Abstract
Technology diffusion plays an important role in the improvement of technological innovation capabilities and can provide strong support for sustainable economic development. This paper aims to analyze the influence mechanism of technology diffusion on sustainable development, such as the initial investment willingness, technology spillover effects and absorptive capacity, technology transfer prices and intellectual property protection, government subsidy support and penalties. However, there is a lack of systemic game mechanism and numerical simulation methods for heterogeneous enterprises. Based on the government, OFDI companies, and domestic companies that are not involved in FDI, we have proposed the evolutionary game model for technology diffusion on sustainable development. The results show that: (1) The government, OFDI firms, and domestic firms are influenced by each other’s initial willingness to a different extent; (2) Different combinations of technology spillover and absorptive capacity lead to different sustainable evolution results of technology diffusion; (3) Reasonable technology transfer pricing and enhancing the protection of property rights can improve the efficiency of the technology diffusion sustainable development system; (4) Both financial support and penalties encourage technology diffusion sustainable development, but excessive financial support reduces the government’s willingness to participate ultimately. Therefore, this paper proposes that the government should increase its willingness to participate and increase punishment for unreasonable pricing behaviors. The stronger the stimulus effect of OFDI firm technology spillover and domestic firm absorptive capacity, the stronger the stimulus effect; however, there is a certain threshold effect, at the same time increasing the property rights protection of OFDI firms and the penalties for opportunistic behaviors of domestic firms, and establishing a diversified financial support policy, will increase the efficiency of the technology diffusion sustainable development system.
1. Introduction
In today’s economic globalization, technological progress and innovation are the driving forces of a country’s sustainable economic development. In addition to relying on its own independent research and development to achieve technological innovation and upgrading, a country can also fully absorb and use foreign advanced technology to promote industrial sustainable development through external acquisition. This is particularly important for the vast majority of developing countries, where the natural endowment of technological elements is insufficient and enterprises lack the core technologies on which to survive and thrive. OFDI enterprises obtain the spillover of advanced technologies from technologically developed countries through direct foreign investment, and realize the common upgrading of corresponding industries through localization diffusion, but in order for this process to achieve sustainable development if this is possible, the question of how OFDI enterprises, local enterprises, and government participants should make decisions needs to be explored.
In recent years, as the largest developing country, China’s outward direct investment scale has grown rapidly, and according to data from the State Administration of Foreign Exchange of China, as of the end of 2021, the outward direct investment position was about 2.6 trillion US dollars, an increase of 5.82 times that of 2011, which promoted China’s own technological upgrading, an iteration of the technological spillover effect of outward direct investment, which provided strong support for China to accelerate the sustainable development of building an innovative country. Technology diffusion refers to the spread of technology from technologically developed enterprises to technologically backward enterprises, the technological gap between different enterprises is a prerequisite of technology diffusion because the technological development level of China’s local enterprises is relatively low, the technical level of OFDI enterprises is relatively advanced, so it is important to enhance the innovative and sustainable development of local enterprises through OFDI enterprises to local enterprises to diffuse advantageous technology.
Scholars have produced rich research results on the analysis of the influencing factors of technology diffusion in subdivided fields. Rao K U et al. conducted a theoretical analysis of the diffusion of renewable energy technologies and found that the diffusion of renewable technologies is driven back by policy and incentive factors [1]. Li Yuhua, Gao Yang and Hu Yaoying studied the influencing factors of technology diffusion in complex product systems based on the structural equation model, and found that the company’s own R&D capabilities, external environment and the complexity of the technology itself have a profound impact on technology diffusion [2]. Oluwasola Oni et al. found that the ability of SMEs in the broadband Internet industry to recognize and understand broadband technology in the process of technology diffusion determines the diffusion of broadband technology [3]. When the international technology gap is too large, it is difficult for “going out” enterprises to obtain new technologies through technology diffusion, and cannot achieve technology feedback on domestic enterprises; only when the TFP ratio between China and the host country is at a reasonable range can there be significant reverse technology spillovers [4]. Huang Xaoli and Huang Xiaohua pointed out that the financial efficiency of China plays a positive role in the overflow effect of OFDI’s reverse technology. In the subregion analysis, they found that there are significant differences in the impact of financial development on technological spillovers across regions [5].
Some scholars took into account the empirical model of the emergence of government as an influencing factor in the effect of technology diffusion, and affirmed the positive role of government. Song Yingjie and Li Zhongdong used the ordered Probit model to empirically test the influence of government on the diffusion of quality and safety technologies in agricultural products, and found that government regulation plays an active role in multiple stages of the diffusion of quality and safety technologies [6]. When Wu Zhongsheng and Liu Qin established a competition model to analyze the impact of government behavior on the diffusion of XBRL technology, they found that government intervention can promote the diffusion of XBRL technology by improving the competitiveness of enterprises [7]. Xiao Hanjie and Wang Hua discussed the diffusion of low-carbon environmentally friendly technologies based on the evolutionary game model, and affirmed the incentive effect of government policies on enterprise diffusion technologies [8]. Based on SIS theory, Li Shuaichao analyzed the diffusion process of industrial clusters, affirmed that government subsidies have a positive effect on the diffusion effect of quality technology innovation, and the diffusion of quality technology innovation has a distance attenuation effect [9].
On the topic of the sustainable development of OFDI, scholars have also conducted relevant research. Zhang Huiying and Liu Yikang believe that IP protection is conducive to achieving the sustainable development of OFDI, that brain drain due to migration has a negative effect on OFDI, and that strengthening IP protection cannot significantly reduce the negative impact of brain drain [10]. The purpose of China’s outward investment has shifted from exploring natural resources and opening up more markets to acquiring knowledge and innovation from foreign countries [11], and as the largest emerging market in Asia, studying its OFDI motives is of great significance to the sustainable development of OFDI in home countries [12]. Zhang Xiaoling et al. took the manufacturing industry in the Jiangsu Province as an example to analyze the relationship between manufacturing sectors in the process of outward direct investment, and made up for the gaps in research related to the sustainable development of China’s outward direct investment from provincial data [13]. Foreign scholars studied the intraregional interaction between outward direct investment (OFDI), export trade and economic growth; they found that there is a causal relationship between export trade and economic growth for outward direct investment [14].
The existing literature has a role in studying the technology diffusion of OFDI enterprises and local enterprises, but there are still some problems. On the one hand, the research on the interaction between OFDI enterprises and local enterprises focuses on knowledge transfer and knowledge sharing, while there are few related studies on the sustainable development of technology diffusion, and there is little research on the passive diffusion behavior of OFDI enterprises and the passive adoption behavior of local enterprises in the process of technology diffusion sustainable development. On the other hand, the existing literature on the use of evolutionary game theory to study the interaction between OFDI enterprises and local enterprises is mostly a two-party game, which does not consider the regulating role of the government in the process of behavioral interaction, in fact, the positive incentive and negative punishment of the government are important ways to make the game evolve towards the optimal state.
The possible innovation of this paper is that by constructing a tripartite evolutionary game model, including government, OFDI firms, and domestic firms, based on the bounded rationality hypothesis, this paper studies the strategy selection evolution of the tripartite subjects in the process of the technology diffusion sustainable development game, including: (1)Based on the existing research, this paper studies the passive diffusion interaction and passive adoption behavior of OFDI firms and domestic firms in the process of technology diffusion sustainable development, which further enriches the research on the behavior interaction between OFDI firms and domestic firms; (2) This paper extends the government into the game system of technology diffusion sustainable development, analyzes the regulation effect of government behavior on both sides’ technology diffusion sustainable development, and provides corresponding countermeasures for the governance of OFDI firms’ passive diffusion behavior and domestic firms’ negative adoption behavior.
2. Literature Review
Under the effect of reverse technology spillover, OFDI firms have greatly upgraded their knowledge stock and structure, technological level and innovation ability comparison with domestic firms [15,16]. Due to the comparatively low technical level, the homogeneous competition of products is severe, which restricts the improvement of their innovation ability to a great extent [17]. For example, the Jilin Changchun automobile industry cluster fell into an innovation dilemma due to the simple replication and imitation of technology. Domestic firms promoted by the Chint Group actively implement innovative technology to the technologically leading OFDI firms, so as to improve their technical level and innovation ability. OFDI firms, as technology advantages, have the motivation of active diffusion [18]. Firstly, due to the technical competitiveness among OFDI firms, they must diffuse the advantageous technologies within a certain period of time in order to receive adequate compensation for the cost of technology acquisition. Secondly, the technology spillover effect also causes OFDI firms to grasp the best technology diffusion time. The domestic firms’ imitation and innovation of technology from OFDI firms is an important way to produce the technology spillover effect. Even with the protection of intellectual property rights, domestic firms can imitate the technology only by virtue of product appearance and functional information. Therefore, the full value of the advantageous technology of the OFDI firms will overflow and some will be absorbed by domestic firms, while domestic firms acquire the technology through imitation and innovation at a relatively low cost. Therefore, in order to avoid the risk of technology depreciation and technology spillover, OFDI firms will actively spread advantageous technologies to domestic firms, which is conducive to the cost compensation of OFDI firms and the technology upgrade of domestic firms, so as to form a benign cooperation mechanism [19,20].
However, when OFDI firms actively diffuse advantageous technologies to domestic firms, domestic firms may adopt them passively, that is, when OFDI firms actively diffuse advantageous technologies, domestic firms choose opportunistic behavior, and the harm degree of opportunistic behavior depends on the strength of property rights protection, this behavior is detrimental to the sustainability of technology diffusion activities. Therefore, there are two unsatisfactory states in the process of realizing the system optimization of the active diffusion of advantageous technologies by OFDI firms and the active adoption of advanced technologies by domestic firms. One is that OFDI firms actively diffuse while domestic firms passively adopt, and the existence of opportunistic behavior will reduce the initiative of subsequent technology diffusion of OFDI firms; the other is the passive diffusion of OFDI firms and the active adoption of domestic firms. The technology spillover effect of passive diffusion will not satisfactorily compensate for the technology acquisition cost of OFDI firms [8]. At the same time, domestic firms cannot quickly realize technology upgrading by imitation and innovation. In this regard, the government’s behavior can regulate the behavior of OFDI firms and domestic firms. By supporting the behavior of active diffusion and positive adoption, and punishing the behavior of passive diffusion and negative adoption, we can restrict the behavior of both sides and keep the technology diffusion activities in an ideal state [21].
Previous studies have verified the existence of reverse technology spillovers in enhancing the innovation level of OFDI firms. Arora and Lohani used national level data to verify their presence through empirical analysis [22]. Chen, etc., found that firms in technologically backward countries can acquire innovative technology spillover from technologically advanced countries by carrying out OFDI activities [23]. Fu Yuanhai and Chen Lishan, Sha Wenbing and Li Ying and Li Hongya believe that OFDI firms’ overseas investment layout and learning and absorbing overseas advanced technology are conducive to extending market share [24,25,26]. On this basis, scholars have studied the influencing factors of OFDI’s reverse technology spillover effect. ACS, Sanders, Sivak, etc., believe that human capital, R&D output, property rights protection and absorptive capacity have heterogeneous effects on spillover effects [27,28]. Many scholars, such as Herzer, Li Mei and Liu Shichang, Yang Lianxing and Liu Xiaoguang, believe that national, regional and industrial differences will also influence the spillover effect [29,30,31].
Through foreign direct investment activities, conglomerate corporations not only have close ties with foreign firms, but also have domestic firms as their important partners. Yang Chaojun, etc. Zhao Juan and Wei Zhimin, Mi Jie et al. believe that in order to avoid the risk of technology depreciation and technology spillover and make adequate compensation for technology acquisition costs, OFDI firms need to take the initiative to spread advantageous technologies to domestic firms [18,19,20], which also provides an opportunity for the technological upgrade of domestic firms. Therefore, based on the apparent needs of both sides, this can obtain mutual benefits and win–win results as OFDI firms can spread advantageous technologies to domestic firms actively.
However, some domestic firms seem to be short-sighted. Opportunistic behavior will occur in the adoption of the advantageous technologies of OFDI firms, that is, they will not pay the price of technology transfer, and OFDI firms will pay the full price, which will lead to the short-term relationship between technology diffusion and adoption, it will reduce the initiative of the subsequent technology diffusion of OFDI firms, and also make domestic firms lose the opportunity to quickly implement a technology upgrade. Mi Jie, etc. studied the opportunistic behavior of OFDI firms and domestic firms in the process of knowledge sharing based on evolutionary game theory, and found that factors, such as the knowledge gap and the strength of property protection between the two sides, will have a significant impact on the results of knowledge sharing [15]. Xiao Hanjie and Wang Hua studied the opportunistic behavior of technology diffusers and technology adopters in the process of cooperation, and found that government pollution regulation and internal reputation loss will influence the strategy choice of both sides [8]. For developing countries, in order to enhance the knowledge level and innovation ability of domestic firms as soon as possible, and due to the imperfect technology diffusion system, it is inevitable that some firms may implement opportunistic behavior. Therefore, in the cooperation process of technology diffusion and adoption between OFDI firms and domestic firms, the construction of evolutionary game model needs to fully consider compensating for the technology acquisition cost of OFDI firms while avoiding the opportunistic behavior of domestic firms, so as to make the technology diffusion activities sustainable.
We discuss and arrange the existing literature to introduce the basic arguments of this paper on the basis of an induction and summary.
- Research method level
The existing literature is mostly based on empirical methods of studying the problems related to manufacturing OFDI firms, such as the existence and heterogeneity of the reverse technology spillover effect and their influencing factors, but the empirical methods cannot cover all research problems. In fact, the game theory in mathematical modeling has unique advantages for studying certain types of problems under this direction, and the representative problem is the strategy selection problem of finite rational subjects, for example, Zhang Cheng and Zhao Gang [32] found that the effect of manufacturing OFDI firms’ access to reverse technology spillover depends not only on their own absorption capacity but also on their competitive and cooperative relationship with technology spillover parties. Ye Guangyu and Helipitim Abibullah [33] found that capital-intensive and labor-intensive firms differ in their OFDI entry mode (cross-border M&A and greenfield investment) choices, and further, Helipitim Abibullah et al. [34] found that host country capital attraction preferences also have an impact on the choice of OFDI entry strategies for firms with productivity differences. The primary contribution of this paper is to extend the game-related research on the strategy choice of manufacturing OFDI firms as finite rational subjects by constructing an evolutionary game model of three subjects, namely, government, OFDI firms and local firms, and studying the direction and extent to which the strategy choice of the three subjects is influenced by each other’s willingness and other factors, and considering the active role of government as a participation subject. It is found that the government’s strategy choice is the result of a trade-off between benefits and costs, and there is a big difference in the effect of positive and negative governance instruments, and the upper limit of financial support needs to be set on the premise that the government’s willingness to participate is not affected, while the sustainability of punitive measures is relatively stronger.
- Research content level
Based on the game theory approach, the research on manufacturing OFDI firms mostly focuses on two types of topics, one is the game in the process of acquiring overseas superior technology through reverse technology spillover by OFDI firms, such as the entry strategy selection and competitive cooperation game mentioned above; the second is the other strategy selection problems of OFDI firms such as the choice of what innovation strategy can be faster to absorb overseas advantageous technology, and thus, faster to achieve their own technological upgrading. Yang Chaojun et al. [35] found that the OFDI reverse technology spillover effect, profit feedback, and R&D cost sharing effect have significant effects on the innovation path choice of manufacturing OFDI firms, and the two strategies of independent innovation and imitation innovation have their own advantages under effects with different intensity. It can be seen that there is less research on the game between manufacturing OFDI firms and local manufacturing firms in the existing literature. In a real situation, individual manufacturing firms cannot realize the technological upgrading of the manufacturing industry quickly by carrying out OFDI activities, but the cooperation between manufacturing OFDI firms and upstream and downstream firms can realize the technological upgrading of the whole industry more quickly, spreading over a whole area from one point. The most critical issue is the stable operation of the cooperation system between manufacturing OFDI firms and local manufacturing firms. Mi Jie et al. [15] found that the necessity of knowledge sharing between OFDI enterprises and local enterprises, and the key to the sustainable operation of the knowledge-sharing mechanism lies in enhancing willingness to share knowledge, inhibiting opportunistic behavior, improving absorption, transformation capacity, and attaching importance to intellectual property protection.
Compared with knowledge sharing between manufacturing OFDI firms and local manufacturing firms, technology diffusion is a more feasible and widespread activity. OFDI firms, as technically superior parties, will only share knowledge with a small number of local enterprises that have unique technical advantages, but technology diffusion and charging corresponding consideration is a more realistic way for local firms to gain the leading technological advantage of OFDI firms. Therefore, this paper investigates the stable operation of the system of technology diffusion of OFDI firms and technology adoption system of local firms under government regulation, and the main findings also confirm this point: OFDI firms and local firms show asymmetry due to the influence of each other’s initial willingness, and local firms show more positive performance, so under both the influence of a disadvantageous position and positive attitude, paying the corresponding attention to adopting advanced technology is faster and more realistic.
Further, most of the existing literature has studied the impact of reverse technology spillover intensity or enterprise absorption capacity on the outcome of OFDI activities, but this paper innovatively combines reverse technology spillover intensity and enterprise absorption capacity to form four combinations of high and low, and finds that under high reverse technology spillover intensity and high enterprise absorption capacity, there is a cyclical movement dilemma in the technology diffusion system when the initial willingness is low. In addition, increasing the protection of property rights of OFDI firms and the punishment for opportunistic behavior of local firms can effectively break this dilemma. Finally, a series of measures are proposed to improve the operational efficiency of the technology diffusion system, such as controlling the pricing of technology transfer, increasing the protection of property rights, and establishing incentives and penalties. To sum up, this paper is an effective extension of the existing research, and some of the findings also provide some references to the stable operation of the OFDI technology diffusion system.
3. Methods
3.1. Evolutionary Game Mechanism of Technology Diffusion
In fact, there is a long-term game relationship between technological diffusion and adoption of OFDI firms and domestic firms. Due to the bounded rationality of firms and the indirect policies of the government, the game between both sides will undergo a long evolutionary process. As a dynamic game method under bounded rationality, evolutionary game theory can help one study the dynamic game behavior of bounded rational groups in the long-term evolution process and the stable state of the final convergence of the system. Therefore, this paper uses evolutionary game theory to study the evolution process of strategy selection of OFDI firms and domestic firms in technology diffusion activities. On this basis, it is of great theoretical and practical significance to analyze the evolution path and influence factors of the technology diffusion system with the participation of the government, in order to improve the efficiency of OFDI firms’ technology diffusion to domestic firms and further improve the innovation ability of domestic firms.
The technology level of OFDI-type manufacturing firms is relatively high, and the technology level of domestic-type manufacturing firms is relatively low. The former will choose to proactively or passively diffuse the superior technology due to the influence of technology competitiveness and technology spillover risk, as well as the strength of property rights protection; the latter will choose to actively or passively adopt the superior technology due to the conflict between long-term and short-term interests. In addition, factors such as initial willingness, technology spillover, absorptive capacity, transfer price, financial support and penalty strength also affect the choice of both parties, while government regulation can achieve the overall optimum of active diffusion by OFDI firms and active adoption by domestic firms. The specific evolutionary mechanism of the sustainable development of technology diffusion in manufacturing firms is shown in Figure 1.
Figure 1.
Evolutionary game mechanism of technology diffusion in manufacturing firms.
3.2. Proposition of Evolutionary Game Model of Technology Diffusion
In the process of technological diffusion and adoption, in addition to directly participating in OFDI firms and domestic firms, the government also plays an important role. It is motivating to adjust the behavior of both parties through financial support and punishment, so as to obtain corresponding benefits and avoid potential losses. Based on this, this paper puts forward the following propositions:
- Proposition 1: There are three participants: government, OFDI, and domestic firms
In the process of technology diffusion games, the participants are government (G), OFDI firm (M) and domestic firm (E). The government hopes to monitor the behaviors of both parties by formulating financial support and punishment policies to obtain positive social benefits and avoid negative social impacts. OFDI firms hope to realize the expected benefits of technology transfer, so as to make optimal compensation for technology acquisition costs, domestic firms hope to implement advanced technology for production under the premise of controllable technology adoption cost to obtain sufficient income.
- Proposition 2: Different principal strategies
The government’s strategy set is (participation, nonparticipation), and its probabilities are x, 1 − x; the strategy set of OFDI firms is (active diffusion, passive diffusion), and their probabilities are y, 1 − y; the strategy set of domestic firms is (positive adoption, negative adoption), and their probabilities are z, 1 − z.
- Proposition 3: Relevant parameters of OFDI and domestic firms
The benefits of OFDI firms in non-proliferation of advantageous technologies are RM, and the benefits of domestic firms in production using original technologies are RE. The transfer price when OFDI firms actively diffuse advantageous technologies is T. The cost of acquiring technologies through foreign direct investment is CM. The property rights protection of OFDI firms when domestic firms adopt opportunistic behaviors is θ. The income obtained by domestic firms from introducing advanced technologies for production is L. The reputation loss caused by opportunistic behaviors to domestic firms is F. The technology spillover coefficient of OFDI firms in passive diffusion is α. The absorptive capacity coefficient of domestic firms is β, and the cost of independent research and development of advanced technology by domestic firms is CE, (0 < θ < 1, 0 < β < 1).
- Proposition 4: Government-related parameters
The benefit that the government does not restrict is RG. When the government participates, the fiscal support for the passive diffusion behavior of OFDI firms is GM, and the punishment for the passive diffusion behavior is PM; when the government participates, the financial support for the positive adoption behavior of domestic firms is GE, and the punishment for the negative adoption behavior is PE. When OFDI firms actively diffuse and domestic firms actively adopt, the government will acquire positive social benefits A. When OFDI firms passively diffuse and domestic firms passively implement, the negative social impact on the government will be B and when the government does not participate, the benefits and losses of these two situations are aA and bB, respectively. The two situations of active diffusion and negative adoption of domestic firms by OFDI firms and passive diffusion and positive adoption of domestic firms also enhance the technology upgrading of domestic firms. However, because it is not the most efficient way, the government will neither obtain positive social performance nor cause a negative social impact, (0 < a < 1, 0 < b < 1, P < G). The model parameters settings and their meanings are shown in Table 1.
Table 1.
Model parameters and meanings.
Through Table 1, we can intuitively see the parameters of the game mechanism for the sustainable development of technology diffusion, and participants include the government, OFDI enterprises and local enterprises. By referring to Table 1, we can easily understand the tripartite payment formula in various states.
3.3. Construction of Income Matrix
Based on the basic assumptions of the model, this paper analyzes the different strategy choices of the three parties and obtains the tripartite game income matrix of technology diffusion between OFDI firms and domestic firms considering the government’s strategic choice, as shown in Table 2.
Table 2.
Tripartite game income matrix.
3.3.1. The Ideal Game State with Government Participation
When the government chooses the participation strategy, OFDI firms choose the active diffusion strategy, and domestic firms choose the active adoption strategy, the system reaches the optimal state, the technology acquisition cost of OFDI firms is compensated satisfactorily, domestic firms obtain more benefits by introducing advanced technology for production, and the government obtains positive social benefits by means of regulation. At this time, the government’s income is , the income of OFDI firms is , and that of domestic firms is .
3.3.2. Adverse State of the Gaming System with Government Involvement—Negative Adoption
When the government chooses the participation strategy, OFDI firms choose the active diffusion policy and domestic firms choose the negative adoption strategy, the technology return income of OFDI firms cannot be fully realized, and the degree of income realization relies on OFDI firms’ strength of property right protection. Opportunistic behavior not only saves some technology introduction costs for domestic firms, but also causes losses to their reputation. The government will also punish the opportunistic behavior of domestic firms. At this time, the income of the government is , that of OFDI firms is , and that of domestic firms is .
3.3.3. Adverse State of the Gaming System with Government Involvement—Passive Diffusion
When the government chooses the participation strategy, OFDI firms choose the passive diffusion strategy, and domestic firms choose the active adoption strategy, OFDI firms will choose not to carry out technology diffusion in order to avoid the risk of opportunistic behavior by domestic firms, but it will be affected by unavoidable technology spillover, and the government will also punish behavior that is not conducive to the rapid innovation upgrading of domestic firms. Domestic firms, under the influence of absorbing OFDI firm spillover technology, will carry out technological imitation and innovation to obtain relevant benefits, which will obtain the government’s financial support. At this time, the income of the government is , that of OFDI firms is , and that of domestic firms is .
3.3.4. Worst State of the Gaming System with Government Participation
When the government chooses the participation strategy, OFDI firms choose the passive diffusion strategy and domestic firms choose the passive adoption strategy, the system reaches the worst state. The inaction of both parties will have a negative social impact on the government and will be punished by the government. At this time, the income of the government is , that of OFDI firms is and that of domestic firms is .
3.3.5. The Ideal State of the Gaming System without Government Involvement
When the government chooses the non-participation strategy, OFDI firms choose the active diffusion strategy, and domestic firms choose the active adoption strategy, the government does not provide financial support or punishment for relevant behaviors. OFDI firms and domestic firms independently choose the technology diffusion and adoption behaviors, while the government obtains certain positive social benefits due to free riding behavior. At this time, the government’s income is , the income of OFDI firms is , and that of domestic firms is .
3.3.6. Adverse State of the Gaming System under Government Non-Participation—Negative Adoption
When the government chooses the non-participation strategy, OFDI firms choose the active diffusion strategy and domestic firms choose the negative adoption strategy, due to the lack of government constraints, the enthusiasm of subsequent technology diffusion of the OFDI firms will be affected, which will also encourage the opportunistic behavior tendency of domestic firms. At this time, the income of the government is , that of OFDI firms is and that of domestic firms is .
3.3.7. Adverse State of the Gaming System under Government Non-Participation—Passive Diffusion
When the government chooses a nonparticipation strategy, OFDI firms choose the passive diffusion strategy, and domestic firms choose an active adoption strategy. Due to the lack of government financial support, it will be more difficult for domestic firms to use OFDI firm technology spillover to imitate innovation and acquire the corresponding benefits. At this time, the income of the government is , the income of OFDI firms is , and the benefits of domestic firms is .
3.3.8. Worst State of the Gaming System without Government Participation
When the government chooses the non-participation strategy, OFDI firms choose the passive diffusion strategy and domestic firms choose the negative adoption strategy; the inaction of both parties will also have a certain negative social impact on the government because the government does not carry out the relevant governance. At this time, the income of the government is , that of OFDI firms is and that of domestic firms is .
Through Table 2, we can intuitively see the eight strategy combinations of the technology diffusion game system, including ideal state, adverse state and worst state, etc. Under different strategy combinations, the income formulas of all parties show obvious differences, indicating that the players of the game have different motivations when making strategy choices. The large difference of income formula lays a good foundation for the subsequent calculation and analysis steps in this paper.
3.4. Construction of Expected Return Function
The income expectation when the government participates , the income expectation without participation and the average income expectation are, respectively:
The expected return of OFDI firms choosing active diffusion strategy in game , the expected return of passive diffusion strategy and the average income expectation are, respectively:
The expected return of domestic firms choosing active adopting strategy in game , the expected return of passive adopting strategy and the average income expectation are, respectively:
3.5. Related Replicated Dynamic Equation
The replicated dynamic equation of the government’s choice of the “participation” strategy over time is:
The replicated dynamic equation of the OFDI firm’s choice of the “active diffusion” strategy over time is:
The replicated dynamic equation of the domestic firm’s choice of the “positive adoption” strategy over time is:
By combining Equations (10)–(12),the replicated dynamic system of government, OFDI firms and domestic firm is as follows:
Friedman and Zhang et al. proposed that the evolutionary stability strategy (ESS) of the system can be obtained by analyzing the domestic stability of the Jacobian matrix corresponding to the replicated dynamic system [36,37]. In this paper, by making F(x) = F(y) = F(z) = 0, we can obtain eight domestic equilibrium points from the system, , , , , , , , .
3.6. Equilibrium Point Stability Analysis
Let us first analyze the case where the equilibrium point is , the Jacobian matrix is:
Three eigenvalues of the matrix can be obtained, and so on. The eigenvalues of all equilibrium points can be seen in Table 3.
Table 3.
Eigenvalues of the matrix.
Table 3 shows the eigenvalue matrix of the game system, and the calculation of the eigenvalues lays the foundation for the equilibrium point analysis below. Unlike the two-party game system that uses the determinant and trace judgment of the Jacobi matrix when doing the equilibrium point analysis, the three-party game system uses the sign of the three eigenvalues corresponding to each equilibrium point to make the judgment, which leads to the instability point, saddle point and ESS point in this paper.
In order to facilitate the symbolic analysis of eigenvalues, the following assumptions may be made:
That is, the net income brought by the government’s choice of a participation strategy is greater than that of a non-participation strategy. The net income brought by OFDI firms and domestic firms an choosing active diffusion strategy and an active adoption strategy, respectively is greater than that of a passive diffusion strategy and a passive adoption strategy, respectively.
Table 4 lists the positive and negative eigenvalues of each of the eight equilibrium points of the game system, as well as the properties of equilibrium points. It can be found that ESS appears at different equilibrium points under different circumstances.
Table 4.
Domestic stability of equilibrium point.
Different situations are discussed below:
Situation 1: When and , if , the stable points of the system are and ; if , the stable points of the system are and .
Situation 2: When or , the stable point of the system is .
Situation 3: When and or and , if , the stable point of the system is ; if , the stable points of the system are and .
4. Results and Figures
Based on the evolutionary game theory, this paper makes a theoretical analysis of the intellectual diffusion between OFDI firms and domestic firms. In order to show the specific evolutionary process more explicitly and intuitively, the evolutionary paths of all parties are analyzed through the MATLAB simulation. The reference parameters are set as follows: ; ; ; ; ; ; ; ; ; ; ; ; ; ; ; .
4.1. Impact of Initial Intention on the Evolution of Technology Diffusion Relationship
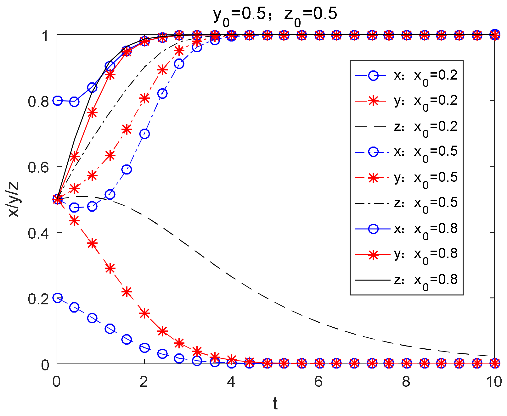
Figure 2 shows the evolution path of the impact of the change of government participation intention on the active diffusion intention and active adoption intention of OFDI firms and domestic firms under the condition that other parameters remain unchanged. It can be seen from the figure that when x takes 0.2 y and z converge at 0, the evolution stability point decreases to (0,0,0); when x takes 0.5 and 0.8, y and z always converge at 1, and the evolutionary stability point tends to (1,1,1). At this time, the increase in x will accelerate the convergence speed of y and z. The numerical simulation results show that the low willingness of the government to participate cannot enhance the efficiency of technology diffusion activities between OFDI firms and domestic firms. When the government’s willingness to participate exceeds a certain threshold, the increase in its willingness to participate can significantly improve the initiative and enthusiasm of the technology diffusion and technology adoption of OFDI firms and domestic firms. It is not difficult to understand that the negative punishment of the government is an effective means to restrict the passive diffusion behavior of OFDI firms and the negative adoption behavior of domestic firms. Its positive incentive is conducive to the adequate compensation of the technology acquisition cost of OFDI firms, and can decrease the cost of rapid technology upgrade of domestic firms. Therefore, whether the government’s willingness to participate is firm or not will largely influence the efficiency of technology diffusion activities between OFDI firms and domestic firms.
Figure 2.
The evolution result of the change of government participation intention x.
Figure 3 shows the evolution path of the impact of changes in OFDI firms’ willingness to actively diffuse the willingness of government participation, and the willingness of domestic firms to actively implement when other parameters remain unaffected. It can be seen from the figure that when y takes 0.2, x and z converge at 0, and the evolution stability point tends to (0,0,0). When y takes 0.5 and 0.8, x and z always converge at 1, and the evolutionary stability point tends to (1,1,1). At this time, the increase in z will accelerate the convergence speed of x and y. The numerical simulation results show that domestic firms have a strong desire to quickly implement technology upgrading by actively adopting the advantageous technologies actively diffused by OFDI firms. When the willingness of OFDI firms to actively diffuse advantageous technologies surpassed a certain threshold, the strategy choice of domestic firms will quickly convert to active adoption strategies, and the stronger the willingness of OFDI firms to actively diffuse, the faster the convergence of domestic firms. Even when the willingness of OFDI firms to actively spread is low, the strategy choice of domestic firms at the beginning of the cooperation will evolve towards positive adoption. However, with the decline of OFDI firms’ willingness to actively diffuse and the government’s willingness to participate, domestic firms will finally select a negative adoption strategy for risk consideration.
Figure 3.
The evolution results of changes in OFDI firms’ willingness to actively diffuse y.
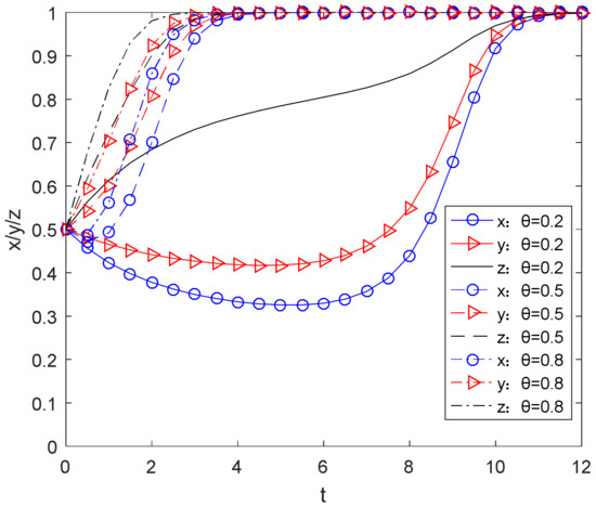
Figure 4 shows the evolution path of the impact of the change of domestic firms’ willingness to actively implement the willingness of government participation and the willingness of OFDI firms to actively diffuse under the condition that other parameters remain unaffected. It can be seen from the figure that when 0.2 is taken by z, x and y converge at 0, and the evolution stability point tends to (0,0,0). When z takes 0.5 and 0.8, x and y always converge at 1, and the evolutionary stability point tends to (1,1,1). At this time, the increase in z will accelerate the convergence speed of x and y. The numerical simulation results show that the comparison with the performance of domestic firms at the beginning of the cooperation period, when OFDI firms have low willingness to actively diffuse, the strategy choice of OFDI firms will quickly convert to the passive diffusion strategy when domestic firms have low willingness to actively adopt. This is mainly because OFDI firms, as a technical advantage, need to bear greater risks in their active diffusion behavior. When domestic firms are more willing to adopt passively, they consider avoiding the risk of opportunistic behavior.
Figure 4.
The evolution result of changes in domestic firms’ willingness to actively adopt z.
4.2. Impact of Technology Spillover Coefficient and Absorptive Capacity Coefficient on the Evolution of Technology Diffusion Relationship
In order to study the evolutionary results of the system under the different conditions of the technology spillover effect of OFDI firms and the absorptive capacity of domestic firms, this paper is divided into four cases for simulation:
- (1)
- Low technology spillover and low absorptive capacity, assuming , ;
- (2)
- Low technology spillover and high absorptive capacity, assuming , ;
- (3)
- High technology spillover and low absorptive capacity, assuming , ;
- (4)
- High technology spillover and high absorptive capacity, assuming , .
Figure 5 shows the evolution path of the impact of the changes of the technology spillover coefficient and absorptive capacity coefficient on the technology diffusion activities of the government, OFDI firms, and domestic firms when other parameters remain unchanged. As can be seen from the figure, in the case of low technology spillover and low absorptive capacity, the strategy choices of the three parties covert to (non-participation, passive diffusion and passive adoption). In other cases, the strategy choices of the three parties convert to (participation, active diffusion, and active adoption), and the higher the technology spillover and the stronger the absorptive capacity, the faster the strategy choices of the three parties convert. The numerical simulation results show that the technology spillover of OFDI firms and the absorption capacity of domestic firms have an important impact on the strategy choice of the When both are low, OFDI firms have less loss in choosing the passive diffusion strategy. They tend to choose confidential technology to obtain monopoly profits, which is enough to cover the relevant penalties imposed by the government. Under its influence, domestic firms tend to choose negative adoption strategies, while the government tends to choose non-participation strategies. In other cases, the passive diffusion cost of OFDI firms is greater than the loss caused by the opportunistic behavior of domestic firms during active diffusion. Therefore, OFDI firms tend to choose an active diffusion strategy. Affected by it, domestic firms tend to choose an active adoption strategy, while the government tends to choose a participation strategy.
Figure 5.
The evolution result of changes in technology spillover coefficient α and absorptive capacity coefficient β.
In the case of high technology spillovers and high absorptive capacity, if the initial willingness of the three parties is low, there will be a periodic cycle in the strategic choice of OFDI firms and domestic firms (as shown in Figure 6). Due to the low initial willingness, the government tends to choose the non-participation strategy, and OFDI firms tend to choose the passive diffusion strategy. At this time, due to the high technology spillover of OFDI firms and the high absorption capacity of domestic firms, their willingness to choose an active adoption strategy will increase. Then, OFDI firms observed the positive adoption behavior of domestic firms. In order to obtain satisfactory technology and obtain cost compensation, their willingness to choose an active diffusion strategy will increase. Without the participation of the government, this will reduce the cost of the opportunistic behavior of domestic firms, so they tend to choose negative adoption strategies to reduce the price of technology transfer. Furthermore, the willingness of OFDI firms to actively spread will decline, and domestic firms will choose to actively adopt strategies to absorb technology spillovers, and finally, the system will fall into an unstable periodic motion state.
Figure 6.
Special situation.
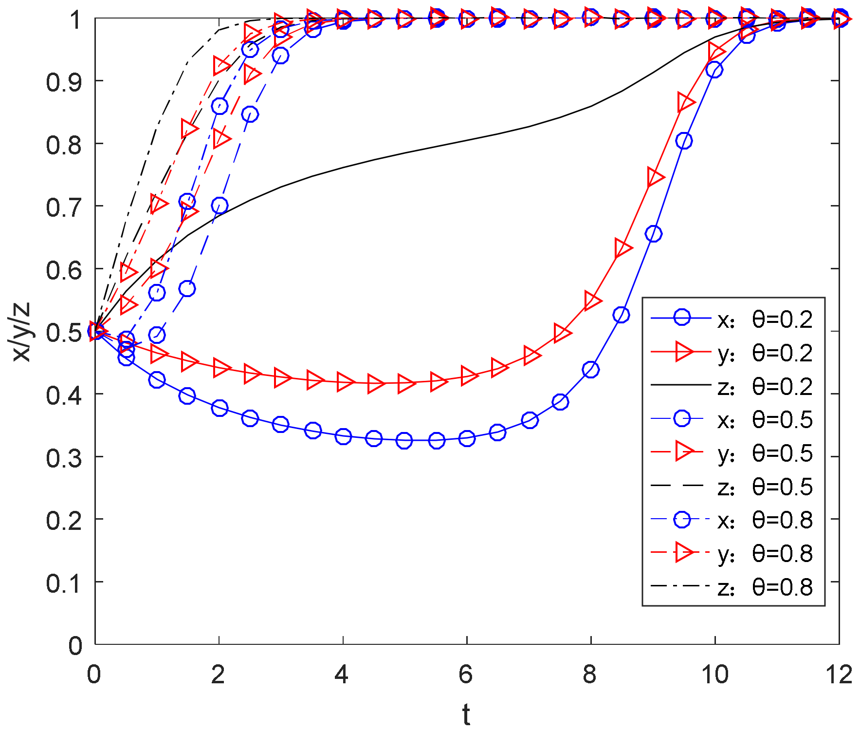
4.3. The Influence of Technology Transfer Price and Property Right Protection on the Evolution of Technology Diffusion Relationship
Figure 7 shows the evolution path of the impact of the change of technology transfer price on the technology diffusion activities of the government, OFDI firms, and domestic firms under the condition that other parameters persist unchanged. As can be seen from the figures, too low and too high technology transfer prices are not optimal. When the technology transfer price is too low, the willingness of OFDI firms to actively diffuse will quickly converge at 0, while the willingness of domestic firms to actively implement will increase at the beginning of the cooperation period. However, with the continuous decline of the willingness of OFDI firms to actively diffuse, their strategy choice will eventually convert to the negative adoption strategy; when the technology transfer price is too high, the willingness of domestic firms to actively adopt will quickly converge at 0, while the willingness of OFDI firms to actively spread will increase at the beginning of the cooperation period. However, with the continuous decline of domestic firms’ willingness to actively adopt, their strategy choice will eventually converge on the passive diffusion strategy. In both cases, the system is not optimal, so the government also tends to adopt a non-participation strategy. When the technology transfer price is in an acceptable range, the strategy choices of the three parties will eventually converge (participation, passive diffusion and active adoption). The numerical simulation results show that reasonable technology transfer pricing is very important to enhance the efficiency of the technology diffusion system. The government should actively play the role of market supervision and restrict unreasonable pricing behavior.
Figure 7.
The evolution result of changes in technology transfer price T.
Figure 8 shows the evolution path of the impact of changes in property protection on the technology diffusion activities of the government, OFDI firms, and domestic firms under the condition that other parameters remain unchanged. It can be seen from the figure that the strength of property right protection plays the most significant role in domestic firms, followed by OFDI firms and the smallest role is played by the government. The greater the strength of property right protection, the faster the tripartite strategy converges (participation, active diffusion and active adoption). Numerical simulation results show that increasing property rights protection can effectively enhance the efficiency of technology diffusion system.
Figure 8.
The evolution result of changes in strength of property right protection.
4.4. The Impact of Financial Support and Punishment on the Evolution of Technology Diffusion Relationship
Figure 9 shows the evolution path of the impact of changes in financial support on the technology diffusion activities of the government, OFDI firms, and domestic firms under the condition that other parameters remain unchanged. It can be seen from the figure that increasing financial support for firms within a certain range can effectively improve the efficiency of the technological diffusion system and make the system evolve in the direction of (participation, active diffusion and active adoption). However, excessive financial support increases the government’s participation cost, which will reduce the government’s enthusiasm for participation, make it difficult for technology diffusion activities to continue, and finally the three-party strategy choice will converge on (non-participation, passive diffusion and negative adoption).
Figure 9.
The evolution result of changes in financial support GM and GE.
Figure 10 shows the evolution path of the impact of the change of strength of punishment on the technological diffusion activities of the government, OFDI firms, and domestic firms when other parameters remain unchanged. As can be seen from the figure, the greater the punishment, the faster the OFDI firms convert to the active diffusion strategy and the domestic firms convert to the active adoption strategy. At the same time, since there is no need for the government to pay the relevant costs, the increase in punishment will not lead to the decline of the government’s willingness to participate, and finally, the three-party strategy choice will convert to (participation, active diffusion and active adoption).
Figure 10.
The evolution result of changes in punishment intensity PE and PM.
The numerical simulation results in Figure 8 and Figure 9 show that the government should combine positive incentives with negative penalties, give moderate incentives to active diffusion and positive adoption, and increase the penalties for passive diffusion and negative adoption, so as to effectively improve the efficiency of the technology diffusion system.
5. Conclusions
Coordinating the interest relationship between OFDI firms and domestic firms is very important to improve the efficiency of the technology diffusion system. Based on the bounded rationality hypothesis, this paper constructs a tripartite evolutionary game model, including government, OFDI firms, and domestic firms, and analyzes the impact of different parameters on the evolution of the strategy choices of the three parties. The results show the following.
5.1. The Government, OFDI Firms and Domestic Firms Are Impacted by Each Other’s Initial Intentions to Different Degrees
After the government’s willingness to participate rises to a certain extent, its willingness to participate is significantly positively correlated with the willingness of OFDI firms to actively spread and the willingness of domestic firms to actively adopt. However, OFDI firms and domestic firms show asymmetry under the influence of each other’s initial willingness. When OFDI firms have low willingness to actively diffuse, domestic firms also show high willingness to actively adopt at the beginning of the cooperation, while when domestic firms have low willingness to actively adopt, OFDI firms tend to choose passive diffusion strategies. Therefore, the government should upgrade its willingness to participate and strengthen the construction of relevant systems to relieve the worries of OFDI firms’ active diffusion.
5.2. Different Combinations of Technology Spillover and Absorptive Capacity Will Form Different Evolutionary Results
When the technology spillover of OFDI firms and the absorptive capacity of domestic firms exceed a certain threshold, large potential losses will stimulate OFDI firms to choose the active diffusion strategy, and the stronger the technology spillover and absorptive capacity, the more obvious the stimulating effect. At this time, the government needs to prevent the periodic movement dilemma of the technology diffusion system when the initial intention is low under the condition of high technology spillover and high absorption capacity, and strengthen the property rights protection of OFDI firms and the punishment of opportunistic behavior of domestic firms, which can effectively solve this dilemma.
5.3. Reasonable Technology Transfer Pricing and Strengthening Property Rights Protection can Improve the Efficiency of the Technological Diffusion System
Technology transfer pricing is the result of the game between the diffusing party and the adopting party. Too low and too high technology transfer pricing are not conducive to the sustainability of technology diffusion activities, and the higher the protection of property rights, the better. The government should actively perform the function of market supervision, punish unreasonable pricing, and strengthen the protection of property rights on the premise of controllable cost.
5.4. Government Financial Support and Punishment Should Be Controlled within a Reasonable Range
Financial support and punishment measures can promote technology diffusion activities, but excessive financial support will reduce the willingness of the government to participate, and eventually lead to the decline of the sustainability of technology diffusion activities. Therefore, the government needs to strengthen the punishment of passive diffusion and negative adoption, formulate diversified financial support policies on the premise of controllable participation cost, and improve the efficiency of the technology diffusion system by combining positive incentive and negative punishment.
This paper expands the relevant research of manufacturing OFDI enterprises to a certain extent. The relevant research of OFDI based on game theory mainly focuses on two kinds of scenarios; one is the choice of entry strategy of manufacturing enterprises when carrying out OFDI activities; the other is the choice of strategy of manufacturing enterprises after acquiring reverse technology spillovers, such as the choice of innovation path While there are few studies on the connection between OFDI enterprises and local enterprises, the existing literature only examines the sustainability of knowledge-sharing activities between OFDI enterprises and local enterprises. In fact, there is a large strength difference between OFDI enterprises and local enterprises. OFDI enterprises prefer to carry out knowledge-sharing activities with a small number of local enterprises with unique technological advantages, while for the rest of the local enterprises with a large number of homogeneous technologies, OFDI enterprises do not have a strong motivation for cooperation. Therefore, it is more feasible to charge the corresponding consideration for technology diffusion activities. This paper explores the sustainable development of the technology diffusion system between manufacturing OFDI enterprises and local enterprises, and further examines the important role of government regulation in it, connecting the existing literature to a certain extent, and expanding the relevant research on the game of manufacturing OFDI enterprises.
Of course, the research in this paper also has certain limitations, and some problems need to be further explored. For example, the follow-up research can use the mechanism design theory to calculate the specific numerical range of indicators such as technology diffusion pricing. In addition, the technology diffusion system may be affected by other factors or entities that are not considered in this paper. These limitations can be improved through further research in the future.
Finally, the stable operation and sustainable development of OFDI manufacturing enterprises and local enterprises’ technology diffusion system is the subject of this study. Through the above research conclusions, we can find that effective regulation with the participation of the government is an important means to achieve this goal, and the positive signals released can stimulate the good behavior of enterprises, including financial support, to a certain extent, increased punishment for violations, and regulation of technology-transfer pricing. Increasing the protection of property rights is an effective means to ensure sustainable development. At the same time, it is also necessary to pay attention to a special type of technology diffusion dilemma, namely, low willingness to participate under high spillover and high absorptive capacity, and make up for the inherent deficiencies of the system in a multi-pronged way, so as to achieve the stable operation and sustainable development of the technology diffusion system of OFDI enterprises and local enterprises in the manufacturing industry.
Author Contributions
Conceptualization, X.Y.; Data curation, J.L.; Formal analysis, C.L.; Funding acquisition, X.Y.; Methodology, C.L.; Software X.Y. and C.L.; Supervision, X.Y.; Writing—original draft, X.Y.; Writing—review and editing, J.L. All authors have read and agreed to the published version of the manuscript.
Funding
This work was supported by the Ministry of Education of Humanities and Social Science project, China, grant number [20YJC790166], and supported by the Scientific Research Fund of Hubei University of Technology, China, grant number [BSQD2020079], and supported by the Philosophy and Social Science Fund of Educational Commission of Hubei Province, China grant number [19G102].
Institutional Review Board Statement
Not applicable.
Informed Consent Statement
Not applicable.
Data Availability Statement
The data used to support the findings of this study are available from the corresponding authors upon request.
Acknowledgments
The authors would like to thank four anonymous reviewers for their constructive comments on an earlier version of the paper. This paper was supported by the Ministry of Education of Humanities and Social Science project (20YJC790166), and supported by the Scientific Research Fund of Hubei University of Technology (BSQD2020079), and supported by the Philosophy and Social Science Fund of Educational Commission of Hubei Province, China (19G102).
Conflicts of Interest
The authors declare that there is no conflict of interests regarding the publication of this paper.
References
- Rao, K.U.; Kishore, V.V.N. A review of technology diffusion models with special reference to renewable energy technologies. Renew. Sustain. Energy Rev. 2010, 14, 1070–1078. [Google Scholar] [CrossRef]
- Li, Y.; Gao, Y.; Hu, Y. Analysis of influencing factors of technology diffusion in complex product system based on structural equation model. Sci. Res. Manag. 2012, 33, 146–152. [Google Scholar] [CrossRef]
- Oni, O.; Papazafeiropoulou, A. Diverse views on IT innovation diffusion among SMEs: Influencing factors of broadband adoption. Inf. Syst. Front. 2014, 16, 729–747. [Google Scholar] [CrossRef]
- Wang, L.; Wu, F.; Jiang, X. International technology gap, reverse technology spillover of outward direct investment and technological progress of local enterprises. Sci. Technol. Prog. Countermeas. 2022, 39, 41–51. [Google Scholar]
- Huang, X.; Huang, X. Impact of Chinese financial development on OFDI reverse technology spillovers: Evidence from China. Financ. Res. Lett. 2022, 52, 103576. [Google Scholar] [CrossRef]
- Song, Y.; Li, D. An empirical study on the impact of government regulation on the diffusion of agricultural product quality and safety technology. Res. Manag. 2013, 34, 61–70. [Google Scholar] [CrossRef]
- Wu, Z.; Liu, Q. International XBRL application experience and enlightenment to China’s promotion of XBRL cause. Manag. Mod. 2016, 36, 53–55. [Google Scholar]
- Xiao, H.; Wang, H. Research on diffusion asymmetric evolution game of low-carbon environment-friendly technological innovation. China Sci. Technol. Forum 2017, 8, 20–27. [Google Scholar] [CrossRef]
- Li, S. Research on Technological Innovation Diffusion of Complex Network Quality Based on Evolutionary Game; Zhejiang Gongshang University: Hangzhou, China, 2022. [Google Scholar] [CrossRef]
- Zhang, H.; Liu, Y.; Chen, M.H. Do Foreign Direct Investment and Migration Influence the Sustainable Development of Outward Foreign Direct Investment? From the Perspective of Intellectual Property Rights Protection. Sustainability 2022, 14, 364. [Google Scholar] [CrossRef]
- Shi, J. Formal Institutional Distance and Innovation from OFDI: Evidence from China. Sustainability 2022, 14, 368. [Google Scholar] [CrossRef]
- Bezuidenhout, H.; Mhonyera, G.; Van Rensburg, J.; Sheng, H.H.; Carrera, J.M., Jr.; Cui, X. Emerging Market Global Players: The Case of Brazil, China and South Africa. Sustainability 2021, 13, 12234. [Google Scholar] [CrossRef]
- Zhang, X.; Tang, D.; Li, Y.; Boamah, V.; Liu, Y. Analysis of OFDI Industry Linkage Network Based on Grey Incidence: Taking the Jiangsu Manufacturing Industry as an Example. Sustainability 2022, 14, 5680. [Google Scholar] [CrossRef]
- Wong, K.N.; Tan, B.W.; Goh, S.K. A nexus between intra-ASEAN outward FDI, intra-ASEAN exports and economic growth of ASEAN-10: Evidence using panel causality analysis. Asia-Pac. J. Bus. Adm. 2022. ahead-of-print. [Google Scholar] [CrossRef]
- Mi, J.; Lin, R.; Dong, K.; Song, P. Evolutionary game analysis of knowledge sharing between OFDI firms and domestic cluster firms—From the perspective of knowledge potential. Manag. Rev. 2016, 28, 106–120. [Google Scholar] [CrossRef]
- Branstetter, L.G. Is foreign direct investment a channel of knowledge spillovers? Evidence from Japan’s FDI in the United States. J. Int. Econ. 2006, 68, 325–344. [Google Scholar] [CrossRef]
- Li, Y.; Tang, L. Ensemble or Solo? Bidirectional Technology Spillover of “Clusters with Cores” and Cluster Innovation Performance: Regulation of Independence. Nankai Manag. Rev. 2020, 23, 41–52. [Google Scholar] [CrossRef]
- Yang, C.; Liu, B.; Bi, K. Research on the evolutionary game of green innovation diffusion of domestic and foreign firms under government control. Soft Sci. 2019, 33, 86–91. [Google Scholar] [CrossRef]
- Zhao, J.; Wei, Z. Research on the evolutionary mechanism of innovation diffusion under the action of patent system—Analysis from a micro perspective. J. Henan Univ. (Soc. Sci. Ed.) 2021, 61, 64–70. [Google Scholar] [CrossRef]
- Mi, J.; Guo, B.; Chen, H.; Fan, J. Knowledge potential differences and knowledge flow mechanisms in innovation ecosystem. J. Beijing Univ. Technol. (Soc. Sci. Ed.) 2020, 22, 78–87. [Google Scholar] [CrossRef]
- Xu, J.; Xu, Y. Low carbon technology innovation diffusion mechanism under government environmental regulation—Evolutionary game analysis based on prospect theory. Syst. Eng. 2015, 33, 118–125. [Google Scholar]
- Arora, N.; Lohani, P. Does foreign direct investment spillover total factor productivity growth? A studying Indian drugs and pharmaceutical industry. Benchmarking 2017, 24, 1937–1955. [Google Scholar] [CrossRef]
- Chen, J.; Zhan, W.; Tong, Z.; Kumar, V. The effect of inward FDI on outward FDI over time in China: A contingent and dynamic perspective. Int. Bus. Rev. 2020, 29, 101734. [Google Scholar] [CrossRef]
- Fu, Y.; Chen, L. Impact of different technological introduction methods on China’s economic growth efficiency. Contemp. Financ. Econ. 2016, 11, 14–22. [Google Scholar] [CrossRef]
- Sha, W.; Li, Y. OFDI reverses technology spillovers, knowledge management and regional innovation capability. World Econ. Res. 2018, 7, 80–94, 136. [Google Scholar] [CrossRef]
- Li, H. OFDI and the growth of Chinese manufacturing firms. J. Econ. 2019, 6, 177–216. [Google Scholar] [CrossRef]
- Acs, Z.J.; Sanders, M. Intellectual property rights and the knowledge spillover theory of entrepreneurship. Jena Econ. Res. Pap. 2008, 69, 8–23. [Google Scholar]
- Sivak, R.; Caplanova, A.; Hudson, J. The impact of governance and infrastructure on innovation. Post-Communist Econ. 2011, 23, 203–217. [Google Scholar] [CrossRef]
- Herzer, D. The Long-run Relationship between Outward Foreign Direct Investment and Total Factor Productivity: Evidence for Developing Countries. J. Dev. Stud. 2011, 47, 767–785. [Google Scholar] [CrossRef]
- Li, M.; Liu, S. Regional differences and threshold effect of reverse technology spillover of Foreign Direct Investment—Threshold regression analysis based on China’s inter provincial panel data. Manag. World 2012, 66, 21–32. [Google Scholar] [CrossRef]
- Yang, L.; Liu, X. China’s OFDI reverses technology spillovers and improvement of export technology complexity. Financ. Trade Econ. 2016, 6, 97–112. [Google Scholar] [CrossRef]
- Zhang, C.; Zhao, G. Outward foreign direct investment and manufacturing upgrade. Res. Econ. Manag. 2018, 39, 52–65. [Google Scholar] [CrossRef]
- Guang-yu, Y.E.; Halpitim, H. Productivity Difference and the Entry Mode Choice of Enterprises’ Outward Foreign Direct Investment. Oper. Res. Manag. Sci. 2019, 28, 166–173. [Google Scholar]
- Halpitim, H.; Fuji, X.; Guangyu, Y. A Study of the Entry Strategy Choices of Enterprises’ Outward Foreign Direct Investment under the Host Country Investment Preference Based on Evolutionary Game Perspective. Manag. Rev. 2021, 33, 232–241. [Google Scholar] [CrossRef]
- Yang, C.; Zhang, G.; Bi, K. Research on the impact of OFDI on the evolution of green innovation path of industrial enterprises. Soft Sci. 2019, 33, 63–93. [Google Scholar] [CrossRef]
- Friedman, D. Evolutionary Game in Economics. Econometrica 1991, 59, 637–666. [Google Scholar] [CrossRef]
- Zhang, C.; Lin, K.; Wang, L. Incentive and Supervisory Contract between Special Committees and CEO Based on the Evolutionary Game Model. Math. Probl. Eng. 2020, 2020, 4089634. [Google Scholar] [CrossRef]
Disclaimer/Publisher’s Note: The statements, opinions and data contained in all publications are solely those of the individual author(s) and contributor(s) and not of MDPI and/or the editor(s). MDPI and/or the editor(s) disclaim responsibility for any injury to people or property resulting from any ideas, methods, instructions or products referred to in the content. |
© 2023 by the authors. Licensee MDPI, Basel, Switzerland. This article is an open access article distributed under the terms and conditions of the Creative Commons Attribution (CC BY) license (https://creativecommons.org/licenses/by/4.0/).









