity constraintwhere is the maximum capacity of a hydrogen storage tank (kWh).
- (5)
- Hydrogen storage tank intake constraintwhere: is the total efficiency of the electrolysis cell and the intermediary-pressure compressor, which is set at 0.6 [45]; is the calorific value of hydrogen, which is set at 39 kWh/kg.
- (6)
- Hydrogen storage tank discharge constraintwhere is the conversion efficiency of the hydrogen fuel cell, which is set at 0.6.
4.2.4. Power Balance Constraint
5. System Planning Model Solving Process
- (1)
- Input the typical weather information (wind speed, temperature and light intensity) for the four seasons into the SCES and the load data of every load gathering scenario in the HS;
- (2)
- The Latin hypercube sampling technique is employed to produce the usual daily unpredictable wind and the PV output scenario sets for each season;
- (3)
- In order to conveniently handle the issue, the simultaneous backward reduction (SBR) method is used to obtain the typical scenarios and the occurrence probability of each scenario, as well as the number of days in each scenario in a year;
- (4)
- Formulas (22), (26) and (27) are used as the fitness function of the algorithm, and Formulas (28)–(39) are used as the constraint for each part of the system to construct the optimization model of the HSCES;
- (5)
- The optimal power capacity configuration of the HSCES under the operation control strategy is searched by the PSO algorithm until the optimal planning result of the system is obtained. The solution flow chart is shown in Figure 6.
6. Case Study
6.1. Problem Description
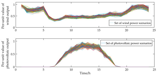
6.2. Analysis of Uncertain Wind and PV Output Scenarios
6.3. Convergence Analysis of the Algorithm
6.4. Analysis of Micro-Generator Planning Results
6.5. Analysis of the Actual Operation Effect of the System
6.6. Sensitivity Analysis
6.6.1. Influence of Battery Life Span on Planning Results
6.6.2. Influence of Hydrogen Storage System Price on Planning Results
7. Conclusions
- (1)
- Under the optimal planning scheme, the HSCES can realize continuous and stable operation. The renewable energy utilization rate of the system is 99.61% and the power supply reliability rate is 99.74%, which reflects the high renewable energy utilization rate and the power supply reliability of the system;
- (2)
- After introducing the hydrogen storage system, the system can flexibly program the number of micro-generators according to the load demand, significantly reduce the number of distributed energy and battery configurations, and improve the system’s economy;
- (3)
- Compared with the single power storage system and hydrogen storage system, the combined costs of the hybrid energy storage system are reduced by 2.72% and 6.56%; the renewable energy abandonment rate is reduced by 1.29% and 1.91%; and the power outage rage is reduced by 5.95% and 2.06%, respectively. The hybrid energy storage system is more economical, environmentally friendly and reliable;
- (4)
- With cost reduction gradually affecting the hydrogen storage system, various indicators within the system will perform better, and the investment potential and engineering application value of the HSCES will be further improved.
Author Contributions
Funding
Institutional Review Board Statement
Informed Consent Statement
Data Availability Statement
Conflicts of Interest
References
- Wang, K.; Yu, J.; Yu, Y.; Qian, Y.; Zeng, D.; Guo, S.; Xiang, Y.; Wu, J. A survey on energy internet: Architecture, approach, and emerging technologies. IEEE Syst. J. 2017, 12, 2403–2416. [Google Scholar] [CrossRef]
- Sun, H.; Guo, Q.; Wu, W.; Wang, B.; Zhang, B. Integrated energy management system with multi-energy flow for Energy Internet: Design and application. Autom. Electr. Power Syst. 2019, 43, 122–128. [Google Scholar]
- Hu, H.; Zhang, Z.; He, Z.; Wang, K.; Yang, X.; Wei, W. The framework and key technologies of traffic energy internet. Proc. CSEE 2018, 38, 12–24. [Google Scholar]
- Jia, L.; Shi, R.; Ji, L.; Wu, P. Road Transportation and Energy Integration Strategy in China. Strateg. Study CEA 2022, 24, 163–172. [Google Scholar] [CrossRef]
- Sahraei, M.A.; Duman, H.; Çodur, M.Y.; Eyduran, E. Prediction of transportation energy demand: Multivariate adaptive regression splines. Energy 2021, 224, 120090. [Google Scholar] [CrossRef]
- Jin, L.; Zhang, B.; Zhang, L.; Yang, W. Nanogenerator as new energy technology for self-powered intelligent transportation system. Nano Energy 2019, 66, 104086. [Google Scholar] [CrossRef]
- Jia, L.; Shi, R.; Ma, J. Research on the Energy Potential of Land Transportation Infrastructure Assets in China; Science Press: Beijing, China, 2020. [Google Scholar]
- Jia, L.; Shi, R.; Ji, L. Research Report on Integrated Development Strategy of Rail and Road Transportation and Energy—Road; Strategic Consulting Report of Chinese Academy of Engineering: Beijing, China, 2022. [Google Scholar]
- Ji, L.; Yu, Z.; Ma, J.; Jia, L.; Ning, F. The potential of photovoltaics to power the railway system in China. Energies 2020, 13, 3844. [Google Scholar] [CrossRef]
- Hagos, D.A.; Ahlgren, E.O. Exploring cost-effective transitions to fossil independent transportation in the future energy system of Denmark. Appl. Energy 2020, 261, 114389. [Google Scholar] [CrossRef]
- Salvi, B.L.; Subramanian, K.A. Sustainable development of road transportation sector using hydrogen energy system. Renew. Sustain. Energy Rev. 2015, 51, 1132–1155. [Google Scholar] [CrossRef]
- Jia, L.; Ma, J.; Cheng, P.; Liu, Y. A perspective on solar energy-powered road and rail transportation in China. CSEE J. Power Energy Syst. 2020, 6, 760–771. [Google Scholar]
- Liu, Z.; Fei, T. Road PV production estimation at city scale: A predictive model towards feasible assessing regional energy generation from solar roads. J. Clean. Prod. 2021, 321, 129010. [Google Scholar] [CrossRef]
- Kim, H.G.; Hwang, H.J.; Kang, Y.H.; Yun, C.Y. Evaluation of onshore wind resource potential according to the road proximity. New Renew. Energy 2013, 9, 13–18. [Google Scholar] [CrossRef]
- Zhang, L.; Liu, L.; Wang, M.; Wang, Y.; Zhou, Y. Forecast and analysis of road transportation energy demand under the background of system dynamics. IOP Conf. Ser. Earth Environ. Sci. 2019, 252, 052043. [Google Scholar] [CrossRef]
- García-Olivares, A.; Solé, J.; Osychenko, O. Transportation in a 100% renewable energy system. Energy Convers. Manag. 2018, 158, 266–285. [Google Scholar] [CrossRef]
- Burandt, T.; Xiong, B.; Löffler, K.; Oei, P.Y. Decarbonizing China’s energy system–Modeling the transformation of the electricity, transportation, heat, and industrial sectors. Appl. Energy 2019, 255, 113820. [Google Scholar] [CrossRef]
- Lund, H.; Mathiesen, B.V. Energy system analysis of 100% renewable energy systems—The case of Denmark in years 2030 and 2050. Energy 2009, 34, 524–531. [Google Scholar] [CrossRef]
- Ning, F.; Ji, L.; Ma, J.; Jia, L.; Yu, Z. Research and analysis of a flexible integrated development model of railway system and photovoltaic in China. Renew. Energy 2021, 175, 853–867. [Google Scholar] [CrossRef]
- Zhang, D.; Kang, Y.; Ji, L.; Shi, R.; Jia, L. Coevolution and Evaluation of Electric Vehicles and Power Grids Based on Complex Networks. Sustainability 2022, 14, 7052. [Google Scholar] [CrossRef]
- He, D.; Wang, X.; Zhang, F. Research of Traffic Energy System and Optimization Operation Unified Model. In Proceedings of the 2019 IEEE 3rd International Electrical and Energy Conference (CIEEC), Beijing, China, 7–9 September 2019; pp. 1809–1814. [Google Scholar]
- Yan, M.; Li, G.; Li, M.; He, H.; Xu, H.; Liu, H. Hierarchical predictive energy management of fuel cell buses with launch control integrating traffic information. Energy Convers. Manag. 2022, 256, 115397. [Google Scholar] [CrossRef]
- Wang, C.; Wang, S.; Gao, Z.; Song, Z. Effect evaluation of road piezoelectric micro-energy collection-storage system based on laboratory and on-site tests. Appl. Energy 2021, 287, 116581. [Google Scholar] [CrossRef]
- Wu, T.; Liu, S.; Ni, M.; Zhao, Y.; Shen, P.; Rafique, S.F. Model design and structure research for integration system of energy, information and transportation networks based on ANP-fuzzy comprehensive evaluation. Glob. Energy Interconnect. 2021, 1, 137–144. [Google Scholar]
- Farahani, S.S.; Veen, R.; Oldenbroek, V.; Alavi, F.; Lee, E.H.P.; Wouw, N.; Lukszo, Z. A hydrogen-based integrated energy and transport system: The design and analysis of the car as power plant concept. IEEE Syst. Man Cybern. Mag. 2019, 5, 37–50. [Google Scholar] [CrossRef]
- Yang, T.; Guo, Q.; Sheng, Y.; Sun, H. Coordination of urban integrated electric power and traffic network from perspective of system inter connection. Autom. Electr. Power Syst. 2020, 44, 1–9. [Google Scholar]
- He, Z.; Xiang, Y.; Liao, K.; Yang, J. Demand, Form and Key Technologies of Integrated Development of Energy-Transport-Information Networks. Autom. Electr. Power Syst. 2021, 45, 73–86. [Google Scholar]
- Huang, Y.; Guo, H.; Liao, C.; Zhao, D. Research on the Transport Energy Transformation Route of the Guangdong-Hong Kong-Macao Greater Bay Area Based on the Long-range Energy Alternatives Planning System Model. Sci. Technol. Manag. Res. 2021, 41, 209–218. [Google Scholar]
- Wei, W.; Danman, W.U.; Qiuwei, W.U.; Shafie-Khah, M.; Catalao, J. Interdependence between transportation system and power distribution system: A comprehensive review on models and applications. J. Mod. Power Syst. Clean Energy 2019, 7, 433–448. [Google Scholar] [CrossRef]
- Hamad, A.A.; Nassar, M.E.; EI-Saadany, E.F.; Salama, M.M.A. Optimal configuration of isolated hybrid AC/DC microgrids. IEEE Trans. Smart Grid 2018, 10, 2789–2798. [Google Scholar] [CrossRef]
- Pradhan, A.; Panda, B.; Mannepalli, R. Case Studies on Microgrid Design Using Renewable Energy Sources. In Microgrids, 1st ed.; Narejo, G.B., Acharya, B., Singh, R.S.S., Newagy, F., Eds.; CRC Press: Boca Raton, FL, USA, 2021; pp. 279–299. [Google Scholar]
- Doost, M.F.; Keshtkar, H.; Gendell, B. Intelligent Roadways: Learning-Based Battery Controller Design for Smart Traffic Microgrid; Springer: Berlin/Heidelberg, Germany, 2020; pp. 998–1011. [Google Scholar]
- Liu, Y.; Wang, Y.; Li, Y.; Gooi, H.B.; Xin, H. Multi-agent based optimal scheduling and trading for multi-microgrids integrated with urban transportation networks. IEEE Trans. Power Syst. 2020, 36, 2197–2210. [Google Scholar] [CrossRef]
- Chandak, S.; Rout, P.K. The implementation framework of a microgrid: A review. Int. J. Energy Res. 2021, 45, 3523–3547. [Google Scholar] [CrossRef]
- Azaza, M.; Wallin, F. Multi objective particle swarm optimization of hybrid micro-grid system: A case study in Sweden. Energy 2017, 123, 108–118. [Google Scholar] [CrossRef]
- Zhang, D.; Miao, S.; Zhao, J.; Tu, Q.; Liu, H. A Bi-Level Locating and Sizing Optimal Model for Poverty Alleviation PVs Considering the Marketization Environment of Distributed Generation. Trans. China Electrotech. Soc. 2019, 34, 1999–2010. [Google Scholar]
- Guan, L.; Zhao, Q.; Zhou, B.; Lyu, Y.; Zhao, W.; Yao, W. Multi-scale clustering analysis based modeling of photovoltaic power characteristics and its application in prediction. Autom. Electr. Power Syst. 2018, 42, 24–30. [Google Scholar]
- Yuan, G.; Gao, Y.; Ye, B. Optimal dispatching strategy and real-time pricing for multi-regional integrated energy systems based on demand response. Renew. Energy 2021, 179, 1424–1446. [Google Scholar] [CrossRef]
- Zhang, C.; Cai, J.; Zhang, Y.; Du, S.; Sun, Z.; Xu, D. Simulation of high temperature solid oxide water electrolysis for hydrogen production based on thermodynamic equilibrium. Acta Energ. Sol. Sin. 2021, 42, 210–217. [Google Scholar]
- Ni, M.; Leung, M.K.; Leung, D.Y. Energy and exergy analysis of hydrogen production by a proton exchange membrane (PEM) electrolyzer plant. Energy Convers. Manag. 2008, 49, 2748–2756. [Google Scholar] [CrossRef]
- Xu, Y.; Dong, Z.; Zhang, R.; Hill, D. Multi-timescale coordinated volt-age/var control of high renewable-penetrated distribution systems. IEEE Trans. Power Syst. 2017, 32, 4398–4408. [Google Scholar] [CrossRef]
- Wais, P. Two and three-parameter Weibull distribution in available wind power analysis. Renew. Energy 2017, 103, 15–29. [Google Scholar] [CrossRef]
- Yu, J.; Fu, Y.; Yu, Y.; Wu, Y.; Wu, S.; Song, L. Research on two-parameters wind resource assessment methods in BOHAI sea. Acta Energ. Sol. Sin. 2021, 42, 325–332. [Google Scholar]
- Cai, J.; Hao, L.; Xu, Q.; Zhang, K. Reliability assessment of renewable energy integrated power systems with an extendable Latin hypercube importance sampling method. Sustain. Energy Technol. Assess. 2022, 50, 101792. [Google Scholar] [CrossRef]
- Mohseni, S.; Brent, A.C.; Burmester, D.A. Comparison of metaheuristics for the optimal capacity planning of an isolated, battery-less, hydrogen-based micro-grid. Appl. Energy 2020, 259, 114224. [Google Scholar] [CrossRef]
- Sufyan, M.; Rahim, N.A.; Aman, M.M.; Tan, C.K.; Raihan, S.R.S. Sizing and applications of battery energy storage technologies in smart grid system: A review. J. Renew. Sustain. Energy 2019, 11, 014105. [Google Scholar] [CrossRef]
- Khalid, A.; Stevenson, A.; Sarwat, A.I. Overview of technical specifications for grid-connected microgrid battery energy storage systems. IEEE Access. 2021, 9, 163554–163593. [Google Scholar] [CrossRef]














| Nomenclature | Number of Toll Stations | ||
| Load power, kW | The total length of the highway, km | ||
| Renewable energy output, kW | Power prediction value of typical seasonal scenario at the time , kW | ||
| Remaining capacity of the battery, kWh | Power value at the time obtained from historical power prediction, kW | ||
| Lower limit of battery capacity, kWh | Wide range of prediction error | ||
| Upper limit of battery capacity, kWh | Obey some random distribution | ||
| Battery charging power, kW | Random distribution correction factor | ||
| Maximum charging power of the battery, kW | Shape parameters of Weibull distribution | ||
| Battery discharging power, kW | Scale parameters of Weibull distribution | ||
| Maximum discharging power of the battery, kW | Average wind speed, m/s | ||
| Remaining capacity of hydrogen storage tank, kg | Standard deviation | ||
| Lower limit of hydrogen storage tank capacity, kg | Gamma function | ||
| Upper limit of hydrogen storage tank capacity, kg | Shape parameters of beta distribution | ||
| Hydrogen fuel cell output, kW | Scale parameters of beta distribution | ||
| Maximum output of hydrogen fuel cell, kW | Normalization factor | ||
| Electrolysis cell power output, kW | Scenario probability distance | ||
| Maximum output power of electrolysis cell, kW | Scenario probability | ||
| Calorific value of hydrogen, kWh/kg | Euclidean distance | ||
| Hydrogen production efficiency of the electrolysis cell | Number of initial scenarios | ||
| Conversion efficiency of hydrogen fuel cell | Nearest probability distance | ||
| Wind power output, kW | Initial capital cost, ¥ | ||
| Actual wind speed, m/s | Operation and maintenance cost, ¥ | ||
| Cut-in wind speed, m/s | Service life of each micro-generator, year | ||
| Cut-out wind speed, m/s | Installation number of each micro-generator | ||
| Rated wind speed of wind turbine, m/s | Rated output power of each micro-generator, kW | ||
| Rated power of wind turbine, kW | Investment cost of unit power of each micro-generator, ¥ | ||
| Rated power of PV panel, kW | Service life of each micro-generator, year | ||
| Solar radiation intensity at latitude , in the month, day, hour, W/m2 | Fund discount rate | ||
| Temperature coefficient of PV panel, °C | Unit power operation and maintenance cost, ¥ | ||
| Actual temperature of PV panel, °C | , kWh | ||
| Reference temperature of PV panel, °C | Insufficient power at the time , kWh | ||
| Battery self-discharge rate | Renewable energy utilization rate | ||
| Battery charging efficiency | Renewable energy power generation, kW | ||
| Battery discharging efficiency | Renewable energy abandonment power, kW | ||
| Rated capacity of the battery, kWh | , kW | ||
| Electrolysis cell efficiency | , kW | ||
| Input power of electrolytic cell, kW | Lower limit of battery state of charge | ||
| The hydrogen storage tank stores energy at the time , kW | Upper limit of battery state of charge | ||
| Hydrogen fuel cell efficiency | Maximum discharge power of a battery, kW | ||
| Input power of hydrogen fuel cell, kW | Maximum charging power of a battery, kW | ||
| Energy consumption of highway system infrastructure, kW | Maximum output of one electrolysis cell, kW | ||
| service area for one hour, kWh | Maximum output of one hydrogen fuel cell, kW | ||
| Energy consumption of the parking area for one hour, kWh | Lower limit of hydrogen storage tank capacity status | ||
| Tunnel length, m | Upper limit of hydrogen storage tank capacity status | ||
| Number of tunnels | Maximum capacity of one hydrogen storage tank, kg | ||
| Bridge length, km | |||
| Type | Hydrogen Fuel Cell | Hydrogen-Fueled Internal Combustion Engine |
|---|---|---|
| Emissions | 2H2 + O2 = 2H2O | 2H2 + O2 = 2H2O |
| 2H2→4H+ + 4e− + O2→2H2O | H2 + O2 + N2→H2O + NOX | |
| Efficiency | 50~60%, theoretical up to 90% | 25~30% |
| Reservoir density | High | Low |
| Storage tank | Small | Large |
| Equipment | Specification Parameters | ICC (¥/kW) | OMC (¥/kW) | Life Span (Year) |
|---|---|---|---|---|
| Wind turbines | 100 kW | 8500 | 0.018 | 20 year |
| PV panels | 2 kW | 11,000 | 0.007 | 20 year |
| Batteries | 12 V/100 A·h | 1000 | 0.08 | 3 year |
| Electrolysis cell | 1 kW | 1300 | 0.03 | 10 year |
| Hydrogen storage tanks | 1 kg | 180 | 0 | 20 year |
| Hydrogen fuel cells | 1 kW | 1100 | 0.04 | 10 year |
| Type | Scenario 1 | Scenario 2 | Scenario 3 | Scenario 4 | Scenario 5 |
|---|---|---|---|---|---|
| wind | 0.145 | 0.115 | 0.115 | 0.190 | 0.435 |
| PV | 0.080 | 0.110 | 0.335 | 0.335 | 0.120 |
| Scenario | 1 | 2 | 3 | 4 | 5 | 6 | 7 | 8 | 9 | 10 | 11 | 12 | 13 |
| Probability | 0.012 | 0.017 | 0.049 | 0.049 | 0.018 | 0.010 | 0.013 | 0.040 | 0.040 | 0.014 | 0.010 | 0.013 | 0.040 |
| Scenario | 14 | 15 | 16 | 17 | 18 | 19 | 20 | 21 | 22 | 23 | 24 | 25 | |
| Probability | 0.040 | 0.014 | 0.016 | 0.021 | 0.064 | 0.064 | 0.024 | 0.036 | 0.049 | 0.147 | 0.147 | 0.053 |
| Experiment Design Scheme | Optimal Value | Average Value | Variance |
|---|---|---|---|
| Scheme 1 | 473.14 | 473.53 | 1.3 |
| Scheme 2 | 492.35 | 492.97 | 1.7 |
| Scheme 3 | 459.58 | 460.65 | 2.6 |
| Experiment Design | Wind Turbines | PV Panels | Batteries | Electrolysis Cells | Hydrogen Storage Tanks | Hydrogen Fuel Cells |
|---|---|---|---|---|---|---|
| Scheme 1 | 19 | 573 | 485 | 0 | 0 | 0 |
| Scheme 2 | 19 | 545 | 0 | 77 | 49 | 183 |
| Scheme 3 | 18 | 550 | 264 | 51 | 23 | 78 |
| Experiment Design | EAIC/¥ | EAOMC/¥ | EAC/¥ | REAR/¥ | POR/¥ | Combined Costs (CC)/¥ |
|---|---|---|---|---|---|---|
| Scheme 1 | 1,726,050 | 2,416,040 | 4,142,090 | 1.68% | 6.21% | 4,735,370 |
| Scheme 2 | 2,382,040 | 2,200,400 | 4,582,440 | 2.30% | 2.32% | 4,929,668 |
| Scheme 3 | 2,061,130 | 2,496,400 | 4,557,530 | 0.39% | 0.26% | 4,606,472 |
Disclaimer/Publisher’s Note: The statements, opinions and data contained in all publications are solely those of the individual author(s) and contributor(s) and not of MDPI and/or the editor(s). MDPI and/or the editor(s) disclaim responsibility for any injury to people or property resulting from any ideas, methods, instructions or products referred to in the content. |
© 2023 by the authors. Licensee MDPI, Basel, Switzerland. This article is an open access article distributed under the terms and conditions of the Creative Commons Attribution (CC BY) license (https://creativecommons.org/licenses/by/4.0/).
Share and Cite
Shi, R.; Gao, Y.; Ning, J.; Tang, K.; Jia, L. Research on Highway Self-Consistent Energy System Planning with Uncertain Wind and Photovoltaic Power Output. Sustainability 2023, 15, 3166. https://doi.org/10.3390/su15043166
Shi R, Gao Y, Ning J, Tang K, Jia L. Research on Highway Self-Consistent Energy System Planning with Uncertain Wind and Photovoltaic Power Output. Sustainability. 2023; 15(4):3166. https://doi.org/10.3390/su15043166
Chicago/Turabian StyleShi, Ruifeng, Yuqin Gao, Jin Ning, Keyi Tang, and Limin Jia. 2023. "Research on Highway Self-Consistent Energy System Planning with Uncertain Wind and Photovoltaic Power Output" Sustainability 15, no. 4: 3166. https://doi.org/10.3390/su15043166
APA StyleShi, R., Gao, Y., Ning, J., Tang, K., & Jia, L. (2023). Research on Highway Self-Consistent Energy System Planning with Uncertain Wind and Photovoltaic Power Output. Sustainability, 15(4), 3166. https://doi.org/10.3390/su15043166

