Abstract
Since the COVID-19 epidemic swept the world, the emergency supply chain (ESC) has faced serious uncertainty risks. To maintain the stability of the emergency supply, risk prevention and contingency measures must be prepared. In this paper, the authors first obtain the initial risk value of 0.4 using the fuzzy comprehensive evaluation approach and then build an improved SIR model based on a complex network to investigate the risk propagation law of the ESC. The simulation results show that (1) the high number of nodes becomes the initial risk source, the risk propagates faster and the peak value arrives two days earlier on average; (2) the initial infection rate gradually increases from 0.2 to 0.4, 0.6, and 0.8, and the risk spread speed also accelerates; (3) the recovery rate of network nodes increases gradually from 0.1 to 0.2, 0.3, and 0.4, and the influence range of risk propagation decreases inversely; (4) appropriately increasing the deletion rate of network nodes is conducive to improving the stability of the ESC network. Given the above ESC risk propagation law, this paper proposes relevant risk prevention measures and suggests that a risk early warning system of node enterprises should be established in combination with the target immunization strategy. For ESC risk management, the result has significant theoretical and practical implications.
1. Introduction
To provide the fundamental requirements of vulnerable populations, governments in many developing nations must maintain a steady supply chain [1,2,3]. For government representatives and regulators, creating an emergency supply chain network is a vital and crucial responsibility to safeguard the population’s ability to live normally in the case of a crisis or tragedy [4,5]. A state of emergency was declared in numerous nations throughout the world in late 2019 as a result of the COVID-19 outbreak. Unfortunately, many of the countries or regions affected by the COVID-19 epidemic have inefficient or disorganized emergency supply networks [6].
The concept of ESC is quite rich. From the viewpoint of the dominant party, it primarily involves two directions: the enterprise-led ESC operating in a commercial environment and the government-led ESC. The government-led ESC is the primary research topic of this paper. Therefore, the definition of the ESC in this paper is a dynamic supply and demand network led by the government when large-scale emergencies, such as environmental hazards, emergencies affecting public health, and large-scale security incidents, occur. This dynamic supply and demand network can provide funds, materials, rescue, dispatch and command, professional intervention, and other guarantees for an emergency in disaster areas. In addition, the ESC has the main characteristics of a weak economy, high agility, quick response, timeliness, and material dispersion. Extreme weather, organization and cooperation skills, modes of transportation, transportation routes, and other factors affect its operation.
The system flow of the ESC is shown in Figure 1; the sources of emergency materials include production factories, government reserves, agents, and donated materials. The emergency command completes the distribution of materials with high efficiency through information communication between a series of material management platforms. In the event of an emergency, supplies can be transported to hospitals, cities and states, communities, and other organizations in a highly efficient manner [7].
Figure 1.
Emergency supply chain system flow chart.
The strong agility, prompt response, and timeliness of the ESC mean that its main risks—a supply chain interruption and low efficiency—come from a lack of quantity and timely supplies. When the node companies in an ECS face a threat of interruption or bankruptcy as a result of an operational process failure, a lack of organizational support, the impact of unforeseen events, and other factors, they become the source of risk, and that risk can spread to the companies with which they have direct business relationships. If the affected businesses are unable to contain the risk, it will continue to spread, and if it is not stopped in time, there can be catastrophic consequences for the entire emergency supply chain.
In order to support the reliable operation and long-term growth of each firm in the ESC, it is necessary from the perspective of a complex network to assess the risk propagation law on the network of the ESC [8,9].
The ESC structure reveals that, in the event of an emergency, it will act fast to supply the enormous demand for resources. The ESC is in significant danger from uncertainty. The supply chain’s unpredictability is just one source of risk; another is the interruption caused by natural disasters. Emergency logistics supply systems are more fragile than regular supply chains, which makes providing for emergencies even more challenging.
Although the sustainability of ESCs involves several elements, such as resilience, robustness, and disruption risks, this paper argues that good management of risks can prevent and control the problem at the root [10,11,12]. Therefore, this study will take the post-COVID-19 supply chain as an example to explore the laws of risk propagation in ESCs.
However, the existing literature in the field of the ESC focuses more on two or three levels of warehouse and retailer supply chain models, or the influencing factors of some parts of the ESC. The relationship between multiple nodal firms interacting with each other is not explored from the perspective of the network as a whole. To help this discussion, this study introduces the contagion model in complex networks to make improvements for ESCs and analyze their risk propagation laws.
The study of risk propagation in ESCs needs to be integrated with the actual situation of the epidemic, and the exploration of risk propagation laws needs to suggest targeted measures for risk management. However, most of the existing studies on risk propagation in ESCs are general and non-specific. For these considerations, this study asks the following research questions:
- How can risk propagation research be closely integrated with the post-COVID era and the characteristics of the ESC itself?
- How can the classical SIR epidemic model in complex networks be improved for the characteristics of the ESC?
- What ideas can the results of ESC risk propagation research provide to strengthen risk management?
The remainder of the paper is organized as follows. Section 2 provides an overview of the literature. Section 3 outlines complex ESC networks and risk analysis. Section 4 constructs a complex network-based risk propagation model. Section 5 presents a simulation analysis of the model and presents the discussion. Finally, the study concludes in Section 6 by summarizing the findings and suggesting future research directions.
2. Literature Review
This chapter is divided into three sections to help readers fully comprehend the ESC’s risk propagation mechanism: the ESC management strategy, the supply chain’s risk propagation mechanism, and the complicated network-based SIR model.
2.1. Management Strategy of Emergency Supply Chain
Many academics have offered their perspectives on the best management method for the ESC. Yin and Lingyun [13] established a two-level ESC model consisting of a central warehouse and n retailers to seek an effective management strategy for ESC. Wang et al. [14] created an evolutionary game model of supply chain emergency collaboration involving the government, retailers, and suppliers to investigate the best mechanism in the event of a pandemic crisis. They then looked at interactions between the main strategies and the effects of important parameters on the evolution and stability of the system. Shareef et al. [15] explored and identified the management issues of each operational phase of the existing ESC in Bangladesh with respect to the main drivers of the supply chain. Othman et al. [16] proposed a multi-intelligence-based ESC management architecture in which each region is controlled by a single intelligence. Cao et al. [17] designed emergency organizational configuration optimization strategies that consider sustainability.
In addition, some scholars also focus on the extended research of ESC management. One study proposed eight strategies to enhance the resilience of the emergency logistics supply chain and proposed a fuzzy topic method to empirically analyze several emergency logistics experts [18]. Zhang et al. [19] investigated fuzzy contingency models and robust contingency strategies for supply chain systems for stochastic distributors whose supply is disrupted by unexpected events. Chen et al. [20] incorporated the FFIs and the government into the emergency supply chain of masks. The cusp mutation theory was applied to study the behavior of mask manufacturers in scaling down mask production after the onset of overcapacity. Deng et al. [21] investigated the diffusion effect of emergencies based on the influencing factors and supply chain structure of the diffusion of emergencies in an uncertain environment and developed an improved Bass diffusion model.
2.2. Supply Chain Risk Propagation Mechanism
As stated in the literature [21] above, emergency supply chains are prone to emergent event propagation effects in uncertain environments [22]. Therefore, the study of supply chain risk propagation mechanisms is very important to ensure the sustainability of emergency supply chains. In a literature review, using a novel supply chain framework that divides pertinent risk variables into upstream risk, midstream risk, downstream risk, and general risk for risk analysis, Sun et al. [23] presented the progress in risk source identification and risk assessment.
Some scholars focus on studying supply chain risk propagation with the classical epidemic model. In order to examine a variety of determinants, including company risk preferences, operational resilience and flexibility, the fullness of market information, and particularly network topology, Wang et al. [24] employed the epidemic model to research supply chain risk transmission. The fact that nodal enterprises are excluded from the supply chain network served as the basis for Wang et al.’s construction of an enhanced SIRS model for supply chain risk propagation. The simulation examined the mechanism of risk transmission in the supply chain network as well as the effects of different parameters on the supply chain risk transmission and nodal companies in the supply chain network from the viewpoint of a small-world network [25].
Some scholars favor other models of risk propagation. The collaborative manufacturing supply chain network for complicated items was built by Li et al. using CN [26]. An SoV-based quality risk propagation model was created. Based on the consequences of risk propagation, a strategy for locating significant quality risk factors in supply chain networks was suggested. Additionally, Yu et al. [27] concentrated on utilizing the supply chain risk propagation model to research the effects of herd mentality, self-vigilance, talent recruiting, and enterprise management on risk propagation under the supernetwork vision.
2.3. The Complicated Network-Based SIR Model
The complex network-based SIR model is a widely used method when conducting supply chain risk diffusion research. The current application of this approach is reflected in some aspects, as follows.
Based on the susceptible-infected-removed (SIR) model, Li et al. [28] developed a risk propagation model for supply chain risk management of agricultural goods. To simulate the risk propagation of the B2C cross-border e-commerce supply chain, Zhou et al. [29] developed the SIRS virus propagation model and established the evaluation index system of supply chain risk immunity and external risk intensity in accordance with the supply chain risk immunity and external risk intensity. The elements that have the most effect on supply chain risk immunity and external risk intensity were determined using hierarchical analysis. Liang et al. [30] investigated the effects of supply network health and risk transmission on the structure of the global supply network. The supply chain hazards were dynamically identified and predicted using the SIR model at various points in time.
Based on the above information, this paper supplements these authors’ contributions related to the risk propagation of ESC, as shown in Table 1.
Table 1.
An overview of previous contributions.
Although the existing literature provides some good concepts in terms of ESC management strategies and risk propagation, there are still significant gaps, as follows:
- The ESC are not studied in terms of their propagation from a network perspective and are not closely integrated with the current epidemic era.
- Risk propagation is mostly studied using traditional SIR models, which are not improved according to the actual situation or integrated with actual data.
- The SIR model’s research represents the behavior and features of risk propagation in the supply chain network, but the study’s conclusion is unable to provide particular, targeted risk management methods.
The research purposes of this paper include combining ESC with risk communication research in the post-epidemic era, providing ideas for correct risk management, and achieving the goal of maintaining the stability of ESC. To fill these research gaps, this paper undertakes the construction of an ESC network and risk factor analysis in the post-epidemic era based on complex networks, on which the initial infection rate is calculated using a fuzzy comprehensive evaluation method. It was substituted into the improved infectious disease model for simulation analysis. This also leads to the main contributions of this study: (1) to study the risk propagation of ESCs from the perspective of complex networks, which is more in line with the structural characteristics of ESCs; (2) to closely match the actual situation of epidemics by collecting and evaluating professional ESC risk influencing factors; (3) for ESCs, the traditional infectious disease model is improved by introducing the case of deleted nodes/enterprises, which is more consistent with the characteristics of ESC risk propagation.
3. ESC Network and Risk Analysis
3.1. ESC Network
A supply chain network system is recognized as a complex adaptive system (CAS) [31,32,33] since it is by its very nature a complex dynamic system with members that are intricately linked to one another. Additionally, the ESC requires more material manpower in a shorter amount of time. These factors, along with the frequent cross-flow of logistics, capital, and information among businesses, as well as their growing cooperation, cause the network’s uncertainties to worsen significantly. Therefore, the ESC presents similar characteristics as a complex network.
In this paper, the ESC network is abstracted. Suppliers, producers, sellers, and other emergency supply enterprises are the network nodes, and the cooperation relationship between enterprises is the edge of the network. The nodes in the supply chain network are connected to each other with edges, which means that there are logistics, information flow, and capital flow between enterprises, that is, the node enterprises have certain business correlations. To simplify the model, this paper does not consider the difference in business volume among node enterprises. In addition to the two basic constituents of nodes and edges, the direction of edges needs to be considered when constructing the network. Although the direction of the edge in the actual supply chain network often leads from the upstream to the downstream firms, risk spreads radially. When an enterprise in the network is infected by the risk, the upstream and downstream enterprises adjacent to it have the probability of being affected, so the ESC network constructed in this paper is directionless.
Integrating the above ESC network characteristics, the BA model (Barabási-Albert model) is implemented using the networkx package in python to generate a scale-free network, as shown in Figure 2.
Figure 2.
ESC scale-free network.
3.2. Risk Factor Analysis
In this paper, the index data used in the study of ESC risks at home and abroad are addressed, and the main influencing factors of risks in the ESC network are analyzed from four aspects: reliability of ESC operation process, emergency organizational supportability, completeness of emergency, and the impact degree of emergencies. Among them, the supply chain operation process is divided into five parts: planning, procurement, production and storage, distribution, and reverse logistics according to the supply chain operation reference model (SCOR) [34,35,36,37,38] and the characteristics of ESC. The specific risk factor indicators are shown in Table 2.
Table 2.
Influencing factors of ESC risk.
3.3. Risk Parameter Determination
This paper consulted dozens of supply chain experts from government departments, universities, and enterprises based on the risk index system of ESC established in Section 3.2 to evaluate the recovery rate and deletion rate of major enterprises in the ESC in the post-COVID-19 era. Writers issued 65 questionnaires to invite experts to evaluate the risk levels and index weights of risk factors, and 61 valid responses were received. The specific content of the questionnaire is shown in Supplementary Materials. By analyzing the questionnaire results, the weight table of ESC risk evaluation indicators in the post-epidemic era was calculated, as shown in Table 3.
Table 3.
Weight table of ESC risk indicators in the post-COVID-19 era.
This paper selects a fuzzy comprehensive assessment approach to process the evaluation findings, since the data acquired in the evaluation process of ESC risk evaluation indicators are fuzzy and ambiguous. The step flow chart of the fuzzy comprehensive evaluation method is shown in Figure 3, including (1) determining the weight set of risk evaluation indicators; (2) determining the comment level domain; (3) determining the fuzzy evaluation matrix of each index factor; (4) calculating a two-level fuzzy comprehensive evaluation set; (5) determining the risk grade vector; (6) calculating the initial risk value . According to the risk intensity level of risk factors, through consulting experts, the evaluation results of risk intensity interval were obtained, as shown in Table 4.
Figure 3.
Step flow chart of fuzzy comprehensive evaluation method.
Table 4.
Fuzzy comprehensive evaluation results of risk.
The intensity evaluation table was combined with the risk weight intensity, and the initial risk value of the supply chain in the post-epidemic era was calculated; the network potential infection rate is = 0.40. After discussion by experts, it was determined that the recovery rate and deletion rate of the risk propagation model are = 0.2 and = 0.1, respectively.
4. Model Building
4.1. Model Applicability Analysis
Interventional studies involving people or animals, as well as other research projects requiring ethical approval, must state the ethical approval code and the body that granted it.
The results of existing studies show that the spread of risk in the ESC and the spread of infectious diseases in the population have extremely high similarities in three aspects: transmission network, transmission process, and transmission stages [39,40].
(1) The transmission network’s similarity. People make up the nodes of the social network that transmits infectious diseases, while social relationships make up its edges and serve as the path to the spread of infectious diseases. The ESC network is made up of node businesses, and the edges are created by commercial ties between businesses, which are intricate networks just like social networks.
(2) The second is that the transmission procedure is comparable. The spread of infectious illnesses may be summed up as follows: the infected person conveys the illness to those who come into direct contact with him or her, and the contacted person spreads the illness further through contact with unaffected individuals. The ESC’s risk transfer procedure is comparable to the process described above. When a node firm becomes infected with a risk, there is a chance that it may transfer the danger to other businesses with which it has direct business relationships. As a consequence, the risk will eventually impact the entire ESC network.
(3) Finally, the similarity of the transmission stages. The process of spreading infectious disease can be seen as consisting of three stages, namely the outbreak period, transmission period, and recovery period. The process of spreading risk in the ESC can similarly be divided into three stages: risk outbreak, risk transmission, and risk recovery.
In conclusion, it is clear that the spread of infectious illnesses and the spread of risks within the ESC network are extremely similar, making it possible to study the risk propagation mechanism inside the ESC by utilizing the infectious disease transmission dynamics model of complex networks.
4.2. Improved SIR Model
Three groups of traditional models for infectious disease dynamics are SI, SIS, and SIR. The three states of these nodes are S (susceptibility), I (infection), and R (recovery). The population is segmented in accordance with the epidemiological method, leading to the creation of a communication model based on various transitions between the three States.
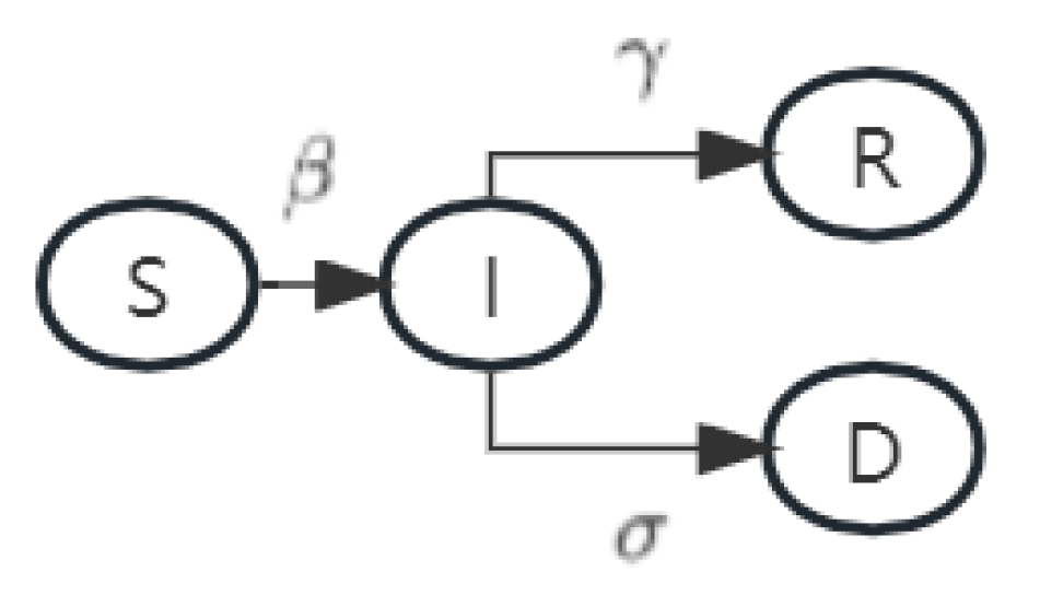
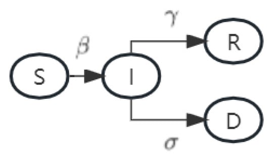
According to the traditional SIR model, infectious diseases spread by a succession of steps in which people become infected and then cured. According to this concept, there is just a small chance that an infected person will become a removed person after receiving treatment. In reality, those who are afflicted have a chance of dying since they cannot recover from the illness; as a result, infectious diseases “wipe out” the population. The fourth state node D (defected) and the deletion probability are thus added, and the SIR model is enhanced.
The law of infection is as follows: (1) Susceptible people will become infected with a given probability after being exposed to infected people, moving from a healthy condition to an infected state. (2) Following a period of adjustment, there will be a certain possibility that infected people will be cured, and there will also be a certain probability that they will be defective when they transition from an infected condition to an extinct state or vice versa. (3) After regaining health, infected people will create their own immunity and become immune. However, as time passes, there is a chance that this immunity will vanish and the person will once again become susceptible to infection. The contagion mechanism of the ESC risk propagation model is shown in Figure 4.
Figure 4.
Improved risk propagation model.
In the above figure, S represents the susceptible node, I represents the infected node, and S is converted into I with a probability of . D represents the deleted node, R represents the recovered node, and the infected node I is converted into these two nodes with a probability of and , respectively. The improved SIR model is based on the following three basic assumptions:
(1) Total number of node firms in the system is a constant N regardless of any natural external factors; in other words: .
(2) Assuming that the number of nodes that can be affected by an infected node enterprise is proportional to the number of vulnerable nodes at time t, and the proportion coefficient is , the number of newly added venture enterprises per unit time is .
(3) Assuming that the number of recovered nodes is proportional to the number of infected nodes at T time per unit time, and the proportion coefficient is , the number of newly added immune nodes per unit time is .
As time goes by, the number of risk-infected enterprises increases first and then decreases parabolically, until the number of infected enterprises is zero, and the system returns to a stable state. Based on the above assumptions, the improved SIR model of ESC risk propagation can be described by the following expression.
The following assumptions are added to the above-mentioned ESC risk propagation model: (1) In the supply chain network, when a risk spreads, it only affects the nodes with direct business relationships. The chance of a risk spreading is controlled by the network’s starting risk value and the effective contact rate between nodes. (2) The supply chain network built in this article is an illegal network, and as risks propagate radially around the network, the transmission procedure does not take the volume and direction of transactions between node firms into account. (3) During the node state change process, each susceptible node is only at risk from one linked infected node at a time, and the infected node must be turned into the recovery node and the deletion node.
4.3. Model Threshold Analysis
In order to further study the propagation behavior on the ESC network, the nodes on the network are classified according to a degree, and the relative density of nodes in the ESC network with degree k in the vulnerable state, infected state, immune state, and deleted state at time t are recorded as , , , and , and the risk propagation model is obtained according to the degree classification:
In Equation (2), denotes the infection rate of the node with degree k. , which denotes the probability that the node with degree k is connected to the infected node at moment t, is expressed as follows.
In Formula (3), represents the conditional probability of a node with a degree of k and a node with a degree of connectivity of k*. The ESC network constructed in this paper is a scale-free network that obeys power law distribution, and it is a non-uniform network. The nodes in the network have no characteristic scale, so can be expressed as follows:
Because has nothing to do with degrees, it can be simplified as follows:
Let ; the proportion of vulnerable nodes in the network can be expressed as
Combining Formulas (5) and (6) can give
When the network reaches a steady state, there is no infected node in the network, and thus = 0. Let the time t for the network to reach a steady state tend to infinity, and thus:
For the function to have a non-zero solution, the following conditions must be met:
According to Formulas (8) and (9), the threshold of risk propagation can be expressed as
The effective spread rate of nodes with the degree of k in the supply chain can be expressed as
When the effective spread rate of risk is greater than the spreading threshold , the risk will spread in the automobile supply chain network until the infected nodes reach the maximum scale, the risk spread is controlled, and the infected nodes gradually decrease with time until they disappear from the network; the risk will not spread in the network.
5. Simulation Results and Discussion
The algorithm used in this paper is a complex network BA algorithm. Firstly, the BA model is realized to generate a scale-free network. The nodes of the network represent the node enterprises of the ESC network, and the edges of the network represent the spread of risks in the ESC. Then, the node state is simulated and updated, which includes four states: infected, susceptible, restored, and deleted, corresponding to the risk state faced by node enterprises in the ESC. Then, the simulation updates all nodes in the network, and finally, the statistics and graphics are presented.
Assume that there is only one enterprise infection risk in the network at the initial state and set the risk propagation parameters: = 0.40, = 0.2, and = 0.1 according to the statistics in Section 3. To create the simulation graph of risk propagation illustrated in Figure 5a, run 30 time steps using a Python program and 30 simulations, and take the average value of the simulation results.
Figure 5.
(a). Risk propagation simulation with randomly selected nodes as initial infectors; (b) risk propagation simulation of the highest degree node as the initial infected person.
As can be seen from Figure 5a, an enterprise in the ESC that becomes a risk source will quickly bring the risk to other enterprises in the network; the number of vulnerable nodes rapidly decreases, and the number of infected nodes keeps increasing. Approximately 62% of the network’s nodes are at risk during the second day, when the infection scale hits its peak. The supply chain network eventually reaches a stable state, and the number of nodes in each state in the steady state no longer change. Approximately 68% of the node enterprises in the emergency condition become infected during the propagation phase, and the growth of infected nodes halts. In roughly 15 days, the number of infected nodes decreases to zero, and by that time, 32% of the network’s nodes are vulnerable.
In order to further explore the main influencing factors of risk propagation, the following simulation analyzes the risk propagation law under different situations by adjusting the initially infected enterprises and the values of each risk propagation parameter.
5.1. The Impact of Initial Infection Enterprise
The different positions of the initial risk enterprises in the ESC network can have an impact on risk propagation. To explore the pattern, we use two strategies for comparative analysis: (1) randomly select the initial risk-infected enterprise or (2) select the node with a high degree as the initial risk-infected enterprise. Other risk propagation parameters are unchanged. Each parameter value is taken for 30 simulations, and then the results are averaged. The risk propagation simulation results obtained are shown in Figure 5a,b.
The ESC has more associated enterprises with the node enterprise with a high degree, and once an enterprise becomes dangerous, it affects a larger range of firms. Figure 5a,b shows that the development rate of the infection scale is noticeably accelerated when the node with the higher degree is chosen as the initial risk-infected enterprise.
This simulation result indicates that the risk spreads faster when the node enterprise with a higher degree becomes the initial risk source. Therefore, before the risk outbreak, more attention should be devoted to the enterprises that are more associated with other node enterprises in the ESC, and good risk prevention measures will be beneficial to the control of the risk propagation speed.
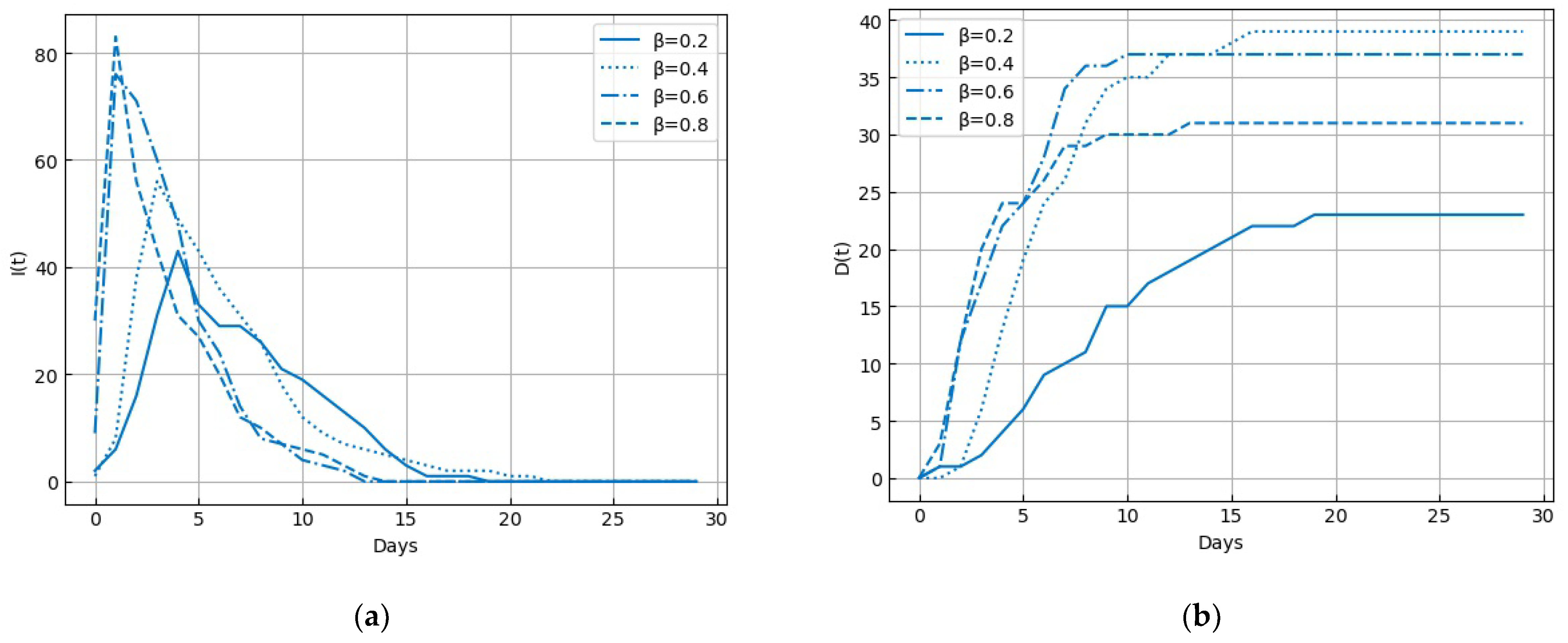
5.2. Impact of Risk Infection Ability on Risk Transmission
The capacity of nodes in the infected state to infect nodes in the susceptible state and lead them to become nodes in the infected state is known as risk infection ability, which is indicated as a probability in the model. The capacity of risk transmission and the efficacy of the enterprise’s risk prevention are both directly reflected in the real ESC by risk infection, which also directly influences risk transmission in the ESC. The enhanced SIR model was simulated with various infection coefficients to thoroughly investigate the impact of risk infection on risk transmission. Other risk transmission characteristics were held constant, and values were set to 0.20, 0.40, 0.60, and 0.80. For each parameter value, 30 simulations were run; the results were then averaged. The correlation between the infection coefficient in the system I(t), the percentage of deleted nodes D(t), and the percentage of infected nodes were found. Figure 6a,b displays the results.
Figure 6.
(a) The correlation between the infection coefficient and the proportion of infected nodes; (b) the correlation between the infection coefficient and the percentage of deleted nodes.
From Figure 6a, it can be seen that as the initial infection rate increases, the number of infected nodes increases throughout the risk propagation process, while the growth rate of infected nodes accelerates and the risk propagation rate increases significantly.
From Figure 6b, it can be found that the number of deleted nodes in the network also increases, and the deletion rate then increases faster. From Figure 6a, it can be found that the infection scale grows fastest when = 0.80, and the maximum number of infected enterprises present in the ESC network is about 83. As the infection rate decreases, the infection scale grows slower, and the maximum number of infected enterprises present in the network then decreases.
This simulation result shows that the larger the initial infection rate is, the faster the risk spreads, the greater the number of enterprises affected by the risk in the network, and the wider the impact of the risk. Therefore, if node enterprises can identify risks from before the risk outbreak and take measures to form certain risk resistance in order to reduce the initial risk infection rate of the network and control the scope and speed of risk propagation, it is conducive to improving the security of the ESC.
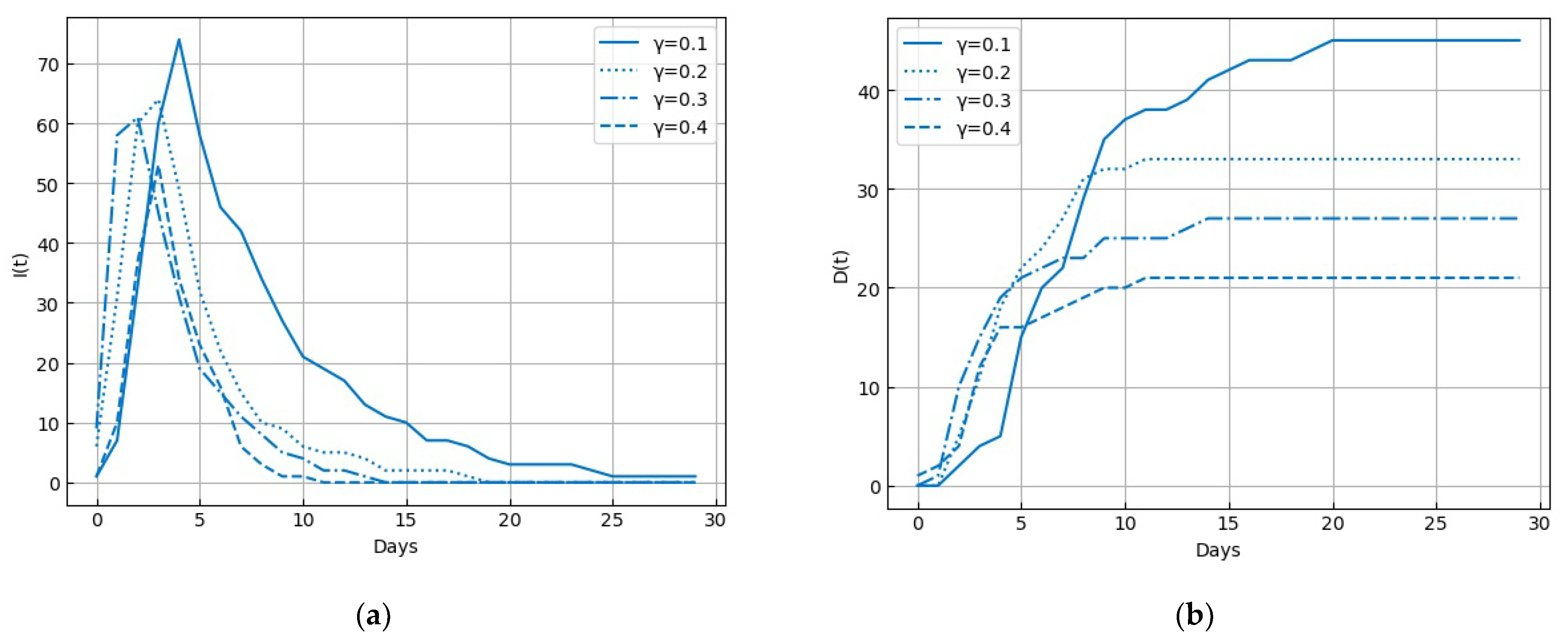
5.3. Impact of Node Resilience on Risk Transmission
Node resilience, which is modeled as probability , is the capacity of an infected node in the system to recover and develop into an immune state node. The capacity of businesses to recover from supply chain risks is directly reflected by node resilience in ESC practice, which is crucial for businesses dealing with risk injuries. The enhanced SIR model is used to simulate the impact of nodal resilience on risk transmission while using various immunity coefficients . The values of are set to 0.1, 0.2, 0.3, and 0.4, and other risk transmission parameters are kept constant. For each parameter value, 30 simulations are run, and the results are averaged. The correlation between the infection coefficient in the system I(t), the percentage of deleted nodes D(t), and the percentage of infected nodes is found. The simulation results are shown in Figure 7a,b.
Figure 7.
(a). The correlation between the immune coefficient and the proportion of infected nodes; (b) the correlation between the immune coefficient and the percentage of deleted nodes.
From Figure 7a,b, it can be seen that the number of nodes to be recovered and the number of deleted nodes in the supply chain network significantly decrease as the recovery rate increases. The maximum number of infected enterprises in the network at = 0.1 is between 70 and 80, and the maximum number of infected enterprises decreases significantly as the recovery rate increases.
This simulation result indicates that the impact range of risk propagation is inversely proportional to the recovery rate of the network nodes; the higher the recovery rate, the smaller the number of risk-affected node enterprises in the network. Therefore, enterprises can focus on their own supply chain management, continuously adjust their response methods after the risk outbreak, and provide help to each other, thus enhancing the recovery ability of the ESC network and reducing the impact of the risk on the ESC network.
5.4. Impact of Risk Deletion Ability on Risk Transmission
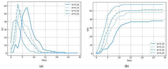
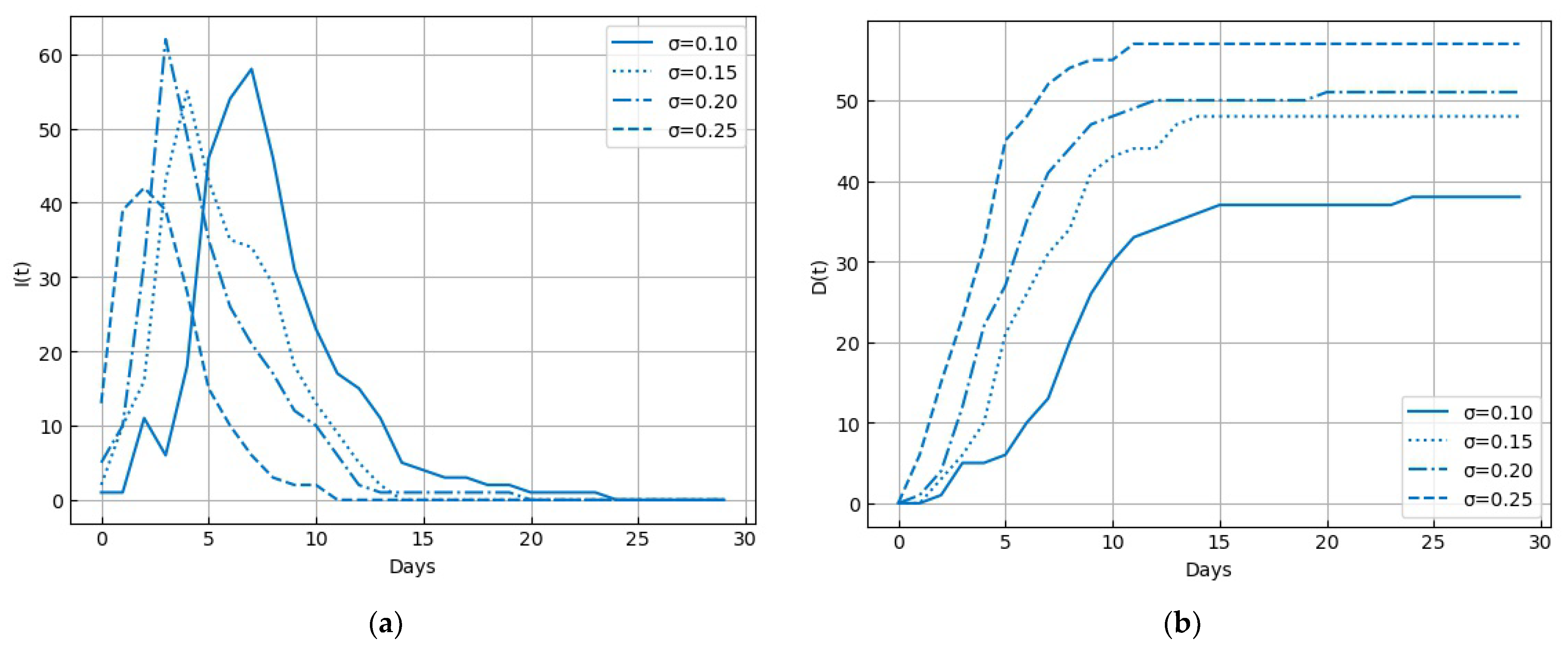
The modified SIR model varies from the traditional SIR model in that it adds a link between the infected firm I and the deleted enterprise D as well as a deletion factor to indicate risk removal capabilities. The ability to delete risks is a key indicator of the enhanced SIR model. In a genuine ESC, the question of whether a supply chain firm will be removed from the chain after contracting a risk is significant and connected to a number of alterations caused by the disturbance risk that the supply chain must contend with. In this article, an upgraded SIR model with various deletion factors is simulated to thoroughly examine the influence of risk deletion capabilities on risk transmission. The values are changed to 0.10, 0.15, 0.20, and 0.25. A total of 30 simulations are executed for each parameter value, and the results are averaged to obtain the relationship between the percentage of infected nodes I(t), the percentage of deleted nodes D(t), and the deletion factor in the system, respectively, as shown in Figure 8a,b.
Figure 8.
(a). The correlation between the deletion coefficient and the proportion of infected nodes; (b) the correlation between the deletion coefficient and the percentage of deleted nodes.
By examining Figure 8a,b, it can be seen that the immunity rate of the network nodes, which is made up of the deletion rate and the recovery rate, combined determines how much a change in the node deletion rate during risk propagation affects the proportion of nodes in each state. Figure 8a illustrates that when the deletion rate increases, both the time required for the system’s maximum number of infected individuals to reach a maximum and the time required for the system to finally reach stability decrease. Figure 8b shows that while the time it takes for the percentage of deleted nodes in the system to settle gradually decreases, the proportion of removed nodes constantly increases.
Increasing the deletion factor has been shown to speed up the removal of nodes from the system and, as a result, increase the overall number of deleted nodes. The system will be more severely harmed as a result of the increased deletion rate since the damaged nodes have little opportunity for healing, even though the overall number of sick nodes is substantially reduced in this method.
The outcome demonstrates the necessity to appropriately alter the deletion rate in light of the actual scenario and the need for risk mitigation. (1) The deletion rate of network nodes can be appropriately increased when decreasing the scope, and the speed of risk infection is the primary need of the current ESC, i.e., the deletion of inferior ESC enterprises that have weak resistance and recovery ability and are easy to become risk sources is conducive to improving the stability of the ESC network. (2) If preserving the number of node firms in the ESC is the major requirement, consideration should be given to the bare minimum of node enterprises necessary to ensure the stability of this supply chain, and suitable trade-offs should be made to lower the deletion rate.
The similarities between the results of this study and other studies are as follows: (1) The initial infection rate is directly proportional to the risk spread speed, which is similar to the characteristics of virus infection rate and virus spread speed; (2) the influence range of risk spread is inversely proportional to the recovery rate of network nodes, which is similar to the relationship between the influence range of the virus and the recovery rate of population infection. The differences between the research results of this paper and other research results are as follows: (1) It is found that node enterprises with more connections have a greater influence on risk communication. (2) It is found that there is no direct positive–negative relationship between the spread rate and the speed and scale of risk spread, but it should be adjusted according to the actual situation and risk prevention.
Through the analysis and discussion of the results, this paper shows that the SIR model based on the complex network has good performance in analyzing supply chain risk propagation. This trait makes it possible to broaden the application of this technique. When addressing the financial risks associated with the resource curse hypothesis, for instance, researchers can think of the economies involved as the nodes and the interactions between them as the edges of a complex network, and then use the model to examine the characteristics of risk propagation. Another illustration is the uncertain relief supply chain, which is appropriate for the complex network analysis method and shares the same timeliness and robust agility as the ESC. As a result, the supply chain techniques used in this research can be improved upon in other areas.
6. Conclusions
Considering the complexity and agility of the ESC system, based on complex network theory, this paper uses the improved infectious disease model (SIR model) to study the risk transfer in ESC. Combined with the influence of risk factors in the post-epidemic era, this paper uses a fuzzy comprehensive evaluation to obtain the initial risk value of the model. Then, it discusses the influence of initial infection enterprise, risk contagion ability, node elasticity, and risk deletion ability on risk transmission, and puts forward some suggestions for the supply chain to deal with risks. Based on the simulation and analysis, the following risk management measures are obtained:
(1) The government emergency agency should set up an early warning system based on the data from the node businesses before the problem arises. The scale and business level of the node enterprise determine the risk resistance of the early warning node enterprise. The size and commercial potential of the node firms in the ESC network can be described using the scale coefficient of nodes. The lower the scale coefficient, the lower the management level of the businesses because, in the post-epidemic phase, some small and medium-sized emergency firms with low volumes and inadequate risk resistance are on the edge of going out of business. According to this principle, establishing a risk early warning system for node enterprises can reduce the speed of risk transmission and the scale of impact after the risk occurs. Specific measures include ① setting up a supply chain risk management organization led by the government emergency department and supplemented by large-scale emergency materials enterprises, coordinating and organizing the upstream and downstream enterprises in the supply chain, and forming a unified risk management system; ② collecting risk information, dynamically and comprehensively monitoring the supply, manufacturing, transportation, and other links from the perspective of the supply chain, and controlling the operation of upstream and downstream enterprises of ESC as a whole. Furthermore, scientific and reasonable analysis methods such as expert investigation, the Delphi method, and the historical information check method are adopted to process the acquired information, so as to calculate the probability of risk occurrence; ③ gathering risk data, actively and thoroughly monitoring the supply chain’s manufacturing, transportation, and other components, and managing both the upstream and downstream operations of the ESC as a whole. To process the collected data and determine the likelihood that a risk would occur, procedures such as expert investigation, the Delphi method, and the historical information check method are chosen.
(2) Before the risk occurs, the government emergency department should encourage relevant enterprises to enhance the efficiency of node recovery. It is mainly reflected in two aspects: ① strengthen the enterprise’s management, standardize the fund management, implement safety stock, and improve employees’ risk-handling ability; ② establish a perfect information-sharing system, led by the emergency department of the government, and prepare an information management platform for all enterprises to share information on raw materials, inventory, transportation, etc.
(3) When the risk spreads (the effective spread rate of the risk is greater than the spreading threshold), the government emergency department can adopt the target immunization strategy. The target immunization strategy refers to the targeted selection of nodes with a large degree from the ESC network for immunization; the larger the degree, the more nodes associated with it, and after being infected by risk, it will infect many enterprises at one time, which will enlarge the scale of risk infection. Therefore, choosing moderately large nodes in the network for immunization is helpful to reduce the spread speed of risk and the scale of infection.
(4) When the risk spreads (the effective spread rate of the risk is greater than the spreading threshold), the government emergency department should control the appropriate deletion rate. On the one hand, it is normal for some enterprises with poor management or weak stability in the ESC to be deleted, which has a positive effect on the stability and self-regulation of the whole ESC network. On the other hand, when too many enterprises in the ESC are deleted, it is irreversible damage, which will affect the normal operation of the whole ESC. Therefore, when maintaining the stability of the supply chain system from a global perspective, it is necessary to analyze and judge the input and income of the maintenance cost in combination with the actual situation, so as to maximize the overall income of the supply chain.
The uniqueness of this study lies in the combination of actual data and method application, which not only has detailed questionnaire survey results to support simulation but also has a model suitable for risk communication analysis. Combining practical data with theoretical analysis, the risk communication analysis results are more suitable for practical application. The theoretical significance of this paper is to explore the risk propagation law of ESC in the post-epidemic period, which provides important enlightenment to the risk management of ESC. The practical significance of this paper is that it provides a specific operational direction for government-oriented ESC risk management; see the above conclusion.
The limitation of this paper is that the algorithm needs to be further improved. In addition, subsequent studies will further focus on the practical implementation of risk management measures for ESCs, such as the combined use of risk warning systems and targeted immunization strategies.
Supplementary Materials
The following supporting information can be downloaded at: https://www.mdpi.com/article/10.3390/su15043059/s1, Questionnaire S1: Questionnaire on Influencing Factors of ESC in the Post-Epidemic Era.
Author Contributions
Conceptualization, J.C.; investigation, T.Y.; methodology, T.Y.; software, T.Y.; validation, J.C. and T.Y.; formal analysis, T.Y.; resources, J.C.; writing—original draft preparation, T.Y.; writing—review and editing, J.C. All authors have read and agreed to the published version of the manuscript.
Funding
This research was funded by Guangxi Aviation Logistics Research Center, Guilin University of Aerospace Technology, grant number 19KFJJHKWL04.
Institutional Review Board Statement
Not applicable.
Informed Consent Statement
Not applicable.
Data Availability Statement
Not applicable.
Conflicts of Interest
The authors declare no conflict of interest.
References
- Xie, K.; Zhu, S.; Gui, P. A Game-Theoretic Approach for CSR Emergency Medical Supply Chain during COVID-19 Crisis. Sustainability 2022, 14, 1315. [Google Scholar] [CrossRef]
- Ran, W.; Hu, Y.; Fu, H.; Jia, Y. Research on the Supply Chain Performance Evaluation Mechanism Based on Emergencies. Discret. Dyn. Nat. Soc. 2021, 2021, 6095221. [Google Scholar] [CrossRef]
- Supply chains in health emergency response. Bull. World Health Organ. 2021, 99, 851–852. [CrossRef]
- Zhu, S.; Xie, K.; Gui, P. Dynamic Adjustment Mechanism and Differential Game Model Construction of Mask Emergency Supply Chain Cooperation Based on COVID-19 Outbreak. Sustainability 2021, 13, 1115. [Google Scholar] [CrossRef]
- Hossain, M.K.; Thakur, V.; Mangla, S.K. Modeling the emergency health-care supply chains: Responding to the COVID-19 pandemic. J. Bus. Ind. Mark. 2021, 37, 1623–1639. [Google Scholar] [CrossRef]
- Min, S.; Zhang, X.; Li, G. A snapshot of food supply chain in Wuhan under the COVID-19 pandemic. China Agric. Econ. Rev. 2020, 12, 689–704. [Google Scholar] [CrossRef]
- Dwivedi, Y.K.; Shareef, M.A.; Mukerji, B.; Rana, N.P.; Kapoor, K.K. Involvement in emergency supply chain for disaster management: A cognitive dissonance perspective. Int. J. Prod. Res. 2017, 56, 6758–6773. [Google Scholar] [CrossRef]
- Yan, B.-R.; Dong, Q.-L.; Li, Q. Research on Risk Measurement of Supply Chain Emergencies in International Capacity Cooperation. Sustainability 2019, 11, 5184. [Google Scholar] [CrossRef]
- Amin, F.u.; Dong, Q.-L.; Grzybowska, K.; Ahmed, Z.; Yan, B.-R. A Novel Fuzzy-Based VIKOR–CRITIC Soft Computing Method for Evaluation of Sustainable Supply Chain Risk Management. Sustainability 2022, 14, 2827. [Google Scholar] [CrossRef]
- Rinaldi, M.; Murino, T.; Gebennini, E.; Morea, D.; Bottani, E. A literature review on quantitative models for supply chain risk management: Can they be applied to pandemic disruptions? Comput. Ind. Eng. 2022, 170, 108329. [Google Scholar] [CrossRef]
- Khan, J.; Ishizaka, A.; Mangla, S.K. Assessing risk of supply chain disruption due to COVID-19 with fuzzy VIKORSort. Ann. Oper. Res. 2022, 1–26. [Google Scholar] [CrossRef]
- Ghadir, A.H.; Vandchali, H.R.; Fallah, M.; Tirkolaee, E.B. Evaluating the impacts of COVID-19 outbreak on supply chain risks by modified failure mode and effects analysis: A case study in an automotive company. Ann. Oper. Res. 2022, 1–31. [Google Scholar] [CrossRef] [PubMed]
- Yin, H.; Lingyun, W. Emergency supply chain management with lateral transshipments and CONWIP. In Proceedings of the 7th International Conference on Industrial Technology and Management (ICITM), Oxford, UK, 7–9 March 2018; pp. 124–129. [Google Scholar]
- Wang, J.; Hu, Y.; Qu, W.; Ma, L. Research on Emergency Supply Chain Collaboration Based on Tripartite Evolutionary Game. Sustainability 2022, 14, 1893. [Google Scholar] [CrossRef]
- Shareef, M.A.; Dwivedi, Y.K.; Mahmud, R.; Wright, A.; Rahman, M.M.; Kizgin, H.; Rana, N.P. Disaster management in Bangladesh: Developing an effective emergency supply chain network. Ann. Oper. Res. 2018, 283, 1463–1487. [Google Scholar] [CrossRef]
- Ben Othman, S.; Zgaya, H.; Dotoli, M.; Hammadi, S. An agent-based Decision Support System for resources’ scheduling in Emergency Supply Chains. Control Eng. Pract. 2017, 59, 27–43. [Google Scholar] [CrossRef]
- Cao, C.; Li, C.; Yang, Q.; Zhang, F. Multi-Objective Optimization Model of Emergency Organization Allocation for Sustainable Disaster Supply Chain. Sustainability 2017, 9, 2103. [Google Scholar] [CrossRef]
- Ge, X.; Yang, J.; Wang, H.; Shao, W.; Isaeva, E.; Rocha, Á. A fuzzy-TOPSIS approach to enhance emergency logistics supply chain resilience. J. Intell. Fuzzy Syst. 2020, 38, 6991–6999. [Google Scholar] [CrossRef]
- Zhang, S.; Zhang, P.; Zhang, M. Fuzzy Emergency Model and Robust Emergency Strategy of Supply Chain System under Random Supply Disruptions. Complexity 2019, 2019, 3092514. [Google Scholar] [CrossRef]
- Chen, H.; Wang, Z.; Yu, X. Sustainability Strategies of Equipment Introduction and Overcapacity Risk Sharing in Mask Emergency Supply Chains during Pandemics. Sustainability 2021, 13, 355. [Google Scholar] [CrossRef]
- Deng, Y.; Jiang, M.; Ling, C. An improved diffusion model for supply chain emergency in uncertain environment. Soft Comput. 2019, 24, 6385–6394. [Google Scholar] [CrossRef]
- Zhao, Z.; Chen, D.; Wang, L.; Han, C. Credit Risk Diffusion in Supply Chain Finance: A Complex Networks Perspective. Sustainability 2018, 10, 4608. [Google Scholar] [CrossRef]
- Sun, X. Supply chain risks of critical metals: Sources, propagation, and responses. Front. Energy Res. 2022, 10. [Google Scholar] [CrossRef]
- Wang, J.; Zhou, H.; Jin, X. Risk transmission in complex supply chain network with multi-drivers. Chaos Solitons Fractals 2021, 143, 110259. [Google Scholar] [CrossRef]
- Wang, H.; Zhang, X.; Chen, K. Research on Supply Chain Risk Transmission Mechanism Based on Improved SIRS Model. Math. Probl. Eng. 2022, 2022, 9502793. [Google Scholar] [CrossRef]
- Li, T.; Chen, H.; Yuan, J.; Qian, J.; Siyal, A.W.; He, L.-Y. Quality Risk Propagation of Complex Product Collaborative Manufacturing Supply Chain Network Based on CN and SoV. Discret. Dyn. Nat. Soc. 2020, 2020, 8889903. [Google Scholar] [CrossRef]
- Yu, P.; Wang, P.; Wang, Z.; Wang, J. Supply Chain Risk Diffusion Model Considering Multi-Factor Influences under Hypernetwork Vision. Sustainability 2022, 14, 8420. [Google Scholar] [CrossRef]
- Li, Y.; Du, Z.-p.; Zhang, L. Agri-Food Supply Chain Network Risk Propagation Research Based on Complex Network. In Proceedings of the 6th International Asia Conference on Industrial Engineering and Management Innovation; Atlantis Press: Paris France, 2016; pp. 985–994. [Google Scholar]
- Zhou, L.; Wang, J.; Li, F.; Xu, Y.; Zhao, J.; Su, J. Risk Aversion of B2C Cross-Border e-Commerce Supply Chain. Sustainability 2022, 14, 8088. [Google Scholar] [CrossRef]
- Liang, D.; Bhamra, R.; Liu, Z.; Pan, Y. Risk Propagation and Supply Chain Health Control Based on the SIR Epidemic Model. Mathematics 2022, 10, 3008. [Google Scholar] [CrossRef]
- Wiedmer, R.; Griffis, S.E. Structural characteristics of complex supply chain networks. J. Bus. Logist. 2021, 42, 264–290. [Google Scholar] [CrossRef]
- Xu, N.-R.; Liu, J.-B.; Li, D.-X.; Wang, J. Research on Evolutionary Mechanism of Agile Supply Chain Network via Complex Network Theory. Math. Probl. Eng. 2016, 2016, 4346580. [Google Scholar] [CrossRef]
- Zhang, M.; Shi, L.; Zhuo, X.; Liu, Y. Research on Collaborative Efficiency Evaluation of Complex Supplier Network under the Background of Intelligent Manufacturing. Processes 2021, 9, 2158. [Google Scholar] [CrossRef]
- Harwati; Yunita Pettalolo, A.N. Halal Criteria in Supply Chain Operations Reference (SCOR) for Performance Measurement: A case Study. IOP Conf. Ser. Mater. Sci. Eng. 2019, 505, 012020. [Google Scholar] [CrossRef]
- Hasibuan, A.; Arfah, M.; Parinduri, L.; Hernawati, T.; Suliawati; Harahap, B.; Sibuea, S.R.; Sulaiman, O.K.; Purwadi, A. Performance analysis of Supply Chain Management with Supply Chain Operation reference model. J. Phys. Conf. Ser. 2018, 1007, 012029. [Google Scholar] [CrossRef]
- Prasetyaningsih, E.; Muhamad, C.R.; Amolina, S. Assessing of supply chain performance by adopting Supply Chain Operation Reference (SCOR) model. IOP Conf. Ser. Mater. Sci. Eng. 2020, 830, 032083. [Google Scholar] [CrossRef]
- Putri, Y.D.; Huda, L.N.; Sinulingga, S. The concept of supply chain management performance measurement with the supply chain operation reference model (Journal review). IOP Conf. Ser. Mater. Sci. Eng. 2019, 505, 012011. [Google Scholar] [CrossRef]
- Tama, I.P.; Yuniarti, R.; Eunike, A.; Hamdala, I.; Azlia, W. Risk Identification in Cassava Chip Supply Chain Using SCOR (Supply Chain Operation Reference). IOP Conf. Ser. Mater. Sci. Eng. 2019, 494, 012050. [Google Scholar] [CrossRef]
- Yi, C.-q.; Meng, S.-d.; Zhang, D.-m. Studies on the Supply Chain Risk Management Using Complex Network. In Liss 2012; Springer: Berlin/Heidelberg, Germany, 2013; pp. 181–187. [Google Scholar]
- Sun, Q.; Yang, G.; Zhou, A. An Entropy-Based Self-Adaptive Node Importance Evaluation Method for Complex Networks. Complexity 2020, 2020, 4529429. [Google Scholar] [CrossRef]
Disclaimer/Publisher’s Note: The statements, opinions and data contained in all publications are solely those of the individual author(s) and contributor(s) and not of MDPI and/or the editor(s). MDPI and/or the editor(s) disclaim responsibility for any injury to people or property resulting from any ideas, methods, instructions or products referred to in the content. |
© 2023 by the authors. Licensee MDPI, Basel, Switzerland. This article is an open access article distributed under the terms and conditions of the Creative Commons Attribution (CC BY) license (https://creativecommons.org/licenses/by/4.0/).







