Next Article in Journal
An Eco-Friendly Modification of a Walnut Shell Biosorbent for Increased Efficiency in Wastewater Treatment
Previous Article in Journal
Factors Affecting the Usage Intention of Environmental Sustainability Management Tools: Empirical Analysis of Adoption of Greenhouse Gas Protocol Tools by Firms in Two Countries
 
 
Font Type:
Arial Georgia Verdana
Font Size:
Aa Aa Aa
Line Spacing:
Column Width:
Background:
Article

Environmental Information Disclosure-Environmental Costs Nexus: Evidence from Heavy Pollution Industry in China

1
Finance and Economics College, Jimei University, Xiamen 361021, China
2
Business School, Hohai University, Nanjing 211100, China
3
School of Business Administration, Jimei University, Xiamen 361021, China
*
Author to whom correspondence should be addressed.
Sustainability 2023, 15(3), 2701; https://doi.org/10.3390/su15032701
Submission received: 1 January 2023 / Revised: 29 January 2023 / Accepted: 30 January 2023 / Published: 2 February 2023

Abstract

Environmental disclosure has gained momentum in the past decades due to increasing pressure from different stakeholders, especially in Chinese practice. In the background, previous research focused on the financial performance of environmental information disclosure, and little literature discussed the nexus between environmental information disclosure and environmental costs. The paper made an initial attempt to link environmental disclosure to different aspects of environmental costs (i.e., quality, enterprise size, market orientation, and ownership) based on 234 listed enterprises of heavy pollution industry from Shanghai and Shenzhen A-shares in China from 2013 to 2017. The results showed the following: (i) Environmental information disclosure increased environmental costs in the short term, but the long-term effects were not significant; (ii) Enterprise size could weaken the positive impact of environmental information disclosure on environmental costs; (iii) marketization disrupted the positive link between environmental information disclosure and environmental costs; (iv) Enterprise ownership (state-owned vs. private) had an insignificant effect on the environmental information disclosure and environmental costs nexus. This study could identify the causes of inertia in environmental information disclosure from the perspective of environmental costs, so as to provide practical guidance for activating the initiative of corporate environmental information disclosure.

1. Introduction

Contemporary stakeholders are severely scrutinizing environmental behaviors and information disclosure of environmental polluters due to rising environmental issues and ecological degradation [1,2]. Globally, governments are collaborating to take concrete initiatives to combat climate change in emission trading mechanisms, environmental litigation and environmental information disclosure [3,4]. The implementation of various climate change interventions has facilitated the inclusion of sustainable development as a key performance matrix in corporate disclosure documents across the different stock markets worldwide. Financial information publishers and stock market rating agencies (e.g., Thompson Reuters, Morgan Stanley and Bloomberg) began to report environmental information disclosure (EID) and governance information. From 2006 to 2015, these effective regulations concerning corporate environmental management have contributed to reducing the number of disruptive ecological incidents worldwide [5,6]. Corporate environmental information disclosure is a concrete manifestation of the implementation of these government regulations, which has directly and indirectly impacted the governance of pollution, causing a significant decline in pollution levels in the past few years [7,8]. In conclusion, corporate EID effectively demonstrates its environmental protection utility. In the current context, how to enhance the initiative and standardization of corporate EID is not only related to the improvement of the quality of corporate EID and environmental quality but also an inherent requirement to protect the rights of citizens, legal persons and other organizations to enjoy environmental information access, participation and supervision of environmental protection according to the law. Therefore, it is necessary to explore the resistance of enterprises to implement environmental information disclosure.
As the main polluting agents, enterprises should improve the intensity, depth, and frequency of environmental information disclosure to decrease pressure from stakeholders. Generally, environmental information disclosure is described as a procedure of delineating environmental information and activities of an enterprise to its financial statement users [9]. The Institute of Governance and Responsibility reported that the number of enterprises reporting sustainability in the S&P 500 index has risen from 53% in 2012 to 82% in 2017 [10]. Meanwhile, EID is a nascent phenomenon in China, after all, only a third of the listed enterprises disclose environment-related activities. Experts have identified several potential reasons for the inappropriate implementation of EID in China: (i) Inefficient regulatory systems that result in weak capacity for proactive implementation by enterprises [11]; (ii) Concerns of enterprises about costs and benefits associated with EID [12,13]. To be exact, enterprises need to invest a large amount of money to collect, manage and disclose environmental information, which may exceed the advantages of performance improvement and image improvement brought by environmental information disclosure. (iii) Competitors may know the weaknesses of enterprise environmental management through the environmental information disclosed by enterprises, and then use this weakness to guide public opinion, thus adversely affecting the financial performance and competitiveness of the enterprises. (iv) Enterprises may face high litigation costs if the disclosed environmental information documents contain errors or misleading information [14]. From the above analysis, it is clear that the greatest resistance to the implementation of environmental information disclosure by enterprises is based on the consideration of environmental costs. Therefore, this paper would study the effects and mechanisms of corporate environmental information disclosure on environmental costs from the perspective of obstacles, in order to reveal why some enterprises show obvious “inertia” in environmental information disclosure, so as to find effective ways to eliminate the resistance to environmental information disclosure and provide some guidance for activating enterprises’ environmental disclosure behavior.
Generally, there are three types of environmental costs: (i) ex ante (e.g., R&D investments in environmental protection technology improvement projects to reduce environmental loads, projects under construction, construction expenditures for environmental protection projects and monitoring); (ii) ex-middle (e.g., taxes and surcharges, resource tax, mineral resource compensation tax, non-operating expenses, environmental fines, costs, and damages); (iii) ex-post (e.g., management fees, sewage fee, green fee, environmental protection fee, beautification fee, special compensation (i.e., worker welfare funds), and sponsoring environmental protection activities. EID is a risky initiative for many private or state-owned companies in China. Lack of awareness of environmental disclosure and reporting methods, unavailability of cost and benefit assessment systems, and the implications of environmental costs are important factors that hinder the successful implementation of sustainability reporting [15]. Academically, previous studies have mostly focused on the corporate characteristics and benefits of environmental information disclosure, including improved financial performance, reputation, and stock value, and reduced equity capital and debt financing costs [16,17,18]. Still, the current literature reflects a severe scarcity of empirical and theoretical evidence explaining what factors enable enterprises to mitigate the burden of costs following environmental information disclosure.
A few contributions of this paper are noted hereafter. The previous literature mainly analyzes the impact of information disclosure on enterprise equity capital [19,20], how EID will affect environmental costs is yet to be further studied. In fact, the environmental cost is a very important factor for enterprises to carry out environmental disclosure policies. Based on the multiple regression model, this paper analyzes the short-term and long-term effects of EID on environmental costs, as well as the regulatory variables in the mechanism, so as to find out the inert reasons and promote enterprises to disclose environmental information as far as possible in China. This study provides four contributions to the prior literature: First, we focus on the cost effects of EID, which is different from the focus of most studies on enterprise performance [21,22]. Due to the imperfection of China’s environmental information disclosure system, enterprises use environmental information disclosure as a greenwashing means to conceal actual environmental performance, so how much cost pressure would the implementation of environmental information disclosure bring to enterprises? This question has not yet been satisfactorily answered. Therefore, the relationship between EID as a typical environmental strategy of enterprises and the enterprise’s environmental costs deserves to be explored in depth. Second, this study mainly combines the two perspectives of external market and internal characteristics to explore the mechanism of environmental disclosure on environmental costs, while previous studies tend to ignore the combination of internal and external perspectives. This paper examines the moderating role of enterprises’ own characteristics and market factors to determine the impact mechanism of EID on environmental costs, which is a supplement to the study of EID. Third, this study is mainly based on the background of China, the largest developing country, to investigate the impact of EID on environmental costs, while most previous studies have been conducted mainly in developed countries and regions with well-established regulatory systems and governance models. Therefore, the study conducted in China, a developing country with a diversified industrial and socio-economic structure, helps to provide a different sample for the mechanisms of EID on environmental costs and expands the scope of research on EID. Moreover, as the world’s largest developing country, China is a key player in global ecological governance and protection. Therefore, evidence and research results from Chinese companies could provide useful insights for other countries. Finally, this paper collects research data of Chinese listed companies spanning five years from 2013 to 2017, which could effectively control the impact of inherent differences among enterprises and time on the research results, and help to truly grasp how the integrity of disclosed environmental information affects the cost effectiveness of enterprises.

2. Literature Review and Research Hypothesis

2.1. Environmental Disclosure and Environmental Costs

Environmental behavior has been an important manifestation of corporate social responsibility. Since the 1970s, developed countries have been requiring companies to disclose their environment-related activities and content to the public [23]. In recent years, environmental issues have been widely paid attention to and meanwhile consumers’ consumption habits have gradually changed. Consumers’ willingness to purchase green goods has increased significantly, and the demand for EID needs to be met urgently [24]. In the background, China’s government has further standardized the requirements for corporate environmental management. For example, the Shanghai and Shenzhen Stock Exchanges promulgated the Guidelines on Environmental Information Disclosure for Listed Companies in 2010. According to the Guidelines, all the listed companies in China should implement EID and publish regular corporate social responsibility reports (CSR, including environmental components) or stand-alone environmental reports. In addition, to further motivate enterprises to strengthen the concept of taking environmental responsibility and proactively disclosing environmental information, China implemented the Environmental Protection Law in 2015, which is considered the strictest environmental protection law in its history. Moreover, China has initiated market incentives for the construction of green financial systems such as green insurance, green investment and financing, and green loans to stimulate companies to disclose environmental information [25,26]. Therefore, an in-depth discussion of the cost effectiveness of environmental information disclosure at this stage is a prerequisite for improving its quality and effectiveness.
Some scholars pointed out that listed companies have already disclosed some environment-related activities and information through annual reports or CSR reports at an early stage [27]. However, due to weak government supervision, low public participation and voluntary environmental information disclosure requirements, the quality and level of corporate EID by enterprises are still not optimistic, and the limited and missing environmental information disclosed by enterprises cannot meet the information needs of stakeholders [28,29,30]. In addition, there are problems such as serious homogenization, cumbersome disclosure processes and inefficiency of information disclosure models in Chinese heavy-polluting industries. This means that many companies are not aware of the impact of environmental information disclosure on the company [31,32], in particular the possible impact of EID on environmental costs. If enterprises are aware that EID could cause a significant increase in environmental costs, they would be more likely to standardize their environmental information disclosure mechanisms and optimize their environmental information disclosure processes to expand the scope and extent of disclosure. Therefore, an in-depth investigation into the mechanism of the effect of environmental information disclosure on environmental costs could make up for the shortcomings of government and public participation mechanisms and motivate enterprises to respond to the call for environmental information disclosure.
As an important medium for enterprises to communicate with the outside world, environmental information disclosure has been endowed with a new historical mission in the construction of ecological civilization, which is not only reflected in environmental protection but also in resource conservation and economic development. In the short term, the improvement of environmental information disclosure quality means that companies are enhancing environmental management and implementing more substantial environmental pollution prevention and control measures. Especially in the early stage of the environmental pollution of heavily polluting enterprises, the improvement of environmental information disclosure quality means that companies will increase the investment in environmental protection, clean production-related equipment and environmental protection sponsorship [33,34], which would increase the enterprise environment costs. In view of reduced information asymmetry, the positive reaction of product and capital markets to corporate EID makes companies more inclined to invest more in environmental management, thus increasing their environmental costs. However, in the long run, the improvement of environmental information disclosure quality has enhanced the ability of the enterprise to “communicate” with the outside world. According to the signaling theory, information asymmetry theory and voluntary disclosure theory [35,36,37], it could be concluded that companies with better environmental indicators are more ready to provide more information in order to signal to the product and capital markets that they are performing socially responsible actions. On the one hand, timely and accurate information disclosure could help consumers, government and other environmental regulators better understand the production and operation status of enterprises [38] and evaluate the environmental performance of enterprises, so as to lay the foundation for the enterprise to set up an environmentally friendly image, which would enhance the enterprise’s green competitive advantages [39,40], and reduce environmental litigation and punishment cost. On the other hand, enterprises with good disclosure quality are more likely to obtain low-interest loans from financial institutions and other stakeholders and green subsidies from the government [41], which is conducive to reducing the environmental costs of enterprises. Therefore, this paper uses theoretical analysis and empirical tests to clarify whether corporate environmental information disclosure is a driver of increased environmental costs. Based on the above analysis, this paper proposes the following hypotheses:
Hypothesis 1a.
The quality of environmental information disclosure is positively correlated with the current environmental costs.
Hypothesis 1b.
The quality of environmental information disclosure is negatively correlated with long-term environmental costs.

2.2. Enterprise Size, Environmental Disclosure, and Environmental Costs Nexus

Enterprise size could significantly enhance the positive impact of environmental information disclosure on environmental costs [42]. Large enterprises face more accountability for their environmental actions because of the pressure of the government, social organizations, and consumers. Large enterprises often use environmental information disclosure as a branding strategy to establish their credibility, reputation, and image among various stakeholders [43,44]. Thus, to avoid the reputation damage caused by environmental pollution events and then affect the realization of enterprise value, large enterprises would tend to pay attention to pollution control and environmental protection, increase investment in environmental protection, participate in environmental protection sponsorship, etc., making the environmental costs of the company also greater.
In addition, from the perspective of the scale effect of pollution treatment, under the condition of certain production technology, the emission of pollutants is in direct proportion to the production scale, that is, the larger the enterprise scale, the more pollutants it needs to deal with, so the environmental cost will also increase correspondingly [45]. Finally, large companies will invest more in environmental research and development. Large enterprises have stronger manpower, material resources and financial resources, a more perfect organizational structure, and a stronger ability to formulate more complete environmental strategies, and would tend to disclose more environmental information to improve their corporate image [46]. Therefore, the R&D intensity of environmental technology and comprehensive treatment of three wastes in large enterprises will increase, which is also the reason for the increase in their environmental expenditure. Based on the above analysis, this paper proposes the following hypothesis:
Hypothesis 2.
Enterprise size can positively adjust the relationship between environmental information disclosure quality and environmental costs.

2.3. Ownership Structure, Environmental Disclosure, Environmental Costs Nexus

Due to special national conditions, combined state-owned enterprises generally have a strong political background, strong capital strength, and so on. Therefore, people always expect more of state-owned enterprises, hope that they pay more attention to environmental protection, perform more prominently in environmental governance, do better in environmental sponsorship and public environmental welfare and be more prominent in fulfilling their environmental protection responsibilities and cleaner production practices [47,48]. This can also be seen in the “Blue Book on Corporate Social Responsibility (2019)” released by the Chinese Academy of Social Sciences, which shows that by 2019, Chinese state-owned enterprises have been ahead of private and foreign enterprises in terms of their level of social responsibility for 11 consecutive years. In contrast, non-state-owned enterprises such as private or foreign-owned enterprises, which bear relatively less pressure of social opinion in terms of environmental and social responsibility, are more inclined to pursue economic interests and less willing to disclose voluntary information. As a result, they would invest less in environmental information disclosure [49,50]. Thus, it can be judged that the impact of environmental information disclosure on environmental costs is greater for state-owned enterprises than for non-state-owned enterprises. Based on the above analysis, this paper proposes the following hypothesis:
Hypothesis 3.
The nature of property rights will regulate the relationship between the quality of environmental information disclosure and environmental costs, and the positive regulating effect of state-owned enterprises is more significant.

2.4. Market Orientation, Environmental Disclosure, and Environmental Costs Nexus

Generally speaking, marketization is mainly reflected in the aspects of laws and regulations, opening to the outside world, production efficiency, optimized allocation of resource elements and so on [51,52]. The high degree of marketization of the region has perfect market rules and trading rules, under the pressure of the regulatory system. To avoid illegal costs and environmental violation reputation losses, the enterprise needs to take broader social responsibilities, pay attention to the surrounding ecological environment, strive to improve the environmental management system, and actively publicize environmental information [53]. In addition, the increased level of marketization forces companies to pay attention to environmental factors, which facilitates the improvement of environmental information disclosure quality and thus increases environmental costs. In regions with rapid marketization, management capacity plays a more important role in improving the quality of environmental information disclosure by enterprises [54]. In contrast, regions with a low degree of marketization do not have sound systems in all aspects, and the government may relax the regulation on the environment for the consideration of economic development and other factors, making an investment in environmental protection relatively weak, and thus the performance of environmental information disclosure in these regions is poor and the environmental cost is low. Based on the above analysis, this paper proposes the following hypothesis:
Hypothesis 4.
The degree of marketization will regulate the relationship between the quality of environmental information disclosure and environmental costs, and the higher the degree of marketization, the more obvious the regulating effect.

3. Data and Methodology

3.1. Sample and Data Collection

According to the listed companies industry classification guidance from the Chinese Securities Supervision Commission in 2012, the paper selected the listed companies of heavy pollution industry from Shanghai and Shenzhen Stock Market in 2013–2017 as the research objects, and preprocessed the data to make the analysis more effective according to the following procedures: (1) Eliminate the enterprise samples which industry classification were changed in the period, and then select the top 300 polluting enterprises based on the total assets in 2017; (2) Eliminate the enterprises which were specially treated by stock exchange and marked as ST and ST* during the study period; (3) Delete the sample data with lots of missing data or abnormal data in the main explanatory variables. After the above data preprocess, we finally obtained 234 companies.

3.2. Variables

3.2.1. Dependent Variable

Environmental cost is a dependent variable in the paper. Environmental costs refer to the substantial cost of environmental protection activities such as energy conservation, emission reduction, pollution prevention and control. Due to the concealment, long-term, complexity and intangibility of environmental costs, a set of standard environmental cost measurement methods and statistical indicator systems have not been formed so far. Therefore, taking into account the current situation of China’s ecological civilization construction and the subsequent measurement and operability of environmental costs, we define environmental costs from the time dimension as the expenditures and costs involved in environmental protection in the process of survival and development of enterprises [55,56], including environmental cost before the event, the environmental cost during the event and environmental cost after the event (Table 1).

3.2.2. Independent Variable

Environmental information disclosure is an independent variable in the paper. Environmental information disclosure in this paper is measured by the environmental information disclosure index, which is calculated and standardized based on each sample company’s annual report, social responsibility report, sustainability report, environmental report, company website, and other channels from 2013 to 2017, and the observations are manually collected and organized according to the time dimension using the content analysis method and scoring method. The specific contents refer to the relevant contents of the G4 Chinese version of the Sustainable Development Reporting Guide published in 2014 by the Global Reporting Initiative (GRI), as well as the information in China’s environmental information disclosure method (trial) that the state encourages enterprises to disclose. A total of 22 sub-projects are calculated from three aspects: environmental strategy, environmental management and environmental performance. The environmental information disclosure method used in this paper is generally consistent with Hussain et al. [57], Du [58], Wang [59], etc.

3.2.3. Moderating Variables

Property rights. Property rights refer to the type of ultimate controller of an enterprise, which is divided into state-owned (assigned to 0) and non-state-owned (assigned to 1) in this paper [60].
Degree of marketization. The degree of marketization is assigned according to the enterprise registration place and the marketization index score in the Marketization Index Report of China’s Sub-provinces (2016) published by Wang and Fan [61,62].
Enterprise size. The enterprise size refers to the total assets of the enterprise at the end of the year, the specific value from each year of each company’s financial report [63].

3.2.4. Control Variables

Referring to Fonseka et al. [64], the paper selected seven indicators from four aspects of financial factors, governance factors, technical factors and time factors as control variables. Specifically, the paper mainly selected income level and asset-liability ratio as financial factors, selected efficiency of management and proportion of independent directors as governance factors, selected the number of patents and R&D every year as technical factors, and selected year as the time factor. To better explain the endogenous relationship between research variables, it is very necessary to control other factors that affect the enterprise’s environmental costs. The original data is from the China Stock Market Accounting Research Database. The specific information of each variable is shown in Table 2.
To reduce the influence of outliers, statistical software Stata 15.0 was used to conduct tail-shrinking treatment of all continuous variables by up and down 1% quintile.

3.3. Model Specifications

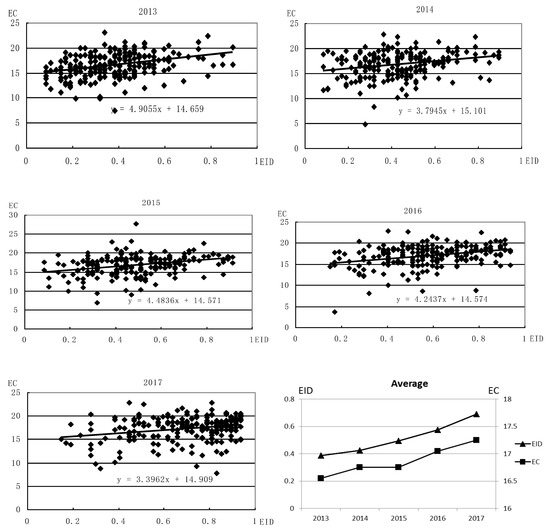
In order to judge the relationship between environmental information disclosure and environmental costs, this paper would conduct a scatter chart analysis of the two, in order to provide a basis for the subsequent model construction. In addition, by grouping by year, we could more clearly see the changing trend of the relationship between environmental information disclosure and environmental costs and whether the relationship between them is consistent over time, thus providing an important reference basis for the selection of the linear regression model. Figure 1 presents a scatter chart analysis of environmental costs and the environmental information disclosure index, indicating a significant positive correlation between the two variables. Based on this, we would further verify the relationship between the two through the linear regression model. By calculating its average value every year, it is found that the environmental information disclosure quality index shows an increasing trend from 0.386 (2013) to 0.689 (2017) along with the environmental costs also increasing from 16.55 to 17.25.
Based on the theoretical hypothesis and typical facts of scatterplot analysis, it could be found that there is a linear relationship between environmental information disclosure and environmental costs, so the main research method selected in this paper is multiple linear regression. On the one hand, generally speaking, the environmental information disclosure studied in this paper would be affected by a combination of factors. Therefore, multiple linear regression analysis is more suitable for this study than univariate linear regression; On the other hand, multiple regression analysis could accurately measure the degree of correlation between each explanatory variable and the explanatory variable as well as demonstrate the degree of regression fit, which could ensure the prediction effect of the regression model. Based on the above considerations, this paper believes that it is appropriate to select the linear regression method to study enterprise environmental information disclosure and environmental costs. In this paper, we construct the following regression model:
E C i , t = α 0 + α 1 E I D i , t + α 2 L E V i , t + α 3 R O E i , t + α 4 M L i , t + α 5 I D i , t + α 6 R & D i , t + α 7 P A T i , t + α 8 Y E A R i , t + ε i , t

4. Results

4.1. Descriptive Statistics

On the whole, the maximum and minimum values of environmental costs are 22.57 and 9.040 respectively, indicating that there are significant differences in environmental costs among sample enterprises. Combined with the relationship between the median and the average environmental costs, it can be basically concluded that most enterprises have higher environmental costs. The minimum value of environmental information disclosure quality is 0.02 and the maximum value is 1, which indicates that enterprises also show significant heterogeneity in environmental information disclosure. Combined with the fact that the median is basically equivalent to the average value and lower than 0.5, it reflects that the disclosure performance of most enterprises is poor, which is consistent with the current situation that Chinese enterprises are not active in disclosure and have less hard disclosure (Table 3).

4.2. Correlation Analysis

In order to reduce the impact of multicollinearity on the significance level and make the empirical results more accurate and objective, Pearson’s method is used for correlation analysis of data (Table 4). It can be seen from Table 4 that the absolute values of all coefficients are less than 0.5, so it can be considered that there are no serious multi-collinearity problems.

4.3. Regression Analysis

4.3.1. Baseline Regression Results

This paper selected the fixed effect model as the basic regression model according to the results of the Hausman test. In addition, because environmental costs may be affected by time effects that do not change with the enterprise, such as macroeconomic fluctuations, etc., in order to control the impact of factors that do not change with the individual enterprise but change over time, this paper also adds time fixed effects, that is, this paper finally adopts a two-way fixed effects model for empirical research. This paper first conducts regression analysis on model (1) to test the correlation between enterprise environmental information disclosure and its environmental costs. Secondly, in order to explore the impact of enterprise environmental information disclosure on current and long-term environmental costs, this paper adopts a lag effect, thereby carrying out regression. L1.EID, L2.EID and L3.EID, respectively, represent environmental information disclosure with a lag of one, two and three periods. Finally, in order to analyze the impact of the environmental information disclosure quality on environmental costs, this paper takes the average of the environmental information disclosure quality index as the boundary to conduct a grouping study. The specific results are shown in Table 5.
From Table 5, it is found that the coefficient between the quality of environmental information disclosure and environmental costs has a significant positive correlation no matter in the full sample or group test, and except that test (3) is significant at the 0.05 level, the rest of the test results are significant at the 0.01 level, that is, the improvement of the quality of environmental information disclosure will increase the environmental costs of enterprises, and the research results support H1a. In addition, in order to test whether there is a nonlinear relationship between environmental information disclosure and environmental costs, this paper also constructs a quadratic function between the two, and the results fail the significance test, H1a is verified again. Improving the quality of environmental information disclosure means that its objectivity, accuracy, clarity and standardization are improved comprehensively. At this time, enterprises may need to use third-party assurance, employee environmental training, environmental cost accounting and other channels to achieve the purpose of improving the quality of environmental information disclosure [65], which leads to an increase in the environmental costs of enterprises.
By comparing (1) and (2) in Table 5, we found that after excluding the two insignificant control variables of patent number and management efficiency, the F-value of the regression model increased significantly, and the fitting degree was better than that of the initial result. Therefore, these two variables were removed in the later study. Among the control variables, ROE and R&D are significantly negatively correlated with environmental costs at the level of 0.01, which can be explained by the traditional cost-benefit theory. LEV and ID were significantly positively correlated with environmental costs at the level of 0.05, indicating that enterprises with a high asset-liability ratio and a high proportion of independent directors pay more attention to the impact of environmental factors on enterprise development.
Comparing (2) and (3) in Table 5, it is found that environmental information disclosure quality affects the environmental costs of current decreased significantly. Combined with the regression analysis considering the time effect, the results from the test of environmental information disclosure quality lagged by one, two and three periods, showing that the positive effect of environmental information disclosure on environmental costs is weakening [66] and that this weakening effect is not yet significant in the sample companies. That is, the regression coefficient decreases successively, which indicates that the environmental cost burden caused by improving the quality of environmental information disclosure will become smaller and smaller over time, H1b is verified. Therefore, it is suggested that enterprises should pay attention to the disclosure of environmental information and need more investment in environmental protection in the short term. However, in the long term, with the increasingly standardized disclosure of environmental information, the environmental protection investment of enterprises will gradually decrease, so the increase of environmental costs in the later period may not be substantially related to the environmental information disclosure.
The comparison of (4) and (5) in Table 5 shows that, compared with the group with poor environmental information disclosure quality, the group with better disclosure quality has a significantly lower positive impact on environmental costs, which can be seen from the EID coefficient value of grouping test. Combining the coefficient of control variables ROE and R&D, it is not difficult to find that the higher the quality of environmental information disclosure, the smaller the crowding effect of profitability and R&D investment on environmental costs. At the same time, the coefficients of the control variables LEV and ID reflect the fact that the asset-liability ratio and independent directors’ proportion have no obvious difference between the groups, and the positive effect on environmental costs is not significant. In fact, some domestic enterprises are unwilling to improve the quality of information disclosure or worry about the increasing costs. They also show stinginess in R&D expenditure and lack of profitability. In contrast, companies that do better in environmental disclosure tend to do better in cost control, profitability and R&D intensity.
According to the significance level and regression coefficient of EID and EC in Table 5, although environmental information disclosure has a positive impact on environmental costs, from the perspective of long-term impact and the impact of the group with better environmental information disclosure quality, this positive effect will be greatly weakened. This suggests that although improving the quality of disclosure inevitably increases environmental costs, this trend will not be sustained. The higher the quality of environmental information disclosure, the less the burden of environmental costs, while those enterprises with poor environmental information disclosure will have a greater increase in environmental costs instead. Therefore, the selections of giving up perfecting information disclosure for increasing costs are unscientific.

4.3.2. Embed Moderating Variables

In this paper, in order to test the moderating effect of enterprise size, property rights and marketization degree on the above impacts, the insignificant variables in the baseline model were excluded and constructed model (2). On this basis, the cross terms EID*SIZE, EID*STATE, and EID*MAR were introduced to construct models (3), (4), and (5) to test H2, H3, and H4, respectively. It should be noted that the moderating effect is still analyzed on the basis of model (2) although the long-term effect of environmental information disclosure on environmental costs would be significantly weaker after considering the time effect, that is, this time effect is not yet significant for the sample firms. The specific models are as follows:
E C i , t = α 0 + α 1 E I D i , t + α 2 R O E i , t + α 3 I D i , t + α 4 L E V i , t + α 5 R & D i , t + α 6 Y E A R i , t + ε i , t
E C i , t = β 0 + β 1 E I D i , t + β 2 S I Z E i , t + β 3 E I D × S I Z E + β 4 R O E i , t + β 5 I D i , t + β 6 L E V i , t + β 7 R & D i , t + β 8 Y E A R i , t + ε i , t
E C i , t = χ 0 + χ 1 E I D i , t + χ 2 S T A T E i , t + χ 3 E I D × S T A T E i , t + χ 4 R O E i , t + χ 5 I D i , t + χ 6 L E V i , t + χ 7 R & D i , t + χ 8 Y E A R i , t + ε i , t
E C i , t = λ 0 + λ 1 E I D i , t + λ 2 M A R i , t + λ 3 E I D × M A R + λ 4 R O E i , t + λ 5 I D i , t + λ 6 L E V i , t + λ 7 R & D i , t + λ 8 Y E A R i , t + ε i , t
As shown in Table 6, after joining the enterprise size moderating variable, the regression coefficient of the cross term of environmental information disclosure index and enterprise size is significantly negative at the level of 0.01, which indicates that enterprise size would inversely moderate the positive relationship between environmental information disclosure and environmental costs. In other words, with the expansion of the enterprise scale, the environmental cost burden brought by improving the quality of environmental information disclosure would decrease rather than increase, which is contrary to the expected assumption, that is, the assumption H2 does not hold. The possible reason for this result is that the larger the enterprise is, the stronger its cost control ability and risk resistance ability are. Therefore, the cost increase caused by information disclosure would not change significantly as small enterprises do, which is consistent with the fact that the motivation and quality of the environmental information disclosure of large enterprises in the market are generally better than that of small enterprises.
Under the regulation of property rights, the coefficient of environmental information disclosure quality is 4.415, which is significantly positively correlated with environmental costs at the level of 0.05. The coefficient of property rights is 0.013, and the coefficient of a cross term is −0.267, both of which fail the significance test of 0.1. This reflects that there is no significant difference between state-owned enterprises and private enterprises in the impact of environmental information disclosure on environmental costs, and H3 fails the test. The possible reasons for this result could be considered from two aspects: Firstly, according to the research from the Chinese Academy of Social Sciences, the environmental information disclosure quality of state-owned enterprises in China has been continuously improved, and their long-term performance is better than that of non-state-owned enterprises; Secondly, the grouping test results of the benchmark regression model show that the enterprises with better disclosure quality of environmental information would not increase their environmental costs. Therefore, the property rights nature of state-owned enterprises has a negative regulating effect on the impact of environmental information disclosure on environmental costs. In addition, the statistical data of property rights nature shows that state-owned enterprises account for 63.67% of the total sample size, accounting for almost two-thirds of the sample size, thus leading to a less significant moderating effect of property rights.
Under the regulation of marketization degree, the regression coefficient of the cross term is −0.317, which passes the significance test of 0.1, indicating that the marketization degree would weaken the positive impact of environmental information disclosure quality on environmental costs, H4 is not valid. Further market grouping results show that the better the market development, the more obvious the effect. Thus, the in-depth promotion of market-oriented reform is not only conducive to improving the quality of environmental information disclosure but also to reducing environmental costs. The possible reason for this result is that the better the degree of marketization is, the better the information communication will be. Therefore, the timely and accurate environmental information disclosure of enterprises is an effective channel to transmit their environmental management plans to the market and show their environmental governance performance, which in turn influences the evaluation of the green competitive advantage of enterprises by consumers, governments and institutional investment investors through the stakeholder role mechanism, thus contributing to the enhancement of their ability to cope with environmental risks and reduce the pressure of environmental penalties. Many practices also show that letting the public know more about the enterprise’s environmental strategy and efforts could effectively improve the enterprise’s brand image and product competitiveness.

4.4. Robustness Test

To further test the rationality and anti-interference ability of the models, the following robustness tests are carried out in this paper. Firstly, according to the quantitative standard, environmental information disclosure is divided into soft disclosure (including 12 factors) and hard disclosure (including 10 factors) [67], and model (2) is tested again. The results are shown in (1) of Table 7, the regression coefficients of soft disclosure and hard disclosure are 0.259 and 0.093, respectively, both of which are significantly positively correlated with environmental costs at the level of 0.01. Based on the previous test, it once again shows that environmental information disclosure does affect environmental cost expenditure. However, improving the content of environmental information disclosure and improving the quality of substantive disclosure could reduce the adverse impact on environmental costs. In addition, all the control variables pass the significance test and are basically consistent with the conclusions above, so model (2) passes the test.
Secondly, according to the robustness test method of Tian et al. [68], 50% random sampling of the whole sample is carried out to test the robustness of the regulation effect of enterprise size, that is, model (3) is tested, the results are shown in (2) of Table 7. This shows that environmental information disclosure is positively related to environmental costs at the 0.01 level, and the coefficient of the cross term is negative and passes the 0.05 significance test, further indicating that the positive effect of environmental information disclosure quality on environmental costs diminishes as the size of the enterprise increases, which is fully consistent with the previous findings, so model (3) passes the test.
Thirdly, in the above-mentioned full sample study, this paper takes the heavy pollution industry as the research object and does not consider the influence of industry attributes. Based on this, the metal manufacturing industry with the largest sample enterprises was selected to conduct a robustness test on model (3). Meanwhile, there are 238 sample enterprises in the metal manufacturing industry, among which 15 observations are non-state-owned, and the rest are all state-owned enterprises. Therefore, this paper conducts tests on the basis of model (4). The regression results of (3) in Table 7 show that the quality of environmental information disclosure is significantly positively correlated with the environmental costs at the level of 0.01, but the cross coefficient of the property fails the significance test, which is the same as the previous conclusion, and model (4) passes the test.
Finally, this paper refers to the test method of Pan et al. [69] and adopts the z-score method to standardize the scores of environmental information disclosure, replacing the environmental information disclosure index with standard scores for the study, while considering the moderating effect of market factors to test model (5), and the results are shown in (4) in Table 7. Thus, the regression coefficients of the standard score of environmental information disclosure and its cross term with marketization are 1.386 and −0.320, respectively, passing the significance test at the level of 0.01 and 0.05, which is consistent with the previous conclusion. Namely, with the deepening of the marketization degree, the positive impact of environmental information disclosure on environmental costs would be weakened, so the model (5) passes the test.

5. Discussion

In the baseline regression, we find that the improvement of environmental information disclosure quality would increase the environmental costs of enterprises in the short term, but this positive impact would gradually weaken with the passage of time. This may be because, on the one hand, collecting, processing, reporting and auditing environmental information would consume a lot of human, material and financial resources when enterprises implement environmental information disclosure in the early stages [70]; On the other hand, in order to disclose environmental information that could show their good environmental performance, enterprises would invest a lot of costs in their production and operation activities to reduce the negative impact on the environment [71], which leads to an increase in corporate environmental expenses in the short term. This research conclusion was supported by Blankespoor [72], who found from the perspective of investors that enterprise information disclosure would increase the cost of investors to obtain and analyze the disclosed information, but the processing cost of disclosure would gradually decline as time goes on.
In the tests of the moderating effects of enterprise size, property rights and degree of marketization, we mainly find the following points: First, enterprise size negatively moderates the positive relationship between environmental information disclosure and environmental costs. Specifically, the larger the enterprise, the greater its ability to control and manage costs and therefore the stronger its willingness to disclose environmental information, which is consistent with the findings of Nguyen et al. [73]. Second, the nature of enterprise property rights does not significantly negatively moderate the positive relationship between environmental information disclosure and environmental costs. Generally speaking, the quality of environmental information disclosure of state-owned enterprises is better than that of non-state-owned enterprises [74], and the environmental cost increase effect caused by improving the quality of environmental information disclosure would be smaller, resulting in no significant difference in the impact of environmental information disclosure on environmental costs between state-owned enterprises and non-state-owned enterprises. Finally, the degree of marketization negatively moderates the positive relationship between environmental information disclosure and environmental costs. This suggests that a high degree of marketization could improve the efficiency of corporate environmental information disclosure so that investors could timely and accurately know the environmental management status and environmental strategy of enterprises [75], enhance enterprises’ green competitive advantages and reduce their environmental cost pressure.

6. Conclusions, Implications, and Limitations

6.1. Research Conclusions

In view of the poor initiative of China’s enterprises in disclosing environmental information and the low quality of disclosure, this paper studied the obstructive factors of environmental information disclosure of enterprises from the perspective of environmental costs based on the comprehensive consideration of financial factors, governance factors, technical factors and time factor of enterprises, and further explores the adjustment mechanism of enterprises’ own characteristics and market factors such as enterprise size, property rights and degree of marketization in the relationship between environmental information disclosure and environmental costs. The study found that:
(1)
The environmental information disclosure in the short term could lead to an increase in environmental costs, but the lag effect shows that the impact of EID on the environmental costs is not obvious in the long run, and the disclosure quality of grouping test results also show that the environmental costs burden of high quality group is less than the low quality group. As a result, it is not scientific that enterprises are reluctant to improve the quality of environmental information disclosure because of the increasing environmental costs.
(2)
After embedding enterprise size as a moderating variable, it is found that the enterprise size could negatively regulate the positive impact of EID on environmental costs, which could explain to some extent why large enterprises do better than small enterprises in EID. This conclusion is still true in the case of random sampling.
(3)
After taking property rights as the moderating variable, the research found that the impact of the quality of EID on environmental costs is not significantly different between state-owned enterprises and private enterprises.
(4)
After introducing the degree of marketization as the moderating variable, it is concluded that the continuous improvement of the market mechanism is not only conducive to the improvement of the quality of EID but also can significantly reduce environmental costs.

6.2. Theoretical and Practical Implications

This paper mainly explores the short-term and long-term impact of EID on environmental costs, as well as the regulatory mechanism. Its theoretical implications are mainly reflected in:
(1)
It enriches the research content of EID. This paper focuses on the impact of EID on environmental costs, which is different from the previous literature that focuses on environmental performance. This paper is conducive to a comprehensive examination of the motivations and reasons for enterprises actively disclosing their environmental information or not.
(2)
The measurement method of environmental costs is particularly illuminating for other research. Based on the production and operation process of enterprises, this paper classifies environmental costs as Ex-ante, Ex-middle, and Ex-post environmental cost, and then defines the specific environmental cost items involved in each classification to make the measurement of environmental costs more scientific, accurate and comprehensive, as well as to provide direction for environmental costs measurement in the future.
Based on the above conclusions, this paper proposed the following policy recommendations:
(1)
Enterprises should actively concern about the environmental information disclosure of the long-term effects and not ignore the “invisible welfare” of EID due to the increase in short-term environmental costs. Enterprises should strive to build a bridge of information communication with all stakeholders through EID, continuously improve the green competitive advantage of enterprises and establish an environmentally friendly image in order to reduce the adverse impact of the increasing environmental costs.
(2)
The government should provide a better market environment for enterprises to disclose their environmental information. Especially, the government should constantly optimize the operational guidelines of EID and establish unified specification disclosure standards in order to guide enterprises to take the initiative to disclose more substantial environmental information and improve the quality of disclosure. On the other hand, the government should speed up the reform of marketization, strengthen the regulation of corporate environmental information disclosure quality, increase the intensity of punishment for a deliberately withheld information environment, reward enterprises with good performance in environmental information disclosure, and strive to build a market-oriented, legal and international business environment for enterprises, so as to reduce the burden of environmental costs imposed on enterprises while promoting the quality of environmental information disclosure by enterprises.

6.3. Limitations and Further Research Directions

First, the channels for data collection of EID could be expanded. Based on the content analysis method, this paper widely collects data from the annual report, social responsibility report, sustainable development report and the company’s website to quantify EID. In the future, scholars could collect other information from news networks, prospectuses, etc., to further improve the measurement of environmental cost indicators. Similarly, such problems exist in the quantitative analysis of environmental costs. Therefore, in the future, scholars could try to add relevant qualitative indicators to make up for the lack of quantitative data. Second, this paper mainly explores the adjustment mechanism of enterprise size, property rights and marketization degree in environmental information disclosure affecting environmental costs, which, like other important moderating factors or mediating factors that exist in this process, still be further tested. Other scholars could learn from this paper to understand the mechanism of enterprise environmental information disclosure affecting environmental costs in depth.

Author Contributions

Conceptualization, L.W.; Methodology, L.W.; Investigation, L.W. and Y.S.; Resources, S.L.; Data curation, S.L. and C.L.; Writing—original draft, Y.S. and S.L.; Writing—review & editing, C.L.; Supervision, L.W. and C.L.; Project administration, L.W. and C.L.; Funding acquisition, L.W. All authors have read and agreed to the published version of the manuscript.

Funding

The research is supported by the National Social Science Fund of China (22AJY013).

Institutional Review Board Statement

Not applicable.

Informed Consent Statement

Not applicable.

Data Availability Statement

The data that support the findings of the current research are available from the corresponding author upon reasonable request.

Conflicts of Interest

The authors declare that they have no conflict of interest.

References

  1. Aljughaiman, A.A.; Cao, N.D.; Albarrak, M.S. The impact of greenhouse gas emission on corporate’s tail risk. J. Sustain. Financ. Invest. 2021, 1–18. [Google Scholar] [CrossRef]
  2. Gerged, A.M. Factors affecting corporate environmental disclosure in emerging markets: The role of corporate governance structures. Bus. Strategy Environ. 2021, 30, 609–629. [Google Scholar] [CrossRef]
  3. Fawzy, S.; Osman, A.I.; Doran, J.; Rooney, D.W. Strategies for mitigation of climate change: A review. Environ. Chem. Lett. 2020, 18, 2069–2094. [Google Scholar] [CrossRef]
  4. Kou, P.; Han, Y.; Qi, X.Y.; Li, Y.X. Does China’s policy of carbon emission trading deliver sulfur dioxide reduction co-benefits? Environ. Dev. Sustain. 2022, 24, 6224–6245. [Google Scholar] [CrossRef]
  5. Martiskainen, M.; Kivimaa, P. Role of knowledge and policies as drivers for low-energy housing: Case studies from the United Kingdom. J. Clean. Prod. 2019, 215, 1402–1414. [Google Scholar] [CrossRef]
  6. Huang, Y.J.; Zhan, T.; Ke, Q.; Liu, J.G.; Irannezhad, M.; Fan, D.L.; Hou, M.F.; Sun, L.X. Nature-based solutions for urban pluvial flood risk management. Wiley Interdiscip. Rev. Water 2020, 7, e1421. [Google Scholar] [CrossRef]
  7. Zhang, M.; Liu, X.X.; Ding, Y.T.; Wang, W.W. How does environmental regulation affect haze pollution governance?–An empirical test based on Chinese provincial panel data. Sci. Total Environ. 2019, 695, 133905. [Google Scholar] [CrossRef]
  8. Zhang, L.; Wang, Q.Y.; Zhang, M. Environmental regulation and CO2 emissions: Based on strategic interaction of environmental governance. Ecol. Complex. 2021, 45, 100893. [Google Scholar] [CrossRef]
  9. Felix, B.; Haustein, E.; Lorson, P.C. Materiality analysis in sustainability and integrated reports. Sustain. Account. Manag. Pol. J. 2019, 11, 162–186. [Google Scholar]
  10. Grove, H.; Clouse, M. Focusing on sustainability to strengthen corporate governance. Corp. Gov. Sustain. Rev. 2018, 2, 38–47. [Google Scholar] [CrossRef]
  11. Agyemang, A.O.; Kong, Y.S.; Ayamba, E.C.; Twum, A.K.; Chengpeng, Z.; Shaibu, A. Impact of board characteristics on environmental disclosures for listed mining companies in China. Environ. Sci. Pollut. Res. 2020, 27, 21188–21201. [Google Scholar] [CrossRef]
  12. Ofoegbu, G.N.; Megbuluba, A. Corporate environmental accounting information disclosure in the Nigeria manufacturing firms. Int. J. Manag. Sci. Bus. Res. 2016, 5, 208–220. [Google Scholar]
  13. Lu, B.W.; Yue, S.Z. A study on the mechanism of environmental information disclosure oriented to the construction of ecological civilization in China. Sustainability 2022, 14, 6378. [Google Scholar] [CrossRef]
  14. Wu, D.; Zhu, S.Z.; Memon, A.A.; Memon, H. Financial attributes, environmental performance, and environmental disclosure in China. Int. J. Environ. Res. Public Health 2020, 17, 8796. [Google Scholar] [CrossRef]
  15. Tauringana, V. Sustainability reporting challenges in developing countries: Towards management perceptions research evidence-based practices. J. Account. Emerg. Econ. 2020, 11, 194–215. [Google Scholar] [CrossRef]
  16. Atasel, O.Y.; Güneysu, Y.; Ünal, H. Impact of environmental information disclosure on cost of equity and financial performance in an emerging market: Evidence from Turkey. Ekonomika 2020, 99, 76–91. [Google Scholar] [CrossRef]
  17. Axjonow, A.; Ernstberger, J.; Pott, C. The impact of corporate social responsibility disclosure on corporate reputation: A non-professional stakeholder perspective. J. Bus. Ethics 2018, 151, 429–450. [Google Scholar] [CrossRef]
  18. Shad, M.K.; Lai, F.W.; Shamim, A.; McShane, M. The efficacy of sustainability reporting towards cost of debt and equity reduction. Environ. Sci. Pollut. Res. 2020, 27, 22511–22522. [Google Scholar] [CrossRef] [PubMed]
  19. Yang, Y.L.; Wen, J.; Li, Y. The impact of environmental information disclosure on the firm value of listed manufacturing firms: Evidence from China. Int. J. Environ. Res. Public Health 2020, 17, 916. [Google Scholar] [CrossRef]
  20. Raimo, N.; de Nuccio, E.; Giakoumelou, A.; Petruzzella, F.; Vitolla, F. Non-financial information and cost of equity capital: An empirical analysis in the food and beverage industry. Brit. Food J. 2021, 123, 49–65. [Google Scholar] [CrossRef]
  21. Ren, S.G.; Wei, W.J.; Sun, H.L.; Xu, Q.Y.; Hu, Y.C.; Chen, X.H. Can mandatory environmental information disclosure achieve a win-win for a firm’s environmental and economic performance? J. Clean. Prod. 2020, 250, 119530. [Google Scholar] [CrossRef]
  22. Wang, S.Y.; Wang, H.L.; Wang, J.; Yang, F. Does environmental information disclosure contribute to improve firm financial performance? An examination of the underlying mechanism. Sci. Total Environ. 2020, 714, 136855. [Google Scholar] [CrossRef] [PubMed]
  23. Wahyuningrum, I.F.S.; Budihardjo, M.A.; Muhammad, F.I.; Djajadikerta, H.G.; Trireksani, T. Do environmental and financial performances affect environmental disclosures? Evidence from listed companies in Indonesia. Enterp. Sustain. Issues 2020, 8, 1047–1061. [Google Scholar] [CrossRef] [PubMed]
  24. Taufique, K.M.R.; Vocino, A.; Polonsky, M.J. The influence of eco-label knowledge and trust on pro-environmental consumer behaviour in an emerging market. J. Strateg. Mark. 2017, 25, 511–529. [Google Scholar] [CrossRef]
  25. Wang, F.; Yang, S.Y.; Reisner, A.; Liu, N. Does green credit policy work in China? The correlation between green credit and corporate environmental information disclosure quality. Sustainability 2019, 11, 733. [Google Scholar] [CrossRef]
  26. Zhan, H. How green credit affects corporate environmental information disclosure-An empirical test based on listed companies in heavy pollution industries. Nankai Econ. Res. 2021, 3, 193–207. (In Chinese) [Google Scholar]
  27. Gómez, N.A.; Stella, M.G. Governance and type of industry as determinants of corporate social responsibility disclosures in Latin America. Lat. Am. Bus. Rev. 2020, 21, 1–35. [Google Scholar] [CrossRef]
  28. Manes-Rossi, F.; Tiron-Tudor, A.; Nicolò, G.; Zanellato, G. Ensuring more sustainable reporting in Europe using non-financial disclosure-De facto and de jure evidence. Sustainability 2018, 10, 1162. [Google Scholar] [CrossRef]
  29. Abdullah, M.; Noradiva, H.; Mohd, H.A.; Tseng, M.L.; Brander, M. The Southeast Asian haze: The quality of environmental disclosures and firm performance. J. Clean. Prod. 2020, 246, 118958. [Google Scholar] [CrossRef]
  30. Kuo, L.P.; Chang, B.G. The affecting factors of circular economy information and its impact on corporate economic sustainability-Evidence from China. Sustain. Prod. Consump. 2021, 27, 986–997. [Google Scholar] [CrossRef]
  31. Ruhaya, A.; Md, M.A.; Jamaliah, S.; Mohamed, Z. The impacts of environmental, social, and governance factors on firm performance: Panel study of Malaysian companies. Manag. Environ. Qual. Int. J. 2018, 29, 182–194. [Google Scholar]
  32. Murdifin, I.; Pelu, M.F.A.; Perdana, A.A.H.; Putra, K.; Arumbarkah, A.M.; Muslim, M.; Rahmah, A. Environmental disclosure as corporate social responsibility: Evidence from the biggest nickel mining in Indonesia. Int. J. Energ. Econ. Policy 2019, 9, 115–122. [Google Scholar]
  33. Wang, H.T.; Qi, S.Z.; Zhou, C.B.; Huang, X.Y. Green credit policy, government behavior and green innovation quality of enterprises. J. Clean. Prod. 2022, 331, 129834. [Google Scholar] [CrossRef]
  34. Zhang, J.Z.; Liu, Y.; Zhou, M.F.; Chen, B.Y.; Liu, Y.W.; Cheng, B.D.; Xue, J.J.; Zhang, W. Regulatory effect of improving environmental information disclosure under environmental tax in China: From the perspectives of temporal and industrial heterogeneity. Energ. Policy 2022, 164, 112760. [Google Scholar] [CrossRef]
  35. Lemma, T.T.; Feedman, M.; Mlilo, M.; Park, J.D. Corporate carbon risk, voluntary disclosure, and cost of capital: South African evidence. Bus. Strategy Environ. 2019, 28, 111–126. [Google Scholar] [CrossRef]
  36. Zraqat, O.M. The effect of voluntary disclosure on the cost of capital: Evidence from Jordan. Eur. J. Sci. Res. 2020, 157, 17–26. [Google Scholar]
  37. Xie, G.H.; Lin, C.; Chen, X.C. The role of short selling threat in corporate environmental disclosure strategies: Evidence from China. Resour. Energy Econ. 2021, 66, 101256. [Google Scholar] [CrossRef]
  38. Li, D.Y.; Lin, A.Q.; Zhang, L. Relationship between Chief Executive Officer characteristics and corporate environmental information disclosure in Thailand. Front. Eng. Manag. 2019, 6, 564–574. [Google Scholar] [CrossRef]
  39. Wasara, T.M.; Ganda, F. The relationship between corporate sustainability disclosure and firm financial performance in Johannesburg Stock Exchange (JSE) listed mining companies. Sustainability 2019, 11, 4496. [Google Scholar] [CrossRef]
  40. Ullah, S.; Sun, D. Corporate social responsibility corporate innovation: A cross-country study of developing countries. Corp. Soc. Responsib. Environ. Manag. 2021, 28, 1066–1077. [Google Scholar] [CrossRef]
  41. Ding, X.W.; Ye, L.; Yang, Y.Y.; Efimova, O.; Steblyanskaya, A.; Zhang, J.F. The impact mechanism of environmental information disclosure on corporate sustainability performance-micro-evidence from China. Sustainability 2022, 14, 12366. [Google Scholar] [CrossRef]
  42. Prasad, M.; Mishra, T.; Kalro, A.D. Environmental disclosure by Indian companies: An empirical study. Environ. Dev. Sustain. 2017, 19, 1999–2022. [Google Scholar] [CrossRef]
  43. Azlan, A.; Say, K.O.; Riduan, T.M.; Devi, S.S. The impact of business strategies on online sustainability disclosures. Bus. Strategy Environ. 2015, 24, 551–564. [Google Scholar]
  44. Hsiang-Tsai, C.; Lin, Y.C.; Chen, W.W. Does family business affect the relationship between corporate social responsibility and brand value? A study in different industry Taiwan. Asia Pac. Manag. Rev. 2022, 27, 28–39. [Google Scholar]
  45. Li, C. Internalization of environmental cost and its difference analysis among industrial enterprises. Pri. Theor. Pract. 2015, 12, 86–88. (In Chinese) [Google Scholar]
  46. Chowdhury, M.A.A.; Dey, M.; Abedin, M.T. Firms’ attributes and environmental disclosure: Evidence from listed firms in Bangladesh. Asian J. Account. Pers. 2020, 13, 57–77. [Google Scholar] [CrossRef]
  47. Hu, Y.Y.; Chen, S.M.; Shao, Y.X.; Gao, S. CSR and firm value: Evidence from China. Sustainability 2018, 10, 4597. [Google Scholar] [CrossRef]
  48. Han, S.R.; Li, P.; Xiang, J.J.; Luo, X.H.; Chen, C.Y. Does the institutional environment influence corporate social responsibility? Consideration of green investment of enterprises-evidence from China. Environ. Sci. Pollut. Res. 2022, 29, 12722–12739. [Google Scholar] [CrossRef]
  49. Xiong, G.B.; Luo, Y.D. Smog, media attention, and corporate social responsibility-empirical evidence from Chinese polluting listed companies. Environ. Sci. Pollut. Res. 2021, 28, 46116–46129. [Google Scholar] [CrossRef]
  50. Liu, Z.B.; Bai, Y. The impact of ownership structure and environmental supervision on the environmental accounting information disclosure quality of high-polluting enterprises in China. Environ. Sci. Pollut. Res. 2022, 29, 21348–21364. [Google Scholar] [CrossRef]
  51. Wang, R.; Zameer, H.; Fenga, Y.; Jiao, Z.L.; Xu, L.; Gedikli, A. Revisiting Chinese resource curse hypothesis based on spatial spillover effect: A fresh evidence. Resour. Policy 2019, 64, 101521. [Google Scholar] [CrossRef]
  52. Jia, R.N.; Shao, S.; Yang, L.L. High-speed rail and CO2 emissions in urban China: A spatial difference-in-differences approach. Energ. Econ. 2021, 99, 105271. [Google Scholar] [CrossRef]
  53. Kong, D.M.; Zhu, L. Governments’ fiscal squeeze and firms’ pollution emissions: Evidence from a natural experiment in China. Environ. Resour. Econ. 2022, 81, 833–866. [Google Scholar] [CrossRef]
  54. Chen, Q.P.; Ning, B.; Pan, Y.; Xiao, J.L. Green finance and outward foreign direct investment: Evidence from a quasi-natural experiment of green insurance in China. Asia Pac. J. Manag. 2022, 39, 899–924. [Google Scholar] [CrossRef]
  55. Wang, L.P.; Li, C.; Li, S.Q. Can environmental information disclosure regulate the relationship between environmental cost and enterprise value. Int. J. Environ. Pollut. 2020, 67, 95–110. [Google Scholar] [CrossRef]
  56. Ya, K.; Luo, F.K.; Wang, J. Technological innovation and corporate environmental costs-“environmental orientation” or “efficiency first”? Res. Manag. 2022, 43, 27–35. (In Chinese) [Google Scholar]
  57. Hussain, N.; Rigoni, U.; Cavezzali, E. Does it pay to be sustainable? Looking inside the black box of the relationship between sustainability performance and financial performance. Corp. Soc. Responsib. Environ. Manag. 2018, 25, 1198–1211. [Google Scholar] [CrossRef]
  58. Du, X. A tale of two segmented markets in China: The informative value of corporate environmental information disclosure for foreign investors. Int. J. Account. 2018, 53, 136–159. (In Chinese) [Google Scholar] [CrossRef]
  59. Wang, J.S.; Zhang, B. Quality of environmental information disclosure and enterprise characteristics: Based on heavily polluted industries of A-share in the Shanghai Stock Exchange. Manag. Environ. Qual. Int. J. 2019, 30, 963–979. [Google Scholar] [CrossRef]
  60. Dhar, B.K.; Sabrina, M.S.; Foster, K.A. Impact of social responsibility disclosure between implementation of green accounting and sustainable development: A study on heavily polluting companies in Bangladesh. Responsib. Environ. Manag. 2022, 29, 71–78. [Google Scholar] [CrossRef]
  61. Wang, X.L.; Fan, G.; Hu, L.P. Marketization Index Report of China’s Provinces; Social Sciences Academic Press: Beijing, China, 2016. (In Chinese) [Google Scholar]
  62. Li, L.; Liu, Q.Q.; Wang, J.; Hong, X.F. Carbon information disclosure, marketization, and cost of equity financing. Int. J. Environ. Res. Public Health 2019, 16, 150. [Google Scholar] [CrossRef] [PubMed]
  63. Xue, L.; Zhang, Q.Y.; Zhang, X.M.; Li, C.Y. Can digital transformation promote green technology innovation? Sustainability 2022, 14, 7497. [Google Scholar] [CrossRef]
  64. Fonseka, M.; Rajapakse, T.; Richardson, G. The effect of environmental information disclosure and energy product type on the cost of debt: Evidence from energy firms in China. Pac.-Basin. Financ. J. 2019, 54, 159–182. [Google Scholar] [CrossRef]
  65. Raimo, N.; Caragnano, A.; Zito, M.; Vitolla, F.; Mariani, M. Extending the benefits of ESG disclosure: The effect on the cost of debt financing. Corp. Soc. Responsib. Environ. Manag. 2021, 28, 1412–1421. [Google Scholar] [CrossRef]
  66. Luo, W.B.; Guo, X.X.; Zhong, S.H.; Wang, J.Z. Environmental information disclosure quality, media attention and debt financing costs: Evidence from Chinese heavy polluting listed companies. J. Clean. Prod. 2019, 231, 268–277. [Google Scholar] [CrossRef]
  67. Lin, Y.T.; Huang, R.T.; Yao, X. Air pollution and environmental information disclosure: An empirical study based on heavy polluting industries. J. Clean. Prod. 2021, 278, 124313. [Google Scholar] [CrossRef]
  68. Tian, J.F.; Cao, W.; Ji, X.Z. Is cross-shareholding conducive to corporate sustainability? Evidence From the environmental investment of Chinese listed firms. Front. Psychol. 2021, 12, 789811. [Google Scholar] [CrossRef]
  69. Pan, Y.; Chen, Q.P.; Zhang, P.D. Does policy uncertainty affect corporate environmental information disclosure: Evidence from China. Sustain. Account. Manag. Policy J. 2020, 11, 903–931. [Google Scholar] [CrossRef]
  70. Hassani, B.K.; Bahini, Y. Relationships between ESG disclosure and economic growth: A critical review. J. Risk Financ. Manag. 2022, 15, 538. [Google Scholar] [CrossRef]
  71. Hu, D.M.; Huang, Y.Z.; Zhong, C.B. Does environmental information disclosure affect the sustainable development of enterprises: The role of green innovation. Sustainability 2021, 13, 11064. [Google Scholar] [CrossRef]
  72. Blankespoor, E.; de Haan, E.; Marinovic, I. Disclosure processing costs, investors’ information choice, and equity market outcomes: A review. J. Account. Econ. 2020, 70, 101344. [Google Scholar] [CrossRef]
  73. Nguyen, A.H.; Nguyen, L.H. Determinants of sustainability disclosure: Empirical evidence from Vietnam. J. Asian Financ. Econ. Bus. 2020, 7, 73–84. [Google Scholar] [CrossRef]
  74. Zhang, Q.; Chen, W.Y.; Feng, Y.C. The effectiveness of China’s environmental information disclosure at the corporate level: Empirical evidence from a quasi-natural experiment. Resour. Conserv. Recycl. 2021, 164, 105158. [Google Scholar] [CrossRef]
  75. Cheng, Z.H.; Wang, F.; Keung, C.; Bai, Y.X. Will corporate political connection influence the environmental information disclosure level? Based on the panel data of A-shares from listed companies in shanghai stock market. J. Bus. Ethics 2017, 143, 209–221. [Google Scholar] [CrossRef]
Figure 1. Scatter chart of environmental costs and environmental information disclosure from 2013 to 2017.
Figure 1. Scatter chart of environmental costs and environmental information disclosure from 2013 to 2017.
Sustainability 15 02701 g001
Table 1. Contents of environmental costs.
Table 1. Contents of environmental costs.
Environmental Cost ClassificationAccountant CourseSpecific Content
Ex-anteR&DResearch and development investment in environmental protection technology renovation projects to reduce environmental load
Projects under constructionConstruction expenditures for environmental protection projects and monitoring
Ex-middleTaxes and surchargesResource tax, mineral resource compensation tax, etc.
Non-operating expensesEnvironmental fines, costs, damages, etc.
Ex-postManagement feesSewage fee, green fee, environmental protection fee, beautification fee, etc.
Other projectsThe special compensation to the worker welfare funds, environmental protection activities of the sponsor expenditure
Table 2. Variable definitions.
Table 2. Variable definitions.
Variable TypeVariable NameSymbolDefinitionReferences
Dependent variableEnvironmental costsECThe environmental accounts are calculated based on the contents analysis method[55,56]
Independent variableEnvironmental information disclosureEIDThe index is qualified based on the content analysis method and then standardized[57,58,59]
Moderating variablesEnterprise sizeSIZEThe natural log of the total assets at the end of the period[63]
Property rightsSTATEState ownership is assigned a value of 0 and others a value of 1[60]
Degree of marketizationMARMarket index published by Wang and Fan[61,62]
Control variablesIncome levelROENet profit/average shareholder equity[64]
Efficiency of managementMLAdministrative expenses/operating income
The proportion of independent directorsIDTotal number of independent directors/directors
Asset-liability ratioLEVAsset-liability ratio
The number of patentsPATThe number of patents every year
R&DR&DAnnual R&D expenditure
YearYEARFour dummy variables were set for 5 years
Table 3. Descriptive statistics.
Table 3. Descriptive statistics.
VariableSample SizeMeanSDMidMinMax
EC106616.882.5017.289.0422.57
EID11700.480.210.470.021.00
SIZE117023.681.0623.5620.9927.06
ROE117018.1132.258.16−17.55148.35
ML11706.494.235.580.6621.74
LEV117052.5517.4953.6911.3586.96
ID117036.904.9335.7130.0057.14
PAT95862.66141.6024.001.00993.00
R&D10311.991.821.500.028.13
MAR11707.461.937.462.649.91
STATE11700.360.480.000.001.00
Table 4. Pearson correlation test.
Table 4. Pearson correlation test.
VariableECEIDSTATEROELEVMLIDSIZER&DPATMAR
EC1
EID0.299 ***1
STATE−0.148 ***−0.0411
ROE−0.150 ***−0.0410.117 ***1
LEV0.216 ***0.091 ***−0.277 ***−0.132 ***1
ML−0.189 ***−0.098 ***0.239 ***−0.026−0.347 ***1
ID0.054 *−0.014−0.0200.004−0.029−0.0441
SIZE0.391 ***0.379 ***−0.369 ***−0.071 **0.288 ***−0.299 ***0.0071
R&D−0.256 ***−0.0360.346 ***0.072 **−0.332 ***0.474 ***0.010−0.315 ***1
PAT0.115 ***0.209 ***−0.142 ***−0.050−0.049−0.074 **0.102 ***0.474 ***−0.0441
MAR−0.212 ***0.094 ***0.193 ***0.039−0.300 ***0.026−0.005−0.0460.2150.171 ***1
Note: *, **, *** means that the data are significant at the level of 0.1, 0.05 and 0.01, the same as below.
Table 5. Baseline Regression.
Table 5. Baseline Regression.
VariablesFull Sample RegressionGroup Regression of Environmental Information Disclosure
(1)(2)(3)(4)(5)
All VariablesEliminate Insignificant VariablesLag EffectLower Quality GroupBetter Quality Group
EID3.768 ***4.026 ***2.347 **4.280 ***3.133 ***
(8.33)(9.07)(2.07)(3.69)(3.50)
L1.EID 1.140
(0.44)
L2.EID 0.717
(0.56)
L3.EID 0.244
(0.15)
PAT0.001
(1.33)
ML−0.035
(−1.57)
ROE−0.009 ***−0.009 ***−0.001−0.012 ***−0.005
(−3.75)(−3.57)(−0.06)(−3.41)(−1.48)
LEV0.011 **0.015 ***0.022 ***0.013 *0.019 ***
(2.18)(3.26)(2.89)(1.84)(2.87)
ID0.042 ***0.043 ***0.054 **0.049 *0.045 **
(2.67)(2.82)(2.37)(1.72)(2.36)
R&D−0.278 ***−0.288 ***−0.329 ***−0.353 ***−0.236 ***
(−5.39)(−5.98)(−4.38)(−4.63)(−3.86)
Cons13.867 ***13.259 ***12.047 ***13.472 ***13.650 ***
(19.02)(19.81)(11.43)(12.47)(13.8)
YEARControlControlControlControlControl
Adj-R20.2000.1940.1980.1430.130
F19.57 ***24.58 ***11.03 ***8.67 ***8.15 ***
N821883366452431
Note: Due to the different missing indicators of different companies, the total amount of samples in the above tests is also different. *, **, *** means that the data are significant at the level of 0.1, 0.05 and 0.01, the same as below.
Table 6. Results based on the moderating effect.
Table 6. Results based on the moderating effect.
VariableSizeStateMAR
EID37.267 ***4.150 ***6.620 ***
(4.48)(7.73)(4.54)
SIZE1.402 ***
(7.25)
EID×SIZE−1.441 ***
(−4.10)
STATE 0.013
(0.03)
EID × STATE −0.267
(−0.34)
MAR −0.067
(−0.64)
EID × MAR −0.317 *
(−1.66)
ROE−0.009 ***−0.003 ***−0.004 ***
(−3.68)(−2.94)(−3.17)
ID0.044 ***0.042 ***0.042 ***
(2.98)(2.65)(2.81)
R&D−0.196 ***−0.284 ***−0.254 ***
(−4.17)(−5.72)(−5.34)
LEV0.0070.015 ***0.010 **
(1.40)(3.12)(2.02)
Cons−18.972 ***13.258 ***13.842 ***
(−4.13)(19.47)(14.12)
YEARcontrolcontrolcontrol
Adj-R20.2610.1890.228
F29.25 ***19.71 ***23.32 ***
N883883883
Note: *, **, *** means that the data are significant at the level of 0.1, 0.05 and 0.01, the same as below.
Table 7. Robustness test results.
Table 7. Robustness test results.
Variable(1)(2)(3)(4)
Soft DisclosureHard DiscloseRandom SamplingIndustry BackStandard Score
EID0.259 ***0.093 ***48.265 **3.801 ***1.386 ***
(9.96)(7.29)(2.52)(4.20)(4.55)
SIZE 1.674 ***
(2.98)
EID × SIZE −1.906 **
(−2.39)
STATE −0.423
(−0.59)
EID × STATE −0.237
(−0.16)
MAR −0.320
(−0.62)
EID × MAR −0.320 *
(−1.68)
ROE−0.008 ***−0.009 ***−0.005 *−0.011 **−0.003 ***
(−3.21)(−3.71)(−1.63)(−2.50)(−2.97)
ID0.041 ***0.044 ***0.043 **0.085 ***0.043 ***
(2.70)(2.85)(2.25)(3.19)(2.82)
R&D−0.271 ***−0.296 ***−0.193 ***−0.364 ***−0.257 ***
(−5.66)(−6.05)(−3.12)(−4.35)(−5.35)
LEV0.018 ***0.017 ***0.0090.0090.010 **
(3.93)(3.47)(1.35)(0.95)(2.01)
Cons12.318 ***13.871 ***−25.393 *12.905 ***17.019 ***
(18.03)(20.62)(−1.9)(10.20)(22.99)
YEARControlControlControlControlControl
Adj-R20.2080.1770.1780.2940.217
F26.73 ***20.87 ***8.18 ***9.96 ***23.34 ***
N883883442238883
Note: *, **, *** means that the data are significant at the level of 0.1, 0.05 and 0.01, the same as below.
Disclaimer/Publisher’s Note: The statements, opinions and data contained in all publications are solely those of the individual author(s) and contributor(s) and not of MDPI and/or the editor(s). MDPI and/or the editor(s) disclaim responsibility for any injury to people or property resulting from any ideas, methods, instructions or products referred to in the content.

Share and Cite

MDPI and ACS Style

Wang, L.; Shang, Y.; Li, S.; Li, C. Environmental Information Disclosure-Environmental Costs Nexus: Evidence from Heavy Pollution Industry in China. Sustainability 2023, 15, 2701. https://doi.org/10.3390/su15032701

AMA Style

Wang L, Shang Y, Li S, Li C. Environmental Information Disclosure-Environmental Costs Nexus: Evidence from Heavy Pollution Industry in China. Sustainability. 2023; 15(3):2701. https://doi.org/10.3390/su15032701

Chicago/Turabian Style

Wang, Liping, Yuqi Shang, Shuqin Li, and Chuang Li. 2023. "Environmental Information Disclosure-Environmental Costs Nexus: Evidence from Heavy Pollution Industry in China" Sustainability 15, no. 3: 2701. https://doi.org/10.3390/su15032701

APA Style

Wang, L., Shang, Y., Li, S., & Li, C. (2023). Environmental Information Disclosure-Environmental Costs Nexus: Evidence from Heavy Pollution Industry in China. Sustainability, 15(3), 2701. https://doi.org/10.3390/su15032701

Note that from the first issue of 2016, this journal uses article numbers instead of page numbers. See further details here.

Article Metrics

Back to TopTop